These Highlights Do Not Include All The Information Needed To Use Hydrocodone Bitartrate And Homatropine Methylbromide Oral Solution (syrup) Safely And Effectively. See Full Prescribing Information For Hydrocodone Bitartrate And Homatropine Methylbromide Oral Solution (syrup)

These Highlights Do Not Include All The Information Needed To Use Hydrocodone Bitartrate And Homatropine Methylbromide Oral Solution (syrup) Safely And Effectively. See Full Prescribing Information For Hydrocodone Bitartrate And Homatropine Methylbromide Oral Solution (syrup)
SPL v8
SPL
SPL Set ID 4050ae05-7f1a-48b7-99b9-f8db8aa02741
Route
ORAL
Published
Effective Date 2024-10-08
Document Type 34391-3 HUMAN PRESCRIPTION DRUG LABEL

Drug Facts

Composition & Product

Active Ingredients
Hydrocodone (5 mg) Methylhomatropine (1.5 mg)
Inactive Ingredients
Cherry Anhydrous Citric Acid Sodium Citrate Fd&c Red No. 40 Methylparaben Propylene Glycol Propylparaben Water Sorbitol Sucrose

Identifiers & Packaging

Pill Appearance
Color: red
Marketing Status
ANDA Active Since 2017-02-13

Description

WARNING: ADDICTION, ABUSE, AND MISUSE; LIFE-THREATENING RESPIRATORY DEPRESSION; ACCIDENTAL INGESTION; MEDICATION ERRORS; CYTOCHROME P450 3A4 INTERACTION; CONCOMITANT USE WITH BENZODIAZEPINES OR OTHER CNS DEPRESSANTS; INTERACTION WITH ALCOHOL; NEONATAL OPIOID WITHDRAWAL SYNDROME (NOWS) See full prescribing information for complete boxed warning. Addiction, Abuse, and Misuse Hydrocodone Bitartrate and Homatropine Methylbromide Oral Solution (Syrup) exposes patients and other users to the risks of opioid addiction, abuse, and misuse, which can lead to overdose and death. Reserve Hydrocodone Bitartrate and Homatropine Methylbromide Oral Solution (Syrup) for use in adult patients for whom the benefits of cough suppression are expected to outweigh the risks, and in whom an adequate assessment of the etiology of the cough has been made. Assess each patient's risk prior to prescribing Hydrocodone Bitartrate and Homatropine Methylbromide Oral Solution (Syrup), prescribe Hydrocodone Bitartrate and Homatropine Methylbromide Oral Solution (Syrup) for the shortest duration that is consistent with individual patient treatment goals , monitor all patients regularly for the development of addiction or abuse, and refill only after reevaluation of the need for continued treatment. [ see Warnings and Precautions ( 5.1 ) ] Life-Threatening Respiratory Depression Serious, life-threatening, or fatal respiratory depression may occur with use of Hydrocodone Bitartrate and Homatropine Methylbromide Oral Solution (Syrup). Monitor for respiratory depression, especially during initiation of Hydrocodone Bitartrate and Homatropine Methylbromide Oral Solution (Syrup) therapy or when used in patients at higher risk [ see Warnings and Precautions ( 5.2 ) ] . Accidental Ingestion Accidental ingestion of even one dose of Hydrocodone Bitartrate and Homatropine Methylbromide Oral Solution (Syrup), especially by children, can result in a fatal overdose of hydrocodone [ see Warnings and Precautions ( 5.2 ) ]. Risk of Medication Errors Ensure accuracy when prescribing, dispensing, and administering Hydrocodone Bitartrate and Homatropine Methylbromide Oral Solution (Syrup). Dosing errors can result in accidental overdose and death. Always use an accurate milliliter measuring device when measuring and administering Hydrocodone Bitartrate and Homatropine Methylbromide Oral Solution (Syrup) [ see Dosage and Administration ( 2.1 ), Warnings and Precautions ( 5.5 ) ]. Cytochrome P450 3A4 Interaction The concomitant use of Hydrocodone Bitartrate and Homatropine Methylbromide Oral Solution (Syrup) with all cytochrome P450 3A4 inhibitors may result in an increase in hydrocodone plasma concentrations, which could increase or prolong adverse drug effects and may cause potentially fatal respiratory depression. In addition, discontinuation of a concomitantly used cytochrome P450 3A4 inducer may result in an increase in hydrocodone plasma concentration. Avoid the use of Hydrocodone Bitartrate and Homatropine Methylbromide Oral Solution (Syrup) in patients taking a CYP3A4 inhibitor or inducer [ see Warnings and Precautions ( 5.7 ), Drug Interactions ( 7.2 , 7.3 ) ]. Risks from Concomitant Use with Benzodiazepines or Other CNS Depressants Concomitant use of opioids with benzodiazepines or other central nervous system (CNS) depressants, including alcohol, may result in profound sedation, respiratory depression, coma, and death . Avoid the use of Hydrocodone Bitartrate and Homatropine Methylbromide Oral Solution (Syrup) in patients taking benzodiazepines, other CNS depressants, or alcohol.  [ see Warning and Precautions ( 5.8 ), Drug Interactions ( 7.5 ) ] Interaction with Alcohol Instruct patients not to consume alcoholic beverages or use prescription or non-prescription products that contain alcohol while taking Hydrocodone Bitartrate and Homatropine Methylbromide Oral Solution (Syrup). The co-ingestion of alcohol with Hydrocodone Bitartrate and Homatropine Methylbromide Oral Solution (Syrup) may result in increased plasma levels and a potentially fatal overdose of hydrocodone [ see Warnings and Precautions ( 5.8 ), Drug Interactions ( 7.1 ) ]. Neonatal Opioid Withdrawal Syndrome (NOWS) Hydrocodone Bitartrate and Homatropine Methylbromide Oral Solution (Syrup) are not recommended for use in pregnant women [ see Use in Specific Populations (8.1) ]. Prolonged use of Hydrocodone Bitartrate and Homatropine Methylbromide Oral Solution (Syrup) during pregnancy can result in neonatal opioid withdrawal syndrome, which may be life-threatening if not recognized and treated, and requires management according to protocols developed by neonatology experts. If Hydrocodone Bitartrate and Homatropine Methylbromide Oral Solution (Syrup) are used for a prolonged period in a pregnant woman, advise the patient of the risk of neonatal opioid withdrawal syndrome and ensure that appropriate treatment will be available [ see Warnings and Precautions ( 5.13 ) ]

Indications and Usage

Hydrocodone Bitartrate and Homatropine Methylbromide Oral Solution (Syrup) are indicated for the symptomatic relief of cough in adult patients 18 years of age and older. Limitations of Use:   Not indicated for pediatric patients under 18 years of age [ see Use in Specific Populations ( 8.4 ) ].   Contraindicated in pediatric patients less than 6 years of age [see Contraindications ( 4 )].   Because of the risks of addiction, abuse, and misuse with opioids, even at recommended doses [see Warnings and Precautions ( 5.1 )], reserve Hydrocodone Bitartrate and Homatropine Methylbromide Oral Solution (Syrup) for use in adult patients for whom the benefits of cough suppression are expected to outweigh the risks, and in whom an adequate assessment of the etiology of the cough has been made.

Dosage and Administration

Administer Hydrocodone Bitartrate and Homatropine Methylbromide Oral Solution (Syrup) by the oral route only.  Always use an accurate milliliter measuring device when administering Hydrocodone Bitartrate and Homatropine Methylbromide Oral Solution (Syrup) to ensure that the dose is measured and administered accurately.  A household teaspoon is not an accurate measuring device and could lead to overdosage [ see Warnings and Precautions ( 5.5 ) ].  For prescriptions where a measuring device is not provided, a pharmacist can provide an appropriate measuring device and can provide instructions for measuring the correct dose.  Do not overfill.  Rinse the measuring device with water after each use. Advise patients not to increase the dose or dosing frequency of Hydrocodone Bitartrate and Homatropine Methylbromide Oral Solution (Syrup) because serious adverse events such as respiratory depression may occur with overdosage [ see Warnings and Precautions ( 5.2 ), Overdosage ( 10 ) ].  The dosage of Hydrocodone Bitartrate and Homatropine Methylbromide Oral Solution (Syrup) should not be increased if cough fails to respond; an unresponsive cough should be reevaluated for possible underlying pathology [ see Dosage and Administration ( 2.3 ), Warnings and Precautions ( 5.4 ) ]. 

Warnings and Precautions

  Life-threatening respiratory depression in patients with chronic pulmonary disease or in elderly, cachectic, or debilitated patients : Monitor closely, particularly during initiation of therapy. ( 5.4 )   Activities requiring mental alertness : Avoid engaging in hazardous tasks requiring mental alertness such as driving or operating machinery. ( 5.6 )   Risks of use in patients with head injury, impaired consciousness, increased intracranial pressure, or brain tumors : Avoid use. May increase intracranial pressure and obscure the clinical course of head injuries. ( 5.10 )   Seizures in patients with seizure disorders : Monitor during therapy. ( 5.11 )   Severe hypotension : Monitor during initiation of therapy. Avoid use in patients with circulatory shock. ( 5.12 )   Adrenal insufficiency : If diagnosed, treat with physiologic replacement of corticosteroids, and wean patient off of the opioid. ( 5.14 )

Contraindications

Hydrocodone Bitartrate and Homatropine Methylbromide Oral Solution (Syrup) is contraindicated for: All pediatric patients younger than 6 years of age [ see Warnings and Precautions ( 5.2 , 5.3 ), Use in Specific Populations ( 8.4 ) ].   Significant respiratory depression [see Warnings and Precautions ( 5.2 )].   Acute or severe bronchial asthma in an unmonitored setting or in the absence of resuscitative equipment [see Warnings and Precautions ( 5.4 )].   Known or suspected gastrointestinal obstruction, including paralytic ileus [see Warnings and Precautions ( 5.9 )].   Hypersensitivity to hydrocodone, homatropine, or any of the inactive ingredients in Hydrocodone Bitartrate and Homatropine Methylbromide Oral Solution (Syrup) [ see Adverse Reactions ( 6 ) ].

Adverse Reactions

The following clinically significant adverse reactions are described elsewhere in labeling:   Addiction, abuse, and misuse [ see Warnings and Precautions ( 5.1 ), Drug Abuse and Dependence ( 9.3 ) ]   Life-threatening respiratory depression [see Warnings and Precautions (5.2 , 5.3 , 5.4 , 5.8 ), Overdosage ( 10 )]   Accidental overdose and death due to medication errors [see Warnings and Precautions ( 5.5 )]   Decreased mental alertness with impaired mental and/or physical abilities [see Warnings and Precautions ( 5.6 )]   Interactions with benzodiazepines and other CNS depressants [see Warnings and Precautions (5.8), Drug Interactions ( 7.1 ), ( 7.4 )]   Paralytic ileus, gastrointestinal adverse reactions [see Warnings and Precautions ( 5.9 )]   Increased intracranial pressure [see Warnings and Precautions ( 5.10 )]   Obscured clinical course in patients with head injuries [see Warnings and Precautions ( 5.10 )]   Seizures [see Warnings and Precautions ( 5.11 )]   Severe hypotension [see Warnings and Precautions ( 5.12 )]   Neonatal Opioid Withdrawal Syndrome [see Warnings and Precautions ( 5.13 )]   Adrenal insufficiency [ see Warnings and Precautions ( 5.14 ) ] The following adverse reactions have been identified during clinical studies, in the literature, or during post-approval use of hydrocodone and/or homatropine. Because these reactions may be reported voluntarily from a population of uncertain size, it is not always possible to reliably estimate their frequency or establish a causal relationship to drug exposure. The most common adverse reactions to Hydrocodone Bitartrate and Homatropine Methylbromide Oral Solution (Syrup) include: Sedation (somnolence, mental clouding, lethargy), impaired mental and physical performance, lightheadedness, dizziness, headache, dry mouth, nausea, vomiting, and constipation. Other reactions include: Anaphylaxis : Anaphylaxis has been reported with hydrocodone, one of the ingredients in Hydrocodone Bitartrate and Homatropine Methylbromide Oral Solution (Syrup). Body as a whole :  Coma, death, fatigue, falling injuries, lethargy. Cardiovascular : Peripheral edema, increased blood pressure, decreased blood pressure, tachycardia, chest pain, palpitation, syncope, orthostatic hypotension, prolonged QT interval, hot flush. Central Nervous System : Facial dyskinesia, insomnia, migraine, increased intracranial pressure, seizure, tremor. Dermatologic :  Flushing, hyperhidrosis, pruritus, rash. Endocrine/Metabolic : Cases of serotonin syndrome, a potentially life-threatening condition, have been reported during concomitant use of opioids with serotonergic drugs. Cases of adrenal insufficiency have been reported with opioid use, more often following greater than one month of use. Cases of androgen deficiency have occurred with chronic use of opioids. Gastrointestinal : Abdominal pain, bowel obstruction, decreased appetite, diarrhea, difficulty swallowing, dry mouth, GERD, indigestion, pancreatitis, paralytic ileus, biliary tract spasm (spasm of the sphincter of Oddi). Genitourinary : Urinary tract infection, ureteral spasm, spasm of vesicle sphincters, urinary retention. Laboratory :  Increases in serum amylase. Musculoskeletal : Arthralgia, backache, muscle spasm. Ophthalmic :  Miosis (constricted pupils), visual disturbances. Psychiatric : Agitation, anxiety, confusion, fear, dysphoria, depression. Reproductive :  Hypogonadism, infertility. Respiratory : Bronchitis, cough, dyspnea, nasal congestion, nasopharyngitis, respiratory depression, sinusitis, upper respiratory tract infection. Other :  Drug abuse, drug dependence, opioid withdrawal syndrome. Hypoglycemia : Cases of hypoglycemia have been reported in patients taking opioids. Most reports were in patients with at least one predisposing risk factor (e.g., diabetes).

Drug Interactions

No specific drug interaction studies have been conducted with Hydrocodone Bitartrate and Homatropine Methylbromide Oral Solution (Syrup).

Storage and Handling

Hydrocodone Bitartrate and Homatropine Methylbromide Oral Solution (Syrup) is available as clear red colored, cherry flavor. Each 5 mL contains 5 mg hydrocodone bitartrate and 1.5 mg homatropine methylbromide: Bottles of 16 fl oz. (473 mL)   NDC 40032-810-05 Store oral solution at controlled room temperature 20°C to 25°C (68°F to 77°F). [See USP Controlled Room Temperature.]      Dispense in a tight, light-resistant container, as defined in the USP, with a child-resistant closure. Ensure that patients have an oral dosing dispenser that measures the appropriate volume in milliliters. Counsel patients on how to utilize an oral dosing dispenser and correctly measure the oral suspension as prescribed.

How Supplied

Hydrocodone Bitartrate and Homatropine Methylbromide Oral Solution (Syrup) is available as clear red colored, cherry flavor. Each 5 mL contains 5 mg hydrocodone bitartrate and 1.5 mg homatropine methylbromide: Bottles of 16 fl oz. (473 mL)   NDC 40032-810-05 Store oral solution at controlled room temperature 20°C to 25°C (68°F to 77°F). [See USP Controlled Room Temperature.]      Dispense in a tight, light-resistant container, as defined in the USP, with a child-resistant closure. Ensure that patients have an oral dosing dispenser that measures the appropriate volume in milliliters. Counsel patients on how to utilize an oral dosing dispenser and correctly measure the oral suspension as prescribed.


Medication Information

Recent Major Changes

WARNING: ADDICTION, ABUSE, AND MISUSE; LIFE-THREATENING RESPIRATORY DEPRESSION; ACCIDENTAL INGESTION; MEDICATION ERRORS; CYTOCHROME P450 3A4 INTERACTION; CONCOMITANT USE WITH BENZODIAZEPINES OR OTHER CNS DEPRESSANTS; INTERACTION WITH ALCOHOL; NEONATAL OPIOID WITHDRAWAL SYNDROME (NOWS)

See full prescribing information for complete boxed warning.

Addiction, Abuse, and Misuse

Hydrocodone Bitartrate and Homatropine Methylbromide Oral Solution (Syrup) exposes patients and other users to the risks of opioid addiction, abuse, and misuse, which can lead to overdose and death. Reserve Hydrocodone Bitartrate and Homatropine Methylbromide Oral Solution (Syrup) for use in adult patients for whom the benefits of cough suppression are expected to outweigh the risks, and in whom an adequate assessment of the etiology of the cough has been made. Assess each patient's risk prior to prescribing Hydrocodone Bitartrate and Homatropine Methylbromide Oral Solution (Syrup), prescribe Hydrocodone Bitartrate and Homatropine Methylbromide Oral Solution (Syrup) for the shortest duration that is consistent with individual patient treatment goals, monitor all patients regularly for the development of addiction or abuse, and refill only after reevaluation of the need for continued treatment. [see Warnings and Precautions (5.1)]

Life-Threatening Respiratory Depression

Serious, life-threatening, or fatal respiratory depression may occur with use of Hydrocodone Bitartrate and Homatropine Methylbromide Oral Solution (Syrup). Monitor for respiratory depression, especially during initiation of Hydrocodone Bitartrate and Homatropine Methylbromide Oral Solution (Syrup) therapy or when used in patients at higher risk [see Warnings and Precautions (5.2)].

Accidental Ingestion

Accidental ingestion of even one dose of Hydrocodone Bitartrate and Homatropine Methylbromide Oral Solution (Syrup), especially by children, can result in a fatal overdose of hydrocodone [see Warnings and Precautions (5.2)].

Risk of Medication Errors

Ensure accuracy when prescribing, dispensing, and administering Hydrocodone Bitartrate and Homatropine Methylbromide Oral Solution (Syrup). Dosing errors can result in accidental overdose and death. Always use an accurate milliliter measuring device when measuring and administering Hydrocodone Bitartrate and Homatropine Methylbromide Oral Solution (Syrup) [see Dosage and Administration (2.1), Warnings and Precautions (5.5)].

Cytochrome P450 3A4 Interaction

The concomitant use of Hydrocodone Bitartrate and Homatropine Methylbromide Oral Solution (Syrup) with all cytochrome P450 3A4 inhibitors may result in an increase in hydrocodone plasma concentrations, which could increase or prolong adverse drug effects and may cause potentially fatal respiratory depression. In addition, discontinuation of a concomitantly used cytochrome P450 3A4 inducer may result in an increase in hydrocodone plasma concentration. Avoid the use of Hydrocodone Bitartrate and Homatropine Methylbromide Oral Solution (Syrup) in patients taking a CYP3A4 inhibitor or inducer [see Warnings and Precautions (5.7), Drug Interactions (7.2, 7.3)].

Risks from Concomitant Use with Benzodiazepines or Other CNS Depressants Concomitant use of opioids with benzodiazepines or other central nervous system (CNS) depressants, including alcohol, may result in profound sedation, respiratory depression, coma, and death. Avoid the use of Hydrocodone Bitartrate and Homatropine Methylbromide Oral Solution (Syrup) in patients taking benzodiazepines, other CNS depressants, or alcohol.  [see Warning and Precautions (5.8), Drug Interactions (7.5)]

Interaction with Alcohol

Instruct patients not to consume alcoholic beverages or use prescription or non-prescription products that contain alcohol while taking Hydrocodone Bitartrate and Homatropine Methylbromide Oral Solution (Syrup). The co-ingestion of alcohol with Hydrocodone Bitartrate and Homatropine Methylbromide Oral Solution (Syrup) may result in increased plasma levels and a potentially fatal overdose of hydrocodone [see Warnings and Precautions (5.8), Drug Interactions (7.1)].

Neonatal Opioid Withdrawal Syndrome (NOWS)

Hydrocodone Bitartrate and Homatropine Methylbromide Oral Solution (Syrup) are not recommended for use in pregnant women [see Use in Specific Populations (8.1)]. Prolonged use of Hydrocodone Bitartrate and Homatropine Methylbromide Oral Solution (Syrup) during pregnancy can result in neonatal opioid withdrawal syndrome, which may be life-threatening if not recognized and treated, and requires management according to protocols developed by neonatology experts. If Hydrocodone Bitartrate and Homatropine Methylbromide Oral Solution (Syrup) are used for a prolonged period in a pregnant woman, advise the patient of the risk of neonatal opioid withdrawal syndrome and ensure that appropriate treatment will be available [see Warnings and Precautions (5.13)]

Warnings and Precautions

  Life-threatening respiratory depression in patients with chronic pulmonary disease or in elderly, cachectic, or debilitated patients : Monitor closely, particularly during initiation of therapy. ( 5.4 )   Activities requiring mental alertness : Avoid engaging in hazardous tasks requiring mental alertness such as driving or operating machinery. ( 5.6 )   Risks of use in patients with head injury, impaired consciousness, increased intracranial pressure, or brain tumors : Avoid use. May increase intracranial pressure and obscure the clinical course of head injuries. ( 5.10 )   Seizures in patients with seizure disorders : Monitor during therapy. ( 5.11 )   Severe hypotension : Monitor during initiation of therapy. Avoid use in patients with circulatory shock. ( 5.12 )   Adrenal insufficiency : If diagnosed, treat with physiologic replacement of corticosteroids, and wean patient off of the opioid. ( 5.14 )

Indications and Usage

Hydrocodone Bitartrate and Homatropine Methylbromide Oral Solution (Syrup) are indicated for the symptomatic relief of cough in adult patients 18 years of age and older. Limitations of Use:   Not indicated for pediatric patients under 18 years of age [ see Use in Specific Populations ( 8.4 ) ].   Contraindicated in pediatric patients less than 6 years of age [see Contraindications ( 4 )].   Because of the risks of addiction, abuse, and misuse with opioids, even at recommended doses [see Warnings and Precautions ( 5.1 )], reserve Hydrocodone Bitartrate and Homatropine Methylbromide Oral Solution (Syrup) for use in adult patients for whom the benefits of cough suppression are expected to outweigh the risks, and in whom an adequate assessment of the etiology of the cough has been made.

Dosage and Administration

Administer Hydrocodone Bitartrate and Homatropine Methylbromide Oral Solution (Syrup) by the oral route only.  Always use an accurate milliliter measuring device when administering Hydrocodone Bitartrate and Homatropine Methylbromide Oral Solution (Syrup) to ensure that the dose is measured and administered accurately.  A household teaspoon is not an accurate measuring device and could lead to overdosage [ see Warnings and Precautions ( 5.5 ) ].  For prescriptions where a measuring device is not provided, a pharmacist can provide an appropriate measuring device and can provide instructions for measuring the correct dose.  Do not overfill.  Rinse the measuring device with water after each use. Advise patients not to increase the dose or dosing frequency of Hydrocodone Bitartrate and Homatropine Methylbromide Oral Solution (Syrup) because serious adverse events such as respiratory depression may occur with overdosage [ see Warnings and Precautions ( 5.2 ), Overdosage ( 10 ) ].  The dosage of Hydrocodone Bitartrate and Homatropine Methylbromide Oral Solution (Syrup) should not be increased if cough fails to respond; an unresponsive cough should be reevaluated for possible underlying pathology [ see Dosage and Administration ( 2.3 ), Warnings and Precautions ( 5.4 ) ]. 

Contraindications

Hydrocodone Bitartrate and Homatropine Methylbromide Oral Solution (Syrup) is contraindicated for: All pediatric patients younger than 6 years of age [ see Warnings and Precautions ( 5.2 , 5.3 ), Use in Specific Populations ( 8.4 ) ].   Significant respiratory depression [see Warnings and Precautions ( 5.2 )].   Acute or severe bronchial asthma in an unmonitored setting or in the absence of resuscitative equipment [see Warnings and Precautions ( 5.4 )].   Known or suspected gastrointestinal obstruction, including paralytic ileus [see Warnings and Precautions ( 5.9 )].   Hypersensitivity to hydrocodone, homatropine, or any of the inactive ingredients in Hydrocodone Bitartrate and Homatropine Methylbromide Oral Solution (Syrup) [ see Adverse Reactions ( 6 ) ].

Adverse Reactions

The following clinically significant adverse reactions are described elsewhere in labeling:   Addiction, abuse, and misuse [ see Warnings and Precautions ( 5.1 ), Drug Abuse and Dependence ( 9.3 ) ]   Life-threatening respiratory depression [see Warnings and Precautions (5.2 , 5.3 , 5.4 , 5.8 ), Overdosage ( 10 )]   Accidental overdose and death due to medication errors [see Warnings and Precautions ( 5.5 )]   Decreased mental alertness with impaired mental and/or physical abilities [see Warnings and Precautions ( 5.6 )]   Interactions with benzodiazepines and other CNS depressants [see Warnings and Precautions (5.8), Drug Interactions ( 7.1 ), ( 7.4 )]   Paralytic ileus, gastrointestinal adverse reactions [see Warnings and Precautions ( 5.9 )]   Increased intracranial pressure [see Warnings and Precautions ( 5.10 )]   Obscured clinical course in patients with head injuries [see Warnings and Precautions ( 5.10 )]   Seizures [see Warnings and Precautions ( 5.11 )]   Severe hypotension [see Warnings and Precautions ( 5.12 )]   Neonatal Opioid Withdrawal Syndrome [see Warnings and Precautions ( 5.13 )]   Adrenal insufficiency [ see Warnings and Precautions ( 5.14 ) ] The following adverse reactions have been identified during clinical studies, in the literature, or during post-approval use of hydrocodone and/or homatropine. Because these reactions may be reported voluntarily from a population of uncertain size, it is not always possible to reliably estimate their frequency or establish a causal relationship to drug exposure. The most common adverse reactions to Hydrocodone Bitartrate and Homatropine Methylbromide Oral Solution (Syrup) include: Sedation (somnolence, mental clouding, lethargy), impaired mental and physical performance, lightheadedness, dizziness, headache, dry mouth, nausea, vomiting, and constipation. Other reactions include: Anaphylaxis : Anaphylaxis has been reported with hydrocodone, one of the ingredients in Hydrocodone Bitartrate and Homatropine Methylbromide Oral Solution (Syrup). Body as a whole :  Coma, death, fatigue, falling injuries, lethargy. Cardiovascular : Peripheral edema, increased blood pressure, decreased blood pressure, tachycardia, chest pain, palpitation, syncope, orthostatic hypotension, prolonged QT interval, hot flush. Central Nervous System : Facial dyskinesia, insomnia, migraine, increased intracranial pressure, seizure, tremor. Dermatologic :  Flushing, hyperhidrosis, pruritus, rash. Endocrine/Metabolic : Cases of serotonin syndrome, a potentially life-threatening condition, have been reported during concomitant use of opioids with serotonergic drugs. Cases of adrenal insufficiency have been reported with opioid use, more often following greater than one month of use. Cases of androgen deficiency have occurred with chronic use of opioids. Gastrointestinal : Abdominal pain, bowel obstruction, decreased appetite, diarrhea, difficulty swallowing, dry mouth, GERD, indigestion, pancreatitis, paralytic ileus, biliary tract spasm (spasm of the sphincter of Oddi). Genitourinary : Urinary tract infection, ureteral spasm, spasm of vesicle sphincters, urinary retention. Laboratory :  Increases in serum amylase. Musculoskeletal : Arthralgia, backache, muscle spasm. Ophthalmic :  Miosis (constricted pupils), visual disturbances. Psychiatric : Agitation, anxiety, confusion, fear, dysphoria, depression. Reproductive :  Hypogonadism, infertility. Respiratory : Bronchitis, cough, dyspnea, nasal congestion, nasopharyngitis, respiratory depression, sinusitis, upper respiratory tract infection. Other :  Drug abuse, drug dependence, opioid withdrawal syndrome. Hypoglycemia : Cases of hypoglycemia have been reported in patients taking opioids. Most reports were in patients with at least one predisposing risk factor (e.g., diabetes).

Drug Interactions

No specific drug interaction studies have been conducted with Hydrocodone Bitartrate and Homatropine Methylbromide Oral Solution (Syrup).

Storage and Handling

Hydrocodone Bitartrate and Homatropine Methylbromide Oral Solution (Syrup) is available as clear red colored, cherry flavor. Each 5 mL contains 5 mg hydrocodone bitartrate and 1.5 mg homatropine methylbromide: Bottles of 16 fl oz. (473 mL)   NDC 40032-810-05 Store oral solution at controlled room temperature 20°C to 25°C (68°F to 77°F). [See USP Controlled Room Temperature.]      Dispense in a tight, light-resistant container, as defined in the USP, with a child-resistant closure. Ensure that patients have an oral dosing dispenser that measures the appropriate volume in milliliters. Counsel patients on how to utilize an oral dosing dispenser and correctly measure the oral suspension as prescribed.

How Supplied

Hydrocodone Bitartrate and Homatropine Methylbromide Oral Solution (Syrup) is available as clear red colored, cherry flavor. Each 5 mL contains 5 mg hydrocodone bitartrate and 1.5 mg homatropine methylbromide: Bottles of 16 fl oz. (473 mL)   NDC 40032-810-05 Store oral solution at controlled room temperature 20°C to 25°C (68°F to 77°F). [See USP Controlled Room Temperature.]      Dispense in a tight, light-resistant container, as defined in the USP, with a child-resistant closure. Ensure that patients have an oral dosing dispenser that measures the appropriate volume in milliliters. Counsel patients on how to utilize an oral dosing dispenser and correctly measure the oral suspension as prescribed.

Description

WARNING: ADDICTION, ABUSE, AND MISUSE; LIFE-THREATENING RESPIRATORY DEPRESSION; ACCIDENTAL INGESTION; MEDICATION ERRORS; CYTOCHROME P450 3A4 INTERACTION; CONCOMITANT USE WITH BENZODIAZEPINES OR OTHER CNS DEPRESSANTS; INTERACTION WITH ALCOHOL; NEONATAL OPIOID WITHDRAWAL SYNDROME (NOWS) See full prescribing information for complete boxed warning. Addiction, Abuse, and Misuse Hydrocodone Bitartrate and Homatropine Methylbromide Oral Solution (Syrup) exposes patients and other users to the risks of opioid addiction, abuse, and misuse, which can lead to overdose and death. Reserve Hydrocodone Bitartrate and Homatropine Methylbromide Oral Solution (Syrup) for use in adult patients for whom the benefits of cough suppression are expected to outweigh the risks, and in whom an adequate assessment of the etiology of the cough has been made. Assess each patient's risk prior to prescribing Hydrocodone Bitartrate and Homatropine Methylbromide Oral Solution (Syrup), prescribe Hydrocodone Bitartrate and Homatropine Methylbromide Oral Solution (Syrup) for the shortest duration that is consistent with individual patient treatment goals , monitor all patients regularly for the development of addiction or abuse, and refill only after reevaluation of the need for continued treatment. [ see Warnings and Precautions ( 5.1 ) ] Life-Threatening Respiratory Depression Serious, life-threatening, or fatal respiratory depression may occur with use of Hydrocodone Bitartrate and Homatropine Methylbromide Oral Solution (Syrup). Monitor for respiratory depression, especially during initiation of Hydrocodone Bitartrate and Homatropine Methylbromide Oral Solution (Syrup) therapy or when used in patients at higher risk [ see Warnings and Precautions ( 5.2 ) ] . Accidental Ingestion Accidental ingestion of even one dose of Hydrocodone Bitartrate and Homatropine Methylbromide Oral Solution (Syrup), especially by children, can result in a fatal overdose of hydrocodone [ see Warnings and Precautions ( 5.2 ) ]. Risk of Medication Errors Ensure accuracy when prescribing, dispensing, and administering Hydrocodone Bitartrate and Homatropine Methylbromide Oral Solution (Syrup). Dosing errors can result in accidental overdose and death. Always use an accurate milliliter measuring device when measuring and administering Hydrocodone Bitartrate and Homatropine Methylbromide Oral Solution (Syrup) [ see Dosage and Administration ( 2.1 ), Warnings and Precautions ( 5.5 ) ]. Cytochrome P450 3A4 Interaction The concomitant use of Hydrocodone Bitartrate and Homatropine Methylbromide Oral Solution (Syrup) with all cytochrome P450 3A4 inhibitors may result in an increase in hydrocodone plasma concentrations, which could increase or prolong adverse drug effects and may cause potentially fatal respiratory depression. In addition, discontinuation of a concomitantly used cytochrome P450 3A4 inducer may result in an increase in hydrocodone plasma concentration. Avoid the use of Hydrocodone Bitartrate and Homatropine Methylbromide Oral Solution (Syrup) in patients taking a CYP3A4 inhibitor or inducer [ see Warnings and Precautions ( 5.7 ), Drug Interactions ( 7.2 , 7.3 ) ]. Risks from Concomitant Use with Benzodiazepines or Other CNS Depressants Concomitant use of opioids with benzodiazepines or other central nervous system (CNS) depressants, including alcohol, may result in profound sedation, respiratory depression, coma, and death . Avoid the use of Hydrocodone Bitartrate and Homatropine Methylbromide Oral Solution (Syrup) in patients taking benzodiazepines, other CNS depressants, or alcohol.  [ see Warning and Precautions ( 5.8 ), Drug Interactions ( 7.5 ) ] Interaction with Alcohol Instruct patients not to consume alcoholic beverages or use prescription or non-prescription products that contain alcohol while taking Hydrocodone Bitartrate and Homatropine Methylbromide Oral Solution (Syrup). The co-ingestion of alcohol with Hydrocodone Bitartrate and Homatropine Methylbromide Oral Solution (Syrup) may result in increased plasma levels and a potentially fatal overdose of hydrocodone [ see Warnings and Precautions ( 5.8 ), Drug Interactions ( 7.1 ) ]. Neonatal Opioid Withdrawal Syndrome (NOWS) Hydrocodone Bitartrate and Homatropine Methylbromide Oral Solution (Syrup) are not recommended for use in pregnant women [ see Use in Specific Populations (8.1) ]. Prolonged use of Hydrocodone Bitartrate and Homatropine Methylbromide Oral Solution (Syrup) during pregnancy can result in neonatal opioid withdrawal syndrome, which may be life-threatening if not recognized and treated, and requires management according to protocols developed by neonatology experts. If Hydrocodone Bitartrate and Homatropine Methylbromide Oral Solution (Syrup) are used for a prolonged period in a pregnant woman, advise the patient of the risk of neonatal opioid withdrawal syndrome and ensure that appropriate treatment will be available [ see Warnings and Precautions ( 5.13 ) ]

9.2 Abuse

Hydrocodone

Hydrocodone Bitartrate and Homatropine Methylbromide Oral Solution (Syrup) contains hydrocodone, a substance with a high potential for abuse similar to other opioids including morphine and codeine. Hydrocodone Bitartrate and Homatropine Methylbromide Oral Solution (Syrup) can be abused and is subject to misuse, addiction, and criminal diversion [see Warnings and Precautions (5.1)].

All patients treated with opioids require careful monitoring for signs of abuse and addiction, since use of opioid analgesic and antitussive products carries the risk of addiction even under appropriate medical use.

Prescription drug abuse is the intentional non-therapeutic use of a prescription drug, even once, for its rewarding psychological or physiological effects.

Drug addiction is a cluster of behavioral, cognitive, and physiological phenomena that develop after repeated substance use and includes: a strong desire to take the drug, difficulties in controlling its use, persisting in its use despite harmful consequences, a higher priority given to drug use than to other activities and obligations, increased tolerance, and sometimes a physical withdrawal.

"Drug-seeking" behavior is very common in persons with substance use disorders. Drug-seeking tactics include emergency calls or visits near the end of office hours, refusal to undergo appropriate examination, testing, or referral, repeated "loss" of prescriptions, tampering with prescriptions, and reluctance to provide prior medical records or contact information for other treating health care provider(s). "Doctor shopping" (visiting multiple prescribers to obtain additional prescriptions) is common among drug abusers and people suffering from untreated addiction. Preoccupation with achieving adequate pain relief can be appropriate behavior in a patient with poor pain control.

Abuse and addiction are separate and distinct from physical dependence and tolerance. Health care providers should be aware that addiction may not be accompanied by concurrent tolerance and symptoms of physical dependence in all addicts. In addition, abuse of opioids can occur in the absence of true addiction.

Hydrocodone Bitartrate and Homatropine Methylbromide Oral Solution (Syrup), like other opioids, can be diverted for nonmedical use into illicit channels of distribution. Careful record-keeping of prescribing information, including quantity, frequency, and renewal requests, as required by state and federal law, is strongly advised.

Proper assessment of the patient, proper prescribing practices, periodic reevaluation of therapy, and proper dispensing and storage are appropriate measures that help to limit abuse of opioid drugs.

Risks Specific to Abuse of Hydrocodone Bitartrate and Homatropine Methylbromide Oral Solution (Syrup)

Hydrocodone Bitartrate and Homatropine Methylbromide Oral Solution (Syrup) are for oral use only. Abuse of Hydrocodone Bitartrate and Homatropine Methylbromide Oral Solution (Syrup) poses a risk of overdose and death. The risk is increased with concurrent use of Hydrocodone Bitartrate and Homatropine Methylbromide Oral Solution (Syrup) with alcohol and/or other CNS depressants [see Warnings and Precautions (5.8), Drug Interactions (7.1, 7.4)].

Parenteral drug abuse is commonly associated with transmission of infectious diseases such as hepatitis and HIV.

7.1 Alcohol

Concomitant use of alcohol with Hydrocodone Bitartrate and Homatropine Methylbromide Oral Solution (Syrup) can result in an increase of hydrocodone plasma levels and potentially fatal overdose of hydrocodone. Instruct patients not to consume alcoholic beverages or use prescription or nonprescription products containing alcohol while on Hydrocodone Bitartrate and Homatropine Methylbromide Oral Solution (Syrup) therapy [see Warnings and Precautions (5.8) Clinical Pharmacology (12.3).

10 Overdosage

Clinical Presentation

Hydrocodone

Acute overdose with hydrocodone is characterized by respiratory depression (a decrease in respiratory rate and/or tidal volume, Cheyne-Stokes respiration, cyanosis), extreme somnolence progressing to stupor or coma, skeletal muscle flaccidity, cold and clammy skin, constricted pupils, and, in some cases, pulmonary edema, bradycardia, partial or complete airway obstruction, atypical snoring, hypotension, hypoglycemia, circulatory collapse, cardiac arrest, and death.

Hydrocodone may cause miosis, even in total darkness. Pinpoint pupils are a sign of opioid overdose but are not pathognomonic (e.g., pontine lesions of hemorrhagic or ischemic origin may produce similar findings). Marked mydriasis rather than miosis may be seen with hypoxia in overdose situations [see Clinical Pharmacology (12.2)].

Homatropine

Homatropine has broad, nonspecific anticholinergic / antimuscarinic activity that similar to, although less potent than, atropine. Overdosage of homatropine can cause mydriasis and cycloplegia (fixed and dilated pupils), dry mouth and eyes, decreased sweating, hyperthermia, flushing, headache, visual blurring, gastrointestinal symptoms, constipation, urinary retention, tachycardia and palpitations, anxiety, restlessness, agitation, hallucinations, convulsions, cardiac arrhythmias and coma. Anticholinergic agents can also precipitate acute narrow angle glaucoma.

Treatment of Overdose

Treatment of overdosage is driven by the overall clinical presentation, and consists of discontinuation of Hydrocodone Bitartrate and Homatropine Methylbromide Oral Solution (Syrup) together with institution of appropriate therapy. Give primary attention to the reestablishment of adequate respiratory exchange through provision of a patent and protected airway and the institution of assisted or controlled ventilation. Employ other supportive measures (including oxygen and vasopressors) in the management of circulatory shock and pulmonary edema as indicated. Cardiac arrest or arrhythmias will require advanced life-support measures.  Gastric emptying may be useful in removing unabsorbed drug.

The opioid antagonists, naloxone and nalmefene, are specific antidotes for respiratory depression resulting from opioid overdose. For clinically significant respiratory or circulatory depression secondary to hydrocodone overdose, administer an opioid antagonist.  An antagonist should not be administered in the absence of clinically significant respiratory depression. Because the duration of opioid reversal is expected to be less than the duration of action of hydrocodone in Hydrocodone Bitartrate and Homatropine Methylbromide Oral Solution (Syrup), carefully monitor the patient until spontaneous respiration is reliably reestablished. If the response to an opioid antagonist is suboptimal or only brief in nature, administer additional antagonist as directed by the product's prescribing information.

Hemodialysis is not routinely used to enhance the elimination of hydrocodone from the body.

Physostigmine may be used parenterally for the treatment of the signs and symptoms of homatropine toxicity.

7.8 Diuretics

Opioids can reduce the efficacy of diuretics by inducing the release of antidiuretic hormone. Evaluate patients for signs of diminished diuresis and/or effects on blood pressure and increase the dosage of the diuretic as needed.

8.1 Pregnancy

Risk Summary

Hydrocodone Bitartrate and Homatropine Methylbromide Oral Solution (Syrup) are not recommended for use in pregnant women, including during or immediately prior to labor.

Prolonged use of opioids during pregnancy may cause neonatal opioid withdrawal syndrome [see Warnings and Precautions (5.13), Clinical Considerations].

There are no available data with Hydrocodone Bitartrate and Homatropine Methylbromide Oral Solution (Syrup) use in pregnant women to inform a drug-associated risk for adverse developmental outcomes. Published studies with hydrocodone have reported inconsistent findings and have important methodological limitations (see Data).

Reproductive toxicity studies have not been conducted with Hydrocodone Bitartrate and Homatropine Methylbromide Oral Solution (Syrup); however, studies are available with individual active ingredients or related active ingredients (see Data).

In animal reproduction studies, hydrocodone administered by the subcutaneous route to pregnant hamsters during the period of organogenesis produced a teratogenic effect at a dose approximately 45 times the maximum recommended human dose (MRHD) (see Data).

Based on the animal data, advise pregnant women of the potential risk to a fetus.

The estimated background risk of major birth defects and miscarriage for the indicated population is unknown. All pregnancies have a background risk of birth defect, loss, or other adverse outcomes. In the U.S. general population, the estimated background risk of major birth defects and miscarriage in clinically recognized pregnancies is 2 to 4% and 15 to 20%, respectively.

Clinical Considerations

Fetal/Neonatal Adverse Reactions

Prolonged use of opioid analgesics during pregnancy for medical or nonmedical purposes can result in physical dependence in the neonate and neonatal opioid withdrawal syndrome shortly after birth.

Neonatal opioid withdrawal syndrome presents as irritability, hyperactivity and abnormal sleep pattern, high pitched cry, tremor, vomiting, diarrhea and failure to gain weight. The onset, duration, and severity of neonatal opioid withdrawal syndrome vary based on the specific opioid used, duration of use, timing and amount of last maternal use, and rate of elimination of the drug by the newborn. Observe newborns for symptoms of neonatal opioid withdrawal syndrome and manage accordingly [see Warnings and Precautions (5.13)].

Labor or Delivery

Opioids cross the placenta and may produce respiratory depression and psycho-physiologic effects in neonates. An opioid antagonist, such as naloxone, must be available for reversal of opioid-induced respiratory depression in the neonate.  Opioids, including Hydrocodone Bitartrate and Homatropine Methylbromide Oral Solution (Syrup), can prolong labor through actions which temporarily reduce the strength, duration, and frequency of uterine contractions. However, this effect is not consistent and may be offset by an increased rate of cervical dilation, which tends to shorten labor. Monitor neonates exposed to opioids during labor for signs of excess sedation and respiratory depression.

Data

Human Data

Hydrocodone

A limited number of pregnancies have been reported in published observational studies and postmarketing reports describing hydrocodone use during pregnancy. However, these data cannot definitely establish or exclude any drug-associated risk during pregnancy. Methodological limitations of these observational studies include small sample size and lack of details regarding dose, duration and timing of exposure.

Animal Data

Reproductive toxicity studies have not been conducted with Hydrocodone Bitartrate and Homatropine Methylbromide Oral Solution (Syrup); however, studies are available with individual active ingredients or related active ingredients.

Hydrocodone

In an embryofetal development study in pregnant hamsters dosed on gestation day 8 during the period of organogenesis, hydrocodone induced cranioschisis, a malformation, at approximately 45 times the MRHD (on a mg/m2 basis with a maternal subcutaneous dose of 102 mg/kg).  Reproductive toxicology studies were also conducted with codeine, an opiate related to hydrocodone. In an embryofetal development study in pregnant rats dosed throughout the period of organogenesis, codeine increased resorptions and decreased fetal weights at a dose approximately 65 times the MRHD of hydrocodone (on a mg/m2 basis with a maternal oral dose of codeine at 120 mg/kg/day); however, these effects occurred in the presence of maternal toxicity. In embryofetal development studies with pregnant rabbits and mice dosed throughout the period of organogenesis, codeine produced no adverse developmental effects at doses approximately 30 and 160 times, respectively, the MRHD of hydrocodone (on a mg/m2 basis with maternal oral doses of codeine at 30 mg/kg/day in rabbits and 600 mg/kg/day in mice).

Homatropine

Animal studies with homatropine are not available.

8.2 Lactation

Risk Summary

Because of the potential for serious adverse reactions, including excess sedation, respiratory depression, and death in a breastfed infant, advise patients that breastfeeding is not recommended during treatment with Hydrocodone Bitartrate and Homatropine Methylbromide Oral Solution (Syrup).

There are no data on the presence of Hydrocodone Bitartrate and Homatropine Methylbromide Oral Solution (Syrup) in human milk, the effects of Hydrocodone Bitartrate and Homatropine Methylbromide Oral Solution (Syrup) on the breastfed infant, or the effects of Hydrocodone Bitartrate and Homatropine Methylbromide Oral Solution (Syrup) on milk production; however, data are available with hydrocodone and homatropine.

Hydrocodone

Hydrocodone is present in breast milk. Published cases report variable concentrations of hydrocodone and hydromorphone (an active metabolite) in breast milk with administration of immediate-release hydrocodone to nursing mothers in the early post-partum period with relative infant doses of hydrocodone ranging between 1.4 and 3.7%. There are case reports of excessive sedation and respiratory depression in breastfed infants exposed to hydrocodone.  No information is available on the effects of hydrocodone on milk production.

Homatropine

No information is available on the levels of homatropine in breast milk or on milk production. The published literature suggests that homatropine may decrease milk production based on its anticholinergic effects. (see Clinical Considerations)

Clinical Considerations

Infants exposed to Hydrocodone Bitartrate and Homatropine Methylbromide Oral Solution (Syrup) through breast milk should be monitored for excess sedation and respiratory depression. Withdrawal symptoms can occur in breastfed infants when maternal administration of an opioid is stopped, or when breastfeeding is stopped.

11 Description

Hydrocodone Bitartrate and Homatropine Methylbromide Oral Solution (Syrup), USP contains hydrocodone an opioid agonist; and Homatropine, a muscarinic antagonist.

Each spoonful (5 mL) of Hydrocodone Bitartrate and Homatropine Methylbromide Oral Solution (Syrup) contains 5 mg hydrocodone bitartrate, USP and 1.5 mg of homatropine methylbromide, USP, for oral administration.

Hydrocodone Bitartrate and Homatropine Methylbromide Oral Solution (Syrup) contains:  cherry flavor, citric acid, sodium citrate, FD&C Red #40, methylparaben, propylene glycol, propylparaben, purified water, soribitol solution and sucrose.

Hydrocodone Bitartrate:

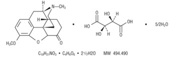
The chemical name for hydrocodone bitartrate is 4,5α-epoxy-3-methoxy-17-methylmorphinan-6-one-tartrate (1:1) hydrate (2:5). It occurs as a fine white crystal or crystalline powder which is derived from the opium alkaloid, thebaine. It has a molecular weight of 494.50 and has the following chemical structure:

C18H21NO3 • C4H6O6 • 21/2H2O3

Homatropine Methylbromide

The chemical name for homatropine methylbromide is 8- Azoniabicyclo[3.2.1]octane, 3-[(hydroxyphenyl-acetyl)oxy]-8, 8-dimethyl-,bromide,endo. It occurs as a white crystal or fine white crystalline powder. It has a molecular weight of 370.29 and has the following chemical structure:

    C17H24BrNO3

9.3 Dependence

Psychological dependence, physical dependence, and tolerance may develop upon repeated administration of opioids; therefore, Hydrocodone Bitartrate and Homatropine Methylbromide Oral Solution (Syrup) should be prescribed and administered for the shortest duration that is consistent with individual patient treatment goals and patients should be reevaluated prior to refills [see Dosage and Administration (2.3), Warnings and Precautions (5.1)].

Physical dependence, the condition in which continued administration of the drug is required to prevent the appearance of a withdrawal syndrome, assumes clinically significant proportions only after several weeks of continued oral opioid use, although some mild degree of physical dependence may develop after a few days of opioid therapy.

If Hydrocodone Bitartrate and Homatropine Methylbromide Oral Solution (Syrup) are abruptly discontinued in a physically-dependent patient, a withdrawal syndrome may occur. Withdrawal also may be precipitated through the administration of drugs with opioid antagonist activity (e.g., naloxone, nalmefene), mixed agonist/antagonist analgesics (e.g., pentazocine, butorphanol, nalbuphine), or partial agonists (e.g., buprenorphine). Some or all of the following can characterize this syndrome: restlessness, lacrimation, rhinorrhea, yawning, perspiration, chills, myalgia, and mydriasis. Other signs and symptoms also may develop, including irritability, anxiety, backache, joint pain, weakness, abdominal cramps, insomnia, nausea, anorexia, vomiting, diarrhea, or increased blood pressure, respiratory rate, or heart rate.

Infants born to mothers physically dependent on opioids will also be physically dependent and may exhibit respiratory difficulties and withdrawal signs [see Use in Specific Populations (8.1)].

Medication Guide

Hydrocodone Bitartrate (hye'' droe koe' done bye tar' trate) and Homatropine Methylbromide (hoe mat' roe peen meth'' il broe' mide) Oral Solution (Syrup), CII

What is the most important information I should know about Hydrocodone Bitartrate and Homatropine Methylbromide oral solution (Syrup)?

Hydrocodone Bitartrate and Homatropine Methylbromide oral solution (Syrup) is not for children under 18 years of age.

Hydrocodone Bitartrate and Homatropine Methylbromide oral solution (Syrup) can cause serious side effects, including:

  • Addiction, abuse and misuse.   Taking Hydrocodone Bitartrate and Homatropine Methylbromide oral solution (Syrup) or other medicines that contain an opioid can cause addiction, abuse and misuse, which can lead to overdose and death.  This can happen even if you take Hydrocodone Bitartrate and Homatropine Methylbromide oral solution (Syrup) exactly as prescribed by your healthcare provider.  Your risk of addiction, abuse, and misuse is increased if you or a family member has a history of drug or alcohol abuse or addiction, or mental health problems.
    • Do not share your Hydrocodone Bitartrate and Homatropine Methylbromide oral solution (Syrup) with other people.
    • Keep Hydrocodone Bitartrate and Homatropine Methylbromide oral solution (Syrup) in a safe place away from children.
  • Life-threatening breathing problems (respiratory depression) .  Hydrocodone Bitartrate and Homatropine Methylbromide oral solution (Syrup) can cause breathing problems (respiratory depression) that can happen at any time during treatment and can lead to death.  Your risk of breathing problems is greatest when you first start taking Hydrocodone Bitartrate and Homatropine Methylbromide oral solution (Syrup), are taking other medicines that can cause breathing problems, have certain lung problems, are elderly, or have certain other health problems.  Children are at higher risk for respiratory depression.   Breathing problems can happen even if you take Hydrocodone Bitartrate and Homatropine Methylbromide oral solution (Syrup) exactly as prescribed by your healthcare provider.
  • Call your healthcare provider or get emergency medical help right away if anyone taking Hydrocodone Bitartrate and Homatropine Methylbromide oral solution (Syrup) has any of the symptoms below:
    • increased sleepiness
    • confusion
    • difficulty breathing
    • shallow breathing
    • limpness

Keep Hydrocodone Bitartrate and Homatropine Methylbromide oral solution (Syrup) in a safe place away from children.  Accidental use of even 1 dose of Hydrocodone Bitartrate and Homatropine Methylbromide oral solution (Syrup), especially by a child, is a medical emergency and can cause breathing problems (respiratory depression) which can lead to death.  If a child accidentally takes Hydrocodone Bitartrate and Homatropine Methylbromide oral solution (Syrup), get emergency medical help right away.

  • Overdose and death due to medicine dosing errors .  Overdose and death can happen if you measure the wrong dose of Hydrocodone Bitartrate and Homatropine Methylbromide oral solution (Syrup).  Always use an accurate milliliter (mL) measuring device to measure the correct amount of Hydrocodone Bitartrate and Homatropine Methylbromide oral solution (Syrup).  Do not use a household teaspoon to measure your medicine.  You may accidentally take too much.  You can ask your pharmacist for the measuring device you should use and how to measure the correct dose.
  • Breathing problems (respiratory depression) that can lead to death and opioid withdrawal can happen if you start taking or stop taking other medicines while taking Hydrocodone Bitartrate and Homatropine Methylbromide oral solution (Syrup), including:
    • certain antibiotics
    • certain medicines to treat a fungal infection
    • certain medicines to treat Human Immunodeficiency Virus (HIV)-1 infection, Acquired Immune Deficiency Syndrome (AIDS), or Hepatitis C
    • rifampin
    • carbamazepine
    • phenytoin

Tell your healthcare provider if you take any of these medicines.  Ask your healthcare provider or pharmacist if you are not sure if your medicine is listed above.

  • Severe drowsiness, breathing problems (respiratory depression), coma, and death can happen in people who take Hydrocodone Bitartrate and Homatropine Methylbromide oral solution (Syrup) with benzodiazepines or other central nervous system depressants, including alcohol. 
    • Do not take benzodiazepines or any medicine that can cause drowsiness or sleepiness during treatment with Hydrocodone Bitartrate and Homatropine Methylbromide oral solution (Syrup).
    • Do not drink alcohol or take prescription or over-the-counter medicines that contain alcohol during treatment with Hydrocodone Bitartrate and Homatropine Methylbromide oral solution (Syrup).
  • Opioid withdrawal in a newborn . Use of Hydrocodone Bitartrate and Homatropine Methylbromide oral solution (Syrup) during pregnancy can cause withdrawal symptoms in your newborn baby that could be life-threatening if not recognized and treated.  You should not take Hydrocodone Bitartrate and Homatropine Methylbromide oral solution (Syrup) if you are pregnant.  Tell your healthcare provider right away if you are pregnant or think you may be pregnant.

What is Hydrocodone Bitartrate and Homatropine Methylbromide oral solution (Syrup)?

  • Hydrocodone Bitartrate and Homatropine Methylbromide oral solution (Syrup) is a prescription medicine used in adults 18 years of age and older to treat a cough.  Hydrocodone Bitartrate and Homatropine Methylbromide oral solution (Syrup) contains hydrocodone, an opioid (narcotic) cough suppressant.
  • Hydrocodone Bitartrate and Homatropine Methylbromide oral solution (Syrup) is a federal controlled substance (C II) because it contains hydrocodone that can be abused or lead to dependence.  Keep Hydrocodone Bitartrate and Homatropine Methylbromide oral solution (Syrup) in a safe place to prevent misuse and abuse.  Selling or giving away Hydrocodone Bitartrate and Homatropine Methylbromide oral solution (Syrup) may harm others, and is against the law.  Tell your healthcare provider if you have ever abused or been dependent on alcohol, prescription medicines or street drugs.

Who should not take Hydrocodone Bitartrate and Homatropine Methylbromide oral solution (Syrup)?

Hydrocodone Bitartrate and Homatropine Methylbromide oral solution (Syrup) is not for children under 18 years of age.  See "What is the most important information I should know about Hydrocodone Bitartrate and Homatropine Methylbromide oral solution (Syrup)?"

Do not take Hydrocodone Bitartrate and Homatropine Methylbromide oral solution (Syrup) if you:

  • have severe breathing problems (respiratory depression) or breathing problems caused by asthma.  See "What is the most important information I should know about Hydrocodone Bitartrate and Homatropine Methylbromide oral solution (Syrup)?"
  • have a blockage (obstruction) in your bowel such as a paralytic ileus.
  • are allergic to hydrocodone, homatropine, or any of the ingredients in Hydrocodone Bitartrate and Homatropine Methylbromide oral solution (Syrup).  See the end of this Medication Guide for a complete list of ingredients in Hydrocodone Bitartrate and Homatropine Methylbromide oral solution (Syrup).

Ask your healthcare provider if you have any questions about this information.

Before you take Hydrocodone Bitartrate and Homatropine Methylbromide oral solution (Syrup), tell your healthcare provider about all of your medical conditions, including if you:

  •   have a drug addiction
  •   have lung or breathing problems
  •   have a fever and are coughing up mucus
  •   have had a recent head injury
  •   have had a brain tumor or other brain problems
  •   have or have had seizures
  •   have pain in your stomach-area (abdomen)
  •   have constipation or other bowel problems
  •   have bile duct or pancreas problems
  •   have glaucoma (increased pressure in eyes)
  •   have prostate problems
  •   have problems with your urinary tract or difficulty urinating
  •   have kidney or liver problems
  •   have adrenal gland problems
  •   have low blood pressure
  •   plan to have surgery
  •   are pregnant or plan to become pregnant.  Hydrocodone Bitartrate and Homatropine Methylbromide oral solution (Syrup) can harm your unborn baby.  See "What is the most important information I should know about Hydrocodone Bitartrate and Homatropine Methylbromide oral solution (Syrup)? "
  •   are breastfeeding or plan to breastfeed.  Hydrocodone passes into your breast milk and can cause serious side effects in your baby including increased sleepiness, breathing problems (respiratory depression), and death.  You and your healthcare provider should decide if you will take Hydrocodone Bitartrate and Homatropine Methylbromide oral solution (Syrup) or breastfeed.  You should not do both.  See "What should I avoid while taking Hydrocodone Bitartrate and Homatropine Methylbromide oral solution (Syrup)?"
  •   plan to have children.  Hydrocodone Bitartrate and Homatropine Methylbromide oral solution (Syrup) may affect the ability to have a child in females and males (fertility problems).  It is not known if these fertility problems will be reversible, even after you stop taking Hydrocodone Bitartrate and Homatropine Methylbromide oral solution (Syrup).  Talk to your healthcare provider if this is a concern for you.

Tell your healthcare provider about all the medicines you take, including prescription and over-the-counter medicines, vitamins, and herbal supplements.

Taking Hydrocodone Bitartrate and Homatropine Methylbromide oral solution (Syrup) with certain other medicines can cause side effects or affect how well Hydrocodone Bitartrate and Homatropine Methylbromide oral solution (Syrup) or the other medicines work.  Do not start or stop taking other medicines without talking to your healthcare provider. 

Especially tell your healthcare provider if you:

  • take pain medicines such as opioids (narcotics).

          take cold or allergy medicines that contain antihistamines or cough suppressants.

          drink alcohol.

          take muscle relaxants.

          take certain medicines used to treat mood, anxiety, psychotic or thought disorders, or depression, including monoamine oxidase inhibitors (MAOIs), tricyclics, selective serotonin reuptake inhibitors (SSRIs), selective serotonin-norepinephrine reuptake inhibitors (SNRIs), or antipsychotics.

          take medicines to lower your blood pressure.

          take water pills (diuretics).

          take medicines called "anticholinergics" used to treat certain health problems including asthma, chronic obstructive pulmonary disease (COPD), or stomach problems.

Ask your healthcare provider if you are not sure if you take one of these medicines.

How should I take Hydrocodone Bitartrate and Homatropine Methylbromide oral solution (Syrup)?

  •   See "What is the most important information I should know about Hydrocodone Bitartrate and Homatropine Methylbromide oral solution (Syrup)? "
  •   Take Hydrocodone Bitartrate and Homatropine Methylbromide oral solution (Syrup) exactly as your healthcare provider tells you to take it.  Do not change your dose without talking to your healthcare provider.
  •   Take Hydrocodone Bitartrate and Homatropine Methylbromide oral solution (Syrup) by mouth only.
  •   Take Hydrocodone Bitartrate and Homatropine Methylbromide oral solution (Syrup) using an accurate milliliter (mL) measuring device.  If you do not have one, ask your pharmacist to give you a measuring device to help you measure the correct amount of Hydrocodone Bitartrate and Homatropine Methylbromide oral solution (Syrup).  Do not use a household teaspoon to measure your medicine.  You may accidently take too much . 
  •   Do not overfill the measuring device.
  •   Rinse the measuring device with water after each use.
  •   If you take too much Hydrocodone Bitartrate and Homatropine Methylbromide oral solution (Syrup), call your healthcare provider or go to the nearest hospital emergency room right away.
  •   Tell your healthcare provider if your cough does not get better within 5 days of treatment with Hydrocodone Bitartrate and Homatropine Methylbromide oral solution (Syrup).

What should I avoid while taking Hydrocodone Bitartrate and Homatropine Methylbromide oral solution (Syrup)?

  •   Avoid driving a car or operating machinery during treatment with Hydrocodone Bitartrate and Homatropine Methylbromide oral solution (Syrup).  Hydrocodone Bitartrate and Homatropine Methylbromide oral solution (Syrup) can cause you to be drowsy, slow your thinking and motor skills, and affect your vision.
  •   Do not drink alcohol during treatment with Hydrocodone Bitartrate and Homatropine Methylbromide oral solution (Syrup).  Drinking alcohol can increase your chances of having serious side effects.

Avoid the use of Hydrocodone Bitartrate and Homatropine Methylbromide oral solution (Syrup) if you:

  •   are pregnant.  Use of Hydrocodone Bitartrate and Homatropine Methylbromide oral solution (Syrup) during pregnancy can cause withdrawal symptoms in your newborn baby that could be life-threatening if not recognized and treated.  Tell your healthcare provider right away if you are pregnant or think you may be pregnant.
  •   are breastfeeding.  Use of Hydrocodone Bitartrate and Homatropine Methylbromide oral solution (Syrup) while breastfeeding can cause severe breathing problems (respiratory depression) in your breastfed infant that could be life-threatening. 
  •   take a medicine called a monoamine oxidase inhibitor (MAOI).  Avoid taking an MAOI within 14 days after you stop taking Hydrocodone Bitartrate and Homatropine Methylbromide oral solution (Syrup).  Avoid starting Hydrocodone Bitartrate and Homatropine Methylbromide oral solution (Syrup) if you stopped taking an MAOI in the last 14 days.

What are the possible side effects of Hydrocodone Bitartrate and Homatropine Methylbromide oral solution (Syrup)?

Hydrocodone Bitartrate and Homatropine Methylbromide oral solution (Syrup) can cause serious side effects, including:

  • See"What is the most important information I should know about Hydrocodone Bitartrate and Homatropine Methylbromide oral solution (Syrup)?
  • Bowel problems including severe constipation or stomach pain .  See "Who should not take Hydrocodone Bitartrate and Homatropine Methylbromide oral solution (Syrup)? "
  • Increased pressure in your head (intracranial).  Avoid the use of Hydrocodone Bitartrate and Homatropine Methylbromide oral solution (Syrup) if you have a head injury or have been told that you have changes in the tissue of your brain (brain lesions) or increased pressure in your head.
  • Increased risk of seizures in people with seizure disorders.  If you have a seizure disorder, Hydrocodone Bitartrate and Homatropine Methylbromide oral solution (Syrup) may increase how often you have a seizure.
  • Low blood pressure.  A sudden drop in blood pressure can happen in some people during treatment with Hydrocodone Bitartrate and Homatropine Methylbromide oral solution (Syrup) and this may cause you to feel dizzy, faint, lightheaded, or weak, especially when you stand up (orthostatic hypotension).  Your risk of having this problem may be increased if you take Hydrocodone Bitartrate and Homatropine Methylbromide oral solution (Syrup) with certain other medicines that lower blood pressure.  If you have any of these symptoms while taking Hydrocodone Bitartrate and Homatropine Methylbromide oral solution (Syrup), sit or lie down.  Do not change your body position too fast.  Get up slowly from sitting or lying down.
  • Adrenal gland problems.   Hydrocodone Bitartrate and Homatropine Methylbromide oral solution (Syrup) can cause serious and life-threatening adrenal gland problems.  Your healthcare provider may do blood tests to check for adrenal gland problems.  Call your healthcare provider right away if you have any of these symptoms:
    • nausea
    • vomiting
    • not wanting to eat (anorexia)
    • fatigue
    • weakness
    • dizziness
    • low blood pressure

The most common side effects of Hydrocodone Bitartrate and Homatropine Methylbromide oral solution (Syrup) include:

  • sleepiness
  • confusion
  • coordination problems
  • decrease in mental and physical performance
  • lack of energy
  • lightheadedness
  • dizziness
  • headache
  • dry mouth
  • nausea
  • vomiting
  • constipation

These are not all the possible side effects of Hydrocodone Bitartrate and Homatropine Methylbromide oral solution (Syrup).

Call your healthcare provider for medical advice about side effects.  You may report side effects to FDA at 1-800-FDA-1088.

How should I store Hydrocodone Bitartrate and Homatropine Methylbromide oral solution (Syrup)? 

  • Store Hydrocodone Bitartrate and Homatropine Methylbromide oral solution (Syrup) at room temperature between 68°F to 77°F (20°C to 25°C).
  • Store Hydrocodone Bitartrate and Homatropine Methylbromide oral solution (Syrup) in a tightly closed container, in a dry, cool place away from heat or direct sunlight.
  • Keep Hydrocodone Bitartrate and Homatropine Methylbromide oral solution (Syrup) and all medicines out of the reach of children.

How should I dispose of Hydrocodone Bitartrate and Homatropine Methylbromide oral solution (Syrup)? 

Remove unused Hydrocodone Bitartrate and Homatropine Methylbromide oral solution (Syrup) from the container and mix it with an undesirable, non-toxic substance such as cat litter or used coffee grounds to make it less appealing to children and pets.  Place the mixture in a container such as a sealed plastic bag and throw it away in the household trash.  You can also follow your state or local guidelines on how to safely throw away Hydrocodone Bitartrate and Homatropine Methylbromide oral solution (Syrup). Visit www.fda.gov/drugdisposal for additional information on disposal of unused medicines.

General information about the safe and effective use of Hydrocodone Bitartrate and Homatropine Methylbromide oral solution (Syrup).

Medicines are sometimes prescribed for purposes other than those listed in a Medication Guide.  Do not use Hydrocodone Bitartrate and Homatropine Methylbromide oral solution (Syrup) for a condition for which it was not prescribed.  Do not give Hydrocodone Bitartrate and Homatropine Methylbromide oral solution (Syrup) to other people, even if they have the same symptoms that you have.  It may harm them.

You can ask your pharmacist or healthcare provider for information about Hydrocodone Bitartrate and Homatropine Methylbromide oral solution (Syrup) that is written for health professionals.

What are the ingredients in Hydrocodone Bitartrate and Homatropine Methylbromide oral solution (Syrup)?

Active ingredient: hydrocodone bitartrate and homatropine methylbromide.

Inactive ingredients in Hydrocodone Bitartrate and Homatropine Methylbromide oral solution (Syrup): cherry flavor, citric acid, sodium citrate, FD&C Red #40, methylparaben, propylene glycol, propylparaben, purified water, sorbitol solution and sucrose.

Manufactured by:

Novel Laboratories, Inc.

400 Campus Drive

Somerset, NJ 08873

For more information, call 1-866-403-7592.

SAP Code: xxxxx

Rev. 10/2024

This Medication Guide has been approved by the U.S. Food and Drug Administration.

8.4 Pediatric Use

Hydrocodone Bitartrate and Homatropine Methylbromide Oral Solution (Syrup) is contraindicated in pediatric patients younger than 6 years of age because of life-threatening respiratory depression and death have occurred in pediatric patients who received hydrocodone [see Contraindications (4), Warnings and Precautions (5.2)].

The safety and effectiveness of Hydrocodone Bitartrate and Homatropine Methylbromide Oral Solution (Syrup) have not been established in patients younger than 18 years of age. Hydrocodone Bitartrate and Homatropine Methylbromide Oral Solution (Syrup) is not recommended for use in patients younger than 18 years of age because the benefits of symptomatic treatment of cough associated with allergies or the common cold do not outweigh the risks for use of hydrocodone in these patients [see Indications (1), Warnings and Precautions (5.3)].

8.5 Geriatric Use

Clinical studies have not been conducted with Hydrocodone Bitartrate and Homatropine Methylbromide Oral Solution (Syrup) in geriatric populations.

Use caution when considering the use of Hydrocodone Bitartrate and Homatropine Methylbromide Oral Solution (Syrup) in patients 65 years of age or older. Elderly patients may have increased sensitivity to hydrocodone; greater frequency of decreased hepatic, renal, or cardiac function; or concomitant disease or other drug therapy [see Warnings and Precautions (5.4)].

Respiratory depression is the chief risk for elderly patients treated with opioids, including Hydrocodone Bitartrate and Homatropine Methylbromide Oral Solution (Syrup). Respiratory depression has occurred after large initial doses of opioids were administered to patients who were not opioid-tolerant or when opioids were co-administered with other agents that depress respiration [see Warnings and Precautions (5.4, 5.8)].

Hydrocodone is known to be substantially excreted by the kidney, and the risk of adverse reactions to this drug may be greater in patients with impaired renal function. Because elderly patients are more likely to have decreased renal function, monitor these patients closely for respiratory depression, sedation, and hypotension.

4 Contraindications

Hydrocodone Bitartrate and Homatropine Methylbromide Oral Solution (Syrup) is contraindicated for:

  • All pediatric patients younger than 6 years of age [see Warnings and Precautions (5.2, 5.3), Use in Specific Populations (8.4)].
  •   Significant respiratory depression [see Warnings and Precautions (5.2)].
  •   Acute or severe bronchial asthma in an unmonitored setting or in the absence of resuscitative equipment [see Warnings and Precautions (5.4)].
  •   Known or suspected gastrointestinal obstruction, including paralytic ileus [see Warnings and Precautions (5.9)].
  •   Hypersensitivity to hydrocodone, homatropine, or any of the inactive ingredients in Hydrocodone Bitartrate and Homatropine Methylbromide Oral Solution (Syrup) [see Adverse Reactions (6) ].
6 Adverse Reactions

The following clinically significant adverse reactions are described elsewhere in labeling:

  •   Addiction, abuse, and misuse [see Warnings and Precautions (5.1), Drug Abuse and Dependence (9.3) ]
  •   Life-threatening respiratory depression [see Warnings and Precautions (5.2, 5.3, 5.4, 5.8), Overdosage (10)]
  •   Accidental overdose and death due to medication errors [see Warnings and Precautions (5.5)]
  •   Decreased mental alertness with impaired mental and/or physical abilities [see Warnings and Precautions (5.6)]
  •   Interactions with benzodiazepines and other CNS depressants [see Warnings and Precautions (5.8), Drug Interactions (7.1), (7.4)]
  •   Paralytic ileus, gastrointestinal adverse reactions [see Warnings and Precautions (5.9)]
  •   Increased intracranial pressure [see Warnings and Precautions (5.10)]
  •   Obscured clinical course in patients with head injuries [see Warnings and Precautions (5.10)]
  •   Seizures [see Warnings and Precautions (5.11)]
  •   Severe hypotension [see Warnings and Precautions (5.12)]
  •   Neonatal Opioid Withdrawal Syndrome [see Warnings and Precautions (5.13)]
  •   Adrenal insufficiency [see Warnings and Precautions (5.14) ]

The following adverse reactions have been identified during clinical studies, in the literature, or during post-approval use of hydrocodone and/or homatropine. Because these reactions may be reported voluntarily from a population of uncertain size, it is not always possible to reliably estimate their frequency or establish a causal relationship to drug exposure.

The most common adverse reactions to Hydrocodone Bitartrate and Homatropine Methylbromide Oral Solution (Syrup) include: Sedation (somnolence, mental clouding, lethargy), impaired mental and physical performance, lightheadedness, dizziness, headache, dry mouth, nausea, vomiting, and constipation.

Other reactions include:

Anaphylaxis: Anaphylaxis has been reported with hydrocodone, one of the ingredients in Hydrocodone Bitartrate and Homatropine Methylbromide Oral Solution (Syrup).

Body as a whole:  Coma, death, fatigue, falling injuries, lethargy.

Cardiovascular: Peripheral edema, increased blood pressure, decreased blood pressure, tachycardia, chest pain, palpitation, syncope, orthostatic hypotension, prolonged QT interval, hot flush.

Central Nervous System: Facial dyskinesia, insomnia, migraine, increased intracranial pressure, seizure, tremor.

Dermatologic:  Flushing, hyperhidrosis, pruritus, rash.

Endocrine/Metabolic: Cases of serotonin syndrome, a potentially life-threatening condition, have been reported during concomitant use of opioids with serotonergic drugs. Cases of adrenal insufficiency have been reported with opioid use, more often following greater than one month of use. Cases of androgen deficiency have occurred with chronic use of opioids.

Gastrointestinal: Abdominal pain, bowel obstruction, decreased appetite, diarrhea, difficulty swallowing, dry mouth, GERD, indigestion, pancreatitis, paralytic ileus, biliary tract spasm (spasm of the sphincter of Oddi).

Genitourinary: Urinary tract infection, ureteral spasm, spasm of vesicle sphincters, urinary retention.

Laboratory:  Increases in serum amylase.

Musculoskeletal: Arthralgia, backache, muscle spasm.

Ophthalmic:  Miosis (constricted pupils), visual disturbances.

Psychiatric: Agitation, anxiety, confusion, fear, dysphoria, depression.

Reproductive:  Hypogonadism, infertility.

Respiratory: Bronchitis, cough, dyspnea, nasal congestion, nasopharyngitis, respiratory depression, sinusitis, upper respiratory tract infection.

Other:  Drug abuse, drug dependence, opioid withdrawal syndrome.

Hypoglycemia: Cases of hypoglycemia have been reported in patients taking opioids. Most reports were in patients with at least one predisposing risk factor (e.g., diabetes).

7 Drug Interactions

No specific drug interaction studies have been conducted with Hydrocodone Bitartrate and Homatropine Methylbromide Oral Solution (Syrup).

7.3 Cyp3a4 Inducers

The concomitant use of Hydrocodone Bitartrate and Homatropine Methylbromide Oral Solution (Syrup) and CYP3A4 inducers such as rifampin, carbamazepine, or phenytoin, can decrease the plasma concentration of hydrocodone [see Clinical Pharmacology (12.3)], resulting in decreased efficacy or onset of a withdrawal syndrome in patients who have developed physical dependence to hydrocodone [see Warnings and Precautions (5.7)]. After stopping a CYP3A4 inducer, as the effects of the inducer decline, the hydrocodone plasma concentration will increase [see Clinical Pharmacology (12.3)], which could increase or prolong both the therapeutic effects and adverse reactions, and may cause serious respiratory depression.

Avoid the use of Hydrocodone Bitartrate and Homatropine Methylbromide Oral Solution (Syrup) in patients who are taking CYP3A4 inducers. If concomitant use of a CYP3A4 inducer is necessary, follow the patient for reduced efficacy.

7.7 Muscle Relaxants

Hydrocodone may enhance the neuromuscular blocking action of skeletal muscle relaxants and produce an increased degree of respiratory depression.  Avoid the use of Hydrocodone Bitartrate and Homatropine Methylbromide Oral Solution (Syrup) in patients taking muscle relaxants.

If concomitant use is necessary, evaluate patients for signs of respiratory depression that may be greater than otherwise expected.

8.6 Renal Impairment

The pharmacokinetics of Hydrocodone Bitartrate and Homatropine Methylbromide Oral Solution (Syrup) has not been characterized in patients with renal impairment. Patients with renal impairment may have higher plasma concentrations than those with normal function [see Clinical Pharmacology (12.3)]. Hydrocodone Bitartrate and Homatropine Methylbromide Oral Solution (Syrup) should be used with caution in patients with severe impairment of renal function, and patients should be monitored closely for respiratory depression, sedation, and hypotension.

12.2 Pharmacodynamics

Hydrocodone

Effects on the Central Nervous System

Hydrocodone produces respiratory depression by direct action on brain stem respiratory centers. The respiratory depression involves a reduction in the responsiveness of the brain stem respiratory centers to both increases in carbon dioxide tension and to electrical stimulation.

Hydrocodone causes miosis, even in total darkness. Pinpoint pupils are a sign of opioid overdose but are not pathognomonic (e.g., pontine lesions of hemorrhagic or ischemic origins may produce similar findings).

Marked mydriasis rather than miosis may be seen due to hypoxia in overdose situations.

Effects on the Gastrointestinal Tract and Other Smooth Muscle

Hydrocodone causes a reduction in motility associated with an increase in smooth muscle tone in the antrum of the stomach and duodenum. Digestion of food in the small intestine is delayed and propulsive contractions are decreased. Propulsive peristaltic waves in the colon are decreased, while tone may be increased to the point of spasm resulting in constipation. Other opioid-induced effects may include a reduction in biliary and pancreatic secretions, spasm of sphincter of Oddi, and transient elevations in serum amylase.

Effects on the Cardiovascular System

Hydrocodone produces peripheral vasodilation which may result in orthostatic hypotension or syncope. Manifestations of histamine release and/or peripheral vasodilation may include pruritus, flushing, red eyes and sweating and/or orthostatic hypotension.

Effects on the Endocrine System

Opioids inhibit the secretion of adrenocorticotropic hormone (ACTH), cortisol, and luteinizing hormone (LH) in humans [see Adverse Reactions (6)]. They also stimulate prolactin, growth hormone (GH) secretion, and pancreatic secretion of insulin and glucagon.

Chronic use of opioids may influence the hypothalamic-pituitary-gonadal axis, leading to androgen deficiency that may manifest as low libido, impotence, erectile dysfunction, amenorrhea, or infertility. The causal role of opioids in the clinical syndrome of hypogonadism is unknown because the various medical, physical, lifestyle, and psychological stressors that may influence gonadal hormone levels have not been adequately controlled for in studies conducted to date [see Adverse Reactions (6)].

Effects on the Immune System

Opioids have been shown to have a variety of effects on components of the immune system in in vitro and animal models. The clinical significance of these findings is unknown. Overall, the effects of opioids appear to be modestly immunosuppressive.

Concentration–Adverse Reaction Relationships

There is a relationship between increasing hydrocodone plasma concentration and increasing frequency of dose-related opioid adverse reactions such as nausea, vomiting, CNS effects, and respiratory depression. In opioid-tolerant patients, the situation may be altered by the development of tolerance to opioid-related adverse reactions.

Homatropine

Homatropine methylbromide has several mild but undesirable clinical properties resulting from its antisecretory effects. These can include: dry mouth, loss of visual accommodation, photophobia, and difficulty in urination. The extent of the above actions is dictated by dose, dose escalation, therefore, results in progressively aversive symptoms in patients.

12.3 Pharmacokinetics

Absorption

Following a 10 mg oral dose of hydrocodone administered to five adult male subjects, the mean peak concentration was 23.6 ± 5.2 ng/mL. Maximum serum levels were achieved at 1.3 ± 0.3 hours. Food has no significant effect on the extent of absorption of hydrocodone.

Distribution

Although the extent of protein binding of hydrocodone in human plasma has not been definitively determined, structural similarities to related opioid analgesics suggest that hydrocodone is not extensively protein bound. As most agents in the 5-ring morphinan group of semi-synthetic opioids bind plasma protein to a similar degree (range 19% [hydromorphone] to 45% [oxycodone]), hydrocodone is expected to fall within this range.

Elimination

Metabolism

Hydrocodone exhibits a complex pattern of metabolism, including N-demethylation, O-demethylation, and 6keto reduction to the corresponding 6-α-and 6-β-hydroxy metabolites. CYP3A4 mediated N-demethylation to norhydrocodone is the primary metabolic pathway of hydrocodone with a lower contribution from CYP2D6 mediated O-demethylation to hydromorphone. Hydromorphone is formed from the O-demethylation of hydrocodone and may contribute to the total analgesic effect of hydrocodone. Therefore, the formation of these and related metabolites can, in theory, be affected by other drugs [see Drug Interactions (7.2)]. Published in vitro studies have shown that N-demethylation of hydrocodone to form norhydrocodone can be attributed to CYP3A4 while O-demethylation of hydrocodone to hydromorphone is predominantly catalyzed by CYP2D6 and to a lesser extent by an unknown low affinity CYP enzyme.

Excretion

Hydrocodone and its metabolites are eliminated primarily in the kidneys. The mean plasma half-life of hydrocodone is approximately 4 hours.

2.2 Recommended Dosage

Adults 18 years of age and older: 5 mL of the Oral Solution (Syrup) every 4 to 6 hours as needed; not to exceed 30 mL in 24 hours.

7.5 Serotonergic Drugs

The concomitant use of opioids with other drugs that affect the serotonergic neurotransmitter system has resulted in serotonin syndrome. If concomitant use is warranted, carefully observe the patient, particularly during treatment initiation.  Discontinue Hydrocodone Bitartrate and Homatropine Methylbromide Oral Solution (Syrup) if serotonin syndrome is suspected.

8.7 Hepatic Impairment

The pharmacokinetics of Hydrocodone Bitartrate and Homatropine Methylbromide Oral Solution (Syrup) has not been characterized in patients with hepatic impairment. Patients with severe hepatic impairment may have higher plasma concentrations than those with normal hepatic function [see Clinical Pharmacology (12.3)].  Therefore, Hydrocodone Bitartrate and Homatropine Methylbromide Oral Solution (Syrup) should be used with caution in patients with severe impairment of hepatic function, and patients should be monitored closely for respiratory depression, sedation, and hypotension.

1 Indications and Usage

Hydrocodone Bitartrate and Homatropine Methylbromide Oral Solution (Syrup) are indicated for the symptomatic relief of cough in adult patients 18 years of age and older.

Limitations of Use:

  •   Not indicated for pediatric patients under 18 years of age [see Use in Specific Populations (8.4) ].
  •   Contraindicated in pediatric patients less than 6 years of age [see Contraindications (4)].
  •   Because of the risks of addiction, abuse, and misuse with opioids, even at recommended doses [see Warnings and Precautions (5.1)], reserve Hydrocodone Bitartrate and Homatropine Methylbromide Oral Solution (Syrup) for use in adult patients for whom the benefits of cough suppression are expected to outweigh the risks, and in whom an adequate assessment of the etiology of the cough has been made.
5.12 Severe Hypotension

Hydrocodone Bitartrate and Homatropine Methylbromide Oral Solution (Syrup) may cause severe hypotension including orthostatic hypotension and syncope in ambulatory patients. There is increased risk in patients whose ability to maintain blood pressure has already been compromised by a reduced blood volume or concurrent administration of certain CNS depressant drugs (e.g., phenothiazines or general anesthetics) [see Drug Interactions (7.4)]. Monitor these patients for signs of hypotension after initiating Hydrocodone Bitartrate and Homatropine Methylbromide Oral Solution (Syrup).

In patients with circulatory shock, Hydrocodone Bitartrate and Homatropine Methylbromide Oral Solution (Syrup) may cause vasodilation that can further reduce cardiac output and blood pressure.  Avoid the use of Hydrocodone Bitartrate and Homatropine Methylbromide Oral Solution (Syrup) in patients with circulatory shock.

12.1 Mechanism of Action

Hydrocodone

Hydrocodone is an opioid agonist with relative selectivity for the mu-opioid receptor, although it can interact with other opioid receptors at higher doses. The precise mechanism of action of hydrocodone and other opiates is not known; however, hydrocodone is believed to act centrally on the cough center. In excessive doses, hydrocodone will depress respiration.

Homatropine

Homatropine is an anticholinergic that inhibits activity of the muscarinic acetylcholine receptor with less potency than atropine.

9.1 Controlled Substance

Hydrocodone Bitartrate and Homatropine Methylbromide Oral Solution (Syrup) contains hydrocodone, a Schedule II controlled substance.

7.9 Anticholinergic Drugs

The concomitant use of anticholinergic drugs with Hydrocodone Bitartrate and Homatropine Methylbromide Oral Solution (Syrup) may increase risk of urinary retention and/or severe constipation, which may lead to paralytic ileus [see Warnings and Precautions (5.9)]. Evaluate patients for signs of urinary retention or reduced gastric motility when Hydrocodone Bitartrate and Homatropine Methylbromide Oral Solution (Syrup) are used concomitantly with anticholinergic drugs.

5 Warnings and Precautions
  •   Life-threatening respiratory depression in patients with chronic pulmonary disease or in elderly, cachectic, or debilitated patients : Monitor closely, particularly during initiation of therapy. (5.4)
  •   Activities requiring mental alertness : Avoid engaging in hazardous tasks requiring mental alertness such as driving or operating machinery. (5.6)
  •   Risks of use in patients with head injury, impaired consciousness, increased intracranial pressure, or brain tumors : Avoid use. May increase intracranial pressure and obscure the clinical course of head injuries. (5.10)
  •   Seizures in patients with seizure disorders : Monitor during therapy. (5.11)
  •   Severe hypotension : Monitor during initiation of therapy. Avoid use in patients with circulatory shock. (5.12)
  •   Adrenal insufficiency : If diagnosed, treat with physiologic replacement of corticosteroids, and wean patient off of the opioid. (5.14)
5.14 Adrenal Insufficiency

Cases of adrenal insufficiency have been reported with opioid use, more often following greater than one month of use. Presentation of adrenal insufficiency may include non-specific symptoms and signs including nausea, vomiting, anorexia, fatigue, weakness, dizziness, and low blood pressure. If adrenal insufficiency is suspected, confirm the diagnosis with diagnostic testing as soon as possible.  If adrenal insufficiency is diagnosed, treat with physiologic replacement doses of corticosteroids. Wean the patient off of the opioid to allow adrenal function to recover and continue corticosteroid treatment until adrenal function recovers. Other opioids may be tried as some cases reported use of a different opioid without recurrence of adrenal insufficiency. The information available does not identify any particular opioids as being more likely to be associated with adrenal insufficiency.

3 Dosage Forms and Strengths

Oral Solution (Syrup) (syrup): Each 5 mL contains hydrocodone bitartrate 5 mg; and homatropine bromide 1.5 mg and available as a clear red-colored, cherry-flavor oral solution. [see Description (11)].  

8 Use in Specific Populations
  •   Pregnancy : Avoid use in pregnant women.  May cause fetal harm. (8.1)
  •   Lactation : Breast-feeding not recommended. (8.2)
  •   Renal Impairment : Use with caution in patients with severe renal impairment. (8.6)
  •   Hepatic Impairment: Use with caution in patients with severe hepatic impairment. (8.7)
5.1 Addiction, Abuse, and Misuse
  • Hydrocodone Bitartrate and Homatropine Methylbromide Oral Solution (Syrup) contains hydrocodone, a Schedule II controlled substance.  As an opioid, Hydrocodone Bitartrate and Homatropine Methylbromide Oral Solution (Syrup) exposes users to the risks of addiction, abuse, and misuse [see Drug Abuse and Dependence (9)], which can lead to overdose and death [see Overdosage (10)]. 
  • Reserve Hydrocodone Bitartrate and Homatropine Methylbromide Oral Solution (Syrup) for use in adult patients for whom the benefits of cough suppression are expected to outweigh the risks, and in whom an adequate assessment of the etiology of the cough has been made.
  • Assess each patient's risk prior to prescribing Hydrocodone Bitartrate and Homatropine Methylbromide Oral Solution (Syrup), prescribe Hydrocodone Bitartrate and Homatropine Methylbromide Oral Solution (Syrup) for the shortest duration that is consistent with individual patient treatment goals, monitor all patients regularly for the development of addiction or abuse, and refill only after reevaluation of the need for continued treatment.
  • Although the risk of addiction in any individual is unknown, it can occur in patients appropriately prescribed Hydrocodone Bitartrate and Homatropine Methylbromide Oral Solution (Syrup). Addiction can occur at recommended dosages and if the drug is misused or abused. Risks are increased in patients with a personal or family history of substance abuse (including drug or alcohol abuse or addiction) or mental illness (e.g., major depression).
  • Opioids are sought by drug abusers and people with addiction disorders and are subject to criminal diversion. Consider these risks when prescribing or dispensing Hydrocodone Bitartrate and Homatropine Methylbromide Oral Solution (Syrup). Strategies to reduce these risks include prescribing the drug in the smallest appropriate quantity and advising the patient on the proper disposal of unused drug [see Patient Counseling Information (17)]. Contact local state professional licensing board or state controlled substances authority for information on how to prevent and detect abuse or diversion of this product.
17 Patient Counseling Information

Advise the patient to read the FDA-approved patient labeling (Medication Guide).

Addiction, Abuse, and Misuse

Inform patients that the use of Hydrocodone Bitartrate and Homatropine Methylbromide Oral Solution (Syrup), even when taken as recommended, can result in addiction, abuse, and misuse, which can lead to overdose and death [see Warnings and Precautions (5.1)]. Instruct patients not to share Hydrocodone Bitartrate and Homatropine Methylbromide Oral Solution (Syrup) with others and to take steps to protect Hydrocodone Bitartrate and Homatropine Methylbromide Oral Solution (Syrup) from theft or misuse.

Important Dosing and Administration Instructions

Instruct patients how to measure and take the correct dose of Hydrocodone Bitartrate and Homatropine Methylbromide Oral Solution (Syrup). Advise patients to measure Hydrocodone Bitartrate and Homatropine Methylbromide Oral Solution (Syrup) with an accurate milliliter measuring device. Patients should be informed that a household teaspoon is not an accurate measuring device and could lead to overdosage. Advise patients to ask their pharmacist to recommend an appropriate measuring device and for instructions for measuring the correct dose [see Dosage and Administration (2.1), Warnings and Precautions (5.5)]. Advise patients not to increase the dose or dosing frequency of Hydrocodone Bitartrate and Homatropine Methylbromide Oral Solution (Syrup) because serious adverse events such as respiratory depression may occur with overdosage [see Warnings and Precautions (5.2), Overdosage (10)].

Life-Threatening Respiratory Depression

Inform patients of the risk of life-threatening respiratory depression, including information that the risk is greatest when starting Hydrocodone Bitartrate and Homatropine Methylbromide Oral Solution (Syrup) and that it can occur even at recommended dosages [see Warnings and Precautions (5.2)]. Advise patients how to recognize respiratory depression and to seek medical attention if breathing difficulties develop.

Accidental Ingestion

Inform patients that accidental ingestion, especially by children, may result in respiratory depression or death [see Warnings and Precautions (5.2)]. Instruct patients to take steps to store Hydrocodone Bitartrate and Homatropine Methylbromide Oral Solution (Syrup) securely and to properly dispose of unused Hydrocodone Bitartrate and Homatropine Methylbromide Oral Solution (Syrup) in accordance with the local state guidelines and/or regulations.

Activities Requiring Mental Alertness

Advise patients to avoid engaging in hazardous tasks that require mental alertness and motor coordination such as operating machinery or driving a motor vehicle as Hydrocodone Bitartrate and Homatropine Methylbromide Oral Solution (Syrup) may produce marked drowsiness [see Warnings and Precautions (5.6)].

Interactions with Benzodiazepines and Other Central Nervous System Depressants, Including Alcohol

Inform patients and caregivers that potentially fatal additive effects may occur if Hydrocodone Bitartrate and Homatropine Methylbromide Oral Solution (Syrup) is used with benzodiazepines or other CNS depressants, including alcohol. Advise patients to avoid concomitant use of Hydrocodone Bitartrate and Homatropine Methylbromide Oral Solution (Syrup) with benzodiazepines or other CNS depressants and instruct patients not to consume alcoholic beverages, as well as prescription and over-the-counter products that contain alcohol, during treatment with Hydrocodone Bitartrate and Homatropine Methylbromide Oral Solution (Syrup) [see Warnings and Precautions (5.8), Drug Interactions (7.1, 7.4)].

Constipation

Advise patients of the potential for severe constipation [see Warnings and Precautions (5.9), Adverse Reactions (6)].

Anaphylaxis

Inform patients that anaphylaxis has been reported with ingredients contained in Hydrocodone Bitartrate and Homatropine Methylbromide Oral Solution (Syrup). Advise patients how to recognize such a reaction and when to seek medical attention [see Contraindications (4), Adverse Reactions (6)].

MAOI Interaction

Inform patients not to take Hydrocodone Bitartrate and Homatropine Methylbromide Oral Solution (Syrup) while using any drugs that inhibit monoamine oxidase. Patients should not start MAOIs while taking Hydrocodone Bitartrate and Homatropine Methylbromide Oral Solution (Syrup) [see Drug Interactions (7.6)].

Hypotension

Inform patients that Hydrocodone Bitartrate and Homatropine Methylbromide Oral Solution (Syrup) may cause orthostatic hypotension and syncope. Instruct patients how to recognize symptoms of low blood pressure and how to reduce the risk of serious consequences should hypotension occur (e.g., sit or lie down, carefully rise from a sitting or lying position) [see Warnings and Precautions (5.12)].

Pregnancy

Advise patients that use of Hydrocodone Bitartrate and Homatropine Methylbromide Oral Solution (Syrup) are not recommended during pregnancy [see Use in Specific Populations (8.1)].

Neonatal Opioid Withdrawal Syndrome (NOWS)

Inform female patients of reproductive potential that use of Hydrocodone Bitartrate and Homatropine Methylbromide Oral Solution (Syrup) for an extended period of time during pregnancy can result in neonatal opioid withdrawal syndrome, which may be life-threatening if not recognized and treated [see Warnings and Precautions (5.13), Use in Specific Populations (8.1)].

Embryo-Fetal Toxicity

Inform female patients of reproductive potential that Hydrocodone Bitartrate and Homatropine Methylbromide Oral Solution (Syrup) can cause fetal harm and to inform their healthcare provider of a known or suspected pregnancy [see Use in Specific Populations (8.1)].

Lactation

Advise women that breastfeeding is not recommended during treatment with Hydrocodone Bitartrate and Homatropine Methylbromide Oral Solution (Syrup) [see Use in Specific Populations (8.2)].

Infertility

Inform patients that chronic use of opioids for an extended period of time such as hydrocodone, a component of Hydrocodone Bitartrate and Homatropine Methylbromide Oral Solution (Syrup), may cause reduced fertility. It is not known whether these effects on fertility are reversible [see Use in Specific Populations (8.3)].

Adrenal Insufficiency

Inform patients that Hydrocodone Bitartrate and Homatropine Methylbromide Oral Solution (Syrup) could cause adrenal insufficiency, a potentially life-threatening condition. Adrenal insufficiency may present with non-specific symptoms and signs such as nausea, vomiting, anorexia, fatigue, weakness, dizziness, and low blood pressure. Advise patients to seek medical attention if they experience a constellation of these symptoms [see Warnings and Precautions (5.14)].

Serotonin Syndrome

Inform patients that Hydrocodone Bitartrate and Homatropine Methylbromide Oral Solution (Syrup) could cause a rare but potentially life-threatening condition resulting from concomitant administration of serotonergic drugs. Warn patients of the symptoms of serotonin syndrome and to seek medical attention right away if symptoms develop. Instruct patients to inform their physicians if they are taking, or plan to take serotonergic medications. [see Adverse Reactions (6), Drug Interactions (7.5)].

Disposal of Unused Hydrocodone Bitartrate and Homatropine Methylbromide Oral Solution (Syrup)

Advise patients to properly dispose of unused Hydrocodone Bitartrate and Homatropine Methylbromide Oral Solution (Syrup). Advise patients to throw the drug in the household trash following these steps. 1) Remove them from their original containers and mix them with an undesirable substance, such as used coffee grounds or kitty litter (this makes the drug less appealing to children and pets, and unrecognizable to people who may intentionally go through the trash seeking drugs). 2) Place the mixture in a sealable bag, empty can, or other container to prevent the drug from leaking or breaking out of a garbage bag, or to dispose of in accordance with local state guidelines and/or regulations.

Manufactured by:

Novel Laboratories, Inc

400 Campus Drive

Somerset, NJ  08873

SAP Code: XXXX

Rev. 10/2024

7.2 Inhibitors of Cyp3a4 and Cyp2d6

The concomitant use of Hydrocodone Bitartrate and Homatropine Methylbromide Oral Solution (Syrup) and CYP3A4 inhibitors, such as macrolide antibiotics (e.g., erythromycin), azole-antifungal agents (e.g. ketoconazole), or protease inhibitors (e.g., ritonavir), can increase the plasma concentration of hydrocodone, resulting in increased or prolonged opioid effects. These effects could be more pronounced with concomitant use of Hydrocodone Bitartrate and Homatropine Methylbromide Oral Solution (Syrup) and CYP2D6 and CYP3A4 inhibitors, particularly when an inhibitor is added after a stable dose of Hydrocodone Bitartrate and Homatropine Methylbromide Oral Solution (Syrup) are achieved [see Warnings and Precautions (5.7)]. After stopping a CYP3A4 inhibitor, as the effects of the inhibitor decline, the hydrocodone plasma concentration will decrease [see Clinical Pharmacology (12.3)], resulting in decreased opioid efficacy or a withdrawal syndrome in patients who had developed physical dependence to hydrocodone.

Avoid the use of Hydrocodone Bitartrate and Homatropine Methylbromide Oral Solution (Syrup) while taking a CYP3A4 or CYP2D6 inhibitor. If concomitant use is necessary, evaluate patients for respiratory depression and sedation at frequent intervals.

16 How Supplied/storage and Handling

Hydrocodone Bitartrate and Homatropine Methylbromide Oral Solution (Syrup) is available as clear red colored, cherry flavor. Each 5 mL contains 5 mg hydrocodone bitartrate and 1.5 mg homatropine methylbromide:

Bottles of 16 fl oz. (473 mL)   NDC 40032-810-05

Store oral solution at controlled room temperature 20°C to 25°C (68°F to 77°F). [See USP Controlled Room Temperature.]     

Dispense in a tight, light-resistant container, as defined in the USP, with a child-resistant closure.

Ensure that patients have an oral dosing dispenser that measures the appropriate volume in milliliters. Counsel patients on how to utilize an oral dosing dispenser and correctly measure the oral suspension as prescribed.

Package Label.principal Display Panel

Container Label

5.15 Drug/laboratory Test Interactions

Because opioid agonists may increase biliary tract pressure, with resultant increase in plasma amylase or lipase levels, determination of these enzyme levels may be unreliable for 24 hours after administration of a dose of Hydrocodone Bitartrate and Homatropine Methylbromide Oral Solution (Syrup).

5.13 Neonatal Opioid Withdrawal Syndrome

Hydrocodone Bitartrate and Homatropine Methylbromide Oral Solution (Syrup) are not recommended for use in pregnant women. Prolonged use of Hydrocodone Bitartrate and Homatropine Methylbromide Oral Solution (Syrup) during pregnancy can result in withdrawal in the neonate. Neonatal opioid withdrawal syndrome, unlike opioid withdrawal syndrome in adults, may be life-threatening if not recognized and treated, and requires management according to protocols developed by neonatology experts. Observe newborns for signs of neonatal opioid withdrawal syndrome and manage accordingly. Advise pregnant women using opioids for a prolonged period of the risk of neonatal opioid withdrawal syndrome and ensure that appropriate treatment will be available. [see Use in Specific Populations (8.1), Patient Counseling Information (17)]

7.6 Monoamine Oxidase Inhibitors (maois)

Avoid the use of Hydrocodone Bitartrate and Homatropine Methylbromide Oral Solution (Syrup) in patients who are taking monoamine oxidase inhibitors (MAOIs) or have taken MAOIs within 14 days. The use of MAOIs or tricyclic antidepressants with hydrocodone, one of the active ingredients in Hydrocodone Bitartrate and Homatropine Methylbromide Oral Solution (Syrup), may increase the effect of either the antidepressant or hydrocodone. MAOI interactions with opioids may manifest as serotonin syndrome or opioid toxicity (e.g., respiratory depression, coma).

5.2 Life Threatening Respiratory Depression
  • Serious, life-threatening, or fatal respiratory depression has been reported with the use of opioids, including hydrocodone, one of the active ingredients in Hydrocodone Bitartrate and Homatropine Methylbromide Oral Solution (Syrup). Hydrocodone produces dose-related respiratory depression by directly acting on the brain stem respiratory center that controls respiratory rhythm and may produce irregular and periodic breathing. Respiratory depression, if not immediately recognized and treated, may lead to respiratory arrest and death. Management of respiratory depression includes discontinuation of Hydrocodone Bitartrate and Homatropine Methylbromide Oral Solution (Syrup), close observation, supportive measures, and use of opioid antagonists (e.g. naloxone), depending on the patient's clinical status [see Overdosage (10)]. Carbon dioxide (CO2) retention from opioid-induced respiratory depression can exacerbate the sedating effects of opioids.
  • While serious, life-threatening, or fatal respiratory depression can occur at any time during the use of Hydrocodone Bitartrate and Homatropine Methylbromide Oral Solution (Syrup), the risk is greatest during the initiation of therapy, when Hydrocodone Bitartrate and Homatropine Methylbromide Oral Solution (Syrup) are used concomitantly with other drugs that may cause respiratory depression [see Warnings and Precautions (5.8)], in patients with chronic pulmonary disease or decreased respiratory reserve, and in patients with altered pharmacokinetics or altered clearance (e.g. elderly, cachectic, or debilitated patients) [see Warnings and Precautions (5.4)].
  • To reduce the risk of respiratory depression, proper dosing of Hydrocodone Bitartrate and Homatropine Methylbromide Oral Solution (Syrup) are essential [see Dosage and Administration (2.1), Warnings and Precautions (5.5)]. Monitor patients closely, especially within the first 24 to 72 hours of initiating therapy or when used in patients at higher risk.
  • Overdose of hydrocodone in adults has been associated with fatal respiratory depression, and the use of hydrocodone in pediatric patients younger than 6 years of age has been associated with fatal respiratory depression when used as recommended. Accidental ingestion of even one dose of Hydrocodone Bitartrate and Homatropine Methylbromide Oral Solution (Syrup), especially by children, can result in respiratory depression and death.
5.3 Risks With Use in Pediatric Populations
  • Pediatric patients are particularly sensitive to the respiratory depressant effects of hydrocodone [see Warnings and Precautions (5.2)]. Because of the risk of life-threatening respiratory depression and death, Hydrocodone Bitartrate and Homatropine Methylbromide Oral Solution (Syrup) is contraindicated in pediatric patients less than 6 years of age [see Contraindications (4)].
  • Use of Hydrocodone Bitartrate and Homatropine Methylbromide Oral Solution (Syrup) in pediatric patients also exposes them to the risks of addiction, abuse, and misuse [see Drug Abuse and Dependence (9)], which can lead to overdose and death [see Warnings and Precautions (5.1), Overdosage (10)]. Because the benefits of symptomatic treatment of cough associated with allergies or the common cold do not outweigh the risks of use of hydrocodone in pediatric patients, Hydrocodone Bitartrate and Homatropine Methylbromide Oral Solution (Syrup) is not indicated for use in patients younger than 18 years of age [see Indications (1), Use in Specific Populations (8.4)].
7.4 Benzodiazepines, and Other Cns Depressants

Due to additive pharmacologic effect, the concomitant use of benzodiazepines or other CNS depressants, including alcohol, other sedatives/hypnotics, anxiolytics, tranquilizers, muscle relaxants, general anesthetics, antipsychotics, and other opioids, can increase the risk of hypotension, respiratory depression, profound sedation, coma, and death. Avoid the use of Hydrocodone Bitartrate and Homatropine Methylbromide Oral Solution (Syrup) in patients who are taking benzodiazepines or other CNS depressants [see Warnings and Precautions (5.8)], and instruct patients to avoid consumption of alcohol while on Hydrocodone Bitartrate and Homatropine Methylbromide Oral Solution (Syrup) [see Drug Interactions (7.1) Patient Counseling Information (17)].

5.4 Risks With Use in Other At Risk Populations

Unresponsive Cough

The dosage of Hydrocodone Bitartrate and Homatropine Methylbromide Oral Solution (Syrup) should not be increased if cough fails to respond; an unresponsive cough should be reevaluated in 5 days or sooner for possible underlying pathology, such as foreign body or lower respiratory tract disease [see Dosage and Administration (2.3)].

Asthma and Other Pulmonary Disease

  • The use of Hydrocodone Bitartrate and Homatropine Methylbromide Oral Solution (Syrup) in patients with acute or severe bronchial asthma in an unmonitored setting or in the absence of resuscitative equipment is contraindicated [see Contraindications (4)].
  • Opioid analgesics and antitussives, including hydrocodone, one of the active ingredients in Hydrocodone Bitartrate and Homatropine Methylbromide Oral Solution (Syrup), should not be used in patients with acute febrile illness associated with productive cough or in patients with chronic respiratory disease where interference with ability to clear the tracheobronchial tree of secretions would have a deleterious effect on the patient's respiratory function.
  • Hydrocodone Bitartrate and Homatropine Methylbromide Oral Solution (Syrup)-treated patients with significant chronic obstructive pulmonary disease or cor pulmonale, and those with a substantially decreased respiratory reserve, hypoxia, hypercapnia, or pre-existing respiratory depression are at increased risk of decreased respiratory drive including apnea, even at recommended dosages of Hydrocodone Bitartrate and Homatropine Methylbromide Oral Solution (Syrup) [see Warnings and Precautions (5.2)].

Elderly, Cachectic, or Debilitated Patients

  • Life-threatening respiratory depression is more likely to occur in elderly, cachectic, or debilitated patients because they may have altered pharmacokinetics or altered clearance compared to younger, healthier patients [see Warnings and Precautions (5.2)].
  • Because of the risk of respiratory depression, avoid the use of opioid antitussives, including Hydrocodone Bitartrate and Homatropine Methylbromide Oral Solution (Syrup) in patients with compromised respiratory function, patients at risk of respiratory failure, and in elderly, cachectic, or debilitated patients. If Hydrocodone Bitartrate and Homatropine Methylbromide Oral Solution (Syrup) are prescribed, monitor such patients closely, particularly when initiating Hydrocodone Bitartrate and Homatropine Methylbromide Oral Solution (Syrup) and when Hydrocodone Bitartrate and Homatropine Methylbromide Oral Solution (Syrup) are given concomitantly with other drugs that depress respiration [see Warnings and Precautions (5.8)].
8.3 Females and Males of Reproductive Potential

Infertility

Chronic use of opioids, such as hydrocodone, a component of Hydrocodone Bitartrate and Homatropine Methylbromide Oral Solution (Syrup), may cause reduced fertility in females and males of reproductive potential. It is not known whether these effects on fertility are reversible [see Adverse Reactions (6), Clinical Pharmacology (12.2)].

2.1 Important Dosage and Administration Instructions

Administer Hydrocodone Bitartrate and Homatropine Methylbromide Oral Solution (Syrup) by the oral route only. 

Always use an accurate milliliter measuring device when administering Hydrocodone Bitartrate and Homatropine Methylbromide Oral Solution (Syrup) to ensure that the dose is measured and administered accurately.  A household teaspoon is not an accurate measuring device and could lead to overdosage [see Warnings and Precautions (5.5)].  For prescriptions where a measuring device is not provided, a pharmacist can provide an appropriate measuring device and can provide instructions for measuring the correct dose.  Do not overfill.  Rinse the measuring device with water after each use.

Advise patients not to increase the dose or dosing frequency of Hydrocodone Bitartrate and Homatropine Methylbromide Oral Solution (Syrup) because serious adverse events such as respiratory depression may occur with overdosage [see Warnings and Precautions (5.2), Overdosage (10)].  The dosage of Hydrocodone Bitartrate and Homatropine Methylbromide Oral Solution (Syrup) should not be increased if cough fails to respond; an unresponsive cough should be reevaluated for possible underlying pathology [see Dosage and Administration (2.3), Warnings and Precautions (5.4)]. 

13.1 Carcinogenesis, Mutagenesis, Impairment of Fertility

Carcinogenicity, mutagenicity, and fertility studies have not been conducted with Hydrocodone Bitartrate and Homatropine; however, published information is available for the individual active ingredients or related active ingredients.

Hydrocodone

Carcinogenicity studies were conducted with codeine, an opiate related to hydrocodone. Two-year studies in F344/N rats and B6C3F1 mice were conducted to assess the carcinogenic potential of codeine. No evidence of tumorigenicity was observed in male and female rats at codeine dietary doses up to 70 and 80 mg/kg/day (approximately equivalent to 40 and 45 times the MRHD of hydrocodone on a mg/m2 basis, respectively). No evidence of tumorigenicity was observed in male and female mice at codeine dietary doses up to 400 mg/kg/day (approximately equivalent to 110 times the MRHD of hydrocodone on a mg/m2 basis).

Mutagenicity studies with hydrocodone have not been conducted.

Fertility studies with hydrocodone have not been conducted.

Homatropine

Carcinogenicity, mutagenicity, and fertility studies with homatropine have not been conducted.

2.3 Monitoring, Maintenance, and Discontinuation of Therapy

Prescribe Hydrocodone Bitartrate and Homatropine Methylbromide Oral Solution (Syrup) for the shortest duration that is consistent with individual patient treatment goals [see Warnings and Precautions (5.1)].

Monitor patients closely for respiratory depression, especially within the first 24-72 hours of initiating therapy [see Warnings and Precautions (5.2)].

Reevaluate patients with unresponsive cough in 5 days or sooner for possible underlying pathology, such as foreign body or lower respiratory tract disease [see Warnings and Precautions (5.4)]. If a patient requires a refill, reevaluate the cause of the cough and assess the need for continued treatment with Hydrocodone Bitartrate and Homatropine Methylbromide Oral Solution (Syrup), the relative incidence of adverse reactions, and the development of addiction, abuse, or misuse [see Warnings and Precautions (5.1)].

Do not abruptly discontinue Hydrocodone Bitartrate and Homatropine Methylbromide Oral Solution (Syrup) in a physically-dependent patient [see Drug Abuse and Dependence (9.3)]. When a patient who has been taking Hydrocodone Bitartrate and Homatropine Methylbromide Oral Solution (Syrup) regularly and may be physically dependent no longer requires therapy with Hydrocodone Bitartrate and Homatropine Methylbromide Oral Solution (Syrup), taper the dose gradually, by 25% to 50% every 2 to 4 days, while monitoring carefully for signs and symptoms of withdrawal. If the patient develops these signs or symptoms, raise the dose to the previous level and taper more slowly, either by increasing the interval between decreases, decreasing the amount of change in dose, or both.

  •   Adults 18 years of age and older : 5 mL Oral Solution (Syrup) every 4 to 6 hours as needed; not to exceed 30 mL in 24 hours. (2.2)
  •   Measure Hydrocodone Bitartrate and Homatropine Methylbromide Oral Solution (Syrup) with an accurate milliliter measuring device. (2.1, 5.5)
  •   Do not increase the dose or dosing frequency. (2.1)
  •   Prescribe for the shortest duration consistent with treatment goals. (2.3)
  •   Reevaluate patients with unresponsive cough in 5 days or sooner for possible underlying pathology. (2.3)
  •   Reevaluate patient prior to refilling. (2.3)
5.9 Risks of Use in Patients With Gastrointestinal Conditions
  • Hydrocodone Bitartrate and Homatropine Methylbromide Oral Solution (Syrup) are contraindicated in patients with known or suspected gastrointestinal obstruction, including paralytic ileus [see Contraindications (4)]. The use of hydrocodone in Hydrocodone Bitartrate and Homatropine Methylbromide Oral Solution (Syrup) may obscure the diagnosis or clinical course of patients with acute abdominal conditions.
  • The concurrent use of anticholinergics with Hydrocodone Bitartrate and Homatropine Methylbromide Oral Solution (Syrup) may produce paralytic ileus [see Drug Interactions (7.9)].
  • The hydrocodone in Hydrocodone Bitartrate and Homatropine Methylbromide Oral Solution (Syrup) may result in constipation or obstructive bowel disease, especially in patients with underlying intestinal motility disorders. Use with caution in patients with underlying intestinal motility disorders.
  • The hydrocodone in Hydrocodone Bitartrate and Homatropine Methylbromide Oral Solution (Syrup) may cause spasm of the sphincter of Oddi, resulting in an increase in biliary tract pressure. Opioids may cause increases in serum amylase [see Warnings and Precautions (5.15)]. Monitor patients with biliary tract disease, including acute pancreatitis for worsening symptoms.
5.11 Increased Risk of Seizures in Patients With Seizure Disorders

The hydrocodone in Hydrocodone Bitartrate and Homatropine Methylbromide Oral Solution (Syrup) may increase the frequency of seizures in patients with seizure disorders, and may increase the risk of seizures occurring in other clinical settings associated with seizures. Monitor patients with a history of seizure disorders for worsened seizure control during Hydrocodone Bitartrate and Homatropine Methylbromide Oral Solution (Syrup) therapy.

5.5 Risks of Accidental Overdose and Death Due to Medication Errors
  • Dosing errors can result in accidental overdose and death. To reduce the risk of overdose and respiratory depression, ensure that the dose of Hydrocodone Bitartrate and Homatropine Methylbromide Oral Solution (Syrup) are communicated clearly and dispensed accurately [see Dosage and Administration (2.1)].
  • Advise patients to always use an accurate milliliter measuring device when measuring and administering Hydrocodone Bitartrate and Homatropine Methylbromide Oral Solution (Syrup).  Inform patients that household teaspoon is not an accurate measuring device and such use could lead to overdosage and serious adverse reactions [see Overdosage (10)].  For prescriptions where a measuring device is not provided, a pharmacist can provide an appropriate calibrated measuring device and can provide instructions for measuring the correct dose.
5.8 Risks From Concomitant Use With Benzodiazepines Or Other Cns Depressants
  • Concomitant use of opioids, including Hydrocodone Bitartrate and Homatropine Methylbromide Oral Solution (Syrup), with benzodiazepines, or other CNS depressants, including alcohol, may result in profound sedation, respiratory depression, coma, and death. Because of these risks, avoid use of opioid cough medications in patients taking benzodiazepines, other CNS depressants, or alcohol [see Drug Interactions (7.1, 7.4)].
  • Observational studies have demonstrated that concomitant use of opioid analgesics and benzodiazepines increases the risk of drug-related mortality compared to use of opioids alone. Because of similar pharmacologic properties, it is reasonable to expect similar risk with concomitant use of opioid cough medications and benzodiazepines, other CNS depressants, or alcohol.
  • Advise both patients and caregivers about the risks of respiratory depression and sedation if Hydrocodone Bitartrate and Homatropine Methylbromide Oral Solution (Syrup) are used with benzodiazepines, alcohol, or other CNS depressants [see Patient Counseling Information (17)].
  • Patients must not consume alcoholic beverages, or prescription or non-prescription products containing alcohol, while on Hydrocodone Bitartrate and Homatropine Methylbromide Oral Solution (Syrup) therapy. The co-ingestion of alcohol with Hydrocodone Bitartrate and Homatropine Methylbromide Oral Solution (Syrup) may result in increased plasma levels and a potentially fatal overdose of hydrocodone [see Drug Interactions (7.1)].
5.6 Activities Requiring Mental Alertness: Risks of Driving and Operating Machinery

Hydrocodone, one of the active ingredients in Hydrocodone Bitartrate and Homatropine Methylbromide Oral Solution (Syrup), may produce marked drowsiness and impair the mental and/or physical abilities required for the performance of potentially hazardous tasks such as driving a car or operating machinery. Advise patients to avoid engaging in hazardous tasks requiring mental alertness and motor coordination after ingestion of Hydrocodone Bitartrate and Homatropine Methylbromide Oral Solution (Syrup).  Avoid concurrent use of Hydrocodone Bitartrate and Homatropine Methylbromide Oral Solution (Syrup) with alcohol or other central nervous system depressants because additional impairment of central nervous system performance may occur [see Warnings and Precautions (5.8)].

5.7 Risks From Concomitant Use Or Discontinuation of Cytochrome P450 3a4 Inhibitors and Inducers
  • Concomitant use of Hydrocodone Bitartrate and Homatropine Methylbromide Oral Solution (Syrup) with a CYP3A4 inhibitor, such as macrolide antibiotics (e.g., erythromycin), azole-antifungal agents (e.g., ketoconazole), and protease inhibitors (e.g., ritonavir), may increase plasma concentrations of hydrocodone and prolong opioid adverse reactions, which may cause potentially fatal respiratory depression [see Warnings and Precautions (5.2)], particularly when an inhibitor is added after a stable dose of Hydrocodone Bitartrate and Homatropine Methylbromide Oral Solution (Syrup) are achieved. Similarly, discontinuation of a CYP3A4 inducer, such as rifampin, carbamazepine, and phenytoin, in Hydrocodone Bitartrate and Homatropine Methylbromide Oral Solution (Syrup) -treated patients may increase hydrocodone plasma concentrations and prolong opioid adverse reactions.
  • Concomitant use of Hydrocodone Bitartrate and Homatropine Methylbromide Oral Solution (Syrup) with CYP3A4 inducers or discontinuation of a CYP3A4 inhibitor could decrease hydrocodone plasma concentrations, decrease opioid efficacy or, possibly, lead to a withdrawal syndrome in a patient who had developed physical dependence to hydrocodone.
  • Avoid the use of Hydrocodone Bitartrate and Homatropine Methylbromide Oral Solution (Syrup) in patients who are taking a CYP3A4 inhibitor or inducer. If concomitant use of Hydrocodone Bitartrate and Homatropine Methylbromide Oral Solution (Syrup) with a CYP3A4 inhibitor or inducer is necessary, monitor patients for signs and symptoms that may reflect opioid toxicity and opioid withdrawal [see Drug Interactions (7.2, 7.3)].
5.10 Risks of Use in Patients With Head Injury, Impaired Consciousness, Increased Intracranial Pressure, Or Brain Tumors

Avoid the use of Hydrocodone Bitartrate and Homatropine Methylbromide Oral Solution (Syrup) in patients with head injury, intracranial lesions, or a pre-existing increase in intracranial pressure. In patients who may be susceptible to the intracranial effects of CO2 retention (e.g., those with evidence of increased intracranial pressure or brain tumors), Hydrocodone Bitartrate and Homatropine Methylbromide Oral Solution (Syrup) may reduce respiratory drive, and the resultant CO2 retention can further increase intracranial pressure. Furthermore, opioids produce adverse reactions that may obscure the clinical course of patients with head injuries.


Structured Label Content

Recent Major Changes (34066-1)

WARNING: ADDICTION, ABUSE, AND MISUSE; LIFE-THREATENING RESPIRATORY DEPRESSION; ACCIDENTAL INGESTION; MEDICATION ERRORS; CYTOCHROME P450 3A4 INTERACTION; CONCOMITANT USE WITH BENZODIAZEPINES OR OTHER CNS DEPRESSANTS; INTERACTION WITH ALCOHOL; NEONATAL OPIOID WITHDRAWAL SYNDROME (NOWS)

See full prescribing information for complete boxed warning.

Addiction, Abuse, and Misuse

Hydrocodone Bitartrate and Homatropine Methylbromide Oral Solution (Syrup) exposes patients and other users to the risks of opioid addiction, abuse, and misuse, which can lead to overdose and death. Reserve Hydrocodone Bitartrate and Homatropine Methylbromide Oral Solution (Syrup) for use in adult patients for whom the benefits of cough suppression are expected to outweigh the risks, and in whom an adequate assessment of the etiology of the cough has been made. Assess each patient's risk prior to prescribing Hydrocodone Bitartrate and Homatropine Methylbromide Oral Solution (Syrup), prescribe Hydrocodone Bitartrate and Homatropine Methylbromide Oral Solution (Syrup) for the shortest duration that is consistent with individual patient treatment goals, monitor all patients regularly for the development of addiction or abuse, and refill only after reevaluation of the need for continued treatment. [see Warnings and Precautions (5.1)]

Life-Threatening Respiratory Depression

Serious, life-threatening, or fatal respiratory depression may occur with use of Hydrocodone Bitartrate and Homatropine Methylbromide Oral Solution (Syrup). Monitor for respiratory depression, especially during initiation of Hydrocodone Bitartrate and Homatropine Methylbromide Oral Solution (Syrup) therapy or when used in patients at higher risk [see Warnings and Precautions (5.2)].

Accidental Ingestion

Accidental ingestion of even one dose of Hydrocodone Bitartrate and Homatropine Methylbromide Oral Solution (Syrup), especially by children, can result in a fatal overdose of hydrocodone [see Warnings and Precautions (5.2)].

Risk of Medication Errors

Ensure accuracy when prescribing, dispensing, and administering Hydrocodone Bitartrate and Homatropine Methylbromide Oral Solution (Syrup). Dosing errors can result in accidental overdose and death. Always use an accurate milliliter measuring device when measuring and administering Hydrocodone Bitartrate and Homatropine Methylbromide Oral Solution (Syrup) [see Dosage and Administration (2.1), Warnings and Precautions (5.5)].

Cytochrome P450 3A4 Interaction

The concomitant use of Hydrocodone Bitartrate and Homatropine Methylbromide Oral Solution (Syrup) with all cytochrome P450 3A4 inhibitors may result in an increase in hydrocodone plasma concentrations, which could increase or prolong adverse drug effects and may cause potentially fatal respiratory depression. In addition, discontinuation of a concomitantly used cytochrome P450 3A4 inducer may result in an increase in hydrocodone plasma concentration. Avoid the use of Hydrocodone Bitartrate and Homatropine Methylbromide Oral Solution (Syrup) in patients taking a CYP3A4 inhibitor or inducer [see Warnings and Precautions (5.7), Drug Interactions (7.2, 7.3)].

Risks from Concomitant Use with Benzodiazepines or Other CNS Depressants Concomitant use of opioids with benzodiazepines or other central nervous system (CNS) depressants, including alcohol, may result in profound sedation, respiratory depression, coma, and death. Avoid the use of Hydrocodone Bitartrate and Homatropine Methylbromide Oral Solution (Syrup) in patients taking benzodiazepines, other CNS depressants, or alcohol.  [see Warning and Precautions (5.8), Drug Interactions (7.5)]

Interaction with Alcohol

Instruct patients not to consume alcoholic beverages or use prescription or non-prescription products that contain alcohol while taking Hydrocodone Bitartrate and Homatropine Methylbromide Oral Solution (Syrup). The co-ingestion of alcohol with Hydrocodone Bitartrate and Homatropine Methylbromide Oral Solution (Syrup) may result in increased plasma levels and a potentially fatal overdose of hydrocodone [see Warnings and Precautions (5.8), Drug Interactions (7.1)].

Neonatal Opioid Withdrawal Syndrome (NOWS)

Hydrocodone Bitartrate and Homatropine Methylbromide Oral Solution (Syrup) are not recommended for use in pregnant women [see Use in Specific Populations (8.1)]. Prolonged use of Hydrocodone Bitartrate and Homatropine Methylbromide Oral Solution (Syrup) during pregnancy can result in neonatal opioid withdrawal syndrome, which may be life-threatening if not recognized and treated, and requires management according to protocols developed by neonatology experts. If Hydrocodone Bitartrate and Homatropine Methylbromide Oral Solution (Syrup) are used for a prolonged period in a pregnant woman, advise the patient of the risk of neonatal opioid withdrawal syndrome and ensure that appropriate treatment will be available [see Warnings and Precautions (5.13)]

9.2 Abuse

Hydrocodone

Hydrocodone Bitartrate and Homatropine Methylbromide Oral Solution (Syrup) contains hydrocodone, a substance with a high potential for abuse similar to other opioids including morphine and codeine. Hydrocodone Bitartrate and Homatropine Methylbromide Oral Solution (Syrup) can be abused and is subject to misuse, addiction, and criminal diversion [see Warnings and Precautions (5.1)].

All patients treated with opioids require careful monitoring for signs of abuse and addiction, since use of opioid analgesic and antitussive products carries the risk of addiction even under appropriate medical use.

Prescription drug abuse is the intentional non-therapeutic use of a prescription drug, even once, for its rewarding psychological or physiological effects.

Drug addiction is a cluster of behavioral, cognitive, and physiological phenomena that develop after repeated substance use and includes: a strong desire to take the drug, difficulties in controlling its use, persisting in its use despite harmful consequences, a higher priority given to drug use than to other activities and obligations, increased tolerance, and sometimes a physical withdrawal.

"Drug-seeking" behavior is very common in persons with substance use disorders. Drug-seeking tactics include emergency calls or visits near the end of office hours, refusal to undergo appropriate examination, testing, or referral, repeated "loss" of prescriptions, tampering with prescriptions, and reluctance to provide prior medical records or contact information for other treating health care provider(s). "Doctor shopping" (visiting multiple prescribers to obtain additional prescriptions) is common among drug abusers and people suffering from untreated addiction. Preoccupation with achieving adequate pain relief can be appropriate behavior in a patient with poor pain control.

Abuse and addiction are separate and distinct from physical dependence and tolerance. Health care providers should be aware that addiction may not be accompanied by concurrent tolerance and symptoms of physical dependence in all addicts. In addition, abuse of opioids can occur in the absence of true addiction.

Hydrocodone Bitartrate and Homatropine Methylbromide Oral Solution (Syrup), like other opioids, can be diverted for nonmedical use into illicit channels of distribution. Careful record-keeping of prescribing information, including quantity, frequency, and renewal requests, as required by state and federal law, is strongly advised.

Proper assessment of the patient, proper prescribing practices, periodic reevaluation of therapy, and proper dispensing and storage are appropriate measures that help to limit abuse of opioid drugs.

Risks Specific to Abuse of Hydrocodone Bitartrate and Homatropine Methylbromide Oral Solution (Syrup)

Hydrocodone Bitartrate and Homatropine Methylbromide Oral Solution (Syrup) are for oral use only. Abuse of Hydrocodone Bitartrate and Homatropine Methylbromide Oral Solution (Syrup) poses a risk of overdose and death. The risk is increased with concurrent use of Hydrocodone Bitartrate and Homatropine Methylbromide Oral Solution (Syrup) with alcohol and/or other CNS depressants [see Warnings and Precautions (5.8), Drug Interactions (7.1, 7.4)].

Parenteral drug abuse is commonly associated with transmission of infectious diseases such as hepatitis and HIV.

7.1 Alcohol

Concomitant use of alcohol with Hydrocodone Bitartrate and Homatropine Methylbromide Oral Solution (Syrup) can result in an increase of hydrocodone plasma levels and potentially fatal overdose of hydrocodone. Instruct patients not to consume alcoholic beverages or use prescription or nonprescription products containing alcohol while on Hydrocodone Bitartrate and Homatropine Methylbromide Oral Solution (Syrup) therapy [see Warnings and Precautions (5.8) Clinical Pharmacology (12.3).

10 Overdosage (10 OVERDOSAGE)

Clinical Presentation

Hydrocodone

Acute overdose with hydrocodone is characterized by respiratory depression (a decrease in respiratory rate and/or tidal volume, Cheyne-Stokes respiration, cyanosis), extreme somnolence progressing to stupor or coma, skeletal muscle flaccidity, cold and clammy skin, constricted pupils, and, in some cases, pulmonary edema, bradycardia, partial or complete airway obstruction, atypical snoring, hypotension, hypoglycemia, circulatory collapse, cardiac arrest, and death.

Hydrocodone may cause miosis, even in total darkness. Pinpoint pupils are a sign of opioid overdose but are not pathognomonic (e.g., pontine lesions of hemorrhagic or ischemic origin may produce similar findings). Marked mydriasis rather than miosis may be seen with hypoxia in overdose situations [see Clinical Pharmacology (12.2)].

Homatropine

Homatropine has broad, nonspecific anticholinergic / antimuscarinic activity that similar to, although less potent than, atropine. Overdosage of homatropine can cause mydriasis and cycloplegia (fixed and dilated pupils), dry mouth and eyes, decreased sweating, hyperthermia, flushing, headache, visual blurring, gastrointestinal symptoms, constipation, urinary retention, tachycardia and palpitations, anxiety, restlessness, agitation, hallucinations, convulsions, cardiac arrhythmias and coma. Anticholinergic agents can also precipitate acute narrow angle glaucoma.

Treatment of Overdose

Treatment of overdosage is driven by the overall clinical presentation, and consists of discontinuation of Hydrocodone Bitartrate and Homatropine Methylbromide Oral Solution (Syrup) together with institution of appropriate therapy. Give primary attention to the reestablishment of adequate respiratory exchange through provision of a patent and protected airway and the institution of assisted or controlled ventilation. Employ other supportive measures (including oxygen and vasopressors) in the management of circulatory shock and pulmonary edema as indicated. Cardiac arrest or arrhythmias will require advanced life-support measures.  Gastric emptying may be useful in removing unabsorbed drug.

The opioid antagonists, naloxone and nalmefene, are specific antidotes for respiratory depression resulting from opioid overdose. For clinically significant respiratory or circulatory depression secondary to hydrocodone overdose, administer an opioid antagonist.  An antagonist should not be administered in the absence of clinically significant respiratory depression. Because the duration of opioid reversal is expected to be less than the duration of action of hydrocodone in Hydrocodone Bitartrate and Homatropine Methylbromide Oral Solution (Syrup), carefully monitor the patient until spontaneous respiration is reliably reestablished. If the response to an opioid antagonist is suboptimal or only brief in nature, administer additional antagonist as directed by the product's prescribing information.

Hemodialysis is not routinely used to enhance the elimination of hydrocodone from the body.

Physostigmine may be used parenterally for the treatment of the signs and symptoms of homatropine toxicity.

7.8 Diuretics

Opioids can reduce the efficacy of diuretics by inducing the release of antidiuretic hormone. Evaluate patients for signs of diminished diuresis and/or effects on blood pressure and increase the dosage of the diuretic as needed.

8.1 Pregnancy

Risk Summary

Hydrocodone Bitartrate and Homatropine Methylbromide Oral Solution (Syrup) are not recommended for use in pregnant women, including during or immediately prior to labor.

Prolonged use of opioids during pregnancy may cause neonatal opioid withdrawal syndrome [see Warnings and Precautions (5.13), Clinical Considerations].

There are no available data with Hydrocodone Bitartrate and Homatropine Methylbromide Oral Solution (Syrup) use in pregnant women to inform a drug-associated risk for adverse developmental outcomes. Published studies with hydrocodone have reported inconsistent findings and have important methodological limitations (see Data).

Reproductive toxicity studies have not been conducted with Hydrocodone Bitartrate and Homatropine Methylbromide Oral Solution (Syrup); however, studies are available with individual active ingredients or related active ingredients (see Data).

In animal reproduction studies, hydrocodone administered by the subcutaneous route to pregnant hamsters during the period of organogenesis produced a teratogenic effect at a dose approximately 45 times the maximum recommended human dose (MRHD) (see Data).

Based on the animal data, advise pregnant women of the potential risk to a fetus.

The estimated background risk of major birth defects and miscarriage for the indicated population is unknown. All pregnancies have a background risk of birth defect, loss, or other adverse outcomes. In the U.S. general population, the estimated background risk of major birth defects and miscarriage in clinically recognized pregnancies is 2 to 4% and 15 to 20%, respectively.

Clinical Considerations

Fetal/Neonatal Adverse Reactions

Prolonged use of opioid analgesics during pregnancy for medical or nonmedical purposes can result in physical dependence in the neonate and neonatal opioid withdrawal syndrome shortly after birth.

Neonatal opioid withdrawal syndrome presents as irritability, hyperactivity and abnormal sleep pattern, high pitched cry, tremor, vomiting, diarrhea and failure to gain weight. The onset, duration, and severity of neonatal opioid withdrawal syndrome vary based on the specific opioid used, duration of use, timing and amount of last maternal use, and rate of elimination of the drug by the newborn. Observe newborns for symptoms of neonatal opioid withdrawal syndrome and manage accordingly [see Warnings and Precautions (5.13)].

Labor or Delivery

Opioids cross the placenta and may produce respiratory depression and psycho-physiologic effects in neonates. An opioid antagonist, such as naloxone, must be available for reversal of opioid-induced respiratory depression in the neonate.  Opioids, including Hydrocodone Bitartrate and Homatropine Methylbromide Oral Solution (Syrup), can prolong labor through actions which temporarily reduce the strength, duration, and frequency of uterine contractions. However, this effect is not consistent and may be offset by an increased rate of cervical dilation, which tends to shorten labor. Monitor neonates exposed to opioids during labor for signs of excess sedation and respiratory depression.

Data

Human Data

Hydrocodone

A limited number of pregnancies have been reported in published observational studies and postmarketing reports describing hydrocodone use during pregnancy. However, these data cannot definitely establish or exclude any drug-associated risk during pregnancy. Methodological limitations of these observational studies include small sample size and lack of details regarding dose, duration and timing of exposure.

Animal Data

Reproductive toxicity studies have not been conducted with Hydrocodone Bitartrate and Homatropine Methylbromide Oral Solution (Syrup); however, studies are available with individual active ingredients or related active ingredients.

Hydrocodone

In an embryofetal development study in pregnant hamsters dosed on gestation day 8 during the period of organogenesis, hydrocodone induced cranioschisis, a malformation, at approximately 45 times the MRHD (on a mg/m2 basis with a maternal subcutaneous dose of 102 mg/kg).  Reproductive toxicology studies were also conducted with codeine, an opiate related to hydrocodone. In an embryofetal development study in pregnant rats dosed throughout the period of organogenesis, codeine increased resorptions and decreased fetal weights at a dose approximately 65 times the MRHD of hydrocodone (on a mg/m2 basis with a maternal oral dose of codeine at 120 mg/kg/day); however, these effects occurred in the presence of maternal toxicity. In embryofetal development studies with pregnant rabbits and mice dosed throughout the period of organogenesis, codeine produced no adverse developmental effects at doses approximately 30 and 160 times, respectively, the MRHD of hydrocodone (on a mg/m2 basis with maternal oral doses of codeine at 30 mg/kg/day in rabbits and 600 mg/kg/day in mice).

Homatropine

Animal studies with homatropine are not available.

8.2 Lactation

Risk Summary

Because of the potential for serious adverse reactions, including excess sedation, respiratory depression, and death in a breastfed infant, advise patients that breastfeeding is not recommended during treatment with Hydrocodone Bitartrate and Homatropine Methylbromide Oral Solution (Syrup).

There are no data on the presence of Hydrocodone Bitartrate and Homatropine Methylbromide Oral Solution (Syrup) in human milk, the effects of Hydrocodone Bitartrate and Homatropine Methylbromide Oral Solution (Syrup) on the breastfed infant, or the effects of Hydrocodone Bitartrate and Homatropine Methylbromide Oral Solution (Syrup) on milk production; however, data are available with hydrocodone and homatropine.

Hydrocodone

Hydrocodone is present in breast milk. Published cases report variable concentrations of hydrocodone and hydromorphone (an active metabolite) in breast milk with administration of immediate-release hydrocodone to nursing mothers in the early post-partum period with relative infant doses of hydrocodone ranging between 1.4 and 3.7%. There are case reports of excessive sedation and respiratory depression in breastfed infants exposed to hydrocodone.  No information is available on the effects of hydrocodone on milk production.

Homatropine

No information is available on the levels of homatropine in breast milk or on milk production. The published literature suggests that homatropine may decrease milk production based on its anticholinergic effects. (see Clinical Considerations)

Clinical Considerations

Infants exposed to Hydrocodone Bitartrate and Homatropine Methylbromide Oral Solution (Syrup) through breast milk should be monitored for excess sedation and respiratory depression. Withdrawal symptoms can occur in breastfed infants when maternal administration of an opioid is stopped, or when breastfeeding is stopped.

11 Description (11 DESCRIPTION)

Hydrocodone Bitartrate and Homatropine Methylbromide Oral Solution (Syrup), USP contains hydrocodone an opioid agonist; and Homatropine, a muscarinic antagonist.

Each spoonful (5 mL) of Hydrocodone Bitartrate and Homatropine Methylbromide Oral Solution (Syrup) contains 5 mg hydrocodone bitartrate, USP and 1.5 mg of homatropine methylbromide, USP, for oral administration.

Hydrocodone Bitartrate and Homatropine Methylbromide Oral Solution (Syrup) contains:  cherry flavor, citric acid, sodium citrate, FD&C Red #40, methylparaben, propylene glycol, propylparaben, purified water, soribitol solution and sucrose.

Hydrocodone Bitartrate:

The chemical name for hydrocodone bitartrate is 4,5α-epoxy-3-methoxy-17-methylmorphinan-6-one-tartrate (1:1) hydrate (2:5). It occurs as a fine white crystal or crystalline powder which is derived from the opium alkaloid, thebaine. It has a molecular weight of 494.50 and has the following chemical structure:

C18H21NO3 • C4H6O6 • 21/2H2O3

Homatropine Methylbromide

The chemical name for homatropine methylbromide is 8- Azoniabicyclo[3.2.1]octane, 3-[(hydroxyphenyl-acetyl)oxy]-8, 8-dimethyl-,bromide,endo. It occurs as a white crystal or fine white crystalline powder. It has a molecular weight of 370.29 and has the following chemical structure:

    C17H24BrNO3

9.3 Dependence

Psychological dependence, physical dependence, and tolerance may develop upon repeated administration of opioids; therefore, Hydrocodone Bitartrate and Homatropine Methylbromide Oral Solution (Syrup) should be prescribed and administered for the shortest duration that is consistent with individual patient treatment goals and patients should be reevaluated prior to refills [see Dosage and Administration (2.3), Warnings and Precautions (5.1)].

Physical dependence, the condition in which continued administration of the drug is required to prevent the appearance of a withdrawal syndrome, assumes clinically significant proportions only after several weeks of continued oral opioid use, although some mild degree of physical dependence may develop after a few days of opioid therapy.

If Hydrocodone Bitartrate and Homatropine Methylbromide Oral Solution (Syrup) are abruptly discontinued in a physically-dependent patient, a withdrawal syndrome may occur. Withdrawal also may be precipitated through the administration of drugs with opioid antagonist activity (e.g., naloxone, nalmefene), mixed agonist/antagonist analgesics (e.g., pentazocine, butorphanol, nalbuphine), or partial agonists (e.g., buprenorphine). Some or all of the following can characterize this syndrome: restlessness, lacrimation, rhinorrhea, yawning, perspiration, chills, myalgia, and mydriasis. Other signs and symptoms also may develop, including irritability, anxiety, backache, joint pain, weakness, abdominal cramps, insomnia, nausea, anorexia, vomiting, diarrhea, or increased blood pressure, respiratory rate, or heart rate.

Infants born to mothers physically dependent on opioids will also be physically dependent and may exhibit respiratory difficulties and withdrawal signs [see Use in Specific Populations (8.1)].

Medication Guide (MEDICATION GUIDE)

Hydrocodone Bitartrate (hye'' droe koe' done bye tar' trate) and Homatropine Methylbromide (hoe mat' roe peen meth'' il broe' mide) Oral Solution (Syrup), CII

What is the most important information I should know about Hydrocodone Bitartrate and Homatropine Methylbromide oral solution (Syrup)?

Hydrocodone Bitartrate and Homatropine Methylbromide oral solution (Syrup) is not for children under 18 years of age.

Hydrocodone Bitartrate and Homatropine Methylbromide oral solution (Syrup) can cause serious side effects, including:

  • Addiction, abuse and misuse.   Taking Hydrocodone Bitartrate and Homatropine Methylbromide oral solution (Syrup) or other medicines that contain an opioid can cause addiction, abuse and misuse, which can lead to overdose and death.  This can happen even if you take Hydrocodone Bitartrate and Homatropine Methylbromide oral solution (Syrup) exactly as prescribed by your healthcare provider.  Your risk of addiction, abuse, and misuse is increased if you or a family member has a history of drug or alcohol abuse or addiction, or mental health problems.
    • Do not share your Hydrocodone Bitartrate and Homatropine Methylbromide oral solution (Syrup) with other people.
    • Keep Hydrocodone Bitartrate and Homatropine Methylbromide oral solution (Syrup) in a safe place away from children.
  • Life-threatening breathing problems (respiratory depression) .  Hydrocodone Bitartrate and Homatropine Methylbromide oral solution (Syrup) can cause breathing problems (respiratory depression) that can happen at any time during treatment and can lead to death.  Your risk of breathing problems is greatest when you first start taking Hydrocodone Bitartrate and Homatropine Methylbromide oral solution (Syrup), are taking other medicines that can cause breathing problems, have certain lung problems, are elderly, or have certain other health problems.  Children are at higher risk for respiratory depression.   Breathing problems can happen even if you take Hydrocodone Bitartrate and Homatropine Methylbromide oral solution (Syrup) exactly as prescribed by your healthcare provider.
  • Call your healthcare provider or get emergency medical help right away if anyone taking Hydrocodone Bitartrate and Homatropine Methylbromide oral solution (Syrup) has any of the symptoms below:
    • increased sleepiness
    • confusion
    • difficulty breathing
    • shallow breathing
    • limpness

Keep Hydrocodone Bitartrate and Homatropine Methylbromide oral solution (Syrup) in a safe place away from children.  Accidental use of even 1 dose of Hydrocodone Bitartrate and Homatropine Methylbromide oral solution (Syrup), especially by a child, is a medical emergency and can cause breathing problems (respiratory depression) which can lead to death.  If a child accidentally takes Hydrocodone Bitartrate and Homatropine Methylbromide oral solution (Syrup), get emergency medical help right away.

  • Overdose and death due to medicine dosing errors .  Overdose and death can happen if you measure the wrong dose of Hydrocodone Bitartrate and Homatropine Methylbromide oral solution (Syrup).  Always use an accurate milliliter (mL) measuring device to measure the correct amount of Hydrocodone Bitartrate and Homatropine Methylbromide oral solution (Syrup).  Do not use a household teaspoon to measure your medicine.  You may accidentally take too much.  You can ask your pharmacist for the measuring device you should use and how to measure the correct dose.
  • Breathing problems (respiratory depression) that can lead to death and opioid withdrawal can happen if you start taking or stop taking other medicines while taking Hydrocodone Bitartrate and Homatropine Methylbromide oral solution (Syrup), including:
    • certain antibiotics
    • certain medicines to treat a fungal infection
    • certain medicines to treat Human Immunodeficiency Virus (HIV)-1 infection, Acquired Immune Deficiency Syndrome (AIDS), or Hepatitis C
    • rifampin
    • carbamazepine
    • phenytoin

Tell your healthcare provider if you take any of these medicines.  Ask your healthcare provider or pharmacist if you are not sure if your medicine is listed above.

  • Severe drowsiness, breathing problems (respiratory depression), coma, and death can happen in people who take Hydrocodone Bitartrate and Homatropine Methylbromide oral solution (Syrup) with benzodiazepines or other central nervous system depressants, including alcohol. 
    • Do not take benzodiazepines or any medicine that can cause drowsiness or sleepiness during treatment with Hydrocodone Bitartrate and Homatropine Methylbromide oral solution (Syrup).
    • Do not drink alcohol or take prescription or over-the-counter medicines that contain alcohol during treatment with Hydrocodone Bitartrate and Homatropine Methylbromide oral solution (Syrup).
  • Opioid withdrawal in a newborn . Use of Hydrocodone Bitartrate and Homatropine Methylbromide oral solution (Syrup) during pregnancy can cause withdrawal symptoms in your newborn baby that could be life-threatening if not recognized and treated.  You should not take Hydrocodone Bitartrate and Homatropine Methylbromide oral solution (Syrup) if you are pregnant.  Tell your healthcare provider right away if you are pregnant or think you may be pregnant.

What is Hydrocodone Bitartrate and Homatropine Methylbromide oral solution (Syrup)?

  • Hydrocodone Bitartrate and Homatropine Methylbromide oral solution (Syrup) is a prescription medicine used in adults 18 years of age and older to treat a cough.  Hydrocodone Bitartrate and Homatropine Methylbromide oral solution (Syrup) contains hydrocodone, an opioid (narcotic) cough suppressant.
  • Hydrocodone Bitartrate and Homatropine Methylbromide oral solution (Syrup) is a federal controlled substance (C II) because it contains hydrocodone that can be abused or lead to dependence.  Keep Hydrocodone Bitartrate and Homatropine Methylbromide oral solution (Syrup) in a safe place to prevent misuse and abuse.  Selling or giving away Hydrocodone Bitartrate and Homatropine Methylbromide oral solution (Syrup) may harm others, and is against the law.  Tell your healthcare provider if you have ever abused or been dependent on alcohol, prescription medicines or street drugs.

Who should not take Hydrocodone Bitartrate and Homatropine Methylbromide oral solution (Syrup)?

Hydrocodone Bitartrate and Homatropine Methylbromide oral solution (Syrup) is not for children under 18 years of age.  See "What is the most important information I should know about Hydrocodone Bitartrate and Homatropine Methylbromide oral solution (Syrup)?"

Do not take Hydrocodone Bitartrate and Homatropine Methylbromide oral solution (Syrup) if you:

  • have severe breathing problems (respiratory depression) or breathing problems caused by asthma.  See "What is the most important information I should know about Hydrocodone Bitartrate and Homatropine Methylbromide oral solution (Syrup)?"
  • have a blockage (obstruction) in your bowel such as a paralytic ileus.
  • are allergic to hydrocodone, homatropine, or any of the ingredients in Hydrocodone Bitartrate and Homatropine Methylbromide oral solution (Syrup).  See the end of this Medication Guide for a complete list of ingredients in Hydrocodone Bitartrate and Homatropine Methylbromide oral solution (Syrup).

Ask your healthcare provider if you have any questions about this information.

Before you take Hydrocodone Bitartrate and Homatropine Methylbromide oral solution (Syrup), tell your healthcare provider about all of your medical conditions, including if you:

  •   have a drug addiction
  •   have lung or breathing problems
  •   have a fever and are coughing up mucus
  •   have had a recent head injury
  •   have had a brain tumor or other brain problems
  •   have or have had seizures
  •   have pain in your stomach-area (abdomen)
  •   have constipation or other bowel problems
  •   have bile duct or pancreas problems
  •   have glaucoma (increased pressure in eyes)
  •   have prostate problems
  •   have problems with your urinary tract or difficulty urinating
  •   have kidney or liver problems
  •   have adrenal gland problems
  •   have low blood pressure
  •   plan to have surgery
  •   are pregnant or plan to become pregnant.  Hydrocodone Bitartrate and Homatropine Methylbromide oral solution (Syrup) can harm your unborn baby.  See "What is the most important information I should know about Hydrocodone Bitartrate and Homatropine Methylbromide oral solution (Syrup)? "
  •   are breastfeeding or plan to breastfeed.  Hydrocodone passes into your breast milk and can cause serious side effects in your baby including increased sleepiness, breathing problems (respiratory depression), and death.  You and your healthcare provider should decide if you will take Hydrocodone Bitartrate and Homatropine Methylbromide oral solution (Syrup) or breastfeed.  You should not do both.  See "What should I avoid while taking Hydrocodone Bitartrate and Homatropine Methylbromide oral solution (Syrup)?"
  •   plan to have children.  Hydrocodone Bitartrate and Homatropine Methylbromide oral solution (Syrup) may affect the ability to have a child in females and males (fertility problems).  It is not known if these fertility problems will be reversible, even after you stop taking Hydrocodone Bitartrate and Homatropine Methylbromide oral solution (Syrup).  Talk to your healthcare provider if this is a concern for you.

Tell your healthcare provider about all the medicines you take, including prescription and over-the-counter medicines, vitamins, and herbal supplements.

Taking Hydrocodone Bitartrate and Homatropine Methylbromide oral solution (Syrup) with certain other medicines can cause side effects or affect how well Hydrocodone Bitartrate and Homatropine Methylbromide oral solution (Syrup) or the other medicines work.  Do not start or stop taking other medicines without talking to your healthcare provider. 

Especially tell your healthcare provider if you:

  • take pain medicines such as opioids (narcotics).

          take cold or allergy medicines that contain antihistamines or cough suppressants.

          drink alcohol.

          take muscle relaxants.

          take certain medicines used to treat mood, anxiety, psychotic or thought disorders, or depression, including monoamine oxidase inhibitors (MAOIs), tricyclics, selective serotonin reuptake inhibitors (SSRIs), selective serotonin-norepinephrine reuptake inhibitors (SNRIs), or antipsychotics.

          take medicines to lower your blood pressure.

          take water pills (diuretics).

          take medicines called "anticholinergics" used to treat certain health problems including asthma, chronic obstructive pulmonary disease (COPD), or stomach problems.

Ask your healthcare provider if you are not sure if you take one of these medicines.

How should I take Hydrocodone Bitartrate and Homatropine Methylbromide oral solution (Syrup)?

  •   See "What is the most important information I should know about Hydrocodone Bitartrate and Homatropine Methylbromide oral solution (Syrup)? "
  •   Take Hydrocodone Bitartrate and Homatropine Methylbromide oral solution (Syrup) exactly as your healthcare provider tells you to take it.  Do not change your dose without talking to your healthcare provider.
  •   Take Hydrocodone Bitartrate and Homatropine Methylbromide oral solution (Syrup) by mouth only.
  •   Take Hydrocodone Bitartrate and Homatropine Methylbromide oral solution (Syrup) using an accurate milliliter (mL) measuring device.  If you do not have one, ask your pharmacist to give you a measuring device to help you measure the correct amount of Hydrocodone Bitartrate and Homatropine Methylbromide oral solution (Syrup).  Do not use a household teaspoon to measure your medicine.  You may accidently take too much . 
  •   Do not overfill the measuring device.
  •   Rinse the measuring device with water after each use.
  •   If you take too much Hydrocodone Bitartrate and Homatropine Methylbromide oral solution (Syrup), call your healthcare provider or go to the nearest hospital emergency room right away.
  •   Tell your healthcare provider if your cough does not get better within 5 days of treatment with Hydrocodone Bitartrate and Homatropine Methylbromide oral solution (Syrup).

What should I avoid while taking Hydrocodone Bitartrate and Homatropine Methylbromide oral solution (Syrup)?

  •   Avoid driving a car or operating machinery during treatment with Hydrocodone Bitartrate and Homatropine Methylbromide oral solution (Syrup).  Hydrocodone Bitartrate and Homatropine Methylbromide oral solution (Syrup) can cause you to be drowsy, slow your thinking and motor skills, and affect your vision.
  •   Do not drink alcohol during treatment with Hydrocodone Bitartrate and Homatropine Methylbromide oral solution (Syrup).  Drinking alcohol can increase your chances of having serious side effects.

Avoid the use of Hydrocodone Bitartrate and Homatropine Methylbromide oral solution (Syrup) if you:

  •   are pregnant.  Use of Hydrocodone Bitartrate and Homatropine Methylbromide oral solution (Syrup) during pregnancy can cause withdrawal symptoms in your newborn baby that could be life-threatening if not recognized and treated.  Tell your healthcare provider right away if you are pregnant or think you may be pregnant.
  •   are breastfeeding.  Use of Hydrocodone Bitartrate and Homatropine Methylbromide oral solution (Syrup) while breastfeeding can cause severe breathing problems (respiratory depression) in your breastfed infant that could be life-threatening. 
  •   take a medicine called a monoamine oxidase inhibitor (MAOI).  Avoid taking an MAOI within 14 days after you stop taking Hydrocodone Bitartrate and Homatropine Methylbromide oral solution (Syrup).  Avoid starting Hydrocodone Bitartrate and Homatropine Methylbromide oral solution (Syrup) if you stopped taking an MAOI in the last 14 days.

What are the possible side effects of Hydrocodone Bitartrate and Homatropine Methylbromide oral solution (Syrup)?

Hydrocodone Bitartrate and Homatropine Methylbromide oral solution (Syrup) can cause serious side effects, including:

  • See"What is the most important information I should know about Hydrocodone Bitartrate and Homatropine Methylbromide oral solution (Syrup)?
  • Bowel problems including severe constipation or stomach pain .  See "Who should not take Hydrocodone Bitartrate and Homatropine Methylbromide oral solution (Syrup)? "
  • Increased pressure in your head (intracranial).  Avoid the use of Hydrocodone Bitartrate and Homatropine Methylbromide oral solution (Syrup) if you have a head injury or have been told that you have changes in the tissue of your brain (brain lesions) or increased pressure in your head.
  • Increased risk of seizures in people with seizure disorders.  If you have a seizure disorder, Hydrocodone Bitartrate and Homatropine Methylbromide oral solution (Syrup) may increase how often you have a seizure.
  • Low blood pressure.  A sudden drop in blood pressure can happen in some people during treatment with Hydrocodone Bitartrate and Homatropine Methylbromide oral solution (Syrup) and this may cause you to feel dizzy, faint, lightheaded, or weak, especially when you stand up (orthostatic hypotension).  Your risk of having this problem may be increased if you take Hydrocodone Bitartrate and Homatropine Methylbromide oral solution (Syrup) with certain other medicines that lower blood pressure.  If you have any of these symptoms while taking Hydrocodone Bitartrate and Homatropine Methylbromide oral solution (Syrup), sit or lie down.  Do not change your body position too fast.  Get up slowly from sitting or lying down.
  • Adrenal gland problems.   Hydrocodone Bitartrate and Homatropine Methylbromide oral solution (Syrup) can cause serious and life-threatening adrenal gland problems.  Your healthcare provider may do blood tests to check for adrenal gland problems.  Call your healthcare provider right away if you have any of these symptoms:
    • nausea
    • vomiting
    • not wanting to eat (anorexia)
    • fatigue
    • weakness
    • dizziness
    • low blood pressure

The most common side effects of Hydrocodone Bitartrate and Homatropine Methylbromide oral solution (Syrup) include:

  • sleepiness
  • confusion
  • coordination problems
  • decrease in mental and physical performance
  • lack of energy
  • lightheadedness
  • dizziness
  • headache
  • dry mouth
  • nausea
  • vomiting
  • constipation

These are not all the possible side effects of Hydrocodone Bitartrate and Homatropine Methylbromide oral solution (Syrup).

Call your healthcare provider for medical advice about side effects.  You may report side effects to FDA at 1-800-FDA-1088.

How should I store Hydrocodone Bitartrate and Homatropine Methylbromide oral solution (Syrup)? 

  • Store Hydrocodone Bitartrate and Homatropine Methylbromide oral solution (Syrup) at room temperature between 68°F to 77°F (20°C to 25°C).
  • Store Hydrocodone Bitartrate and Homatropine Methylbromide oral solution (Syrup) in a tightly closed container, in a dry, cool place away from heat or direct sunlight.
  • Keep Hydrocodone Bitartrate and Homatropine Methylbromide oral solution (Syrup) and all medicines out of the reach of children.

How should I dispose of Hydrocodone Bitartrate and Homatropine Methylbromide oral solution (Syrup)? 

Remove unused Hydrocodone Bitartrate and Homatropine Methylbromide oral solution (Syrup) from the container and mix it with an undesirable, non-toxic substance such as cat litter or used coffee grounds to make it less appealing to children and pets.  Place the mixture in a container such as a sealed plastic bag and throw it away in the household trash.  You can also follow your state or local guidelines on how to safely throw away Hydrocodone Bitartrate and Homatropine Methylbromide oral solution (Syrup). Visit www.fda.gov/drugdisposal for additional information on disposal of unused medicines.

General information about the safe and effective use of Hydrocodone Bitartrate and Homatropine Methylbromide oral solution (Syrup).

Medicines are sometimes prescribed for purposes other than those listed in a Medication Guide.  Do not use Hydrocodone Bitartrate and Homatropine Methylbromide oral solution (Syrup) for a condition for which it was not prescribed.  Do not give Hydrocodone Bitartrate and Homatropine Methylbromide oral solution (Syrup) to other people, even if they have the same symptoms that you have.  It may harm them.

You can ask your pharmacist or healthcare provider for information about Hydrocodone Bitartrate and Homatropine Methylbromide oral solution (Syrup) that is written for health professionals.

What are the ingredients in Hydrocodone Bitartrate and Homatropine Methylbromide oral solution (Syrup)?

Active ingredient: hydrocodone bitartrate and homatropine methylbromide.

Inactive ingredients in Hydrocodone Bitartrate and Homatropine Methylbromide oral solution (Syrup): cherry flavor, citric acid, sodium citrate, FD&C Red #40, methylparaben, propylene glycol, propylparaben, purified water, sorbitol solution and sucrose.

Manufactured by:

Novel Laboratories, Inc.

400 Campus Drive

Somerset, NJ 08873

For more information, call 1-866-403-7592.

SAP Code: xxxxx

Rev. 10/2024

This Medication Guide has been approved by the U.S. Food and Drug Administration.

8.4 Pediatric Use

Hydrocodone Bitartrate and Homatropine Methylbromide Oral Solution (Syrup) is contraindicated in pediatric patients younger than 6 years of age because of life-threatening respiratory depression and death have occurred in pediatric patients who received hydrocodone [see Contraindications (4), Warnings and Precautions (5.2)].

The safety and effectiveness of Hydrocodone Bitartrate and Homatropine Methylbromide Oral Solution (Syrup) have not been established in patients younger than 18 years of age. Hydrocodone Bitartrate and Homatropine Methylbromide Oral Solution (Syrup) is not recommended for use in patients younger than 18 years of age because the benefits of symptomatic treatment of cough associated with allergies or the common cold do not outweigh the risks for use of hydrocodone in these patients [see Indications (1), Warnings and Precautions (5.3)].

8.5 Geriatric Use

Clinical studies have not been conducted with Hydrocodone Bitartrate and Homatropine Methylbromide Oral Solution (Syrup) in geriatric populations.

Use caution when considering the use of Hydrocodone Bitartrate and Homatropine Methylbromide Oral Solution (Syrup) in patients 65 years of age or older. Elderly patients may have increased sensitivity to hydrocodone; greater frequency of decreased hepatic, renal, or cardiac function; or concomitant disease or other drug therapy [see Warnings and Precautions (5.4)].

Respiratory depression is the chief risk for elderly patients treated with opioids, including Hydrocodone Bitartrate and Homatropine Methylbromide Oral Solution (Syrup). Respiratory depression has occurred after large initial doses of opioids were administered to patients who were not opioid-tolerant or when opioids were co-administered with other agents that depress respiration [see Warnings and Precautions (5.4, 5.8)].

Hydrocodone is known to be substantially excreted by the kidney, and the risk of adverse reactions to this drug may be greater in patients with impaired renal function. Because elderly patients are more likely to have decreased renal function, monitor these patients closely for respiratory depression, sedation, and hypotension.

4 Contraindications (4 CONTRAINDICATIONS)

Hydrocodone Bitartrate and Homatropine Methylbromide Oral Solution (Syrup) is contraindicated for:

  • All pediatric patients younger than 6 years of age [see Warnings and Precautions (5.2, 5.3), Use in Specific Populations (8.4)].
  •   Significant respiratory depression [see Warnings and Precautions (5.2)].
  •   Acute or severe bronchial asthma in an unmonitored setting or in the absence of resuscitative equipment [see Warnings and Precautions (5.4)].
  •   Known or suspected gastrointestinal obstruction, including paralytic ileus [see Warnings and Precautions (5.9)].
  •   Hypersensitivity to hydrocodone, homatropine, or any of the inactive ingredients in Hydrocodone Bitartrate and Homatropine Methylbromide Oral Solution (Syrup) [see Adverse Reactions (6) ].
6 Adverse Reactions (6 ADVERSE REACTIONS)

The following clinically significant adverse reactions are described elsewhere in labeling:

  •   Addiction, abuse, and misuse [see Warnings and Precautions (5.1), Drug Abuse and Dependence (9.3) ]
  •   Life-threatening respiratory depression [see Warnings and Precautions (5.2, 5.3, 5.4, 5.8), Overdosage (10)]
  •   Accidental overdose and death due to medication errors [see Warnings and Precautions (5.5)]
  •   Decreased mental alertness with impaired mental and/or physical abilities [see Warnings and Precautions (5.6)]
  •   Interactions with benzodiazepines and other CNS depressants [see Warnings and Precautions (5.8), Drug Interactions (7.1), (7.4)]
  •   Paralytic ileus, gastrointestinal adverse reactions [see Warnings and Precautions (5.9)]
  •   Increased intracranial pressure [see Warnings and Precautions (5.10)]
  •   Obscured clinical course in patients with head injuries [see Warnings and Precautions (5.10)]
  •   Seizures [see Warnings and Precautions (5.11)]
  •   Severe hypotension [see Warnings and Precautions (5.12)]
  •   Neonatal Opioid Withdrawal Syndrome [see Warnings and Precautions (5.13)]
  •   Adrenal insufficiency [see Warnings and Precautions (5.14) ]

The following adverse reactions have been identified during clinical studies, in the literature, or during post-approval use of hydrocodone and/or homatropine. Because these reactions may be reported voluntarily from a population of uncertain size, it is not always possible to reliably estimate their frequency or establish a causal relationship to drug exposure.

The most common adverse reactions to Hydrocodone Bitartrate and Homatropine Methylbromide Oral Solution (Syrup) include: Sedation (somnolence, mental clouding, lethargy), impaired mental and physical performance, lightheadedness, dizziness, headache, dry mouth, nausea, vomiting, and constipation.

Other reactions include:

Anaphylaxis: Anaphylaxis has been reported with hydrocodone, one of the ingredients in Hydrocodone Bitartrate and Homatropine Methylbromide Oral Solution (Syrup).

Body as a whole:  Coma, death, fatigue, falling injuries, lethargy.

Cardiovascular: Peripheral edema, increased blood pressure, decreased blood pressure, tachycardia, chest pain, palpitation, syncope, orthostatic hypotension, prolonged QT interval, hot flush.

Central Nervous System: Facial dyskinesia, insomnia, migraine, increased intracranial pressure, seizure, tremor.

Dermatologic:  Flushing, hyperhidrosis, pruritus, rash.

Endocrine/Metabolic: Cases of serotonin syndrome, a potentially life-threatening condition, have been reported during concomitant use of opioids with serotonergic drugs. Cases of adrenal insufficiency have been reported with opioid use, more often following greater than one month of use. Cases of androgen deficiency have occurred with chronic use of opioids.

Gastrointestinal: Abdominal pain, bowel obstruction, decreased appetite, diarrhea, difficulty swallowing, dry mouth, GERD, indigestion, pancreatitis, paralytic ileus, biliary tract spasm (spasm of the sphincter of Oddi).

Genitourinary: Urinary tract infection, ureteral spasm, spasm of vesicle sphincters, urinary retention.

Laboratory:  Increases in serum amylase.

Musculoskeletal: Arthralgia, backache, muscle spasm.

Ophthalmic:  Miosis (constricted pupils), visual disturbances.

Psychiatric: Agitation, anxiety, confusion, fear, dysphoria, depression.

Reproductive:  Hypogonadism, infertility.

Respiratory: Bronchitis, cough, dyspnea, nasal congestion, nasopharyngitis, respiratory depression, sinusitis, upper respiratory tract infection.

Other:  Drug abuse, drug dependence, opioid withdrawal syndrome.

Hypoglycemia: Cases of hypoglycemia have been reported in patients taking opioids. Most reports were in patients with at least one predisposing risk factor (e.g., diabetes).

7 Drug Interactions (7 DRUG INTERACTIONS)

No specific drug interaction studies have been conducted with Hydrocodone Bitartrate and Homatropine Methylbromide Oral Solution (Syrup).

7.3 Cyp3a4 Inducers (7.3 CYP3A4 Inducers)

The concomitant use of Hydrocodone Bitartrate and Homatropine Methylbromide Oral Solution (Syrup) and CYP3A4 inducers such as rifampin, carbamazepine, or phenytoin, can decrease the plasma concentration of hydrocodone [see Clinical Pharmacology (12.3)], resulting in decreased efficacy or onset of a withdrawal syndrome in patients who have developed physical dependence to hydrocodone [see Warnings and Precautions (5.7)]. After stopping a CYP3A4 inducer, as the effects of the inducer decline, the hydrocodone plasma concentration will increase [see Clinical Pharmacology (12.3)], which could increase or prolong both the therapeutic effects and adverse reactions, and may cause serious respiratory depression.

Avoid the use of Hydrocodone Bitartrate and Homatropine Methylbromide Oral Solution (Syrup) in patients who are taking CYP3A4 inducers. If concomitant use of a CYP3A4 inducer is necessary, follow the patient for reduced efficacy.

7.7 Muscle Relaxants

Hydrocodone may enhance the neuromuscular blocking action of skeletal muscle relaxants and produce an increased degree of respiratory depression.  Avoid the use of Hydrocodone Bitartrate and Homatropine Methylbromide Oral Solution (Syrup) in patients taking muscle relaxants.

If concomitant use is necessary, evaluate patients for signs of respiratory depression that may be greater than otherwise expected.

8.6 Renal Impairment

The pharmacokinetics of Hydrocodone Bitartrate and Homatropine Methylbromide Oral Solution (Syrup) has not been characterized in patients with renal impairment. Patients with renal impairment may have higher plasma concentrations than those with normal function [see Clinical Pharmacology (12.3)]. Hydrocodone Bitartrate and Homatropine Methylbromide Oral Solution (Syrup) should be used with caution in patients with severe impairment of renal function, and patients should be monitored closely for respiratory depression, sedation, and hypotension.

12.2 Pharmacodynamics

Hydrocodone

Effects on the Central Nervous System

Hydrocodone produces respiratory depression by direct action on brain stem respiratory centers. The respiratory depression involves a reduction in the responsiveness of the brain stem respiratory centers to both increases in carbon dioxide tension and to electrical stimulation.

Hydrocodone causes miosis, even in total darkness. Pinpoint pupils are a sign of opioid overdose but are not pathognomonic (e.g., pontine lesions of hemorrhagic or ischemic origins may produce similar findings).

Marked mydriasis rather than miosis may be seen due to hypoxia in overdose situations.

Effects on the Gastrointestinal Tract and Other Smooth Muscle

Hydrocodone causes a reduction in motility associated with an increase in smooth muscle tone in the antrum of the stomach and duodenum. Digestion of food in the small intestine is delayed and propulsive contractions are decreased. Propulsive peristaltic waves in the colon are decreased, while tone may be increased to the point of spasm resulting in constipation. Other opioid-induced effects may include a reduction in biliary and pancreatic secretions, spasm of sphincter of Oddi, and transient elevations in serum amylase.

Effects on the Cardiovascular System

Hydrocodone produces peripheral vasodilation which may result in orthostatic hypotension or syncope. Manifestations of histamine release and/or peripheral vasodilation may include pruritus, flushing, red eyes and sweating and/or orthostatic hypotension.

Effects on the Endocrine System

Opioids inhibit the secretion of adrenocorticotropic hormone (ACTH), cortisol, and luteinizing hormone (LH) in humans [see Adverse Reactions (6)]. They also stimulate prolactin, growth hormone (GH) secretion, and pancreatic secretion of insulin and glucagon.

Chronic use of opioids may influence the hypothalamic-pituitary-gonadal axis, leading to androgen deficiency that may manifest as low libido, impotence, erectile dysfunction, amenorrhea, or infertility. The causal role of opioids in the clinical syndrome of hypogonadism is unknown because the various medical, physical, lifestyle, and psychological stressors that may influence gonadal hormone levels have not been adequately controlled for in studies conducted to date [see Adverse Reactions (6)].

Effects on the Immune System

Opioids have been shown to have a variety of effects on components of the immune system in in vitro and animal models. The clinical significance of these findings is unknown. Overall, the effects of opioids appear to be modestly immunosuppressive.

Concentration–Adverse Reaction Relationships

There is a relationship between increasing hydrocodone plasma concentration and increasing frequency of dose-related opioid adverse reactions such as nausea, vomiting, CNS effects, and respiratory depression. In opioid-tolerant patients, the situation may be altered by the development of tolerance to opioid-related adverse reactions.

Homatropine

Homatropine methylbromide has several mild but undesirable clinical properties resulting from its antisecretory effects. These can include: dry mouth, loss of visual accommodation, photophobia, and difficulty in urination. The extent of the above actions is dictated by dose, dose escalation, therefore, results in progressively aversive symptoms in patients.

12.3 Pharmacokinetics

Absorption

Following a 10 mg oral dose of hydrocodone administered to five adult male subjects, the mean peak concentration was 23.6 ± 5.2 ng/mL. Maximum serum levels were achieved at 1.3 ± 0.3 hours. Food has no significant effect on the extent of absorption of hydrocodone.

Distribution

Although the extent of protein binding of hydrocodone in human plasma has not been definitively determined, structural similarities to related opioid analgesics suggest that hydrocodone is not extensively protein bound. As most agents in the 5-ring morphinan group of semi-synthetic opioids bind plasma protein to a similar degree (range 19% [hydromorphone] to 45% [oxycodone]), hydrocodone is expected to fall within this range.

Elimination

Metabolism

Hydrocodone exhibits a complex pattern of metabolism, including N-demethylation, O-demethylation, and 6keto reduction to the corresponding 6-α-and 6-β-hydroxy metabolites. CYP3A4 mediated N-demethylation to norhydrocodone is the primary metabolic pathway of hydrocodone with a lower contribution from CYP2D6 mediated O-demethylation to hydromorphone. Hydromorphone is formed from the O-demethylation of hydrocodone and may contribute to the total analgesic effect of hydrocodone. Therefore, the formation of these and related metabolites can, in theory, be affected by other drugs [see Drug Interactions (7.2)]. Published in vitro studies have shown that N-demethylation of hydrocodone to form norhydrocodone can be attributed to CYP3A4 while O-demethylation of hydrocodone to hydromorphone is predominantly catalyzed by CYP2D6 and to a lesser extent by an unknown low affinity CYP enzyme.

Excretion

Hydrocodone and its metabolites are eliminated primarily in the kidneys. The mean plasma half-life of hydrocodone is approximately 4 hours.

2.2 Recommended Dosage

Adults 18 years of age and older: 5 mL of the Oral Solution (Syrup) every 4 to 6 hours as needed; not to exceed 30 mL in 24 hours.

7.5 Serotonergic Drugs

The concomitant use of opioids with other drugs that affect the serotonergic neurotransmitter system has resulted in serotonin syndrome. If concomitant use is warranted, carefully observe the patient, particularly during treatment initiation.  Discontinue Hydrocodone Bitartrate and Homatropine Methylbromide Oral Solution (Syrup) if serotonin syndrome is suspected.

8.7 Hepatic Impairment

The pharmacokinetics of Hydrocodone Bitartrate and Homatropine Methylbromide Oral Solution (Syrup) has not been characterized in patients with hepatic impairment. Patients with severe hepatic impairment may have higher plasma concentrations than those with normal hepatic function [see Clinical Pharmacology (12.3)].  Therefore, Hydrocodone Bitartrate and Homatropine Methylbromide Oral Solution (Syrup) should be used with caution in patients with severe impairment of hepatic function, and patients should be monitored closely for respiratory depression, sedation, and hypotension.

1 Indications and Usage (1 INDICATIONS AND USAGE)

Hydrocodone Bitartrate and Homatropine Methylbromide Oral Solution (Syrup) are indicated for the symptomatic relief of cough in adult patients 18 years of age and older.

Limitations of Use:

  •   Not indicated for pediatric patients under 18 years of age [see Use in Specific Populations (8.4) ].
  •   Contraindicated in pediatric patients less than 6 years of age [see Contraindications (4)].
  •   Because of the risks of addiction, abuse, and misuse with opioids, even at recommended doses [see Warnings and Precautions (5.1)], reserve Hydrocodone Bitartrate and Homatropine Methylbromide Oral Solution (Syrup) for use in adult patients for whom the benefits of cough suppression are expected to outweigh the risks, and in whom an adequate assessment of the etiology of the cough has been made.
5.12 Severe Hypotension

Hydrocodone Bitartrate and Homatropine Methylbromide Oral Solution (Syrup) may cause severe hypotension including orthostatic hypotension and syncope in ambulatory patients. There is increased risk in patients whose ability to maintain blood pressure has already been compromised by a reduced blood volume or concurrent administration of certain CNS depressant drugs (e.g., phenothiazines or general anesthetics) [see Drug Interactions (7.4)]. Monitor these patients for signs of hypotension after initiating Hydrocodone Bitartrate and Homatropine Methylbromide Oral Solution (Syrup).

In patients with circulatory shock, Hydrocodone Bitartrate and Homatropine Methylbromide Oral Solution (Syrup) may cause vasodilation that can further reduce cardiac output and blood pressure.  Avoid the use of Hydrocodone Bitartrate and Homatropine Methylbromide Oral Solution (Syrup) in patients with circulatory shock.

12.1 Mechanism of Action

Hydrocodone

Hydrocodone is an opioid agonist with relative selectivity for the mu-opioid receptor, although it can interact with other opioid receptors at higher doses. The precise mechanism of action of hydrocodone and other opiates is not known; however, hydrocodone is believed to act centrally on the cough center. In excessive doses, hydrocodone will depress respiration.

Homatropine

Homatropine is an anticholinergic that inhibits activity of the muscarinic acetylcholine receptor with less potency than atropine.

9.1 Controlled Substance

Hydrocodone Bitartrate and Homatropine Methylbromide Oral Solution (Syrup) contains hydrocodone, a Schedule II controlled substance.

7.9 Anticholinergic Drugs

The concomitant use of anticholinergic drugs with Hydrocodone Bitartrate and Homatropine Methylbromide Oral Solution (Syrup) may increase risk of urinary retention and/or severe constipation, which may lead to paralytic ileus [see Warnings and Precautions (5.9)]. Evaluate patients for signs of urinary retention or reduced gastric motility when Hydrocodone Bitartrate and Homatropine Methylbromide Oral Solution (Syrup) are used concomitantly with anticholinergic drugs.

5 Warnings and Precautions (5 WARNINGS AND PRECAUTIONS)
  •   Life-threatening respiratory depression in patients with chronic pulmonary disease or in elderly, cachectic, or debilitated patients : Monitor closely, particularly during initiation of therapy. (5.4)
  •   Activities requiring mental alertness : Avoid engaging in hazardous tasks requiring mental alertness such as driving or operating machinery. (5.6)
  •   Risks of use in patients with head injury, impaired consciousness, increased intracranial pressure, or brain tumors : Avoid use. May increase intracranial pressure and obscure the clinical course of head injuries. (5.10)
  •   Seizures in patients with seizure disorders : Monitor during therapy. (5.11)
  •   Severe hypotension : Monitor during initiation of therapy. Avoid use in patients with circulatory shock. (5.12)
  •   Adrenal insufficiency : If diagnosed, treat with physiologic replacement of corticosteroids, and wean patient off of the opioid. (5.14)
5.14 Adrenal Insufficiency

Cases of adrenal insufficiency have been reported with opioid use, more often following greater than one month of use. Presentation of adrenal insufficiency may include non-specific symptoms and signs including nausea, vomiting, anorexia, fatigue, weakness, dizziness, and low blood pressure. If adrenal insufficiency is suspected, confirm the diagnosis with diagnostic testing as soon as possible.  If adrenal insufficiency is diagnosed, treat with physiologic replacement doses of corticosteroids. Wean the patient off of the opioid to allow adrenal function to recover and continue corticosteroid treatment until adrenal function recovers. Other opioids may be tried as some cases reported use of a different opioid without recurrence of adrenal insufficiency. The information available does not identify any particular opioids as being more likely to be associated with adrenal insufficiency.

3 Dosage Forms and Strengths (3 DOSAGE FORMS AND STRENGTHS)

Oral Solution (Syrup) (syrup): Each 5 mL contains hydrocodone bitartrate 5 mg; and homatropine bromide 1.5 mg and available as a clear red-colored, cherry-flavor oral solution. [see Description (11)].  

8 Use in Specific Populations (8 USE IN SPECIFIC POPULATIONS)
  •   Pregnancy : Avoid use in pregnant women.  May cause fetal harm. (8.1)
  •   Lactation : Breast-feeding not recommended. (8.2)
  •   Renal Impairment : Use with caution in patients with severe renal impairment. (8.6)
  •   Hepatic Impairment: Use with caution in patients with severe hepatic impairment. (8.7)
5.1 Addiction, Abuse, and Misuse
  • Hydrocodone Bitartrate and Homatropine Methylbromide Oral Solution (Syrup) contains hydrocodone, a Schedule II controlled substance.  As an opioid, Hydrocodone Bitartrate and Homatropine Methylbromide Oral Solution (Syrup) exposes users to the risks of addiction, abuse, and misuse [see Drug Abuse and Dependence (9)], which can lead to overdose and death [see Overdosage (10)]. 
  • Reserve Hydrocodone Bitartrate and Homatropine Methylbromide Oral Solution (Syrup) for use in adult patients for whom the benefits of cough suppression are expected to outweigh the risks, and in whom an adequate assessment of the etiology of the cough has been made.
  • Assess each patient's risk prior to prescribing Hydrocodone Bitartrate and Homatropine Methylbromide Oral Solution (Syrup), prescribe Hydrocodone Bitartrate and Homatropine Methylbromide Oral Solution (Syrup) for the shortest duration that is consistent with individual patient treatment goals, monitor all patients regularly for the development of addiction or abuse, and refill only after reevaluation of the need for continued treatment.
  • Although the risk of addiction in any individual is unknown, it can occur in patients appropriately prescribed Hydrocodone Bitartrate and Homatropine Methylbromide Oral Solution (Syrup). Addiction can occur at recommended dosages and if the drug is misused or abused. Risks are increased in patients with a personal or family history of substance abuse (including drug or alcohol abuse or addiction) or mental illness (e.g., major depression).
  • Opioids are sought by drug abusers and people with addiction disorders and are subject to criminal diversion. Consider these risks when prescribing or dispensing Hydrocodone Bitartrate and Homatropine Methylbromide Oral Solution (Syrup). Strategies to reduce these risks include prescribing the drug in the smallest appropriate quantity and advising the patient on the proper disposal of unused drug [see Patient Counseling Information (17)]. Contact local state professional licensing board or state controlled substances authority for information on how to prevent and detect abuse or diversion of this product.
17 Patient Counseling Information (17 PATIENT COUNSELING INFORMATION)

Advise the patient to read the FDA-approved patient labeling (Medication Guide).

Addiction, Abuse, and Misuse

Inform patients that the use of Hydrocodone Bitartrate and Homatropine Methylbromide Oral Solution (Syrup), even when taken as recommended, can result in addiction, abuse, and misuse, which can lead to overdose and death [see Warnings and Precautions (5.1)]. Instruct patients not to share Hydrocodone Bitartrate and Homatropine Methylbromide Oral Solution (Syrup) with others and to take steps to protect Hydrocodone Bitartrate and Homatropine Methylbromide Oral Solution (Syrup) from theft or misuse.

Important Dosing and Administration Instructions

Instruct patients how to measure and take the correct dose of Hydrocodone Bitartrate and Homatropine Methylbromide Oral Solution (Syrup). Advise patients to measure Hydrocodone Bitartrate and Homatropine Methylbromide Oral Solution (Syrup) with an accurate milliliter measuring device. Patients should be informed that a household teaspoon is not an accurate measuring device and could lead to overdosage. Advise patients to ask their pharmacist to recommend an appropriate measuring device and for instructions for measuring the correct dose [see Dosage and Administration (2.1), Warnings and Precautions (5.5)]. Advise patients not to increase the dose or dosing frequency of Hydrocodone Bitartrate and Homatropine Methylbromide Oral Solution (Syrup) because serious adverse events such as respiratory depression may occur with overdosage [see Warnings and Precautions (5.2), Overdosage (10)].

Life-Threatening Respiratory Depression

Inform patients of the risk of life-threatening respiratory depression, including information that the risk is greatest when starting Hydrocodone Bitartrate and Homatropine Methylbromide Oral Solution (Syrup) and that it can occur even at recommended dosages [see Warnings and Precautions (5.2)]. Advise patients how to recognize respiratory depression and to seek medical attention if breathing difficulties develop.

Accidental Ingestion

Inform patients that accidental ingestion, especially by children, may result in respiratory depression or death [see Warnings and Precautions (5.2)]. Instruct patients to take steps to store Hydrocodone Bitartrate and Homatropine Methylbromide Oral Solution (Syrup) securely and to properly dispose of unused Hydrocodone Bitartrate and Homatropine Methylbromide Oral Solution (Syrup) in accordance with the local state guidelines and/or regulations.

Activities Requiring Mental Alertness

Advise patients to avoid engaging in hazardous tasks that require mental alertness and motor coordination such as operating machinery or driving a motor vehicle as Hydrocodone Bitartrate and Homatropine Methylbromide Oral Solution (Syrup) may produce marked drowsiness [see Warnings and Precautions (5.6)].

Interactions with Benzodiazepines and Other Central Nervous System Depressants, Including Alcohol

Inform patients and caregivers that potentially fatal additive effects may occur if Hydrocodone Bitartrate and Homatropine Methylbromide Oral Solution (Syrup) is used with benzodiazepines or other CNS depressants, including alcohol. Advise patients to avoid concomitant use of Hydrocodone Bitartrate and Homatropine Methylbromide Oral Solution (Syrup) with benzodiazepines or other CNS depressants and instruct patients not to consume alcoholic beverages, as well as prescription and over-the-counter products that contain alcohol, during treatment with Hydrocodone Bitartrate and Homatropine Methylbromide Oral Solution (Syrup) [see Warnings and Precautions (5.8), Drug Interactions (7.1, 7.4)].

Constipation

Advise patients of the potential for severe constipation [see Warnings and Precautions (5.9), Adverse Reactions (6)].

Anaphylaxis

Inform patients that anaphylaxis has been reported with ingredients contained in Hydrocodone Bitartrate and Homatropine Methylbromide Oral Solution (Syrup). Advise patients how to recognize such a reaction and when to seek medical attention [see Contraindications (4), Adverse Reactions (6)].

MAOI Interaction

Inform patients not to take Hydrocodone Bitartrate and Homatropine Methylbromide Oral Solution (Syrup) while using any drugs that inhibit monoamine oxidase. Patients should not start MAOIs while taking Hydrocodone Bitartrate and Homatropine Methylbromide Oral Solution (Syrup) [see Drug Interactions (7.6)].

Hypotension

Inform patients that Hydrocodone Bitartrate and Homatropine Methylbromide Oral Solution (Syrup) may cause orthostatic hypotension and syncope. Instruct patients how to recognize symptoms of low blood pressure and how to reduce the risk of serious consequences should hypotension occur (e.g., sit or lie down, carefully rise from a sitting or lying position) [see Warnings and Precautions (5.12)].

Pregnancy

Advise patients that use of Hydrocodone Bitartrate and Homatropine Methylbromide Oral Solution (Syrup) are not recommended during pregnancy [see Use in Specific Populations (8.1)].

Neonatal Opioid Withdrawal Syndrome (NOWS)

Inform female patients of reproductive potential that use of Hydrocodone Bitartrate and Homatropine Methylbromide Oral Solution (Syrup) for an extended period of time during pregnancy can result in neonatal opioid withdrawal syndrome, which may be life-threatening if not recognized and treated [see Warnings and Precautions (5.13), Use in Specific Populations (8.1)].

Embryo-Fetal Toxicity

Inform female patients of reproductive potential that Hydrocodone Bitartrate and Homatropine Methylbromide Oral Solution (Syrup) can cause fetal harm and to inform their healthcare provider of a known or suspected pregnancy [see Use in Specific Populations (8.1)].

Lactation

Advise women that breastfeeding is not recommended during treatment with Hydrocodone Bitartrate and Homatropine Methylbromide Oral Solution (Syrup) [see Use in Specific Populations (8.2)].

Infertility

Inform patients that chronic use of opioids for an extended period of time such as hydrocodone, a component of Hydrocodone Bitartrate and Homatropine Methylbromide Oral Solution (Syrup), may cause reduced fertility. It is not known whether these effects on fertility are reversible [see Use in Specific Populations (8.3)].

Adrenal Insufficiency

Inform patients that Hydrocodone Bitartrate and Homatropine Methylbromide Oral Solution (Syrup) could cause adrenal insufficiency, a potentially life-threatening condition. Adrenal insufficiency may present with non-specific symptoms and signs such as nausea, vomiting, anorexia, fatigue, weakness, dizziness, and low blood pressure. Advise patients to seek medical attention if they experience a constellation of these symptoms [see Warnings and Precautions (5.14)].

Serotonin Syndrome

Inform patients that Hydrocodone Bitartrate and Homatropine Methylbromide Oral Solution (Syrup) could cause a rare but potentially life-threatening condition resulting from concomitant administration of serotonergic drugs. Warn patients of the symptoms of serotonin syndrome and to seek medical attention right away if symptoms develop. Instruct patients to inform their physicians if they are taking, or plan to take serotonergic medications. [see Adverse Reactions (6), Drug Interactions (7.5)].

Disposal of Unused Hydrocodone Bitartrate and Homatropine Methylbromide Oral Solution (Syrup)

Advise patients to properly dispose of unused Hydrocodone Bitartrate and Homatropine Methylbromide Oral Solution (Syrup). Advise patients to throw the drug in the household trash following these steps. 1) Remove them from their original containers and mix them with an undesirable substance, such as used coffee grounds or kitty litter (this makes the drug less appealing to children and pets, and unrecognizable to people who may intentionally go through the trash seeking drugs). 2) Place the mixture in a sealable bag, empty can, or other container to prevent the drug from leaking or breaking out of a garbage bag, or to dispose of in accordance with local state guidelines and/or regulations.

Manufactured by:

Novel Laboratories, Inc

400 Campus Drive

Somerset, NJ  08873

SAP Code: XXXX

Rev. 10/2024

7.2 Inhibitors of Cyp3a4 and Cyp2d6 (7.2 Inhibitors of CYP3A4 and CYP2D6)

The concomitant use of Hydrocodone Bitartrate and Homatropine Methylbromide Oral Solution (Syrup) and CYP3A4 inhibitors, such as macrolide antibiotics (e.g., erythromycin), azole-antifungal agents (e.g. ketoconazole), or protease inhibitors (e.g., ritonavir), can increase the plasma concentration of hydrocodone, resulting in increased or prolonged opioid effects. These effects could be more pronounced with concomitant use of Hydrocodone Bitartrate and Homatropine Methylbromide Oral Solution (Syrup) and CYP2D6 and CYP3A4 inhibitors, particularly when an inhibitor is added after a stable dose of Hydrocodone Bitartrate and Homatropine Methylbromide Oral Solution (Syrup) are achieved [see Warnings and Precautions (5.7)]. After stopping a CYP3A4 inhibitor, as the effects of the inhibitor decline, the hydrocodone plasma concentration will decrease [see Clinical Pharmacology (12.3)], resulting in decreased opioid efficacy or a withdrawal syndrome in patients who had developed physical dependence to hydrocodone.

Avoid the use of Hydrocodone Bitartrate and Homatropine Methylbromide Oral Solution (Syrup) while taking a CYP3A4 or CYP2D6 inhibitor. If concomitant use is necessary, evaluate patients for respiratory depression and sedation at frequent intervals.

16 How Supplied/storage and Handling (16 HOW SUPPLIED/STORAGE AND HANDLING)

Hydrocodone Bitartrate and Homatropine Methylbromide Oral Solution (Syrup) is available as clear red colored, cherry flavor. Each 5 mL contains 5 mg hydrocodone bitartrate and 1.5 mg homatropine methylbromide:

Bottles of 16 fl oz. (473 mL)   NDC 40032-810-05

Store oral solution at controlled room temperature 20°C to 25°C (68°F to 77°F). [See USP Controlled Room Temperature.]     

Dispense in a tight, light-resistant container, as defined in the USP, with a child-resistant closure.

Ensure that patients have an oral dosing dispenser that measures the appropriate volume in milliliters. Counsel patients on how to utilize an oral dosing dispenser and correctly measure the oral suspension as prescribed.

Package Label.principal Display Panel (PACKAGE LABEL.PRINCIPAL DISPLAY PANEL)

Container Label

5.15 Drug/laboratory Test Interactions (5.15 Drug/Laboratory Test Interactions)

Because opioid agonists may increase biliary tract pressure, with resultant increase in plasma amylase or lipase levels, determination of these enzyme levels may be unreliable for 24 hours after administration of a dose of Hydrocodone Bitartrate and Homatropine Methylbromide Oral Solution (Syrup).

5.13 Neonatal Opioid Withdrawal Syndrome

Hydrocodone Bitartrate and Homatropine Methylbromide Oral Solution (Syrup) are not recommended for use in pregnant women. Prolonged use of Hydrocodone Bitartrate and Homatropine Methylbromide Oral Solution (Syrup) during pregnancy can result in withdrawal in the neonate. Neonatal opioid withdrawal syndrome, unlike opioid withdrawal syndrome in adults, may be life-threatening if not recognized and treated, and requires management according to protocols developed by neonatology experts. Observe newborns for signs of neonatal opioid withdrawal syndrome and manage accordingly. Advise pregnant women using opioids for a prolonged period of the risk of neonatal opioid withdrawal syndrome and ensure that appropriate treatment will be available. [see Use in Specific Populations (8.1), Patient Counseling Information (17)]

7.6 Monoamine Oxidase Inhibitors (maois) (7.6 Monoamine Oxidase Inhibitors (MAOIs))

Avoid the use of Hydrocodone Bitartrate and Homatropine Methylbromide Oral Solution (Syrup) in patients who are taking monoamine oxidase inhibitors (MAOIs) or have taken MAOIs within 14 days. The use of MAOIs or tricyclic antidepressants with hydrocodone, one of the active ingredients in Hydrocodone Bitartrate and Homatropine Methylbromide Oral Solution (Syrup), may increase the effect of either the antidepressant or hydrocodone. MAOI interactions with opioids may manifest as serotonin syndrome or opioid toxicity (e.g., respiratory depression, coma).

5.2 Life Threatening Respiratory Depression (5.2 Life-Threatening Respiratory Depression)
  • Serious, life-threatening, or fatal respiratory depression has been reported with the use of opioids, including hydrocodone, one of the active ingredients in Hydrocodone Bitartrate and Homatropine Methylbromide Oral Solution (Syrup). Hydrocodone produces dose-related respiratory depression by directly acting on the brain stem respiratory center that controls respiratory rhythm and may produce irregular and periodic breathing. Respiratory depression, if not immediately recognized and treated, may lead to respiratory arrest and death. Management of respiratory depression includes discontinuation of Hydrocodone Bitartrate and Homatropine Methylbromide Oral Solution (Syrup), close observation, supportive measures, and use of opioid antagonists (e.g. naloxone), depending on the patient's clinical status [see Overdosage (10)]. Carbon dioxide (CO2) retention from opioid-induced respiratory depression can exacerbate the sedating effects of opioids.
  • While serious, life-threatening, or fatal respiratory depression can occur at any time during the use of Hydrocodone Bitartrate and Homatropine Methylbromide Oral Solution (Syrup), the risk is greatest during the initiation of therapy, when Hydrocodone Bitartrate and Homatropine Methylbromide Oral Solution (Syrup) are used concomitantly with other drugs that may cause respiratory depression [see Warnings and Precautions (5.8)], in patients with chronic pulmonary disease or decreased respiratory reserve, and in patients with altered pharmacokinetics or altered clearance (e.g. elderly, cachectic, or debilitated patients) [see Warnings and Precautions (5.4)].
  • To reduce the risk of respiratory depression, proper dosing of Hydrocodone Bitartrate and Homatropine Methylbromide Oral Solution (Syrup) are essential [see Dosage and Administration (2.1), Warnings and Precautions (5.5)]. Monitor patients closely, especially within the first 24 to 72 hours of initiating therapy or when used in patients at higher risk.
  • Overdose of hydrocodone in adults has been associated with fatal respiratory depression, and the use of hydrocodone in pediatric patients younger than 6 years of age has been associated with fatal respiratory depression when used as recommended. Accidental ingestion of even one dose of Hydrocodone Bitartrate and Homatropine Methylbromide Oral Solution (Syrup), especially by children, can result in respiratory depression and death.
5.3 Risks With Use in Pediatric Populations (5.3 Risks with Use in Pediatric Populations)
  • Pediatric patients are particularly sensitive to the respiratory depressant effects of hydrocodone [see Warnings and Precautions (5.2)]. Because of the risk of life-threatening respiratory depression and death, Hydrocodone Bitartrate and Homatropine Methylbromide Oral Solution (Syrup) is contraindicated in pediatric patients less than 6 years of age [see Contraindications (4)].
  • Use of Hydrocodone Bitartrate and Homatropine Methylbromide Oral Solution (Syrup) in pediatric patients also exposes them to the risks of addiction, abuse, and misuse [see Drug Abuse and Dependence (9)], which can lead to overdose and death [see Warnings and Precautions (5.1), Overdosage (10)]. Because the benefits of symptomatic treatment of cough associated with allergies or the common cold do not outweigh the risks of use of hydrocodone in pediatric patients, Hydrocodone Bitartrate and Homatropine Methylbromide Oral Solution (Syrup) is not indicated for use in patients younger than 18 years of age [see Indications (1), Use in Specific Populations (8.4)].
7.4 Benzodiazepines, and Other Cns Depressants (7.4 Benzodiazepines, and Other CNS Depressants)

Due to additive pharmacologic effect, the concomitant use of benzodiazepines or other CNS depressants, including alcohol, other sedatives/hypnotics, anxiolytics, tranquilizers, muscle relaxants, general anesthetics, antipsychotics, and other opioids, can increase the risk of hypotension, respiratory depression, profound sedation, coma, and death. Avoid the use of Hydrocodone Bitartrate and Homatropine Methylbromide Oral Solution (Syrup) in patients who are taking benzodiazepines or other CNS depressants [see Warnings and Precautions (5.8)], and instruct patients to avoid consumption of alcohol while on Hydrocodone Bitartrate and Homatropine Methylbromide Oral Solution (Syrup) [see Drug Interactions (7.1) Patient Counseling Information (17)].

5.4 Risks With Use in Other At Risk Populations (5.4 Risks with Use in Other At-Risk Populations)

Unresponsive Cough

The dosage of Hydrocodone Bitartrate and Homatropine Methylbromide Oral Solution (Syrup) should not be increased if cough fails to respond; an unresponsive cough should be reevaluated in 5 days or sooner for possible underlying pathology, such as foreign body or lower respiratory tract disease [see Dosage and Administration (2.3)].

Asthma and Other Pulmonary Disease

  • The use of Hydrocodone Bitartrate and Homatropine Methylbromide Oral Solution (Syrup) in patients with acute or severe bronchial asthma in an unmonitored setting or in the absence of resuscitative equipment is contraindicated [see Contraindications (4)].
  • Opioid analgesics and antitussives, including hydrocodone, one of the active ingredients in Hydrocodone Bitartrate and Homatropine Methylbromide Oral Solution (Syrup), should not be used in patients with acute febrile illness associated with productive cough or in patients with chronic respiratory disease where interference with ability to clear the tracheobronchial tree of secretions would have a deleterious effect on the patient's respiratory function.
  • Hydrocodone Bitartrate and Homatropine Methylbromide Oral Solution (Syrup)-treated patients with significant chronic obstructive pulmonary disease or cor pulmonale, and those with a substantially decreased respiratory reserve, hypoxia, hypercapnia, or pre-existing respiratory depression are at increased risk of decreased respiratory drive including apnea, even at recommended dosages of Hydrocodone Bitartrate and Homatropine Methylbromide Oral Solution (Syrup) [see Warnings and Precautions (5.2)].

Elderly, Cachectic, or Debilitated Patients

  • Life-threatening respiratory depression is more likely to occur in elderly, cachectic, or debilitated patients because they may have altered pharmacokinetics or altered clearance compared to younger, healthier patients [see Warnings and Precautions (5.2)].
  • Because of the risk of respiratory depression, avoid the use of opioid antitussives, including Hydrocodone Bitartrate and Homatropine Methylbromide Oral Solution (Syrup) in patients with compromised respiratory function, patients at risk of respiratory failure, and in elderly, cachectic, or debilitated patients. If Hydrocodone Bitartrate and Homatropine Methylbromide Oral Solution (Syrup) are prescribed, monitor such patients closely, particularly when initiating Hydrocodone Bitartrate and Homatropine Methylbromide Oral Solution (Syrup) and when Hydrocodone Bitartrate and Homatropine Methylbromide Oral Solution (Syrup) are given concomitantly with other drugs that depress respiration [see Warnings and Precautions (5.8)].
8.3 Females and Males of Reproductive Potential

Infertility

Chronic use of opioids, such as hydrocodone, a component of Hydrocodone Bitartrate and Homatropine Methylbromide Oral Solution (Syrup), may cause reduced fertility in females and males of reproductive potential. It is not known whether these effects on fertility are reversible [see Adverse Reactions (6), Clinical Pharmacology (12.2)].

2.1 Important Dosage and Administration Instructions

Administer Hydrocodone Bitartrate and Homatropine Methylbromide Oral Solution (Syrup) by the oral route only. 

Always use an accurate milliliter measuring device when administering Hydrocodone Bitartrate and Homatropine Methylbromide Oral Solution (Syrup) to ensure that the dose is measured and administered accurately.  A household teaspoon is not an accurate measuring device and could lead to overdosage [see Warnings and Precautions (5.5)].  For prescriptions where a measuring device is not provided, a pharmacist can provide an appropriate measuring device and can provide instructions for measuring the correct dose.  Do not overfill.  Rinse the measuring device with water after each use.

Advise patients not to increase the dose or dosing frequency of Hydrocodone Bitartrate and Homatropine Methylbromide Oral Solution (Syrup) because serious adverse events such as respiratory depression may occur with overdosage [see Warnings and Precautions (5.2), Overdosage (10)].  The dosage of Hydrocodone Bitartrate and Homatropine Methylbromide Oral Solution (Syrup) should not be increased if cough fails to respond; an unresponsive cough should be reevaluated for possible underlying pathology [see Dosage and Administration (2.3), Warnings and Precautions (5.4)]. 

13.1 Carcinogenesis, Mutagenesis, Impairment of Fertility

Carcinogenicity, mutagenicity, and fertility studies have not been conducted with Hydrocodone Bitartrate and Homatropine; however, published information is available for the individual active ingredients or related active ingredients.

Hydrocodone

Carcinogenicity studies were conducted with codeine, an opiate related to hydrocodone. Two-year studies in F344/N rats and B6C3F1 mice were conducted to assess the carcinogenic potential of codeine. No evidence of tumorigenicity was observed in male and female rats at codeine dietary doses up to 70 and 80 mg/kg/day (approximately equivalent to 40 and 45 times the MRHD of hydrocodone on a mg/m2 basis, respectively). No evidence of tumorigenicity was observed in male and female mice at codeine dietary doses up to 400 mg/kg/day (approximately equivalent to 110 times the MRHD of hydrocodone on a mg/m2 basis).

Mutagenicity studies with hydrocodone have not been conducted.

Fertility studies with hydrocodone have not been conducted.

Homatropine

Carcinogenicity, mutagenicity, and fertility studies with homatropine have not been conducted.

2.3 Monitoring, Maintenance, and Discontinuation of Therapy

Prescribe Hydrocodone Bitartrate and Homatropine Methylbromide Oral Solution (Syrup) for the shortest duration that is consistent with individual patient treatment goals [see Warnings and Precautions (5.1)].

Monitor patients closely for respiratory depression, especially within the first 24-72 hours of initiating therapy [see Warnings and Precautions (5.2)].

Reevaluate patients with unresponsive cough in 5 days or sooner for possible underlying pathology, such as foreign body or lower respiratory tract disease [see Warnings and Precautions (5.4)]. If a patient requires a refill, reevaluate the cause of the cough and assess the need for continued treatment with Hydrocodone Bitartrate and Homatropine Methylbromide Oral Solution (Syrup), the relative incidence of adverse reactions, and the development of addiction, abuse, or misuse [see Warnings and Precautions (5.1)].

Do not abruptly discontinue Hydrocodone Bitartrate and Homatropine Methylbromide Oral Solution (Syrup) in a physically-dependent patient [see Drug Abuse and Dependence (9.3)]. When a patient who has been taking Hydrocodone Bitartrate and Homatropine Methylbromide Oral Solution (Syrup) regularly and may be physically dependent no longer requires therapy with Hydrocodone Bitartrate and Homatropine Methylbromide Oral Solution (Syrup), taper the dose gradually, by 25% to 50% every 2 to 4 days, while monitoring carefully for signs and symptoms of withdrawal. If the patient develops these signs or symptoms, raise the dose to the previous level and taper more slowly, either by increasing the interval between decreases, decreasing the amount of change in dose, or both.

  •   Adults 18 years of age and older : 5 mL Oral Solution (Syrup) every 4 to 6 hours as needed; not to exceed 30 mL in 24 hours. (2.2)
  •   Measure Hydrocodone Bitartrate and Homatropine Methylbromide Oral Solution (Syrup) with an accurate milliliter measuring device. (2.1, 5.5)
  •   Do not increase the dose or dosing frequency. (2.1)
  •   Prescribe for the shortest duration consistent with treatment goals. (2.3)
  •   Reevaluate patients with unresponsive cough in 5 days or sooner for possible underlying pathology. (2.3)
  •   Reevaluate patient prior to refilling. (2.3)
5.9 Risks of Use in Patients With Gastrointestinal Conditions (5.9 Risks of Use in Patients with Gastrointestinal Conditions)
  • Hydrocodone Bitartrate and Homatropine Methylbromide Oral Solution (Syrup) are contraindicated in patients with known or suspected gastrointestinal obstruction, including paralytic ileus [see Contraindications (4)]. The use of hydrocodone in Hydrocodone Bitartrate and Homatropine Methylbromide Oral Solution (Syrup) may obscure the diagnosis or clinical course of patients with acute abdominal conditions.
  • The concurrent use of anticholinergics with Hydrocodone Bitartrate and Homatropine Methylbromide Oral Solution (Syrup) may produce paralytic ileus [see Drug Interactions (7.9)].
  • The hydrocodone in Hydrocodone Bitartrate and Homatropine Methylbromide Oral Solution (Syrup) may result in constipation or obstructive bowel disease, especially in patients with underlying intestinal motility disorders. Use with caution in patients with underlying intestinal motility disorders.
  • The hydrocodone in Hydrocodone Bitartrate and Homatropine Methylbromide Oral Solution (Syrup) may cause spasm of the sphincter of Oddi, resulting in an increase in biliary tract pressure. Opioids may cause increases in serum amylase [see Warnings and Precautions (5.15)]. Monitor patients with biliary tract disease, including acute pancreatitis for worsening symptoms.
5.11 Increased Risk of Seizures in Patients With Seizure Disorders (5.11 Increased Risk of Seizures in Patients with Seizure Disorders)

The hydrocodone in Hydrocodone Bitartrate and Homatropine Methylbromide Oral Solution (Syrup) may increase the frequency of seizures in patients with seizure disorders, and may increase the risk of seizures occurring in other clinical settings associated with seizures. Monitor patients with a history of seizure disorders for worsened seizure control during Hydrocodone Bitartrate and Homatropine Methylbromide Oral Solution (Syrup) therapy.

5.5 Risks of Accidental Overdose and Death Due to Medication Errors (5.5 Risks of Accidental Overdose and Death due to Medication Errors)
  • Dosing errors can result in accidental overdose and death. To reduce the risk of overdose and respiratory depression, ensure that the dose of Hydrocodone Bitartrate and Homatropine Methylbromide Oral Solution (Syrup) are communicated clearly and dispensed accurately [see Dosage and Administration (2.1)].
  • Advise patients to always use an accurate milliliter measuring device when measuring and administering Hydrocodone Bitartrate and Homatropine Methylbromide Oral Solution (Syrup).  Inform patients that household teaspoon is not an accurate measuring device and such use could lead to overdosage and serious adverse reactions [see Overdosage (10)].  For prescriptions where a measuring device is not provided, a pharmacist can provide an appropriate calibrated measuring device and can provide instructions for measuring the correct dose.
5.8 Risks From Concomitant Use With Benzodiazepines Or Other Cns Depressants (5.8 Risks from Concomitant Use with Benzodiazepines or other CNS Depressants)
  • Concomitant use of opioids, including Hydrocodone Bitartrate and Homatropine Methylbromide Oral Solution (Syrup), with benzodiazepines, or other CNS depressants, including alcohol, may result in profound sedation, respiratory depression, coma, and death. Because of these risks, avoid use of opioid cough medications in patients taking benzodiazepines, other CNS depressants, or alcohol [see Drug Interactions (7.1, 7.4)].
  • Observational studies have demonstrated that concomitant use of opioid analgesics and benzodiazepines increases the risk of drug-related mortality compared to use of opioids alone. Because of similar pharmacologic properties, it is reasonable to expect similar risk with concomitant use of opioid cough medications and benzodiazepines, other CNS depressants, or alcohol.
  • Advise both patients and caregivers about the risks of respiratory depression and sedation if Hydrocodone Bitartrate and Homatropine Methylbromide Oral Solution (Syrup) are used with benzodiazepines, alcohol, or other CNS depressants [see Patient Counseling Information (17)].
  • Patients must not consume alcoholic beverages, or prescription or non-prescription products containing alcohol, while on Hydrocodone Bitartrate and Homatropine Methylbromide Oral Solution (Syrup) therapy. The co-ingestion of alcohol with Hydrocodone Bitartrate and Homatropine Methylbromide Oral Solution (Syrup) may result in increased plasma levels and a potentially fatal overdose of hydrocodone [see Drug Interactions (7.1)].
5.6 Activities Requiring Mental Alertness: Risks of Driving and Operating Machinery

Hydrocodone, one of the active ingredients in Hydrocodone Bitartrate and Homatropine Methylbromide Oral Solution (Syrup), may produce marked drowsiness and impair the mental and/or physical abilities required for the performance of potentially hazardous tasks such as driving a car or operating machinery. Advise patients to avoid engaging in hazardous tasks requiring mental alertness and motor coordination after ingestion of Hydrocodone Bitartrate and Homatropine Methylbromide Oral Solution (Syrup).  Avoid concurrent use of Hydrocodone Bitartrate and Homatropine Methylbromide Oral Solution (Syrup) with alcohol or other central nervous system depressants because additional impairment of central nervous system performance may occur [see Warnings and Precautions (5.8)].

5.7 Risks From Concomitant Use Or Discontinuation of Cytochrome P450 3a4 Inhibitors and Inducers (5.7 Risks from Concomitant Use or Discontinuation of Cytochrome P450 3A4 Inhibitors and Inducers)
  • Concomitant use of Hydrocodone Bitartrate and Homatropine Methylbromide Oral Solution (Syrup) with a CYP3A4 inhibitor, such as macrolide antibiotics (e.g., erythromycin), azole-antifungal agents (e.g., ketoconazole), and protease inhibitors (e.g., ritonavir), may increase plasma concentrations of hydrocodone and prolong opioid adverse reactions, which may cause potentially fatal respiratory depression [see Warnings and Precautions (5.2)], particularly when an inhibitor is added after a stable dose of Hydrocodone Bitartrate and Homatropine Methylbromide Oral Solution (Syrup) are achieved. Similarly, discontinuation of a CYP3A4 inducer, such as rifampin, carbamazepine, and phenytoin, in Hydrocodone Bitartrate and Homatropine Methylbromide Oral Solution (Syrup) -treated patients may increase hydrocodone plasma concentrations and prolong opioid adverse reactions.
  • Concomitant use of Hydrocodone Bitartrate and Homatropine Methylbromide Oral Solution (Syrup) with CYP3A4 inducers or discontinuation of a CYP3A4 inhibitor could decrease hydrocodone plasma concentrations, decrease opioid efficacy or, possibly, lead to a withdrawal syndrome in a patient who had developed physical dependence to hydrocodone.
  • Avoid the use of Hydrocodone Bitartrate and Homatropine Methylbromide Oral Solution (Syrup) in patients who are taking a CYP3A4 inhibitor or inducer. If concomitant use of Hydrocodone Bitartrate and Homatropine Methylbromide Oral Solution (Syrup) with a CYP3A4 inhibitor or inducer is necessary, monitor patients for signs and symptoms that may reflect opioid toxicity and opioid withdrawal [see Drug Interactions (7.2, 7.3)].
5.10 Risks of Use in Patients With Head Injury, Impaired Consciousness, Increased Intracranial Pressure, Or Brain Tumors (5.10 Risks of Use in Patients with Head Injury, Impaired Consciousness, Increased Intracranial Pressure, or Brain Tumors)

Avoid the use of Hydrocodone Bitartrate and Homatropine Methylbromide Oral Solution (Syrup) in patients with head injury, intracranial lesions, or a pre-existing increase in intracranial pressure. In patients who may be susceptible to the intracranial effects of CO2 retention (e.g., those with evidence of increased intracranial pressure or brain tumors), Hydrocodone Bitartrate and Homatropine Methylbromide Oral Solution (Syrup) may reduce respiratory drive, and the resultant CO2 retention can further increase intracranial pressure. Furthermore, opioids produce adverse reactions that may obscure the clinical course of patients with head injuries.


Advanced Ingredient Data


Raw Label Data

All Sections (JSON)