These Highlights Do Not Include All The Information Needed To Use Pimavanserin Capsules Safely And Effectively. See Full Prescribing Information For Pimavanserin Capsules.

These Highlights Do Not Include All The Information Needed To Use Pimavanserin Capsules Safely And Effectively. See Full Prescribing Information For Pimavanserin Capsules.
SPL v1
SPL
SPL Set ID 403b6540-c53d-4e92-91b4-36ca6338b2b1
Route
ORAL
Published
Effective Date 2023-10-01
Document Type 34391-3 Human Prescription Drug Label

Drug Facts

Composition & Product

Active Ingredients
Pimavanserin (34 mg)
Inactive Ingredients
Polyethylene Glycol, Unspecified Fd&c Blue No. 1 Hypromellose, Unspecified Titanium Dioxide Ferric Oxide Yellow Shellac Propylene Glycol Ferrosoferric Oxide

Identifiers & Packaging

Pill Appearance
Imprint: 106;m Shape: capsule Color: green Color: white Size: 14 mm Score: 1
Marketing Status
ANDA Active Since 2024-01-16

Description

Boxed Warning                            9/2023 Warnings and Precautions ( 5.1 )  9/2023

Indications and Usage

Pimavanserin capsule is indicated for the treatment of hallucinations and delusions associated with Parkinson’s disease psychosis [see Clinical Studies (14) ].

Warnings and Precautions

QT Interval Prolongation: Increases in QT interval; avoid use with drugs that also increase the QT interval and in patients with risk factors for prolonged QT interval.  (5.2)

Contraindications

Pimavanserin is contraindicated in patients with a history of a hypersensitivity reaction to pimavanserin or any of its components. Rash, urticaria, and reactions consistent with angioedema (e.g., tongue swelling, circumoral edema, throat tightness, and dyspnea) have been reported [ see Adverse Reactions (6.2) ] .

Adverse Reactions

The following serious adverse reactions are discussed elsewhere in the labeling: Increased Mortality in Elderly Patients with Dementia-Related Psychosis [see Boxed Warning and Warnings and Precautions (5.1) ] QT Interval Prolongation [see Warnings and Precautions (5.2) ]

Drug Interactions

Strong CYP3A4 Inhibitors: Reduce pimavanserin dose to 10 mg once daily. ( 2.3 , 7.1 ) Strong or Moderate CYP3A4 Inducers: Avoid concomitant use of pimavanserin. ( 2.3 , 7.1 )

Storage and Handling

Pimavanserin capsules are available as: 34 mg Capsule: Size 4 HPMC capsule having light green opaque cap, printed "m" in black ink and white opaque body, printed "106" in black ink. Capsule contains White to off white powder. Bottle of 30: 72205-055-30 Storage 34 mg Capsule: Store at 20°C to 25°C (68ºF to 77°F); excursions permitted between 15°C and 30°C (59°F and 86°F) [See USP Controlled Room Temperature].

How Supplied

Pimavanserin capsules are available as: 34 mg Capsule: Size 4 HPMC capsule having light green opaque cap, printed "m" in black ink and white opaque body, printed "106" in black ink. Capsule contains White to off white powder. Bottle of 30: 72205-055-30 Storage 34 mg Capsule: Store at 20°C to 25°C (68ºF to 77°F); excursions permitted between 15°C and 30°C (59°F and 86°F) [See USP Controlled Room Temperature].


Medication Information

Warnings and Precautions

QT Interval Prolongation: Increases in QT interval; avoid use with drugs that also increase the QT interval and in patients with risk factors for prolonged QT interval.  (5.2)

Indications and Usage

Pimavanserin capsule is indicated for the treatment of hallucinations and delusions associated with Parkinson’s disease psychosis [see Clinical Studies (14) ].

Contraindications

Pimavanserin is contraindicated in patients with a history of a hypersensitivity reaction to pimavanserin or any of its components. Rash, urticaria, and reactions consistent with angioedema (e.g., tongue swelling, circumoral edema, throat tightness, and dyspnea) have been reported [ see Adverse Reactions (6.2) ] .

Adverse Reactions

The following serious adverse reactions are discussed elsewhere in the labeling: Increased Mortality in Elderly Patients with Dementia-Related Psychosis [see Boxed Warning and Warnings and Precautions (5.1) ] QT Interval Prolongation [see Warnings and Precautions (5.2) ]

Drug Interactions

Strong CYP3A4 Inhibitors: Reduce pimavanserin dose to 10 mg once daily. ( 2.3 , 7.1 ) Strong or Moderate CYP3A4 Inducers: Avoid concomitant use of pimavanserin. ( 2.3 , 7.1 )

Storage and Handling

Pimavanserin capsules are available as: 34 mg Capsule: Size 4 HPMC capsule having light green opaque cap, printed "m" in black ink and white opaque body, printed "106" in black ink. Capsule contains White to off white powder. Bottle of 30: 72205-055-30 Storage 34 mg Capsule: Store at 20°C to 25°C (68ºF to 77°F); excursions permitted between 15°C and 30°C (59°F and 86°F) [See USP Controlled Room Temperature].

How Supplied

Pimavanserin capsules are available as: 34 mg Capsule: Size 4 HPMC capsule having light green opaque cap, printed "m" in black ink and white opaque body, printed "106" in black ink. Capsule contains White to off white powder. Bottle of 30: 72205-055-30 Storage 34 mg Capsule: Store at 20°C to 25°C (68ºF to 77°F); excursions permitted between 15°C and 30°C (59°F and 86°F) [See USP Controlled Room Temperature].

Description

Boxed Warning                            9/2023 Warnings and Precautions ( 5.1 )  9/2023

Section 43683-2

Boxed Warning                            9/2023

Warnings and Precautions (5.1)  9/2023

9.2 Abuse

Pimavanserin has not been systematically studied in humans for its potential for abuse, tolerance, or physical dependence.

While short-term, placebo-controlled and long-term, open-label clinical trials did not reveal increases in drug-seeking behavior, the limited experience from the clinical trials do not predict the extent to which a CNS-active drug will be misused, diverted, and/or abused once marketed.



8.1 Pregnancy

Risk Summary

There are no data on pimavanserin use in pregnant women that would allow assessment of the drug-associated risk of major congenital malformations or miscarriage. In animal reproduction studies, no adverse developmental effects were seen when pimavanserin was administered orally to rats or rabbits during the period of organogenesis at doses up to 10- or 12-times the maximum recommended human dose (MRHD) of 34 mg/day, respectively. Administration of pimavanserin to pregnant rats during pregnancy and lactation resulted in maternal toxicity and lower pup survival and body weight at doses which are 2-times the MRHD of 34 mg/day [see Data].

The estimated background risk of major birth defects and miscarriage for the indicated population is unknown. In the U.S. general population, the estimated background risk of major birth defects and miscarriage in clinically recognized pregnancies is 2-4% and 15-20%, respectively.

Data

Animal Data

Pimavanserin was not teratogenic in pregnant rats when administered during the period of organogenesis at oral doses of 0.9, 8.5, and 51 mg/kg/day, which are 0.2- and 10-times the MRHD of 34 mg/day based on AUC at mid and high doses, respectively. Maternal toxicity included reduction in body weight and food consumption at the highest dose.

Administration of pimavanserin to pregnant rats during pregnancy and lactation at oral doses of 8.5, 26, and 51 mg/kg/day, which are 0.14- to 14-times the MRHD of 34 mg/day based on AUC, caused maternal toxicity, including mortality, clinical signs including dehydration, hunched posture, and rales, and decreases in body weight, and/or food consumption at doses ≥26 mg/kg/day (2-times the MRHD based on AUC). At these maternally toxic doses there was a decrease in pup survival, reduced litter size, and reduced pup weights, and food consumption. Pimavanserin had no effect on sexual maturation, neurobehavioral function including learning and memory, or reproductive function in the first generation pups up to 14-times the MRHD of 34 mg/day based on AUC.

Pimavanserin was not teratogenic in pregnant rabbits during the period of organogenesis at oral doses of 4.3, 43, and 85 mg/kg/day, which are 0.2- to 12-times the MRHD of 34 mg/day based on AUC. Maternal toxicity, including mortality, clinical signs of dyspnea and rales, decreases in body weight and/or food consumption, and abortions occurred at doses 12-times the MRHD of 34 mg/day based on AUC.



8.2 Lactation

Risk Summary

There is no information regarding the presence of pimavanserin in human milk, the effects on the breastfed infant, or the effects on milk production. The developmental and health benefits of breastfeeding should be considered along with the mother’s clinical need for pimavanserin and any potential adverse effects on the breastfed infant from pimavanserin or from the underlying maternal condition.



11 Description

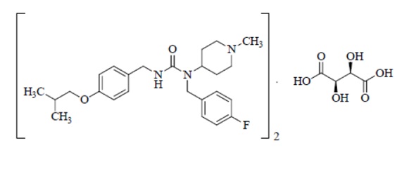
Pimavanserin capsule contains pimavanserin, an atypical antipsychotic, which is present as pimavanserin tartrate salt with the chemical name, urea, N-[(4-fluorophenyl)methyl]-N-(1-methyl-4-piperidinyl)-N’-[[4-(2-methylpropoxy)phenyl]methyl]-,(2R,3R)-2,3-dihydroxybutanedioate (2:1). Pimavanserin tartrate is freely soluble in water, soluble in dichloromethane and practically insoluble in cyclohexane. Its molecular formula is (C25H34FN3O2)2.C4H6O6 and its molecular weight is 1005.20 (tartrate salt). The chemical structure is:





The molecular formula of pimavanserin free base is C25H34FN3O2 and its molecular weight is 427.55.

Pimavanserin capsules are intended for oral administration only. Each capsule contains 40 mg of pimavanserin tartrate, which is equivalent to 34 mg of pimavanserin free base. Inactive ingredients include polyethylene glycol. Additionally, the following inactive ingredients are present as components of the capsule shell: FD&C blue #1, hypromellose, titanium dioxide, and yellow iron oxide.

The printing ink contains shellac, propylene glycol, black iron oxide.



8.4 Pediatric Use

Safety and effectiveness of pimavanserin have not been established in pediatric patients.

8.5 Geriatric Use

No dose adjustment is required for elderly patients.

Parkinson’s disease is a disorder occurring primarily in individuals over 55 years of age. The mean age of patients enrolled in the 6-week clinical studies with pimavanserin  [see Adverse Reactions (6.1)] was 71 years, with 49% 65-75 years old and 31% >75 years old. In the pooled population of patients enrolled in 6-week, placebo-controlled studies (N=614), 27% had MMSE scores from 21 to 24 compared to 73% with scores ≥25. No clinically meaningful differences in safety or effectiveness were noted between these two groups.



14 Clinical Studies

The efficacy of pimavanserin 34 mg as a treatment of hallucinations and delusions associated with Parkinson’s disease (PD) psychosis was demonstrated in a 6-week, randomized, placebo-controlled, parallel-group study. In this outpatient study, 199 patients were randomized in a 1:1 ratio to pimavanserin 34 mg or placebo once daily. Study patients (male or female and aged 40 years or older) had a diagnosis of PD (with or without dementia) established at least 1 year prior to study entry and had psychotic symptoms (hallucinations and/or delusions) that started after the PD diagnosis and that were severe and frequent enough to warrant treatment with an antipsychotic. At entry, patients were required to have a Mini-Mental State Examination (MMSE) score ≥21 and to be able to self-report symptoms. The majority of patients were on PD medications at entry; these medications were required to be stable for at least 30 days prior to study start and throughout the study period.

The PD-adapted Scale for the Assessment of Positive Symptoms (SAPS-PD) was used to evaluate the efficacy of pimavanserin 34 mg. SAPS-PD is a 9-item scale adapted for PD from the Hallucinations and Delusions domains of the SAPS. Each item is scored on a scale of 0-5, with 0 being none and 5 representing severe and frequent symptoms. Therefore, the SAPS-PD total score can range from 0 to 45 with higher scores reflecting greater severity of illness. A negative change in score indicates improvement. Primary efficacy was evaluated based on change from baseline to Week 6 in SAPS-PD total score.

As shown in Table 3, Figure 3, and Figure 4, pimavanserin 34 mg (n=95) was statistically significantly superior to placebo (n=90) in decreasing the frequency and/or severity of hallucinations and delusions in patients with PDP as measured by central, independent, and blinded raters using the SAPS-PD scale. An effect was seen on both the hallucinations and delusions components of the SAPS-PD.

Table 3 Primary Efficacy Analysis Result Based on SAPS-PD (N=185)





Endpoint

Treatment Group

 
Mean Baseline Score (SD)

LS Mean Change from Baseline (SE)

Placebo-subtracted Differencea (95% CI)

SAPS-PD

Pimavanserin  15.9 (6.12) -5.79 (0.66)

-3.06* (-4.91, -1.20)

Placebo 14.7 (5.55) -2.73 (0.67)

--
SAPS-PD

Hallucinationsb
Pimavanserin  11.1 (4.58) -3.81 (0.46)

-2.01 (-3.29, -0.72)

Placebo 10.0 (3.80) -1.80 (0.46)

--
SAPS-PD

Delusionsb

Pimavanserin  4.8 (3.59) -1.95 (0.32)

-0.94 (-1.83, -0.04)

Placebo 4.8 (3.82) -1.01 (0.32)

--

SD: standard deviation; SE: standard error; LS Mean: least-squares mean; CI: confidence interval.

a Difference (drug minus placebo) in least-squares mean change from baseline.

b Supportive analysis.

* Statistically significantly superior to placebo.

The effect of pimavanserin on SAPS-PD improved through the six-week trial period, as shown in Figure 3.

Figure 3 SAPS-PD Change from Baseline through 6 Weeks Total Study Treatment



Figure 4 Proportion of Patients with SAPS-PD Score Improvement at the End of Week 6 (N=185)



Motor Function in Patients with Hallucinations and Delusions Associated with Parkinson’s Disease Psychosis

Pimavanserin 34 mg did not show an effect compared to placebo on motor function, as measured using the Unified Parkinson’s Disease Rating Scale Parts II and III (UPDRS Parts II+III) (Figure 5). A negative change in score indicates improvement. The UPDRS Parts II+III was used to assess the patient’s Parkinson’s disease state during the 6-week double-blind treatment period. The UPDRS score was calculated as the sum of the 40 items from activities of daily living and motor examination, with a range of 0 to 160.

Figure 5 Motor Function Change from Baseline to Week 6 in UPDRS Parts II+III (LSM -SE)



4 Contraindications

Pimavanserin is contraindicated in patients with a history of a hypersensitivity reaction to pimavanserin or any of its components. Rash, urticaria, and reactions consistent with angioedema (e.g., tongue swelling, circumoral edema, throat tightness, and dyspnea) have been reported [see Adverse Reactions (6.2)].

6 Adverse Reactions

The following serious adverse reactions are discussed elsewhere in the labeling:

7 Drug Interactions
  • Strong CYP3A4 Inhibitors: Reduce pimavanserin dose to 10 mg once daily. (2.3, 7.1)
  • Strong or Moderate CYP3A4 Inducers: Avoid concomitant use of pimavanserin. (2.3, 7.1)
10.1 Human Experience

The pre-marketing clinical trials involving pimavanserin in approximately 1200 subjects and patients do not provide information regarding symptoms with overdose. In healthy subject studies, dose-limiting nausea and vomiting were observed.

12.2 Pharmacodynamics

In vitro, pimavanserin acts as an inverse agonist and antagonist at serotonin 5-HT2A receptors with high binding affinity (Ki value 0.087 nM) and at serotonin 5-HT2C receptors with lower binding affinity (Ki value 0.44 nM). Pimavanserin shows low binding to sigma 1 receptors (Ki value 120 nM) and has no appreciable affinity (Ki value >300 nM), to serotonin 5-HT2B, dopaminergic (including D2), muscarinic, histaminergic, or adrenergic receptors, or to calcium channels.

Cardiac Electrophysiology

The effect of pimavanserin on the QTc interval was evaluated in a randomized placebo- and positive-controlled double-blind, multiple-dose parallel thorough QTc study in 252 healthy subjects. A central tendency analysis of the QTc data at steady-state demonstrated that the maximum mean change from baseline (upper bound of the two-sided 90% CI) was 13.5 (16.6) msec at a dose of twice the therapeutic dose. A pharmacokinetic/pharmacodynamic analysis with pimavanserin suggested a concentration-dependent QTc interval prolongation in the therapeutic range.

In the 6-week, placebo-controlled effectiveness studies, mean increases in QTc interval of ~5-8 msec were observed in patients receiving once-daily doses of pimavanserin 34 mg. These data are consistent with the profile observed in a thorough QT study in healthy subjects. Sporadic QTcF values ≥500 msec and change from baseline values ≥60 msec were observed in subjects treated with pimavanserin 34 mg; although the incidence was generally similar for pimavanserin and placebo groups. There were no reports of torsade de pointes or any differences from placebo in the incidence of other adverse reactions associated with delayed ventricular repolarization in studies of pimavanserin, including those patients with hallucinations and delusions associated with PDP [see Warnings and Precautions (5.2)] .



12.3 Pharmacokinetics

Pimavanserin demonstrates dose-proportional pharmacokinetics after single oral doses from 17 to 255 mg (0.5- to 7.5-times the recommended dosage). The pharmacokinetics of pimavanserin are similar in both the study population and healthy subjects. The mean plasma half-lives for pimavanserin and the active metabolite (N-desmethylated metabolite) are approximately 57 hours and 200 hours, respectively.

Absorption

The median Tmax of pimavanserin was 6 (range 4-24) hours and was generally unaffected by dose. The bioavailability of pimavanserin oral tablet and pimavanserin solution was essentially identical. The formation of the major circulating N-desmethylated metabolite AC-279 (active) from pimavanserin occurs with a median Tmax of 6 hours.

Effect of Food

Ingestion of a high-fat meal had no significant effect on rate (Cmax) and extent (AUC) of pimavanserin exposure. Cmax decreased by about 9% while AUC increased by about 8% with a high-fat meal.

Distribution

Pimavanserin is highly protein bound (~95%) in human plasma. Protein binding appeared to be dose-independent and did not change significantly over dosing time from Day 1 to Day 14. Following administration of a single dose of pimavanserin (34 mg), the mean (SD) apparent volume of distribution was 2173 (307) L.

Elimination

Metabolism

Pimavanserin is predominantly metabolized by CYP3A4 and CYP3A5 and to a lesser extent by CYP2J2, CYP2D6, and various other CYP and FMO enzymes. CYP3A4 is the major enzyme responsible for the formation of its major active metabolite (AC-279). Pimavanserin does not cause clinically significant CYP inhibition or induction of CYP3A4. Based on in vitro data, pimavanserin is not an irreversible inhibitor of any of the major hepatic and intestinal human CYP enzymes involved in drug metabolism (CYP1A2, 2B6, 2C8, 2C9, 2C19, 2D6, and 3A4).

Based on in vitro studies, transporters play no significant role in the disposition of pimavanserin.

AC-279 is neither a reversible or irreversible (metabolism-dependent) inhibitor of any of the major hepatic and intestinal human CYP enzymes involved in drug metabolism (CYP1A2, 2B6, 2C8, 2C9, 2C19, 2D6, and 3A4). AC-279 does not cause clinically significant CYP3A induction and is not predicted to cause induction of any other CYP enzymes involved in drug metabolism.

Excretion

Approximately 0.55% of the 34 mg oral dose of 14C-pimavanserin was eliminated as unchanged drug in urine and 1.53% was eliminated in feces after 10 days.

Less than 1% of the administered dose of pimavanserin and its active metabolite AC-279 were recovered in urine.

Specific Populations

Population PK analysis indicated that age, sex, ethnicity, and weight do not have clinically relevant effect on the pharmacokinetics of pimavanserin. In addition, the analysis indicated that exposure of pimavanserin in patients with mild to moderate renal impairment was similar to exposure in patients with normal renal function.

The effects of other intrinsic factors on pimavanserin pharmacokinetics is shown in Figure 1 [see Use in Specific Populations (8.6 and 8.7)].

Figure 1 Effects of Intrinsic Factors on Pimavanserin Pharmacokinetics



*Less than 10% of the administered dose of pimavanserin was recovered in the dialysate.

Drug Interaction Studies

CYP3A4 Inhibitor: ketoconazole, a strong inhibitor of CYP3A4, increased pimavanserin Cmax by 1.5-fold and AUC by 3-fold. Population PK modeling and simulation show that steady-state exposure (Cmax,ss and AUCtau) for 10 mg pimavanserin with ketoconazole is similar to exposure for 34 mg pimavanserin alone [see Dosage and Administration (2.3) and Drug Interactions (7.1)].

CYP3A4 Inducer: In a clinical study where single doses of 34 mg pimavanserin were administered on Days 1 and 22, and 600 mg rifampin, a strong inducer of CYP3A4, was given daily on Days 15 through 21, pimavanserin Cmax and AUC decreased by 71% and 91%, respectively, compared to pre-rifampin plasma concentrations. In a simulation with a moderate CYP3A4 inducer (efavirenz), physiologically based pharmacokinetic (PBPK) models predicted pimavanserin Cmax,ss and AUCtau at steady state decreased by approximately 60% and 70%, respectively [see Dosage and Administration (2.3) and Drug Interactions (7.1)].

There is no effect of pimavanserin on the pharmacokinetics of midazolam, a CYP3A4 substrate, or carbidopa/levodopa as shown in Figure 2.

Figure 2 Effects of Pimavanserin on the Pharmacokinetics of Other Drugs



2.1 Recommended Dosage

The recommended dose of pimavanserin capsule is 34 mg taken orally once daily, without titration.



1 Indications and Usage

Pimavanserin capsule is indicated for the treatment of hallucinations and delusions associated with Parkinson’s disease psychosis [see Clinical Studies (14)].

12.1 Mechanism of Action

The mechanism of action of pimavanserin in the treatment of hallucinations and delusions associated with PDP is unclear. However, the effect of pimavanserin could be mediated through a combination of inverse agonist and antagonist activity at serotonin 5-HT2A receptors and to a lesser extent at serotonin 5-HT2C receptors.

9.1 Controlled Substance

Pimavanserin is not a controlled substance.

5 Warnings and Precautions
  • QT Interval Prolongation: Increases in QT interval; avoid use with drugs that also increase the QT interval and in patients with risk factors for prolonged QT interval. (5.2)
10.2 Management of Overdose

There are no known specific antidotes for pimavanserin. In managing overdose, cardiovascular monitoring should commence immediately and should include continuous ECG monitoring to detect possible arrhythmias [see Warnings and Precautions (5.2)]. If antiarrhythmic therapy is administered, disopyramide, procainamide, and quinidine should not be used, as they have the potential for QT-prolonging effects that might be additive to those of pimavanserin [see Drug Interactions (7.1)]. Consider the long plasma half-life of pimavanserin (about 57 hours) and the possibility of multiple drug involvement. Consult a Certified Poison Control Center (1-800-222-1222) for up-to-date guidance and advice.

2 Dosage and Administration
  • Recommended dose is 34 mg taken orally once daily, without titration. (2.1)
  • Can be taken with or without food. (2.2)
  • Capsules may be swallowed whole or opened and entire contents sprinkled over a tablespoon of certain types of soft food. (2.2)
6.2 Postmarketing Experience

The following adverse reactions have been identified during postapproval use of pimavanserin. Because these reactions are reported voluntarily from a population of uncertain size, it is not always possible to reliably estimate their frequency or establish a causal relationship to drug exposure. These reactions include rash, urticaria, reactions consistent with angioedema (e.g., tongue swelling, circumoral edema, throat tightness, and dyspnea), somnolence, falls, agitation and aggression.

3 Dosage Forms and Strengths

Pimavanserin capsules are available as:

  • 34 mg strength capsules. Size 4 HPMC capsule having light green opaque cap, printed "m" in black ink and white opaque body, printed "106" in black ink. Capsule contains White to off white powder.
2.2 Administration Information

Pimavanserin capsule can be taken with or without food [see Clinical Pharmacology (12.3)].

Pimavanserin capsules can be taken whole, or opened and the entire contents sprinkled over a tablespoon (15 mL) of applesauce, yogurt, pudding, or a liquid nutritional supplement. Consume the drug/food mixture immediately without chewing; do not store for future use.

5.2  Qt Interval Prolongation

Pimavanserin prolongs the QT interval. The use of pimavanserin should be avoided in patients with known QT prolongation or in combination with other drugs known to prolong QT interval including Class 1A antiarrhythmics (e.g., quinidine, procainamide) or Class 3 antiarrhythmics (e.g., amiodarone, sotalol), certain antipsychotic medications (e.g., ziprasidone, chlorpromazine, thioridazine), and certain antibiotics (e.g., gatifloxacin, moxifloxacin) [see Drug Interactions (7.1)]. Pimavanserin should also be avoided in patients with a history of cardiac arrhythmias, as well as other circumstances that may increase the risk of the occurrence of torsade de pointes and/or sudden death, including symptomatic bradycardia, hypokalemia or hypomagnesemia, and the presence of congenital prolongation of the QT interval [see Clinical Pharmacology (12.2)].

6.1 Clinical Trials Experience

Because clinical trials are conducted under widely varying conditions, adverse reaction rates observed in the clinical trials of a drug cannot be directly compared to rates in the clinical trials of another drug and may not reflect the rates observed in practice.



The clinical trial database for pimavanserin consists of over 1200 subjects and patients exposed to one or more doses of pimavanserin. Of these, 616 were patients with hallucinations and delusions associated with Parkinson’s disease psychosis (PDP). In the placebo-controlled setting, the majority of experience in patients comes from studies evaluating once-daily pimavanserin doses of 34 mg (N=202) compared to placebo (N=231) for up to 6 weeks. In the controlled trial setting, the study population was approximately 64% male and 91% Caucasian, and the mean age was about 71 years at study entry. Additional clinical trial experience in patients with hallucinations and delusions associated with PDP comes from two open-label, safety extension studies (total N=497). The majority of patients receiving long-term treatment received 34 mg once-daily (N=459). Over 300 patients have been treated for more than 6 months; over 270 have been treated for at least 12 months; and over 150 have been treated for at least 24 months.



The following adverse reactions are based on the 6-week, placebo-controlled studies in which pimavanserin was administered once daily to patients with hallucinations and delusions associated with PDP.



Common Adverse Reactions (incidence ≥5% and at least twice the rate of placebo): peripheral edema (7% pimavanserin 34 mg vs. 2% placebo) and confusional state (6% pimavanserin 34 mg vs. 3% placebo).



Adverse Reactions Leading to Discontinuation of Treatment

A total of 8% (16/202) of pimavanserin 34 mg-treated patients and 4% (10/231) of placebo-treated patients discontinued because of adverse reactions. The adverse reactions that occurred in more than one patient and with an incidence at least twice that of placebo were hallucination (2% pimavanserin vs. <1% placebo), urinary tract infection (1% pimavanserin vs. <1% placebo), and fatigue (1% pimavanserin vs. 0% placebo).



Adverse reactions that occurred in 6-week, placebo-controlled studies and that were reported at an incidence of ≥2% and >placebo are presented in Table 1.



Table 1 Adverse Reactions in Placebo-Controlled Studies of 6-Week Treatment Duration and Reported in ≥2% and >Placebo



Percentage of Patients Reporting Adverse Reaction

Pimavanserin 34 mg

Placebo

N=202

N=231

Gastrointestinal disorders

Nausea

7%

4%

Constipation

4%

3%

General disorders

Peripheral edema

7%

2%

Gait disturbance

2%

<1%

Psychiatric disorders

Hallucination

5%

3%

Confusional state

6%

3%

Adverse Reactions in Demographic Subgroups

Examination of population subgroups in the 6-week, placebo-controlled studies did not reveal any differences in safety on the basis of age (≤75 vs. >75 years) or sex. Because the study population was predominantly Caucasian (91%; consistent with reported demographics for PD/PDP), racial or ethnic differences in the safety profile of pimavanserin could not be assessed. In addition, in the 6-week, placebo-controlled studies, no clinically relevant differences in the incidence of adverse reactions were observed among those with a Mini-Mental State Examination (MMSE) score at entry of <25 versus those with scores ≥25.

8.8 Other Specific Populations

No dosage adjustment is required based on patient’s age, sex, ethnicity, or weight. These factors do not affect the pharmacokinetics of pimavanserin [see Clinical Pharmacology (12.3)].

17 Patient Counseling Information

Concomitant Medication

Advise patients to inform their healthcare providers if there are any changes to their current prescription or over-the-counter medications, since there is a potential for drug interactions [see Warnings and Precautions (5.2), Drug Interactions (7)].

Administration Instructions

Advise patients to take the capsule whole or sprinkled over a tablespoon (15 mL) of applesauce, yogurt, pudding, or a liquid nutritional supplement. Advise patients to consume the drug/food mixture immediately and not to store for future use [see Dosage and Administration (2.2)].



Manufactured by:

MSN Pharmaceuticals Inc

Piscataway, NJ 08854

Distributed by:

Novadoz Pharmaceuticals LLC

Piscataway, NJ 08854-3714

Issued on: October 2023 



8.6 Patients With Renal Impairment

No dosage adjustment for pimavanserin is needed in patients with mild to severe renal impairment or end stage renal disease (ESRD); however, increased exposure (Cmax and AUC) to pimavanserin occurred in patients with severe renal impairment (CrCL <30 mL/min, Cockcroft-Gault) in a renal impairment study [see Clinical Pharmacology (12.3)] .

Pimavanserin should be used with caution in patients with severe renal impairment and end stage renal disease.

In a renal impairment study, dialysis did not appear to significantly affect the concentrations of pimavanserin [see Clinical Pharmacology (12.3)] .



16 How Supplied/storage and Handling

Pimavanserin capsules are available as:

34 mg Capsule:

Size 4 HPMC capsule having light green opaque cap, printed "m" in black ink and white opaque body, printed "106" in black ink. Capsule contains White to off white powder.

Bottle of 30: 72205-055-30

Storage

34 mg Capsule:


Store at 20°C to 25°C (68ºF to 77°F); excursions permitted between 15°C and 30°C (59°F and 86°F) [See USP Controlled Room Temperature].

8.7 Patients With Hepatic Impairment

No dosage adjustment for pimavanserin is recommended in patients with hepatic impairment based on the exposure differences observed in patients with and without hepatic impairment in a hepatic impairment study [see Clinical Pharmacology (12.3)] .

Package Label Principal Display Panel

Pimavanserin capsules 34 mg-30s container label:



13.2 Animal Toxicology And/or Pharmacology

Phospholipidosis (foamy macrophages and/or cytoplasmic vacuolation) was observed in multiple tissues and organs of mice, rats, and monkeys following oral daily administration of pimavanserin. The occurrence of phospholipidosis was both dose- and duration-dependent. The most severely affected organs were the lungs and kidneys. In rats, diffuse phospholipidosis was associated with increased lung and kidney weights, respiratory-related clinical signs including rales, labored breathing, and gasping, renal tubular degeneration, and, in some animals, focal/multifocal chronic inflammation in the lungs at exposures ≥10-times those at the MRHD of 34 mg/day based on AUC. Phospholipidosis caused mortality in rats at exposures ≥16-times the MRHD of 34 mg/day based on AUC. The chronic inflammation in the rat lung was characterized by minimal to mild focal collagen positive fibroplasia as shown by specialized staining. Chronic inflammation of the lungs was not seen in monkeys treated for 12 months (exposures 9-times the MRHD). Based on the exposures at the estimated No Observed Effect Level (NOEL) for chronic lung inflammation in rats, there is a 5- to 9-times safety margin after 6-months of treatment and a 2- to 4-times safety margin after 24-months (lifetime) treatment compared to exposure at the MRHD. The relevance of these findings to human risk is not clear.

13.1 Carcinogenesis, Mutagenesis, Impairment of Fertility

Carcinogenesis

There was no increase in the incidence of tumors following daily oral administration of pimavanserin to mice or rats for 2 years. Mice were administered pimavanserin at oral doses of 2.6, 6, and 13 (males)/8.5, 21, and 43 mg/kg/day (females) which are 0.01- to 1- (males)/0.5- to 7- (females) times the MRHD of 34 mg/day based on AUC. Rats were administered pimavanserin at oral doses of 2.6, 8.5, and 26 (males)/4.3, 13, and 43 mg/kg/day (females) which are 0.01- to 4- (males)/0.04- to 16- (females) times the MRHD of 34 mg/day based on AUC.



Mutagenesis

Pimavanserin was not mutagenic in the in vitro Ames reverse mutation test, or in the in vitro mouse lymphoma assay, and was not clastogenic in the in vivo mouse bone marrow micronucleus assay.



Impairment of Fertility

Pimavanserin was administered orally to male and female rats before mating, through mating, and up to Day 7 of gestation at doses of 8.5, 51, and 77 mg/kg/day, which are approximately 2-, 15-, and 22-times the MRHD of 34 mg/day based on mg/m2, respectively. Pimavanserin had no effect on fertility or reproductive performance in male and female rats at doses up to 22-times the MRHD of 34 mg based on mg/m2. Changes in uterine parameters (decreases in the number of corpora lutea, number of implants, viable implants, and increases in pre-implantation loss, early resorptions and post-implantation loss) occurred at the highest dose which was also a maternally toxic dose. Changes in sperm parameters (decreased density and motility) and microscopic findings of cytoplasmic vacuolation in the epididymis occurred at doses approximately 15-times the MRHD of 34 mg/day based on mg/m2.

7.1 Drugs Having Clinically Important Interactions With Pimavanserin

Table 2 Clinically Important Drug Interactions with Pimavanserin



QT Interval Prolongation

Clinical Impact:

Concomitant use of drugs that prolong the QT interval may add to the QT effects of pimavanserin and increase the risk of cardiac arrhythmia.

Intervention:

Avoid the use of pimavanserin in combination with other drugs known to prolong QT interval (e.g., Class 1A antiarrythmics, Class 3 antiarrythmics, certain antipsychotics or antibiotics)   [see Warnings and Precautions (5.2)] .

Strong CYP3A4 Inhibitors

Clinical Impact:

Concomitant use of pimavanserin with a strong CYP3A4 inhibitor increases pimavanserin exposure [see Clinical Pharmacology (12.3)] .

Intervention:

If pimavanserin is used with a strong CYP3A4 inhibitor, reduce the dosage of pimavanserin [see Dosage and Administration (2.3) ].

Strong or Moderate CYP3A4 Inducers

Clinical Impact:

Concomitant use of pimavanserin with strong or moderate CYP3A4 inducers reduces pimavanserin exposure [ see Clinical Pharmacology (12.3) ].

Intervention:

Avoid concomitant use of strong or moderate CYP3A4 inducers with pimavanserin [see Dosage and Administration (2.3) ].



7.2 Drugs Having No Clinically Important Interactions With Pimavanserin

Based on pharmacokinetic studies, no dosage adjustment of carbidopa/levodopa is required when administered concomitantly with pimavanserin [see Clinical Pharmacology (12.3)].

5.1 Increased Mortality in Elderly Patients With Dementia Related Psychosis

Antipsychotic drugs increase the all-cause risk of death in elderly patients with dementia-related psychosis. Analyses of 17 dementia-related psychosis placebo-controlled trials (modal duration of 10 weeks and largely in patients taking atypical antipsychotic drugs) revealed a risk of death in the drug-treated patients of between 1.6- to 1.7-times that in placebo-treated patients. Over the course of a typical 10-week controlled trial, the rate of death in drug-treated patients was about 4.5%, compared to a rate of about 2.6% in placebo-treated patients.

Although the causes of death were varied, most of the deaths appeared to be either cardiovascular (e.g., heart failure, sudden death) or infectious (e.g., pneumonia) in nature. Pimavanserin is not approved for the treatment of patients with dementia who experience psychosis unless their hallucinations and delusions are related to Parkinson’s disease [see Boxed Warning].



2.3 Dosage Modifications for Concomitant Use With Cyp3a4 Inhibitors and Inducers
  • Coadministration with Strong CYP3A4 Inhibitors

The recommended dose of pimavanserin capsules when coadministered with strong CYP3A4 inhibitors is 10 mg, taken orally as one tablet once daily [see Drug interactions (7.1)].

  • Coadministration with Strong or Moderate CYP3A4 Inducers

Avoid concomitant use of strong or moderate CYP3A4 inducers with pimavanserin capsules [see Drug Interactions (7.1)].

Warning: Increased Mortality in Elderly Patients With Dementia Related Psychosis


Elderly patients with dementia-related psychosis treated with antipsychotic drugs are at an increased risk of death. Pimavanserin is not approved for the treatment of patients with dementia who experience psychosis unless their hallucinations and delusions  are related to Parkinson’s disease  [see Warnings and Precautions (5.1)] .


Structured Label Content

Section 43683-2 (43683-2)

Boxed Warning                            9/2023

Warnings and Precautions (5.1)  9/2023

9.2 Abuse

Pimavanserin has not been systematically studied in humans for its potential for abuse, tolerance, or physical dependence.

While short-term, placebo-controlled and long-term, open-label clinical trials did not reveal increases in drug-seeking behavior, the limited experience from the clinical trials do not predict the extent to which a CNS-active drug will be misused, diverted, and/or abused once marketed.



8.1 Pregnancy

Risk Summary

There are no data on pimavanserin use in pregnant women that would allow assessment of the drug-associated risk of major congenital malformations or miscarriage. In animal reproduction studies, no adverse developmental effects were seen when pimavanserin was administered orally to rats or rabbits during the period of organogenesis at doses up to 10- or 12-times the maximum recommended human dose (MRHD) of 34 mg/day, respectively. Administration of pimavanserin to pregnant rats during pregnancy and lactation resulted in maternal toxicity and lower pup survival and body weight at doses which are 2-times the MRHD of 34 mg/day [see Data].

The estimated background risk of major birth defects and miscarriage for the indicated population is unknown. In the U.S. general population, the estimated background risk of major birth defects and miscarriage in clinically recognized pregnancies is 2-4% and 15-20%, respectively.

Data

Animal Data

Pimavanserin was not teratogenic in pregnant rats when administered during the period of organogenesis at oral doses of 0.9, 8.5, and 51 mg/kg/day, which are 0.2- and 10-times the MRHD of 34 mg/day based on AUC at mid and high doses, respectively. Maternal toxicity included reduction in body weight and food consumption at the highest dose.

Administration of pimavanserin to pregnant rats during pregnancy and lactation at oral doses of 8.5, 26, and 51 mg/kg/day, which are 0.14- to 14-times the MRHD of 34 mg/day based on AUC, caused maternal toxicity, including mortality, clinical signs including dehydration, hunched posture, and rales, and decreases in body weight, and/or food consumption at doses ≥26 mg/kg/day (2-times the MRHD based on AUC). At these maternally toxic doses there was a decrease in pup survival, reduced litter size, and reduced pup weights, and food consumption. Pimavanserin had no effect on sexual maturation, neurobehavioral function including learning and memory, or reproductive function in the first generation pups up to 14-times the MRHD of 34 mg/day based on AUC.

Pimavanserin was not teratogenic in pregnant rabbits during the period of organogenesis at oral doses of 4.3, 43, and 85 mg/kg/day, which are 0.2- to 12-times the MRHD of 34 mg/day based on AUC. Maternal toxicity, including mortality, clinical signs of dyspnea and rales, decreases in body weight and/or food consumption, and abortions occurred at doses 12-times the MRHD of 34 mg/day based on AUC.



8.2 Lactation

Risk Summary

There is no information regarding the presence of pimavanserin in human milk, the effects on the breastfed infant, or the effects on milk production. The developmental and health benefits of breastfeeding should be considered along with the mother’s clinical need for pimavanserin and any potential adverse effects on the breastfed infant from pimavanserin or from the underlying maternal condition.



11 Description (11 DESCRIPTION)

Pimavanserin capsule contains pimavanserin, an atypical antipsychotic, which is present as pimavanserin tartrate salt with the chemical name, urea, N-[(4-fluorophenyl)methyl]-N-(1-methyl-4-piperidinyl)-N’-[[4-(2-methylpropoxy)phenyl]methyl]-,(2R,3R)-2,3-dihydroxybutanedioate (2:1). Pimavanserin tartrate is freely soluble in water, soluble in dichloromethane and practically insoluble in cyclohexane. Its molecular formula is (C25H34FN3O2)2.C4H6O6 and its molecular weight is 1005.20 (tartrate salt). The chemical structure is:





The molecular formula of pimavanserin free base is C25H34FN3O2 and its molecular weight is 427.55.

Pimavanserin capsules are intended for oral administration only. Each capsule contains 40 mg of pimavanserin tartrate, which is equivalent to 34 mg of pimavanserin free base. Inactive ingredients include polyethylene glycol. Additionally, the following inactive ingredients are present as components of the capsule shell: FD&C blue #1, hypromellose, titanium dioxide, and yellow iron oxide.

The printing ink contains shellac, propylene glycol, black iron oxide.



8.4 Pediatric Use

Safety and effectiveness of pimavanserin have not been established in pediatric patients.

8.5 Geriatric Use

No dose adjustment is required for elderly patients.

Parkinson’s disease is a disorder occurring primarily in individuals over 55 years of age. The mean age of patients enrolled in the 6-week clinical studies with pimavanserin  [see Adverse Reactions (6.1)] was 71 years, with 49% 65-75 years old and 31% >75 years old. In the pooled population of patients enrolled in 6-week, placebo-controlled studies (N=614), 27% had MMSE scores from 21 to 24 compared to 73% with scores ≥25. No clinically meaningful differences in safety or effectiveness were noted between these two groups.



14 Clinical Studies (14 CLINICAL STUDIES)

The efficacy of pimavanserin 34 mg as a treatment of hallucinations and delusions associated with Parkinson’s disease (PD) psychosis was demonstrated in a 6-week, randomized, placebo-controlled, parallel-group study. In this outpatient study, 199 patients were randomized in a 1:1 ratio to pimavanserin 34 mg or placebo once daily. Study patients (male or female and aged 40 years or older) had a diagnosis of PD (with or without dementia) established at least 1 year prior to study entry and had psychotic symptoms (hallucinations and/or delusions) that started after the PD diagnosis and that were severe and frequent enough to warrant treatment with an antipsychotic. At entry, patients were required to have a Mini-Mental State Examination (MMSE) score ≥21 and to be able to self-report symptoms. The majority of patients were on PD medications at entry; these medications were required to be stable for at least 30 days prior to study start and throughout the study period.

The PD-adapted Scale for the Assessment of Positive Symptoms (SAPS-PD) was used to evaluate the efficacy of pimavanserin 34 mg. SAPS-PD is a 9-item scale adapted for PD from the Hallucinations and Delusions domains of the SAPS. Each item is scored on a scale of 0-5, with 0 being none and 5 representing severe and frequent symptoms. Therefore, the SAPS-PD total score can range from 0 to 45 with higher scores reflecting greater severity of illness. A negative change in score indicates improvement. Primary efficacy was evaluated based on change from baseline to Week 6 in SAPS-PD total score.

As shown in Table 3, Figure 3, and Figure 4, pimavanserin 34 mg (n=95) was statistically significantly superior to placebo (n=90) in decreasing the frequency and/or severity of hallucinations and delusions in patients with PDP as measured by central, independent, and blinded raters using the SAPS-PD scale. An effect was seen on both the hallucinations and delusions components of the SAPS-PD.

Table 3 Primary Efficacy Analysis Result Based on SAPS-PD (N=185)





Endpoint

Treatment Group

 
Mean Baseline Score (SD)

LS Mean Change from Baseline (SE)

Placebo-subtracted Differencea (95% CI)

SAPS-PD

Pimavanserin  15.9 (6.12) -5.79 (0.66)

-3.06* (-4.91, -1.20)

Placebo 14.7 (5.55) -2.73 (0.67)

--
SAPS-PD

Hallucinationsb
Pimavanserin  11.1 (4.58) -3.81 (0.46)

-2.01 (-3.29, -0.72)

Placebo 10.0 (3.80) -1.80 (0.46)

--
SAPS-PD

Delusionsb

Pimavanserin  4.8 (3.59) -1.95 (0.32)

-0.94 (-1.83, -0.04)

Placebo 4.8 (3.82) -1.01 (0.32)

--

SD: standard deviation; SE: standard error; LS Mean: least-squares mean; CI: confidence interval.

a Difference (drug minus placebo) in least-squares mean change from baseline.

b Supportive analysis.

* Statistically significantly superior to placebo.

The effect of pimavanserin on SAPS-PD improved through the six-week trial period, as shown in Figure 3.

Figure 3 SAPS-PD Change from Baseline through 6 Weeks Total Study Treatment



Figure 4 Proportion of Patients with SAPS-PD Score Improvement at the End of Week 6 (N=185)



Motor Function in Patients with Hallucinations and Delusions Associated with Parkinson’s Disease Psychosis

Pimavanserin 34 mg did not show an effect compared to placebo on motor function, as measured using the Unified Parkinson’s Disease Rating Scale Parts II and III (UPDRS Parts II+III) (Figure 5). A negative change in score indicates improvement. The UPDRS Parts II+III was used to assess the patient’s Parkinson’s disease state during the 6-week double-blind treatment period. The UPDRS score was calculated as the sum of the 40 items from activities of daily living and motor examination, with a range of 0 to 160.

Figure 5 Motor Function Change from Baseline to Week 6 in UPDRS Parts II+III (LSM -SE)



4 Contraindications (4 CONTRAINDICATIONS)

Pimavanserin is contraindicated in patients with a history of a hypersensitivity reaction to pimavanserin or any of its components. Rash, urticaria, and reactions consistent with angioedema (e.g., tongue swelling, circumoral edema, throat tightness, and dyspnea) have been reported [see Adverse Reactions (6.2)].

6 Adverse Reactions (6 ADVERSE REACTIONS)

The following serious adverse reactions are discussed elsewhere in the labeling:

7 Drug Interactions (7 DRUG INTERACTIONS)
  • Strong CYP3A4 Inhibitors: Reduce pimavanserin dose to 10 mg once daily. (2.3, 7.1)
  • Strong or Moderate CYP3A4 Inducers: Avoid concomitant use of pimavanserin. (2.3, 7.1)
10.1 Human Experience

The pre-marketing clinical trials involving pimavanserin in approximately 1200 subjects and patients do not provide information regarding symptoms with overdose. In healthy subject studies, dose-limiting nausea and vomiting were observed.

12.2 Pharmacodynamics

In vitro, pimavanserin acts as an inverse agonist and antagonist at serotonin 5-HT2A receptors with high binding affinity (Ki value 0.087 nM) and at serotonin 5-HT2C receptors with lower binding affinity (Ki value 0.44 nM). Pimavanserin shows low binding to sigma 1 receptors (Ki value 120 nM) and has no appreciable affinity (Ki value >300 nM), to serotonin 5-HT2B, dopaminergic (including D2), muscarinic, histaminergic, or adrenergic receptors, or to calcium channels.

Cardiac Electrophysiology

The effect of pimavanserin on the QTc interval was evaluated in a randomized placebo- and positive-controlled double-blind, multiple-dose parallel thorough QTc study in 252 healthy subjects. A central tendency analysis of the QTc data at steady-state demonstrated that the maximum mean change from baseline (upper bound of the two-sided 90% CI) was 13.5 (16.6) msec at a dose of twice the therapeutic dose. A pharmacokinetic/pharmacodynamic analysis with pimavanserin suggested a concentration-dependent QTc interval prolongation in the therapeutic range.

In the 6-week, placebo-controlled effectiveness studies, mean increases in QTc interval of ~5-8 msec were observed in patients receiving once-daily doses of pimavanserin 34 mg. These data are consistent with the profile observed in a thorough QT study in healthy subjects. Sporadic QTcF values ≥500 msec and change from baseline values ≥60 msec were observed in subjects treated with pimavanserin 34 mg; although the incidence was generally similar for pimavanserin and placebo groups. There were no reports of torsade de pointes or any differences from placebo in the incidence of other adverse reactions associated with delayed ventricular repolarization in studies of pimavanserin, including those patients with hallucinations and delusions associated with PDP [see Warnings and Precautions (5.2)] .



12.3 Pharmacokinetics

Pimavanserin demonstrates dose-proportional pharmacokinetics after single oral doses from 17 to 255 mg (0.5- to 7.5-times the recommended dosage). The pharmacokinetics of pimavanserin are similar in both the study population and healthy subjects. The mean plasma half-lives for pimavanserin and the active metabolite (N-desmethylated metabolite) are approximately 57 hours and 200 hours, respectively.

Absorption

The median Tmax of pimavanserin was 6 (range 4-24) hours and was generally unaffected by dose. The bioavailability of pimavanserin oral tablet and pimavanserin solution was essentially identical. The formation of the major circulating N-desmethylated metabolite AC-279 (active) from pimavanserin occurs with a median Tmax of 6 hours.

Effect of Food

Ingestion of a high-fat meal had no significant effect on rate (Cmax) and extent (AUC) of pimavanserin exposure. Cmax decreased by about 9% while AUC increased by about 8% with a high-fat meal.

Distribution

Pimavanserin is highly protein bound (~95%) in human plasma. Protein binding appeared to be dose-independent and did not change significantly over dosing time from Day 1 to Day 14. Following administration of a single dose of pimavanserin (34 mg), the mean (SD) apparent volume of distribution was 2173 (307) L.

Elimination

Metabolism

Pimavanserin is predominantly metabolized by CYP3A4 and CYP3A5 and to a lesser extent by CYP2J2, CYP2D6, and various other CYP and FMO enzymes. CYP3A4 is the major enzyme responsible for the formation of its major active metabolite (AC-279). Pimavanserin does not cause clinically significant CYP inhibition or induction of CYP3A4. Based on in vitro data, pimavanserin is not an irreversible inhibitor of any of the major hepatic and intestinal human CYP enzymes involved in drug metabolism (CYP1A2, 2B6, 2C8, 2C9, 2C19, 2D6, and 3A4).

Based on in vitro studies, transporters play no significant role in the disposition of pimavanserin.

AC-279 is neither a reversible or irreversible (metabolism-dependent) inhibitor of any of the major hepatic and intestinal human CYP enzymes involved in drug metabolism (CYP1A2, 2B6, 2C8, 2C9, 2C19, 2D6, and 3A4). AC-279 does not cause clinically significant CYP3A induction and is not predicted to cause induction of any other CYP enzymes involved in drug metabolism.

Excretion

Approximately 0.55% of the 34 mg oral dose of 14C-pimavanserin was eliminated as unchanged drug in urine and 1.53% was eliminated in feces after 10 days.

Less than 1% of the administered dose of pimavanserin and its active metabolite AC-279 were recovered in urine.

Specific Populations

Population PK analysis indicated that age, sex, ethnicity, and weight do not have clinically relevant effect on the pharmacokinetics of pimavanserin. In addition, the analysis indicated that exposure of pimavanserin in patients with mild to moderate renal impairment was similar to exposure in patients with normal renal function.

The effects of other intrinsic factors on pimavanserin pharmacokinetics is shown in Figure 1 [see Use in Specific Populations (8.6 and 8.7)].

Figure 1 Effects of Intrinsic Factors on Pimavanserin Pharmacokinetics



*Less than 10% of the administered dose of pimavanserin was recovered in the dialysate.

Drug Interaction Studies

CYP3A4 Inhibitor: ketoconazole, a strong inhibitor of CYP3A4, increased pimavanserin Cmax by 1.5-fold and AUC by 3-fold. Population PK modeling and simulation show that steady-state exposure (Cmax,ss and AUCtau) for 10 mg pimavanserin with ketoconazole is similar to exposure for 34 mg pimavanserin alone [see Dosage and Administration (2.3) and Drug Interactions (7.1)].

CYP3A4 Inducer: In a clinical study where single doses of 34 mg pimavanserin were administered on Days 1 and 22, and 600 mg rifampin, a strong inducer of CYP3A4, was given daily on Days 15 through 21, pimavanserin Cmax and AUC decreased by 71% and 91%, respectively, compared to pre-rifampin plasma concentrations. In a simulation with a moderate CYP3A4 inducer (efavirenz), physiologically based pharmacokinetic (PBPK) models predicted pimavanserin Cmax,ss and AUCtau at steady state decreased by approximately 60% and 70%, respectively [see Dosage and Administration (2.3) and Drug Interactions (7.1)].

There is no effect of pimavanserin on the pharmacokinetics of midazolam, a CYP3A4 substrate, or carbidopa/levodopa as shown in Figure 2.

Figure 2 Effects of Pimavanserin on the Pharmacokinetics of Other Drugs



2.1 Recommended Dosage

The recommended dose of pimavanserin capsule is 34 mg taken orally once daily, without titration.



1 Indications and Usage (1 INDICATIONS AND USAGE)

Pimavanserin capsule is indicated for the treatment of hallucinations and delusions associated with Parkinson’s disease psychosis [see Clinical Studies (14)].

12.1 Mechanism of Action

The mechanism of action of pimavanserin in the treatment of hallucinations and delusions associated with PDP is unclear. However, the effect of pimavanserin could be mediated through a combination of inverse agonist and antagonist activity at serotonin 5-HT2A receptors and to a lesser extent at serotonin 5-HT2C receptors.

9.1 Controlled Substance

Pimavanserin is not a controlled substance.

5 Warnings and Precautions (5 WARNINGS AND PRECAUTIONS)
  • QT Interval Prolongation: Increases in QT interval; avoid use with drugs that also increase the QT interval and in patients with risk factors for prolonged QT interval. (5.2)
10.2 Management of Overdose

There are no known specific antidotes for pimavanserin. In managing overdose, cardiovascular monitoring should commence immediately and should include continuous ECG monitoring to detect possible arrhythmias [see Warnings and Precautions (5.2)]. If antiarrhythmic therapy is administered, disopyramide, procainamide, and quinidine should not be used, as they have the potential for QT-prolonging effects that might be additive to those of pimavanserin [see Drug Interactions (7.1)]. Consider the long plasma half-life of pimavanserin (about 57 hours) and the possibility of multiple drug involvement. Consult a Certified Poison Control Center (1-800-222-1222) for up-to-date guidance and advice.

2 Dosage and Administration (2 DOSAGE AND ADMINISTRATION)
  • Recommended dose is 34 mg taken orally once daily, without titration. (2.1)
  • Can be taken with or without food. (2.2)
  • Capsules may be swallowed whole or opened and entire contents sprinkled over a tablespoon of certain types of soft food. (2.2)
6.2 Postmarketing Experience

The following adverse reactions have been identified during postapproval use of pimavanserin. Because these reactions are reported voluntarily from a population of uncertain size, it is not always possible to reliably estimate their frequency or establish a causal relationship to drug exposure. These reactions include rash, urticaria, reactions consistent with angioedema (e.g., tongue swelling, circumoral edema, throat tightness, and dyspnea), somnolence, falls, agitation and aggression.

3 Dosage Forms and Strengths (3 DOSAGE FORMS AND STRENGTHS)

Pimavanserin capsules are available as:

  • 34 mg strength capsules. Size 4 HPMC capsule having light green opaque cap, printed "m" in black ink and white opaque body, printed "106" in black ink. Capsule contains White to off white powder.
2.2 Administration Information

Pimavanserin capsule can be taken with or without food [see Clinical Pharmacology (12.3)].

Pimavanserin capsules can be taken whole, or opened and the entire contents sprinkled over a tablespoon (15 mL) of applesauce, yogurt, pudding, or a liquid nutritional supplement. Consume the drug/food mixture immediately without chewing; do not store for future use.

5.2  Qt Interval Prolongation (5.2  QT Interval Prolongation)

Pimavanserin prolongs the QT interval. The use of pimavanserin should be avoided in patients with known QT prolongation or in combination with other drugs known to prolong QT interval including Class 1A antiarrhythmics (e.g., quinidine, procainamide) or Class 3 antiarrhythmics (e.g., amiodarone, sotalol), certain antipsychotic medications (e.g., ziprasidone, chlorpromazine, thioridazine), and certain antibiotics (e.g., gatifloxacin, moxifloxacin) [see Drug Interactions (7.1)]. Pimavanserin should also be avoided in patients with a history of cardiac arrhythmias, as well as other circumstances that may increase the risk of the occurrence of torsade de pointes and/or sudden death, including symptomatic bradycardia, hypokalemia or hypomagnesemia, and the presence of congenital prolongation of the QT interval [see Clinical Pharmacology (12.2)].

6.1 Clinical Trials Experience

Because clinical trials are conducted under widely varying conditions, adverse reaction rates observed in the clinical trials of a drug cannot be directly compared to rates in the clinical trials of another drug and may not reflect the rates observed in practice.



The clinical trial database for pimavanserin consists of over 1200 subjects and patients exposed to one or more doses of pimavanserin. Of these, 616 were patients with hallucinations and delusions associated with Parkinson’s disease psychosis (PDP). In the placebo-controlled setting, the majority of experience in patients comes from studies evaluating once-daily pimavanserin doses of 34 mg (N=202) compared to placebo (N=231) for up to 6 weeks. In the controlled trial setting, the study population was approximately 64% male and 91% Caucasian, and the mean age was about 71 years at study entry. Additional clinical trial experience in patients with hallucinations and delusions associated with PDP comes from two open-label, safety extension studies (total N=497). The majority of patients receiving long-term treatment received 34 mg once-daily (N=459). Over 300 patients have been treated for more than 6 months; over 270 have been treated for at least 12 months; and over 150 have been treated for at least 24 months.



The following adverse reactions are based on the 6-week, placebo-controlled studies in which pimavanserin was administered once daily to patients with hallucinations and delusions associated with PDP.



Common Adverse Reactions (incidence ≥5% and at least twice the rate of placebo): peripheral edema (7% pimavanserin 34 mg vs. 2% placebo) and confusional state (6% pimavanserin 34 mg vs. 3% placebo).



Adverse Reactions Leading to Discontinuation of Treatment

A total of 8% (16/202) of pimavanserin 34 mg-treated patients and 4% (10/231) of placebo-treated patients discontinued because of adverse reactions. The adverse reactions that occurred in more than one patient and with an incidence at least twice that of placebo were hallucination (2% pimavanserin vs. <1% placebo), urinary tract infection (1% pimavanserin vs. <1% placebo), and fatigue (1% pimavanserin vs. 0% placebo).



Adverse reactions that occurred in 6-week, placebo-controlled studies and that were reported at an incidence of ≥2% and >placebo are presented in Table 1.



Table 1 Adverse Reactions in Placebo-Controlled Studies of 6-Week Treatment Duration and Reported in ≥2% and >Placebo



Percentage of Patients Reporting Adverse Reaction

Pimavanserin 34 mg

Placebo

N=202

N=231

Gastrointestinal disorders

Nausea

7%

4%

Constipation

4%

3%

General disorders

Peripheral edema

7%

2%

Gait disturbance

2%

<1%

Psychiatric disorders

Hallucination

5%

3%

Confusional state

6%

3%

Adverse Reactions in Demographic Subgroups

Examination of population subgroups in the 6-week, placebo-controlled studies did not reveal any differences in safety on the basis of age (≤75 vs. >75 years) or sex. Because the study population was predominantly Caucasian (91%; consistent with reported demographics for PD/PDP), racial or ethnic differences in the safety profile of pimavanserin could not be assessed. In addition, in the 6-week, placebo-controlled studies, no clinically relevant differences in the incidence of adverse reactions were observed among those with a Mini-Mental State Examination (MMSE) score at entry of <25 versus those with scores ≥25.

8.8 Other Specific Populations

No dosage adjustment is required based on patient’s age, sex, ethnicity, or weight. These factors do not affect the pharmacokinetics of pimavanserin [see Clinical Pharmacology (12.3)].

17 Patient Counseling Information (17 PATIENT COUNSELING INFORMATION)

Concomitant Medication

Advise patients to inform their healthcare providers if there are any changes to their current prescription or over-the-counter medications, since there is a potential for drug interactions [see Warnings and Precautions (5.2), Drug Interactions (7)].

Administration Instructions

Advise patients to take the capsule whole or sprinkled over a tablespoon (15 mL) of applesauce, yogurt, pudding, or a liquid nutritional supplement. Advise patients to consume the drug/food mixture immediately and not to store for future use [see Dosage and Administration (2.2)].



Manufactured by:

MSN Pharmaceuticals Inc

Piscataway, NJ 08854

Distributed by:

Novadoz Pharmaceuticals LLC

Piscataway, NJ 08854-3714

Issued on: October 2023 



8.6 Patients With Renal Impairment (8.6 Patients with Renal Impairment)

No dosage adjustment for pimavanserin is needed in patients with mild to severe renal impairment or end stage renal disease (ESRD); however, increased exposure (Cmax and AUC) to pimavanserin occurred in patients with severe renal impairment (CrCL <30 mL/min, Cockcroft-Gault) in a renal impairment study [see Clinical Pharmacology (12.3)] .

Pimavanserin should be used with caution in patients with severe renal impairment and end stage renal disease.

In a renal impairment study, dialysis did not appear to significantly affect the concentrations of pimavanserin [see Clinical Pharmacology (12.3)] .



16 How Supplied/storage and Handling (16 HOW SUPPLIED/STORAGE AND HANDLING)

Pimavanserin capsules are available as:

34 mg Capsule:

Size 4 HPMC capsule having light green opaque cap, printed "m" in black ink and white opaque body, printed "106" in black ink. Capsule contains White to off white powder.

Bottle of 30: 72205-055-30

Storage

34 mg Capsule:


Store at 20°C to 25°C (68ºF to 77°F); excursions permitted between 15°C and 30°C (59°F and 86°F) [See USP Controlled Room Temperature].

8.7 Patients With Hepatic Impairment (8.7 Patients with Hepatic Impairment)

No dosage adjustment for pimavanserin is recommended in patients with hepatic impairment based on the exposure differences observed in patients with and without hepatic impairment in a hepatic impairment study [see Clinical Pharmacology (12.3)] .

Package Label Principal Display Panel (PACKAGE LABEL PRINCIPAL DISPLAY PANEL)

Pimavanserin capsules 34 mg-30s container label:



13.2 Animal Toxicology And/or Pharmacology (13.2 Animal Toxicology and/or Pharmacology)

Phospholipidosis (foamy macrophages and/or cytoplasmic vacuolation) was observed in multiple tissues and organs of mice, rats, and monkeys following oral daily administration of pimavanserin. The occurrence of phospholipidosis was both dose- and duration-dependent. The most severely affected organs were the lungs and kidneys. In rats, diffuse phospholipidosis was associated with increased lung and kidney weights, respiratory-related clinical signs including rales, labored breathing, and gasping, renal tubular degeneration, and, in some animals, focal/multifocal chronic inflammation in the lungs at exposures ≥10-times those at the MRHD of 34 mg/day based on AUC. Phospholipidosis caused mortality in rats at exposures ≥16-times the MRHD of 34 mg/day based on AUC. The chronic inflammation in the rat lung was characterized by minimal to mild focal collagen positive fibroplasia as shown by specialized staining. Chronic inflammation of the lungs was not seen in monkeys treated for 12 months (exposures 9-times the MRHD). Based on the exposures at the estimated No Observed Effect Level (NOEL) for chronic lung inflammation in rats, there is a 5- to 9-times safety margin after 6-months of treatment and a 2- to 4-times safety margin after 24-months (lifetime) treatment compared to exposure at the MRHD. The relevance of these findings to human risk is not clear.

13.1 Carcinogenesis, Mutagenesis, Impairment of Fertility

Carcinogenesis

There was no increase in the incidence of tumors following daily oral administration of pimavanserin to mice or rats for 2 years. Mice were administered pimavanserin at oral doses of 2.6, 6, and 13 (males)/8.5, 21, and 43 mg/kg/day (females) which are 0.01- to 1- (males)/0.5- to 7- (females) times the MRHD of 34 mg/day based on AUC. Rats were administered pimavanserin at oral doses of 2.6, 8.5, and 26 (males)/4.3, 13, and 43 mg/kg/day (females) which are 0.01- to 4- (males)/0.04- to 16- (females) times the MRHD of 34 mg/day based on AUC.



Mutagenesis

Pimavanserin was not mutagenic in the in vitro Ames reverse mutation test, or in the in vitro mouse lymphoma assay, and was not clastogenic in the in vivo mouse bone marrow micronucleus assay.



Impairment of Fertility

Pimavanserin was administered orally to male and female rats before mating, through mating, and up to Day 7 of gestation at doses of 8.5, 51, and 77 mg/kg/day, which are approximately 2-, 15-, and 22-times the MRHD of 34 mg/day based on mg/m2, respectively. Pimavanserin had no effect on fertility or reproductive performance in male and female rats at doses up to 22-times the MRHD of 34 mg based on mg/m2. Changes in uterine parameters (decreases in the number of corpora lutea, number of implants, viable implants, and increases in pre-implantation loss, early resorptions and post-implantation loss) occurred at the highest dose which was also a maternally toxic dose. Changes in sperm parameters (decreased density and motility) and microscopic findings of cytoplasmic vacuolation in the epididymis occurred at doses approximately 15-times the MRHD of 34 mg/day based on mg/m2.

7.1 Drugs Having Clinically Important Interactions With Pimavanserin (7.1 Drugs Having Clinically Important Interactions with Pimavanserin)

Table 2 Clinically Important Drug Interactions with Pimavanserin



QT Interval Prolongation

Clinical Impact:

Concomitant use of drugs that prolong the QT interval may add to the QT effects of pimavanserin and increase the risk of cardiac arrhythmia.

Intervention:

Avoid the use of pimavanserin in combination with other drugs known to prolong QT interval (e.g., Class 1A antiarrythmics, Class 3 antiarrythmics, certain antipsychotics or antibiotics)   [see Warnings and Precautions (5.2)] .

Strong CYP3A4 Inhibitors

Clinical Impact:

Concomitant use of pimavanserin with a strong CYP3A4 inhibitor increases pimavanserin exposure [see Clinical Pharmacology (12.3)] .

Intervention:

If pimavanserin is used with a strong CYP3A4 inhibitor, reduce the dosage of pimavanserin [see Dosage and Administration (2.3) ].

Strong or Moderate CYP3A4 Inducers

Clinical Impact:

Concomitant use of pimavanserin with strong or moderate CYP3A4 inducers reduces pimavanserin exposure [ see Clinical Pharmacology (12.3) ].

Intervention:

Avoid concomitant use of strong or moderate CYP3A4 inducers with pimavanserin [see Dosage and Administration (2.3) ].



7.2 Drugs Having No Clinically Important Interactions With Pimavanserin (7.2 Drugs Having No Clinically Important Interactions with Pimavanserin)

Based on pharmacokinetic studies, no dosage adjustment of carbidopa/levodopa is required when administered concomitantly with pimavanserin [see Clinical Pharmacology (12.3)].

5.1 Increased Mortality in Elderly Patients With Dementia Related Psychosis (5.1 Increased Mortality in Elderly Patients with Dementia-Related Psychosis)

Antipsychotic drugs increase the all-cause risk of death in elderly patients with dementia-related psychosis. Analyses of 17 dementia-related psychosis placebo-controlled trials (modal duration of 10 weeks and largely in patients taking atypical antipsychotic drugs) revealed a risk of death in the drug-treated patients of between 1.6- to 1.7-times that in placebo-treated patients. Over the course of a typical 10-week controlled trial, the rate of death in drug-treated patients was about 4.5%, compared to a rate of about 2.6% in placebo-treated patients.

Although the causes of death were varied, most of the deaths appeared to be either cardiovascular (e.g., heart failure, sudden death) or infectious (e.g., pneumonia) in nature. Pimavanserin is not approved for the treatment of patients with dementia who experience psychosis unless their hallucinations and delusions are related to Parkinson’s disease [see Boxed Warning].



2.3 Dosage Modifications for Concomitant Use With Cyp3a4 Inhibitors and Inducers (2.3 Dosage Modifications for Concomitant Use with CYP3A4 Inhibitors and Inducers)
  • Coadministration with Strong CYP3A4 Inhibitors

The recommended dose of pimavanserin capsules when coadministered with strong CYP3A4 inhibitors is 10 mg, taken orally as one tablet once daily [see Drug interactions (7.1)].

  • Coadministration with Strong or Moderate CYP3A4 Inducers

Avoid concomitant use of strong or moderate CYP3A4 inducers with pimavanserin capsules [see Drug Interactions (7.1)].

Warning: Increased Mortality in Elderly Patients With Dementia Related Psychosis (WARNING: INCREASED MORTALITY IN ELDERLY PATIENTS WITH DEMENTIA-RELATED PSYCHOSIS)


Elderly patients with dementia-related psychosis treated with antipsychotic drugs are at an increased risk of death. Pimavanserin is not approved for the treatment of patients with dementia who experience psychosis unless their hallucinations and delusions  are related to Parkinson’s disease  [see Warnings and Precautions (5.1)] .


Advanced Ingredient Data


Raw Label Data

All Sections (JSON)