Fluocinolone Acetonide Topical Solution Usp, 0.01%

Fluocinolone Acetonide Topical Solution Usp, 0.01%
SPL v5
SPL
SPL Set ID 3fb00d90-6a5b-4e95-ab6b-f5b102ff0f36
Route
TOPICAL
Published
Effective Date 2020-12-02
Document Type 34391-3 HUMAN PRESCRIPTION DRUG LABEL

Drug Facts

Composition & Product

Active Ingredients
Fluocinolone Acetonide (0.1 mg)
Inactive Ingredients
Anhydrous Citric Acid Propylene Glycol

Identifiers & Packaging

Marketing Status
ANDA Active Since 2019-03-20

Description

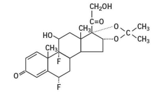
Fluocinolone Acetonide Topical Solution, 0.01% is intended for topical administration. The active component is the corticosteroid fluocinolone acetonide, which has the chemical name pregna-1, 4-diene-3, 20-dione, 6, 9-difluoro-11, 21-dihydroxy-16, 17-[(1-methylethylidene) bis (oxy)]-, (6α, 11β, 16α)-. It has the following chemical structure: Fluocinolone Acetonide Topical Solution USP, 0.01% contains fluocinolone acetonide 0.1 mg/mL in a water-washable base of anhydrous citric acid and propylene glycol.

Contraindications

Topical corticosteroids are contraindicated in those patients with a history of hypersensitivity to any of the components of the preparation.

Adverse Reactions

The following local adverse reactions are reported infrequently with topical corticosteroids, but may occur more frequently with the use of occlusive dressings. These reactions are listed in an approximate decreasing order of occurrence: Burning Perioral dermatitis Itching Allergic contact dermatitis Irritation Maceration of the skin Dryness Secondary infection Folliculitis Skin atrophy Hypertrichosis Striae Acneiform eruptions Miliaria Hypopigmentation  

How Supplied

Fluocinolone Acetonide Topical Solution USP, 0.01% 60 mL Bottle with applicator tip - NDC 21922-003-01 STORAGE Store at room temperature 15-25°C (59-77°F); avoid freezing and excessive heat above 40°C (104°F). Store in an upright position. To report SUSPECTED ADVERSE REACTIONS, contact Encube Ethicals Private Limited at 1-833-285-4151 or FDA at 1-800-FDA-1088 or www.fda.gov/medwatch.        Manufactured by: Encube Ethicals Pvt. Ltd. Plot No. C1, Madkaim Ind. Estate, Madkaim, Post Mardol, Ponda, Goa-403 404, India. Distributed by: Encube Ethicals, Inc. 200 Meredith Avenue, Suite 101A Durham, NC 27713 USA Rev: 06 February 2022


Medication Information

Contraindications


Topical corticosteroids are contraindicated in those patients with a history of hypersensitivity to any of the components of the preparation.

Adverse Reactions


The following local adverse reactions are reported infrequently with topical corticosteroids, but may occur more frequently with the use of occlusive dressings. These reactions are listed in an approximate decreasing order of occurrence:





Burning

Perioral dermatitis

Itching

Allergic contact dermatitis

Irritation

Maceration of the skin

Dryness

Secondary infection

Folliculitis

Skin atrophy

Hypertrichosis

Striae

Acneiform eruptions

Miliaria

Hypopigmentation

 





How Supplied

Fluocinolone Acetonide Topical Solution USP, 0.01% 60 mL Bottle with applicator tip - NDC 21922-003-01



STORAGE

Store at room temperature 15-25°C (59-77°F); avoid freezing and excessive heat above 40°C (104°F). Store in an upright position.



To report SUSPECTED ADVERSE REACTIONS, contact Encube Ethicals Private Limited at 1-833-285-4151 or FDA at 1-800-FDA-1088 or www.fda.gov/medwatch.

 

  



 

Manufactured by:

Encube Ethicals Pvt. Ltd.

Plot No. C1, Madkaim Ind. Estate,

Madkaim, Post Mardol, Ponda, Goa-403 404, India.



Distributed by:

Encube Ethicals, Inc.

200 Meredith Avenue,

Suite 101A

Durham, NC 27713

USA



Rev: 06

February 2022

Description


Fluocinolone Acetonide Topical Solution, 0.01% is intended for topical administration. The active component is the corticosteroid fluocinolone acetonide, which has the chemical name pregna-1, 4-diene-3, 20-dione, 6, 9-difluoro-11, 21-dihydroxy-16, 17-[(1-methylethylidene) bis (oxy)]-, (6α, 11β, 16α)-. It has the following chemical structure:





Fluocinolone Acetonide Topical Solution USP, 0.01% contains fluocinolone acetonide 0.1 mg/mL in a water-washable base of anhydrous citric acid and propylene glycol.

General

Systemic absorption of topical corticosteroids has produced reversible hypothalamic-pituitary-adrenal (HPA) axis suppression, manifestations of Cushing's syndrome, hyperglycemia, and glucosuria in some patients.



Conditions which augment systemic absorption include the application of the more potent steroids, use over large surface areas, prolonged use, and the addition of occlusive dressings.



Therefore, patients receiving a large dose of a potent topical steroid applied to a large surface area or under an occlusive dressing should be evaluated periodically for evidence of HPA axis suppression by using the urinary free cortisol and ACTH stimulation tests. If HPA axis suppression is noted, an attempt should be made to withdraw the drug, to reduce the frequency of application, or to substitute a less potent steroid.



Recovery of HPA axis function is generally prompt and complete upon discontinuation of the drug. Infrequently, signs and symptoms of steroid withdrawal may occur, requiring supplemental systemic corticosteroids.



Children may absorb proportionally larger amounts of topical corticosteroids and thus be more susceptible to systemic toxicity ( see PRECAUTIONS—Pediatric Use ).



If irritation develops, topical corticosteroids should be discontinued and appropriate therapy instituted.



As with any topical corticosteroid product, prolonged use may produce atrophy of the skin and subcutaneous tissues. When used on intertriginous or flexor areas, or on the face, this may occur even with short-term use.

 

In the presence of dermatological infections, the use of an appropriate antifungal or antibacterial agent should be instituted. If a favorable response does not occur promptly, the corticosteroid should be discontinued until the infection has been adequately controlled.

Overdosage


Topically applied corticosteroids can be absorbed in sufficient amounts to produce systemic effects (See PRECAUTIONS ).

Pediatric Use


Pediatric patients may demonstrate greater susceptibility to topical corticosteroid-induced hypothalmic-pituitary-adrenal (HPA) axis suppression and Cushing's syndrome than mature patients because of a larger skin surface area to bodyweight ratio.



Hypothalamic-pituitary-adrenal (HPA) axis suppression, Cushing's syndrome, and intracranial hypertension have been reported in children receiving topical corticosteroids. Manifestations of adrenal suppression in children include linear growth retardation, delayed weight gain, low plasma cortisol levels, and absence of response to ACTH stimulation. Manifestations of intracranial hypertension include bulging fontanelles, headaches, and bilateral papilledema.



Administration of topical corticosteroids to children should be limited to the least amount compatible with an effective therapeutic regimen. Chronic corticosteroid therapy may interfere with the growth and development of children.





Nursing Mothers


It is not known whether topical administration of corticosteroids could result in sufficient systemic absorption to produce detectable quantities in breast milk. Systemically administered corticosteroids are secreted into breast milk in quantities not likely to have a deleterious effect on the infant. Nevertheless, caution should be exercised when topical corticosteroids are administered to a nursing woman.

Laboratory Tests


The following tests may be helpful in evaluating the HPA axis suppression:



Urinary free cortisol test

ACTH stimulation test

Pregnancy Category C

 

Corticosteroids are generally teratogenic in laboratory animals when administered systemically at relatively low dosage levels. The more potent corticosteroids have been shown to be teratogenic after dermal application in laboratory animals. There are no adequate and well-controlled studies in pregnant women on teratogenic effects from topically applied corticosteroids. Therefore, topical corticosteroids should be used during pregnancy only if the potential benefit justifies the potential risk to the fetus. Drugs of this class should not be used extensively on pregnant patients, in large amounts, or for prolonged periods of time.

Clinical Pharmacology


Topical corticosteroids share anti-inflammatory, anti-pruritic and vasoconstrictive actions.



The mechanism of anti-inflammatory activity of the topical corticosteroids is unclear. Various laboratory methods, including vasoconstrictor assays, are used to compare and predict potencies and/or clinical efficacies of the topical corticosteroids. There is some evidence to suggest that a recognizable correlation exists between vasoconstrictor potency and therapeutic efficacy in man.



Pharmacokinetics



The extent of percutaneous absorption of topical corticosteroids is determined by many factors including the vehicle, the integrity of the epidermal barrier, and the use of occlusive dressings.





Topical corticosteroids can be absorbed from normal intact skin. Inflammation and/or other disease processes in the skin increase percutaneous absorption. Occlusive dressings substantially increase the percutaneous absorption of topical corticosteroids. Thus, occlusive dressings may be a valuable therapeutic adjunct for treatment of resistant dermatoses (see DOSAGE AND ADMINISTRATION).



Once absorbed through the skin, topical corticosteroids are handled through pharmacokinetic pathways similar to systemically administered corticosteroids. Corticosteroids are bound to plasma proteins in varying degrees. Corticosteroids are metabolized primarily in the liver and are then excreted by the kidneys. Some of the topical corticosteroids and their metabolites are also excreted into the bile.



Indications and Usage


Fluocinolone Acetonide Topical Solution USP, 0.01% is indicated for the relief of the inflammatory and pruritic manifestations of corticosteroid-responsive dermatoses.

Information for Patients


Patients using topical corticosteroids should receive the following information and instructions:



  • This medication is to be used as directed by the physician. It is for external use only. Avoid contact with the eyes.
  • Patients should be advised not to use this medication for any disorder other than that for which it was prescribed.
  • The treated skin area should not be bandaged or otherwise covered or wrapped as to be occlusive unless directed by the physician.
  • Patients should report any signs of local adverse reactions, especially under occlusive dressing.
  • Parents of pediatric patients should be advised not to use tight-fitting diapers or plastic pants on a child being treated in the diaper area, as these garments may constitute occlusive dressings.
Dosage and Administration


Fluocinolone Acetonide Topical Solution USP, 0.01% is generally applied to the affected area as a thin film from two to four times daily depending on the severity of the condition. In hairy sites, the hair should be parted to allow direct contact with the lesion.



Occlusive dressings may be used for the management of psoriasis or recalcitrant conditions.

If an infection develops, the use of occlusive dressings should be discontinued and appropriate antimicrobial therapy instituted.

Package Label.principal Display Panel

FLUOCINOLONE ACETONIDE TOPICAL SOLUTION USP, 0.01%

NDC 21922-003-01

CARTON - 60mL







FLUOCINOLONE ACETONIDE TOPICAL SOLUTION USP, 0.01%

NDC 21922-003-01

BOTTLE - 60mL









Carcinogenesis, Mutagenesis and Impairment of Fertility


Long-term animal studies have not been performed to evaluate the carcinogenic potential or the effect on fertility of topical corticosteroids.

Studies to determine mutagenicity with prednisolone and hydrocortisone have revealed negative results.


Structured Label Content

General

Systemic absorption of topical corticosteroids has produced reversible hypothalamic-pituitary-adrenal (HPA) axis suppression, manifestations of Cushing's syndrome, hyperglycemia, and glucosuria in some patients.



Conditions which augment systemic absorption include the application of the more potent steroids, use over large surface areas, prolonged use, and the addition of occlusive dressings.



Therefore, patients receiving a large dose of a potent topical steroid applied to a large surface area or under an occlusive dressing should be evaluated periodically for evidence of HPA axis suppression by using the urinary free cortisol and ACTH stimulation tests. If HPA axis suppression is noted, an attempt should be made to withdraw the drug, to reduce the frequency of application, or to substitute a less potent steroid.



Recovery of HPA axis function is generally prompt and complete upon discontinuation of the drug. Infrequently, signs and symptoms of steroid withdrawal may occur, requiring supplemental systemic corticosteroids.



Children may absorb proportionally larger amounts of topical corticosteroids and thus be more susceptible to systemic toxicity ( see PRECAUTIONS—Pediatric Use ).



If irritation develops, topical corticosteroids should be discontinued and appropriate therapy instituted.



As with any topical corticosteroid product, prolonged use may produce atrophy of the skin and subcutaneous tissues. When used on intertriginous or flexor areas, or on the face, this may occur even with short-term use.

 

In the presence of dermatological infections, the use of an appropriate antifungal or antibacterial agent should be instituted. If a favorable response does not occur promptly, the corticosteroid should be discontinued until the infection has been adequately controlled.

Overdosage (OVERDOSAGE)


Topically applied corticosteroids can be absorbed in sufficient amounts to produce systemic effects (See PRECAUTIONS ).

Description (DESCRIPTION)


Fluocinolone Acetonide Topical Solution, 0.01% is intended for topical administration. The active component is the corticosteroid fluocinolone acetonide, which has the chemical name pregna-1, 4-diene-3, 20-dione, 6, 9-difluoro-11, 21-dihydroxy-16, 17-[(1-methylethylidene) bis (oxy)]-, (6α, 11β, 16α)-. It has the following chemical structure:





Fluocinolone Acetonide Topical Solution USP, 0.01% contains fluocinolone acetonide 0.1 mg/mL in a water-washable base of anhydrous citric acid and propylene glycol.

How Supplied (HOW SUPPLIED)

Fluocinolone Acetonide Topical Solution USP, 0.01% 60 mL Bottle with applicator tip - NDC 21922-003-01



STORAGE

Store at room temperature 15-25°C (59-77°F); avoid freezing and excessive heat above 40°C (104°F). Store in an upright position.



To report SUSPECTED ADVERSE REACTIONS, contact Encube Ethicals Private Limited at 1-833-285-4151 or FDA at 1-800-FDA-1088 or www.fda.gov/medwatch.

 

  



 

Manufactured by:

Encube Ethicals Pvt. Ltd.

Plot No. C1, Madkaim Ind. Estate,

Madkaim, Post Mardol, Ponda, Goa-403 404, India.



Distributed by:

Encube Ethicals, Inc.

200 Meredith Avenue,

Suite 101A

Durham, NC 27713

USA



Rev: 06

February 2022

Pediatric Use


Pediatric patients may demonstrate greater susceptibility to topical corticosteroid-induced hypothalmic-pituitary-adrenal (HPA) axis suppression and Cushing's syndrome than mature patients because of a larger skin surface area to bodyweight ratio.



Hypothalamic-pituitary-adrenal (HPA) axis suppression, Cushing's syndrome, and intracranial hypertension have been reported in children receiving topical corticosteroids. Manifestations of adrenal suppression in children include linear growth retardation, delayed weight gain, low plasma cortisol levels, and absence of response to ACTH stimulation. Manifestations of intracranial hypertension include bulging fontanelles, headaches, and bilateral papilledema.



Administration of topical corticosteroids to children should be limited to the least amount compatible with an effective therapeutic regimen. Chronic corticosteroid therapy may interfere with the growth and development of children.





Nursing Mothers


It is not known whether topical administration of corticosteroids could result in sufficient systemic absorption to produce detectable quantities in breast milk. Systemically administered corticosteroids are secreted into breast milk in quantities not likely to have a deleterious effect on the infant. Nevertheless, caution should be exercised when topical corticosteroids are administered to a nursing woman.

Laboratory Tests


The following tests may be helpful in evaluating the HPA axis suppression:



Urinary free cortisol test

ACTH stimulation test

Adverse Reactions (ADVERSE REACTIONS)


The following local adverse reactions are reported infrequently with topical corticosteroids, but may occur more frequently with the use of occlusive dressings. These reactions are listed in an approximate decreasing order of occurrence:





Burning

Perioral dermatitis

Itching

Allergic contact dermatitis

Irritation

Maceration of the skin

Dryness

Secondary infection

Folliculitis

Skin atrophy

Hypertrichosis

Striae

Acneiform eruptions

Miliaria

Hypopigmentation

 





Contraindications (CONTRAINDICATIONS)


Topical corticosteroids are contraindicated in those patients with a history of hypersensitivity to any of the components of the preparation.

Pregnancy Category C

 

Corticosteroids are generally teratogenic in laboratory animals when administered systemically at relatively low dosage levels. The more potent corticosteroids have been shown to be teratogenic after dermal application in laboratory animals. There are no adequate and well-controlled studies in pregnant women on teratogenic effects from topically applied corticosteroids. Therefore, topical corticosteroids should be used during pregnancy only if the potential benefit justifies the potential risk to the fetus. Drugs of this class should not be used extensively on pregnant patients, in large amounts, or for prolonged periods of time.

Clinical Pharmacology (CLINICAL PHARMACOLOGY)


Topical corticosteroids share anti-inflammatory, anti-pruritic and vasoconstrictive actions.



The mechanism of anti-inflammatory activity of the topical corticosteroids is unclear. Various laboratory methods, including vasoconstrictor assays, are used to compare and predict potencies and/or clinical efficacies of the topical corticosteroids. There is some evidence to suggest that a recognizable correlation exists between vasoconstrictor potency and therapeutic efficacy in man.



Pharmacokinetics



The extent of percutaneous absorption of topical corticosteroids is determined by many factors including the vehicle, the integrity of the epidermal barrier, and the use of occlusive dressings.





Topical corticosteroids can be absorbed from normal intact skin. Inflammation and/or other disease processes in the skin increase percutaneous absorption. Occlusive dressings substantially increase the percutaneous absorption of topical corticosteroids. Thus, occlusive dressings may be a valuable therapeutic adjunct for treatment of resistant dermatoses (see DOSAGE AND ADMINISTRATION).



Once absorbed through the skin, topical corticosteroids are handled through pharmacokinetic pathways similar to systemically administered corticosteroids. Corticosteroids are bound to plasma proteins in varying degrees. Corticosteroids are metabolized primarily in the liver and are then excreted by the kidneys. Some of the topical corticosteroids and their metabolites are also excreted into the bile.



Indications and Usage (INDICATIONS AND USAGE)


Fluocinolone Acetonide Topical Solution USP, 0.01% is indicated for the relief of the inflammatory and pruritic manifestations of corticosteroid-responsive dermatoses.

Information for Patients (Information For Patients)


Patients using topical corticosteroids should receive the following information and instructions:



  • This medication is to be used as directed by the physician. It is for external use only. Avoid contact with the eyes.
  • Patients should be advised not to use this medication for any disorder other than that for which it was prescribed.
  • The treated skin area should not be bandaged or otherwise covered or wrapped as to be occlusive unless directed by the physician.
  • Patients should report any signs of local adverse reactions, especially under occlusive dressing.
  • Parents of pediatric patients should be advised not to use tight-fitting diapers or plastic pants on a child being treated in the diaper area, as these garments may constitute occlusive dressings.
Dosage and Administration (DOSAGE AND ADMINISTRATION)


Fluocinolone Acetonide Topical Solution USP, 0.01% is generally applied to the affected area as a thin film from two to four times daily depending on the severity of the condition. In hairy sites, the hair should be parted to allow direct contact with the lesion.



Occlusive dressings may be used for the management of psoriasis or recalcitrant conditions.

If an infection develops, the use of occlusive dressings should be discontinued and appropriate antimicrobial therapy instituted.

Package Label.principal Display Panel (PACKAGE LABEL.PRINCIPAL DISPLAY PANEL)

FLUOCINOLONE ACETONIDE TOPICAL SOLUTION USP, 0.01%

NDC 21922-003-01

CARTON - 60mL







FLUOCINOLONE ACETONIDE TOPICAL SOLUTION USP, 0.01%

NDC 21922-003-01

BOTTLE - 60mL









Carcinogenesis, Mutagenesis and Impairment of Fertility


Long-term animal studies have not been performed to evaluate the carcinogenic potential or the effect on fertility of topical corticosteroids.

Studies to determine mutagenicity with prednisolone and hydrocortisone have revealed negative results.


Advanced Ingredient Data


Raw Label Data

All Sections (JSON)