Clindamycin Phosphate Topical Solution Usp, 1%

Clindamycin Phosphate Topical Solution Usp, 1%
SPL v1
SPL
SPL Set ID 407f6d80-7de0-45d9-8ad2-5b95d233b96d
Route
TOPICAL
Published
Effective Date 2024-11-08
Document Type 34391-3 Human Prescription Drug Label

Drug Facts

Composition & Product

Active Ingredients
Clindamycin (10 mg)
Inactive Ingredients
Isopropyl Alcohol Propylene Glycol Sodium Hydroxide Water

Identifiers & Packaging

Marketing Status
ANDA Active Since 2024-11-14

Description

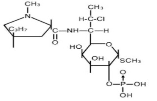
Clindamycin phosphate topical solution USP, 1% contain clindamycin phosphate, USP, at a concentration equivalent to 10 mg clindamycin per milliliter. Clindamycin phosphate is a water soluble ester of the semi-synthetic antibiotic produced by a 7(S)–chloro-substitution of the 7(R)-hydroxyl group of the parent antibiotic lincomycin. The solution contains isopropyl alcohol 50% v/v, propylene glycol, sodium hydroxide and purified water. The structural formula is represented below: The chemical name for clindamycin phosphate is Methyl 7-chloro-6,7,8-trideoxy-6-(1-methyl- trans -4-propyl-L-2-pyrrolidinecarboxamido)-1-thio-L- threo -α-D- galacto -octopyranoside 2-(dihydrogen phosphate). 

Contraindications

Clindamycin phosphate topical solution USP, 1% is contraindicated in individuals with a history of hypersensitivity to preparations containing clindamycin or lincomycin, a history of regional enteritis or ulcerative colitis, or a history of antibiotic-associated colitis.

Adverse Reactions

In 18 clinical studies of various formulations of clindamycin phosphate using placebo vehicle and/or active comparator drugs as controls, patients experienced a number of treatment emergent adverse dermatologic events [see table below]. Number of Patients Reporting Events Treatment Emergent Adverse Event Solution n = 553(%) Gel n=148 (%) Lotion n=160(%) Burning 62 (11) 15 (10) 17 (11) Itching 36 (7) 15 (10) 17 (11) Burning/Itching 60 (11) # (-) # (-) Dryness 105 (19) 34 (23) 29 (18) Erythema 86 (16) 10 (7) 22 (14) Oiliness/Oily Skin 8 (1) 26 (18) 12*(10) Peeling 61 (11) # (-) 11 (7) # not recorded * of 126 subjects Orally and parenterally administered clindamycin has been associated with severe colitis which may end fatally. Cases of diarrhea, bloody diarrhea and colitis (including pseudomembranous colitis) have been reported as adverse reactions in patients treated with oral and parenteral formulations of clindamycin and rarely with topical clindamycin ( see WARNINGS ).   Abdominal pain, gastrointestinal disturbances, gram-negative folliculitis, eye pain and contact dermatitis have also been reported in association with the use of topical formulations of clindamycin.

Drug Interactions

Clindamycin has been shown to have neuromuscular blocking properties that may enhance the action of other neuromuscular blocking agents. Therefore, it should be used with caution in patients receiving such agents.

How Supplied

Clindamycin phosphate topical solution USP, 1% containing clindamycin phosphate equivalent to 10 mg clindamycin per millilitre is available in the following size: 60 mL Bottle – NDC – 72603-321-02 30 mL Bottle – NDC – 72603-321-01 Store at controlled room temperature 20° to 25°C (68° to 77°F). Protect from freezing. You may report side effects to FDA at 1-800-FDA-1088 or www.fda.gov/medwatch. You may also report side effects to Northstar Healthcare Rx LLC at (1-800-206-7821) .  Rx only Manufactured By: Encube Ethicals Pvt. Ltd. Plot No. C-1, Madkaim Ind. Estate, Madkaim, Post Mardol, Ponda, Goa-403 404, India. Manufactured for: Northstar Rx LLC. Memphis, TN 38141. Toll-free: 1-800-206-7821 Rev: 07/24


Medication Information

Contraindications


Clindamycin phosphate topical solution USP, 1% is contraindicated in individuals with a history of hypersensitivity to preparations containing clindamycin or lincomycin, a history of regional enteritis or ulcerative colitis, or a history of antibiotic-associated colitis.

Adverse Reactions


In 18 clinical studies of various formulations of clindamycin phosphate using placebo vehicle and/or active comparator drugs as controls, patients experienced a number of treatment emergent adverse dermatologic events [see table below].







Number of Patients Reporting Events
Treatment Emergent

Adverse Event

Solution

n = 553(%)

Gel

n=148 (%)


Lotion

n=160(%)


Burning

62 (11)

15 (10)

17 (11)

Itching

36 (7)

15 (10)

17 (11)

Burning/Itching

60 (11)

# (-)

# (-)

Dryness

105 (19)

34 (23)

29 (18)

Erythema

86 (16)

10 (7)

22 (14)

Oiliness/Oily Skin

8 (1)

26 (18)

12*(10)

Peeling

61 (11)

# (-)

11 (7)



# not recorded

* of 126 subjects



Orally and parenterally administered clindamycin has been associated with severe colitis which may end fatally.

Cases of diarrhea, bloody diarrhea and colitis (including pseudomembranous colitis) have been reported as adverse reactions in patients treated with oral and parenteral formulations of clindamycin and rarely with topical clindamycin (see WARNINGS).  

Abdominal pain, gastrointestinal disturbances, gram-negative folliculitis, eye pain and contact dermatitis have also been reported in association with the use of topical formulations of clindamycin.

Drug Interactions


Clindamycin has been shown to have neuromuscular blocking properties that may enhance the action of other neuromuscular blocking agents. Therefore, it should be used with caution in patients receiving such agents.

How Supplied


Clindamycin phosphate topical solution USP, 1% containing clindamycin phosphate equivalent to 10 mg clindamycin per millilitre is available in the following size:

60 mL Bottle – NDC – 72603-321-02

30 mL Bottle – NDC – 72603-321-01

Store at controlled room temperature 20° to 25°C (68° to 77°F).

Protect from freezing.



You may report side effects to FDA at 1-800-FDA-1088 or www.fda.gov/medwatch. You may also report side effects to Northstar Healthcare Rx LLC at (1-800-206-7821)



Rx only



Manufactured By:

Encube Ethicals Pvt. Ltd.

Plot No. C-1, Madkaim Ind. Estate,

Madkaim, Post Mardol, Ponda,

Goa-403 404, India.



Manufactured for:

Northstar Rx LLC.

Memphis, TN 38141.

Toll-free: 1-800-206-7821



Rev: 07/24

Description


Clindamycin phosphate topical solution USP, 1% contain clindamycin phosphate, USP, at a concentration equivalent to 10 mg clindamycin per milliliter.



Clindamycin phosphate is a water soluble ester of the semi-synthetic antibiotic produced by a 7(S)–chloro-substitution of the 7(R)-hydroxyl group of the parent antibiotic lincomycin.



The solution contains isopropyl alcohol 50% v/v, propylene glycol, sodium hydroxide and purified water.



The structural formula is represented below:











The chemical name for clindamycin phosphate is Methyl 7-chloro-6,7,8-trideoxy-6-(1-methyl-trans-4-propyl-L-2-pyrrolidinecarboxamido)-1-thio-L-threo-α-D-galacto-octopyranoside 2-(dihydrogen phosphate). 

General


Clindamycin phosphate topical solution USP, 1% contains an alcohol base which will cause burning and irritation of the eye. In the event of accidental contact with sensitive surfaces (eye, abraded skin, mucous membranes), bathe with copious amounts of cool tap water. The solution has an unpleasant taste and caution should be exercised when applying medication around the mouth.



Clindamycin phosphate topical solution USP, 1% should be prescribed with caution in atopic individuals.

Warnings


Orally and parenterally administered clindamycin has been associated with severe colitis which may result in patient death. Use of the topical formulation of clindamycin results in absorption of the antibiotic from the skin surface. Diarrhea, bloody diarrhea, and colitis (including pseudomembranous colitis) have been reported with the use of topical and systemic clindamycin.

Studies indicate a toxin(s) produced by clostridia is one primary cause of antibiotic-associated colitis. The colitis is usually characterized by severe persistent diarrhea and severe abdominal cramps and may be associated with the passage of blood and mucus. Endoscopic examination may reveal pseudomembranous colitis. Stool culture for Clostridium difficile and stool assay for C. difficile toxin may be helpful diagnostically.



When significant diarrhea occurs, the drug should be discontinued. Large bowel endoscopy should be considered to establish a definitive diagnosis in cases of severe diarrhea.



Antiperistaltic agents such as opiates and diphenoxylate with atropine may prolong and/or worsen the condition. Vancomycin has been found to be effective in the treatment of antibiotic-associated pseudomembranous colitis produced by Clostridium difficile. The usual adult dosage is 500 milligrams to 2 grams of vancomycin orally per day in three to four divided doses administered for 7 to 10 days. Cholestyramine or colestipol resins bind vancomycin in vitro . If both a resin and vancomycin are to be administered concurrently, it may be advisable to separate the time of administration of each drug.



Diarrhea, colitis, and pseudomembranous colitis have been observed to begin up to several weeks following cessation of oral and parenteral therapy with clindamycin.

Overdosage


Topically applied clindamycin phosphate topical solution USP, 1% can be absorbed in sufficient amounts to produce systemic effects (see WARNINGS).

Pregnancy:


Teratogenic effects

In clinical trials with pregnant women, the systemic administration of clindamycin during the second and third trimesters has not been associated with an increased frequency of congenital abnormalities. There are no adequate studies in pregnant women during the first trimester of pregnancy. Clindamycin should be used during the first trimester of pregnancy only if clearly needed.

Geriatric Use


Clinical studies for clindamycin phosphate did not include sufficient numbers of subjects aged 65 and over to determine whether they respond differently from younger subjects. Other reported clinical experience has not identified differences in responses between the elderly and younger patients.

Pediatric Use


Safety and effectiveness in pediatric patients under the age of 12 have not been established. 

Nursing Mothers


It is not known whether clindamycin is excreted in breast milk following use of clindamycin phosphate topical solution USP, 1%. However, orally and parenterally administered clindamycin has been reported to appear in breast milk. Clindamycin has the potential to cause adverse effects on the breast-fed infant's gastrointestinal flora. Monitor the breast-fed infant for possible adverse effects on the gastrointestinal flora, such as diarrhea, candidiasis (thrush, diaper rash) or rarely, blood in the stool indicating possible antibiotic-associated colitis.

The developmental and health benefits of breastfeeding should be considered along with the mother's clinical need for clindamycin and any potential adverse effects on the breast-fed child from clindamycin or from the underlying maternal condition.

Clinical Considerations 

If used during lactation and clindamycin phosphate topical solution USP, 1% is applied to the chest, care should be taken to avoid accidental ingestion by the infant.

Clinical Pharmacology


Mechanism of Action:

The Mechanism of action of clindamycin in treating acne vulgaris is unknown.

 

Pharmacokinetics

Following multiple topical applications of clindamycin phosphate at a concentration equivalent to 10 mg clindamycin per mL in an isopropyl alcohol and water solution, very low levels of clindamycin are present in the serum (0–3 ng/mL) and less than 0.2% of the dose is recovered in urine as clindamycin.

Although clindamycin phosphate is inactive in vitro, rapid in vivo hydrolysis converts this compound to the antibacterially active clindamycin.

 

Microbiology

Clindamycin inhibits bacterial protein synthesis by binding to the 23S RNA of the 50S subunit of the ribosome. Clindamycin is bacteriostatic.



Antimicrobial Activity

Clindamycin is active in vitro against most isolates of Propionibacterium acnes; however, the clinical significance is unknown.



Resistance

Resistance to clindamycin is most often caused by modification of specific bases of the 23S ribosomal RNA. Cross-resistance between clindamycin and lincomycin is complete. Because the binding sites for these antibacterial drugs overlap, cross resistance is sometimes observed among lincosamides, macrolides and streptogramin B. Macrolide-inducible resistance to clindamycin occurs in some isolates of macrolide-resistant bacteria.

Indications and Usage


Clindamycin phosphate topical solution USP, 1% is indicated in the treatment of acne vulgaris. In view of the potential for diarrhea, bloody diarrhea and pseudomembranous colitis, the physician should consider whether other agents are more appropriate (see CONTRAINDICATIONSWARNINGS and ADVERSE REACTIONS).

Dosage and Administration


Apply a thin film of Clindamycin phosphate topical solution USP, 1% twice daily to affected area.

Keep container tightly closed.

Package Label.principal Display Panel

PRINCIPAL DISPLAY PANEL - 60ML BOTTLE CARTON



NDC - 72603-321-02

Clindamycin Phosphate Topical Solution USP, 1%*

Solution for topical use only

60 mL

Rx only

Store at controlled room temperature 20° to 25°C (68° to 77°F) [see USP].

Protect from freezing.

Store in an upright fashion.

Keep container tightly closed.

For external use only.

Avoid contact with eyes.

Usual Dosage: See accompanying prescribing information.

 

To use enclosed applicator:

1. Remove cap and discard.

2. Firmly press applicator into bottle.

3. Seal firmly by tightening domed-cap.

 

Patient information

1. Clean and dry the skin area to be treated.

2. Apply a thin film of medication to the affected area. Use sparingly, avoiding eyes and mouth. If medication accidentally enters eyes, rinse thoroughly with tap water.

3. If using the applicator top, use dabbing motion of the tip rather than a rolling action. If tip becomes dry, invert the bottle and depress tip several times until it becomes moist.

4. Do not squeeze the bottle. 

*Each mL contains clindamycin phosphate equivalent to 10mg/mL (1%) of clindamycin. Also contains isopropyl alcohol 50%v/v, propylene glycol, sodium hydroxide and purified water.

 

Mfg. Lic. No.: 362

 

Manufactured by:

Encube Ethicals Pvt. Ltd.

Plot No. C-1, Madkaim Industrial Estate,

Madkaim, Post: Mardol, Ponda,

Goa - 403 404, India.



Manufactured for:

Northstar Rx LLC.

Memphis, TN 38141.



Product of China. 





PRINCIPAL DISPLAY PANEL - 30ML BOTTLE CARTON



NDC 72603-321-01

Clindamycin Phosphate Topical Solution USP, 1%*

Solution for topical use only

30 mL

Rx only

Store at controlled room temperature 20° to 25°C (68° to 77°F) [see USP].

Protect from freezing.

Store in an upright fashion.

Keep container tightly closed.

For external use only.

Avoid contact with eyes.

Usual Dosage: See accompanying prescribing information.



To use enclosed applicator:

1. Remove cap and discard.

2. Firmly press applicator into bottle.

3. Seal firmly by tightening domed-cap.



Patient information

1. Clean and dry the skin area to be treated.

2. Apply a thin film of medication to the affected area. Use sparingly, avoiding eyes and mouth. If medication accidentally enters eyes, rinse thoroughly with tap water.

3. If using the applicator top, use dabbing motion of the tip rather than a rolling action. If tip becomes dry, invert the bottle and depress tip several times until it becomes moist.

4. Do not squeeze the bottle. 

*Each mL contains clindamycin phosphate equivalent to 10mg/mL (1%) of clindamycin. Also contains isopropyl alcohol 50%v/v, propylene glycol, sodium hydroxide and purified water.



Mfg. Lic. No.: 362



Manufactured by:

Encube Ethicals Pvt. Ltd.

Plot No. C-1, Madkaim Industrial Estate,

Madkaim, Post: Mardol, Ponda,

Goa - 403 404, India.



Manufactured for:

Northstar Rx LLC.

Memphis, TN 38141.



Product of China. 


Structured Label Content

General


Clindamycin phosphate topical solution USP, 1% contains an alcohol base which will cause burning and irritation of the eye. In the event of accidental contact with sensitive surfaces (eye, abraded skin, mucous membranes), bathe with copious amounts of cool tap water. The solution has an unpleasant taste and caution should be exercised when applying medication around the mouth.



Clindamycin phosphate topical solution USP, 1% should be prescribed with caution in atopic individuals.

Warnings (WARNINGS)


Orally and parenterally administered clindamycin has been associated with severe colitis which may result in patient death. Use of the topical formulation of clindamycin results in absorption of the antibiotic from the skin surface. Diarrhea, bloody diarrhea, and colitis (including pseudomembranous colitis) have been reported with the use of topical and systemic clindamycin.

Studies indicate a toxin(s) produced by clostridia is one primary cause of antibiotic-associated colitis. The colitis is usually characterized by severe persistent diarrhea and severe abdominal cramps and may be associated with the passage of blood and mucus. Endoscopic examination may reveal pseudomembranous colitis. Stool culture for Clostridium difficile and stool assay for C. difficile toxin may be helpful diagnostically.



When significant diarrhea occurs, the drug should be discontinued. Large bowel endoscopy should be considered to establish a definitive diagnosis in cases of severe diarrhea.



Antiperistaltic agents such as opiates and diphenoxylate with atropine may prolong and/or worsen the condition. Vancomycin has been found to be effective in the treatment of antibiotic-associated pseudomembranous colitis produced by Clostridium difficile. The usual adult dosage is 500 milligrams to 2 grams of vancomycin orally per day in three to four divided doses administered for 7 to 10 days. Cholestyramine or colestipol resins bind vancomycin in vitro . If both a resin and vancomycin are to be administered concurrently, it may be advisable to separate the time of administration of each drug.



Diarrhea, colitis, and pseudomembranous colitis have been observed to begin up to several weeks following cessation of oral and parenteral therapy with clindamycin.

Overdosage (OVERDOSAGE)


Topically applied clindamycin phosphate topical solution USP, 1% can be absorbed in sufficient amounts to produce systemic effects (see WARNINGS).

Pregnancy:


Teratogenic effects

In clinical trials with pregnant women, the systemic administration of clindamycin during the second and third trimesters has not been associated with an increased frequency of congenital abnormalities. There are no adequate studies in pregnant women during the first trimester of pregnancy. Clindamycin should be used during the first trimester of pregnancy only if clearly needed.

Description (DESCRIPTION)


Clindamycin phosphate topical solution USP, 1% contain clindamycin phosphate, USP, at a concentration equivalent to 10 mg clindamycin per milliliter.



Clindamycin phosphate is a water soluble ester of the semi-synthetic antibiotic produced by a 7(S)–chloro-substitution of the 7(R)-hydroxyl group of the parent antibiotic lincomycin.



The solution contains isopropyl alcohol 50% v/v, propylene glycol, sodium hydroxide and purified water.



The structural formula is represented below:











The chemical name for clindamycin phosphate is Methyl 7-chloro-6,7,8-trideoxy-6-(1-methyl-trans-4-propyl-L-2-pyrrolidinecarboxamido)-1-thio-L-threo-α-D-galacto-octopyranoside 2-(dihydrogen phosphate). 

How Supplied (HOW SUPPLIED)


Clindamycin phosphate topical solution USP, 1% containing clindamycin phosphate equivalent to 10 mg clindamycin per millilitre is available in the following size:

60 mL Bottle – NDC – 72603-321-02

30 mL Bottle – NDC – 72603-321-01

Store at controlled room temperature 20° to 25°C (68° to 77°F).

Protect from freezing.



You may report side effects to FDA at 1-800-FDA-1088 or www.fda.gov/medwatch. You may also report side effects to Northstar Healthcare Rx LLC at (1-800-206-7821)



Rx only



Manufactured By:

Encube Ethicals Pvt. Ltd.

Plot No. C-1, Madkaim Ind. Estate,

Madkaim, Post Mardol, Ponda,

Goa-403 404, India.



Manufactured for:

Northstar Rx LLC.

Memphis, TN 38141.

Toll-free: 1-800-206-7821



Rev: 07/24

Geriatric Use


Clinical studies for clindamycin phosphate did not include sufficient numbers of subjects aged 65 and over to determine whether they respond differently from younger subjects. Other reported clinical experience has not identified differences in responses between the elderly and younger patients.

Pediatric Use


Safety and effectiveness in pediatric patients under the age of 12 have not been established. 

Nursing Mothers


It is not known whether clindamycin is excreted in breast milk following use of clindamycin phosphate topical solution USP, 1%. However, orally and parenterally administered clindamycin has been reported to appear in breast milk. Clindamycin has the potential to cause adverse effects on the breast-fed infant's gastrointestinal flora. Monitor the breast-fed infant for possible adverse effects on the gastrointestinal flora, such as diarrhea, candidiasis (thrush, diaper rash) or rarely, blood in the stool indicating possible antibiotic-associated colitis.

The developmental and health benefits of breastfeeding should be considered along with the mother's clinical need for clindamycin and any potential adverse effects on the breast-fed child from clindamycin or from the underlying maternal condition.

Clinical Considerations 

If used during lactation and clindamycin phosphate topical solution USP, 1% is applied to the chest, care should be taken to avoid accidental ingestion by the infant.

Adverse Reactions (ADVERSE REACTIONS)


In 18 clinical studies of various formulations of clindamycin phosphate using placebo vehicle and/or active comparator drugs as controls, patients experienced a number of treatment emergent adverse dermatologic events [see table below].







Number of Patients Reporting Events
Treatment Emergent

Adverse Event

Solution

n = 553(%)

Gel

n=148 (%)


Lotion

n=160(%)


Burning

62 (11)

15 (10)

17 (11)

Itching

36 (7)

15 (10)

17 (11)

Burning/Itching

60 (11)

# (-)

# (-)

Dryness

105 (19)

34 (23)

29 (18)

Erythema

86 (16)

10 (7)

22 (14)

Oiliness/Oily Skin

8 (1)

26 (18)

12*(10)

Peeling

61 (11)

# (-)

11 (7)



# not recorded

* of 126 subjects



Orally and parenterally administered clindamycin has been associated with severe colitis which may end fatally.

Cases of diarrhea, bloody diarrhea and colitis (including pseudomembranous colitis) have been reported as adverse reactions in patients treated with oral and parenteral formulations of clindamycin and rarely with topical clindamycin (see WARNINGS).  

Abdominal pain, gastrointestinal disturbances, gram-negative folliculitis, eye pain and contact dermatitis have also been reported in association with the use of topical formulations of clindamycin.

Contraindications (CONTRAINDICATIONS)


Clindamycin phosphate topical solution USP, 1% is contraindicated in individuals with a history of hypersensitivity to preparations containing clindamycin or lincomycin, a history of regional enteritis or ulcerative colitis, or a history of antibiotic-associated colitis.

Drug Interactions


Clindamycin has been shown to have neuromuscular blocking properties that may enhance the action of other neuromuscular blocking agents. Therefore, it should be used with caution in patients receiving such agents.

Clinical Pharmacology (CLINICAL PHARMACOLOGY)


Mechanism of Action:

The Mechanism of action of clindamycin in treating acne vulgaris is unknown.

 

Pharmacokinetics

Following multiple topical applications of clindamycin phosphate at a concentration equivalent to 10 mg clindamycin per mL in an isopropyl alcohol and water solution, very low levels of clindamycin are present in the serum (0–3 ng/mL) and less than 0.2% of the dose is recovered in urine as clindamycin.

Although clindamycin phosphate is inactive in vitro, rapid in vivo hydrolysis converts this compound to the antibacterially active clindamycin.

 

Microbiology

Clindamycin inhibits bacterial protein synthesis by binding to the 23S RNA of the 50S subunit of the ribosome. Clindamycin is bacteriostatic.



Antimicrobial Activity

Clindamycin is active in vitro against most isolates of Propionibacterium acnes; however, the clinical significance is unknown.



Resistance

Resistance to clindamycin is most often caused by modification of specific bases of the 23S ribosomal RNA. Cross-resistance between clindamycin and lincomycin is complete. Because the binding sites for these antibacterial drugs overlap, cross resistance is sometimes observed among lincosamides, macrolides and streptogramin B. Macrolide-inducible resistance to clindamycin occurs in some isolates of macrolide-resistant bacteria.

Indications and Usage (INDICATIONS AND USAGE)


Clindamycin phosphate topical solution USP, 1% is indicated in the treatment of acne vulgaris. In view of the potential for diarrhea, bloody diarrhea and pseudomembranous colitis, the physician should consider whether other agents are more appropriate (see CONTRAINDICATIONSWARNINGS and ADVERSE REACTIONS).

Dosage and Administration (DOSAGE AND ADMINISTRATION)


Apply a thin film of Clindamycin phosphate topical solution USP, 1% twice daily to affected area.

Keep container tightly closed.

Package Label.principal Display Panel (PACKAGE LABEL.PRINCIPAL DISPLAY PANEL)

PRINCIPAL DISPLAY PANEL - 60ML BOTTLE CARTON



NDC - 72603-321-02

Clindamycin Phosphate Topical Solution USP, 1%*

Solution for topical use only

60 mL

Rx only

Store at controlled room temperature 20° to 25°C (68° to 77°F) [see USP].

Protect from freezing.

Store in an upright fashion.

Keep container tightly closed.

For external use only.

Avoid contact with eyes.

Usual Dosage: See accompanying prescribing information.

 

To use enclosed applicator:

1. Remove cap and discard.

2. Firmly press applicator into bottle.

3. Seal firmly by tightening domed-cap.

 

Patient information

1. Clean and dry the skin area to be treated.

2. Apply a thin film of medication to the affected area. Use sparingly, avoiding eyes and mouth. If medication accidentally enters eyes, rinse thoroughly with tap water.

3. If using the applicator top, use dabbing motion of the tip rather than a rolling action. If tip becomes dry, invert the bottle and depress tip several times until it becomes moist.

4. Do not squeeze the bottle. 

*Each mL contains clindamycin phosphate equivalent to 10mg/mL (1%) of clindamycin. Also contains isopropyl alcohol 50%v/v, propylene glycol, sodium hydroxide and purified water.

 

Mfg. Lic. No.: 362

 

Manufactured by:

Encube Ethicals Pvt. Ltd.

Plot No. C-1, Madkaim Industrial Estate,

Madkaim, Post: Mardol, Ponda,

Goa - 403 404, India.



Manufactured for:

Northstar Rx LLC.

Memphis, TN 38141.



Product of China. 





PRINCIPAL DISPLAY PANEL - 30ML BOTTLE CARTON



NDC 72603-321-01

Clindamycin Phosphate Topical Solution USP, 1%*

Solution for topical use only

30 mL

Rx only

Store at controlled room temperature 20° to 25°C (68° to 77°F) [see USP].

Protect from freezing.

Store in an upright fashion.

Keep container tightly closed.

For external use only.

Avoid contact with eyes.

Usual Dosage: See accompanying prescribing information.



To use enclosed applicator:

1. Remove cap and discard.

2. Firmly press applicator into bottle.

3. Seal firmly by tightening domed-cap.



Patient information

1. Clean and dry the skin area to be treated.

2. Apply a thin film of medication to the affected area. Use sparingly, avoiding eyes and mouth. If medication accidentally enters eyes, rinse thoroughly with tap water.

3. If using the applicator top, use dabbing motion of the tip rather than a rolling action. If tip becomes dry, invert the bottle and depress tip several times until it becomes moist.

4. Do not squeeze the bottle. 

*Each mL contains clindamycin phosphate equivalent to 10mg/mL (1%) of clindamycin. Also contains isopropyl alcohol 50%v/v, propylene glycol, sodium hydroxide and purified water.



Mfg. Lic. No.: 362



Manufactured by:

Encube Ethicals Pvt. Ltd.

Plot No. C-1, Madkaim Industrial Estate,

Madkaim, Post: Mardol, Ponda,

Goa - 403 404, India.



Manufactured for:

Northstar Rx LLC.

Memphis, TN 38141.



Product of China. 


Advanced Ingredient Data


Raw Label Data

All Sections (JSON)