Glipizide And Metformin Hcl Tablet, Film Coated A077270

Glipizide And Metformin Hcl Tablet, Film Coated A077270
SPL v12
SPL
SPL Set ID 3f2599c6-9e33-487e-9379-6477bb121461
Route
ORAL
Published
Effective Date 2022-08-01
Document Type 34391-3 HUMAN PRESCRIPTION DRUG LABEL

Drug Facts

Composition & Product

Active Ingredients
Metformin (500 mg) Glipizide (5 mg)
Inactive Ingredients
Povidone K30 Starch, Corn Croscarmellose Sodium Magnesium Stearate Cellulose, Microcrystalline Polyethylene Glycol 3350 Polyethylene Glycol 4000 Polyvinyl Alcohol, Unspecified Povidone K90 Talc Titanium Dioxide Ferrosoferric Oxide Ferric Oxide Red Ferric Oxide Yellow

Identifiers & Packaging

Pill Appearance
Imprint: 93;7457 Shape: oval Color: pink Size: 17 mm Score: 1
Marketing Status
ANDA Active Since 2017-04-03

Description

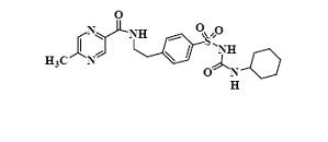
Glipizide and metformin hydrochloride tablets, USP contain 2 oral antihyperglycemic drugs used in the management of type 2 diabetes, glipizide, USP and metformin hydrochloride, USP. Glipizide, USP is an oral antihyperglycemic drug of the sulfonylurea class. The chemical name for glipizide, USP is 1-cyclohexyl-3-[[ p -[2-(5-methylpyrazinecarboxamido)ethyl]phenyl]sulfonyl]urea. Glipizide, USP is a whitish, odorless powder with a pK a of 5.9. It is insoluble in water and alcohols, but soluble in 0.1 N NaOH; it is freely soluble in dimethylformamide. The structural formula is represented below. C 21 H 27 N 5 O 4 S M.W. 445.55 Metformin hydrochloride, USP is an oral antihyperglycemic drug used in the management of type 2 diabetes. Metformin hydrochloride, USP ( N , N- dimethylimidodicarbonimidic diamide monohydrochloride) is not chemically or pharmacologically related to sulfonylureas, thiazolidinediones, or α-glucosidase inhibitors. It is a white to off-white crystalline compound. Metformin hydrochloride, USP is freely soluble in water and is practically insoluble in acetone, ether, and chloroform. The pK a of metformin is 12.4. The pH of a 1% aqueous solution of metformin hydrochloride, USP is 6.68. The structural formula is as shown: C 4 H 12 ClN 5 M.W. 165.63 Glipizide and metformin hydrochloride tablets, USP for oral administration contain 2.5 mg glipizide, USP with 250 mg metformin hydrochloride, USP, 2.5 mg glipizide, USP with 500 mg metformin hydrochloride, USP, and 5 mg glipizide, USP with 500 mg metformin hydrochloride, USP. In addition, each tablet contains the following inactive ingredients: corn starch, croscarmellose sodium, magnesium stearate, microcrystalline cellulose, polyethylene glycol, polyvinyl alcohol-part. hydrolyzed, povidone, talc, and titanium dioxide. Additionally, 2.5 mg/250 mg and 5 mg/500 mg tablets contain iron oxide black, iron oxide red, and iron oxide yellow. The tablets are film-coated, which provides color differentiation.

Indications and Usage

Glipizide and metformin hydrochloride tablets USP are indicated as an adjunct to diet and exercise to improve glycemic control in adults with type 2 diabetes mellitus.

Contraindications

Glipizide and metformin hydrochloride tablets are contraindicated in patients with: Severe renal impairment (eGFR below 30 mL/min/1.73 m 2 ) (see WARNINGS and PRECAUTIONS ). Known hypersensitivity to glipizide or metformin hydrochloride. Acute or chronic metabolic acidosis, including diabetic ketoacidosis, with or without coma. Diabetic ketoacidosis should be treated with insulin.

How Supplied

Glipizide and metformin hydrochloride tablets, USP are available as follows: 5 mg/500 mg are pink, film-coated, modified capsule-shaped tablets, debossed with “93” on one side and “7457” on the other in NDC: 70518-0373-00 NDC: 70518-0373-01 PACKAGING: 90 in 1 BOTTLE PLASTIC PACKAGING: 180 in 1 BOTTLE PLASTIC STORAGE Store at 20° to 25°C (68° to 77°F) [see USP Controlled Room Temperature]. Dispense in a tight, light-resistant container as defined in the USP, with a child-resistant closure (as required). Repackaged and Distributed By: Remedy Repack, Inc. 625 Kolter Dr. Suite #4 Indiana, PA 1-724-465-8762

Patient Information

Glipizide (glip'-i-zide) and Metformin Hydrochloride (met-for'-min hye"-dro-klor'-ide) Tablets Rx only WARNING: A small number of people who have taken metformin hydrochloride have developed a serious condition called lactic acidosis. Tell your doctor if you have severe kidney problems. (See Question Nos. 9 to 12.) Q1. Why do I need to take glipizide and metformin hydrochloride tablets? Your doctor has prescribed glipizide and metformin hydrochloride tablets to treat your type 2 diabetes. This is also known as non-insulin-dependent diabetes mellitus. Q2. What is type 2 diabetes? People with diabetes are not able to make enough insulin and/or respond normally to the insulin their body does make. When this happens, sugar (glucose) builds up in the blood. This can lead to serious medical problems, including kidney damage, amputations, and blindness. Diabetes is also closely linked to heart disease. The main goal of treating diabetes is to lower your blood sugar to a normal level. Q3. Why is it important to control type 2 diabetes? The main goal of treating diabetes is to lower your blood sugar to a normal level. Studies have shown that good control of blood sugar may prevent or delay complications, such as heart disease, kidney disease, or blindness. Q4. How is type 2 diabetes usually controlled? High blood sugar can be lowered by diet and exercise, a number of oral medications, and insulin injections. Before taking glipizide and metformin hydrochloride tablets you should first try to control your diabetes by exercise and weight loss. Even if you are taking glipizide and metformin hydrochloride tablets, you should still exercise and follow the diet recommended for your diabetes. Q5. Does glipizide and metformin hydrochloride tablets work differently from other glucose-control medications? Yes, they do. Glipizide and metformin hydrochloride tablets combine 2 glucose-lowering drugs, glipizide and metformin. These 2 drugs work together to improve the different metabolic defects found in type 2 diabetes. Glipizide lowers blood sugar primarily by causing more of the body’s own insulin to be released, and metformin lowers blood sugar, in part, by helping your body use your own insulin more effectively. Together, they are efficient in helping you to achieve better glucose control. Q6. What happens if my blood sugar is still too high? When blood sugar cannot be lowered enough by glipizide and metformin hydrochloride tablets, your doctor may prescribe injectable insulin or take other measures to control your diabetes. Q7. Can glipizide and metformin hydrochloride tablets cause side effects? Glipizide and metformin hydrochloride tablets, like all blood sugar-lowering medications, can cause side effects in some patients. Most of these side effects are minor. However, there are also serious, but rare, side effects related to glipizide and metformin hydrochloride tablets (see Question Nos. 9 to 13 ). Q8. What are the most common side effects of glipizide and metformin hydrochloride tablets? The most common side effects of glipizide and metformin hydrochloride tablets are normally minor ones such as diarrhea, nausea, and upset stomach. If these side effects occur, they usually occur during the first few weeks of therapy. Taking your glipizide and metformin hydrochloride tablets with meals can help reduce these side effects. Symptoms of hypoglycemia (low blood sugar), such as lightheadedness, dizziness, shakiness, or hunger may occur. The risk of hypoglycemic symptoms increases when meals are skipped, too much alcohol is consumed, or heavy exercise occurs without enough food. Following the advice of your doctor can help you to avoid these symptoms. Q9. Are there any serious side effects that glipizide and metformin hydrochloride tablets can cause? People who have a condition known as glucose-6-phosphate dehydrogenase (G6PD) deficiency and who take glipizide and metformin hydrochloride tablets may develop hemolytic anemia (fast breakdown of red blood cells). G6PD deficiency usually runs in families. Tell your doctor if you or any members of your family have been diagnosed with G6PD deficiency before you start taking glipizide and metformin hydrochloride tablets. Glipizide and metformin hydrochloride tablets rarely cause serious side effects. Metformin, one of the medicines in glipizide and metformin hydrochloride tablets, can cause a rare but serious condition called lactic acidosis (a buildup of an acid in the blood) that can cause death. Lactic acidosis is a medical emergency and must be treated in the hospital. Call your doctor right away if you have any of the following symptoms, which could be signs of lactic acidosis: you feel cold in your hands or feet you feel dizzy or lightheaded you have a slow or irregular heartbeat you feel very weak or tired you have unusual (not normal) muscle pain you have trouble breathing you feel sleepy or drowsy you have stomach pains, nausea or vomiting Most people who have had lactic acidosis with metformin have other things that, combined with the metformin, led to the lactic acidosis. Tell your doctor if you have any of the following, because you have a higher chance for getting lactic acidosis with glipizide and metformin tablets if you: have severe kidney problems your kidneys are affected by certain x-ray tests that use injectable dye. Tell your doctor if you are going to get an injection or dye or contrast agents for an x-ray procedure. have liver problems drink alcohol very often, or drink a lot of alcohol in short-term “binge” drinking get dehydrated (lose a large amount of body fluids). This can happen if you are sick with a fever, vomiting, or diarrhea. Dehydration can also happen when you sweat a lot with activity or exercise and do not drink enough fluids have surgery have a heart attack, severe infection, or stroke The best way to keep from having a problem with lactic acidosis from metformin is to tell your doctor if you have any of the problems in the list above. Your doctor may decide to stop your glipizide and metformin hydrochloride tablets for a while if you have any of these things. Glipizide and metformin hydrochloride tablets can have other serious side effects. See “ What are the possible side effects of glipizide and metformin hydrochloride tablets? ” Q10. Can I take glipizide and metformin hydrochloride tablets with other medications? Remind your doctor that you are taking glipizide and metformin hydrochloride tablets when any new drug is prescribed or a change is made in how you take a drug already prescribed. Glipizide and metformin hydrochloride tablets may interfere with the way some drugs work and some drugs may interfere with the action of glipizide and metformin hydrochloride tablets. Q11. What if I become pregnant while taking glipizide and metformin hydrochloride tablets? Tell your doctor if you plan to become pregnant or have become pregnant. As with other oral glucose-control medications, you should not take glipizide and metformin hydrochloride tablets during pregnancy. Usually your doctor will prescribe insulin while you are pregnant. As with all medications, you and your doctor should discuss the use of glipizide and metformin hydrochloride tablets if you are nursing a child. Q12. How do I take glipizide and metformin hydrochloride tablets? Your doctor will tell you how many glipizide and metformin hydrochloride tablets to take and how often. This should also be printed on the label of your prescription. You will probably be started on a low dose of glipizide and metformin hydrochloride tablets and your dosage will be increased gradually until your blood sugar is controlled. Q13. Where can I get more information about glipizide and metformin hydrochloride tablets? This leaflet is a summary of the most important information about glipizide and metformin hydrochloride tablets. If you have any questions or problems, you should talk to your doctor or other healthcare provider about type 2 diabetes as well as glipizide and metformin hydrochloride tablets and its side effects. There is also a leaflet (package insert) written for health professionals that your pharmacist can let you read. Repackaged and Distributed By: Remedy Repack, Inc. 625 Kolter Dr. Suite #4 Indiana, PA 1-724-465-8762


Medication Information

Recent Major Changes

WARNING: LACTIC ACIDOSIS

Postmarketing cases of metformin-associated lactic acidosis have resulted in death, hypothermia, hypotension, and resistant bradyarrhythmias. The onset of metformin-associated lactic acidosis is often subtle, accompanied only by nonspecific symptoms such as malaise, myalgias, respiratory distress, somnolence, and abdominal pain. Metformin-associated lactic acidosis was characterized by elevated blood lactate levels (> 5 mmol/Liter), anion gap acidosis (without evidence of ketonuria or ketonemia), an increased lactate/pyruvate ratio; and metformin plasma levels generally > 5 mcg/mL [see PRECAUTIONS].

Risk factors for metformin-associated lactic acidosis include renal impairment, concomitant use of certain drugs (e.g., carbonic anhydrase inhibitors such as topiramate), age 65 years old or greater, having a radiological study with contrast, surgery and other procedures, hypoxic states (e.g., acute congestive heart failure), excessive alcohol intake, and hepatic impairment.

Steps to reduce the risk of and manage metformin-associated lactic acidosis in these high risk groups are provided [see PRECAUTIONS].

If metformin-associated lactic acidosis is suspected, immediately discontinue glipizide and metformin hydrochloride tablets and institute general supportive measures in a hospital setting. Prompt hemodialysis is recommended [see PRECAUTIONS].

Indications and Usage

Glipizide and metformin hydrochloride tablets USP are indicated as an adjunct to diet and exercise to improve glycemic control in adults with type 2 diabetes mellitus.

Contraindications

Glipizide and metformin hydrochloride tablets are contraindicated in patients with:

  • Severe renal impairment (eGFR below 30 mL/min/1.73 m 2) (see WARNINGS and PRECAUTIONS).
  • Known hypersensitivity to glipizide or metformin hydrochloride.
  • Acute or chronic metabolic acidosis, including diabetic ketoacidosis, with or without coma. Diabetic ketoacidosis should be treated with insulin.
How Supplied

Glipizide and metformin hydrochloride tablets, USP are available as follows:

5 mg/500 mg are pink, film-coated, modified capsule-shaped tablets, debossed with “93” on one side and “7457” on the other in

NDC: 70518-0373-00

NDC: 70518-0373-01

PACKAGING: 90 in 1 BOTTLE PLASTIC

PACKAGING: 180 in 1 BOTTLE PLASTIC

STORAGE

Store at 20° to 25°C (68° to 77°F) [see USP Controlled Room Temperature].

Dispense in a tight, light-resistant container as defined in the USP, with a child-resistant closure (as required).

Repackaged and Distributed By:

Remedy Repack, Inc.

625 Kolter Dr. Suite #4 Indiana, PA 1-724-465-8762

Patient Information

Glipizide (glip'-i-zide) and Metformin Hydrochloride (met-for'-min hye"-dro-klor'-ide) Tablets Rx only WARNING: A small number of people who have taken metformin hydrochloride have developed a serious condition called lactic acidosis. Tell your doctor if you have severe kidney problems. (See Question Nos. 9 to 12.) Q1. Why do I need to take glipizide and metformin hydrochloride tablets? Your doctor has prescribed glipizide and metformin hydrochloride tablets to treat your type 2 diabetes. This is also known as non-insulin-dependent diabetes mellitus. Q2. What is type 2 diabetes? People with diabetes are not able to make enough insulin and/or respond normally to the insulin their body does make. When this happens, sugar (glucose) builds up in the blood. This can lead to serious medical problems, including kidney damage, amputations, and blindness. Diabetes is also closely linked to heart disease. The main goal of treating diabetes is to lower your blood sugar to a normal level. Q3. Why is it important to control type 2 diabetes? The main goal of treating diabetes is to lower your blood sugar to a normal level. Studies have shown that good control of blood sugar may prevent or delay complications, such as heart disease, kidney disease, or blindness. Q4. How is type 2 diabetes usually controlled? High blood sugar can be lowered by diet and exercise, a number of oral medications, and insulin injections. Before taking glipizide and metformin hydrochloride tablets you should first try to control your diabetes by exercise and weight loss. Even if you are taking glipizide and metformin hydrochloride tablets, you should still exercise and follow the diet recommended for your diabetes. Q5. Does glipizide and metformin hydrochloride tablets work differently from other glucose-control medications? Yes, they do. Glipizide and metformin hydrochloride tablets combine 2 glucose-lowering drugs, glipizide and metformin. These 2 drugs work together to improve the different metabolic defects found in type 2 diabetes. Glipizide lowers blood sugar primarily by causing more of the body’s own insulin to be released, and metformin lowers blood sugar, in part, by helping your body use your own insulin more effectively. Together, they are efficient in helping you to achieve better glucose control. Q6. What happens if my blood sugar is still too high? When blood sugar cannot be lowered enough by glipizide and metformin hydrochloride tablets, your doctor may prescribe injectable insulin or take other measures to control your diabetes. Q7. Can glipizide and metformin hydrochloride tablets cause side effects? Glipizide and metformin hydrochloride tablets, like all blood sugar-lowering medications, can cause side effects in some patients. Most of these side effects are minor. However, there are also serious, but rare, side effects related to glipizide and metformin hydrochloride tablets (see Question Nos. 9 to 13 ). Q8. What are the most common side effects of glipizide and metformin hydrochloride tablets? The most common side effects of glipizide and metformin hydrochloride tablets are normally minor ones such as diarrhea, nausea, and upset stomach. If these side effects occur, they usually occur during the first few weeks of therapy. Taking your glipizide and metformin hydrochloride tablets with meals can help reduce these side effects. Symptoms of hypoglycemia (low blood sugar), such as lightheadedness, dizziness, shakiness, or hunger may occur. The risk of hypoglycemic symptoms increases when meals are skipped, too much alcohol is consumed, or heavy exercise occurs without enough food. Following the advice of your doctor can help you to avoid these symptoms. Q9. Are there any serious side effects that glipizide and metformin hydrochloride tablets can cause? People who have a condition known as glucose-6-phosphate dehydrogenase (G6PD) deficiency and who take glipizide and metformin hydrochloride tablets may develop hemolytic anemia (fast breakdown of red blood cells). G6PD deficiency usually runs in families. Tell your doctor if you or any members of your family have been diagnosed with G6PD deficiency before you start taking glipizide and metformin hydrochloride tablets. Glipizide and metformin hydrochloride tablets rarely cause serious side effects. Metformin, one of the medicines in glipizide and metformin hydrochloride tablets, can cause a rare but serious condition called lactic acidosis (a buildup of an acid in the blood) that can cause death. Lactic acidosis is a medical emergency and must be treated in the hospital. Call your doctor right away if you have any of the following symptoms, which could be signs of lactic acidosis: you feel cold in your hands or feet you feel dizzy or lightheaded you have a slow or irregular heartbeat you feel very weak or tired you have unusual (not normal) muscle pain you have trouble breathing you feel sleepy or drowsy you have stomach pains, nausea or vomiting Most people who have had lactic acidosis with metformin have other things that, combined with the metformin, led to the lactic acidosis. Tell your doctor if you have any of the following, because you have a higher chance for getting lactic acidosis with glipizide and metformin tablets if you: have severe kidney problems your kidneys are affected by certain x-ray tests that use injectable dye. Tell your doctor if you are going to get an injection or dye or contrast agents for an x-ray procedure. have liver problems drink alcohol very often, or drink a lot of alcohol in short-term “binge” drinking get dehydrated (lose a large amount of body fluids). This can happen if you are sick with a fever, vomiting, or diarrhea. Dehydration can also happen when you sweat a lot with activity or exercise and do not drink enough fluids have surgery have a heart attack, severe infection, or stroke The best way to keep from having a problem with lactic acidosis from metformin is to tell your doctor if you have any of the problems in the list above. Your doctor may decide to stop your glipizide and metformin hydrochloride tablets for a while if you have any of these things. Glipizide and metformin hydrochloride tablets can have other serious side effects. See “ What are the possible side effects of glipizide and metformin hydrochloride tablets? ” Q10. Can I take glipizide and metformin hydrochloride tablets with other medications? Remind your doctor that you are taking glipizide and metformin hydrochloride tablets when any new drug is prescribed or a change is made in how you take a drug already prescribed. Glipizide and metformin hydrochloride tablets may interfere with the way some drugs work and some drugs may interfere with the action of glipizide and metformin hydrochloride tablets. Q11. What if I become pregnant while taking glipizide and metformin hydrochloride tablets? Tell your doctor if you plan to become pregnant or have become pregnant. As with other oral glucose-control medications, you should not take glipizide and metformin hydrochloride tablets during pregnancy. Usually your doctor will prescribe insulin while you are pregnant. As with all medications, you and your doctor should discuss the use of glipizide and metformin hydrochloride tablets if you are nursing a child. Q12. How do I take glipizide and metformin hydrochloride tablets? Your doctor will tell you how many glipizide and metformin hydrochloride tablets to take and how often. This should also be printed on the label of your prescription. You will probably be started on a low dose of glipizide and metformin hydrochloride tablets and your dosage will be increased gradually until your blood sugar is controlled. Q13. Where can I get more information about glipizide and metformin hydrochloride tablets? This leaflet is a summary of the most important information about glipizide and metformin hydrochloride tablets. If you have any questions or problems, you should talk to your doctor or other healthcare provider about type 2 diabetes as well as glipizide and metformin hydrochloride tablets and its side effects. There is also a leaflet (package insert) written for health professionals that your pharmacist can let you read. Repackaged and Distributed By: Remedy Repack, Inc. 625 Kolter Dr. Suite #4 Indiana, PA 1-724-465-8762

Description

Glipizide and metformin hydrochloride tablets, USP contain 2 oral antihyperglycemic drugs used in the management of type 2 diabetes, glipizide, USP and metformin hydrochloride, USP.

Glipizide, USP is an oral antihyperglycemic drug of the sulfonylurea class. The chemical name for glipizide, USP is 1-cyclohexyl-3-[[ p-[2-(5-methylpyrazinecarboxamido)ethyl]phenyl]sulfonyl]urea. Glipizide, USP is a whitish, odorless powder with a pK a of 5.9. It is insoluble in water and alcohols, but soluble in 0.1 N NaOH; it is freely soluble in dimethylformamide. The structural formula is represented below.

C 21H 27N 5O 4S M.W. 445.55

Metformin hydrochloride, USP is an oral antihyperglycemic drug used in the management of type 2 diabetes. Metformin hydrochloride, USP ( N, N-dimethylimidodicarbonimidic diamide monohydrochloride) is not chemically or pharmacologically related to sulfonylureas, thiazolidinediones, or α-glucosidase inhibitors. It is a white to off-white crystalline compound. Metformin hydrochloride, USP is freely soluble in water and is practically insoluble in acetone, ether, and chloroform. The pK a of metformin is 12.4. The pH of a 1% aqueous solution of metformin hydrochloride, USP is 6.68. The structural formula is as shown:

C 4H 12ClN 5 M.W. 165.63

Glipizide and metformin hydrochloride tablets, USP for oral administration contain 2.5 mg glipizide, USP with 250 mg metformin hydrochloride, USP, 2.5 mg glipizide, USP with 500 mg metformin hydrochloride, USP, and 5 mg glipizide, USP with 500 mg metformin hydrochloride, USP. In addition, each tablet contains the following inactive ingredients: corn starch, croscarmellose sodium, magnesium stearate, microcrystalline cellulose, polyethylene glycol, polyvinyl alcohol-part. hydrolyzed, povidone, talc, and titanium dioxide. Additionally, 2.5 mg/250 mg and 5 mg/500 mg tablets contain iron oxide black, iron oxide red, and iron oxide yellow. The tablets are film-coated, which provides color differentiation.

Race

No information is available on race differences in the pharmacokinetics of glipizide.

No studies of metformin pharmacokinetic parameters according to race have been performed. In controlled clinical studies of metformin in patients with type 2 diabetes, the antihyperglycemic effect was comparable in whites (n = 249), blacks (n = 51), and Hispanics (n = 24).

Gender

There is no information on the effect of gender on the pharmacokinetics of glipizide.

Metformin pharmacokinetic parameters did not differ significantly in subjects with or without type 2 diabetes when analyzed according to gender (males = 19, females = 16). Similarly, in controlled clinical studies in patients with type 2 diabetes, the antihyperglycemic effect of metformin was comparable in males and females.

Section 51945-4

DRUG: Glipizide and Metformin Hydrochloride

GENERIC: Glipizide and Metformin Hydrochloride

DOSAGE: TABLET, FILM COATED

ADMINSTRATION: ORAL

NDC: 70518-0373-0

NDC: 70518-0373-1

COLOR: pink

SHAPE: OVAL

SCORE: No score

SIZE: 17 mm

IMPRINT: 93;7457

PACKAGING: 90 in 1 BOTTLE, PLASTIC

PACKAGING: 180 in 1 BOTTLE, PLASTIC

ACTIVE INGREDIENT(S):

  • METFORMIN HYDROCHLORIDE 500mg in 1
  • GLIPIZIDE 5mg in 1

INACTIVE INGREDIENT(S):

  • STARCH, CORN
  • CROSCARMELLOSE SODIUM
  • MAGNESIUM STEARATE
  • CELLULOSE, MICROCRYSTALLINE
  • POLYETHYLENE GLYCOL 3350
  • POLYETHYLENE GLYCOL 4000
  • POLYVINYL ALCOHOL, UNSPECIFIED
  • POVIDONE K30
  • POVIDONE K90
  • TALC
  • TITANIUM DIOXIDE
  • FERROSOFERRIC OXIDE
  • FERRIC OXIDE RED
  • FERRIC OXIDE YELLOW

Alcohol

Alcohol is known to potentiate the effect of metformin on lactate metabolism. Warn patients against excessive alcohol intake while receiving glipizide and metformin hydrochloride tablets.

Glipizide

Gastrointestinal absorption of glipizide is uniform, rapid, and essentially complete. Peak plasma concentrations occur 1 to 3 hours after a single oral dose. Glipizide does not accumulate in plasma on repeated oral administration. Total absorption and disposition of an oral dose was unaffected by food in normal volunteers, but absorption was delayed by about 40 minutes.

Furosemide

A single-dose, metformin-furosemide drug interaction study in healthy subjects demonstrated that pharmacokinetic parameters of both compounds were affected by coadministration. Furosemide increased the metformin plasma and blood C max by 22% and blood AUC by 15%, without any significant change in metformin renal clearance. When administered with metformin, the C max and AUC of furosemide were 31% and 12% smaller, respectively, than when administered alone, and the terminal half-life was decreased by 32%, without any significant change in furosemide renal clearance. No information is available about the interaction of metformin and furosemide when coadministered chronically.

Geriatrics

There is no information on the pharmacokinetics of glipizide in elderly patients.

Limited data from controlled pharmacokinetic studies of metformin in healthy elderly subjects suggest that total plasma clearance is decreased, the half-life is prolonged, and C max is increased, when compared to healthy young subjects. From these data, it appears that the change in metformin pharmacokinetics with aging is primarily accounted for by a change in renal function (see Table 1).

Table 1: Select Mean (± SD) Metformin Pharmacokinetic Parameters Following Single or Multiple Oral Doses of Metformin

Subject Groups: Metformin Dose

All doses given fasting except the first 18 doses of the multiple-dose studies

(Number of Subjects)

C max

Peak plasma concentration

(mcg/mL)

T max

Time to peak plasma concentration

(hrs)

Renal Clearance

(mL/min)

Healthy, Nondiabetic Adults:

500 mg SD

SD = single dose
(24)

1.03 (± 0.33)

2.75 (± 0.81)

600 (± 132)

850 mg SD (74)

Combined results (average means) of 5 studies: mean age 32 years (range 23 to 59 years)

1.60 (± 0.38)

2.64 (± 0.82)

552 (± 139)

850 mg t.i.d. for 19 doses

Kinetic study done following dose 19, given fasting
(9)

2.01 (± 0.42)

1.79 (± 0.94)

642 (± 173)

Adults with Type 2 Diabetes:

850 mg SD (23)

1.48 (± 0.5)

3.32 (± 1.08)

491 (± 138)

850 mg t.i.d. for 19 doses

(9)

1.90 (± 0.62)

2.01 (± 1.22)

550 (± 160)

Elderly

Elderly subjects, mean age 71 years (range 65 to 81 years)
, Healthy Nondiabetic Adults:

850 mg SD (12)

2.45 (± 0.70)

2.71 (± 1.05)

412 (± 98)

Renal-impaired Adults: 850 mg SD

Mild (CL cr

CL cr = creatinine clearance normalized to body surface area of 1.73 m 2
61 to 90 mL/min) (5)

1.86 (± 0.52)

3.20 (± 0.45)

384 (± 122)

Moderate (CL cr 31 to 60 mL/min) (4)

4.12 (± 1.83)

3.75 (± 0.50)

108 (± 57)

Severe (CL cr 10 to 30 mL/min) (6)

3.93 (± 0.92)

4.01 (± 1.10)

130 (± 90)

Nifedipine

A single-dose, metformin-nifedipine drug interaction study in normal healthy volunteers demonstrated that coadministration of nifedipine increased plasma metformin C max and AUC by 20% and 9%, respectively, and increased the amount excreted in the urine. T max and half-life were unaffected. Nifedipine appears to enhance the absorption of metformin. Metformin had minimal effects on nifedipine.

Pediatrics

No data from pharmacokinetic studies in pediatric subjects are available for glipizide.

After administration of a single oral metformin 500 mg tablet with food, geometric mean metformin C max and AUC differed < 5% between pediatric type 2 diabetic patients (12 to 16 years of age) and gender- and weight-matched healthy adults (20 to 45 years of age), all with normal renal function.

Hypoglycemia

Glipizide and metformin hydrochloride tablets are capable of producing hypoglycemia; therefore, proper patient selection, dosing, and instructions are important to avoid potential hypoglycemic episodes. The risk of hypoglycemia is increased when caloric intake is deficient, when strenuous exercise is not compensated by caloric supplementation, or during concomitant use with other glucose-lowering agents or ethanol. Renal insufficiency may cause elevated drug levels of both glipizide and metformin hydrochloride. Hepatic insufficiency may increase drug levels of glipizide and may also diminish gluconeogenic capacity, both of which increase the risk of hypoglycemic reactions. Elderly, debilitated, or malnourished patients and those with adrenal or pituitary insufficiency or alcohol intoxication are particularly susceptible to hypoglycemic effects. Hypoglycemia may be difficult to recognize in the elderly and people who are taking beta-adrenergic blocking drugs.

Vitamin B 12

In controlled clinical trials with metformin of 29 weeks duration, a decrease to subnormal levels of previously normal serum vitamin B 12, without clinical manifestations, was observed in approximately 7% of patients. Such decrease, possibly due to interference with B 12 absorption from the B 12-intrinsic factor complex is, however, very rarely associated with anemia and appears to be rapidly reversible with discontinuation of metformin or vitamin B 12 supplementation. Measurement of hematologic parameters on an annual basis is advised in patients on metformin and any apparent abnormalities should be appropriately investigated and managed (see PRECAUTIONS, Laboratory Tests).

Certain individuals (those with inadequate vitamin B 12 or calcium intake or absorption) appear to be predisposed to developing subnormal vitamin B 12 levels. In these patients, routine serum vitamin B 12 measurements at 2- to 3-year intervals may be useful.

Geriatric Use

Of the 345 patients who received glipizide and metformin hydrochloride tablets, 2.5 mg/250 mg and 2.5 mg/500 mg in the initial therapy trial, 67 (19.4%) were aged 65 and older while 5 (1.4%) were aged 75 and older. Of the 87 patients who received glipizide and metformin hydrochloride tablets in the second-line therapy trial, 17 (19.5%) were aged 65 and older while 1 (1.1%) was at least aged 75. No overall differences in effectiveness or safety were observed between these patients and younger patients in either the initial therapy trial or the second-line therapy trial, and other reported clinical experience has not identified differences in response between the elderly and younger patients, but greater sensitivity of some older individuals cannot be ruled out.

In general, dose selection for an elderly patient should be cautious, usually starting at the low end of the dosing range, reflecting the greater frequency of decreased hepatic, renal, or cardiac function, and of concomitant disease or other drug therapy and the higher risk of lactic acidosis. Assess renal function more frequently in elderly patients (see also WARNINGS, PRECAUTIONS and DOSAGE AND ADMINISTRATION).

Pediatric Use

Safety and effectiveness of glipizide and metformin hydrochloride tablets in pediatric patients have not been established.

Nursing Mothers

Although it is not known whether glipizide is excreted in human milk, some sulfonylurea drugs are known to be excreted in human milk. Studies in lactating rats show that metformin is excreted into milk and reaches levels comparable to those in plasma. Similar studies have not been conducted in nursing mothers. Because the potential for hypoglycemia in nursing infants may exist, a decision should be made whether to discontinue nursing or to discontinue glipizide and metformin hydrochloride tablets, taking into account the importance of the drug to the mother. If glipizide and metformin hydrochloride tablets are discontinued, and if diet alone is inadequate for controlling blood glucose, insulin therapy should be considered.

Hemolytic Anemia

Treatment of patients with glucose-6-phosphate dehydrogenase (G6PD) deficiency with sulfonylurea agents can lead to hemolytic anemia. Because glipizide and metformin hydrochloride tablets belong to the class of sulfonylurea agents, caution should be used in patients with G6PD deficiency and a non-sulfonylurea alternative should be considered. In postmarketing reports, hemolytic anemia has also been reported in patients who did not have known G6PD deficiency.

Laboratory Tests

Periodic fasting blood glucose (FBG) and HbA 1c measurements should be performed to monitor therapeutic response.

Initial and periodic monitoring of hematologic parameters (e.g., hemoglobin/hematocrit and red blood cell indices) and renal function (serum creatinine) should be performed, at least on an annual basis. While megaloblastic anemia has rarely been seen with metformin therapy, if this is suspected, vitamin B 12 deficiency should be excluded.

Instruct patients to inform their doctor that they are taking glipizide and metformin hydrochloride tablets prior to any surgical or radiological procedure, as temporary discontinuation of glipizide and metformin hydrochloride tablets may be required until renal function has been confirmed to be normal (see PRECAUTIONS).

Renal Impairment

The metabolism and excretion of glipizide may be slowed in patients with impaired renal function (see CONTRAINDICATIONS, WARNINGS, PRECAUTIONS, and DOSAGE AND ADMINISTRATION).

In patients with decreased renal function, the plasma and blood half-life of metformin is prolonged and the renal clearance is decreased (see Table 1; also, see WARNINGS).

Hepatic Impairment

The metabolism and excretion of glipizide may be slowed in patients with impaired hepatic function (see PRECAUTIONS).

No pharmacokinetic studies have been conducted in patients with hepatic insufficiency for metformin.

Mechanism of Action

Glipizide and metformin hydrochloride tablets combine glipizide and metformin hydrochloride, 2 antihyperglycemic agents with complementary mechanisms of action, to improve glycemic control in patients with type 2 diabetes.

Glipizide appears to lower blood glucose acutely by stimulating the release of insulin from the pancreas, an effect dependent upon functioning beta cells in the pancreatic islets. Extrapancreatic effects may play a part in the mechanism of action of oral sulfonylurea hypoglycemic drugs. The mechanism by which glipizide lowers blood glucose during long-term administration has not been clearly established. In man, stimulation of insulin secretion by glipizide in response to a meal is undoubtedly of major importance. Fasting insulin levels are not elevated even on long-term glipizide administration, but the postprandial insulin response continues to be enhanced after at least 6 months of treatment.

Metformin hydrochloride is an antihyperglycemic agent that improves glucose tolerance in patients with type 2 diabetes, lowering both basal and postprandial plasma glucose. Metformin hydrochloride decreases hepatic glucose production, decreases intestinal absorption of glucose, and improves insulin sensitivity by increasing peripheral glucose uptake and utilization.

General Considerations

Dosage of glipizide and metformin hydrochloride tablets must be individualized on the basis of both effectiveness and tolerance while not exceeding the maximum recommended daily dose of 20 mg glipizide/2000 mg metformin. Glipizide and metformin hydrochloride tablets should be given with meals and should be initiated at a low dose, with gradual dose escalation as described below, in order to avoid hypoglycemia (largely due to glipizide), reduce GI side effects (largely due to metformin), and permit determination of the minimum effective dose for adequate control of blood glucose for the individual patient.

With initial treatment and during dose titration, appropriate blood glucose monitoring should be used to determine the therapeutic response to glipizide and metformin hydrochloride tablets and to identify the minimum effective dose for the patient. Thereafter, HbA 1c should be measured at intervals of approximately 3 months to assess the effectiveness of therapy. The therapeutic goal in all patients with type 2 diabetes is to decrease FPG, PPG, and HbA 1c to normal or as near normal as possible. Ideally, the response to therapy should be evaluated using HbA 1c, which is a better indicator of long-term glycemic control than FPG alone.

No studies have been performed specifically examining the safety and efficacy of switching to glipizide and metformin hydrochloride tablet therapy in patients taking concomitant glipizide (or other sulfonylurea) plus metformin. Changes in glycemic control may occur in such patients, with either hyperglycemia or hypoglycemia possible. Any change in therapy of type 2 diabetes should be undertaken with care and appropriate monitoring.

When colesevelam is coadministered with glipizide ER, maximum plasma concentration and total exposure to glipizide is reduced. Therefore, glipizide and metformin hydrochloride tablets should be administered at least 4 hours prior to colesevelam.

Macrovascular Outcomes

There have been no clinical studies establishing conclusive evidence of macrovascular risk reduction with glipizide and metformin hydrochloride tablets or any other antidiabetic drug.

Metformin Hydrochloride

The apparent volume of distribution (V/F) of metformin following single oral doses of 850 mg averaged 654 ± 358 L. Metformin is negligibly bound to plasma proteins. Metformin partitions into erythrocytes, most likely as a function of time. At usual clinical doses and dosing schedules of metformin, steady state plasma concentrations of metformin are reached within 24 to 48 hours and are generally < 1 mcg/mL. During controlled clinical trials, maximum metformin plasma levels did not exceed 5 mcg/mL, even at maximum doses.

Metformin Hydrochloride

The absolute bioavailability of a 500 mg metformin hydrochloride tablet given under fasting conditions is approximately 50% to 60%. Studies using single oral doses of metformin tablets of 500 mg and 1500 mg, and 850 mg to 2550 mg, indicate that there is a lack of dose proportionality with increasing doses, which is due to decreased absorption rather than an alteration in elimination. Food decreases the extent of and slightly delays the absorption of metformin, as shown by approximately a 40% lower peak concentration and a 25% lower AUC in plasma and a 35 minute prolongation of time to peak plasma concentration following administration of a single 850 mg tablet of metformin with food, compared to the same tablet strength administered fasting. The clinical relevance of these decreases is unknown.

Patient Information About

Glipizide (glip'-i-zide) and Metformin Hydrochloride (met-for'-min hye"-dro-klor'-ide) Tablets

Rx only

WARNING: A small number of people who have taken metformin hydrochloride have developed a serious condition called lactic acidosis. Tell your doctor if you have severe kidney problems. (See Question Nos. 9 to 12.)

Q1. Why do I need to take glipizide and metformin hydrochloride tablets?

Your doctor has prescribed glipizide and metformin hydrochloride tablets to treat your type 2 diabetes. This is also known as non-insulin-dependent diabetes mellitus.

Q2. What is type 2 diabetes?

People with diabetes are not able to make enough insulin and/or respond normally to the insulin their body does make. When this happens, sugar (glucose) builds up in the blood. This can lead to serious medical problems, including kidney damage, amputations, and blindness. Diabetes is also closely linked to heart disease. The main goal of treating diabetes is to lower your blood sugar to a normal level.

Q3. Why is it important to control type 2 diabetes?

The main goal of treating diabetes is to lower your blood sugar to a normal level. Studies have shown that good control of blood sugar may prevent or delay complications, such as heart disease, kidney disease, or blindness.

Q4. How is type 2 diabetes usually controlled?

High blood sugar can be lowered by diet and exercise, a number of oral medications, and insulin injections. Before taking glipizide and metformin hydrochloride tablets you should first try to control your diabetes by exercise and weight loss. Even if you are taking glipizide and metformin hydrochloride tablets, you should still exercise and follow the diet recommended for your diabetes.

Q5. Does glipizide and metformin hydrochloride tablets work differently from other glucose-control medications?

Yes, they do. Glipizide and metformin hydrochloride tablets combine 2 glucose-lowering drugs, glipizide and metformin. These 2 drugs work together to improve the different metabolic defects found in type 2 diabetes. Glipizide lowers blood sugar primarily by causing more of the body’s own insulin to be released, and metformin lowers blood sugar, in part, by helping your body use your own insulin more effectively. Together, they are efficient in helping you to achieve better glucose control.

Q6. What happens if my blood sugar is still too high?

When blood sugar cannot be lowered enough by glipizide and metformin hydrochloride tablets, your doctor may prescribe injectable insulin or take other measures to control your diabetes.

Q7. Can glipizide and metformin hydrochloride tablets cause side effects?

Glipizide and metformin hydrochloride tablets, like all blood sugar-lowering medications, can cause side effects in some patients. Most of these side effects are minor. However, there are also serious, but rare, side effects related to glipizide and metformin hydrochloride tablets (see Question Nos. 9 to 13).

Q8. What are the most common side effects of glipizide and metformin hydrochloride tablets?

The most common side effects of glipizide and metformin hydrochloride tablets are normally minor ones such as diarrhea, nausea, and upset stomach. If these side effects occur, they usually occur during the first few weeks of therapy. Taking your glipizide and metformin hydrochloride tablets with meals can help reduce these side effects.

Symptoms of hypoglycemia (low blood sugar), such as lightheadedness, dizziness, shakiness, or hunger may occur. The risk of hypoglycemic symptoms increases when meals are skipped, too much alcohol is consumed, or heavy exercise occurs without enough food. Following the advice of your doctor can help you to avoid these symptoms.

Q9. Are there any serious side effects that glipizide and metformin hydrochloride tablets can cause?

People who have a condition known as glucose-6-phosphate dehydrogenase (G6PD) deficiency and who take glipizide and metformin hydrochloride tablets may develop hemolytic anemia (fast breakdown of red blood cells). G6PD deficiency usually runs in families. Tell your doctor if you or any members of your family have been diagnosed with G6PD deficiency before you start taking glipizide and metformin hydrochloride tablets.

Glipizide and metformin hydrochloride tablets rarely cause serious side effects. Metformin, one of the medicines in glipizide and metformin hydrochloride tablets, can cause a rare but serious condition called lactic acidosis (a buildup of an acid in the blood) that can cause death. Lactic acidosis is a medical emergency and must be treated in the hospital.

Call your doctor right away if you have any of the following symptoms, which could be signs of lactic acidosis:

  • you feel cold in your hands or feet
  • you feel dizzy or lightheaded
  • you have a slow or irregular heartbeat
  • you feel very weak or tired
  • you have unusual (not normal) muscle pain
  • you have trouble breathing
  • you feel sleepy or drowsy
  • you have stomach pains, nausea or vomiting

Most people who have had lactic acidosis with metformin have other things that, combined with the metformin, led to the lactic acidosis. Tell your doctor if you have any of the following, because you have a higher chance for getting lactic acidosis with glipizide and metformin tablets if you:

  • have severe kidney problems
  • your kidneys are affected by certain x-ray tests that use injectable dye. Tell your doctor if you are going to get an injection or dye or contrast agents for an x-ray procedure.
  • have liver problems
  • drink alcohol very often, or drink a lot of alcohol in short-term “binge” drinking
  • get dehydrated (lose a large amount of body fluids). This can happen if you are sick with a fever, vomiting, or diarrhea. Dehydration can also happen when you sweat a lot with activity or exercise and do not drink enough fluids
  • have surgery
  • have a heart attack, severe infection, or stroke

The best way to keep from having a problem with lactic acidosis from metformin is to tell your doctor if you have any of the problems in the list above. Your doctor may decide to stop your glipizide and metformin hydrochloride tablets for a while if you have any of these things.

Glipizide and metformin hydrochloride tablets can have other serious side effects. See “ What are the possible side effects of glipizide and metformin hydrochloride tablets?

Q10. Can I take glipizide and metformin hydrochloride tablets with other medications?

Remind your doctor that you are taking glipizide and metformin hydrochloride tablets when any new drug is prescribed or a change is made in how you take a drug already prescribed.

Glipizide and metformin hydrochloride tablets may interfere with the way some drugs work and some drugs may interfere with the action of glipizide and metformin hydrochloride tablets.

Q11. What if I become pregnant while taking glipizide and metformin hydrochloride tablets?

Tell your doctor if you plan to become pregnant or have become pregnant. As with other oral glucose-control medications, you should not take glipizide and metformin hydrochloride tablets during pregnancy.

Usually your doctor will prescribe insulin while you are pregnant. As with all medications, you and your doctor should discuss the use of glipizide and metformin hydrochloride tablets if you are nursing a child.

Q12. How do I take glipizide and metformin hydrochloride tablets?

Your doctor will tell you how many glipizide and metformin hydrochloride tablets to take and how often.

This should also be printed on the label of your prescription. You will probably be started on a low dose of glipizide and metformin hydrochloride tablets and your dosage will be increased gradually until your blood sugar is controlled.

Q13. Where can I get more information about glipizide and metformin hydrochloride tablets?

This leaflet is a summary of the most important information about glipizide and metformin hydrochloride tablets.

If you have any questions or problems, you should talk to your doctor or other healthcare provider about type 2 diabetes as well as glipizide and metformin hydrochloride tablets and its side effects. There is also a leaflet (package insert) written for health professionals that your pharmacist can let you read.

Repackaged and Distributed By:

Remedy Repack, Inc.

625 Kolter Dr. Suite #4 Indiana, PA 1-724-465-8762

Renal and Hepatic Disease

The metabolism and excretion of glipizide may be slowed in patients with impaired renal and/or hepatic function. If hypoglycemia should occur in such patients, it may be prolonged and appropriate management should be instituted.

Gastrointestinal Reactions

Among the most common clinical adverse events in the initial therapy trial were diarrhea and nausea/vomiting; the incidences of these events were lower with both glipizide and metformin hydrochloride tablets dosage strengths than with metformin therapy. There were 4 (1.2%) patients in the initial therapy trial who discontinued glipizide and metformin hydrochloride tablet therapy due to gastrointestinal (GI) adverse events. Gastrointestinal symptoms of diarrhea, nausea/vomiting, and abdominal pain were comparable among glipizide and metformin hydrochloride tablets, glipizide and metformin in the second-line therapy trial. There were 4 (4.6%) patients in the second-line therapy trial who discontinued glipizide and metformin hydrochloride tablet therapy due to GI adverse events.

Specific Patient Populations

Glipizide and metformin hydrochloride tablets are not recommended for use during pregnancy or for use in pediatric patients. The initial and maintenance dosing of glipizide and metformin hydrochloride tablets should be conservative in patients with advanced age, due to the potential for decreased renal function in this population. Any dosage adjustment requires a careful assessment of renal function. Generally, elderly, debilitated, and malnourished patients should not be titrated to the maximum dose of glipizide and metformin hydrochloride tablets to avoid the risk of hypoglycemia. Monitoring of renal function is necessary to aid in prevention of metformin-associated lactic acidosis, particularly in the elderly. (See WARNINGS and PRECAUTIONS.)

Carbonic Anhydrase Inhibitors

Topiramate or other carbonic anhydrase inhibitors (e.g., zonisamide, acetazolamide or dichlorphenamide) frequently causes a decrease in serum bicarbonate and induce non-anion gap, hyperchloremic metabolic acidosis. Concomitant use of these drugs with glipizide and metformin hydrochloride tablets may increase the risk for lactic acidosis. Consider more frequent monitoring of these patients.

Patients With Type 2 Diabetes

In the presence of normal renal function, there are no differences between single- or multiple-dose pharmacokinetics of metformin between patients with type 2 diabetes and normal subjects (see Table 1), nor is there any accumulation of metformin in either group at usual clinical doses.

Drugs That Reduce Metformin Clearance

Concomitant use of drugs that interfere with common renal tubular transport systems involved in the renal elimination of metformin (e.g., organic cationic transporter-2 [OCT2] / multidrug and toxin extrusion [MATE] inhibitors such as ranolazine, vandetanib, dolutegravir, and cimetidine) could increase systemic exposure to metformin and may increase the risk for lactic acidosis. Consider the benefits and risks of concomitant use. Such interaction between metformin and oral cimetidine has been observed in normal healthy volunteers in both single- and multiple-dose, metformin-cimetidine drug interaction studies, with a 60% increase in peak metformin plasma and whole blood concentrations and a 40% increase in plasma and whole blood metformin AUC. There was no change in elimination half-life in the single-dose study. Metformin had no effect on cimetidine pharmacokinetics.

In healthy volunteers, the pharmacokinetics of metformin and propranolol, and metformin and ibuprofen were not affected when coadministered in single-dose interaction studies.

Metformin is negligibly bound to plasma proteins and is, therefore, less likely to interact with highly protein-bound drugs such as salicylates, sulfonamides, chloramphenicol, and probenecid, as compared to the sulfonylureas, which are extensively bound to serum proteins.

Teratogenic Effects: Pregnancy Category C

Recent information strongly suggests that abnormal blood glucose levels during pregnancy are associated with a higher incidence of congenital abnormalities. Most experts recommend that insulin be used during pregnancy to maintain blood glucose as close to normal as possible. Because animal reproduction studies are not always predictive of human response, glipizide and metformin hydrochloride tablets should not be used during pregnancy unless clearly needed (see below).

There are no adequate and well-controlled studies in pregnant women with glipizide and metformin hydrochloride tablets or their individual components. No animal studies have been conducted with the combined products in glipizide and metformin hydrochloride tablets. The following data are based on findings in studies performed with the individual products.

Glipizide

Glipizide was found to be mildly fetotoxic in rat reproductive studies at all dose levels (5 to 50 mg/kg). This fetotoxicity has been similarly noted with other sulfonylureas, such as tolbutamide and tolazamide. The effect is perinatal and believed to be directly related to the pharmacologic (hypoglycemic) action of glipizide. In studies in rats and rabbits, no teratogenic effects were found.

Metformin Hydrochloride

Metformin alone was not teratogenic in rats or rabbits at doses up to 600 mg/kg/day. This represents an exposure of about 2 and 6 times the MRHD dose of 2000 mg of the metformin component of glipizide and metformin hydrochloride tablets based on body surface area comparisons for rats and rabbits, respectively. Determination of fetal concentrations demonstrated a partial placental barrier to metformin.

Nonteratogenic Effects

Prolonged severe hypoglycemia (4 to 10 days) has been reported in neonates born to mothers who were receiving a sulfonylurea drug at the time of delivery. This has been reported more frequently with the use of agents with prolonged half-lives. It is not recommended that glipizide and metformin hydrochloride tablets be used during pregnancy. However, if they are used, glipizide and metformin hydrochloride tablets should be discontinued at least 1 month before the expected delivery date (see Pregnancy, Teratogenic Effects: Pregnancy Category C).

Glipizide and Metformin Hydrochloride Tablets

Lactic Acidosis—There have been postmarketing cases of metformin-associated lactic acidosis, including fatal cases. These cases had a subtle onset and were accompanied by nonspecific symptoms such as malaise, myalgias, abdominal pain, respiratory distress, or increased somnolence; however, hypotension and resistant bradyarrhythmias have occurred with severe acidosis. Metformin-associated lactic acidosis was characterized by elevated blood lactate concentrations (> 5 mmol/L), anion gap acidosis (without evidence of ketonuria or ketonemia), and an increases lactate:pyruvate ratio; metformin plasma levels were generally > 5 mcg/mL. Metformin decreases liver uptake of lactate increasing lactate blood levels which may increase the risk of lactic acidosis, especially in patients at risk.

If metformin-associated lactic acidosis is suspected, general supportive measures should be instituted promptly in a hospital setting, along with immediate discontinuation of glipizide and metformin hydrochloride tablets. In glipizide and metformin hydrochloride tablet-treated patients with a diagnosis or strong suspicion of lactic acidosis, prompt hemodialysis is recommended to correct the acidosis and remove accumulated metformin (metformin hydrochloride is dialyzable with a clearance of up to 170 mL/min under good hemodynamic conditions). Hemodialysis has often resulted in reversal of symptoms and recovery.

Educate patients and their families about the symptoms of lactic acidosis and if these symptoms occur instruct them to discontinue glipizide and metformin hydrochloride tablets and report these symptoms to their healthcare provider.

For each of the known and possible risk factors for metformin-associated lactic acidosis, recommendations to reduce the risk of and manage metformin-associated lactic acidosis are provided below:

  • Renal Impairment—The postmarketing metformin-associated lactic acidosis cases primarily occurred in patients with significant renal impairment. The risk of metformin accumulation and metformin-associated lactic acidosis increases with the severity of renal impairment because metformin is substantially excreted by the kidney. Clinical recommendations based upon the patients renal function include (see DOSAGE AND ADMINISTRATION, CLINICAL PHARMACOLOGY):
    • Before initiating glipizide and metformin hydrochloride tablets, obtain an estimated glomerular filtration rate (eGFR)
    • Glipizide and metformin hydrochloride tablets are contraindicated in patients with an eGFR less than 30 mL/min/1.73 m 2. Initiation of glipizide and metformin hydrochloride tablets is not recommended in patients with eGFR between 30 to 45 mL/min/1.73 m 2 (see CONTRAINDICATIONS).
    • Obtain an eGFR at least annually in all patients taking glipizide and metfomin hydrochloride tablets. In patients at risk for the development of renal impairment (e.g., the elderly), renal function should be assessed more frequently.
    • In patients taking glipizide and metformin hydrochloride tablets whose eGFR falls below 45 mL/min/1.73 m 2, assess the benefit and risk of continuing therapy.
  • Drug interactions—The concomitant use of glipizide and metformin hydrochloride tablets with specific drugs may increase the risk of metformin-associated lactic acidosis: those that impair renal function, result in significant hemodynamic change, interfere with acid-base balance, or increase metformin accumulation. Consider more frequent monitoring of patients.
  • Age 65 or Greater—The risk of metformin-associated lactic acidosis increases with the patient’s age because elderly patients have a greater likelihood of having hepatic, renal, or cardiac impairment than younger patients. Assess renal function more frequently in elderly patients.
  • Radiologic studies with contrast—Administration of intravascular iodinated contrast agents in metformin-treated patients has led to an acute decrease in renal function and the occurrence of lactic acidosis. Stop glipizide and metformin hydrochloride tablets at the time of, or prior to, an iodinated contrast imaging procedure in patients with an eGFR between 30 and 60 mL/min/1.73 m 2; in patients with a history of hepatic impairment, alcoholism or heart failure, or in patients who will be administered intra-arterial iodinated contrast. Re-evaluate eGFR 48 hours after the imagining procedure, and restart glipizide and metformin hydrochloride tablets if renal function is stable.
  • Surgery and other procedures—Withholding of food and fluids during surgical or other procedures may increase the risk for volume depletion, hypotension, and renal impairment. Glipizide and metformin hydrochloride tablets should be temporarily discontinued while patients have restricted food and fluid intake.
  • Hypoxic states—Several of the postmarketing cases of metformin-associated lactic acidosis occurred in the setting of acute congestive heart failure (particularly when accompanied by hypoperfusion and hypoxemia). Cardiovascular collapse (shock), acute myocardial infarction, sepsis, and other conditions associated with hypoxemia have been associated with lactic acidosis and may cause prerenal azotemia. When such an event occurs, discontinue glipizide and metformin hydrochloride tablets.
  • Excessive Alcohol intake—Alcohol is known to potentiate the effect of metformin on lactate metabolism. Patients, therefore, should be warned against excessive alcohol intake, acute or chronic, while receiving glipizide and metformin hydrochloride tablets.
  • Hepatic impairment—Patients with hepatic impairment have developed cases of metformin-associated lactic acidosis. This may be due to impaired lactate clearance resulting in higher lactate blood levels. Therefore, avoid use of glipizide and metformin hydrochloride tablets in patients with clinical or laboratory evidence of hepatic disease.
Glipizide and Metformin Hydrochloride Tablets

In a single-dose study in healthy subjects, the glipizide and metformin components of glipizide and metformin hydrochloride tablets, 5 mg/500 mg were bioequivalent to coadministered glipizide tablets and metformin hydrochloride tablets. Following administration of a single glipizide and metformin hydrochloride 5 mg/500 mg tablet in healthy subjects with either a 20% glucose solution or a 20% glucose solution with food, there was a small effect of food on peak plasma concentration (C max) and no effect of food on area under the curve (AUC) of the glipizide component. Time to peak plasma concentration (T max) for the glipizide component was delayed 1 hour with food relative to the same tablet strength administered fasting with a 20% glucose solution. C max for the metformin component was reduced approximately 14% by food whereas AUC was not affected. T max for the metformin component was delayed 1 hour after food.

Carcinogenesis, Mutagenesis, Impairment of Fertility

No animal studies have been conducted with the combined products in glipizide and metformin hydrochloride tablets. The following data are based on findings in studies performed with the individual products.

Special Warning On Increased Risk of Cardiovascular Mortality

The administration of oral hypoglycemic drugs has been reported to be associated with increased cardiovascular mortality as compared to treatment with diet alone or diet plus insulin. This warning is based on the study conducted by the University Group Diabetes Program (UGDP), a long-term prospective clinical trial designed to evaluate the effectiveness of glucose-lowering drugs in preventing or delaying vascular complications in patients with non-insulin-dependent diabetes. The study involved 823 patients who were randomly assigned to 1 of 4 treatment groups ( Diabetes 19 (Suppl. 2):747-830, 1970).

UGDP reported that patients treated for 5 to 8 years with diet plus a fixed dose of tolbutamide (1.5 grams per day) had a rate of cardiovascular mortality approximately 2½ times that of patients treated with diet alone. A significant increase in total mortality was not observed, but the use of tolbutamide was discontinued based on the increase in cardiovascular mortality, thus limiting the opportunity for the study to show an increase in overall mortality. Despite controversy regarding the interpretation of these results, the findings of the UGDP study provide an adequate basis for this warning. The patient should be informed of the potential risks and benefits of glipizide and of alternative modes of therapy.

Although only 1 drug in the sulfonylurea class (tolbutamide) was included in this study, it is prudent from a safety standpoint to consider that this warning may also apply to other hypoglycemic drugs in this class, in view of their close similarities in mode of action and chemical structure.

Patients With Inadequate Glycemic Control On Diet and Exercise Alone

In a 24 week, double-blind, active-controlled, multicenter international clinical trial, patients with type 2 diabetes, whose hyperglycemia was not adequately controlled with diet and exercise alone (hemoglobin A 1c [HbA 1c] > 7.5% and ≤ 12%, and fasting plasma glucose [FPG] < 300 mg/dL) were randomized to receive initial therapy with glipizide 5 mg, metformin 500 mg, glipizide and metformin hydrochloride tablets, 2.5 mg/250 mg, or glipizide and metformin hydrochloride tablets, 2.5 mg/500 mg. After 2 weeks, the dose was progressively increased (up to the 12 week visit) to a maximum of 4 tablets daily in divided doses as needed to reach a target mean daily glucose (MDG) of ≤ 130 mg/dL. Trial data at 24 weeks are summarized in Table 2.

Table 2: Active-Controlled Trial of Glipizide and Metformin Hydrochloride Tablets in Patients With Inadequate Glycemic Control on Diet and Exercise Alone: Summary of Trial Data at 24 Weeks

Glipizide

5 mg Tablets

Metformin

500 mg Tablets

Glipizide and Metformin Hydrochloride Tablets, 2.5 mg/250 mg

Glipizide and Metformin Hydrochloride Tablets, 2.5 mg/500 mg

Mean Final Dose

16.7 mg

1749 mg

7.9 mg/791 mg

7.4 mg/1477 mg

Hemoglobin A 1c (%)

N = 168

N = 171

N = 166

N = 163

Baseline Mean

9.17

9.15

9.06

9.10

Final Mean

7.36

7.67

6.93

6.95

Adjusted Mean Change from Baseline

-1.77

-1.46

-2.15

-2.14

Difference from Glipizide

-0.38

p < 0.001

-0.37

Difference from Metformin

-0.70

-0.69

% Patients with Final HbA 1c < 7%

43.5%

35.1%

59.6%

57.1%

Fasting Plasma Glucose (mg/dL)

N = 169

N = 176

N = 170

N = 169

Baseline Mean

210.7

207.4

206.8

203.1

Final Mean

162.1

163.8

152.1

148.7

Adjusted Mean Change from Baseline

-46.2

-42.9

-54.2

-56.5

Difference from Glipizide

-8.0

-10.4

Difference from Metformin

-11.3

-13.6

After 24 weeks, treatment with glipizide and metformin hydrochloride tablets, 2.5 mg/250 mg and 2.5 mg/500 mg resulted in significantly greater reduction in HbA 1c compared to glipizide and metformin therapy. Also, glipizide and metformin hydrochloride tablet, 2.5 mg/250 mg therapy resulted in significant reductions in FPG versus metformin therapy.

Increases above fasting glucose and insulin levels were determined at baseline and final study visits by measurement of plasma glucose and insulin for 3 hours following a standard mixed liquid meal. Treatment with glipizide and metformin hydrochloride tablets lowered the 3 hour postprandial glucose AUC, compared to baseline, to a significantly greater extent than did the glipizide and the metformin therapies. Compared to baseline, glipizide and metformin hydrochloride tablets enhanced the postprandial insulin response, but did not significantly affect fasting insulin levels.

There were no clinically meaningful differences in changes from baseline for all lipid parameters between glipizide and metformin hydrochloride tablet therapy and either metformin therapy or glipizide therapy. The adjusted mean changes from baseline in body weight were: glipizide and metformin hydrochloride tablets, 2.5 mg/250 mg, -0.4 kg; glipizide and metformin hydrochloride tablets, 2.5 mg/500 mg, -0.5 kg; glipizide, -0.2 kg; and metformin, -1.9 kg. Weight loss was greater with metformin than with glipizide and metformin hydrochloride tablets.

Patients With Inadequate Glycemic Control On Sulfonylurea Monotherapy

In an 18-week, double-blind, active-controlled U.S. clinical trial, a total of 247 patients with type 2 diabetes not adequately controlled (HbA 1c ≥ 7.5% and ≤ 12%, and FPG < 300 mg/dL) while being treated with at least one-half the maximum labeled dose of a sulfonylurea (e.g., glyburide 10 mg, glipizide 20 mg) were randomized to receive glipizide (fixed dose, 30 mg), metformin (500 mg), or glipizide and metformin hydrochloride tablets, 5 mg/500 mg. The doses of metformin and glipizide and metformin hydrochloride tablets were titrated (up to the 8 week visit) to a maximum of 4 tablets daily as needed to achieve MDG ≤ 130 mg/dL. Trial data at 18 weeks are summarized in Table 3.

Table 3: Glipizide and Metformin Hydrochloride Tablets in Patients With Inadequate Glycemic Control on Sulfonylurea Alone: Summary of Trial Data at 18 Weeks

Glipizide

5 mg

Tablets

Metformin

500 mg Tablets

Glipizide and Metformin Hydrochloride Tablets,

5 mg/500 mg

Mean Final Dose

30.0 mg

1927 mg

17.5 mg/1747 mg

Hemoglobin A 1c (%)

N = 79

N = 71

N = 80

Baseline Mean

8.87

8.61

8.66

Final Adjusted Mean

8.45

8.36

7.39

Difference from Glipizide

-1.06

p < 0.001

Difference from Metformin

-0.98

% Patients with Final HbA 1c < 7%

8.9%

9.9%

36.3%

Fasting Plasma Glucose (mg/dL)

N = 82

N = 75

N = 81

Baseline Mean

203.6

191.3

194.3

Adjusted Mean Change from Baseline

7.0

6.7

-30.4

Difference from Glipizide

-37.4

Difference from Metformin

-37.2

After 18 weeks, treatment with glipizide and metformin hydrochloride tablets at doses up to 20 mg/2000 mg per day resulted in significantly lower mean final HbA 1c and significantly greater mean reductions in FPG compared to glipizide and metformin therapy. Treatment with glipizide and metformin hydrochloride tablets lowered the 3 hour postprandial glucose AUC, compared to baseline, to a significantly greater extent than did the glipizide and the metformin therapies. Glipizide and metformin hydrochloride tablets did not significantly affect fasting insulin levels.

There were no clinically meaningful differences in changes from baseline for all lipid parameters between glipizide and metformin hydrochloride tablet therapy and either metformin therapy or glipizide therapy. The adjusted mean changes from baseline in body weight were: glipizide and metformin hydrochloride tablets, 5 mg/500 mg, -0.3 kg; glipizide, -0.4 kg; and metformin, -2.7 kg. Weight loss was greater with metformin than with glipizide and metformin hydrochloride tablets.

Glipizide and Metformin Hydrochloride Tablets in Patients With Inadequate Glycemic Control On Diet and Exercise Alone

For patients with type 2 diabetes whose hyperglycemia cannot be satisfactorily managed with diet and exercise alone, the recommended starting dose of glipizide and metformin hydrochloride tablets is 2.5 mg/250 mg once a day with a meal. For patients whose FPG is 280 mg/dL to 320 mg/dL a starting dose of glipizide and metformin hydrochloride tablets, 2.5 mg/500 mg twice daily should be considered. The efficacy of glipizide and metformin hydrochloride tablets in patients whose FPG exceeds 320 mg/dL has not been established. Dosage increases to achieve adequate glycemic control should be made in increments of 1 tablet per day every 2 weeks up to maximum of 10 mg/1000 mg or 10 mg/2000 mg glipizide and metformin hydrochloride tablets per day given in divided doses. In clinical trials of glipizide and metformin hydrochloride tablets as initial therapy, there was no experience with total daily doses > 10 mg/2000 mg per day.

Glipizide and Metformin Hydrochloride Tablets in Patients With Inadequate Glycemic Control On A Sulfonylurea And/or Metformin

For patients not adequately controlled on either glipizide (or another sulfonylurea) or metformin alone, the recommended starting dose of glipizide and metformin hydrochloride tablets is 2.5 mg/500 mg or 5 mg/500 mg twice daily with the morning and evening meals. In order to avoid hypoglycemia, the starting dose of glipizide and metformin hydrochloride tablets should not exceed the daily doses of glipizide or metformin already being taken. The daily dose should be titrated in increments of no more than 5 mg/500 mg up to the minimum effective dose to achieve adequate control of blood glucose or to a maximum dose of 20 mg/2000 mg per day.

Patients previously treated with combination therapy of glipizide (or another sulfonylurea) plus metformin may be switched to glipizide and metformin hydrochloride tablets, 2.5 mg/500 mg or 5 mg/500 mg; the starting dose should not exceed the daily dose of glipizide (or equivalent dose of another sulfonylurea) and metformin already being taken. The decision to switch to the nearest equivalent dose or to titrate should be based on clinical judgment. Patients should be monitored closely for signs and symptoms of hypoglycemia following such a switch and the dose of glipizide and metformin hydrochloride tablets should be titrated as described above to achieve adequate control of blood glucose.

Recommendations for Use in Renal Impairment

Assess renal function prior to initiation of glipizide and metformin hydrochloride tablets and periodically thereafter.

Glipizide and metformin hydrochloride tablets are contraindicated in patients with an estimated glomerular filtration rate (eGFR) below 30 mL/minute/1.73 m 2.

Initiation of glipizide and metformin hydrochloride tablets in patients with an eGFR between 30 and 45 mL/minute/1.73 m 2 is not recommended.

In patients taking glipizide and metformin hydrochloride tablets whose eGFR later falls below 45 mL/min/1.73 m 2, assess the benefit risk of continuing therapy.

Discontinue glipizide and metformin hydrochloride tablets if the patient’s eGFR later falls below 30 mL/minute/1.73 m 2. (See WARNINGS.)

Discontinuation for Iodinated Contrast Imaging Procedure

Discontinue glipizide and metformin hydrochloride tablets at the time of, or prior to, an iodinated contrast imaging procedure in patients with an eGFR between 30 and 60 mL/min/1.73 m 2; in patients with a history of liver disease, alcoholism or heart failure; or in patients who will be administered intra-arterial iodinated contrast. Re-evaluate eGFR 48 hours after the imaging procedure; restart glipizide and metformin hydrochloride tablets if renal function is stable.


Structured Label Content

Race

No information is available on race differences in the pharmacokinetics of glipizide.

No studies of metformin pharmacokinetic parameters according to race have been performed. In controlled clinical studies of metformin in patients with type 2 diabetes, the antihyperglycemic effect was comparable in whites (n = 249), blacks (n = 51), and Hispanics (n = 24).

Gender

There is no information on the effect of gender on the pharmacokinetics of glipizide.

Metformin pharmacokinetic parameters did not differ significantly in subjects with or without type 2 diabetes when analyzed according to gender (males = 19, females = 16). Similarly, in controlled clinical studies in patients with type 2 diabetes, the antihyperglycemic effect of metformin was comparable in males and females.

Recent Major Changes (34066-1)

WARNING: LACTIC ACIDOSIS

Postmarketing cases of metformin-associated lactic acidosis have resulted in death, hypothermia, hypotension, and resistant bradyarrhythmias. The onset of metformin-associated lactic acidosis is often subtle, accompanied only by nonspecific symptoms such as malaise, myalgias, respiratory distress, somnolence, and abdominal pain. Metformin-associated lactic acidosis was characterized by elevated blood lactate levels (> 5 mmol/Liter), anion gap acidosis (without evidence of ketonuria or ketonemia), an increased lactate/pyruvate ratio; and metformin plasma levels generally > 5 mcg/mL [see PRECAUTIONS].

Risk factors for metformin-associated lactic acidosis include renal impairment, concomitant use of certain drugs (e.g., carbonic anhydrase inhibitors such as topiramate), age 65 years old or greater, having a radiological study with contrast, surgery and other procedures, hypoxic states (e.g., acute congestive heart failure), excessive alcohol intake, and hepatic impairment.

Steps to reduce the risk of and manage metformin-associated lactic acidosis in these high risk groups are provided [see PRECAUTIONS].

If metformin-associated lactic acidosis is suspected, immediately discontinue glipizide and metformin hydrochloride tablets and institute general supportive measures in a hospital setting. Prompt hemodialysis is recommended [see PRECAUTIONS].

Section 51945-4 (51945-4)

DRUG: Glipizide and Metformin Hydrochloride

GENERIC: Glipizide and Metformin Hydrochloride

DOSAGE: TABLET, FILM COATED

ADMINSTRATION: ORAL

NDC: 70518-0373-0

NDC: 70518-0373-1

COLOR: pink

SHAPE: OVAL

SCORE: No score

SIZE: 17 mm

IMPRINT: 93;7457

PACKAGING: 90 in 1 BOTTLE, PLASTIC

PACKAGING: 180 in 1 BOTTLE, PLASTIC

ACTIVE INGREDIENT(S):

  • METFORMIN HYDROCHLORIDE 500mg in 1
  • GLIPIZIDE 5mg in 1

INACTIVE INGREDIENT(S):

  • STARCH, CORN
  • CROSCARMELLOSE SODIUM
  • MAGNESIUM STEARATE
  • CELLULOSE, MICROCRYSTALLINE
  • POLYETHYLENE GLYCOL 3350
  • POLYETHYLENE GLYCOL 4000
  • POLYVINYL ALCOHOL, UNSPECIFIED
  • POVIDONE K30
  • POVIDONE K90
  • TALC
  • TITANIUM DIOXIDE
  • FERROSOFERRIC OXIDE
  • FERRIC OXIDE RED
  • FERRIC OXIDE YELLOW

Alcohol

Alcohol is known to potentiate the effect of metformin on lactate metabolism. Warn patients against excessive alcohol intake while receiving glipizide and metformin hydrochloride tablets.

Glipizide

Gastrointestinal absorption of glipizide is uniform, rapid, and essentially complete. Peak plasma concentrations occur 1 to 3 hours after a single oral dose. Glipizide does not accumulate in plasma on repeated oral administration. Total absorption and disposition of an oral dose was unaffected by food in normal volunteers, but absorption was delayed by about 40 minutes.

Furosemide

A single-dose, metformin-furosemide drug interaction study in healthy subjects demonstrated that pharmacokinetic parameters of both compounds were affected by coadministration. Furosemide increased the metformin plasma and blood C max by 22% and blood AUC by 15%, without any significant change in metformin renal clearance. When administered with metformin, the C max and AUC of furosemide were 31% and 12% smaller, respectively, than when administered alone, and the terminal half-life was decreased by 32%, without any significant change in furosemide renal clearance. No information is available about the interaction of metformin and furosemide when coadministered chronically.

Geriatrics

There is no information on the pharmacokinetics of glipizide in elderly patients.

Limited data from controlled pharmacokinetic studies of metformin in healthy elderly subjects suggest that total plasma clearance is decreased, the half-life is prolonged, and C max is increased, when compared to healthy young subjects. From these data, it appears that the change in metformin pharmacokinetics with aging is primarily accounted for by a change in renal function (see Table 1).

Table 1: Select Mean (± SD) Metformin Pharmacokinetic Parameters Following Single or Multiple Oral Doses of Metformin

Subject Groups: Metformin Dose

All doses given fasting except the first 18 doses of the multiple-dose studies

(Number of Subjects)

C max

Peak plasma concentration

(mcg/mL)

T max

Time to peak plasma concentration

(hrs)

Renal Clearance

(mL/min)

Healthy, Nondiabetic Adults:

500 mg SD

SD = single dose
(24)

1.03 (± 0.33)

2.75 (± 0.81)

600 (± 132)

850 mg SD (74)

Combined results (average means) of 5 studies: mean age 32 years (range 23 to 59 years)

1.60 (± 0.38)

2.64 (± 0.82)

552 (± 139)

850 mg t.i.d. for 19 doses

Kinetic study done following dose 19, given fasting
(9)

2.01 (± 0.42)

1.79 (± 0.94)

642 (± 173)

Adults with Type 2 Diabetes:

850 mg SD (23)

1.48 (± 0.5)

3.32 (± 1.08)

491 (± 138)

850 mg t.i.d. for 19 doses

(9)

1.90 (± 0.62)

2.01 (± 1.22)

550 (± 160)

Elderly

Elderly subjects, mean age 71 years (range 65 to 81 years)
, Healthy Nondiabetic Adults:

850 mg SD (12)

2.45 (± 0.70)

2.71 (± 1.05)

412 (± 98)

Renal-impaired Adults: 850 mg SD

Mild (CL cr

CL cr = creatinine clearance normalized to body surface area of 1.73 m 2
61 to 90 mL/min) (5)

1.86 (± 0.52)

3.20 (± 0.45)

384 (± 122)

Moderate (CL cr 31 to 60 mL/min) (4)

4.12 (± 1.83)

3.75 (± 0.50)

108 (± 57)

Severe (CL cr 10 to 30 mL/min) (6)

3.93 (± 0.92)

4.01 (± 1.10)

130 (± 90)

Nifedipine

A single-dose, metformin-nifedipine drug interaction study in normal healthy volunteers demonstrated that coadministration of nifedipine increased plasma metformin C max and AUC by 20% and 9%, respectively, and increased the amount excreted in the urine. T max and half-life were unaffected. Nifedipine appears to enhance the absorption of metformin. Metformin had minimal effects on nifedipine.

Pediatrics

No data from pharmacokinetic studies in pediatric subjects are available for glipizide.

After administration of a single oral metformin 500 mg tablet with food, geometric mean metformin C max and AUC differed < 5% between pediatric type 2 diabetic patients (12 to 16 years of age) and gender- and weight-matched healthy adults (20 to 45 years of age), all with normal renal function.

Description (DESCRIPTION)

Glipizide and metformin hydrochloride tablets, USP contain 2 oral antihyperglycemic drugs used in the management of type 2 diabetes, glipizide, USP and metformin hydrochloride, USP.

Glipizide, USP is an oral antihyperglycemic drug of the sulfonylurea class. The chemical name for glipizide, USP is 1-cyclohexyl-3-[[ p-[2-(5-methylpyrazinecarboxamido)ethyl]phenyl]sulfonyl]urea. Glipizide, USP is a whitish, odorless powder with a pK a of 5.9. It is insoluble in water and alcohols, but soluble in 0.1 N NaOH; it is freely soluble in dimethylformamide. The structural formula is represented below.

C 21H 27N 5O 4S M.W. 445.55

Metformin hydrochloride, USP is an oral antihyperglycemic drug used in the management of type 2 diabetes. Metformin hydrochloride, USP ( N, N-dimethylimidodicarbonimidic diamide monohydrochloride) is not chemically or pharmacologically related to sulfonylureas, thiazolidinediones, or α-glucosidase inhibitors. It is a white to off-white crystalline compound. Metformin hydrochloride, USP is freely soluble in water and is practically insoluble in acetone, ether, and chloroform. The pK a of metformin is 12.4. The pH of a 1% aqueous solution of metformin hydrochloride, USP is 6.68. The structural formula is as shown:

C 4H 12ClN 5 M.W. 165.63

Glipizide and metformin hydrochloride tablets, USP for oral administration contain 2.5 mg glipizide, USP with 250 mg metformin hydrochloride, USP, 2.5 mg glipizide, USP with 500 mg metformin hydrochloride, USP, and 5 mg glipizide, USP with 500 mg metformin hydrochloride, USP. In addition, each tablet contains the following inactive ingredients: corn starch, croscarmellose sodium, magnesium stearate, microcrystalline cellulose, polyethylene glycol, polyvinyl alcohol-part. hydrolyzed, povidone, talc, and titanium dioxide. Additionally, 2.5 mg/250 mg and 5 mg/500 mg tablets contain iron oxide black, iron oxide red, and iron oxide yellow. The tablets are film-coated, which provides color differentiation.

How Supplied (HOW SUPPLIED)

Glipizide and metformin hydrochloride tablets, USP are available as follows:

5 mg/500 mg are pink, film-coated, modified capsule-shaped tablets, debossed with “93” on one side and “7457” on the other in

NDC: 70518-0373-00

NDC: 70518-0373-01

PACKAGING: 90 in 1 BOTTLE PLASTIC

PACKAGING: 180 in 1 BOTTLE PLASTIC

STORAGE

Store at 20° to 25°C (68° to 77°F) [see USP Controlled Room Temperature].

Dispense in a tight, light-resistant container as defined in the USP, with a child-resistant closure (as required).

Repackaged and Distributed By:

Remedy Repack, Inc.

625 Kolter Dr. Suite #4 Indiana, PA 1-724-465-8762

Hypoglycemia

Glipizide and metformin hydrochloride tablets are capable of producing hypoglycemia; therefore, proper patient selection, dosing, and instructions are important to avoid potential hypoglycemic episodes. The risk of hypoglycemia is increased when caloric intake is deficient, when strenuous exercise is not compensated by caloric supplementation, or during concomitant use with other glucose-lowering agents or ethanol. Renal insufficiency may cause elevated drug levels of both glipizide and metformin hydrochloride. Hepatic insufficiency may increase drug levels of glipizide and may also diminish gluconeogenic capacity, both of which increase the risk of hypoglycemic reactions. Elderly, debilitated, or malnourished patients and those with adrenal or pituitary insufficiency or alcohol intoxication are particularly susceptible to hypoglycemic effects. Hypoglycemia may be difficult to recognize in the elderly and people who are taking beta-adrenergic blocking drugs.

Vitamin B 12

In controlled clinical trials with metformin of 29 weeks duration, a decrease to subnormal levels of previously normal serum vitamin B 12, without clinical manifestations, was observed in approximately 7% of patients. Such decrease, possibly due to interference with B 12 absorption from the B 12-intrinsic factor complex is, however, very rarely associated with anemia and appears to be rapidly reversible with discontinuation of metformin or vitamin B 12 supplementation. Measurement of hematologic parameters on an annual basis is advised in patients on metformin and any apparent abnormalities should be appropriately investigated and managed (see PRECAUTIONS, Laboratory Tests).

Certain individuals (those with inadequate vitamin B 12 or calcium intake or absorption) appear to be predisposed to developing subnormal vitamin B 12 levels. In these patients, routine serum vitamin B 12 measurements at 2- to 3-year intervals may be useful.

Geriatric Use

Of the 345 patients who received glipizide and metformin hydrochloride tablets, 2.5 mg/250 mg and 2.5 mg/500 mg in the initial therapy trial, 67 (19.4%) were aged 65 and older while 5 (1.4%) were aged 75 and older. Of the 87 patients who received glipizide and metformin hydrochloride tablets in the second-line therapy trial, 17 (19.5%) were aged 65 and older while 1 (1.1%) was at least aged 75. No overall differences in effectiveness or safety were observed between these patients and younger patients in either the initial therapy trial or the second-line therapy trial, and other reported clinical experience has not identified differences in response between the elderly and younger patients, but greater sensitivity of some older individuals cannot be ruled out.

In general, dose selection for an elderly patient should be cautious, usually starting at the low end of the dosing range, reflecting the greater frequency of decreased hepatic, renal, or cardiac function, and of concomitant disease or other drug therapy and the higher risk of lactic acidosis. Assess renal function more frequently in elderly patients (see also WARNINGS, PRECAUTIONS and DOSAGE AND ADMINISTRATION).

Pediatric Use

Safety and effectiveness of glipizide and metformin hydrochloride tablets in pediatric patients have not been established.

Nursing Mothers

Although it is not known whether glipizide is excreted in human milk, some sulfonylurea drugs are known to be excreted in human milk. Studies in lactating rats show that metformin is excreted into milk and reaches levels comparable to those in plasma. Similar studies have not been conducted in nursing mothers. Because the potential for hypoglycemia in nursing infants may exist, a decision should be made whether to discontinue nursing or to discontinue glipizide and metformin hydrochloride tablets, taking into account the importance of the drug to the mother. If glipizide and metformin hydrochloride tablets are discontinued, and if diet alone is inadequate for controlling blood glucose, insulin therapy should be considered.

Hemolytic Anemia (Hemolytic anemia)

Treatment of patients with glucose-6-phosphate dehydrogenase (G6PD) deficiency with sulfonylurea agents can lead to hemolytic anemia. Because glipizide and metformin hydrochloride tablets belong to the class of sulfonylurea agents, caution should be used in patients with G6PD deficiency and a non-sulfonylurea alternative should be considered. In postmarketing reports, hemolytic anemia has also been reported in patients who did not have known G6PD deficiency.

Laboratory Tests

Periodic fasting blood glucose (FBG) and HbA 1c measurements should be performed to monitor therapeutic response.

Initial and periodic monitoring of hematologic parameters (e.g., hemoglobin/hematocrit and red blood cell indices) and renal function (serum creatinine) should be performed, at least on an annual basis. While megaloblastic anemia has rarely been seen with metformin therapy, if this is suspected, vitamin B 12 deficiency should be excluded.

Instruct patients to inform their doctor that they are taking glipizide and metformin hydrochloride tablets prior to any surgical or radiological procedure, as temporary discontinuation of glipizide and metformin hydrochloride tablets may be required until renal function has been confirmed to be normal (see PRECAUTIONS).

Renal Impairment

The metabolism and excretion of glipizide may be slowed in patients with impaired renal function (see CONTRAINDICATIONS, WARNINGS, PRECAUTIONS, and DOSAGE AND ADMINISTRATION).

In patients with decreased renal function, the plasma and blood half-life of metformin is prolonged and the renal clearance is decreased (see Table 1; also, see WARNINGS).

Contraindications (CONTRAINDICATIONS)

Glipizide and metformin hydrochloride tablets are contraindicated in patients with:

  • Severe renal impairment (eGFR below 30 mL/min/1.73 m 2) (see WARNINGS and PRECAUTIONS).
  • Known hypersensitivity to glipizide or metformin hydrochloride.
  • Acute or chronic metabolic acidosis, including diabetic ketoacidosis, with or without coma. Diabetic ketoacidosis should be treated with insulin.
Hepatic Impairment

The metabolism and excretion of glipizide may be slowed in patients with impaired hepatic function (see PRECAUTIONS).

No pharmacokinetic studies have been conducted in patients with hepatic insufficiency for metformin.

Mechanism of Action

Glipizide and metformin hydrochloride tablets combine glipizide and metformin hydrochloride, 2 antihyperglycemic agents with complementary mechanisms of action, to improve glycemic control in patients with type 2 diabetes.

Glipizide appears to lower blood glucose acutely by stimulating the release of insulin from the pancreas, an effect dependent upon functioning beta cells in the pancreatic islets. Extrapancreatic effects may play a part in the mechanism of action of oral sulfonylurea hypoglycemic drugs. The mechanism by which glipizide lowers blood glucose during long-term administration has not been clearly established. In man, stimulation of insulin secretion by glipizide in response to a meal is undoubtedly of major importance. Fasting insulin levels are not elevated even on long-term glipizide administration, but the postprandial insulin response continues to be enhanced after at least 6 months of treatment.

Metformin hydrochloride is an antihyperglycemic agent that improves glucose tolerance in patients with type 2 diabetes, lowering both basal and postprandial plasma glucose. Metformin hydrochloride decreases hepatic glucose production, decreases intestinal absorption of glucose, and improves insulin sensitivity by increasing peripheral glucose uptake and utilization.

Indications and Usage (INDICATIONS AND USAGE)

Glipizide and metformin hydrochloride tablets USP are indicated as an adjunct to diet and exercise to improve glycemic control in adults with type 2 diabetes mellitus.

General Considerations

Dosage of glipizide and metformin hydrochloride tablets must be individualized on the basis of both effectiveness and tolerance while not exceeding the maximum recommended daily dose of 20 mg glipizide/2000 mg metformin. Glipizide and metformin hydrochloride tablets should be given with meals and should be initiated at a low dose, with gradual dose escalation as described below, in order to avoid hypoglycemia (largely due to glipizide), reduce GI side effects (largely due to metformin), and permit determination of the minimum effective dose for adequate control of blood glucose for the individual patient.

With initial treatment and during dose titration, appropriate blood glucose monitoring should be used to determine the therapeutic response to glipizide and metformin hydrochloride tablets and to identify the minimum effective dose for the patient. Thereafter, HbA 1c should be measured at intervals of approximately 3 months to assess the effectiveness of therapy. The therapeutic goal in all patients with type 2 diabetes is to decrease FPG, PPG, and HbA 1c to normal or as near normal as possible. Ideally, the response to therapy should be evaluated using HbA 1c, which is a better indicator of long-term glycemic control than FPG alone.

No studies have been performed specifically examining the safety and efficacy of switching to glipizide and metformin hydrochloride tablet therapy in patients taking concomitant glipizide (or other sulfonylurea) plus metformin. Changes in glycemic control may occur in such patients, with either hyperglycemia or hypoglycemia possible. Any change in therapy of type 2 diabetes should be undertaken with care and appropriate monitoring.

When colesevelam is coadministered with glipizide ER, maximum plasma concentration and total exposure to glipizide is reduced. Therefore, glipizide and metformin hydrochloride tablets should be administered at least 4 hours prior to colesevelam.

Macrovascular Outcomes

There have been no clinical studies establishing conclusive evidence of macrovascular risk reduction with glipizide and metformin hydrochloride tablets or any other antidiabetic drug.

Metformin Hydrochloride

The apparent volume of distribution (V/F) of metformin following single oral doses of 850 mg averaged 654 ± 358 L. Metformin is negligibly bound to plasma proteins. Metformin partitions into erythrocytes, most likely as a function of time. At usual clinical doses and dosing schedules of metformin, steady state plasma concentrations of metformin are reached within 24 to 48 hours and are generally < 1 mcg/mL. During controlled clinical trials, maximum metformin plasma levels did not exceed 5 mcg/mL, even at maximum doses.

Metformin Hydrochloride (Metformin hydrochloride)

The absolute bioavailability of a 500 mg metformin hydrochloride tablet given under fasting conditions is approximately 50% to 60%. Studies using single oral doses of metformin tablets of 500 mg and 1500 mg, and 850 mg to 2550 mg, indicate that there is a lack of dose proportionality with increasing doses, which is due to decreased absorption rather than an alteration in elimination. Food decreases the extent of and slightly delays the absorption of metformin, as shown by approximately a 40% lower peak concentration and a 25% lower AUC in plasma and a 35 minute prolongation of time to peak plasma concentration following administration of a single 850 mg tablet of metformin with food, compared to the same tablet strength administered fasting. The clinical relevance of these decreases is unknown.

Patient Information About (PATIENT INFORMATION ABOUT)

Glipizide (glip'-i-zide) and Metformin Hydrochloride (met-for'-min hye"-dro-klor'-ide) Tablets

Rx only

WARNING: A small number of people who have taken metformin hydrochloride have developed a serious condition called lactic acidosis. Tell your doctor if you have severe kidney problems. (See Question Nos. 9 to 12.)

Q1. Why do I need to take glipizide and metformin hydrochloride tablets?

Your doctor has prescribed glipizide and metformin hydrochloride tablets to treat your type 2 diabetes. This is also known as non-insulin-dependent diabetes mellitus.

Q2. What is type 2 diabetes?

People with diabetes are not able to make enough insulin and/or respond normally to the insulin their body does make. When this happens, sugar (glucose) builds up in the blood. This can lead to serious medical problems, including kidney damage, amputations, and blindness. Diabetes is also closely linked to heart disease. The main goal of treating diabetes is to lower your blood sugar to a normal level.

Q3. Why is it important to control type 2 diabetes?

The main goal of treating diabetes is to lower your blood sugar to a normal level. Studies have shown that good control of blood sugar may prevent or delay complications, such as heart disease, kidney disease, or blindness.

Q4. How is type 2 diabetes usually controlled?

High blood sugar can be lowered by diet and exercise, a number of oral medications, and insulin injections. Before taking glipizide and metformin hydrochloride tablets you should first try to control your diabetes by exercise and weight loss. Even if you are taking glipizide and metformin hydrochloride tablets, you should still exercise and follow the diet recommended for your diabetes.

Q5. Does glipizide and metformin hydrochloride tablets work differently from other glucose-control medications?

Yes, they do. Glipizide and metformin hydrochloride tablets combine 2 glucose-lowering drugs, glipizide and metformin. These 2 drugs work together to improve the different metabolic defects found in type 2 diabetes. Glipizide lowers blood sugar primarily by causing more of the body’s own insulin to be released, and metformin lowers blood sugar, in part, by helping your body use your own insulin more effectively. Together, they are efficient in helping you to achieve better glucose control.

Q6. What happens if my blood sugar is still too high?

When blood sugar cannot be lowered enough by glipizide and metformin hydrochloride tablets, your doctor may prescribe injectable insulin or take other measures to control your diabetes.

Q7. Can glipizide and metformin hydrochloride tablets cause side effects?

Glipizide and metformin hydrochloride tablets, like all blood sugar-lowering medications, can cause side effects in some patients. Most of these side effects are minor. However, there are also serious, but rare, side effects related to glipizide and metformin hydrochloride tablets (see Question Nos. 9 to 13).

Q8. What are the most common side effects of glipizide and metformin hydrochloride tablets?

The most common side effects of glipizide and metformin hydrochloride tablets are normally minor ones such as diarrhea, nausea, and upset stomach. If these side effects occur, they usually occur during the first few weeks of therapy. Taking your glipizide and metformin hydrochloride tablets with meals can help reduce these side effects.

Symptoms of hypoglycemia (low blood sugar), such as lightheadedness, dizziness, shakiness, or hunger may occur. The risk of hypoglycemic symptoms increases when meals are skipped, too much alcohol is consumed, or heavy exercise occurs without enough food. Following the advice of your doctor can help you to avoid these symptoms.

Q9. Are there any serious side effects that glipizide and metformin hydrochloride tablets can cause?

People who have a condition known as glucose-6-phosphate dehydrogenase (G6PD) deficiency and who take glipizide and metformin hydrochloride tablets may develop hemolytic anemia (fast breakdown of red blood cells). G6PD deficiency usually runs in families. Tell your doctor if you or any members of your family have been diagnosed with G6PD deficiency before you start taking glipizide and metformin hydrochloride tablets.

Glipizide and metformin hydrochloride tablets rarely cause serious side effects. Metformin, one of the medicines in glipizide and metformin hydrochloride tablets, can cause a rare but serious condition called lactic acidosis (a buildup of an acid in the blood) that can cause death. Lactic acidosis is a medical emergency and must be treated in the hospital.

Call your doctor right away if you have any of the following symptoms, which could be signs of lactic acidosis:

  • you feel cold in your hands or feet
  • you feel dizzy or lightheaded
  • you have a slow or irregular heartbeat
  • you feel very weak or tired
  • you have unusual (not normal) muscle pain
  • you have trouble breathing
  • you feel sleepy or drowsy
  • you have stomach pains, nausea or vomiting

Most people who have had lactic acidosis with metformin have other things that, combined with the metformin, led to the lactic acidosis. Tell your doctor if you have any of the following, because you have a higher chance for getting lactic acidosis with glipizide and metformin tablets if you:

  • have severe kidney problems
  • your kidneys are affected by certain x-ray tests that use injectable dye. Tell your doctor if you are going to get an injection or dye or contrast agents for an x-ray procedure.
  • have liver problems
  • drink alcohol very often, or drink a lot of alcohol in short-term “binge” drinking
  • get dehydrated (lose a large amount of body fluids). This can happen if you are sick with a fever, vomiting, or diarrhea. Dehydration can also happen when you sweat a lot with activity or exercise and do not drink enough fluids
  • have surgery
  • have a heart attack, severe infection, or stroke

The best way to keep from having a problem with lactic acidosis from metformin is to tell your doctor if you have any of the problems in the list above. Your doctor may decide to stop your glipizide and metformin hydrochloride tablets for a while if you have any of these things.

Glipizide and metformin hydrochloride tablets can have other serious side effects. See “ What are the possible side effects of glipizide and metformin hydrochloride tablets?

Q10. Can I take glipizide and metformin hydrochloride tablets with other medications?

Remind your doctor that you are taking glipizide and metformin hydrochloride tablets when any new drug is prescribed or a change is made in how you take a drug already prescribed.

Glipizide and metformin hydrochloride tablets may interfere with the way some drugs work and some drugs may interfere with the action of glipizide and metformin hydrochloride tablets.

Q11. What if I become pregnant while taking glipizide and metformin hydrochloride tablets?

Tell your doctor if you plan to become pregnant or have become pregnant. As with other oral glucose-control medications, you should not take glipizide and metformin hydrochloride tablets during pregnancy.

Usually your doctor will prescribe insulin while you are pregnant. As with all medications, you and your doctor should discuss the use of glipizide and metformin hydrochloride tablets if you are nursing a child.

Q12. How do I take glipizide and metformin hydrochloride tablets?

Your doctor will tell you how many glipizide and metformin hydrochloride tablets to take and how often.

This should also be printed on the label of your prescription. You will probably be started on a low dose of glipizide and metformin hydrochloride tablets and your dosage will be increased gradually until your blood sugar is controlled.

Q13. Where can I get more information about glipizide and metformin hydrochloride tablets?

This leaflet is a summary of the most important information about glipizide and metformin hydrochloride tablets.

If you have any questions or problems, you should talk to your doctor or other healthcare provider about type 2 diabetes as well as glipizide and metformin hydrochloride tablets and its side effects. There is also a leaflet (package insert) written for health professionals that your pharmacist can let you read.

Repackaged and Distributed By:

Remedy Repack, Inc.

625 Kolter Dr. Suite #4 Indiana, PA 1-724-465-8762

Renal and Hepatic Disease (Renal and hepatic disease)

The metabolism and excretion of glipizide may be slowed in patients with impaired renal and/or hepatic function. If hypoglycemia should occur in such patients, it may be prolonged and appropriate management should be instituted.

Gastrointestinal Reactions

Among the most common clinical adverse events in the initial therapy trial were diarrhea and nausea/vomiting; the incidences of these events were lower with both glipizide and metformin hydrochloride tablets dosage strengths than with metformin therapy. There were 4 (1.2%) patients in the initial therapy trial who discontinued glipizide and metformin hydrochloride tablet therapy due to gastrointestinal (GI) adverse events. Gastrointestinal symptoms of diarrhea, nausea/vomiting, and abdominal pain were comparable among glipizide and metformin hydrochloride tablets, glipizide and metformin in the second-line therapy trial. There were 4 (4.6%) patients in the second-line therapy trial who discontinued glipizide and metformin hydrochloride tablet therapy due to GI adverse events.

Specific Patient Populations

Glipizide and metformin hydrochloride tablets are not recommended for use during pregnancy or for use in pediatric patients. The initial and maintenance dosing of glipizide and metformin hydrochloride tablets should be conservative in patients with advanced age, due to the potential for decreased renal function in this population. Any dosage adjustment requires a careful assessment of renal function. Generally, elderly, debilitated, and malnourished patients should not be titrated to the maximum dose of glipizide and metformin hydrochloride tablets to avoid the risk of hypoglycemia. Monitoring of renal function is necessary to aid in prevention of metformin-associated lactic acidosis, particularly in the elderly. (See WARNINGS and PRECAUTIONS.)

Carbonic Anhydrase Inhibitors

Topiramate or other carbonic anhydrase inhibitors (e.g., zonisamide, acetazolamide or dichlorphenamide) frequently causes a decrease in serum bicarbonate and induce non-anion gap, hyperchloremic metabolic acidosis. Concomitant use of these drugs with glipizide and metformin hydrochloride tablets may increase the risk for lactic acidosis. Consider more frequent monitoring of these patients.

Patients With Type 2 Diabetes

In the presence of normal renal function, there are no differences between single- or multiple-dose pharmacokinetics of metformin between patients with type 2 diabetes and normal subjects (see Table 1), nor is there any accumulation of metformin in either group at usual clinical doses.

Drugs That Reduce Metformin Clearance (Drugs that reduce metformin clearance)

Concomitant use of drugs that interfere with common renal tubular transport systems involved in the renal elimination of metformin (e.g., organic cationic transporter-2 [OCT2] / multidrug and toxin extrusion [MATE] inhibitors such as ranolazine, vandetanib, dolutegravir, and cimetidine) could increase systemic exposure to metformin and may increase the risk for lactic acidosis. Consider the benefits and risks of concomitant use. Such interaction between metformin and oral cimetidine has been observed in normal healthy volunteers in both single- and multiple-dose, metformin-cimetidine drug interaction studies, with a 60% increase in peak metformin plasma and whole blood concentrations and a 40% increase in plasma and whole blood metformin AUC. There was no change in elimination half-life in the single-dose study. Metformin had no effect on cimetidine pharmacokinetics.

In healthy volunteers, the pharmacokinetics of metformin and propranolol, and metformin and ibuprofen were not affected when coadministered in single-dose interaction studies.

Metformin is negligibly bound to plasma proteins and is, therefore, less likely to interact with highly protein-bound drugs such as salicylates, sulfonamides, chloramphenicol, and probenecid, as compared to the sulfonylureas, which are extensively bound to serum proteins.

Teratogenic Effects: Pregnancy Category C

Recent information strongly suggests that abnormal blood glucose levels during pregnancy are associated with a higher incidence of congenital abnormalities. Most experts recommend that insulin be used during pregnancy to maintain blood glucose as close to normal as possible. Because animal reproduction studies are not always predictive of human response, glipizide and metformin hydrochloride tablets should not be used during pregnancy unless clearly needed (see below).

There are no adequate and well-controlled studies in pregnant women with glipizide and metformin hydrochloride tablets or their individual components. No animal studies have been conducted with the combined products in glipizide and metformin hydrochloride tablets. The following data are based on findings in studies performed with the individual products.

Glipizide

Glipizide was found to be mildly fetotoxic in rat reproductive studies at all dose levels (5 to 50 mg/kg). This fetotoxicity has been similarly noted with other sulfonylureas, such as tolbutamide and tolazamide. The effect is perinatal and believed to be directly related to the pharmacologic (hypoglycemic) action of glipizide. In studies in rats and rabbits, no teratogenic effects were found.

Metformin Hydrochloride

Metformin alone was not teratogenic in rats or rabbits at doses up to 600 mg/kg/day. This represents an exposure of about 2 and 6 times the MRHD dose of 2000 mg of the metformin component of glipizide and metformin hydrochloride tablets based on body surface area comparisons for rats and rabbits, respectively. Determination of fetal concentrations demonstrated a partial placental barrier to metformin.

Nonteratogenic Effects

Prolonged severe hypoglycemia (4 to 10 days) has been reported in neonates born to mothers who were receiving a sulfonylurea drug at the time of delivery. This has been reported more frequently with the use of agents with prolonged half-lives. It is not recommended that glipizide and metformin hydrochloride tablets be used during pregnancy. However, if they are used, glipizide and metformin hydrochloride tablets should be discontinued at least 1 month before the expected delivery date (see Pregnancy, Teratogenic Effects: Pregnancy Category C).

Glipizide and Metformin Hydrochloride Tablets

Lactic Acidosis—There have been postmarketing cases of metformin-associated lactic acidosis, including fatal cases. These cases had a subtle onset and were accompanied by nonspecific symptoms such as malaise, myalgias, abdominal pain, respiratory distress, or increased somnolence; however, hypotension and resistant bradyarrhythmias have occurred with severe acidosis. Metformin-associated lactic acidosis was characterized by elevated blood lactate concentrations (> 5 mmol/L), anion gap acidosis (without evidence of ketonuria or ketonemia), and an increases lactate:pyruvate ratio; metformin plasma levels were generally > 5 mcg/mL. Metformin decreases liver uptake of lactate increasing lactate blood levels which may increase the risk of lactic acidosis, especially in patients at risk.

If metformin-associated lactic acidosis is suspected, general supportive measures should be instituted promptly in a hospital setting, along with immediate discontinuation of glipizide and metformin hydrochloride tablets. In glipizide and metformin hydrochloride tablet-treated patients with a diagnosis or strong suspicion of lactic acidosis, prompt hemodialysis is recommended to correct the acidosis and remove accumulated metformin (metformin hydrochloride is dialyzable with a clearance of up to 170 mL/min under good hemodynamic conditions). Hemodialysis has often resulted in reversal of symptoms and recovery.

Educate patients and their families about the symptoms of lactic acidosis and if these symptoms occur instruct them to discontinue glipizide and metformin hydrochloride tablets and report these symptoms to their healthcare provider.

For each of the known and possible risk factors for metformin-associated lactic acidosis, recommendations to reduce the risk of and manage metformin-associated lactic acidosis are provided below:

  • Renal Impairment—The postmarketing metformin-associated lactic acidosis cases primarily occurred in patients with significant renal impairment. The risk of metformin accumulation and metformin-associated lactic acidosis increases with the severity of renal impairment because metformin is substantially excreted by the kidney. Clinical recommendations based upon the patients renal function include (see DOSAGE AND ADMINISTRATION, CLINICAL PHARMACOLOGY):
    • Before initiating glipizide and metformin hydrochloride tablets, obtain an estimated glomerular filtration rate (eGFR)
    • Glipizide and metformin hydrochloride tablets are contraindicated in patients with an eGFR less than 30 mL/min/1.73 m 2. Initiation of glipizide and metformin hydrochloride tablets is not recommended in patients with eGFR between 30 to 45 mL/min/1.73 m 2 (see CONTRAINDICATIONS).
    • Obtain an eGFR at least annually in all patients taking glipizide and metfomin hydrochloride tablets. In patients at risk for the development of renal impairment (e.g., the elderly), renal function should be assessed more frequently.
    • In patients taking glipizide and metformin hydrochloride tablets whose eGFR falls below 45 mL/min/1.73 m 2, assess the benefit and risk of continuing therapy.
  • Drug interactions—The concomitant use of glipizide and metformin hydrochloride tablets with specific drugs may increase the risk of metformin-associated lactic acidosis: those that impair renal function, result in significant hemodynamic change, interfere with acid-base balance, or increase metformin accumulation. Consider more frequent monitoring of patients.
  • Age 65 or Greater—The risk of metformin-associated lactic acidosis increases with the patient’s age because elderly patients have a greater likelihood of having hepatic, renal, or cardiac impairment than younger patients. Assess renal function more frequently in elderly patients.
  • Radiologic studies with contrast—Administration of intravascular iodinated contrast agents in metformin-treated patients has led to an acute decrease in renal function and the occurrence of lactic acidosis. Stop glipizide and metformin hydrochloride tablets at the time of, or prior to, an iodinated contrast imaging procedure in patients with an eGFR between 30 and 60 mL/min/1.73 m 2; in patients with a history of hepatic impairment, alcoholism or heart failure, or in patients who will be administered intra-arterial iodinated contrast. Re-evaluate eGFR 48 hours after the imagining procedure, and restart glipizide and metformin hydrochloride tablets if renal function is stable.
  • Surgery and other procedures—Withholding of food and fluids during surgical or other procedures may increase the risk for volume depletion, hypotension, and renal impairment. Glipizide and metformin hydrochloride tablets should be temporarily discontinued while patients have restricted food and fluid intake.
  • Hypoxic states—Several of the postmarketing cases of metformin-associated lactic acidosis occurred in the setting of acute congestive heart failure (particularly when accompanied by hypoperfusion and hypoxemia). Cardiovascular collapse (shock), acute myocardial infarction, sepsis, and other conditions associated with hypoxemia have been associated with lactic acidosis and may cause prerenal azotemia. When such an event occurs, discontinue glipizide and metformin hydrochloride tablets.
  • Excessive Alcohol intake—Alcohol is known to potentiate the effect of metformin on lactate metabolism. Patients, therefore, should be warned against excessive alcohol intake, acute or chronic, while receiving glipizide and metformin hydrochloride tablets.
  • Hepatic impairment—Patients with hepatic impairment have developed cases of metformin-associated lactic acidosis. This may be due to impaired lactate clearance resulting in higher lactate blood levels. Therefore, avoid use of glipizide and metformin hydrochloride tablets in patients with clinical or laboratory evidence of hepatic disease.
Glipizide and Metformin Hydrochloride Tablets (Glipizide and metformin hydrochloride tablets)

In a single-dose study in healthy subjects, the glipizide and metformin components of glipizide and metformin hydrochloride tablets, 5 mg/500 mg were bioequivalent to coadministered glipizide tablets and metformin hydrochloride tablets. Following administration of a single glipizide and metformin hydrochloride 5 mg/500 mg tablet in healthy subjects with either a 20% glucose solution or a 20% glucose solution with food, there was a small effect of food on peak plasma concentration (C max) and no effect of food on area under the curve (AUC) of the glipizide component. Time to peak plasma concentration (T max) for the glipizide component was delayed 1 hour with food relative to the same tablet strength administered fasting with a 20% glucose solution. C max for the metformin component was reduced approximately 14% by food whereas AUC was not affected. T max for the metformin component was delayed 1 hour after food.

Carcinogenesis, Mutagenesis, Impairment of Fertility

No animal studies have been conducted with the combined products in glipizide and metformin hydrochloride tablets. The following data are based on findings in studies performed with the individual products.

Special Warning On Increased Risk of Cardiovascular Mortality (SPECIAL WARNING ON INCREASED RISK OF CARDIOVASCULAR MORTALITY)

The administration of oral hypoglycemic drugs has been reported to be associated with increased cardiovascular mortality as compared to treatment with diet alone or diet plus insulin. This warning is based on the study conducted by the University Group Diabetes Program (UGDP), a long-term prospective clinical trial designed to evaluate the effectiveness of glucose-lowering drugs in preventing or delaying vascular complications in patients with non-insulin-dependent diabetes. The study involved 823 patients who were randomly assigned to 1 of 4 treatment groups ( Diabetes 19 (Suppl. 2):747-830, 1970).

UGDP reported that patients treated for 5 to 8 years with diet plus a fixed dose of tolbutamide (1.5 grams per day) had a rate of cardiovascular mortality approximately 2½ times that of patients treated with diet alone. A significant increase in total mortality was not observed, but the use of tolbutamide was discontinued based on the increase in cardiovascular mortality, thus limiting the opportunity for the study to show an increase in overall mortality. Despite controversy regarding the interpretation of these results, the findings of the UGDP study provide an adequate basis for this warning. The patient should be informed of the potential risks and benefits of glipizide and of alternative modes of therapy.

Although only 1 drug in the sulfonylurea class (tolbutamide) was included in this study, it is prudent from a safety standpoint to consider that this warning may also apply to other hypoglycemic drugs in this class, in view of their close similarities in mode of action and chemical structure.

Patients With Inadequate Glycemic Control On Diet and Exercise Alone (Patients with Inadequate Glycemic Control on Diet and Exercise Alone)

In a 24 week, double-blind, active-controlled, multicenter international clinical trial, patients with type 2 diabetes, whose hyperglycemia was not adequately controlled with diet and exercise alone (hemoglobin A 1c [HbA 1c] > 7.5% and ≤ 12%, and fasting plasma glucose [FPG] < 300 mg/dL) were randomized to receive initial therapy with glipizide 5 mg, metformin 500 mg, glipizide and metformin hydrochloride tablets, 2.5 mg/250 mg, or glipizide and metformin hydrochloride tablets, 2.5 mg/500 mg. After 2 weeks, the dose was progressively increased (up to the 12 week visit) to a maximum of 4 tablets daily in divided doses as needed to reach a target mean daily glucose (MDG) of ≤ 130 mg/dL. Trial data at 24 weeks are summarized in Table 2.

Table 2: Active-Controlled Trial of Glipizide and Metformin Hydrochloride Tablets in Patients With Inadequate Glycemic Control on Diet and Exercise Alone: Summary of Trial Data at 24 Weeks

Glipizide

5 mg Tablets

Metformin

500 mg Tablets

Glipizide and Metformin Hydrochloride Tablets, 2.5 mg/250 mg

Glipizide and Metformin Hydrochloride Tablets, 2.5 mg/500 mg

Mean Final Dose

16.7 mg

1749 mg

7.9 mg/791 mg

7.4 mg/1477 mg

Hemoglobin A 1c (%)

N = 168

N = 171

N = 166

N = 163

Baseline Mean

9.17

9.15

9.06

9.10

Final Mean

7.36

7.67

6.93

6.95

Adjusted Mean Change from Baseline

-1.77

-1.46

-2.15

-2.14

Difference from Glipizide

-0.38

p < 0.001

-0.37

Difference from Metformin

-0.70

-0.69

% Patients with Final HbA 1c < 7%

43.5%

35.1%

59.6%

57.1%

Fasting Plasma Glucose (mg/dL)

N = 169

N = 176

N = 170

N = 169

Baseline Mean

210.7

207.4

206.8

203.1

Final Mean

162.1

163.8

152.1

148.7

Adjusted Mean Change from Baseline

-46.2

-42.9

-54.2

-56.5

Difference from Glipizide

-8.0

-10.4

Difference from Metformin

-11.3

-13.6

After 24 weeks, treatment with glipizide and metformin hydrochloride tablets, 2.5 mg/250 mg and 2.5 mg/500 mg resulted in significantly greater reduction in HbA 1c compared to glipizide and metformin therapy. Also, glipizide and metformin hydrochloride tablet, 2.5 mg/250 mg therapy resulted in significant reductions in FPG versus metformin therapy.

Increases above fasting glucose and insulin levels were determined at baseline and final study visits by measurement of plasma glucose and insulin for 3 hours following a standard mixed liquid meal. Treatment with glipizide and metformin hydrochloride tablets lowered the 3 hour postprandial glucose AUC, compared to baseline, to a significantly greater extent than did the glipizide and the metformin therapies. Compared to baseline, glipizide and metformin hydrochloride tablets enhanced the postprandial insulin response, but did not significantly affect fasting insulin levels.

There were no clinically meaningful differences in changes from baseline for all lipid parameters between glipizide and metformin hydrochloride tablet therapy and either metformin therapy or glipizide therapy. The adjusted mean changes from baseline in body weight were: glipizide and metformin hydrochloride tablets, 2.5 mg/250 mg, -0.4 kg; glipizide and metformin hydrochloride tablets, 2.5 mg/500 mg, -0.5 kg; glipizide, -0.2 kg; and metformin, -1.9 kg. Weight loss was greater with metformin than with glipizide and metformin hydrochloride tablets.

Patients With Inadequate Glycemic Control On Sulfonylurea Monotherapy (Patients with Inadequate Glycemic Control on Sulfonylurea Monotherapy)

In an 18-week, double-blind, active-controlled U.S. clinical trial, a total of 247 patients with type 2 diabetes not adequately controlled (HbA 1c ≥ 7.5% and ≤ 12%, and FPG < 300 mg/dL) while being treated with at least one-half the maximum labeled dose of a sulfonylurea (e.g., glyburide 10 mg, glipizide 20 mg) were randomized to receive glipizide (fixed dose, 30 mg), metformin (500 mg), or glipizide and metformin hydrochloride tablets, 5 mg/500 mg. The doses of metformin and glipizide and metformin hydrochloride tablets were titrated (up to the 8 week visit) to a maximum of 4 tablets daily as needed to achieve MDG ≤ 130 mg/dL. Trial data at 18 weeks are summarized in Table 3.

Table 3: Glipizide and Metformin Hydrochloride Tablets in Patients With Inadequate Glycemic Control on Sulfonylurea Alone: Summary of Trial Data at 18 Weeks

Glipizide

5 mg

Tablets

Metformin

500 mg Tablets

Glipizide and Metformin Hydrochloride Tablets,

5 mg/500 mg

Mean Final Dose

30.0 mg

1927 mg

17.5 mg/1747 mg

Hemoglobin A 1c (%)

N = 79

N = 71

N = 80

Baseline Mean

8.87

8.61

8.66

Final Adjusted Mean

8.45

8.36

7.39

Difference from Glipizide

-1.06

p < 0.001

Difference from Metformin

-0.98

% Patients with Final HbA 1c < 7%

8.9%

9.9%

36.3%

Fasting Plasma Glucose (mg/dL)

N = 82

N = 75

N = 81

Baseline Mean

203.6

191.3

194.3

Adjusted Mean Change from Baseline

7.0

6.7

-30.4

Difference from Glipizide

-37.4

Difference from Metformin

-37.2

After 18 weeks, treatment with glipizide and metformin hydrochloride tablets at doses up to 20 mg/2000 mg per day resulted in significantly lower mean final HbA 1c and significantly greater mean reductions in FPG compared to glipizide and metformin therapy. Treatment with glipizide and metformin hydrochloride tablets lowered the 3 hour postprandial glucose AUC, compared to baseline, to a significantly greater extent than did the glipizide and the metformin therapies. Glipizide and metformin hydrochloride tablets did not significantly affect fasting insulin levels.

There were no clinically meaningful differences in changes from baseline for all lipid parameters between glipizide and metformin hydrochloride tablet therapy and either metformin therapy or glipizide therapy. The adjusted mean changes from baseline in body weight were: glipizide and metformin hydrochloride tablets, 5 mg/500 mg, -0.3 kg; glipizide, -0.4 kg; and metformin, -2.7 kg. Weight loss was greater with metformin than with glipizide and metformin hydrochloride tablets.

Glipizide and Metformin Hydrochloride Tablets in Patients With Inadequate Glycemic Control On Diet and Exercise Alone (Glipizide and Metformin Hydrochloride Tablets in Patients with Inadequate Glycemic Control on Diet and Exercise Alone)

For patients with type 2 diabetes whose hyperglycemia cannot be satisfactorily managed with diet and exercise alone, the recommended starting dose of glipizide and metformin hydrochloride tablets is 2.5 mg/250 mg once a day with a meal. For patients whose FPG is 280 mg/dL to 320 mg/dL a starting dose of glipizide and metformin hydrochloride tablets, 2.5 mg/500 mg twice daily should be considered. The efficacy of glipizide and metformin hydrochloride tablets in patients whose FPG exceeds 320 mg/dL has not been established. Dosage increases to achieve adequate glycemic control should be made in increments of 1 tablet per day every 2 weeks up to maximum of 10 mg/1000 mg or 10 mg/2000 mg glipizide and metformin hydrochloride tablets per day given in divided doses. In clinical trials of glipizide and metformin hydrochloride tablets as initial therapy, there was no experience with total daily doses > 10 mg/2000 mg per day.

Glipizide and Metformin Hydrochloride Tablets in Patients With Inadequate Glycemic Control On A Sulfonylurea And/or Metformin (Glipizide and Metformin Hydrochloride Tablets in Patients with Inadequate Glycemic Control on a Sulfonylurea and/or Metformin)

For patients not adequately controlled on either glipizide (or another sulfonylurea) or metformin alone, the recommended starting dose of glipizide and metformin hydrochloride tablets is 2.5 mg/500 mg or 5 mg/500 mg twice daily with the morning and evening meals. In order to avoid hypoglycemia, the starting dose of glipizide and metformin hydrochloride tablets should not exceed the daily doses of glipizide or metformin already being taken. The daily dose should be titrated in increments of no more than 5 mg/500 mg up to the minimum effective dose to achieve adequate control of blood glucose or to a maximum dose of 20 mg/2000 mg per day.

Patients previously treated with combination therapy of glipizide (or another sulfonylurea) plus metformin may be switched to glipizide and metformin hydrochloride tablets, 2.5 mg/500 mg or 5 mg/500 mg; the starting dose should not exceed the daily dose of glipizide (or equivalent dose of another sulfonylurea) and metformin already being taken. The decision to switch to the nearest equivalent dose or to titrate should be based on clinical judgment. Patients should be monitored closely for signs and symptoms of hypoglycemia following such a switch and the dose of glipizide and metformin hydrochloride tablets should be titrated as described above to achieve adequate control of blood glucose.

Recommendations for Use in Renal Impairment

Assess renal function prior to initiation of glipizide and metformin hydrochloride tablets and periodically thereafter.

Glipizide and metformin hydrochloride tablets are contraindicated in patients with an estimated glomerular filtration rate (eGFR) below 30 mL/minute/1.73 m 2.

Initiation of glipizide and metformin hydrochloride tablets in patients with an eGFR between 30 and 45 mL/minute/1.73 m 2 is not recommended.

In patients taking glipizide and metformin hydrochloride tablets whose eGFR later falls below 45 mL/min/1.73 m 2, assess the benefit risk of continuing therapy.

Discontinue glipizide and metformin hydrochloride tablets if the patient’s eGFR later falls below 30 mL/minute/1.73 m 2. (See WARNINGS.)

Discontinuation for Iodinated Contrast Imaging Procedure

Discontinue glipizide and metformin hydrochloride tablets at the time of, or prior to, an iodinated contrast imaging procedure in patients with an eGFR between 30 and 60 mL/min/1.73 m 2; in patients with a history of liver disease, alcoholism or heart failure; or in patients who will be administered intra-arterial iodinated contrast. Re-evaluate eGFR 48 hours after the imaging procedure; restart glipizide and metformin hydrochloride tablets if renal function is stable.


Advanced Ingredient Data


Raw Label Data

All Sections (JSON)