These Highlights Do Not Include All The Information Needed To Use Atropine Sulfate Injection Safely And Effectively. See Full Prescribing Information For Atropine Sulfate Injection.

These Highlights Do Not Include All The Information Needed To Use Atropine Sulfate Injection Safely And Effectively. See Full Prescribing Information For Atropine Sulfate Injection.
SPL v1
SPL
SPL Set ID 423fc064-57cb-8308-e063-6394a90a2617
Routes
ENDOTRACHEAL INTRAMEDULLARY INTRAMUSCULAR INTRAVENOUS SUBCUTANEOUS
Published
Effective Date 2025-07-24
Document Type 34391-3 HUMAN PRESCRIPTION DRUG LABEL

Drug Facts

Composition & Product

Active Ingredients
Atropine (0.4 mg)
Inactive Ingredients
Benzyl Alcohol Sodium Chloride Sulfuric Acid Water

Identifiers & Packaging

Pill Appearance
Color: white
Marketing Status
ANDA Active Since 2024-12-09

Description

Atropine is indicated for temporary blockade of severe or life threatening muscarinic effects, e.g., as an antisialagogue, an antivagal agent, an antidote for organophosphorus, carbamate, or muscarinic mushroom poisoning, and to treat symptomatic bradycardia

Indications and Usage

Atropine is indicated for temporary blockade of severe or life threatening muscarinic effects, e.g., as an antisialagogue, an antivagal agent, an antidote for organophosphorus, carbamate, or muscarinic mushroom poisoning, and to treat symptomatic bradycardia

Dosage and Administration

  Dosage is individualized by use, refer to the full prescribing information for recommended adult and pediatric dosages (2.2, 2.3).   Patients with Ischemic Heart Disease: Do not exceed 0.04 mg/kg. (2.4, 5.2)

Warnings and Precautions

Hypersensitivity (5.1) Worsening of Ischemic Heart Disease (5.2) Acute Glaucoma (5.3) Pyloric obstruction (5.4) Complete urinary retention (5.5) Viscid plugs (5.6)

Contraindications

None.

Adverse Reactions

The following adverse reactions are described elsewhere in labeling: • Hypersensitivity (5.1) • Worsening of Ischemic Heart Disease (5.2) • Acute Glaucoma (5.3) • Pyloric Obstruction (5.4) • Complete Urinary Retention (5.5) • Viscid Plugs (5.6) The following adverse reactions have been identified during post-approval use of atropine sulfate. Because these reactions are reported voluntarily from a population of uncertain size, it is not always possible to reliably estimate their frequency or establish a causal relationship to drug exposure. Most of the side effects of atropine are directly related to its antimuscarinic action. Dryness of the mouth, blurred vision, photophobia and tachycardia commonly occur. Anhidrosis can produce heat intolerance. Constipation and difficulty in micturition may occur. Occasional hypersensitivity reactions have been observed, including serious skin rashes. Paralytic ileus may occur. Exacerbation of reflux has been reported. Larger or toxic doses may produce such central effects as restlessness, tremor, fatigue, locomotor difficulties, delirium, followed by hallucinations, depression, and ultimately, medullary paralysis and death. Large doses can also lead to circulatory collapse. In such cases, blood pressure declines and death due to respiratory failure may ensue following paralysis and coma.

Drug Interactions

Mexiletine : Decreases rate of mexiletine absorption. (7.1)

Storage and Handling

Atropine Sulfate Injection, USP is a non-pyrogenic, isotonic, clear colorless solution and is supplied as follows: Presentation Single Vial 10 Vial Pack NDC# 70069-481-01 70069-481-10 Description 8 mg per 20 mL (0.4 mg per mL) Multiple-dose vial 20 mL multiple-dose vial, packaged in a carton containing 10 vials. Store at 20° to 25°C (68° to 77°F) [see USP Controlled Room Temperature]. After initial use, store between 20° to 25°C (68° to 77°F) and discard within 24 hours.

How Supplied

Atropine Sulfate Injection, USP is a non-pyrogenic, isotonic, clear colorless solution and is supplied as follows: Presentation Single Vial 10 Vial Pack NDC# 70069-481-01 70069-481-10 Description 8 mg per 20 mL (0.4 mg per mL) Multiple-dose vial 20 mL multiple-dose vial, packaged in a carton containing 10 vials. Store at 20° to 25°C (68° to 77°F) [see USP Controlled Room Temperature]. After initial use, store between 20° to 25°C (68° to 77°F) and discard within 24 hours.


Medication Information

Warnings and Precautions

Hypersensitivity (5.1) Worsening of Ischemic Heart Disease (5.2) Acute Glaucoma (5.3) Pyloric obstruction (5.4) Complete urinary retention (5.5) Viscid plugs (5.6)

Indications and Usage

Atropine is indicated for temporary blockade of severe or life threatening muscarinic effects, e.g., as an antisialagogue, an antivagal agent, an antidote for organophosphorus, carbamate, or muscarinic mushroom poisoning, and to treat symptomatic bradycardia

Dosage and Administration

  Dosage is individualized by use, refer to the full prescribing information for recommended adult and pediatric dosages (2.2, 2.3).   Patients with Ischemic Heart Disease: Do not exceed 0.04 mg/kg. (2.4, 5.2)

Contraindications

None.

Adverse Reactions

The following adverse reactions are described elsewhere in labeling: • Hypersensitivity (5.1) • Worsening of Ischemic Heart Disease (5.2) • Acute Glaucoma (5.3) • Pyloric Obstruction (5.4) • Complete Urinary Retention (5.5) • Viscid Plugs (5.6) The following adverse reactions have been identified during post-approval use of atropine sulfate. Because these reactions are reported voluntarily from a population of uncertain size, it is not always possible to reliably estimate their frequency or establish a causal relationship to drug exposure. Most of the side effects of atropine are directly related to its antimuscarinic action. Dryness of the mouth, blurred vision, photophobia and tachycardia commonly occur. Anhidrosis can produce heat intolerance. Constipation and difficulty in micturition may occur. Occasional hypersensitivity reactions have been observed, including serious skin rashes. Paralytic ileus may occur. Exacerbation of reflux has been reported. Larger or toxic doses may produce such central effects as restlessness, tremor, fatigue, locomotor difficulties, delirium, followed by hallucinations, depression, and ultimately, medullary paralysis and death. Large doses can also lead to circulatory collapse. In such cases, blood pressure declines and death due to respiratory failure may ensue following paralysis and coma.

Drug Interactions

Mexiletine : Decreases rate of mexiletine absorption. (7.1)

Storage and Handling

Atropine Sulfate Injection, USP is a non-pyrogenic, isotonic, clear colorless solution and is supplied as follows: Presentation Single Vial 10 Vial Pack NDC# 70069-481-01 70069-481-10 Description 8 mg per 20 mL (0.4 mg per mL) Multiple-dose vial 20 mL multiple-dose vial, packaged in a carton containing 10 vials. Store at 20° to 25°C (68° to 77°F) [see USP Controlled Room Temperature]. After initial use, store between 20° to 25°C (68° to 77°F) and discard within 24 hours.

How Supplied

Atropine Sulfate Injection, USP is a non-pyrogenic, isotonic, clear colorless solution and is supplied as follows: Presentation Single Vial 10 Vial Pack NDC# 70069-481-01 70069-481-10 Description 8 mg per 20 mL (0.4 mg per mL) Multiple-dose vial 20 mL multiple-dose vial, packaged in a carton containing 10 vials. Store at 20° to 25°C (68° to 77°F) [see USP Controlled Room Temperature]. After initial use, store between 20° to 25°C (68° to 77°F) and discard within 24 hours.

Description

Atropine is indicated for temporary blockade of severe or life threatening muscarinic effects, e.g., as an antisialagogue, an antivagal agent, an antidote for organophosphorus, carbamate, or muscarinic mushroom poisoning, and to treat symptomatic bradycardia

10 Overdosage

Excessive dosing may cause palpitation, dilated pupils, difficulty in swallowing, hot dry skin, thirst, dizziness, restlessness, tremor, fatigue and ataxia. Toxic doses lead to restlessness and excitement, hallucinations, delirium and coma. Depression and circulatory collapse occur only with severe intoxication. In such cases, blood pressure declines and death due to respiratory failure may ensue following paralysis and coma.

The fatal adult dose of atropine is not known. In pediatric populations, 10 mg or less may be fatal.

In the event of toxic overdosage, a short acting barbiturate or diazepam may be given as needed to control marked excitement and convulsions. Large doses for sedation should be avoided because central depressant action may coincide with the depression occurring late in atropine poisoning. Central stimulants are not recommended.

Physostigmine, given as an atropine antidote by slow intravenous injection of 1 to 4 mg (0.5 to 1 mg in pediatric populations), rapidly abolishes delirium and coma caused by large doses of atropine. Since physostigmine is rapidly destroyed, the patient may again lapse into coma after one to two hours, and repeated doses may be required.

Artificial respiration with oxygen may be necessary. Ice bags and alcohol sponges help to reduce fever, especially in pediatric populations.

Atropine is not removed by dialysis.

8.1 Pregnancy

Risk Summary

Limited available data with Atropine Sulfate Injection use in pregnant women are insufficient to inform a drug associated risk of adverse developmental outcomes ( see Data). There are risks to the mother and fetus associated with untreated severe or life-threatening muscarinic events ( see Clinical  Considerations). Animal reproduction studies have not been conducted with Atropine Sulfate Injection. The estimated background risk of major birth defects and miscarriage for the indicated population is unknown. All pregnancies have a background risk of birth defect, loss, or other adverse outcomes. In the U.S. general population, the estimated background risk of major birth defects and miscarriage in clinically recognized pregnancies is 2-4% and 15-20%, respectively.

Clinical Considerations

Disease -associated maternal and/or embryo/fetal risk

Severe or life-threatening muscarinic events such as acute organophosphate poisoning and symptomatic bradycardia are medical emergencies in pregnancy which can be fatal if left untreated. Life-sustaining therapy for the pregnant woman should not be withheld due to potential concerns regarding the effects of atropine on the fetus.

Data

Human Data

No adequate and well-controlled studies are available regarding use of atropine in pregnant women. In a cohort study of 401 pregnancies in the first trimester and 797 pregnancies in the second or third trimester, atropine use was not associated with an increased risk of congenital malformation. In a surveillance study, 381 newborns were exposed to atropine during the first trimester; 18 major birth defects were observed when 16 were expected. No specific pattern of major birth defects was identified. In another surveillance study of 50 pregnancies in the first trimester, atropine use was not associated with an increased risk of malformations. Methodological limitations of these observational studies including the inability to control for the dosage and timing of atropine exposure, underlying maternal disease, or concomitant maternal drug use, cannot definitively establish or exclude any drug-associated risk during pregnancy.

8.2 Lactation

Risk Summary

Trace amounts of atropine have been reported in human milk after oral intake. There are no available data on atropine levels in human milk after intravenous injection, the effects on the breastfed infant, or the effects on milk production. The lack of clinical data during lactation precludes a clear determination of the risk of atropine to an infant during lactation.

Clinical Considerations

Minimizing exposure

The elimination half-life of atropine is more than doubled in children less than 2 years of age [ see Clinical Pharmacology (12.3)]. To minimize potential infant exposure to Atropine Sulfate Injection, a woman may pump and discard her milk for 24 hours after use before resuming to breastfeed her infant .

11 Description

Atropine Sulfate Injection, USP is a sterile, nonpyrogenic, isotonic, clear colorless solution of atropine sulfate in water for injection with sodium chloride sufficient to render the solution isotonic. It is administered parenterally by subcutaneous, intramuscular or intravenous injection.

Each mL contains atropine sulfate, 0.4 mg; benzyl alcohol, 9 mg; sodium chloride 9 mg. May contain sulfuric acid for pH adjustment. pH 3.5 (3.0 to 3.8).

Sodium chloride added to render the solution isotonic for injection of the active ingredient is present in amounts insufficient to affect serum electrolyte balance of sodium (Na +) and chloride (Cl -) ions.

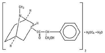
Atropine Sulfate, USP is chemically designated lα H, 5α H-Tropan-3-α-ol (±)-tropate (ester), sulfate (2:1) (salt) monohydrate, (C 17H 23NO 3)2 · H 2SO 4· H 2O, colorless, almost white or white solid powder very soluble in water. It has the following structural formula:

Atropine, a naturally occurring belladonna alkaloid, is a racemic mixture of equal parts of d-and 1-hyocyamine, whose activity is due almost entirely to the levo isomer of the drug.

Sodium Chloride, USP is chemically designated NaCl, a colorless, cubic crystal or white crystalline powder freely soluble in water.

7.1 Mexiletine

Atropine Sulfate Injection decreased the rate of mexiletine absorption without altering the relative oral bioavailability; this delay in mexiletine absorption was reversed by the combination of atropine and intravenous metoclopramide during pretreatment for anesthesia.

2.2 Adult Dosage

Table 1: Recommended Dosage in Adult Patients

Use

Initial Dose

Continued Treatment

Antisialagogue or other antivagal (preanesthesia and during surgery)

0.5 to 1 mg IV/IM/SC 30-60 minutes preoperatively

Repeat as needed every 4-6 hours.

Maximum Total Dose

3 mg

Organophosphorus, carbamate, or muscarinic mushroom poisoning

1 to 6 mg IV/IM/ET depending on severity of symptoms

Repeat as needed every 3 to 5 minutes

Dose may be doubled with each administration until response (reduced bronchospasm, improved oxygenation and drying of pulmonary secretions).

Maintenance Dose:Administer 10% to 20% of the loading dose required for response as a continuous infusion per hour and titrate.

Maximum Total Dose:

No maximum total dose.

Symptomatic bradycardia*

0.5 mg IV/IM or 1 to 2 mg ET by diluting in no more than 10 mL sterile water for injection or 0.9% sodium chloride

As needed every 3 to 5 minutes

Maximum Total Dose

3 mg

IV=intravenous; IM=intramuscular; SC=subcutaneous; ET=endotracheal

*Do not rely on atropine in type II second-degree or third-degree AV block with wide QRS complexes because these bradyarrhythmias are not likely to be responsive to reversal of cholinergic effects by atropine. Atropine has no effect on bradycardia in patients with transplanted hearts

5.6 Viscid Plugs

Atropine may cause thickening of bronchial secretions and formation of viscid plugs in patients with chronic lung disease.

Spl Unclassified

Manufactured for:

Somerset Therapeutics, LLC

Somerset, NJ 08873

Made in India

Code No.: KR/DRUGS/KTK/28/289/97

1201089

ST-ATR11/P/00

8.5 Geriatric Use

An evaluation of current literature revealed no clinical experience identifying differences in response between elderly and younger patients. In general, dose selection for an elderly patient should be cautious, usually starting at the low end of the dosing range, reflecting the greater frequency of decreased hepatic, renal, or cardiac function, and of concomitant disease or other drug therapy.

5.3 Acute Glaucoma

Atropine may precipitate acute glaucoma.

5.7 Benzyl Alcohol

The preservative benzyl alcohol has been associated with serious adverse events and death in neonates. The "gasping syndrome" (characterized by central nervous system depression, metabolic acidosis, gasping respirations, and high levels of benzyl alcohol and its metabolites found in the blood and urine) has been associated with benzyl alcohol dosages >99 mg/kg/day in neonates and low-birth weight infants. Additional symptoms may include gradual neurological deterioration, seizures, intracranial hemorrhage, hematologic abnormalities, skin breakdown, hepatic and renal failure, hypotension, bradycardia, and cardiovascular collapse.

Although normal therapeutic doses of this product deliver amounts of benzyl alcohol that are substantially lower than those reported in association with the "gasping syndrome", the minimum amount of benzyl alcohol at which toxicity may occur is not known. Premature and low-birth weight infants may be more likely to develop toxicity. Practitioners administering this and other medications containing benzyl alcohol should consider the combined daily metabolic load of benzyl alcohol from all sources.

4 Contraindications

None.

6 Adverse Reactions

The following adverse reactions are described elsewhere in labeling:

• Hypersensitivity (5.1)

• Worsening of Ischemic Heart Disease (5.2)

• Acute Glaucoma (5.3)

• Pyloric Obstruction (5.4)

• Complete Urinary Retention (5.5)

• Viscid Plugs (5.6)

The following adverse reactions have been identified during post-approval use of atropine sulfate. Because these reactions are reported voluntarily from a population of uncertain size, it is not always possible to reliably estimate their frequency or establish a causal relationship to drug exposure. Most of the side effects of atropine are directly related to its antimuscarinic action. Dryness of the mouth, blurred vision, photophobia and tachycardia commonly occur. Anhidrosis can produce heat intolerance. Constipation and difficulty in micturition may occur. Occasional hypersensitivity reactions have been observed, including serious skin rashes. Paralytic ileus may occur. Exacerbation of reflux has been reported. Larger or toxic doses may produce such central effects as restlessness, tremor, fatigue, locomotor difficulties, delirium, followed by hallucinations, depression, and ultimately, medullary paralysis and death. Large doses can also lead to circulatory collapse. In such cases, blood pressure declines and death due to respiratory failure may ensue following paralysis and coma.

7 Drug Interactions

Mexiletine: Decreases rate of mexiletine absorption. (7.1)

2.3 Pediatric Dosage

Table 2: Recommended Dosage in Pediatric Patients

Use

Initial Dose

Continued Treatment

Antisialagogue or other antivagal (preanesthesia and during surgery) *

0.02 mg/kg IV/IM/SC

30-60 minutes preoperatively

Repeat as needed every 4-6 hours

Maximum Single Dose

Less than 12 years old:0.5 mg 12 years and older:1 mg

Maximum Total Dose

Less than 12 years old:1 mg 12 years and older:2 mg

Organophosphorus,

carbamate or

muscarinic

mushroom poisoning

0.02 to 0.06 mg/kg

IV/IM/IO/ET

Repeat as needed every 5 minutes

Dose may be doubled with each administration until response (reduced bronchospasm, improved oxygenation and drying of

pulmonary secretions).

Maintenance Dose:Administer 10% to 20% of the loading dose required for response as a continuous infusion per hour and titrate as needed.

Maximum Total Dose:

No maximum total dose.

Symptomatic

bradycardia due to

increased vagal tone

or primary AV

conduction block

(not secondary to

hypoxia) **

0.02 mg/kg IV/IO or

0.04 to 0.06 mg/kg via

endotracheal tube

followed by 1 to 5 mL

flush of normal saline

followed by 5

ventilations

Repeat as needed every 5 minutes

Maximum Single Dose

Less than12 years old:0.5 mg

12 years and older:1 mg

IV=intravenous; IM=intramuscular; SC=subcutaneous; IO=intraosseous; ET=endotracheal;

*Available evidence does not support the routine use of atropine in emergency intubation of critically ill infants and children except in specific emergency intubations when there is higher risk of bradycardia

** Atropine has no effect on bradycardia in patients with transplanted hearts.

5.1 Hypersensitivity

Atropine may cause anaphylaxis.

12.2 Pharmacodynamics

Atropine-induced parasympathetic inhibition may be preceded by a transient phase of stimulation, especially on the heart where small doses first slow the rate before characteristic tachycardia develops due to paralysis of vagal control. Atropine exerts a more potent and prolonged effect on heart, intestine and bronchial muscle than scopolamine, but its action on the iris, ciliary body and certain secretory glands is weaker than that of scopolamine. Unlike the latter, atropine in clinical doses does not depress the central nervous system but may stimulate the medulla and higher cerebral centers. Although mild vagal excitation occurs, the increased respiratory rate and (sometimes) increased depth of respiration produced by atropine are more probably the result of bronchiolar dilatation. Accordingly, atropine is an unreliable respiratory stimulant and large or repeated doses may depress respiration.

Adequate doses of atropine abolish various types of reflex vagal cardiac slowing or asystole. The drug also prevents or abolishes bradycardia or asystole produced by injection of choline esters, anticholinesterase agents or other parasympathomimetic drugs, and cardiac arrest produced by stimulation of the vagus. Atropine also may lessen the degree of partial heart block when vagal activity is an etiologic factor. In some patients with complete heart block, the idioventricular rate may be accelerated by atropine; in others, the rate is stabilized. Occasionally a large dose may cause atrioventricular (A-V) block and nodal rhythm.

Atropine in clinical doses counteracts the peripheral dilatation and abrupt decrease in blood pressure produced by choline esters. However, when given by itself, atropine does not exert a striking or uniform effect on blood vessels or blood pressure. Systemic doses slightly raise systolic and lower diastolic pressures and can produce significant postural hypotension. Such doses also slightly increase cardiac output and decrease central venous pressure. Occasionally, therapeutic doses dilate cutaneous blood vessels, particularly in the "blush" area (atropine flush), and may cause atropine "fever" due to suppression of sweat gland activity in infants and small children.

 

The effects of intravenous atropine on heart rate (maximum heart rate) and saliva flow (minimum flow) after I.V. administration (rapid, constant infusion over 3 min.) are delayed by 7 to 8 minutes after drug administration and both effects are non-linearly related to the amount of drug in the peripheral compartment. Changes in plasma atropine levels following intramuscular administration

(0.5 to 4 mg doses) and heart rate are closely overlapped but the time course of the changes in atropine levels and behavioral impairment indicates that pharmacokinetics is not the primary rate-limiting mechanism for the central nervous system effect of atropine.

12.3 Pharmacokinetics

Absorption

After intramuscular administration, atropine is absorbed with peak concentration occurring at 30 min following injection.

Effects of exercise:

Exercise following intramuscular administration of atropine significantly increases the absorption of atropine due to increased perfusion in the muscle, with an increase in AUC by approximately 20% and Cmax by approximately 80%.

Distribution

Atropine is distributed throughout the body. Atropine's plasma protein binding is about 44% and saturable in the 2 to 20 mcg/mL concentration range.

Elimination

The pharmacokinetics of atropine is nonlinear after intravenous administration of 0.5 to 4 mg. Atropine disappears from the blood following injection with a plasma half-life of about 2-4 hours. Much of the drug is destroyed by enzymatic hydrolysis, particularly in the liver, with 13 to 50% is excreted unchanged in the urine.

Metabolism

The major metabolites of atropine are noratropine, atropin-n-oxide, tropine, and tropic acid. The metabolism of atropine is inhibited by organophosphate pesticides.

Specific Populations

Pregnant Women

Atropine readily crosses the placental barrier and enters the fetal circulation, but is not found in amniotic fluid.

Nursing Mother

Traces are found in various secretions, including milk.

Pediatric and Geriatric Patients

The elimination half-life of atropine is more than doubled in children under two years, and the elderly (> 65 years old) compared to other age groups.

1 Indications and Usage

Atropine is indicated for temporary blockade of severe or life threatening muscarinic effects, e.g., as an antisialagogue, an antivagal agent, an antidote for organophosphorus, carbamate, or muscarinic mushroom poisoning, and to treat symptomatic bradycardia

5.4 Pyloric Obstruction

Atropine may convert partial organic pyloric stenosis into complete obstruction.

12.1 Mechanism of Action

Atropine is an antimuscarinic agent since it antagonizes the muscarine-like actions of acetylcholine and other choline esters.

Atropine inhibits the muscarinic actions of acetylcholine on structures innervated by postganglionic cholinergic nerves, and on smooth muscles which respond to endogenous acetylcholine but are not so innervated. As with other antimuscarinic agents, the major action of atropine is a competitive or surmountable antagonism which can be overcome by increasing the concentration of acetylcholine at receptor sites of the effector organ (e.g., by using anticholinesterase agents which inhibit the enzymatic destruction of acetylcholine). The receptors antagonized by atropine are the peripheral structures that are stimulated or inhibited by muscarine (i.e., exocrine glands and smooth and cardiac muscle). Responses to postganglionic cholinergic nerve stimulation also may be inhibited by atropine but this occurs less readily than with responses to injected (exogenous) choline esters.

2.1 General Administration

Inspect parenteral drug products for particulate matter and discoloration prior to administration, whenever solution and container permit. Do not administer unless solution is clear and seal is intact. After initial use, discard unused portion within 24 hours.

Intravenous administration is usually preferred, but subcutaneous, intramuscular, endotracheal, and intraosseous administration are possible.

5 Warnings and Precautions

Hypersensitivity (5.1)

Worsening of Ischemic Heart Disease (5.2)

Acute Glaucoma (5.3)

Pyloric obstruction (5.4)

Complete urinary retention (5.5)

Viscid plugs (5.6)

2 Dosage and Administration

  Dosage is individualized by use, refer to the full prescribing information for recommended adult and pediatric dosages (2.2, 2.3).

  Patients with Ischemic Heart Disease: Do not exceed 0.04 mg/kg. (2.4, 5.2)

3 Dosage Forms and Strengths

Atropine Sulfate Injection, USP, 8 mg per 20 mL (0.4 mg per mL), is a non-pyrogenic, isotonic, clear solution and is supplied in a multiple dose glass vial.

5.5 Complete Urinary Retention

Atropine may lead to complete urinary retention in patients with prostatic hypertrophy.

16 How Supplied/storage and Handling

Atropine Sulfate Injection, USP is a non-pyrogenic, isotonic, clear colorless solution and is supplied as follows:

Presentation

Single Vial

10 Vial Pack

NDC#

70069-481-01

70069-481-10

Description

8 mg per 20 mL

(0.4 mg per mL)

Multiple-dose vial

20 mL multiple-dose vial, packaged in a carton containing 10 vials.

Store at 20° to 25°C (68° to 77°F) [see USP Controlled Room Temperature]. After initial use, store between 20° to 25°C (68° to 77°F) and discard within 24 hours.

Principal Display Panel Vial Label

Atropine Sulfate Injection, USP

8mg/20 mL (0.4mg/mL)

20 mL Multi-Dose Vial

Rx Only

5.2 Worsening of Ischemic Heart Disease

In patients with ischemic heart disease, the total dose should be restricted to 2 to 3 mg (maximum 0.03 to 0.04 mg/kg) to avoid atropine-induced tachycardia, increased myocardial oxygen demand and the potential for worsening cardiac ischemia or increasing infarction size.

Principal Display Panel Outer Package

NDC 71872-7355-1

Atropine Sulfate Injection, USP

8 mg/20 mL (0.4mg/mL)

1 x 20 Multi-Dose Vial

Rx Only

2.4 Dosing in Patients With Ischemic Heart Disease

Limit the total dose of atropine sulfate to 0.03 to 0.04 mg/kg [ see Warnings and Precautions (5.2)].

13.1 Carcinogenesis, Mutagenesis, Impairment of Fertility

Studies have not been performed to evaluate the carcinogenic or mutagenic potential of atropine or its potential to affect fertility adversely.


Structured Label Content

10 Overdosage (10 OVERDOSAGE)

Excessive dosing may cause palpitation, dilated pupils, difficulty in swallowing, hot dry skin, thirst, dizziness, restlessness, tremor, fatigue and ataxia. Toxic doses lead to restlessness and excitement, hallucinations, delirium and coma. Depression and circulatory collapse occur only with severe intoxication. In such cases, blood pressure declines and death due to respiratory failure may ensue following paralysis and coma.

The fatal adult dose of atropine is not known. In pediatric populations, 10 mg or less may be fatal.

In the event of toxic overdosage, a short acting barbiturate or diazepam may be given as needed to control marked excitement and convulsions. Large doses for sedation should be avoided because central depressant action may coincide with the depression occurring late in atropine poisoning. Central stimulants are not recommended.

Physostigmine, given as an atropine antidote by slow intravenous injection of 1 to 4 mg (0.5 to 1 mg in pediatric populations), rapidly abolishes delirium and coma caused by large doses of atropine. Since physostigmine is rapidly destroyed, the patient may again lapse into coma after one to two hours, and repeated doses may be required.

Artificial respiration with oxygen may be necessary. Ice bags and alcohol sponges help to reduce fever, especially in pediatric populations.

Atropine is not removed by dialysis.

8.1 Pregnancy

Risk Summary

Limited available data with Atropine Sulfate Injection use in pregnant women are insufficient to inform a drug associated risk of adverse developmental outcomes ( see Data). There are risks to the mother and fetus associated with untreated severe or life-threatening muscarinic events ( see Clinical  Considerations). Animal reproduction studies have not been conducted with Atropine Sulfate Injection. The estimated background risk of major birth defects and miscarriage for the indicated population is unknown. All pregnancies have a background risk of birth defect, loss, or other adverse outcomes. In the U.S. general population, the estimated background risk of major birth defects and miscarriage in clinically recognized pregnancies is 2-4% and 15-20%, respectively.

Clinical Considerations

Disease -associated maternal and/or embryo/fetal risk

Severe or life-threatening muscarinic events such as acute organophosphate poisoning and symptomatic bradycardia are medical emergencies in pregnancy which can be fatal if left untreated. Life-sustaining therapy for the pregnant woman should not be withheld due to potential concerns regarding the effects of atropine on the fetus.

Data

Human Data

No adequate and well-controlled studies are available regarding use of atropine in pregnant women. In a cohort study of 401 pregnancies in the first trimester and 797 pregnancies in the second or third trimester, atropine use was not associated with an increased risk of congenital malformation. In a surveillance study, 381 newborns were exposed to atropine during the first trimester; 18 major birth defects were observed when 16 were expected. No specific pattern of major birth defects was identified. In another surveillance study of 50 pregnancies in the first trimester, atropine use was not associated with an increased risk of malformations. Methodological limitations of these observational studies including the inability to control for the dosage and timing of atropine exposure, underlying maternal disease, or concomitant maternal drug use, cannot definitively establish or exclude any drug-associated risk during pregnancy.

8.2 Lactation

Risk Summary

Trace amounts of atropine have been reported in human milk after oral intake. There are no available data on atropine levels in human milk after intravenous injection, the effects on the breastfed infant, or the effects on milk production. The lack of clinical data during lactation precludes a clear determination of the risk of atropine to an infant during lactation.

Clinical Considerations

Minimizing exposure

The elimination half-life of atropine is more than doubled in children less than 2 years of age [ see Clinical Pharmacology (12.3)]. To minimize potential infant exposure to Atropine Sulfate Injection, a woman may pump and discard her milk for 24 hours after use before resuming to breastfeed her infant .

11 Description (11 DESCRIPTION)

Atropine Sulfate Injection, USP is a sterile, nonpyrogenic, isotonic, clear colorless solution of atropine sulfate in water for injection with sodium chloride sufficient to render the solution isotonic. It is administered parenterally by subcutaneous, intramuscular or intravenous injection.

Each mL contains atropine sulfate, 0.4 mg; benzyl alcohol, 9 mg; sodium chloride 9 mg. May contain sulfuric acid for pH adjustment. pH 3.5 (3.0 to 3.8).

Sodium chloride added to render the solution isotonic for injection of the active ingredient is present in amounts insufficient to affect serum electrolyte balance of sodium (Na +) and chloride (Cl -) ions.

Atropine Sulfate, USP is chemically designated lα H, 5α H-Tropan-3-α-ol (±)-tropate (ester), sulfate (2:1) (salt) monohydrate, (C 17H 23NO 3)2 · H 2SO 4· H 2O, colorless, almost white or white solid powder very soluble in water. It has the following structural formula:

Atropine, a naturally occurring belladonna alkaloid, is a racemic mixture of equal parts of d-and 1-hyocyamine, whose activity is due almost entirely to the levo isomer of the drug.

Sodium Chloride, USP is chemically designated NaCl, a colorless, cubic crystal or white crystalline powder freely soluble in water.

7.1 Mexiletine

Atropine Sulfate Injection decreased the rate of mexiletine absorption without altering the relative oral bioavailability; this delay in mexiletine absorption was reversed by the combination of atropine and intravenous metoclopramide during pretreatment for anesthesia.

2.2 Adult Dosage

Table 1: Recommended Dosage in Adult Patients

Use

Initial Dose

Continued Treatment

Antisialagogue or other antivagal (preanesthesia and during surgery)

0.5 to 1 mg IV/IM/SC 30-60 minutes preoperatively

Repeat as needed every 4-6 hours.

Maximum Total Dose

3 mg

Organophosphorus, carbamate, or muscarinic mushroom poisoning

1 to 6 mg IV/IM/ET depending on severity of symptoms

Repeat as needed every 3 to 5 minutes

Dose may be doubled with each administration until response (reduced bronchospasm, improved oxygenation and drying of pulmonary secretions).

Maintenance Dose:Administer 10% to 20% of the loading dose required for response as a continuous infusion per hour and titrate.

Maximum Total Dose:

No maximum total dose.

Symptomatic bradycardia*

0.5 mg IV/IM or 1 to 2 mg ET by diluting in no more than 10 mL sterile water for injection or 0.9% sodium chloride

As needed every 3 to 5 minutes

Maximum Total Dose

3 mg

IV=intravenous; IM=intramuscular; SC=subcutaneous; ET=endotracheal

*Do not rely on atropine in type II second-degree or third-degree AV block with wide QRS complexes because these bradyarrhythmias are not likely to be responsive to reversal of cholinergic effects by atropine. Atropine has no effect on bradycardia in patients with transplanted hearts

5.6 Viscid Plugs

Atropine may cause thickening of bronchial secretions and formation of viscid plugs in patients with chronic lung disease.

Spl Unclassified (SPL UNCLASSIFIED)

Manufactured for:

Somerset Therapeutics, LLC

Somerset, NJ 08873

Made in India

Code No.: KR/DRUGS/KTK/28/289/97

1201089

ST-ATR11/P/00

8.5 Geriatric Use

An evaluation of current literature revealed no clinical experience identifying differences in response between elderly and younger patients. In general, dose selection for an elderly patient should be cautious, usually starting at the low end of the dosing range, reflecting the greater frequency of decreased hepatic, renal, or cardiac function, and of concomitant disease or other drug therapy.

5.3 Acute Glaucoma

Atropine may precipitate acute glaucoma.

5.7 Benzyl Alcohol

The preservative benzyl alcohol has been associated with serious adverse events and death in neonates. The "gasping syndrome" (characterized by central nervous system depression, metabolic acidosis, gasping respirations, and high levels of benzyl alcohol and its metabolites found in the blood and urine) has been associated with benzyl alcohol dosages >99 mg/kg/day in neonates and low-birth weight infants. Additional symptoms may include gradual neurological deterioration, seizures, intracranial hemorrhage, hematologic abnormalities, skin breakdown, hepatic and renal failure, hypotension, bradycardia, and cardiovascular collapse.

Although normal therapeutic doses of this product deliver amounts of benzyl alcohol that are substantially lower than those reported in association with the "gasping syndrome", the minimum amount of benzyl alcohol at which toxicity may occur is not known. Premature and low-birth weight infants may be more likely to develop toxicity. Practitioners administering this and other medications containing benzyl alcohol should consider the combined daily metabolic load of benzyl alcohol from all sources.

4 Contraindications (4 CONTRAINDICATIONS)

None.

6 Adverse Reactions (6 ADVERSE REACTIONS)

The following adverse reactions are described elsewhere in labeling:

• Hypersensitivity (5.1)

• Worsening of Ischemic Heart Disease (5.2)

• Acute Glaucoma (5.3)

• Pyloric Obstruction (5.4)

• Complete Urinary Retention (5.5)

• Viscid Plugs (5.6)

The following adverse reactions have been identified during post-approval use of atropine sulfate. Because these reactions are reported voluntarily from a population of uncertain size, it is not always possible to reliably estimate their frequency or establish a causal relationship to drug exposure. Most of the side effects of atropine are directly related to its antimuscarinic action. Dryness of the mouth, blurred vision, photophobia and tachycardia commonly occur. Anhidrosis can produce heat intolerance. Constipation and difficulty in micturition may occur. Occasional hypersensitivity reactions have been observed, including serious skin rashes. Paralytic ileus may occur. Exacerbation of reflux has been reported. Larger or toxic doses may produce such central effects as restlessness, tremor, fatigue, locomotor difficulties, delirium, followed by hallucinations, depression, and ultimately, medullary paralysis and death. Large doses can also lead to circulatory collapse. In such cases, blood pressure declines and death due to respiratory failure may ensue following paralysis and coma.

7 Drug Interactions (7 DRUG INTERACTIONS)

Mexiletine: Decreases rate of mexiletine absorption. (7.1)

2.3 Pediatric Dosage

Table 2: Recommended Dosage in Pediatric Patients

Use

Initial Dose

Continued Treatment

Antisialagogue or other antivagal (preanesthesia and during surgery) *

0.02 mg/kg IV/IM/SC

30-60 minutes preoperatively

Repeat as needed every 4-6 hours

Maximum Single Dose

Less than 12 years old:0.5 mg 12 years and older:1 mg

Maximum Total Dose

Less than 12 years old:1 mg 12 years and older:2 mg

Organophosphorus,

carbamate or

muscarinic

mushroom poisoning

0.02 to 0.06 mg/kg

IV/IM/IO/ET

Repeat as needed every 5 minutes

Dose may be doubled with each administration until response (reduced bronchospasm, improved oxygenation and drying of

pulmonary secretions).

Maintenance Dose:Administer 10% to 20% of the loading dose required for response as a continuous infusion per hour and titrate as needed.

Maximum Total Dose:

No maximum total dose.

Symptomatic

bradycardia due to

increased vagal tone

or primary AV

conduction block

(not secondary to

hypoxia) **

0.02 mg/kg IV/IO or

0.04 to 0.06 mg/kg via

endotracheal tube

followed by 1 to 5 mL

flush of normal saline

followed by 5

ventilations

Repeat as needed every 5 minutes

Maximum Single Dose

Less than12 years old:0.5 mg

12 years and older:1 mg

IV=intravenous; IM=intramuscular; SC=subcutaneous; IO=intraosseous; ET=endotracheal;

*Available evidence does not support the routine use of atropine in emergency intubation of critically ill infants and children except in specific emergency intubations when there is higher risk of bradycardia

** Atropine has no effect on bradycardia in patients with transplanted hearts.

5.1 Hypersensitivity

Atropine may cause anaphylaxis.

12.2 Pharmacodynamics

Atropine-induced parasympathetic inhibition may be preceded by a transient phase of stimulation, especially on the heart where small doses first slow the rate before characteristic tachycardia develops due to paralysis of vagal control. Atropine exerts a more potent and prolonged effect on heart, intestine and bronchial muscle than scopolamine, but its action on the iris, ciliary body and certain secretory glands is weaker than that of scopolamine. Unlike the latter, atropine in clinical doses does not depress the central nervous system but may stimulate the medulla and higher cerebral centers. Although mild vagal excitation occurs, the increased respiratory rate and (sometimes) increased depth of respiration produced by atropine are more probably the result of bronchiolar dilatation. Accordingly, atropine is an unreliable respiratory stimulant and large or repeated doses may depress respiration.

Adequate doses of atropine abolish various types of reflex vagal cardiac slowing or asystole. The drug also prevents or abolishes bradycardia or asystole produced by injection of choline esters, anticholinesterase agents or other parasympathomimetic drugs, and cardiac arrest produced by stimulation of the vagus. Atropine also may lessen the degree of partial heart block when vagal activity is an etiologic factor. In some patients with complete heart block, the idioventricular rate may be accelerated by atropine; in others, the rate is stabilized. Occasionally a large dose may cause atrioventricular (A-V) block and nodal rhythm.

Atropine in clinical doses counteracts the peripheral dilatation and abrupt decrease in blood pressure produced by choline esters. However, when given by itself, atropine does not exert a striking or uniform effect on blood vessels or blood pressure. Systemic doses slightly raise systolic and lower diastolic pressures and can produce significant postural hypotension. Such doses also slightly increase cardiac output and decrease central venous pressure. Occasionally, therapeutic doses dilate cutaneous blood vessels, particularly in the "blush" area (atropine flush), and may cause atropine "fever" due to suppression of sweat gland activity in infants and small children.

 

The effects of intravenous atropine on heart rate (maximum heart rate) and saliva flow (minimum flow) after I.V. administration (rapid, constant infusion over 3 min.) are delayed by 7 to 8 minutes after drug administration and both effects are non-linearly related to the amount of drug in the peripheral compartment. Changes in plasma atropine levels following intramuscular administration

(0.5 to 4 mg doses) and heart rate are closely overlapped but the time course of the changes in atropine levels and behavioral impairment indicates that pharmacokinetics is not the primary rate-limiting mechanism for the central nervous system effect of atropine.

12.3 Pharmacokinetics

Absorption

After intramuscular administration, atropine is absorbed with peak concentration occurring at 30 min following injection.

Effects of exercise:

Exercise following intramuscular administration of atropine significantly increases the absorption of atropine due to increased perfusion in the muscle, with an increase in AUC by approximately 20% and Cmax by approximately 80%.

Distribution

Atropine is distributed throughout the body. Atropine's plasma protein binding is about 44% and saturable in the 2 to 20 mcg/mL concentration range.

Elimination

The pharmacokinetics of atropine is nonlinear after intravenous administration of 0.5 to 4 mg. Atropine disappears from the blood following injection with a plasma half-life of about 2-4 hours. Much of the drug is destroyed by enzymatic hydrolysis, particularly in the liver, with 13 to 50% is excreted unchanged in the urine.

Metabolism

The major metabolites of atropine are noratropine, atropin-n-oxide, tropine, and tropic acid. The metabolism of atropine is inhibited by organophosphate pesticides.

Specific Populations

Pregnant Women

Atropine readily crosses the placental barrier and enters the fetal circulation, but is not found in amniotic fluid.

Nursing Mother

Traces are found in various secretions, including milk.

Pediatric and Geriatric Patients

The elimination half-life of atropine is more than doubled in children under two years, and the elderly (> 65 years old) compared to other age groups.

1 Indications and Usage (1 INDICATIONS AND USAGE)

Atropine is indicated for temporary blockade of severe or life threatening muscarinic effects, e.g., as an antisialagogue, an antivagal agent, an antidote for organophosphorus, carbamate, or muscarinic mushroom poisoning, and to treat symptomatic bradycardia

5.4 Pyloric Obstruction

Atropine may convert partial organic pyloric stenosis into complete obstruction.

12.1 Mechanism of Action

Atropine is an antimuscarinic agent since it antagonizes the muscarine-like actions of acetylcholine and other choline esters.

Atropine inhibits the muscarinic actions of acetylcholine on structures innervated by postganglionic cholinergic nerves, and on smooth muscles which respond to endogenous acetylcholine but are not so innervated. As with other antimuscarinic agents, the major action of atropine is a competitive or surmountable antagonism which can be overcome by increasing the concentration of acetylcholine at receptor sites of the effector organ (e.g., by using anticholinesterase agents which inhibit the enzymatic destruction of acetylcholine). The receptors antagonized by atropine are the peripheral structures that are stimulated or inhibited by muscarine (i.e., exocrine glands and smooth and cardiac muscle). Responses to postganglionic cholinergic nerve stimulation also may be inhibited by atropine but this occurs less readily than with responses to injected (exogenous) choline esters.

2.1 General Administration

Inspect parenteral drug products for particulate matter and discoloration prior to administration, whenever solution and container permit. Do not administer unless solution is clear and seal is intact. After initial use, discard unused portion within 24 hours.

Intravenous administration is usually preferred, but subcutaneous, intramuscular, endotracheal, and intraosseous administration are possible.

5 Warnings and Precautions (5 WARNINGS AND PRECAUTIONS)

Hypersensitivity (5.1)

Worsening of Ischemic Heart Disease (5.2)

Acute Glaucoma (5.3)

Pyloric obstruction (5.4)

Complete urinary retention (5.5)

Viscid plugs (5.6)

2 Dosage and Administration (2 DOSAGE AND ADMINISTRATION)

  Dosage is individualized by use, refer to the full prescribing information for recommended adult and pediatric dosages (2.2, 2.3).

  Patients with Ischemic Heart Disease: Do not exceed 0.04 mg/kg. (2.4, 5.2)

3 Dosage Forms and Strengths (3 DOSAGE FORMS AND STRENGTHS)

Atropine Sulfate Injection, USP, 8 mg per 20 mL (0.4 mg per mL), is a non-pyrogenic, isotonic, clear solution and is supplied in a multiple dose glass vial.

5.5 Complete Urinary Retention

Atropine may lead to complete urinary retention in patients with prostatic hypertrophy.

16 How Supplied/storage and Handling (16 HOW SUPPLIED/STORAGE AND HANDLING)

Atropine Sulfate Injection, USP is a non-pyrogenic, isotonic, clear colorless solution and is supplied as follows:

Presentation

Single Vial

10 Vial Pack

NDC#

70069-481-01

70069-481-10

Description

8 mg per 20 mL

(0.4 mg per mL)

Multiple-dose vial

20 mL multiple-dose vial, packaged in a carton containing 10 vials.

Store at 20° to 25°C (68° to 77°F) [see USP Controlled Room Temperature]. After initial use, store between 20° to 25°C (68° to 77°F) and discard within 24 hours.

Principal Display Panel Vial Label (PRINCIPAL DISPLAY PANEL - VIAL LABEL)

Atropine Sulfate Injection, USP

8mg/20 mL (0.4mg/mL)

20 mL Multi-Dose Vial

Rx Only

5.2 Worsening of Ischemic Heart Disease

In patients with ischemic heart disease, the total dose should be restricted to 2 to 3 mg (maximum 0.03 to 0.04 mg/kg) to avoid atropine-induced tachycardia, increased myocardial oxygen demand and the potential for worsening cardiac ischemia or increasing infarction size.

Principal Display Panel Outer Package (PRINCIPAL DISPLAY PANEL - OUTER PACKAGE)

NDC 71872-7355-1

Atropine Sulfate Injection, USP

8 mg/20 mL (0.4mg/mL)

1 x 20 Multi-Dose Vial

Rx Only

2.4 Dosing in Patients With Ischemic Heart Disease (2.4 Dosing in Patients with Ischemic Heart Disease)

Limit the total dose of atropine sulfate to 0.03 to 0.04 mg/kg [ see Warnings and Precautions (5.2)].

13.1 Carcinogenesis, Mutagenesis, Impairment of Fertility

Studies have not been performed to evaluate the carcinogenic or mutagenic potential of atropine or its potential to affect fertility adversely.


Advanced Ingredient Data


Raw Label Data

All Sections (JSON)