These Highlights Do Not Include All The Information Needed To Use Fenofibrate Tablets Safely And Effectively. See Full Prescribing Information For Fenofibrate Tablets.

These Highlights Do Not Include All The Information Needed To Use Fenofibrate Tablets Safely And Effectively. See Full Prescribing Information For Fenofibrate Tablets.
SPL v101
SPL
SPL Set ID 42b1daf6-1f0e-4464-b160-7c10c492a570
Route
ORAL
Published
Effective Date 2011-12-30
Document Type 34391-3 HUMAN PRESCRIPTION DRUG LABEL

Drug Facts

Composition & Product

Active Ingredients
Fenofibric Acid (145 mg)
Inactive Ingredients
Croscarmellose Sodium Crospovidone Hypromellose, Unspecified Lactose Monohydrate Lecithin, Soybean Magnesium Stearate Microcrystalline Cellulose Polyvinyl Alcohol, Unspecified Sodium Lauryl Sulfate Sucrose Talc Titanium Dioxide Xanthan Gum

Identifiers & Packaging

Pill Appearance
Imprint: M;FE4 Shape: oval Color: white Size: 18 mm Score: 1
Marketing Status
ANDA Active Since 2013-05-14

Description

Warnings and Precautions, Hepatotoxicity ( 5.2 )                                  03/2021

Indications and Usage

Fenofibrate tablets are a peroxisome proliferator-activated receptor (PPAR) alpha agonist indicated as an adjunct to diet: • To reduce elevated LDL-C, Total-C, TG and Apo B, and to increase HDL-C in adult patients with primary hypercholesterolemia or mixed dyslipidemia ( 1.1 ). • For treatment of adult patients with severe hypertriglyceridemia ( 1.2 ). Limitations of Use: Fenofibrate was not shown to reduce coronary heart disease morbidity and mortality in patients with type 2 diabetes mellitus ( 5.1 ).

Dosage and Administration

• Primary hypercholesterolemia or mixed dyslipidemia: Initial dose of 145 mg once daily ( 2.2 ). • Severe hypertriglyceridemia: Initial dose of 48 to 145 mg once daily. Maximum dose is 145 mg ( 2.3 ). • Renally impaired patients: Initial dose of 48 mg once daily ( 2.4 ). • Geriatric patients: Select the dose on the basis of renal function ( 2.5 ). • May be taken without regard to meals ( 2.1 ).

Warnings and Precautions

• Hepatotoxicity: Serious drug-induced liver injury, including liver transplantation and death, has been reported with fenofibrate tablets. Monitor patient’s liver function, including serum ALT, AST, and total bilirubin, at baseline and periodically for the duration of therapy. Discontinue if signs or symptoms of liver injury develop or if elevated enzyme levels persist ( 5.2 ). • Myopathy and Rhabdomyolysis: Have been reported in patients taking fenofibrate. Risks are increased during co-administration with a statin (with a significantly higher rate observed for gemfibrozil), particularly in elderly patients and patients with diabetes, renal failure, or hypothyroidism ( 5.3 ). • Serum Creatinine: Fenofibrate tablets can reversibly increase serum creatinine levels ( 5.4 ). Monitor renal function periodically in patients with renal impairment ( 8.6 ). • Cholelithiasis: Fenofibrate tablets increase cholesterol excretion into the bile, leading to risk of cholelithiasis. If cholelithiasis is suspected, gallbladder studies are indicated ( 5.5 ). • Coumarin Anticoagulants: Use caution in concomitant treatment with oral coumarin anticoagulants. Adjust the dosage of coumarin anticoagulant to maintain the prothrombin time/INR at the desired level to prevent bleeding complications ( 5.6 ). • Hypersensitivity Reactions: Acute hypersensitivity reactions, including anaphylaxis and angioedema, and delayed hypersensitivity reactions, including severe cutaneous adverse drug reactions have been reported postmarketing. Some cases were life-threatening and required emergency treatment. Discontinue fenofibrate and treat patients appropriately if reactions occur ( 5.9 ).

Contraindications

Fenofibrate tablets are contraindicated in: • patients with severe renal impairment, including those receiving dialysis [see Clinical Pharmacology (12.3) ]. • patients with active liver disease, including those with primary biliary cirrhosis and unexplained persistent liver function abnormalities [see Warnings and Precautions (5.2) ]. • patients with preexisting gallbladder disease [see Warnings and Precautions (5.5) ] . • nursing mothers [see Use in Specific Populations (8.2) ] . • patients with known hypersensitivity to fenofibrate or fenofibric acid [see Warnings and Precautions (5.9) ].

Adverse Reactions

Adverse reactions > 2% and at least 1% greater than placebo: Abnormal liver tests, increased AST, increased ALT, increased CPK, and rhinitis ( 6 ). To report SUSPECTED ADVERSE REACTIONS, contact Mylan at 1-877-446-3679 (1-877-4-INFO-RX) or FDA at 1-800-FDA-1088 or www.fda.gov/medwatch.

Drug Interactions

In vitro studies using human liver microsomes indicate that fenofibrate and fenofibric acid are not inhibitors of cytochrome (CYP) P450 isoforms CYP3A4, CYP2D6, CYP2E1, or CYP1A2. They are weak inhibitors of CYP2C8, CYP2C19 and CYP2A6, and mild-to-moderate inhibitors of CYP2C9 at therapeutic concentrations. Table 2 describes the effects of co-administered drugs on fenofibric acid systemic exposure. Table 3 describes the effects of co-administered fenofibrate or fenofibric acid on other drugs. Table 2. Effects of Co-Administered Drugs on Fenofibric Acid Systemic Exposure from Fenofibrate Administration Co-Administered Drug Dosage Regimen of Co-Administered Drug Dosage Regimen of Fenofibrate Changes in Fenofibric Acid Exposure AUC C max Lipid-lowering agents Atorvastatin 20 mg once daily for 10 days Fenofibrate 160 mg Fenofibrate oral tablet once daily for 10 days ↓ 2% ↓ 4% Pravastatin 40 mg as a single dose Fenofibrate 3 x 67 mg Fenofibrate oral micronized capsule as a single dose ↓ 1% ↓ 2% Fluvastatin 40 mg as a single dose Fenofibrate 160 mg as a single dose ↓ 2% ↓ 10% Anti-diabetic agents Glimepiride 1 mg as a single dose Fenofibrate 145 mg once daily for 10 days ↑ 1% ↓ 1% Metformin 850 mg three times daily for 10 days Fenofibrate 54 mg  three times daily for 10 days ↓ 9% ↓ 6% Rosiglitazone 8 mg once daily for 5 days Fenofibrate 145 mg   once daily for 14 days ↑ 10% ↑ 3% Table 3. Effects of Fenofibrate Co-Administration on Systemic Exposure of Other Drugs Dosage Regimen of Fenofibrate Dosage Regimen of Co-Administered Drug Change in Co-Administered Drug Exposure Analyte AUC C max Lipid-lowering agents Fenofibrate 160 mg Fenofibrate oral tablet once daily for 10 days Atorvastatin, 20 mg once daily for 10 days Atorvastatin ↓ 17% 0% Fenofibrate 3 x 67 mg Fenofibrate oral micronized capsule as a single dose Pravastatin, 40 mg as a single dose Pravastatin ↑ 13% ↑ 13% 3α-Hydroxyl-iso-pravastatin ↑ 26% ↑ 29% Fenofibrate 160 mg as a single dose Fluvastatin, 40 mg as a single dose (+)-3R, 5S-Fluvastatin ↑ 15% ↑ 16% Anti-diabetic agents Fenofibrate 145 mg once daily for 10 days Glimepiride, 1 mg as a single dose Glimepiride ↑ 35% ↑ 18% Fenofibrate 54 mg three times daily for 10 days Metformin, 850 mg three times daily for 10 days Metformin ↑ 3% ↑ 6% Fenofibrate 145 mg once daily for 14 days Rosiglitazone, 8 mg once daily for 5 days Rosiglitazone ↑ 6% ↓ 1%

Storage and Handling

Fenofibrate Tablets, USP The 145 mg tablets are white, film-coated, oval, unscored tablets debossed with M on one side of the tablet and FE4 on the other side. NDC: 71335-2016-1: 30 Tablets in a BOTTLE NDC: 71335-2016-2: 90 Tablets in a BOTTLE NDC: 71335-2016-3: 28 Tablets in a BOTTLE Storage: Store at 20° to 25°C (68° to 77°F). [See USP Controlled Room Temperature.] Keep out of the reach of children. Protect from moisture. Dispense in a tight, light-resistant container as defined in the USP using a child-resistant closure. Repackaged/Relabeled by: Bryant Ranch Prepack, Inc. Burbank, CA 91504

How Supplied

Fenofibrate Tablets, USP The 145 mg tablets are white, film-coated, oval, unscored tablets debossed with M on one side of the tablet and FE4 on the other side. NDC: 71335-2016-1: 30 Tablets in a BOTTLE NDC: 71335-2016-2: 90 Tablets in a BOTTLE NDC: 71335-2016-3: 28 Tablets in a BOTTLE Storage: Store at 20° to 25°C (68° to 77°F). [See USP Controlled Room Temperature.] Keep out of the reach of children. Protect from moisture. Dispense in a tight, light-resistant container as defined in the USP using a child-resistant closure. Repackaged/Relabeled by: Bryant Ranch Prepack, Inc. Burbank, CA 91504


Medication Information

Warnings and Precautions

• Hepatotoxicity: Serious drug-induced liver injury, including liver transplantation and death, has been reported with fenofibrate tablets. Monitor patient’s liver function, including serum ALT, AST, and total bilirubin, at baseline and periodically for the duration of therapy. Discontinue if signs or symptoms of liver injury develop or if elevated enzyme levels persist ( 5.2 ). • Myopathy and Rhabdomyolysis: Have been reported in patients taking fenofibrate. Risks are increased during co-administration with a statin (with a significantly higher rate observed for gemfibrozil), particularly in elderly patients and patients with diabetes, renal failure, or hypothyroidism ( 5.3 ). • Serum Creatinine: Fenofibrate tablets can reversibly increase serum creatinine levels ( 5.4 ). Monitor renal function periodically in patients with renal impairment ( 8.6 ). • Cholelithiasis: Fenofibrate tablets increase cholesterol excretion into the bile, leading to risk of cholelithiasis. If cholelithiasis is suspected, gallbladder studies are indicated ( 5.5 ). • Coumarin Anticoagulants: Use caution in concomitant treatment with oral coumarin anticoagulants. Adjust the dosage of coumarin anticoagulant to maintain the prothrombin time/INR at the desired level to prevent bleeding complications ( 5.6 ). • Hypersensitivity Reactions: Acute hypersensitivity reactions, including anaphylaxis and angioedema, and delayed hypersensitivity reactions, including severe cutaneous adverse drug reactions have been reported postmarketing. Some cases were life-threatening and required emergency treatment. Discontinue fenofibrate and treat patients appropriately if reactions occur ( 5.9 ).

Indications and Usage

Fenofibrate tablets are a peroxisome proliferator-activated receptor (PPAR) alpha agonist indicated as an adjunct to diet: • To reduce elevated LDL-C, Total-C, TG and Apo B, and to increase HDL-C in adult patients with primary hypercholesterolemia or mixed dyslipidemia ( 1.1 ). • For treatment of adult patients with severe hypertriglyceridemia ( 1.2 ). Limitations of Use: Fenofibrate was not shown to reduce coronary heart disease morbidity and mortality in patients with type 2 diabetes mellitus ( 5.1 ).

Dosage and Administration

• Primary hypercholesterolemia or mixed dyslipidemia: Initial dose of 145 mg once daily ( 2.2 ). • Severe hypertriglyceridemia: Initial dose of 48 to 145 mg once daily. Maximum dose is 145 mg ( 2.3 ). • Renally impaired patients: Initial dose of 48 mg once daily ( 2.4 ). • Geriatric patients: Select the dose on the basis of renal function ( 2.5 ). • May be taken without regard to meals ( 2.1 ).

Contraindications

Fenofibrate tablets are contraindicated in: • patients with severe renal impairment, including those receiving dialysis [see Clinical Pharmacology (12.3) ]. • patients with active liver disease, including those with primary biliary cirrhosis and unexplained persistent liver function abnormalities [see Warnings and Precautions (5.2) ]. • patients with preexisting gallbladder disease [see Warnings and Precautions (5.5) ] . • nursing mothers [see Use in Specific Populations (8.2) ] . • patients with known hypersensitivity to fenofibrate or fenofibric acid [see Warnings and Precautions (5.9) ].

Adverse Reactions

Adverse reactions > 2% and at least 1% greater than placebo: Abnormal liver tests, increased AST, increased ALT, increased CPK, and rhinitis ( 6 ). To report SUSPECTED ADVERSE REACTIONS, contact Mylan at 1-877-446-3679 (1-877-4-INFO-RX) or FDA at 1-800-FDA-1088 or www.fda.gov/medwatch.

Drug Interactions

In vitro studies using human liver microsomes indicate that fenofibrate and fenofibric acid are not inhibitors of cytochrome (CYP) P450 isoforms CYP3A4, CYP2D6, CYP2E1, or CYP1A2. They are weak inhibitors of CYP2C8, CYP2C19 and CYP2A6, and mild-to-moderate inhibitors of CYP2C9 at therapeutic concentrations. Table 2 describes the effects of co-administered drugs on fenofibric acid systemic exposure. Table 3 describes the effects of co-administered fenofibrate or fenofibric acid on other drugs. Table 2. Effects of Co-Administered Drugs on Fenofibric Acid Systemic Exposure from Fenofibrate Administration Co-Administered Drug Dosage Regimen of Co-Administered Drug Dosage Regimen of Fenofibrate Changes in Fenofibric Acid Exposure AUC C max Lipid-lowering agents Atorvastatin 20 mg once daily for 10 days Fenofibrate 160 mg Fenofibrate oral tablet once daily for 10 days ↓ 2% ↓ 4% Pravastatin 40 mg as a single dose Fenofibrate 3 x 67 mg Fenofibrate oral micronized capsule as a single dose ↓ 1% ↓ 2% Fluvastatin 40 mg as a single dose Fenofibrate 160 mg as a single dose ↓ 2% ↓ 10% Anti-diabetic agents Glimepiride 1 mg as a single dose Fenofibrate 145 mg once daily for 10 days ↑ 1% ↓ 1% Metformin 850 mg three times daily for 10 days Fenofibrate 54 mg  three times daily for 10 days ↓ 9% ↓ 6% Rosiglitazone 8 mg once daily for 5 days Fenofibrate 145 mg   once daily for 14 days ↑ 10% ↑ 3% Table 3. Effects of Fenofibrate Co-Administration on Systemic Exposure of Other Drugs Dosage Regimen of Fenofibrate Dosage Regimen of Co-Administered Drug Change in Co-Administered Drug Exposure Analyte AUC C max Lipid-lowering agents Fenofibrate 160 mg Fenofibrate oral tablet once daily for 10 days Atorvastatin, 20 mg once daily for 10 days Atorvastatin ↓ 17% 0% Fenofibrate 3 x 67 mg Fenofibrate oral micronized capsule as a single dose Pravastatin, 40 mg as a single dose Pravastatin ↑ 13% ↑ 13% 3α-Hydroxyl-iso-pravastatin ↑ 26% ↑ 29% Fenofibrate 160 mg as a single dose Fluvastatin, 40 mg as a single dose (+)-3R, 5S-Fluvastatin ↑ 15% ↑ 16% Anti-diabetic agents Fenofibrate 145 mg once daily for 10 days Glimepiride, 1 mg as a single dose Glimepiride ↑ 35% ↑ 18% Fenofibrate 54 mg three times daily for 10 days Metformin, 850 mg three times daily for 10 days Metformin ↑ 3% ↑ 6% Fenofibrate 145 mg once daily for 14 days Rosiglitazone, 8 mg once daily for 5 days Rosiglitazone ↑ 6% ↓ 1%

Storage and Handling

Fenofibrate Tablets, USP The 145 mg tablets are white, film-coated, oval, unscored tablets debossed with M on one side of the tablet and FE4 on the other side. NDC: 71335-2016-1: 30 Tablets in a BOTTLE NDC: 71335-2016-2: 90 Tablets in a BOTTLE NDC: 71335-2016-3: 28 Tablets in a BOTTLE Storage: Store at 20° to 25°C (68° to 77°F). [See USP Controlled Room Temperature.] Keep out of the reach of children. Protect from moisture. Dispense in a tight, light-resistant container as defined in the USP using a child-resistant closure. Repackaged/Relabeled by: Bryant Ranch Prepack, Inc. Burbank, CA 91504

How Supplied

Fenofibrate Tablets, USP The 145 mg tablets are white, film-coated, oval, unscored tablets debossed with M on one side of the tablet and FE4 on the other side. NDC: 71335-2016-1: 30 Tablets in a BOTTLE NDC: 71335-2016-2: 90 Tablets in a BOTTLE NDC: 71335-2016-3: 28 Tablets in a BOTTLE Storage: Store at 20° to 25°C (68° to 77°F). [See USP Controlled Room Temperature.] Keep out of the reach of children. Protect from moisture. Dispense in a tight, light-resistant container as defined in the USP using a child-resistant closure. Repackaged/Relabeled by: Bryant Ranch Prepack, Inc. Burbank, CA 91504

Description

Warnings and Precautions, Hepatotoxicity ( 5.2 )                                  03/2021

Race

The influence of race on the pharmacokinetics of fenofibrate has not been studied, however fenofibrate is not metabolized by enzymes known for exhibiting inter-ethnic variability.

Gender

No pharmacokinetic difference between males and females has been observed for fenofibrate.

Section 42229-5

The following serious adverse reactions are described below and elsewhere in the labeling:

Section 43683-2

Warnings and Precautions, Hepatotoxicity (5.2)                                  03/2021

Section 51945-4

Fenofibrate 145mg Tablet

Absorption

The absolute bioavailability of fenofibrate cannot be determined as the compound is virtually insoluble in aqueous media suitable for injection. However, fenofibrate is well absorbed from the gastrointestinal tract. Following oral administration in healthy volunteers, approximately 60% of a single dose of radiolabelled fenofibrate appeared in urine, primarily as fenofibric acid and its glucuronate conjugate, and 25% was excreted in the feces. Peak plasma levels of fenofibric acid occur within 6 to 8 hours after administration.

Exposure to fenofibric acid in plasma, as measured by Cmax and AUC, is not significantly different when a single 145 mg dose of fenofibrate is administered under fasting or nonfasting conditions.

Geriatrics

In elderly volunteers 77 to 87 years of age, the oral clearance of fenofibric acid following a single oral dose of fenofibrate was 1.2 L/h, which compares to 1.1 L/h in young adults. This indicates that a similar dosage regimen can be used in elderly with normal renal function, without increasing accumulation of the drug or metabolites [see Dosage and Administration (2.5) and Use in Specific Populations (8.5)].

Metabolism

Following oral administration, fenofibrate is rapidly hydrolyzed by esterases to the active metabolite, fenofibric acid; no unchanged fenofibrate is detected in plasma.

Fenofibric acid is primarily conjugated with glucuronic acid and then excreted in urine. A small amount of fenofibric acid is reduced at the carbonyl moiety to a benzhydrol metabolite which is, in turn, conjugated with glucuronic acid and excreted in urine.

In vivo metabolism data indicate that neither fenofibrate nor fenofibric acid undergo oxidative metabolism (e.g., cytochrome P450) to a significant extent.

Pediatrics

The pharmacokinetics of fenofibrate tablets have not been studied in pediatric populations.

Animal Data

In pregnant rats given oral dietary doses of 14, 127, and 361 mg/kg/day from gestation day 6-15 during the period of organogenesis, no adverse developmental findings were observed at 14 mg/kg/day (less than the clinical exposure at the maximum recommended human dose [MRHD] of 300 mg fenofibrate daily, equivalent to 145 mg fenofibrate tablets daily, based on body surface area comparisons). Increased fetal skeletal malformations were observed at maternally toxic doses (361 mg/kg/day, corresponding to 12 times the clinical exposure at the MRHD) that significantly suppressed maternal body weight gain.

In pregnant rabbits given oral gavage doses of 15, 150, and 300 mg/kg/day from gestation day 6-18 during the period of organogenesis and allowed to deliver, no adverse developmental findings were observed at 15 mg/kg/day (a dose that approximates the clinical exposure at the MRHD, based on body surface area comparisons). Aborted litters were observed at maternally toxic doses (≥ 150 mg/kg/day, corresponding to ≥ 10 times the clinical exposure at the MRHD) that suppressed maternal body weight gain.

In pregnant rats given oral dietary doses of 15, 75, and 300 mg/kg/day from gestation day 15 through lactation day 21 (weaning), no adverse developmental effects were observed at 15 mg/kg/day (less than the clinical exposure at the MRHD, based on body surface area comparisons), despite maternal toxicity (decreased weight gain). Post-implantation loss was observed at ≥ 75 mg/kg/day (≥ 2 times the clinical exposure at the MRHD) in the presence of maternal toxicity (decreased weight gain). Decreased pup survival was noted at 300 mg/kg/day (10 times the clinical exposure at the MRHD), which was associated with decreased maternal body weight gain/maternal neglect.

Elimination

After absorption, fenofibrate is mainly excreted in the urine in the form of metabolites, primarily fenofibric acid and fenofibric acid glucuronide. After administration of radiolabelled fenofibrate, approximately 60% of the dose appeared in the urine and 25% was excreted in the feces.

Fenofibric acid is eliminated with a half-life of 20 hours, allowing once daily dosing.

Distribution

Upon multiple dosing of fenofibrate, fenofibric acid steady state is achieved within 9 days. Plasma concentrations of fenofibric acid at steady state are approximately double of those following a single dose. Serum protein binding was approximately 99% in normal and hyperlipidemic subjects.

Risk Summary

Limited available data with fenofibrate use in pregnant women are insufficient to determine a drug associated risk of major birth defects, miscarriage or adverse maternal or fetal outcomes. In animal reproduction studies, no evidence of embryo-fetal toxicity was observed with oral administration of fenofibrate in rats and rabbits during organogenesis at doses less than or equivalent to the maximum recommended clinical dose of 145 mg daily, based on body surface area (mg/m2). Adverse reproductive outcomes occurred at higher doses in the presence of maternal toxicity (see Data). Fenofibrate tablets should be used during pregnancy only if the potential benefit justifies the potential risk to the fetus.

The estimated background risk of major birth defects and miscarriage for the indicated population is unknown. In the U.S. general population, the estimated background risk of major birth defects and miscarriage in clinically recognized pregnancies is 2-4% and 15-20%, respectively.

10 Overdosage

There is no specific treatment for overdose with fenofibrate tablets. General supportive care of the patient is indicated, including monitoring of vital signs and observation of clinical status, should an overdose occur. If indicated, elimination of unabsorbed drug should be achieved by emesis or gastric lavage; usual precautions should be observed to maintain the airway. Because fenofibric acid is highly bound to plasma proteins, hemodialysis should not be considered.

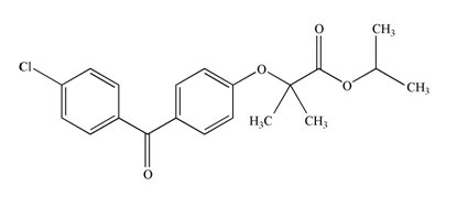
11 Description

Fenofibrate tablets, USP are a lipid regulating agent available as tablets for oral administration. Each tablet contains 48 mg or 145 mg of fenofibrate. The chemical name for fenofibrate is 2-[4-(4-chlorobenzoyl) phenoxy]-2-methyl-propanoic acid, 1-methylethyl ester with the following structural formula:

The molecular formula is C20H21O4Cl and the molecular weight is 360.8; fenofibrate is insoluble in water. The melting point is 79-82°C. Fenofibrate, USP is a white or almost white crystalline powder which is stable under ordinary conditions.

Inactive Ingredients: Each tablet contains croscarmellose sodium, crospovidone, hypromellose, lactose monohydrate, lecithin, magnesium stearate, microcrystalline cellulose, polyvinyl alcohol, sodium lauryl sulfate, sucrose, talc, titanium dioxide and xanthan gum.

7.4 Colchicine

Cases of myopathy, including rhabdomyolysis, have been reported with fenofibrates co-administered with colchicine, and caution should be exercised when prescribing fenofibrate with colchicine.

5.7 Pancreatitis

Pancreatitis has been reported in patients taking fenofibrate, gemfibrozil, and clofibrate. This occurrence may represent a failure of efficacy in patients with severe hypertriglyceridemia, a direct drug effect, or a secondary phenomenon mediated through biliary tract stone or sludge formation with obstruction of the common bile duct.

Renal Impairment

The pharmacokinetics of fenofibric acid was examined in patients with mild, moderate, and severe renal impairment. Patients with severe renal impairment (estimated glomerular filtration rate [eGFR] < 30 mL/min/1.73m2) showed 2.7-fold increase in exposure for fenofibric acid and increased accumulation of fenofibric acid during chronic dosing compared to that of healthy subjects. Patients with mild to moderate renal impairment (eGFR 30-59 mL/min/1.73m2) had similar exposure but an increase in the half-life for fenofibric acid compared to that of healthy subjects. Based on these findings, the use of fenofibrate tablets should be avoided in patients who have severe renal impairment and dose reduction is required in patients having mild to moderate renal impairment [see Dosage and Administration (2.4)].

8.4 Pediatric Use

Safety and effectiveness have not been established in pediatric patients.

8.5 Geriatric Use

Fenofibric acid is known to be substantially excreted by the kidney, and the risk of adverse reactions to this drug may be greater in patients with impaired renal function. Fenofibric acid exposure is not influenced by age. Since elderly patients have a higher incidence of renal impairment, dose selection for the elderly should be made on the basis of renal function [see Dosage and Administration (2.5) and Clinical Pharmacology (12.3)]. Elderly patients with normal renal function should require no dose modifications. Consider monitoring renal function in elderly patients taking fenofibrate tablets.

5.2 Hepatotoxicity

Serious drug-induced liver injury (DILI), including liver transplantation and death, have been reported postmarketing with fenofibrate tablets. DILI has been reported within the first few weeks of treatment or after several months of therapy and in some cases has reversed with discontinuation of fenofibrate tablets treatment. Patients with DILI have experienced signs and symptoms including dark urine, abnormal stool, jaundice, malaise, abdominal pain, myalgia, weight loss, pruritus, and nausea. Many patients had concurrent elevations of total bilirubin, serum alanine transaminase (ALT), and aspartate transaminase (AST). DILI has been characterized as hepatocellular, chronic active, and cholestatic hepatitis, and cirrhosis has occurred in association with chronic active hepatitis.

In clinical trials, fenofibrate at doses equivalent to 96 mg to 145 mg fenofibrate tablets daily has been associated with increases in serum AST or ALT. The incidence of increases in transaminases may be dose related [see Adverse Reactions (6.1)].

Fenofibrate tablets are contraindicated in patients with active liver disease, including those with primary biliary cirrhosis and unexplained persistent liver function abnormalities [see Contraindications (4)]. Monitor patient’s liver function, including serum ALT, AST, and total bilirubin, at baseline and periodically for the duration of therapy with fenofibrate tablets. Discontinue fenofibrate tablets if signs or symptoms of liver injury develop or if elevated enzyme levels persist (ALT or AST > 3 times the upper limit of normal, or if accompanied by elevation of bilirubin). Do not restart fenofibrate tablets in these patients if there is no alternative explanation for the liver injury.

5.5 Cholelithiasis

Fenofibrate, like clofibrate and gemfibrozil, may increase cholesterol excretion into the bile, leading to cholelithiasis. If cholelithiasis is suspected, gallbladder studies are indicated. Fenofibrate tablets therapy should be discontinued if gallstones are found.

Hepatic Impairment

No pharmacokinetic studies have been conducted in patients with hepatic impairment.

4 Contraindications

Fenofibrate tablets are contraindicated in:

6 Adverse Reactions

Adverse reactions > 2% and at least 1% greater than placebo: Abnormal liver tests, increased AST, increased ALT, increased CPK, and rhinitis (6).

To report SUSPECTED ADVERSE REACTIONS, contact Mylan at 1-877-446-3679 (1-877-4-INFO-RX) or FDA at 1-800-FDA-1088 or www.fda.gov/medwatch.

7 Drug Interactions
  • Coumarin anticoagulants: (7.1).
  • Immunosuppressants: (7.2).
  • Bile acid resins: (7.3).
5.4 Serum Creatinine

Elevations in serum creatinine have been reported in patients on fenofibrate. These elevations tend to return to baseline following discontinuation of fenofibrate. The clinical significance of these observations is unknown. Monitor renal function in patients with renal impairment taking fenofibrate tablets. Renal monitoring should also be considered for patients taking fenofibrate tablets at risk for renal insufficiency such as the elderly and patients with diabetes.

8.6 Renal Impairment

The use of fenofibrate tablets should be avoided in patients who have severe renal impairment [see Contraindications (4)]. Dose reduction is required in patients with mild to moderate renal impairment [see Dosage and Administration (2.4) and Clinical Pharmacology (12.3)]. Monitoring renal function in patients with renal impairment is recommended.

12.2 Pharmacodynamics

A variety of clinical studies have demonstrated that elevated levels of total-C, LDL-C, and apo B, an LDL membrane complex, are associated with human atherosclerosis. Similarly, decreased levels of HDL-C and its transport complex, apolipoprotein A (apo AI and apo AII) are associated with the development of atherosclerosis. Epidemiologic investigations have established that cardiovascular morbidity and mortality vary directly with the level of total-C, LDL-C, and TG, and inversely with the level of HDL-C. The independent effect of raising HDL-C or lowering triglycerides (TG) on the risk of cardiovascular morbidity and mortality has not been determined.

Fenofibric acid, the active metabolite of fenofibrate, produces reductions in total cholesterol, LDL cholesterol, apolipoprotein B, total triglycerides and triglyceride rich lipoprotein (VLDL) in treated patients. In addition, treatment with fenofibrate results in increases in high density lipoprotein (HDL) and apolipoproteins apoAI and apoAII.

12.3 Pharmacokinetics

Plasma concentrations of fenofibric acid after administration of three 48 mg or one 145 mg tablets are equivalent under fed conditions to one 200 mg micronized fenofibrate capsule.

Fenofibrate is a pro-drug of the active chemical moiety fenofibric acid. Fenofibrate is converted by ester hydrolysis in the body to fenofibric acid which is the active constituent measurable in the circulation.

2.5 Geriatric Patients

Dose selection for the elderly should be made on the basis of renal function [see Use in Specific Populations (8.5)].

7.2 Immunosuppressants

Immunosuppressants such as cyclosporine and tacrolimus can produce nephrotoxicity with decreases in creatinine clearance and rises in serum creatinine, and because renal excretion is the primary elimination route of fibrate drugs including fenofibrate tablets, there is a risk that an interaction will lead to deterioration of renal function. The benefits and risks of using fenofibrate tablets with immunosuppressants and other potentially nephrotoxic agents should be carefully considered, and the lowest effective dose employed and renal function monitored.

8.7 Hepatic Impairment

The use of fenofibrate tablets has not been evaluated in subjects with hepatic impairment [see Contraindications (4) and Clinical Pharmacology (12.3)].

Acute Hypersensitivity

Anaphylaxis and angioedema have been reported postmarketing with fenofibrate. In some cases, reactions were life-threatening and required emergency treatment. If a patient develops signs or symptoms of an acute hypersensitivity reaction, advise them to seek immediate medical attention and discontinue fenofibrate.

Drug Drug Interactions

In vitro studies using human liver microsomes indicate that fenofibrate and fenofibric acid are not inhibitors of cytochrome (CYP) P450 isoforms CYP3A4, CYP2D6, CYP2E1, or CYP1A2. They are weak inhibitors of CYP2C8, CYP2C19 and CYP2A6, and mild-to-moderate inhibitors of CYP2C9 at therapeutic concentrations.

Table 2 describes the effects of co-administered drugs on fenofibric acid systemic exposure. Table 3 describes the effects of co-administered fenofibrate or fenofibric acid on other drugs.

Table 2. Effects of Co-Administered Drugs on Fenofibric Acid Systemic Exposure from Fenofibrate Administration

Co-Administered Drug

Dosage Regimen of Co-Administered Drug

Dosage Regimen of Fenofibrate

Changes in Fenofibric Acid Exposure

AUC

Cmax

Lipid-lowering agents

Atorvastatin

20 mg once daily for 10 days

Fenofibrate 160 mg

Fenofibrate oral tablet
once daily for 10 days

↓ 2%

↓ 4%

Pravastatin

40 mg as a single dose

Fenofibrate 3 x 67 mg

Fenofibrate oral micronized capsule
as a single dose

↓ 1%

↓ 2%

Fluvastatin

40 mg as a single dose

Fenofibrate 160 mg

as a single dose

↓ 2%

↓ 10%

Anti-diabetic agents

Glimepiride

1 mg as a single dose

Fenofibrate 145 mg

once daily for 10 days

↑ 1%

↓ 1%

Metformin

850 mg three times daily for 10 days

Fenofibrate 54 mg 

three times daily for 10 days

↓ 9%

↓ 6%

Rosiglitazone

8 mg once daily for 5 days

Fenofibrate 145 mg

  once daily for 14 days

↑ 10%

↑ 3%

Table 3. Effects of Fenofibrate Co-Administration on Systemic Exposure of Other Drugs

Dosage Regimen of Fenofibrate

Dosage Regimen of Co-Administered Drug

Change in Co-Administered Drug Exposure

Analyte

AUC

Cmax

Lipid-lowering agents

Fenofibrate 160 mg

Fenofibrate oral tablet
once daily for 10 days

Atorvastatin, 20 mg once daily for 10 days

Atorvastatin

↓ 17%

0%

Fenofibrate 3 x 67 mg

Fenofibrate oral micronized capsule
as a single dose

Pravastatin, 40 mg as a single dose

Pravastatin

↑ 13%

↑ 13%

3α-Hydroxyl-iso-pravastatin

↑ 26%

↑ 29%

Fenofibrate 160 mg

as a single dose

Fluvastatin, 40 mg as a single dose

(+)-3R, 5S-Fluvastatin

↑ 15%

↑ 16%

Anti-diabetic agents

Fenofibrate 145 mg

once daily for 10 days

Glimepiride, 1 mg as a single dose

Glimepiride

↑ 35%

↑ 18%

Fenofibrate 54 mg

three times daily for 10 days

Metformin, 850 mg three times daily for 10 days

Metformin

↑ 3%

↑ 6%

Fenofibrate 145 mg

once daily for 14 days

Rosiglitazone, 8 mg once daily for 5 days

Rosiglitazone

↑ 6%

↓ 1%

1 Indications and Usage

Fenofibrate tablets are a peroxisome proliferator-activated receptor (PPAR) alpha agonist indicated as an adjunct to diet:

  • To reduce elevated LDL-C, Total-C, TG and Apo B, and to increase HDL-C in adult patients with primary hypercholesterolemia or mixed dyslipidemia (1.1).
  • For treatment of adult patients with severe hypertriglyceridemia (1.2).

Limitations of Use: Fenofibrate was not shown to reduce coronary heart disease morbidity and mortality in patients with type 2 diabetes mellitus (5.1).

5.8 Hematologic Changes

Mild to moderate hemoglobin, hematocrit, and white blood cell decreases have been observed in patients following initiation of fenofibrate therapy. However, these levels stabilize during long-term administration. Thrombocytopenia and agranulocytosis have been reported in individuals treated with fenofibrate. Periodic monitoring of red and white blood cell counts is recommended during the first 12 months of fenofibrate tablets administration.

12.1 Mechanism of Action

The active moiety of fenofibrate tablets is fenofibric acid. The pharmacological effects of fenofibric acid in both animals and humans have been extensively studied through oral administration of fenofibrate.

The lipid-modifying effects of fenofibric acid seen in clinical practice have been explained in vivo in transgenic mice and in vitro in human hepatocyte cultures by the activation of peroxisome proliferator activated receptor α (PPARα). Through this mechanism, fenofibrate increases lipolysis and elimination of triglyceride-rich particles from plasma by activating lipoprotein lipase and reducing production of apoprotein C-III (an inhibitor of lipoprotein lipase activity).

The resulting decrease in TG produces an alteration in the size and composition of LDL from small, dense particles (which are thought to be atherogenic due to their susceptibility to oxidation) to large, buoyant particles. These larger particles have a greater affinity for cholesterol receptors and are catabolized rapidly. Activation of PPARα also induces an increase in the synthesis of apolipoproteins A-I, A-II and HDL-cholesterol.

Fenofibrate also reduces serum uric acid levels in hyperuricemic and normal individuals by increasing the urinary excretion of uric acid.

Delayed Hypersensitivity

Severe cutaneous adverse drug reactions (SCAR), including Stevens-Johnson syndrome, toxic epidermal necrolysis, and Drug Reaction with Eosinophilia and Systemic Symptoms (DRESS), have been reported postmarketing, occurring days to weeks after initiation of fenofibrate. The cases of DRESS were associated with cutaneous reactions (such as rash or exfoliative dermatitis) and a combination of eosinophilia, fever, systemic organ involvement (renal, hepatic, or respiratory). Discontinue fenofibrate and treat patients appropriately if SCAR is suspected.

2.1 General Considerations

Patients should be placed on an appropriate lipid-lowering diet before receiving fenofibrate tablets, and should continue this diet during treatment with fenofibrate tablets. Fenofibrate tablets can be given without regard to meals.

The initial treatment for dyslipidemia is dietary therapy specific for the type of lipoprotein abnormality. Excess body weight and excess alcoholic intake may be important factors in hypertriglyceridemia and should be addressed prior to any drug therapy. Physical exercise can be an important ancillary measure. Diseases contributory to hyperlipidemia, such as hypothyroidism or diabetes mellitus should be looked for and adequately treated. Estrogen therapy, thiazide diuretics and beta-blockers, are sometimes associated with massive rises in plasma triglycerides, especially in subjects with familial hypertriglyceridemia. In such cases, discontinuation of the specific etiologic agent may obviate the need for specific drug therapy of hypertriglyceridemia.

Lipid levels should be monitored periodically and consideration should be given to reducing the dosage of fenofibrate tablets if lipid levels fall significantly below the targeted range.

Therapy should be withdrawn in patients who do not have an adequate response after two months of treatment with the maximum recommended dose of 145 mg once daily.

5 Warnings and Precautions
  • Hepatotoxicity: Serious drug-induced liver injury, including liver transplantation and death, has been reported with fenofibrate tablets. Monitor patient’s liver function, including serum ALT, AST, and total bilirubin, at baseline and periodically for the duration of therapy. Discontinue if signs or symptoms of liver injury develop or if elevated enzyme levels persist (5.2).
  • Myopathy and Rhabdomyolysis: Have been reported in patients taking fenofibrate. Risks are increased during co-administration with a statin (with a significantly higher rate observed for gemfibrozil), particularly in elderly patients and patients with diabetes, renal failure, or hypothyroidism (5.3).
  • Serum Creatinine: Fenofibrate tablets can reversibly increase serum creatinine levels (5.4). Monitor renal function periodically in patients with renal impairment (8.6).
  • Cholelithiasis: Fenofibrate tablets increase cholesterol excretion into the bile, leading to risk of cholelithiasis. If cholelithiasis is suspected, gallbladder studies are indicated (5.5).
  • Coumarin Anticoagulants: Use caution in concomitant treatment with oral coumarin anticoagulants. Adjust the dosage of coumarin anticoagulant to maintain the prothrombin time/INR at the desired level to prevent bleeding complications (5.6).
  • Hypersensitivity Reactions: Acute hypersensitivity reactions, including anaphylaxis and angioedema, and delayed hypersensitivity reactions, including severe cutaneous adverse drug reactions have been reported postmarketing. Some cases were life-threatening and required emergency treatment. Discontinue fenofibrate and treat patients appropriately if reactions occur (5.9).
Increases in Liver Enzymes

In a pooled analysis of 10 placebo-controlled trials, increases to > 3 times the upper limit of normal in ALT occurred in 5.3% of patients taking fenofibrate at doses equivalent to 96 mg to 145 mg fenofibrate tablets daily versus 1.1% of patients treated with placebo [see Warnings and Precautions (5.2)]. In an 8-week study, the incidence of ALT or AST elevations ≥ 3 times the upper limit of normal was 13% in patients receiving dosages equivalent to 96 mg to 145 mg fenofibrate tablets daily and was 0% in those receiving dosages equivalent to 48 mg or less fenofibrate tablets daily or placebo.

2 Dosage and Administration
  • Primary hypercholesterolemia or mixed dyslipidemia: Initial dose of 145 mg once daily (2.2).
  • Severe hypertriglyceridemia: Initial dose of 48 to 145 mg once daily. Maximum dose is 145 mg (2.3).
  • Renally impaired patients: Initial dose of 48 mg once daily (2.4).
  • Geriatric patients: Select the dose on the basis of renal function (2.5).
  • May be taken without regard to meals (2.1).
2.4 Impaired Renal Function

Treatment with fenofibrate tablets should be initiated at a dose of 48 mg per day in patients having mild to moderately impaired renal function, and increased only after evaluation of the effects on renal function and lipid levels at this dose. The use of fenofibrate tablets should be avoided in patients with severe renal impairment [see Use in Specific Populations (8.6) and Clinical Pharmacology (12.3)].

5.6 Coumarin Anticoagulants

Caution should be exercised when coumarin anticoagulants are given in conjunction with fenofibrate tablets because of the potentiation of coumarin-type anticoagulant effects in prolonging the Prothrombin Time/International Normalized Ratio (PT/INR). To prevent bleeding complications, frequent monitoring of PT/INR and dose adjustment of the anticoagulant are recommended until PT/INR has stabilized [see Drug Interactions (7.1)].

7.1 Coumarin Anticoagulants

Potentiation of coumarin-type anticoagulant effects has been observed with prolongation of the PT/INR.

Caution should be exercised when coumarin anticoagulants are given in conjunction with fenofibrate tablets. The dosage of the anticoagulants should be reduced to maintain the PT/INR at the desired level to prevent bleeding complications. Frequent PT/INR determinations are advisable until it has been definitely determined that the PT/INR has stabilized [see Warnings and Precautions (5.6)].

3 Dosage Forms and Strengths

Fenofibrate Tablets, USP are available containing 48 mg or 145 mg of fenofibrate, USP.

  • The 48 mg tablets are white, film-coated, oval, unscored tablets debossed with M on one side of the tablet and FE3 on the other side.
  • The 145 mg tablets are white, film-coated, oval, unscored tablets debossed with M on one side of the tablet and FE4 on the other side.
6.2 Postmarketing Experience

The following adverse reactions have been identified during postapproval use of fenofibrate. Because these reactions are reported voluntarily from a population of uncertain size, it is not always possible to reliably estimate their frequency or establish a causal relationship to drug exposure: myalgia, rhabdomyolysis, pancreatitis, acute renal failure, muscle spasm, hepatitis, cirrhosis, increased total bilirubin, anemia, arthralgia, decreases in hemoglobin, decreases in hematocrit, white blood cell decreases, asthenia, severely depressed HDL-cholesterol levels, and interstitial lung disease. Photosensitivity reactions have occurred days to months after initiation; in some of these cases, patients reported a prior photosensitivity reaction to ketoprofen.

7.3 Bile Acid Binding Resins

Since bile acid binding resins may bind other drugs given concurrently, patients should take fenofibrate tablets at least 1 hour before or 4 to 6 hours after a bile acid binding resin to avoid impeding their absorption.

8 Use in Specific Populations
  • Geriatric Use: Determine dose selection based on renal function (8.5).
  • Renal Impairment: Avoid use in severe renal impairment patients. Dose reduction is required in mild to moderate renal impairment patients (8.6).
6.1 Clinical Trials Experience

Because clinical studies are conducted under widely varying conditions, adverse reaction rates observed in the clinical studies of a drug cannot be directly compared to rates in the clinical studies of another drug and may not reflect the rates observed in practice.

Adverse events reported by 2% or more of patients treated with fenofibrate (and greater than placebo) during the double-blind, placebo-controlled trials, regardless of causality, are listed in Table 1 below. Adverse events led to discontinuation of treatment in 5.0% of patients treated with fenofibrate and in 3.0% treated with placebo. Increases in liver function tests were the most frequent events, causing discontinuation of fenofibrate treatment in 1.6% of patients in double-blind trials.

Table 1 Adverse Reactions Reported by 2% or More of Patients Treated with Fenofibrate and Greater than Placebo During the Double-Blind, Placebo-Controlled Trials

BODY SYSTEM

Adverse Reaction

Fenofibrate

Dosage equivalent to 145 mg fenofibrate tablets.

(N = 439)

Placebo

(N = 365)

BODY AS A WHOLE

    Abdominal Pain

4.6%

4.4%

    Back Pain

3.4%

2.5%

    Headache

3.2%

2.7%

DIGESTIVE

    Nausea

2.3%

1.9%

    Constipation

2.1%

1.4%

METABOLIC AND NUTRITIONAL DISORDERS

    Abnormal Liver Function Tests

7.5%

Significantly different from Placebo.

1.4%

    Increased ALT

3.0%

1.6%

    Increased CPK

3.0%

1.4%

    Increased AST

3.4%

0.5%

RESPIRATORY

    Respiratory Disorder

6.2%

5.5%

    Rhinitis

2.3%

1.1%

Urticaria was seen in 1.1% vs. 0%, and rash in 1.4% vs. 0.8% of fenofibrate and placebo patients respectively in controlled trials.

1.2 Severe Hypertriglyceridemia

Fenofibrate tablets are also indicated as adjunctive therapy to diet for treatment of adult patients with severe hypertriglyceridemia. Improving glycemic control in diabetic patients showing fasting chylomicronemia will usually obviate the need for pharmacologic intervention.

Markedly elevated levels of serum triglycerides (e.g., > 2,000 mg/dL) may increase the risk of developing pancreatitis. The effect of fenofibrate therapy on reducing this risk has not been adequately studied.

2.3 Severe Hypertriglyceridemia

The initial dose is 48 to 145 mg per day. Dosage should be individualized according to patient response, and should be adjusted if necessary following repeat lipid determinations at 4 to 8 week intervals. The maximum dose is 145 mg once daily.

5.10 Venothromboembolic Disease

In the FIELD trial, pulmonary embolus (PE) and deep vein thrombosis (DVT) were observed at higher rates in the fenofibrate- than the placebo-treated group. Of 9,795 patients enrolled in FIELD, there were 4,900 in the placebo group and 4,895 in the fenofibrate group. For DVT, there were 48 events (1%) in the placebo group and 67 (1%) in the fenofibrate group (p = 0.074); and for PE, there were 32 (0.7%) events in the placebo group and 53 (1%) in the fenofibrate group (p = 0.022).

In the Coronary Drug Project, a higher proportion of the clofibrate group experienced definite or suspected fatal or nonfatal pulmonary embolism or thrombophlebitis than the placebo group (5.2% vs. 3.3% at five years; p < 0.01).

5.3 Myopathy and Rhabdomyolysis

Fibrates increase the risk for myopathy and have been associated with rhabdomyolysis. The risk for serious muscle toxicity appears to be increased in elderly patients and in patients with diabetes, renal insufficiency, or hypothyroidism.

Myopathy should be considered in any patient with diffuse myalgias, muscle tenderness or weakness, and/or marked elevations of creatine phosphokinase (CPK) levels.

Patients should be advised to report promptly unexplained muscle pain, tenderness or weakness, particularly if accompanied by malaise or fever. CPK levels should be assessed in patients reporting these symptoms, and fenofibrate tablets therapy should be discontinued if markedly elevated CPK levels occur or myopathy/myositis is suspected or diagnosed.

Data from observational studies indicate that the risk for rhabdomyolysis is increased when fibrates, in particular gemfibrozil, are co-administered with a statin. The combination should be avoided unless the benefit of further alterations in lipid levels is likely to outweigh the increased risk of this drug combination [see Clinical Pharmacology (12.3)].

Cases of myopathy, including rhabdomyolysis, have been reported with fenofibrates co-administered with colchicine, and caution should be exercised when prescribing fenofibrate with colchicine [see Drug Interactions (7.4)].

1.3 Important Limitations of Use

Fenofibrate at a dose equivalent to 145 mg of fenofibrate tablets was not shown to reduce coronary heart disease morbidity and mortality in a large, randomized controlled trial of patients with type 2 diabetes mellitus [see Warnings and Precautions (5.1)].

14.2 Severe Hypertriglyceridemia

The effects of fenofibrate on serum triglycerides were studied in two randomized, double-blind, placebo-controlled clinical trials of 147 hypertriglyceridemic patients. Patients were treated for eight weeks under protocols that differed only in that one entered patients with baseline TG levels of 500 to 1500 mg/dL, and the other TG levels of 350 to 500 mg/dL. In patients with hypertriglyceridemia and normal cholesterolemia with or without hyperchylomicronemia, treatment with fenofibrate at dosages equivalent to fenofibrate tablets 145 mg per day decreased primarily very low density lipoprotein (VLDL) triglycerides and VLDL cholesterol. Treatment of patients with elevated triglycerides often results in an increase of LDL-C (see Table 5).

Table 5. Effects of Fenofibrate Tablets in Patients with Severe Hypertriglyceridemia

Study 1

Placebo

Fenofibrate Tablets

Baseline TG levels 350 to 499 mg/dL

N

Baseline (Mean)

Endpoint (Mean)

% Change (Mean)

N

Baseline (Mean)

Endpoint (Mean)

% Change (Mean)

Triglycerides

28

449

450

-0.5

27

432

223

-46.2

p = < 0.05 vs. Placebo

VLDL Triglycerides

19

367

350

2.7

19

350

178

-44.1

Total Cholesterol

28

255

261

2.8

27

252

227

-9.1

HDL Cholesterol

28

35

36

4

27

34

40

19.6

LDL Cholesterol

28

120

129

12

27

128

137

14.5

VLDL Cholesterol

27

99

99

5.8

27

92

46

-44.7

Study 2

Placebo

Fenofibrate Tablets

Baseline TG levels 500 to 1500 mg/dL

N

Baseline (Mean)

Endpoint (Mean)

% Change (Mean)

N

Baseline (Mean)

Endpoint (Mean)

% Change (Mean)

Triglycerides

44

710

750

7.2

48

726

308

-54.5

VLDL Triglycerides

29

537

571

18.7

33

543

205

-50.6

Total Cholesterol

44

272

271

0.4

48

261

223

-13.8

HDL Cholesterol

44

27

28

5.0

48

30

36

22.9

LDL Cholesterol

42

100

90

-4.2

45

103

131

45.0

VLDL Cholesterol

42

137

142

11.0

45

126

54

-49.4

The effect of fenofibrate tablets on cardiovascular morbidity and mortality has not been determined.

17 Patient Counseling Information

Patients should be advised:

  • of the potential benefits and risks of fenofibrate tablets.
  • not to use fenofibrate tablets if there is a known hypersensitivity to fenofibrate or fenofibric acid.
  • of medications that should not be taken in combination with fenofibrate tablets.
  • that if they are taking coumarin anticoagulants, fenofibrate tablets may increase their anti-coagulant effect, and increased monitoring may be necessary.
  • to continue to follow an appropriate lipid-modifying diet while taking fenofibrate tablets.
  • to take fenofibrate tablets once daily, without regard to food, at the prescribed dose, swallowing each tablet whole.
  • to return to their physician’s office for routine monitoring.
  • to inform their physician of all medications, supplements, and herbal preparations they are taking and any change to their medical condition. Patients should also be advised to inform their physicians prescribing a new medication that they are taking fenofibrate tablets.
  • to inform their physician of symptoms of liver injury (e.g., jaundice, abdominal pain, nausea, malaise, dark urine, abnormal stool, pruritus); any muscle pain, tenderness, or weakness; or any other new symptoms.
  • not to breastfeed during treatment with fenofibrate tablets and for 5 days after the final dose.

Manufactured for:

Mylan Pharmaceuticals Inc.

Morgantown, WV 26505 U.S.A.

Manufactured by:

Mylan Laboratories Limited

Hyderabad—500 096, India



75080369

Revised: 6/2021

MX:FNFBR:R6

16 How Supplied/storage and Handling

Fenofibrate Tablets, USP

The 145 mg tablets are white, film-coated, oval, unscored tablets debossed with M on one side of the tablet and FE4 on the other side.

NDC: 71335-2016-1: 30 Tablets in a BOTTLE

NDC: 71335-2016-2: 90 Tablets in a BOTTLE

NDC: 71335-2016-3: 28 Tablets in a BOTTLE

Storage: Store at 20° to 25°C (68° to 77°F). [See USP Controlled Room Temperature.] Keep out of the reach of children. Protect from moisture.

Dispense in a tight, light-resistant container as defined in the USP using a child-resistant closure.

Repackaged/Relabeled by:

Bryant Ranch Prepack, Inc.

Burbank, CA 91504

5.1 Mortality and Coronary Heart Disease Morbidity

The effect of fenofibrate tablets on coronary heart disease morbidity and mortality and non-cardiovascular mortality has not been established.

The Action to Control Cardiovascular Risk in Diabetes Lipid (ACCORD Lipid) trial was a randomized placebo-controlled study of 5518 patients with type 2 diabetes mellitus on background statin therapy treated with fenofibrate. The mean duration of follow-up was 4.7 years. Fenofibrate plus statin combination therapy showed a non-significant 8% relative risk reduction in the primary outcome of major adverse cardiovascular events (MACE), a composite of non-fatal myocardial infarction, non-fatal stroke, and cardiovascular disease death (hazard ratio [HR] 0.92, 95% CI 0.79-1.08) (p = 0.32) as compared to statin monotherapy. In a gender subgroup analysis, the hazard ratio for MACE in men receiving combination therapy versus statin monotherapy was 0.82 (95% CI 0.69-0.99), and the hazard ratio for MACE in women receiving combination therapy versus statin monotherapy was 1.38 (95% CI 0.98-1.94) (interaction p = 0.01). The clinical significance of this subgroup finding is unclear.

The Fenofibrate Intervention and Event Lowering in Diabetes (FIELD) study was a 5-year randomized, placebo-controlled study of 9795 patients with type 2 diabetes mellitus treated with fenofibrate. Fenofibrate demonstrated a non-significant 11% relative reduction in the primary outcome of coronary heart disease events (hazard ratio [HR] 0.89, 95% CI 0.75-1.05, p = 0.16) and a significant 11% reduction in the secondary outcome of total cardiovascular disease events (HR 0.89 [0.80-0.99], p = 0.04). There was a non-significant 11% (HR 1.11 [0.95, 1.29], p = 0.18) and 19% (HR 1.19 [0.90, 1.57], p = 0.22) increase in total and coronary heart disease mortality, respectively, with fenofibrate as compared to placebo.

Because of chemical, pharmacological, and clinical similarities between fenofibrate tablets, clofibrate, and gemfibrozil, the adverse findings in 4 large randomized, placebo-controlled clinical studies with these other fibrate drugs may also apply to fenofibrate tablets.

In the Coronary Drug Project, a large study of post myocardial infarction of patients treated for 5 years with clofibrate, there was no difference in mortality seen between the clofibrate group and the placebo group. There was however, a difference in the rate of cholelithiasis and cholecystitis requiring surgery between the two groups (3.0% vs. 1.8%).

In a study conducted by the World Health Organization (WHO), 5000 subjects without known coronary artery disease were treated with placebo or clofibrate for 5 years and followed for an additional one year. There was a statistically significant, higher age – adjusted all-cause mortality in the clofibrate group compared with the placebo group (5.70% vs. 3.96%, p = < 0.01). Excess mortality was due to a 33% increase in non-cardiovascular causes, including malignancy, post-cholecystectomy complications, and pancreatitis. This appeared to confirm the higher risk of gallbladder disease seen in clofibrate-treated patients studied in the Coronary Drug Project.

The Helsinki Heart Study was a large (n = 4081) study of middle-aged men without a history of coronary artery disease. Subjects received either placebo or gemfibrozil for 5 years, with a 3.5 year open extension afterward. Total mortality was numerically higher in the gemfibrozil randomization group but did not achieve statistical significance (p = 0.19, 95% confidence interval for relative risk G:P = .91-1.64). Although cancer deaths trended higher in the gemfibrozil group (p = 0.11), cancers (excluding basal cell carcinoma) were diagnosed with equal frequency in both study groups. Due to the limited size of the study, the relative risk of death from any cause was not shown to be different than that seen in the 9 year follow-up data from World Health Organization study (RR = 1.29).

A secondary prevention component of the Helsinki Heart Study enrolled middle-aged men excluded from the primary prevention study because of known or suspected coronary heart disease. Subjects received gemfibrozil or placebo for 5 years. Although cardiac deaths trended higher in the gemfibrozil group, this was not statistically significant (hazard ratio 2.2, 95% confidence interval: 0.94-5.05). The rate of gallbladder surgery was not statistically significant between study groups, but did trend higher in the gemfibrozil group, (1.9% vs. 0.3%, p = 0.07).

5.11 Paradoxical Decreases in Hdl Cholesterol Levels

There have been postmarketing and clinical trial reports of severe decreases in HDL cholesterol levels (as low as 2 mg/dL) occurring in diabetic and non-diabetic patients initiated on fibrate therapy. The decrease in HDL-C is mirrored by a decrease in apolipoprotein A1. This decrease has been reported to occur within 2 weeks to years after initiation of fibrate therapy. The HDL-C levels remain depressed until fibrate therapy has been withdrawn; the response to withdrawal of fibrate therapy is rapid and sustained. The clinical significance of this decrease in HDL-C is unknown. It is recommended that HDL-C levels be checked within the first few months after initiation of fibrate therapy. If a severely depressed HDL-C level is detected, fibrate therapy should be withdrawn, and the HDL-C level monitored until it has returned to baseline, and fibrate therapy should not be re-initiated.

1.1 Primary Hypercholesterolemia Or Mixed Dyslipidemia

Fenofibrate tablets are indicated as adjunctive therapy to diet to reduce elevated low-density lipoprotein cholesterol (LDL-C), total cholesterol (Total-C), Triglycerides and apolipoprotein B (Apo B), and to increase high-density lipoprotein cholesterol (HDL-C) in adult patients with primary hypercholesterolemia or mixed dyslipidemia.

2.2 Primary Hypercholesterolemia Or Mixed Dyslipidemia

The initial dose of fenofibrate tablets is 145 mg once daily.

13.1 Carcinogenesis, Mutagenesis, Impairment of Fertility

Two dietary carcinogenicity studies have been conducted in rats with fenofibrate. In the first 24-month study, Wistar rats were dosed with fenofibrate at 10, 45, and 200 mg/kg/day, approximately 0.3, 1, and 6 times the maximum recommended human dose (MRHD) of 300 mg fenofibrate daily, equivalent to 145 mg fenofibrate tablets daily, based on body surface area comparisons. At a dose of 200 mg/kg/day (at 6 times the MRHD), the incidence of liver carcinomas was significantly increased in both sexes. A statistically significant increase in pancreatic carcinomas was observed in males at 1 and 6 times the MRHD; an increase in pancreatic adenomas and benign testicular interstitial cell tumors was observed at 6 times the MRHD in males. In a second 24-month rat carcinogenicity study in a different strain of rats (Sprague-Dawley), doses of 10 and 60 mg/kg/day (0.3 and 2 times the MRHD) produced significant increases in the incidence of pancreatic acinar adenomas in both sexes and increases in testicular interstitial cell tumors in males at 2 times the MRHD.

A 117-week carcinogenicity study was conducted in rats comparing three drugs: fenofibrate 10 and 60 mg/kg/day (0.3 and 2 times the MRHD, based on body surface area comparisons), clofibrate (400 mg/kg/day; 2 times the human dose), and gemfibrozil (250 mg/kg/day; 2 times the human dose, based on mg/m2 surface area). Fenofibrate increased pancreatic acinar adenomas in both sexes. Clofibrate increased hepatocellular carcinoma and pancreatic acinar adenomas in males and hepatic neoplastic nodules in females. Gemfibrozil increased hepatic neoplastic nodules in males and females, while all three drugs increased testicular interstitial cell tumors in males.

In a 21-month study in CF-1 mice, fenofibrate 10, 45, and 200 mg/kg/day (approximately 0.2, 1, and 3 times the MRHD, based on body surface area comparisons) significantly increased the liver carcinomas in both sexes at 3 times the MRHD. In a second 18-month study at 10, 60, and 200 mg/kg/day, fenofibrate significantly increased the liver carcinomas in male mice and liver adenomas in female mice at 3 times the MRHD.

Electron microscopy studies have demonstrated peroxisomal proliferation following fenofibrate administration to the rat. An adequate study to test for peroxisome proliferation in humans has not been done, but changes in peroxisome morphology and numbers have been observed in humans after treatment with other members of the fibrate class when liver biopsies were compared before and after treatment in the same individual.

Fenofibrate has been demonstrated to be devoid of mutagenic potential in the following tests: Ames, mouse lymphoma, chromosomal aberration and unscheduled DNA synthesis in primary rat hepatocytes.

In fertility studies rats were given oral dietary doses of fenofibrate, males received 61 days prior to mating and females 15 days prior to mating through weaning which resulted in no adverse effect on fertility at doses up to 300 mg/kg/day (10 times the MRHD, based on body surface area comparisons).

14.1 Primary Hypercholesterolemia (heterozygous Familial and Nonfamilial) and Mixed Dyslipidemia

The effects of fenofibrate at a dose equivalent to 145 mg fenofibrate tablets per day were assessed from four randomized, placebo-controlled, double-blind, parallel-group studies including patients with the following mean baseline lipid values: total-C 306.9 mg/dL; LDL-C 213.8 mg/dL; HDL-C 52.3 mg/dL; and triglycerides 191.0 mg/dL. Fenofibrate tablets therapy lowered LDL-C, Total-C, and the LDL-C/HDL-C ratio. Fenofibrate tablets therapy also lowered triglycerides and raised HDL-C (see Table 4).

Table 4. Mean Percent Change in Lipid Parameters at End of Treatment
 Duration of study treatment was 3 to 6 months.

Treatment Group

Total-C

LDL-C

HDL-C

TG

Pooled Cohort

Mean baseline lipid values (n = 646)

306.9 mg/dL

213.8 mg/dL

52.3 mg/dL

191.0 mg/dL

All FEN (n = 361)

- 18.7%

p = < 0.05 vs. Placebo

- 20.6%

+ 11.0%

- 28.9%

Placebo (n = 285)

- 0.4%

- 2.2%

+ 0.7%

+ 7.7%

Baseline LDL-C > 160 mg/dL and TG < 150 mg/dL

Mean baseline lipid values (n = 334)

307.7 mg/dL

227.7 mg/dL

58.1 mg/dL

101.7 mg/dL

All FEN (n = 193)

- 22.4%

- 31.4%

+ 9.8%

- 23.5%

Placebo (n = 141)

+ 0.2%

- 2.2%

+ 2.6%

+ 11.7%

Baseline LDL-C > 160 mg/dL and TG ≥ 150 mg/dL

Mean baseline lipid values (n = 242)

312.8 mg/dL

219.8 mg/dL

46.7 mg/dL

231.9 mg/dL

All FEN (n = 126)

- 16.8%

- 20.1%

+ 14.6%

- 35.9%

Placebo (n = 116)

- 3.0%

- 6.6%

+ 2.3%

+ 0.9%

In a subset of the subjects, measurements of apo B were conducted. Fenofibrate tablets treatment significantly reduced apo B from baseline to endpoint as compared with placebo (-25.1% vs. 2.4%, p < 0.0001, n = 213 and 143 respectively).


Structured Label Content

Race

The influence of race on the pharmacokinetics of fenofibrate has not been studied, however fenofibrate is not metabolized by enzymes known for exhibiting inter-ethnic variability.

Gender

No pharmacokinetic difference between males and females has been observed for fenofibrate.

Section 42229-5 (42229-5)

The following serious adverse reactions are described below and elsewhere in the labeling:

Section 43683-2 (43683-2)

Warnings and Precautions, Hepatotoxicity (5.2)                                  03/2021

Section 51945-4 (51945-4)

Fenofibrate 145mg Tablet

Absorption

The absolute bioavailability of fenofibrate cannot be determined as the compound is virtually insoluble in aqueous media suitable for injection. However, fenofibrate is well absorbed from the gastrointestinal tract. Following oral administration in healthy volunteers, approximately 60% of a single dose of radiolabelled fenofibrate appeared in urine, primarily as fenofibric acid and its glucuronate conjugate, and 25% was excreted in the feces. Peak plasma levels of fenofibric acid occur within 6 to 8 hours after administration.

Exposure to fenofibric acid in plasma, as measured by Cmax and AUC, is not significantly different when a single 145 mg dose of fenofibrate is administered under fasting or nonfasting conditions.

Geriatrics

In elderly volunteers 77 to 87 years of age, the oral clearance of fenofibric acid following a single oral dose of fenofibrate was 1.2 L/h, which compares to 1.1 L/h in young adults. This indicates that a similar dosage regimen can be used in elderly with normal renal function, without increasing accumulation of the drug or metabolites [see Dosage and Administration (2.5) and Use in Specific Populations (8.5)].

Metabolism

Following oral administration, fenofibrate is rapidly hydrolyzed by esterases to the active metabolite, fenofibric acid; no unchanged fenofibrate is detected in plasma.

Fenofibric acid is primarily conjugated with glucuronic acid and then excreted in urine. A small amount of fenofibric acid is reduced at the carbonyl moiety to a benzhydrol metabolite which is, in turn, conjugated with glucuronic acid and excreted in urine.

In vivo metabolism data indicate that neither fenofibrate nor fenofibric acid undergo oxidative metabolism (e.g., cytochrome P450) to a significant extent.

Pediatrics

The pharmacokinetics of fenofibrate tablets have not been studied in pediatric populations.

Animal Data

In pregnant rats given oral dietary doses of 14, 127, and 361 mg/kg/day from gestation day 6-15 during the period of organogenesis, no adverse developmental findings were observed at 14 mg/kg/day (less than the clinical exposure at the maximum recommended human dose [MRHD] of 300 mg fenofibrate daily, equivalent to 145 mg fenofibrate tablets daily, based on body surface area comparisons). Increased fetal skeletal malformations were observed at maternally toxic doses (361 mg/kg/day, corresponding to 12 times the clinical exposure at the MRHD) that significantly suppressed maternal body weight gain.

In pregnant rabbits given oral gavage doses of 15, 150, and 300 mg/kg/day from gestation day 6-18 during the period of organogenesis and allowed to deliver, no adverse developmental findings were observed at 15 mg/kg/day (a dose that approximates the clinical exposure at the MRHD, based on body surface area comparisons). Aborted litters were observed at maternally toxic doses (≥ 150 mg/kg/day, corresponding to ≥ 10 times the clinical exposure at the MRHD) that suppressed maternal body weight gain.

In pregnant rats given oral dietary doses of 15, 75, and 300 mg/kg/day from gestation day 15 through lactation day 21 (weaning), no adverse developmental effects were observed at 15 mg/kg/day (less than the clinical exposure at the MRHD, based on body surface area comparisons), despite maternal toxicity (decreased weight gain). Post-implantation loss was observed at ≥ 75 mg/kg/day (≥ 2 times the clinical exposure at the MRHD) in the presence of maternal toxicity (decreased weight gain). Decreased pup survival was noted at 300 mg/kg/day (10 times the clinical exposure at the MRHD), which was associated with decreased maternal body weight gain/maternal neglect.

Elimination

After absorption, fenofibrate is mainly excreted in the urine in the form of metabolites, primarily fenofibric acid and fenofibric acid glucuronide. After administration of radiolabelled fenofibrate, approximately 60% of the dose appeared in the urine and 25% was excreted in the feces.

Fenofibric acid is eliminated with a half-life of 20 hours, allowing once daily dosing.

Distribution

Upon multiple dosing of fenofibrate, fenofibric acid steady state is achieved within 9 days. Plasma concentrations of fenofibric acid at steady state are approximately double of those following a single dose. Serum protein binding was approximately 99% in normal and hyperlipidemic subjects.

Risk Summary

Limited available data with fenofibrate use in pregnant women are insufficient to determine a drug associated risk of major birth defects, miscarriage or adverse maternal or fetal outcomes. In animal reproduction studies, no evidence of embryo-fetal toxicity was observed with oral administration of fenofibrate in rats and rabbits during organogenesis at doses less than or equivalent to the maximum recommended clinical dose of 145 mg daily, based on body surface area (mg/m2). Adverse reproductive outcomes occurred at higher doses in the presence of maternal toxicity (see Data). Fenofibrate tablets should be used during pregnancy only if the potential benefit justifies the potential risk to the fetus.

The estimated background risk of major birth defects and miscarriage for the indicated population is unknown. In the U.S. general population, the estimated background risk of major birth defects and miscarriage in clinically recognized pregnancies is 2-4% and 15-20%, respectively.

10 Overdosage (10 OVERDOSAGE)

There is no specific treatment for overdose with fenofibrate tablets. General supportive care of the patient is indicated, including monitoring of vital signs and observation of clinical status, should an overdose occur. If indicated, elimination of unabsorbed drug should be achieved by emesis or gastric lavage; usual precautions should be observed to maintain the airway. Because fenofibric acid is highly bound to plasma proteins, hemodialysis should not be considered.

11 Description (11 DESCRIPTION)

Fenofibrate tablets, USP are a lipid regulating agent available as tablets for oral administration. Each tablet contains 48 mg or 145 mg of fenofibrate. The chemical name for fenofibrate is 2-[4-(4-chlorobenzoyl) phenoxy]-2-methyl-propanoic acid, 1-methylethyl ester with the following structural formula:

The molecular formula is C20H21O4Cl and the molecular weight is 360.8; fenofibrate is insoluble in water. The melting point is 79-82°C. Fenofibrate, USP is a white or almost white crystalline powder which is stable under ordinary conditions.

Inactive Ingredients: Each tablet contains croscarmellose sodium, crospovidone, hypromellose, lactose monohydrate, lecithin, magnesium stearate, microcrystalline cellulose, polyvinyl alcohol, sodium lauryl sulfate, sucrose, talc, titanium dioxide and xanthan gum.

7.4 Colchicine

Cases of myopathy, including rhabdomyolysis, have been reported with fenofibrates co-administered with colchicine, and caution should be exercised when prescribing fenofibrate with colchicine.

5.7 Pancreatitis

Pancreatitis has been reported in patients taking fenofibrate, gemfibrozil, and clofibrate. This occurrence may represent a failure of efficacy in patients with severe hypertriglyceridemia, a direct drug effect, or a secondary phenomenon mediated through biliary tract stone or sludge formation with obstruction of the common bile duct.

Renal Impairment

The pharmacokinetics of fenofibric acid was examined in patients with mild, moderate, and severe renal impairment. Patients with severe renal impairment (estimated glomerular filtration rate [eGFR] < 30 mL/min/1.73m2) showed 2.7-fold increase in exposure for fenofibric acid and increased accumulation of fenofibric acid during chronic dosing compared to that of healthy subjects. Patients with mild to moderate renal impairment (eGFR 30-59 mL/min/1.73m2) had similar exposure but an increase in the half-life for fenofibric acid compared to that of healthy subjects. Based on these findings, the use of fenofibrate tablets should be avoided in patients who have severe renal impairment and dose reduction is required in patients having mild to moderate renal impairment [see Dosage and Administration (2.4)].

8.4 Pediatric Use

Safety and effectiveness have not been established in pediatric patients.

8.5 Geriatric Use

Fenofibric acid is known to be substantially excreted by the kidney, and the risk of adverse reactions to this drug may be greater in patients with impaired renal function. Fenofibric acid exposure is not influenced by age. Since elderly patients have a higher incidence of renal impairment, dose selection for the elderly should be made on the basis of renal function [see Dosage and Administration (2.5) and Clinical Pharmacology (12.3)]. Elderly patients with normal renal function should require no dose modifications. Consider monitoring renal function in elderly patients taking fenofibrate tablets.

5.2 Hepatotoxicity

Serious drug-induced liver injury (DILI), including liver transplantation and death, have been reported postmarketing with fenofibrate tablets. DILI has been reported within the first few weeks of treatment or after several months of therapy and in some cases has reversed with discontinuation of fenofibrate tablets treatment. Patients with DILI have experienced signs and symptoms including dark urine, abnormal stool, jaundice, malaise, abdominal pain, myalgia, weight loss, pruritus, and nausea. Many patients had concurrent elevations of total bilirubin, serum alanine transaminase (ALT), and aspartate transaminase (AST). DILI has been characterized as hepatocellular, chronic active, and cholestatic hepatitis, and cirrhosis has occurred in association with chronic active hepatitis.

In clinical trials, fenofibrate at doses equivalent to 96 mg to 145 mg fenofibrate tablets daily has been associated with increases in serum AST or ALT. The incidence of increases in transaminases may be dose related [see Adverse Reactions (6.1)].

Fenofibrate tablets are contraindicated in patients with active liver disease, including those with primary biliary cirrhosis and unexplained persistent liver function abnormalities [see Contraindications (4)]. Monitor patient’s liver function, including serum ALT, AST, and total bilirubin, at baseline and periodically for the duration of therapy with fenofibrate tablets. Discontinue fenofibrate tablets if signs or symptoms of liver injury develop or if elevated enzyme levels persist (ALT or AST > 3 times the upper limit of normal, or if accompanied by elevation of bilirubin). Do not restart fenofibrate tablets in these patients if there is no alternative explanation for the liver injury.

5.5 Cholelithiasis

Fenofibrate, like clofibrate and gemfibrozil, may increase cholesterol excretion into the bile, leading to cholelithiasis. If cholelithiasis is suspected, gallbladder studies are indicated. Fenofibrate tablets therapy should be discontinued if gallstones are found.

Hepatic Impairment

No pharmacokinetic studies have been conducted in patients with hepatic impairment.

4 Contraindications (4 CONTRAINDICATIONS)

Fenofibrate tablets are contraindicated in:

6 Adverse Reactions (6 ADVERSE REACTIONS)

Adverse reactions > 2% and at least 1% greater than placebo: Abnormal liver tests, increased AST, increased ALT, increased CPK, and rhinitis (6).

To report SUSPECTED ADVERSE REACTIONS, contact Mylan at 1-877-446-3679 (1-877-4-INFO-RX) or FDA at 1-800-FDA-1088 or www.fda.gov/medwatch.

7 Drug Interactions (7 DRUG INTERACTIONS)
  • Coumarin anticoagulants: (7.1).
  • Immunosuppressants: (7.2).
  • Bile acid resins: (7.3).
5.4 Serum Creatinine

Elevations in serum creatinine have been reported in patients on fenofibrate. These elevations tend to return to baseline following discontinuation of fenofibrate. The clinical significance of these observations is unknown. Monitor renal function in patients with renal impairment taking fenofibrate tablets. Renal monitoring should also be considered for patients taking fenofibrate tablets at risk for renal insufficiency such as the elderly and patients with diabetes.

8.6 Renal Impairment

The use of fenofibrate tablets should be avoided in patients who have severe renal impairment [see Contraindications (4)]. Dose reduction is required in patients with mild to moderate renal impairment [see Dosage and Administration (2.4) and Clinical Pharmacology (12.3)]. Monitoring renal function in patients with renal impairment is recommended.

12.2 Pharmacodynamics

A variety of clinical studies have demonstrated that elevated levels of total-C, LDL-C, and apo B, an LDL membrane complex, are associated with human atherosclerosis. Similarly, decreased levels of HDL-C and its transport complex, apolipoprotein A (apo AI and apo AII) are associated with the development of atherosclerosis. Epidemiologic investigations have established that cardiovascular morbidity and mortality vary directly with the level of total-C, LDL-C, and TG, and inversely with the level of HDL-C. The independent effect of raising HDL-C or lowering triglycerides (TG) on the risk of cardiovascular morbidity and mortality has not been determined.

Fenofibric acid, the active metabolite of fenofibrate, produces reductions in total cholesterol, LDL cholesterol, apolipoprotein B, total triglycerides and triglyceride rich lipoprotein (VLDL) in treated patients. In addition, treatment with fenofibrate results in increases in high density lipoprotein (HDL) and apolipoproteins apoAI and apoAII.

12.3 Pharmacokinetics

Plasma concentrations of fenofibric acid after administration of three 48 mg or one 145 mg tablets are equivalent under fed conditions to one 200 mg micronized fenofibrate capsule.

Fenofibrate is a pro-drug of the active chemical moiety fenofibric acid. Fenofibrate is converted by ester hydrolysis in the body to fenofibric acid which is the active constituent measurable in the circulation.

2.5 Geriatric Patients

Dose selection for the elderly should be made on the basis of renal function [see Use in Specific Populations (8.5)].

7.2 Immunosuppressants

Immunosuppressants such as cyclosporine and tacrolimus can produce nephrotoxicity with decreases in creatinine clearance and rises in serum creatinine, and because renal excretion is the primary elimination route of fibrate drugs including fenofibrate tablets, there is a risk that an interaction will lead to deterioration of renal function. The benefits and risks of using fenofibrate tablets with immunosuppressants and other potentially nephrotoxic agents should be carefully considered, and the lowest effective dose employed and renal function monitored.

8.7 Hepatic Impairment

The use of fenofibrate tablets has not been evaluated in subjects with hepatic impairment [see Contraindications (4) and Clinical Pharmacology (12.3)].

Acute Hypersensitivity

Anaphylaxis and angioedema have been reported postmarketing with fenofibrate. In some cases, reactions were life-threatening and required emergency treatment. If a patient develops signs or symptoms of an acute hypersensitivity reaction, advise them to seek immediate medical attention and discontinue fenofibrate.

Drug Drug Interactions (Drug-Drug Interactions)

In vitro studies using human liver microsomes indicate that fenofibrate and fenofibric acid are not inhibitors of cytochrome (CYP) P450 isoforms CYP3A4, CYP2D6, CYP2E1, or CYP1A2. They are weak inhibitors of CYP2C8, CYP2C19 and CYP2A6, and mild-to-moderate inhibitors of CYP2C9 at therapeutic concentrations.

Table 2 describes the effects of co-administered drugs on fenofibric acid systemic exposure. Table 3 describes the effects of co-administered fenofibrate or fenofibric acid on other drugs.

Table 2. Effects of Co-Administered Drugs on Fenofibric Acid Systemic Exposure from Fenofibrate Administration

Co-Administered Drug

Dosage Regimen of Co-Administered Drug

Dosage Regimen of Fenofibrate

Changes in Fenofibric Acid Exposure

AUC

Cmax

Lipid-lowering agents

Atorvastatin

20 mg once daily for 10 days

Fenofibrate 160 mg

Fenofibrate oral tablet
once daily for 10 days

↓ 2%

↓ 4%

Pravastatin

40 mg as a single dose

Fenofibrate 3 x 67 mg

Fenofibrate oral micronized capsule
as a single dose

↓ 1%

↓ 2%

Fluvastatin

40 mg as a single dose

Fenofibrate 160 mg

as a single dose

↓ 2%

↓ 10%

Anti-diabetic agents

Glimepiride

1 mg as a single dose

Fenofibrate 145 mg

once daily for 10 days

↑ 1%

↓ 1%

Metformin

850 mg three times daily for 10 days

Fenofibrate 54 mg 

three times daily for 10 days

↓ 9%

↓ 6%

Rosiglitazone

8 mg once daily for 5 days

Fenofibrate 145 mg

  once daily for 14 days

↑ 10%

↑ 3%

Table 3. Effects of Fenofibrate Co-Administration on Systemic Exposure of Other Drugs

Dosage Regimen of Fenofibrate

Dosage Regimen of Co-Administered Drug

Change in Co-Administered Drug Exposure

Analyte

AUC

Cmax

Lipid-lowering agents

Fenofibrate 160 mg

Fenofibrate oral tablet
once daily for 10 days

Atorvastatin, 20 mg once daily for 10 days

Atorvastatin

↓ 17%

0%

Fenofibrate 3 x 67 mg

Fenofibrate oral micronized capsule
as a single dose

Pravastatin, 40 mg as a single dose

Pravastatin

↑ 13%

↑ 13%

3α-Hydroxyl-iso-pravastatin

↑ 26%

↑ 29%

Fenofibrate 160 mg

as a single dose

Fluvastatin, 40 mg as a single dose

(+)-3R, 5S-Fluvastatin

↑ 15%

↑ 16%

Anti-diabetic agents

Fenofibrate 145 mg

once daily for 10 days

Glimepiride, 1 mg as a single dose

Glimepiride

↑ 35%

↑ 18%

Fenofibrate 54 mg

three times daily for 10 days

Metformin, 850 mg three times daily for 10 days

Metformin

↑ 3%

↑ 6%

Fenofibrate 145 mg

once daily for 14 days

Rosiglitazone, 8 mg once daily for 5 days

Rosiglitazone

↑ 6%

↓ 1%

1 Indications and Usage (1 INDICATIONS AND USAGE)

Fenofibrate tablets are a peroxisome proliferator-activated receptor (PPAR) alpha agonist indicated as an adjunct to diet:

  • To reduce elevated LDL-C, Total-C, TG and Apo B, and to increase HDL-C in adult patients with primary hypercholesterolemia or mixed dyslipidemia (1.1).
  • For treatment of adult patients with severe hypertriglyceridemia (1.2).

Limitations of Use: Fenofibrate was not shown to reduce coronary heart disease morbidity and mortality in patients with type 2 diabetes mellitus (5.1).

5.8 Hematologic Changes

Mild to moderate hemoglobin, hematocrit, and white blood cell decreases have been observed in patients following initiation of fenofibrate therapy. However, these levels stabilize during long-term administration. Thrombocytopenia and agranulocytosis have been reported in individuals treated with fenofibrate. Periodic monitoring of red and white blood cell counts is recommended during the first 12 months of fenofibrate tablets administration.

12.1 Mechanism of Action

The active moiety of fenofibrate tablets is fenofibric acid. The pharmacological effects of fenofibric acid in both animals and humans have been extensively studied through oral administration of fenofibrate.

The lipid-modifying effects of fenofibric acid seen in clinical practice have been explained in vivo in transgenic mice and in vitro in human hepatocyte cultures by the activation of peroxisome proliferator activated receptor α (PPARα). Through this mechanism, fenofibrate increases lipolysis and elimination of triglyceride-rich particles from plasma by activating lipoprotein lipase and reducing production of apoprotein C-III (an inhibitor of lipoprotein lipase activity).

The resulting decrease in TG produces an alteration in the size and composition of LDL from small, dense particles (which are thought to be atherogenic due to their susceptibility to oxidation) to large, buoyant particles. These larger particles have a greater affinity for cholesterol receptors and are catabolized rapidly. Activation of PPARα also induces an increase in the synthesis of apolipoproteins A-I, A-II and HDL-cholesterol.

Fenofibrate also reduces serum uric acid levels in hyperuricemic and normal individuals by increasing the urinary excretion of uric acid.

Delayed Hypersensitivity

Severe cutaneous adverse drug reactions (SCAR), including Stevens-Johnson syndrome, toxic epidermal necrolysis, and Drug Reaction with Eosinophilia and Systemic Symptoms (DRESS), have been reported postmarketing, occurring days to weeks after initiation of fenofibrate. The cases of DRESS were associated with cutaneous reactions (such as rash or exfoliative dermatitis) and a combination of eosinophilia, fever, systemic organ involvement (renal, hepatic, or respiratory). Discontinue fenofibrate and treat patients appropriately if SCAR is suspected.

2.1 General Considerations

Patients should be placed on an appropriate lipid-lowering diet before receiving fenofibrate tablets, and should continue this diet during treatment with fenofibrate tablets. Fenofibrate tablets can be given without regard to meals.

The initial treatment for dyslipidemia is dietary therapy specific for the type of lipoprotein abnormality. Excess body weight and excess alcoholic intake may be important factors in hypertriglyceridemia and should be addressed prior to any drug therapy. Physical exercise can be an important ancillary measure. Diseases contributory to hyperlipidemia, such as hypothyroidism or diabetes mellitus should be looked for and adequately treated. Estrogen therapy, thiazide diuretics and beta-blockers, are sometimes associated with massive rises in plasma triglycerides, especially in subjects with familial hypertriglyceridemia. In such cases, discontinuation of the specific etiologic agent may obviate the need for specific drug therapy of hypertriglyceridemia.

Lipid levels should be monitored periodically and consideration should be given to reducing the dosage of fenofibrate tablets if lipid levels fall significantly below the targeted range.

Therapy should be withdrawn in patients who do not have an adequate response after two months of treatment with the maximum recommended dose of 145 mg once daily.

5 Warnings and Precautions (5 WARNINGS AND PRECAUTIONS)
  • Hepatotoxicity: Serious drug-induced liver injury, including liver transplantation and death, has been reported with fenofibrate tablets. Monitor patient’s liver function, including serum ALT, AST, and total bilirubin, at baseline and periodically for the duration of therapy. Discontinue if signs or symptoms of liver injury develop or if elevated enzyme levels persist (5.2).
  • Myopathy and Rhabdomyolysis: Have been reported in patients taking fenofibrate. Risks are increased during co-administration with a statin (with a significantly higher rate observed for gemfibrozil), particularly in elderly patients and patients with diabetes, renal failure, or hypothyroidism (5.3).
  • Serum Creatinine: Fenofibrate tablets can reversibly increase serum creatinine levels (5.4). Monitor renal function periodically in patients with renal impairment (8.6).
  • Cholelithiasis: Fenofibrate tablets increase cholesterol excretion into the bile, leading to risk of cholelithiasis. If cholelithiasis is suspected, gallbladder studies are indicated (5.5).
  • Coumarin Anticoagulants: Use caution in concomitant treatment with oral coumarin anticoagulants. Adjust the dosage of coumarin anticoagulant to maintain the prothrombin time/INR at the desired level to prevent bleeding complications (5.6).
  • Hypersensitivity Reactions: Acute hypersensitivity reactions, including anaphylaxis and angioedema, and delayed hypersensitivity reactions, including severe cutaneous adverse drug reactions have been reported postmarketing. Some cases were life-threatening and required emergency treatment. Discontinue fenofibrate and treat patients appropriately if reactions occur (5.9).
Increases in Liver Enzymes

In a pooled analysis of 10 placebo-controlled trials, increases to > 3 times the upper limit of normal in ALT occurred in 5.3% of patients taking fenofibrate at doses equivalent to 96 mg to 145 mg fenofibrate tablets daily versus 1.1% of patients treated with placebo [see Warnings and Precautions (5.2)]. In an 8-week study, the incidence of ALT or AST elevations ≥ 3 times the upper limit of normal was 13% in patients receiving dosages equivalent to 96 mg to 145 mg fenofibrate tablets daily and was 0% in those receiving dosages equivalent to 48 mg or less fenofibrate tablets daily or placebo.

2 Dosage and Administration (2 DOSAGE AND ADMINISTRATION)
  • Primary hypercholesterolemia or mixed dyslipidemia: Initial dose of 145 mg once daily (2.2).
  • Severe hypertriglyceridemia: Initial dose of 48 to 145 mg once daily. Maximum dose is 145 mg (2.3).
  • Renally impaired patients: Initial dose of 48 mg once daily (2.4).
  • Geriatric patients: Select the dose on the basis of renal function (2.5).
  • May be taken without regard to meals (2.1).
2.4 Impaired Renal Function

Treatment with fenofibrate tablets should be initiated at a dose of 48 mg per day in patients having mild to moderately impaired renal function, and increased only after evaluation of the effects on renal function and lipid levels at this dose. The use of fenofibrate tablets should be avoided in patients with severe renal impairment [see Use in Specific Populations (8.6) and Clinical Pharmacology (12.3)].

5.6 Coumarin Anticoagulants

Caution should be exercised when coumarin anticoagulants are given in conjunction with fenofibrate tablets because of the potentiation of coumarin-type anticoagulant effects in prolonging the Prothrombin Time/International Normalized Ratio (PT/INR). To prevent bleeding complications, frequent monitoring of PT/INR and dose adjustment of the anticoagulant are recommended until PT/INR has stabilized [see Drug Interactions (7.1)].

7.1 Coumarin Anticoagulants

Potentiation of coumarin-type anticoagulant effects has been observed with prolongation of the PT/INR.

Caution should be exercised when coumarin anticoagulants are given in conjunction with fenofibrate tablets. The dosage of the anticoagulants should be reduced to maintain the PT/INR at the desired level to prevent bleeding complications. Frequent PT/INR determinations are advisable until it has been definitely determined that the PT/INR has stabilized [see Warnings and Precautions (5.6)].

3 Dosage Forms and Strengths (3 DOSAGE FORMS AND STRENGTHS)

Fenofibrate Tablets, USP are available containing 48 mg or 145 mg of fenofibrate, USP.

  • The 48 mg tablets are white, film-coated, oval, unscored tablets debossed with M on one side of the tablet and FE3 on the other side.
  • The 145 mg tablets are white, film-coated, oval, unscored tablets debossed with M on one side of the tablet and FE4 on the other side.
6.2 Postmarketing Experience

The following adverse reactions have been identified during postapproval use of fenofibrate. Because these reactions are reported voluntarily from a population of uncertain size, it is not always possible to reliably estimate their frequency or establish a causal relationship to drug exposure: myalgia, rhabdomyolysis, pancreatitis, acute renal failure, muscle spasm, hepatitis, cirrhosis, increased total bilirubin, anemia, arthralgia, decreases in hemoglobin, decreases in hematocrit, white blood cell decreases, asthenia, severely depressed HDL-cholesterol levels, and interstitial lung disease. Photosensitivity reactions have occurred days to months after initiation; in some of these cases, patients reported a prior photosensitivity reaction to ketoprofen.

7.3 Bile Acid Binding Resins

Since bile acid binding resins may bind other drugs given concurrently, patients should take fenofibrate tablets at least 1 hour before or 4 to 6 hours after a bile acid binding resin to avoid impeding their absorption.

8 Use in Specific Populations (8 USE IN SPECIFIC POPULATIONS)
  • Geriatric Use: Determine dose selection based on renal function (8.5).
  • Renal Impairment: Avoid use in severe renal impairment patients. Dose reduction is required in mild to moderate renal impairment patients (8.6).
6.1 Clinical Trials Experience

Because clinical studies are conducted under widely varying conditions, adverse reaction rates observed in the clinical studies of a drug cannot be directly compared to rates in the clinical studies of another drug and may not reflect the rates observed in practice.

Adverse events reported by 2% or more of patients treated with fenofibrate (and greater than placebo) during the double-blind, placebo-controlled trials, regardless of causality, are listed in Table 1 below. Adverse events led to discontinuation of treatment in 5.0% of patients treated with fenofibrate and in 3.0% treated with placebo. Increases in liver function tests were the most frequent events, causing discontinuation of fenofibrate treatment in 1.6% of patients in double-blind trials.

Table 1 Adverse Reactions Reported by 2% or More of Patients Treated with Fenofibrate and Greater than Placebo During the Double-Blind, Placebo-Controlled Trials

BODY SYSTEM

Adverse Reaction

Fenofibrate

Dosage equivalent to 145 mg fenofibrate tablets.

(N = 439)

Placebo

(N = 365)

BODY AS A WHOLE

    Abdominal Pain

4.6%

4.4%

    Back Pain

3.4%

2.5%

    Headache

3.2%

2.7%

DIGESTIVE

    Nausea

2.3%

1.9%

    Constipation

2.1%

1.4%

METABOLIC AND NUTRITIONAL DISORDERS

    Abnormal Liver Function Tests

7.5%

Significantly different from Placebo.

1.4%

    Increased ALT

3.0%

1.6%

    Increased CPK

3.0%

1.4%

    Increased AST

3.4%

0.5%

RESPIRATORY

    Respiratory Disorder

6.2%

5.5%

    Rhinitis

2.3%

1.1%

Urticaria was seen in 1.1% vs. 0%, and rash in 1.4% vs. 0.8% of fenofibrate and placebo patients respectively in controlled trials.

1.2 Severe Hypertriglyceridemia

Fenofibrate tablets are also indicated as adjunctive therapy to diet for treatment of adult patients with severe hypertriglyceridemia. Improving glycemic control in diabetic patients showing fasting chylomicronemia will usually obviate the need for pharmacologic intervention.

Markedly elevated levels of serum triglycerides (e.g., > 2,000 mg/dL) may increase the risk of developing pancreatitis. The effect of fenofibrate therapy on reducing this risk has not been adequately studied.

2.3 Severe Hypertriglyceridemia

The initial dose is 48 to 145 mg per day. Dosage should be individualized according to patient response, and should be adjusted if necessary following repeat lipid determinations at 4 to 8 week intervals. The maximum dose is 145 mg once daily.

5.10 Venothromboembolic Disease

In the FIELD trial, pulmonary embolus (PE) and deep vein thrombosis (DVT) were observed at higher rates in the fenofibrate- than the placebo-treated group. Of 9,795 patients enrolled in FIELD, there were 4,900 in the placebo group and 4,895 in the fenofibrate group. For DVT, there were 48 events (1%) in the placebo group and 67 (1%) in the fenofibrate group (p = 0.074); and for PE, there were 32 (0.7%) events in the placebo group and 53 (1%) in the fenofibrate group (p = 0.022).

In the Coronary Drug Project, a higher proportion of the clofibrate group experienced definite or suspected fatal or nonfatal pulmonary embolism or thrombophlebitis than the placebo group (5.2% vs. 3.3% at five years; p < 0.01).

5.3 Myopathy and Rhabdomyolysis

Fibrates increase the risk for myopathy and have been associated with rhabdomyolysis. The risk for serious muscle toxicity appears to be increased in elderly patients and in patients with diabetes, renal insufficiency, or hypothyroidism.

Myopathy should be considered in any patient with diffuse myalgias, muscle tenderness or weakness, and/or marked elevations of creatine phosphokinase (CPK) levels.

Patients should be advised to report promptly unexplained muscle pain, tenderness or weakness, particularly if accompanied by malaise or fever. CPK levels should be assessed in patients reporting these symptoms, and fenofibrate tablets therapy should be discontinued if markedly elevated CPK levels occur or myopathy/myositis is suspected or diagnosed.

Data from observational studies indicate that the risk for rhabdomyolysis is increased when fibrates, in particular gemfibrozil, are co-administered with a statin. The combination should be avoided unless the benefit of further alterations in lipid levels is likely to outweigh the increased risk of this drug combination [see Clinical Pharmacology (12.3)].

Cases of myopathy, including rhabdomyolysis, have been reported with fenofibrates co-administered with colchicine, and caution should be exercised when prescribing fenofibrate with colchicine [see Drug Interactions (7.4)].

1.3 Important Limitations of Use

Fenofibrate at a dose equivalent to 145 mg of fenofibrate tablets was not shown to reduce coronary heart disease morbidity and mortality in a large, randomized controlled trial of patients with type 2 diabetes mellitus [see Warnings and Precautions (5.1)].

14.2 Severe Hypertriglyceridemia

The effects of fenofibrate on serum triglycerides were studied in two randomized, double-blind, placebo-controlled clinical trials of 147 hypertriglyceridemic patients. Patients were treated for eight weeks under protocols that differed only in that one entered patients with baseline TG levels of 500 to 1500 mg/dL, and the other TG levels of 350 to 500 mg/dL. In patients with hypertriglyceridemia and normal cholesterolemia with or without hyperchylomicronemia, treatment with fenofibrate at dosages equivalent to fenofibrate tablets 145 mg per day decreased primarily very low density lipoprotein (VLDL) triglycerides and VLDL cholesterol. Treatment of patients with elevated triglycerides often results in an increase of LDL-C (see Table 5).

Table 5. Effects of Fenofibrate Tablets in Patients with Severe Hypertriglyceridemia

Study 1

Placebo

Fenofibrate Tablets

Baseline TG levels 350 to 499 mg/dL

N

Baseline (Mean)

Endpoint (Mean)

% Change (Mean)

N

Baseline (Mean)

Endpoint (Mean)

% Change (Mean)

Triglycerides

28

449

450

-0.5

27

432

223

-46.2

p = < 0.05 vs. Placebo

VLDL Triglycerides

19

367

350

2.7

19

350

178

-44.1

Total Cholesterol

28

255

261

2.8

27

252

227

-9.1

HDL Cholesterol

28

35

36

4

27

34

40

19.6

LDL Cholesterol

28

120

129

12

27

128

137

14.5

VLDL Cholesterol

27

99

99

5.8

27

92

46

-44.7

Study 2

Placebo

Fenofibrate Tablets

Baseline TG levels 500 to 1500 mg/dL

N

Baseline (Mean)

Endpoint (Mean)

% Change (Mean)

N

Baseline (Mean)

Endpoint (Mean)

% Change (Mean)

Triglycerides

44

710

750

7.2

48

726

308

-54.5

VLDL Triglycerides

29

537

571

18.7

33

543

205

-50.6

Total Cholesterol

44

272

271

0.4

48

261

223

-13.8

HDL Cholesterol

44

27

28

5.0

48

30

36

22.9

LDL Cholesterol

42

100

90

-4.2

45

103

131

45.0

VLDL Cholesterol

42

137

142

11.0

45

126

54

-49.4

The effect of fenofibrate tablets on cardiovascular morbidity and mortality has not been determined.

17 Patient Counseling Information (17 PATIENT COUNSELING INFORMATION)

Patients should be advised:

  • of the potential benefits and risks of fenofibrate tablets.
  • not to use fenofibrate tablets if there is a known hypersensitivity to fenofibrate or fenofibric acid.
  • of medications that should not be taken in combination with fenofibrate tablets.
  • that if they are taking coumarin anticoagulants, fenofibrate tablets may increase their anti-coagulant effect, and increased monitoring may be necessary.
  • to continue to follow an appropriate lipid-modifying diet while taking fenofibrate tablets.
  • to take fenofibrate tablets once daily, without regard to food, at the prescribed dose, swallowing each tablet whole.
  • to return to their physician’s office for routine monitoring.
  • to inform their physician of all medications, supplements, and herbal preparations they are taking and any change to their medical condition. Patients should also be advised to inform their physicians prescribing a new medication that they are taking fenofibrate tablets.
  • to inform their physician of symptoms of liver injury (e.g., jaundice, abdominal pain, nausea, malaise, dark urine, abnormal stool, pruritus); any muscle pain, tenderness, or weakness; or any other new symptoms.
  • not to breastfeed during treatment with fenofibrate tablets and for 5 days after the final dose.

Manufactured for:

Mylan Pharmaceuticals Inc.

Morgantown, WV 26505 U.S.A.

Manufactured by:

Mylan Laboratories Limited

Hyderabad—500 096, India



75080369

Revised: 6/2021

MX:FNFBR:R6

16 How Supplied/storage and Handling (16 HOW SUPPLIED/STORAGE AND HANDLING)

Fenofibrate Tablets, USP

The 145 mg tablets are white, film-coated, oval, unscored tablets debossed with M on one side of the tablet and FE4 on the other side.

NDC: 71335-2016-1: 30 Tablets in a BOTTLE

NDC: 71335-2016-2: 90 Tablets in a BOTTLE

NDC: 71335-2016-3: 28 Tablets in a BOTTLE

Storage: Store at 20° to 25°C (68° to 77°F). [See USP Controlled Room Temperature.] Keep out of the reach of children. Protect from moisture.

Dispense in a tight, light-resistant container as defined in the USP using a child-resistant closure.

Repackaged/Relabeled by:

Bryant Ranch Prepack, Inc.

Burbank, CA 91504

5.1 Mortality and Coronary Heart Disease Morbidity

The effect of fenofibrate tablets on coronary heart disease morbidity and mortality and non-cardiovascular mortality has not been established.

The Action to Control Cardiovascular Risk in Diabetes Lipid (ACCORD Lipid) trial was a randomized placebo-controlled study of 5518 patients with type 2 diabetes mellitus on background statin therapy treated with fenofibrate. The mean duration of follow-up was 4.7 years. Fenofibrate plus statin combination therapy showed a non-significant 8% relative risk reduction in the primary outcome of major adverse cardiovascular events (MACE), a composite of non-fatal myocardial infarction, non-fatal stroke, and cardiovascular disease death (hazard ratio [HR] 0.92, 95% CI 0.79-1.08) (p = 0.32) as compared to statin monotherapy. In a gender subgroup analysis, the hazard ratio for MACE in men receiving combination therapy versus statin monotherapy was 0.82 (95% CI 0.69-0.99), and the hazard ratio for MACE in women receiving combination therapy versus statin monotherapy was 1.38 (95% CI 0.98-1.94) (interaction p = 0.01). The clinical significance of this subgroup finding is unclear.

The Fenofibrate Intervention and Event Lowering in Diabetes (FIELD) study was a 5-year randomized, placebo-controlled study of 9795 patients with type 2 diabetes mellitus treated with fenofibrate. Fenofibrate demonstrated a non-significant 11% relative reduction in the primary outcome of coronary heart disease events (hazard ratio [HR] 0.89, 95% CI 0.75-1.05, p = 0.16) and a significant 11% reduction in the secondary outcome of total cardiovascular disease events (HR 0.89 [0.80-0.99], p = 0.04). There was a non-significant 11% (HR 1.11 [0.95, 1.29], p = 0.18) and 19% (HR 1.19 [0.90, 1.57], p = 0.22) increase in total and coronary heart disease mortality, respectively, with fenofibrate as compared to placebo.

Because of chemical, pharmacological, and clinical similarities between fenofibrate tablets, clofibrate, and gemfibrozil, the adverse findings in 4 large randomized, placebo-controlled clinical studies with these other fibrate drugs may also apply to fenofibrate tablets.

In the Coronary Drug Project, a large study of post myocardial infarction of patients treated for 5 years with clofibrate, there was no difference in mortality seen between the clofibrate group and the placebo group. There was however, a difference in the rate of cholelithiasis and cholecystitis requiring surgery between the two groups (3.0% vs. 1.8%).

In a study conducted by the World Health Organization (WHO), 5000 subjects without known coronary artery disease were treated with placebo or clofibrate for 5 years and followed for an additional one year. There was a statistically significant, higher age – adjusted all-cause mortality in the clofibrate group compared with the placebo group (5.70% vs. 3.96%, p = < 0.01). Excess mortality was due to a 33% increase in non-cardiovascular causes, including malignancy, post-cholecystectomy complications, and pancreatitis. This appeared to confirm the higher risk of gallbladder disease seen in clofibrate-treated patients studied in the Coronary Drug Project.

The Helsinki Heart Study was a large (n = 4081) study of middle-aged men without a history of coronary artery disease. Subjects received either placebo or gemfibrozil for 5 years, with a 3.5 year open extension afterward. Total mortality was numerically higher in the gemfibrozil randomization group but did not achieve statistical significance (p = 0.19, 95% confidence interval for relative risk G:P = .91-1.64). Although cancer deaths trended higher in the gemfibrozil group (p = 0.11), cancers (excluding basal cell carcinoma) were diagnosed with equal frequency in both study groups. Due to the limited size of the study, the relative risk of death from any cause was not shown to be different than that seen in the 9 year follow-up data from World Health Organization study (RR = 1.29).

A secondary prevention component of the Helsinki Heart Study enrolled middle-aged men excluded from the primary prevention study because of known or suspected coronary heart disease. Subjects received gemfibrozil or placebo for 5 years. Although cardiac deaths trended higher in the gemfibrozil group, this was not statistically significant (hazard ratio 2.2, 95% confidence interval: 0.94-5.05). The rate of gallbladder surgery was not statistically significant between study groups, but did trend higher in the gemfibrozil group, (1.9% vs. 0.3%, p = 0.07).

5.11 Paradoxical Decreases in Hdl Cholesterol Levels (5.11 Paradoxical Decreases in HDL Cholesterol Levels)

There have been postmarketing and clinical trial reports of severe decreases in HDL cholesterol levels (as low as 2 mg/dL) occurring in diabetic and non-diabetic patients initiated on fibrate therapy. The decrease in HDL-C is mirrored by a decrease in apolipoprotein A1. This decrease has been reported to occur within 2 weeks to years after initiation of fibrate therapy. The HDL-C levels remain depressed until fibrate therapy has been withdrawn; the response to withdrawal of fibrate therapy is rapid and sustained. The clinical significance of this decrease in HDL-C is unknown. It is recommended that HDL-C levels be checked within the first few months after initiation of fibrate therapy. If a severely depressed HDL-C level is detected, fibrate therapy should be withdrawn, and the HDL-C level monitored until it has returned to baseline, and fibrate therapy should not be re-initiated.

1.1 Primary Hypercholesterolemia Or Mixed Dyslipidemia (1.1 Primary Hypercholesterolemia or Mixed Dyslipidemia)

Fenofibrate tablets are indicated as adjunctive therapy to diet to reduce elevated low-density lipoprotein cholesterol (LDL-C), total cholesterol (Total-C), Triglycerides and apolipoprotein B (Apo B), and to increase high-density lipoprotein cholesterol (HDL-C) in adult patients with primary hypercholesterolemia or mixed dyslipidemia.

2.2 Primary Hypercholesterolemia Or Mixed Dyslipidemia (2.2 Primary Hypercholesterolemia or Mixed Dyslipidemia)

The initial dose of fenofibrate tablets is 145 mg once daily.

13.1 Carcinogenesis, Mutagenesis, Impairment of Fertility

Two dietary carcinogenicity studies have been conducted in rats with fenofibrate. In the first 24-month study, Wistar rats were dosed with fenofibrate at 10, 45, and 200 mg/kg/day, approximately 0.3, 1, and 6 times the maximum recommended human dose (MRHD) of 300 mg fenofibrate daily, equivalent to 145 mg fenofibrate tablets daily, based on body surface area comparisons. At a dose of 200 mg/kg/day (at 6 times the MRHD), the incidence of liver carcinomas was significantly increased in both sexes. A statistically significant increase in pancreatic carcinomas was observed in males at 1 and 6 times the MRHD; an increase in pancreatic adenomas and benign testicular interstitial cell tumors was observed at 6 times the MRHD in males. In a second 24-month rat carcinogenicity study in a different strain of rats (Sprague-Dawley), doses of 10 and 60 mg/kg/day (0.3 and 2 times the MRHD) produced significant increases in the incidence of pancreatic acinar adenomas in both sexes and increases in testicular interstitial cell tumors in males at 2 times the MRHD.

A 117-week carcinogenicity study was conducted in rats comparing three drugs: fenofibrate 10 and 60 mg/kg/day (0.3 and 2 times the MRHD, based on body surface area comparisons), clofibrate (400 mg/kg/day; 2 times the human dose), and gemfibrozil (250 mg/kg/day; 2 times the human dose, based on mg/m2 surface area). Fenofibrate increased pancreatic acinar adenomas in both sexes. Clofibrate increased hepatocellular carcinoma and pancreatic acinar adenomas in males and hepatic neoplastic nodules in females. Gemfibrozil increased hepatic neoplastic nodules in males and females, while all three drugs increased testicular interstitial cell tumors in males.

In a 21-month study in CF-1 mice, fenofibrate 10, 45, and 200 mg/kg/day (approximately 0.2, 1, and 3 times the MRHD, based on body surface area comparisons) significantly increased the liver carcinomas in both sexes at 3 times the MRHD. In a second 18-month study at 10, 60, and 200 mg/kg/day, fenofibrate significantly increased the liver carcinomas in male mice and liver adenomas in female mice at 3 times the MRHD.

Electron microscopy studies have demonstrated peroxisomal proliferation following fenofibrate administration to the rat. An adequate study to test for peroxisome proliferation in humans has not been done, but changes in peroxisome morphology and numbers have been observed in humans after treatment with other members of the fibrate class when liver biopsies were compared before and after treatment in the same individual.

Fenofibrate has been demonstrated to be devoid of mutagenic potential in the following tests: Ames, mouse lymphoma, chromosomal aberration and unscheduled DNA synthesis in primary rat hepatocytes.

In fertility studies rats were given oral dietary doses of fenofibrate, males received 61 days prior to mating and females 15 days prior to mating through weaning which resulted in no adverse effect on fertility at doses up to 300 mg/kg/day (10 times the MRHD, based on body surface area comparisons).

14.1 Primary Hypercholesterolemia (heterozygous Familial and Nonfamilial) and Mixed Dyslipidemia (14.1 Primary Hypercholesterolemia (Heterozygous Familial and Nonfamilial) and Mixed Dyslipidemia)

The effects of fenofibrate at a dose equivalent to 145 mg fenofibrate tablets per day were assessed from four randomized, placebo-controlled, double-blind, parallel-group studies including patients with the following mean baseline lipid values: total-C 306.9 mg/dL; LDL-C 213.8 mg/dL; HDL-C 52.3 mg/dL; and triglycerides 191.0 mg/dL. Fenofibrate tablets therapy lowered LDL-C, Total-C, and the LDL-C/HDL-C ratio. Fenofibrate tablets therapy also lowered triglycerides and raised HDL-C (see Table 4).

Table 4. Mean Percent Change in Lipid Parameters at End of Treatment
 Duration of study treatment was 3 to 6 months.

Treatment Group

Total-C

LDL-C

HDL-C

TG

Pooled Cohort

Mean baseline lipid values (n = 646)

306.9 mg/dL

213.8 mg/dL

52.3 mg/dL

191.0 mg/dL

All FEN (n = 361)

- 18.7%

p = < 0.05 vs. Placebo

- 20.6%

+ 11.0%

- 28.9%

Placebo (n = 285)

- 0.4%

- 2.2%

+ 0.7%

+ 7.7%

Baseline LDL-C > 160 mg/dL and TG < 150 mg/dL

Mean baseline lipid values (n = 334)

307.7 mg/dL

227.7 mg/dL

58.1 mg/dL

101.7 mg/dL

All FEN (n = 193)

- 22.4%

- 31.4%

+ 9.8%

- 23.5%

Placebo (n = 141)

+ 0.2%

- 2.2%

+ 2.6%

+ 11.7%

Baseline LDL-C > 160 mg/dL and TG ≥ 150 mg/dL

Mean baseline lipid values (n = 242)

312.8 mg/dL

219.8 mg/dL

46.7 mg/dL

231.9 mg/dL

All FEN (n = 126)

- 16.8%

- 20.1%

+ 14.6%

- 35.9%

Placebo (n = 116)

- 3.0%

- 6.6%

+ 2.3%

+ 0.9%

In a subset of the subjects, measurements of apo B were conducted. Fenofibrate tablets treatment significantly reduced apo B from baseline to endpoint as compared with placebo (-25.1% vs. 2.4%, p < 0.0001, n = 213 and 143 respectively).


Advanced Ingredient Data


Raw Label Data

All Sections (JSON)