heparin sodium injection usp

heparin sodium injection usp
SPL v2
SPL
SPL Set ID 3facd525-b9ad-46d0-b63e-f13a5f6d591d
Routes
intravenous subcutaneous
Published
Effective Date 2021-09-01
Document Type 34391-3 HUMAN PRESCRIPTION DRUG LABEL

Drug Facts

Composition & Product

Active Ingredients
heparin (5000 [USP'U])
Inactive Ingredients
sodium chloride methylparaben propylparaben hydrochloric acid sodium hydroxide

Identifiers & Packaging

Marketing Status
nda active Since 2020-03-02

Indications and Usage

Heparin Sodium Injection is indicated for: Anticoagulant therapy in prophylaxis and treatment of venous thrombosis and its extension; Low-dose regimen for prevention of postoperative deep venous thrombosis and pulmonary embolism in patients undergoing major abdominothoracic surgery or who, for other reasons, are at risk of developing thromboembolic disease (see DOSAGE AND ADMINISTRATION ); Prophylaxis and treatment of pulmonary embolism; Atrial fibrillation with embolization; Treatment of acute and chronic consumptive coagulopathies (disseminated intravascular coagulation); Prevention of clotting in arterial and cardiac surgery; Prophylaxis and treatment of peripheral arterial embolism. Heparin may also be employed as an anticoagulant in blood transfusions, extracorporeal circulation, and dialysis procedures.

Dosage and Administration

Parenteral drug products should be inspected visually for particulate matter and discoloration prior to administration, whenever solution and container permit. Confirm the choice of the correct Heparin Sodium Injection vial prior to administration of the drug to a patient (see WARNINGS, Fatal Medication Errors ).  The 1 mL vial must not be confused with a “catheter lock flush” vial or other 1 mL vial of inappropriate strength.  Confirm that you have selected the correct medication and strength prior to administration of the drug. When heparin is added to an infusion solution for continuous intravenous administration, the container should be inverted at least six times to ensure adequate mixing and prevent pooling of the heparin in the solution. Heparin sodium is not effective by oral administration and should be given by intermittent intravenous injection, intravenous infusion, or deep subcutaneous (intrafat, i.e., above the iliac crest or abdominal fat layer) injection.  The intramuscular route of administration should be avoided because of the frequent occurrence of hematoma at the injection site. The dosage of heparin sodium should be adjusted according to the patient’s coagulation test results.  When heparin is given by continuous intravenous infusion, the coagulation time should be determined approximately every four hours in the early stages of treatment.  When the drug is administered intermittently by intravenous injection, coagulation tests should be performed before each injection during the early stages of treatment and at appropriate intervals thereafter.  Dosage is considered adequate when the activated partial thromboplastin time (APTT) is 1.5 to 2 times normal or when the whole blood clotting time is elevated approximately 2.5 to 3 times the control value.  After deep subcutaneous (intrafat) injections, tests for adequacy of dosage are best performed on samples drawn four to six hours after the injection. Periodic platelet counts, hematocrits and tests for occult blood in stool are recommended during the entire course of heparin therapy, regardless of the route of administration.

Contraindications

Heparin sodium should NOT be used in patients with the following conditions: Severe thrombocytopenia; When suitable blood coagulation tests, e.g., the whole blood clotting time, partial thromboplastin time, etc., cannot be performed at appropriate intervals (this contraindication refers to full-dose heparin; there is usually no need to monitor coagulation parameters in patients receiving low-dose heparin); An uncontrollable active bleeding state (see WARNINGS ), except when this is due to disseminated intravascular coagulation.

Adverse Reactions

To report SUSPECTED ADVERSE REACTIONS, contact Fresenius Kabi USA, LLC at 1-800-551-7176 or FDA at 1-800-FDA-1088 or www.fda.gov/medwatch.

Drug Interactions

Oral Anticoagulants —Heparin sodium may prolong the one-stage prothrombin time.  Therefore, when heparin sodium is given with dicumarol or warfarin sodium, a period of at least five hours after the last intravenous dose or 24 hours after the last subcutaneous dose should elapse before blood is drawn, if a valid prothrombin time is to be obtained. Platelet Inhibitors —Drugs such as acetylsalicylic acid, dextran, phenylbutazone, ibuprofen, indomethacin, dipyridamole, hydroxychloroquine and others that interfere with platelet- aggregation reactions (the main hemostatic defense of heparinized patients) may induce bleeding and should be used with caution in patients receiving heparin sodium. Other Interactions —Digitalis, tetracyclines, nicotine or antihistamines may partially counteract the anticoagulant action of heparin sodium.  Intravenous nitroglycerin administered to heparinized patients may result in a decrease of the partial thromboplastin time with subsequent rebound effect upon discontinuation of nitroglycerin.  Careful monitoring of partial thromboplastin time and adjustment of heparin dosage are recommended during coadministration of heparin and intravenous nitroglycerin.

How Supplied

Heparin Sodium Injection, USP (porcine) contains parabens and is available as follows: Product Code Unit of Sale Strength Each PL926206 NDC 63323-262-36 Unit of 25 5,000 USP units per mL NDC 63323-262-11 1 mL fill in a 2 mL multiple dose, flip-top vial Use only if solution is clear and seal intact.  Do not use if solution is discolored or contains a precipitate. This container closure is not made from natural rubber latex.

Description

Rx only DERIVED FROM PORCINE INTESTINAL MUCOSA. Contains Parabens


Medication Information

Warnings

Heparin is not intended for intramuscular use.

Indications and Usage

Heparin Sodium Injection is indicated for:

Anticoagulant therapy in prophylaxis and treatment of venous thrombosis and its extension;

Low-dose regimen for prevention of postoperative deep venous thrombosis and pulmonary embolism in patients undergoing major abdominothoracic surgery or who, for other reasons, are at risk of developing thromboembolic disease (see DOSAGE AND ADMINISTRATION );

Prophylaxis and treatment of pulmonary embolism;

Atrial fibrillation with embolization;

Treatment of acute and chronic consumptive coagulopathies (disseminated intravascular coagulation);

Prevention of clotting in arterial and cardiac surgery;

Prophylaxis and treatment of peripheral arterial embolism.

Heparin may also be employed as an anticoagulant in blood transfusions, extracorporeal circulation, and dialysis procedures.

Dosage and Administration

Parenteral drug products should be inspected visually for particulate matter and discoloration prior to administration, whenever solution and container permit.

Confirm the choice of the correct Heparin Sodium Injection vial prior to administration of the drug to a patient (see WARNINGS, Fatal Medication Errors ).  The 1 mL vial must not be confused with a “catheter lock flush” vial or other 1 mL vial of inappropriate strength.  Confirm that you have selected the correct medication and strength prior to administration of the drug.

When heparin is added to an infusion solution for continuous intravenous administration, the container should be inverted at least six times to ensure adequate mixing and prevent pooling of the heparin in the solution.

Heparin sodium is not effective by oral administration and should be given by intermittent intravenous injection, intravenous infusion, or deep subcutaneous (intrafat, i.e., above the iliac crest or abdominal fat layer) injection.  The intramuscular route of administration should be avoided because of the frequent occurrence of hematoma at the injection site.

The dosage of heparin sodium should be adjusted according to the patient’s coagulation test results.  When heparin is given by continuous intravenous infusion, the coagulation time should be determined approximately every four hours in the early stages of treatment.  When the drug is administered intermittently by intravenous injection, coagulation tests should be performed before each injection during the early stages of treatment and at appropriate intervals thereafter.  Dosage is considered adequate when the activated partial thromboplastin time (APTT) is 1.5 to 2 times normal or when the whole blood clotting time is elevated approximately 2.5 to 3 times the control value.  After deep subcutaneous (intrafat) injections, tests for adequacy of dosage are best performed on samples drawn four to six hours after the injection.

Periodic platelet counts, hematocrits and tests for occult blood in stool are recommended during the entire course of heparin therapy, regardless of the route of administration.

Contraindications

Heparin sodium should NOT be used in patients with the following conditions:

Severe thrombocytopenia;

When suitable blood coagulation tests, e.g., the whole blood clotting time, partial thromboplastin time, etc., cannot be performed at appropriate intervals (this contraindication refers to full-dose heparin; there is usually no need to monitor coagulation parameters in patients receiving low-dose heparin);

An uncontrollable active bleeding state (see WARNINGS ), except when this is due to disseminated intravascular coagulation.

Adverse Reactions

To report SUSPECTED ADVERSE REACTIONS, contact Fresenius Kabi USA, LLC at 1-800-551-7176 or FDA at 1-800-FDA-1088 or www.fda.gov/medwatch.

Drug Interactions

Oral Anticoagulants —Heparin sodium may prolong the one-stage prothrombin time.  Therefore, when heparin sodium is given with dicumarol or warfarin sodium, a period of at least five hours after the last intravenous dose or 24 hours after the last subcutaneous dose should elapse before blood is drawn, if a valid prothrombin time is to be obtained.

Platelet Inhibitors —Drugs such as acetylsalicylic acid, dextran, phenylbutazone, ibuprofen, indomethacin, dipyridamole, hydroxychloroquine and others that interfere with platelet- aggregation reactions (the main hemostatic defense of heparinized patients) may induce bleeding and should be used with caution in patients receiving heparin sodium.

Other Interactions —Digitalis, tetracyclines, nicotine or antihistamines may partially counteract the anticoagulant action of heparin sodium.  Intravenous nitroglycerin administered to heparinized patients may result in a decrease of the partial thromboplastin time with subsequent rebound effect upon discontinuation of nitroglycerin.  Careful monitoring of partial thromboplastin time and adjustment of heparin dosage are recommended during coadministration of heparin and intravenous nitroglycerin.

How Supplied

Heparin Sodium Injection, USP (porcine) contains parabens and is available as follows:

Product Code Unit of Sale

Strength Each
PL926206 NDC 63323-262-36

Unit of 25

5,000 USP units per mL

NDC 63323-262-11

1 mL fill in a 2 mL multiple dose, flip-top vial

Use only if solution is clear and seal intact.  Do not use if solution is discolored or contains a precipitate.

This container closure is not made from natural rubber latex.

Description

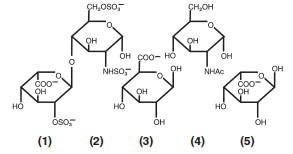
Heparin is a heterogeneous group of straight-chain anionic mucopolysaccharides, called glycosaminoglycans, having anticoagulant properties.  Although others may be present, the main sugars occurring in heparin are: (1) α-L-iduronic acid 2-sulfate, (2) 2-deoxy-2-sulfamino-α-D-glucose 6-sulfate, (3) ß-D-glucuronic acid, (4) 2-acetamido-2-deoxy-α-D-glucose and (5) α-L-iduronic acid.  These sugars are present in decreasing amounts, usually in the order (2)> (1)> (4)> (3)> (5), and are joined by glycosidic linkages, forming polymers of varying sizes.  Heparin is strongly acidic because of its content of covalently linked sulfate and carboxylic acid groups.  In heparin sodium, the acidic protons of the sulfate units are partially replaced by sodium ions.

Heparin Sodium Injection, USP is a sterile solution of heparin sodium derived from porcine intestinal mucosa, standardized for anticoagulant activity, in water for injection.  It is to be administered by intravenous or deep subcutaneous routes.  The potency is determined by a biological assay using a USP reference standard based on units of heparin activity per milligram.

Structure of Heparin Sodium (representative subunits):

Heparin Sodium Injection, USP (porcine), preserved with parabens, is available as follows :

Each mL of the 5,000 units per mL preparation contains: 5,000 USP Heparin units (porcine); 5 mg sodium chloride; 1.5 mg methylparaben; 0.15 mg propylparaben; Water for Injection q.s.  Hydrochloric acid and/or sodium hydroxide may have been added for pH adjustment (5.0 to 7.5).

Section 42229-5

Rx only

DERIVED FROM PORCINE INTESTINAL MUCOSA.

Contains Parabens

Section 51945-4

PACKAGE LABEL - PRINCIPAL DISPLAY PANEL - Heparin 1 mL Multiple Dose Vial Label

NOT FOR LOCK FLUSH  

NDC 63323-262-11        PL926206

Heparin Sodium Injection, USP

5,000 USP units per mL

For intravenous or subcutaneous use

1 mL

 

General

Thrombocytopenia, Heparin-induced Thrombocytopenia (HIT) and Heparin-induced Thrombocytopenia and Thrombosis (HITT)

See WARNINGS .

Heparin Resistance —Increased resistance to heparin is frequently encountered in fever, thrombosis, thrombophlebitis, infections with thrombosing tendencies, myocardial infarction, cancer and in postsurgical patients.

Increased Risk to Older Patients, Especially Women —A higher incidence of bleeding has been reported in patients, particularly women, over 60 years of age.

Storage

Store at 20° to 25°C (68° to 77°F) [see USP Controlled Room Temperature].

Symptoms

Bleeding is the chief sign of heparin overdosage.  Nosebleeds, blood in urine or tarry stools may be noted as the first sign of bleeding.  Easy bruising or petechial formations may precede frank bleeding.

Pregnancy

Pregnancy Category C

There are no adequate and well-controlled studies on heparin use in pregnant women.  In published reports, heparin exposure during pregnancy did not show evidence of an increased risk of adverse maternal or fetal outcomes in humans.  Heparin sodium does not cross the placenta, based on human and animal studies.  Administration of heparin to pregnant animals at doses higher than the maximum human daily dose based on body weight resulted in increased resorptions.  Use heparin sodium during pregnancy only if the potential benefit justifies the potential risk to the fetus.

If available, preservative-free Heparin Sodium Injection is recommended when heparin therapy is needed during pregnancy (see PRECAUTIONS, Pediatric Use ).

In a published study conducted in rats and rabbits, pregnant animals received heparin intravenously during organogenesis at a dose of 10,000 units/kg/day, approximately 10 times the maximum human daily dose based on body weight.  The number of early resorptions increased in both species.  There was no evidence of teratogenic effects.

Treatment

Neutralization of Heparin Effect —When clinical circumstances (bleeding) require reversal of heparinization, protamine sulfate (1% solution) by slow infusion will neutralize heparin sodium.  No more than 50 mg should be administered, very slowly , in any 10 minute period.  Each mg of protamine sulfate neutralizes approximately 100 USP heparin units.  The amount of protamine required decreases over time as heparin is metabolized.  Although the metabolism of heparin is complex, it may, for the purpose of choosing a protamine dose, be assumed to have a half-life of about 1/2 hour after intravenous injection.

Administration of protamine sulfate can cause severe hypotensive and anaphylactoid reactions.  Because fatal reactions often resembling anaphylaxis have been reported, the drug should be given only when resuscitation techniques and treatment of anaphylactoid shock are readily available.

For additional information consult the labeling of Protamine Sulfate Injection, USP products.

Hemorrhage

Hemorrhage can occur at virtually any site in patients receiving heparin.  An unexplained fall in hematocrit, fall in blood pressure or any other unexplained symptom should lead to serious consideration of a hemorrhagic event.

Heparin sodium should be used with extreme caution in disease states in which there is increased danger of hemorrhage.  Some of the conditions in which increased danger of hemorrhage exists are:

Cardiovascular —Subacute bacterial endocarditis, severe hypertension.

Surgical —During and immediately following (a) spinal tap or spinal anesthesia or (b) major surgery, especially involving the brain, spinal cord, or eye.

Hematologic —Conditions associated with increased bleeding tendencies, such as hemophilia, thrombocytopenia and some vascular purpuras.

Gastrointestinal —Ulcerative lesions and continuous tube drainage of the stomach or small intestine.

Other —Menstruation, liver disease with impaired hemostasis.

References
  • Tahata T, Shigehito M, Kusuhara K, Ueda Y, et al. Delayed-Onset of Heparin Induced Thrombocytopenia – A Case Report – J Jpn Assn Torca Surg . 1992;40(3):110-111.
  • Warkentin T, Kelton J. Delayed-Onset Heparin-Induced Thrombocytopenia and Thrombosis.  Annals of Internal Medicine . 2001;135:502-506.
  • Rice L, Attisha W, Drexler A, Francis J. Delayed-Onset Heparin Induced Thrombocytopenia.  Annals of Internal Medicine , 2002;136:210-215.
  • Dieck J., C. Rizo-Patron, et al. (1990). “A New Manifestation and Treatment Alternative for Heparin-Induced Thrombosis.” Chest 98(1524-26).
  • Smythe M, Stephens J, Mattson. Delayed-Onset Heparin Induced Thrombocytopenia.  Annals of Emergency Medicine , 2005;45(4):417-419.
  • Divgi A. (Reprint), Thumma S., Hari P., Friedman K. Delayed Onset Heparin-Induced Thrombocytopenia (HIT) Presenting After Undocumented Drug Exposure as Post-Angiography Pulmonary Embolism. Blood . 2003;102(11):127b.
Geriatric Use

A higher incidence of bleeding has been reported in patients over 60 years of age, especially women (see PRECAUTIONS, General ).  Clinical studies indicate that lower doses of heparin may be indicated in these patients (see CLINICAL PHARMACOLOGY and DOSAGE AND ADMINISTRATION ).

Miscellaneous

Osteoporosis following long-term administration of high doses of heparin, cutaneous necrosis after systemic administration, suppression of aldosterone synthesis, delayed transient alopecia, priapism, and rebound hyperlipemia on discontinuation of heparin sodium have also been reported.

Significant elevations of aminotransferase (SGOT [S-AST] and SGPT [S-ALT]) levels have occurred in a high percentage of patients (and healthy subjects) who have received heparin.

Pediatric Use

There are no adequate and well-controlled studies on heparin use in pediatric patients.  Pediatric dosing recommendations are based on clinical experience (see DOSAGE AND ADMINISTRATION, Pediatric Use ).

Carefully examine all Heparin Sodium Injection vials to confirm choice of the correct strength prior to administration of the drug.  Pediatric patients, including neonates, have died as a result of medication errors in which HEPARIN SODIUM INJECTION vials have been confused with “catheter lock flush” vials (see WARNINGS, Fatal Medication Errors ).

Nursing Mothers

If available, preservative-free HEPARIN SODIUM INJECTION is recommended when heparin therapy is needed during lactation.  Due to its large molecular weight, heparin is not likely to be excreted in human milk, and any heparin in milk would not be orally absorbed by a nursing infant.  Exercise caution when administering HEPARIN SODIUM INJECTION to a nursing mother (see PRECAUTIONS, Pediatric Use ).

Hypersensitivity

Patients with documented hypersensitivity to heparin should be given the drug only in clearly life-threatening situations (see ADVERSE REACTIONS, Hypersensitivity ).

Laboratory Tests

Periodic platelet counts, hematocrits, and tests for occult blood in stool are recommended during the entire course of heparin therapy, regardless of the route of administration (see DOSAGE AND ADMINISTRATION ).

Local Irritation

Local irritation, erythema, mild pain, hematoma or ulceration may follow deep subcutaneous (intrafat) injection of heparin sodium.  These complications are much more common after intramuscular use, and such use is not recommended.

Thrombocytopenia

Thrombocytopenia has been reported to occur in patients receiving heparin with a reported incidence of up to 30%.  Platelet counts should be obtained at baseline and periodically during heparin administration.  Mild thrombocytopenia (count greater than 100,000/mm3) may remain stable or reverse even if heparin is continued.  However, thrombocytopenia of any degree should be monitored closely.  If the count falls below 100,000/mm3 or if recurrent thrombosis develops (see Heparin-induced Thrombocytopenia and Heparin-induced Thrombocytopenia and Thrombosis ), the heparin product should be discontinued, and, if necessary, an alternative anticoagulant administered.

Blood Transfusion

Addition of 400 to 600 USP units per 100 mL of whole blood is usually employed to prevent coagulation.  Usually, 7,500 USP units of heparin sodium are added to 100 mL of 0.9% Sodium Chloride Injection, USP (or 75,000 USP units/1,000 mL of 0.9% Sodium Chloride Injection, USP) and mixed; from this sterile solution, 6 to 8 mL are added per 100 mL of whole blood.

Laboratory Samples

Addition of 70 to 150 units of heparin sodium per 10 to 20 mL sample of whole blood is usually employed to prevent coagulation of the sample.  Leukocyte counts should be performed on heparinized blood within two hours after addition of the heparin.  Heparinized blood should not be used for isoagglutinin, complement, or erythrocyte fragility tests or platelet counts.

Coagulation Testing

When heparin sodium is administered in therapeutic amounts, its dosage should be regulated by frequent blood coagulation tests.  If the coagulation test is unduly prolonged or if hemorrhage occurs, heparin sodium should be promptly discontinued (see OVERDOSAGE ).

Clinical Pharmacology

Heparin inhibits reactions that lead to the clotting of blood and the formation of fibrin clots both in vitro and in vivo .  Heparin acts at multiple sites in the normal coagulation system.  Small amounts of heparin in combination with antithrombin III (heparin cofactor) can inhibit thrombosis by inactivating activated Factor X and inhibiting the conversion of prothrombin to thrombin.  Once active thrombosis has developed, larger amounts of heparin can inhibit further coagulation by inactivating thrombin and preventing the conversion of fibrinogen to fibrin.  Heparin also prevents the formation of a stable fibrin clot by inhibiting the activation of the fibrin stabilizing factor.

Bleeding time is usually unaffected by heparin.  Clotting time is prolonged by full therapeutic doses of heparin; in most cases, it is not measurably affected by low doses of heparin.

Patients over 60 years of age, following similar doses of heparin, may have higher plasma levels of heparin and longer activated partial thromboplastin times (APTTs) compared with patients under 60 years of age.

Peak plasma levels of heparin are achieved two to four hours following subcutaneous administration, although there are considerable individual variations.  Loglinear plots of heparin plasma concentrations with time, for a wide range of dose levels, are linear, which suggests the absence of zero order processes.  Liver and the reticuloendothelial system are the sites of biotransformation.  The biphasic elimination curve, a rapidly declining alpha phase (t1⁄2 = 10 minutes) and after the age of 40 a slower beta phase, indicates uptake in organs.  The absence of a relationship between anticoagulant half-life and concentration half-life may reflect factors such as protein binding of heparin.

Heparin does not have fibrinolytic activity; therefore, it will not lyse existing clots.

Extracorporeal Dialysis

Follow equipment manufacturers’ operating directions carefully.

Fatal Medication Errors

Do not use Heparin Sodium Injection as a “catheter lock flush” product.  Heparin Sodium Injection is supplied in vials containing various strengths of heparin, including vials that contain a highly concentrated solution of 10,000 units in 1 mL.  Fatal hemorrhages have occurred in pediatric patients due to medication errors in which 1 mL Heparin Sodium Injection vials were confused with 1 mL “catheter lock flush” vials.  Carefully examine all Heparin Sodium Injection vials to confirm the correct vial choice prior to administration of the drug.

Delayed Onset of Hit and Hitt

Heparin-induced Thrombocytopenia and Heparin-induced Thrombocytopenia and Thrombosis can occur up to several weeks after the discontinuation of heparin therapy.  Patients presenting with thrombocytopenia or thrombosis after discontinuation of heparin should be evaluated for HIT and HITT.

Converting to Oral Anticoagulant

When an oral anticoagulant of the coumarin or similar type is to be begun in patients already receiving heparin sodium, baseline and subsequent tests of prothrombin activity must be determined at a time when heparin activity is too low to affect the prothrombin time.  This is about five hours after the last IV bolus and 24 hours after the last subcutaneous dose.  If continuous IV heparin infusion is used, prothrombin time can usually be measured at any time.

In converting from heparin to an oral anticoagulant, the dose of the oral anticoagulant should be the usual initial amount and thereafter prothrombin time should be determined at the usual intervals.  To ensure continuous anticoagulation, it is advisable to continue full heparin therapy for several days after the prothrombin time has reached the therapeutic range.  Heparin therapy may then be discontinued without tapering.

Drug/laboratory Tests Interactions

Hyperaminotransferasemia —Significant elevations of aminotransferase (SGOT [S-AST] and SGPT [S-ALT]) levels have occurred in a high percentage of patients (and healthy subjects) who have received heparin.  Since aminotransferase determinations are important in the differential diagnosis of myocardial infarction, liver disease and pulmonary emboli, increases that might be caused by drugs (like heparin) should be interpreted with caution.

Surgery of the Heart and Blood Vessels

Patients undergoing total body perfusion for open-heart surgery should receive an initial dose of not less than 150 units of heparin sodium per kilogram of body weight.  Frequently, a dose of 300 units of heparin sodium per kilogram of body weight is used for procedures estimated to last less than 60 minutes, or 400 units per kilogram for those estimated to last longer than 60 minutes.

Carcinogenesis, Mutagenesis, Impairment of Fertility

No long-term studies in animals have been performed to evaluate carcinogenic potential of heparin.  Also, no reproduction studies in animals have been performed concerning mutagenesis or impairment of fertility.

Low Dose Prophylaxis of Postoperative Thromboembolism

A number of well-controlled clinical trials have demonstrated that low-dose heparin prophylaxis, given just prior to and after surgery, will reduce the incidence of postoperative deep vein thrombosis in the legs (as measured by the I-125 fibrinogen technique and venography) and of clinical pulmonary embolism.  The most widely used dosage has been 5,000 units 2 hours before surgery and 5,000 units every 8 to 12 hours thereafter for seven days or until the patient is fully ambulatory, whichever is longer.  The heparin is given by deep subcutaneous injection in the arm or abdomen with a fine needle (25 to 26 gauge) to minimize tissue trauma.  A concentrated solution of heparin sodium is recommended.  Such prophylaxis should be reserved for patients over the age of 40 who are undergoing major surgery.  Patients with bleeding disorders and those having neurosurgery, spinal anesthesia, eye surgery or potentially sanguineous operations should be excluded, as well as patients receiving oral anticoagulants or platelet-active drugs (see WARNINGS ).  The value of such prophylaxis in hip surgery has not been established.  The possibility of increased bleeding during surgery or postoperatively should be borne in mind.  If such bleeding occurs, discontinuance of heparin and neutralization with protamine sulfate are advisable.  If clinical evidence of thromboembolism develops despite low-dose prophylaxis, full therapeutic doses of anticoagulants should be given unless contraindicated.  All patients should be screened prior to heparinization to rule out bleeding disorders, and monitoring should be performed with appropriate coagulation tests just prior to surgery.  Coagulation test values should be normal or only slightly elevated.  There is usually no need for daily monitoring of the effect of low-dose heparin in patients with normal coagulation parameters.

Therapeutic Anticoagulant Effect With Full Dose Heparin

Although dosage must be adjusted for the individual patient according to the results of suitable laboratory tests, the following dosage schedules may be used as guidelines:





METHOD OF ADMINISTRATION



FREQUENCY

RECOMMENDED

DOSE (based on

150 lb [68 kg] patient)

Deep Subcutaneous (Intrafat) Injection



 



 

 

 

A different site should be used for each injection to prevent the development of massive hematoma

Initial Dose

 

 

 

 

 

 

 

5,000 units by IV injection, followed by 10,000 to 20,000 units of a concentrated solution, subcutaneously

Every 8 hours

8,000 to 10,000 units of a concentrated solution

 or

Every 12 hours

15,000 to 20,000 units of a concentrated solution

Intermittent Intravenous Injection

 

 

 

 

 



Initial Dose

 

 

10,000 units, either undiluted or in 50 to 100 mL of 0.9% Sodium Chloride Injection, USP

Every 4

to 6 hours

5,000 to 10,000 units, either undiluted or in 50 to 100 mL of 0.9% Sodium Chloride Injection, USP

Intravenous Infusion

 Initial Dose

5,000 units by IV injection

 Continuous

20,000 to 40,000 units/24 hours in 1,000 mL of 0.9% Sodium Chloride Injection, USP (or in any compatible solution) for infusion



Heparin Induced Thrombocytopenia (hit) and Heparin Induced Thrombocytopenia and Thrombosis (hitt)

Heparin-induced Thrombocytopenia (HIT) is a serious antibody-mediated reaction resulting from irreversible aggregation of platelets.  HIT may progress to the development of venous and arterial thromboses, a condition referred to as Heparin-induced Thrombocytopenia and Thrombosis (HITT).  Thrombotic events may also be the initial presentation for HITT.  These serious thromboembolic events include deep vein thrombosis, pulmonary embolism, cerebral vein thrombosis, limb ischemia, stroke, myocardial infarction, mesenteric thrombosis, renal arterial thrombosis, skin necrosis, gangrene of the extremities that may lead to amputation, and possibly death.  Thrombocytopenia of any degree should be monitored closely.  If the platelet count falls below 100,000/mm3 or if recurrent thrombosis develops, the heparin product should be promptly discontinued and alternative anticoagulants considered, if patients require continued anticoagulation.

Thrombocytopenia, Heparin Induced Thrombocytopenia (hit) and Heparin Induced Thrombocytopenia and Thrombosis (hitt) and Delayed Onset of Hit and Hitt

See WARNINGS .


Structured Label Content

Warnings (WARNINGS)

Heparin is not intended for intramuscular use.

Indications and Usage (INDICATIONS AND USAGE)

Heparin Sodium Injection is indicated for:

Anticoagulant therapy in prophylaxis and treatment of venous thrombosis and its extension;

Low-dose regimen for prevention of postoperative deep venous thrombosis and pulmonary embolism in patients undergoing major abdominothoracic surgery or who, for other reasons, are at risk of developing thromboembolic disease (see DOSAGE AND ADMINISTRATION );

Prophylaxis and treatment of pulmonary embolism;

Atrial fibrillation with embolization;

Treatment of acute and chronic consumptive coagulopathies (disseminated intravascular coagulation);

Prevention of clotting in arterial and cardiac surgery;

Prophylaxis and treatment of peripheral arterial embolism.

Heparin may also be employed as an anticoagulant in blood transfusions, extracorporeal circulation, and dialysis procedures.

Dosage and Administration (DOSAGE AND ADMINISTRATION)

Parenteral drug products should be inspected visually for particulate matter and discoloration prior to administration, whenever solution and container permit.

Confirm the choice of the correct Heparin Sodium Injection vial prior to administration of the drug to a patient (see WARNINGS, Fatal Medication Errors ).  The 1 mL vial must not be confused with a “catheter lock flush” vial or other 1 mL vial of inappropriate strength.  Confirm that you have selected the correct medication and strength prior to administration of the drug.

When heparin is added to an infusion solution for continuous intravenous administration, the container should be inverted at least six times to ensure adequate mixing and prevent pooling of the heparin in the solution.

Heparin sodium is not effective by oral administration and should be given by intermittent intravenous injection, intravenous infusion, or deep subcutaneous (intrafat, i.e., above the iliac crest or abdominal fat layer) injection.  The intramuscular route of administration should be avoided because of the frequent occurrence of hematoma at the injection site.

The dosage of heparin sodium should be adjusted according to the patient’s coagulation test results.  When heparin is given by continuous intravenous infusion, the coagulation time should be determined approximately every four hours in the early stages of treatment.  When the drug is administered intermittently by intravenous injection, coagulation tests should be performed before each injection during the early stages of treatment and at appropriate intervals thereafter.  Dosage is considered adequate when the activated partial thromboplastin time (APTT) is 1.5 to 2 times normal or when the whole blood clotting time is elevated approximately 2.5 to 3 times the control value.  After deep subcutaneous (intrafat) injections, tests for adequacy of dosage are best performed on samples drawn four to six hours after the injection.

Periodic platelet counts, hematocrits and tests for occult blood in stool are recommended during the entire course of heparin therapy, regardless of the route of administration.

Contraindications (CONTRAINDICATIONS)

Heparin sodium should NOT be used in patients with the following conditions:

Severe thrombocytopenia;

When suitable blood coagulation tests, e.g., the whole blood clotting time, partial thromboplastin time, etc., cannot be performed at appropriate intervals (this contraindication refers to full-dose heparin; there is usually no need to monitor coagulation parameters in patients receiving low-dose heparin);

An uncontrollable active bleeding state (see WARNINGS ), except when this is due to disseminated intravascular coagulation.

Adverse Reactions (ADVERSE REACTIONS)

To report SUSPECTED ADVERSE REACTIONS, contact Fresenius Kabi USA, LLC at 1-800-551-7176 or FDA at 1-800-FDA-1088 or www.fda.gov/medwatch.

Drug Interactions

Oral Anticoagulants —Heparin sodium may prolong the one-stage prothrombin time.  Therefore, when heparin sodium is given with dicumarol or warfarin sodium, a period of at least five hours after the last intravenous dose or 24 hours after the last subcutaneous dose should elapse before blood is drawn, if a valid prothrombin time is to be obtained.

Platelet Inhibitors —Drugs such as acetylsalicylic acid, dextran, phenylbutazone, ibuprofen, indomethacin, dipyridamole, hydroxychloroquine and others that interfere with platelet- aggregation reactions (the main hemostatic defense of heparinized patients) may induce bleeding and should be used with caution in patients receiving heparin sodium.

Other Interactions —Digitalis, tetracyclines, nicotine or antihistamines may partially counteract the anticoagulant action of heparin sodium.  Intravenous nitroglycerin administered to heparinized patients may result in a decrease of the partial thromboplastin time with subsequent rebound effect upon discontinuation of nitroglycerin.  Careful monitoring of partial thromboplastin time and adjustment of heparin dosage are recommended during coadministration of heparin and intravenous nitroglycerin.

How Supplied (HOW SUPPLIED)

Heparin Sodium Injection, USP (porcine) contains parabens and is available as follows:

Product Code Unit of Sale

Strength Each
PL926206 NDC 63323-262-36

Unit of 25

5,000 USP units per mL

NDC 63323-262-11

1 mL fill in a 2 mL multiple dose, flip-top vial

Use only if solution is clear and seal intact.  Do not use if solution is discolored or contains a precipitate.

This container closure is not made from natural rubber latex.

Description (DESCRIPTION)

Heparin is a heterogeneous group of straight-chain anionic mucopolysaccharides, called glycosaminoglycans, having anticoagulant properties.  Although others may be present, the main sugars occurring in heparin are: (1) α-L-iduronic acid 2-sulfate, (2) 2-deoxy-2-sulfamino-α-D-glucose 6-sulfate, (3) ß-D-glucuronic acid, (4) 2-acetamido-2-deoxy-α-D-glucose and (5) α-L-iduronic acid.  These sugars are present in decreasing amounts, usually in the order (2)> (1)> (4)> (3)> (5), and are joined by glycosidic linkages, forming polymers of varying sizes.  Heparin is strongly acidic because of its content of covalently linked sulfate and carboxylic acid groups.  In heparin sodium, the acidic protons of the sulfate units are partially replaced by sodium ions.

Heparin Sodium Injection, USP is a sterile solution of heparin sodium derived from porcine intestinal mucosa, standardized for anticoagulant activity, in water for injection.  It is to be administered by intravenous or deep subcutaneous routes.  The potency is determined by a biological assay using a USP reference standard based on units of heparin activity per milligram.

Structure of Heparin Sodium (representative subunits):

Heparin Sodium Injection, USP (porcine), preserved with parabens, is available as follows :

Each mL of the 5,000 units per mL preparation contains: 5,000 USP Heparin units (porcine); 5 mg sodium chloride; 1.5 mg methylparaben; 0.15 mg propylparaben; Water for Injection q.s.  Hydrochloric acid and/or sodium hydroxide may have been added for pH adjustment (5.0 to 7.5).

Section 42229-5 (42229-5)

Rx only

DERIVED FROM PORCINE INTESTINAL MUCOSA.

Contains Parabens

Section 51945-4 (51945-4)

PACKAGE LABEL - PRINCIPAL DISPLAY PANEL - Heparin 1 mL Multiple Dose Vial Label

NOT FOR LOCK FLUSH  

NDC 63323-262-11        PL926206

Heparin Sodium Injection, USP

5,000 USP units per mL

For intravenous or subcutaneous use

1 mL

 

General

Thrombocytopenia, Heparin-induced Thrombocytopenia (HIT) and Heparin-induced Thrombocytopenia and Thrombosis (HITT)

See WARNINGS .

Heparin Resistance —Increased resistance to heparin is frequently encountered in fever, thrombosis, thrombophlebitis, infections with thrombosing tendencies, myocardial infarction, cancer and in postsurgical patients.

Increased Risk to Older Patients, Especially Women —A higher incidence of bleeding has been reported in patients, particularly women, over 60 years of age.

Storage (STORAGE)

Store at 20° to 25°C (68° to 77°F) [see USP Controlled Room Temperature].

Symptoms

Bleeding is the chief sign of heparin overdosage.  Nosebleeds, blood in urine or tarry stools may be noted as the first sign of bleeding.  Easy bruising or petechial formations may precede frank bleeding.

Pregnancy

Pregnancy Category C

There are no adequate and well-controlled studies on heparin use in pregnant women.  In published reports, heparin exposure during pregnancy did not show evidence of an increased risk of adverse maternal or fetal outcomes in humans.  Heparin sodium does not cross the placenta, based on human and animal studies.  Administration of heparin to pregnant animals at doses higher than the maximum human daily dose based on body weight resulted in increased resorptions.  Use heparin sodium during pregnancy only if the potential benefit justifies the potential risk to the fetus.

If available, preservative-free Heparin Sodium Injection is recommended when heparin therapy is needed during pregnancy (see PRECAUTIONS, Pediatric Use ).

In a published study conducted in rats and rabbits, pregnant animals received heparin intravenously during organogenesis at a dose of 10,000 units/kg/day, approximately 10 times the maximum human daily dose based on body weight.  The number of early resorptions increased in both species.  There was no evidence of teratogenic effects.

Treatment

Neutralization of Heparin Effect —When clinical circumstances (bleeding) require reversal of heparinization, protamine sulfate (1% solution) by slow infusion will neutralize heparin sodium.  No more than 50 mg should be administered, very slowly , in any 10 minute period.  Each mg of protamine sulfate neutralizes approximately 100 USP heparin units.  The amount of protamine required decreases over time as heparin is metabolized.  Although the metabolism of heparin is complex, it may, for the purpose of choosing a protamine dose, be assumed to have a half-life of about 1/2 hour after intravenous injection.

Administration of protamine sulfate can cause severe hypotensive and anaphylactoid reactions.  Because fatal reactions often resembling anaphylaxis have been reported, the drug should be given only when resuscitation techniques and treatment of anaphylactoid shock are readily available.

For additional information consult the labeling of Protamine Sulfate Injection, USP products.

Hemorrhage

Hemorrhage can occur at virtually any site in patients receiving heparin.  An unexplained fall in hematocrit, fall in blood pressure or any other unexplained symptom should lead to serious consideration of a hemorrhagic event.

Heparin sodium should be used with extreme caution in disease states in which there is increased danger of hemorrhage.  Some of the conditions in which increased danger of hemorrhage exists are:

Cardiovascular —Subacute bacterial endocarditis, severe hypertension.

Surgical —During and immediately following (a) spinal tap or spinal anesthesia or (b) major surgery, especially involving the brain, spinal cord, or eye.

Hematologic —Conditions associated with increased bleeding tendencies, such as hemophilia, thrombocytopenia and some vascular purpuras.

Gastrointestinal —Ulcerative lesions and continuous tube drainage of the stomach or small intestine.

Other —Menstruation, liver disease with impaired hemostasis.

References (REFERENCES)
  • Tahata T, Shigehito M, Kusuhara K, Ueda Y, et al. Delayed-Onset of Heparin Induced Thrombocytopenia – A Case Report – J Jpn Assn Torca Surg . 1992;40(3):110-111.
  • Warkentin T, Kelton J. Delayed-Onset Heparin-Induced Thrombocytopenia and Thrombosis.  Annals of Internal Medicine . 2001;135:502-506.
  • Rice L, Attisha W, Drexler A, Francis J. Delayed-Onset Heparin Induced Thrombocytopenia.  Annals of Internal Medicine , 2002;136:210-215.
  • Dieck J., C. Rizo-Patron, et al. (1990). “A New Manifestation and Treatment Alternative for Heparin-Induced Thrombosis.” Chest 98(1524-26).
  • Smythe M, Stephens J, Mattson. Delayed-Onset Heparin Induced Thrombocytopenia.  Annals of Emergency Medicine , 2005;45(4):417-419.
  • Divgi A. (Reprint), Thumma S., Hari P., Friedman K. Delayed Onset Heparin-Induced Thrombocytopenia (HIT) Presenting After Undocumented Drug Exposure as Post-Angiography Pulmonary Embolism. Blood . 2003;102(11):127b.
Geriatric Use

A higher incidence of bleeding has been reported in patients over 60 years of age, especially women (see PRECAUTIONS, General ).  Clinical studies indicate that lower doses of heparin may be indicated in these patients (see CLINICAL PHARMACOLOGY and DOSAGE AND ADMINISTRATION ).

Miscellaneous

Osteoporosis following long-term administration of high doses of heparin, cutaneous necrosis after systemic administration, suppression of aldosterone synthesis, delayed transient alopecia, priapism, and rebound hyperlipemia on discontinuation of heparin sodium have also been reported.

Significant elevations of aminotransferase (SGOT [S-AST] and SGPT [S-ALT]) levels have occurred in a high percentage of patients (and healthy subjects) who have received heparin.

Pediatric Use

There are no adequate and well-controlled studies on heparin use in pediatric patients.  Pediatric dosing recommendations are based on clinical experience (see DOSAGE AND ADMINISTRATION, Pediatric Use ).

Carefully examine all Heparin Sodium Injection vials to confirm choice of the correct strength prior to administration of the drug.  Pediatric patients, including neonates, have died as a result of medication errors in which HEPARIN SODIUM INJECTION vials have been confused with “catheter lock flush” vials (see WARNINGS, Fatal Medication Errors ).

Nursing Mothers

If available, preservative-free HEPARIN SODIUM INJECTION is recommended when heparin therapy is needed during lactation.  Due to its large molecular weight, heparin is not likely to be excreted in human milk, and any heparin in milk would not be orally absorbed by a nursing infant.  Exercise caution when administering HEPARIN SODIUM INJECTION to a nursing mother (see PRECAUTIONS, Pediatric Use ).

Hypersensitivity

Patients with documented hypersensitivity to heparin should be given the drug only in clearly life-threatening situations (see ADVERSE REACTIONS, Hypersensitivity ).

Laboratory Tests

Periodic platelet counts, hematocrits, and tests for occult blood in stool are recommended during the entire course of heparin therapy, regardless of the route of administration (see DOSAGE AND ADMINISTRATION ).

Local Irritation

Local irritation, erythema, mild pain, hematoma or ulceration may follow deep subcutaneous (intrafat) injection of heparin sodium.  These complications are much more common after intramuscular use, and such use is not recommended.

Thrombocytopenia

Thrombocytopenia has been reported to occur in patients receiving heparin with a reported incidence of up to 30%.  Platelet counts should be obtained at baseline and periodically during heparin administration.  Mild thrombocytopenia (count greater than 100,000/mm3) may remain stable or reverse even if heparin is continued.  However, thrombocytopenia of any degree should be monitored closely.  If the count falls below 100,000/mm3 or if recurrent thrombosis develops (see Heparin-induced Thrombocytopenia and Heparin-induced Thrombocytopenia and Thrombosis ), the heparin product should be discontinued, and, if necessary, an alternative anticoagulant administered.

Blood Transfusion

Addition of 400 to 600 USP units per 100 mL of whole blood is usually employed to prevent coagulation.  Usually, 7,500 USP units of heparin sodium are added to 100 mL of 0.9% Sodium Chloride Injection, USP (or 75,000 USP units/1,000 mL of 0.9% Sodium Chloride Injection, USP) and mixed; from this sterile solution, 6 to 8 mL are added per 100 mL of whole blood.

Laboratory Samples

Addition of 70 to 150 units of heparin sodium per 10 to 20 mL sample of whole blood is usually employed to prevent coagulation of the sample.  Leukocyte counts should be performed on heparinized blood within two hours after addition of the heparin.  Heparinized blood should not be used for isoagglutinin, complement, or erythrocyte fragility tests or platelet counts.

Coagulation Testing

When heparin sodium is administered in therapeutic amounts, its dosage should be regulated by frequent blood coagulation tests.  If the coagulation test is unduly prolonged or if hemorrhage occurs, heparin sodium should be promptly discontinued (see OVERDOSAGE ).

Clinical Pharmacology (CLINICAL PHARMACOLOGY)

Heparin inhibits reactions that lead to the clotting of blood and the formation of fibrin clots both in vitro and in vivo .  Heparin acts at multiple sites in the normal coagulation system.  Small amounts of heparin in combination with antithrombin III (heparin cofactor) can inhibit thrombosis by inactivating activated Factor X and inhibiting the conversion of prothrombin to thrombin.  Once active thrombosis has developed, larger amounts of heparin can inhibit further coagulation by inactivating thrombin and preventing the conversion of fibrinogen to fibrin.  Heparin also prevents the formation of a stable fibrin clot by inhibiting the activation of the fibrin stabilizing factor.

Bleeding time is usually unaffected by heparin.  Clotting time is prolonged by full therapeutic doses of heparin; in most cases, it is not measurably affected by low doses of heparin.

Patients over 60 years of age, following similar doses of heparin, may have higher plasma levels of heparin and longer activated partial thromboplastin times (APTTs) compared with patients under 60 years of age.

Peak plasma levels of heparin are achieved two to four hours following subcutaneous administration, although there are considerable individual variations.  Loglinear plots of heparin plasma concentrations with time, for a wide range of dose levels, are linear, which suggests the absence of zero order processes.  Liver and the reticuloendothelial system are the sites of biotransformation.  The biphasic elimination curve, a rapidly declining alpha phase (t1⁄2 = 10 minutes) and after the age of 40 a slower beta phase, indicates uptake in organs.  The absence of a relationship between anticoagulant half-life and concentration half-life may reflect factors such as protein binding of heparin.

Heparin does not have fibrinolytic activity; therefore, it will not lyse existing clots.

Extracorporeal Dialysis

Follow equipment manufacturers’ operating directions carefully.

Fatal Medication Errors

Do not use Heparin Sodium Injection as a “catheter lock flush” product.  Heparin Sodium Injection is supplied in vials containing various strengths of heparin, including vials that contain a highly concentrated solution of 10,000 units in 1 mL.  Fatal hemorrhages have occurred in pediatric patients due to medication errors in which 1 mL Heparin Sodium Injection vials were confused with 1 mL “catheter lock flush” vials.  Carefully examine all Heparin Sodium Injection vials to confirm the correct vial choice prior to administration of the drug.

Delayed Onset of Hit and Hitt (Delayed Onset of HIT and HITT)

Heparin-induced Thrombocytopenia and Heparin-induced Thrombocytopenia and Thrombosis can occur up to several weeks after the discontinuation of heparin therapy.  Patients presenting with thrombocytopenia or thrombosis after discontinuation of heparin should be evaluated for HIT and HITT.

Converting to Oral Anticoagulant

When an oral anticoagulant of the coumarin or similar type is to be begun in patients already receiving heparin sodium, baseline and subsequent tests of prothrombin activity must be determined at a time when heparin activity is too low to affect the prothrombin time.  This is about five hours after the last IV bolus and 24 hours after the last subcutaneous dose.  If continuous IV heparin infusion is used, prothrombin time can usually be measured at any time.

In converting from heparin to an oral anticoagulant, the dose of the oral anticoagulant should be the usual initial amount and thereafter prothrombin time should be determined at the usual intervals.  To ensure continuous anticoagulation, it is advisable to continue full heparin therapy for several days after the prothrombin time has reached the therapeutic range.  Heparin therapy may then be discontinued without tapering.

Drug/laboratory Tests Interactions (Drug/Laboratory Tests Interactions)

Hyperaminotransferasemia —Significant elevations of aminotransferase (SGOT [S-AST] and SGPT [S-ALT]) levels have occurred in a high percentage of patients (and healthy subjects) who have received heparin.  Since aminotransferase determinations are important in the differential diagnosis of myocardial infarction, liver disease and pulmonary emboli, increases that might be caused by drugs (like heparin) should be interpreted with caution.

Surgery of the Heart and Blood Vessels

Patients undergoing total body perfusion for open-heart surgery should receive an initial dose of not less than 150 units of heparin sodium per kilogram of body weight.  Frequently, a dose of 300 units of heparin sodium per kilogram of body weight is used for procedures estimated to last less than 60 minutes, or 400 units per kilogram for those estimated to last longer than 60 minutes.

Carcinogenesis, Mutagenesis, Impairment of Fertility

No long-term studies in animals have been performed to evaluate carcinogenic potential of heparin.  Also, no reproduction studies in animals have been performed concerning mutagenesis or impairment of fertility.

Low Dose Prophylaxis of Postoperative Thromboembolism (Low-Dose Prophylaxis of Postoperative Thromboembolism)

A number of well-controlled clinical trials have demonstrated that low-dose heparin prophylaxis, given just prior to and after surgery, will reduce the incidence of postoperative deep vein thrombosis in the legs (as measured by the I-125 fibrinogen technique and venography) and of clinical pulmonary embolism.  The most widely used dosage has been 5,000 units 2 hours before surgery and 5,000 units every 8 to 12 hours thereafter for seven days or until the patient is fully ambulatory, whichever is longer.  The heparin is given by deep subcutaneous injection in the arm or abdomen with a fine needle (25 to 26 gauge) to minimize tissue trauma.  A concentrated solution of heparin sodium is recommended.  Such prophylaxis should be reserved for patients over the age of 40 who are undergoing major surgery.  Patients with bleeding disorders and those having neurosurgery, spinal anesthesia, eye surgery or potentially sanguineous operations should be excluded, as well as patients receiving oral anticoagulants or platelet-active drugs (see WARNINGS ).  The value of such prophylaxis in hip surgery has not been established.  The possibility of increased bleeding during surgery or postoperatively should be borne in mind.  If such bleeding occurs, discontinuance of heparin and neutralization with protamine sulfate are advisable.  If clinical evidence of thromboembolism develops despite low-dose prophylaxis, full therapeutic doses of anticoagulants should be given unless contraindicated.  All patients should be screened prior to heparinization to rule out bleeding disorders, and monitoring should be performed with appropriate coagulation tests just prior to surgery.  Coagulation test values should be normal or only slightly elevated.  There is usually no need for daily monitoring of the effect of low-dose heparin in patients with normal coagulation parameters.

Therapeutic Anticoagulant Effect With Full Dose Heparin (Therapeutic Anticoagulant Effect with Full-Dose Heparin)

Although dosage must be adjusted for the individual patient according to the results of suitable laboratory tests, the following dosage schedules may be used as guidelines:





METHOD OF ADMINISTRATION



FREQUENCY

RECOMMENDED

DOSE (based on

150 lb [68 kg] patient)

Deep Subcutaneous (Intrafat) Injection



 



 

 

 

A different site should be used for each injection to prevent the development of massive hematoma

Initial Dose

 

 

 

 

 

 

 

5,000 units by IV injection, followed by 10,000 to 20,000 units of a concentrated solution, subcutaneously

Every 8 hours

8,000 to 10,000 units of a concentrated solution

 or

Every 12 hours

15,000 to 20,000 units of a concentrated solution

Intermittent Intravenous Injection

 

 

 

 

 



Initial Dose

 

 

10,000 units, either undiluted or in 50 to 100 mL of 0.9% Sodium Chloride Injection, USP

Every 4

to 6 hours

5,000 to 10,000 units, either undiluted or in 50 to 100 mL of 0.9% Sodium Chloride Injection, USP

Intravenous Infusion

 Initial Dose

5,000 units by IV injection

 Continuous

20,000 to 40,000 units/24 hours in 1,000 mL of 0.9% Sodium Chloride Injection, USP (or in any compatible solution) for infusion



Heparin Induced Thrombocytopenia (hit) and Heparin Induced Thrombocytopenia and Thrombosis (hitt) (Heparin-induced Thrombocytopenia (HIT) and Heparin-induced Thrombocytopenia and Thrombosis (HITT))

Heparin-induced Thrombocytopenia (HIT) is a serious antibody-mediated reaction resulting from irreversible aggregation of platelets.  HIT may progress to the development of venous and arterial thromboses, a condition referred to as Heparin-induced Thrombocytopenia and Thrombosis (HITT).  Thrombotic events may also be the initial presentation for HITT.  These serious thromboembolic events include deep vein thrombosis, pulmonary embolism, cerebral vein thrombosis, limb ischemia, stroke, myocardial infarction, mesenteric thrombosis, renal arterial thrombosis, skin necrosis, gangrene of the extremities that may lead to amputation, and possibly death.  Thrombocytopenia of any degree should be monitored closely.  If the platelet count falls below 100,000/mm3 or if recurrent thrombosis develops, the heparin product should be promptly discontinued and alternative anticoagulants considered, if patients require continued anticoagulation.

Thrombocytopenia, Heparin Induced Thrombocytopenia (hit) and Heparin Induced Thrombocytopenia and Thrombosis (hitt) and Delayed Onset of Hit and Hitt (Thrombocytopenia, Heparin-induced Thrombocytopenia (HIT) and Heparin-induced Thrombocytopenia and Thrombosis (HITT) and Delayed Onset of HIT and HITT)

See WARNINGS .


Advanced Ingredient Data


Raw Label Data

All Sections (JSON)