These Highlights Do Not Include All The Information Needed To Use Mycophenolate Mofetil Capsules Safely And Effectively. See Full Prescribing Information For Mycophenolate Mofetil Capsules

These Highlights Do Not Include All The Information Needed To Use Mycophenolate Mofetil Capsules Safely And Effectively. See Full Prescribing Information For Mycophenolate Mofetil Capsules
SPL v2
SPL
SPL Set ID 3eb584dc-f72d-4545-96fa-ab3d47be41ce
Route
ORAL
Published
Effective Date 2025-07-14
Document Type 34391-3 Human Prescription Drug Label

Drug Facts

Composition & Product

Active Ingredients
Mycophenolic Acid (250 mg)
Inactive Ingredients
Silicon Dioxide Croscarmellose Sodium Magnesium Stearate Povidone K90 Starch, Corn Gelatin, Unspecified Ferrosoferric Oxide Ferric Oxide Red Ferric Oxide Yellow Sodium Lauryl Sulfate Titanium Dioxide Potassium Hydroxide Propylene Glycol Shellac

Identifiers & Packaging

Pill Appearance
Imprint: MYMH;250 Shape: capsule Color: red Color: brown Size: 19 mm Score: 1
Marketing Status
ANDA Active Since 2024-01-05

Description

Warnings and Precautions ( 5.8 )                                                                      05/2025

Warnings and Precautions

Blood Dyscrasias (Neutropenia, Red Blood Cell Aplasia): Monitor with blood tests; consider treatment interruption or dose reduction. ( 5.4 ) Gastrointestinal Complications: Monitor for complications such as bleeding, ulceration and perforations, particularly in patients with underlying gastrointestinal disorders. ( 5.5 ) Hypoxanthine-Guanine Phosphoribosyl-Transferase Deficiency: Avoid use of mycophenolate mofetil. ( 5.6 ) Acute Inflammatory Syndrome Associated with Mycophenolate Products: Monitor for this paradoxical inflammatory reaction. ( 5.7 ) Hypersensitivity Reactions: Discontinue mycophenolate mofetil; treat and monitor until signs and symptoms resolve. ( 5.8 ) Immunizations: Avoid live attenuated vaccines. ( 5.9 ) Local Reactions with Rapid Intravenous Administration: CELLCEPT ® Intravenous (mycophenolate mofetil) for injection must not be administered by rapid or bolus intravenous injection. ( 5.10 )  Phenylketonurics: Oral suspension contains aspartame. ( 5.11 ) Blood Donation: Avoid during therapy and for 6 weeks thereafter. ( 5.12 ) Semen Donation: Avoid during therapy and for 90 days thereafter. ( 5.13 ) Potential Impairment on Driving and Use of Machinery: Mycophenolate mofetil may affect ability to drive or operate machinery. ( 5.15 )

Contraindications

Mycophenolate mofetil capsules are contraindicated in patients with a history of hypersensitivity, including anaphylaxis, to mycophenolate mofetil (MMF), mycophenolic acid (MPA) or any component of the drug product [see Warnings and Precautions (5.8) ] . CELLCEPT ® Intravenous (mycophenolate mofetil) for injection is contraindicated in patients who are allergic to Polysorbate 80 (TWEEN).

Adverse Reactions

The following adverse reactions are discussed in greater detail in other sections of the label:   Embryofetal Toxicity [see Warnings and Precautions (5.1) ] Lymphomas and Other Malignancies [see Warnings and Precautions (5.2) ] Serious Infections [see Warnings and Precautions (5.3) ] Blood Dyscrasias: Neutropenia, Pure Red Cell Aplasia [see Warnings and Precautions (5.4) ] Gastrointestinal Complications [see Warnings and Precautions (5.5) ] Acute Inflammatory Syndrome Associated with Mycophenolate Products [see Warnings and Precautions (5.7) ] Hypersensitivity Reactions [see Warnings and Precautions (5.8) ]

Drug Interactions

See FPI for drugs that may interfere with systemic exposure and reduce mycophenolate mofetil efficacy: antacids with magnesium or aluminum hydroxide, proton pump inhibitors, drugs that interfere with enterohepatic recirculation, telmisartan, calcium-free phosphate binders. ( 7.1 ) Mycophenolate mofetil may reduce effectiveness of oral contraceptives. Use of additional barrier contraceptive methods is recommended. ( 7.2 ) See FPI for other important drug interactions. ( 7 )


Medication Information

Warnings and Precautions

Blood Dyscrasias (Neutropenia, Red Blood Cell Aplasia): Monitor with blood tests; consider treatment interruption or dose reduction. ( 5.4 ) Gastrointestinal Complications: Monitor for complications such as bleeding, ulceration and perforations, particularly in patients with underlying gastrointestinal disorders. ( 5.5 ) Hypoxanthine-Guanine Phosphoribosyl-Transferase Deficiency: Avoid use of mycophenolate mofetil. ( 5.6 ) Acute Inflammatory Syndrome Associated with Mycophenolate Products: Monitor for this paradoxical inflammatory reaction. ( 5.7 ) Hypersensitivity Reactions: Discontinue mycophenolate mofetil; treat and monitor until signs and symptoms resolve. ( 5.8 ) Immunizations: Avoid live attenuated vaccines. ( 5.9 ) Local Reactions with Rapid Intravenous Administration: CELLCEPT ® Intravenous (mycophenolate mofetil) for injection must not be administered by rapid or bolus intravenous injection. ( 5.10 )  Phenylketonurics: Oral suspension contains aspartame. ( 5.11 ) Blood Donation: Avoid during therapy and for 6 weeks thereafter. ( 5.12 ) Semen Donation: Avoid during therapy and for 90 days thereafter. ( 5.13 ) Potential Impairment on Driving and Use of Machinery: Mycophenolate mofetil may affect ability to drive or operate machinery. ( 5.15 )

Contraindications

Mycophenolate mofetil capsules are contraindicated in patients with a history of hypersensitivity, including anaphylaxis, to mycophenolate mofetil (MMF), mycophenolic acid (MPA) or any component of the drug product [see Warnings and Precautions (5.8) ] . CELLCEPT ® Intravenous (mycophenolate mofetil) for injection is contraindicated in patients who are allergic to Polysorbate 80 (TWEEN).

Adverse Reactions

The following adverse reactions are discussed in greater detail in other sections of the label:   Embryofetal Toxicity [see Warnings and Precautions (5.1) ] Lymphomas and Other Malignancies [see Warnings and Precautions (5.2) ] Serious Infections [see Warnings and Precautions (5.3) ] Blood Dyscrasias: Neutropenia, Pure Red Cell Aplasia [see Warnings and Precautions (5.4) ] Gastrointestinal Complications [see Warnings and Precautions (5.5) ] Acute Inflammatory Syndrome Associated with Mycophenolate Products [see Warnings and Precautions (5.7) ] Hypersensitivity Reactions [see Warnings and Precautions (5.8) ]

Drug Interactions

See FPI for drugs that may interfere with systemic exposure and reduce mycophenolate mofetil efficacy: antacids with magnesium or aluminum hydroxide, proton pump inhibitors, drugs that interfere with enterohepatic recirculation, telmisartan, calcium-free phosphate binders. ( 7.1 ) Mycophenolate mofetil may reduce effectiveness of oral contraceptives. Use of additional barrier contraceptive methods is recommended. ( 7.2 ) See FPI for other important drug interactions. ( 7 )

Description

Warnings and Precautions ( 5.8 )                                                                      05/2025

Section 42231-1


MEDICATION GUIDE

Mycophenolate Mofetil

(mye” koe fen’ oh late moe’ fe til)

Capsules, USP
Read the Medication Guide that comes with mycophenolate mofetil capsules before you start taking it and each time you refill your prescription. There may be new information. This Medication Guide does not take the place of talking with your doctor about your medical condition or treatment.

What is the most important information I should know about mycophenolate mofetil capsules?

Mycophenolate mofetil capsules can cause serious side effects, including:

Increased risk of loss of a pregnancy (miscarriage) and higher risk of birth defects. Females who take mycophenolate mofetil capsules during pregnancy have a higher risk of miscarriage during the first 3 months (first trimester), and a higher risk that their baby will be born with birth defects.

  • If you are a female who can become pregnant, your doctor must talk with you about acceptable birth control methods (contraceptive counseling) to use while taking mycophenolate mofetil capsules. You should have 1 pregnancy test immediately before starting mycophenolate mofetil capsules and another pregnancy test 8 to 10 days later. Pregnancy tests should be repeated during routine follow-up visits with your doctor. Talk to your doctor about the results of all of your pregnancy tests.
You must use acceptable birth control during your entire mycophenolate mofetil capsules treatment and for 6 weeks after stopping mycophenolate mofetil capsules, unless at any time you choose to avoid sexual intercourse (abstinence) with a man completely. Mycophenolate mofetil capsules decreases blood levels of the hormones in birth control pills that you take by mouth. Birth control pills may not work as well while you take mycophenolate mofetil capsules, and you could become pregnant. If you take birth control pills while using mycophenolate mofetil capsules you must also use another form of birth control. Talk to your doctor about other birth control methods that you can use while taking mycophenolate mofetil capsules.

  • If you are a sexually active male whose female partner can become pregnant while you are taking mycophenolate mofetil capsules, use effective contraception during treatment and for at least 90 days after stopping mycophenolate mofetil capsules.
  • If you plan to become pregnant, talk with your doctor. Your doctor will decide if other medicines to prevent rejection may be right for you.
  • If you become pregnant while taking mycophenolate mofetil capsules, do not stop taking mycophenolate mofetil capsules. Call your doctor right away. You and your doctor may decide that other medicines to prevent rejection may be right for you. You and your doctor should report your pregnancy to the Mycophenolate Pregnancy Registry either:
    • By phone at 1-800-617-8191 or
    • By visiting the REMS website at: www.mycophenolateREMS.com
The purpose of this registry is to gather information about the health of you and your baby.

Increased risk of getting certain cancers. People who take mycophenolate mofetil capsules have a higher risk of getting lymphoma, and other cancers, especially skin cancer. Tell your doctor if you have:

  • unexplained fever, prolonged tiredness, weight loss or lymph node swelling
  • a change in the size and color of a mole
  • a brown or black skin lesion with uneven borders, or one part of the lesion does not look like the other
  • a new skin lesion or bump
  • any other changes to your health
Increased risk of getting serious infections. Mycophenolate mofetil capsules weakens the body’s immune system and affects your ability to fight infections. Serious infections can happen with mycophenolate mofetil capsules and can lead to hospitalizations and death. These serious infections can include:

  • Viral infections. Certain viruses can live in your body and cause active infections when your immune system is weak. Viral infections that can happen with mycophenolate mofetil capsules include:
    • Shingles, other herpes infections, and cytomegalovirus (CMV). CMV can cause serious tissue and blood infections.
    • BK virus. BK virus can affect how your kidney works and cause your transplanted kidney to fail.
    • Hepatitis B and C viruses. Hepatitis viruses can affect how your liver works. Talk to your doctor about how hepatitis viruses may affect you.
    • COVID-19
  • A brain infection called Progressive Multifocal Leukoencephalopathy (PML). In some patients, mycophenolate mofetil capsules may cause an infection of the brain that may cause death. You are at risk for this brain infection because you have a weakened immune system. Call your doctor right away if you have any of the following symptoms:
    • weakness on one side of the body
    • you are confused or have problems thinking
    • you do not care about things you usually care about (apathy)
    • you cannot control your muscles
  • Fungal infections. Yeasts and other types of fungal infections can happen with mycophenolate mofetil capsules and can cause serious tissue and blood infections (See “What are the possible side effects of mycophenolate mofetil capsules?”).
Call your doctor right away if you have any of the following signs and symptoms of infection:

  • temperature of 100.5°F or greater
  • pain during urination
  • cold symptoms, such as a runny nose or sore throat
  • white patches in the mouth or throat
  • flu symptoms, such as an upset stomach, stomach pain, vomiting or diarrhea
  • unexpected bruising or bleeding
  • earache or headache
  • cuts, scrapes or incisions that are red, warm and oozing pus
See “What are the possible side effects of mycophenolate mofetil capsules?” for information about other serious side effects.

 

What are mycophenolate mofetil capsules?

  • Mycophenolate mofetil capsules are a prescription medicine to prevent rejection (antirejection medicine) in people who have received a kidney, heart or liver transplant. Rejection is when the body’s immune system perceives the new organ as a “foreign” threat and attacks it.
  • Mycophenolate mofetil capsules are used with other medicines containing cyclosporine and corticosteroids.
Who should not take mycophenolate mofetil capsules?

 

Do not take mycophenolate mofetil capsules if you have a history of allergic reactions to mycophenolate mofetil or any of the ingredients in mycophenolate mofetil capsules. See the end of this Medication Guide for a complete list of ingredients in mycophenolate mofetil capsules.

What should I tell my doctor before taking mycophenolate mofetil capsules?

Tell your doctor about all of your medical conditions, including if you :

  • have any digestive problems, such as ulcers.
  • have Phenylketonuria (PKU). CELLCEPT® Oral Suspension (mycophenolate mofetil) for oral suspension contains aspartame (a source of phenylalanine).
  • have Lesch-Nyhan syndrome, Kelley-Seegmiller syndrome, or another rare inherited deficiency hypoxanthine-guanine phosphoribosyl-transferase (HGPRT). You should not take mycophenolate mofetil capsules if you have one of these disorders.
  • plan to receive any vaccines. People taking mycophenolate mofetil capsules should not receive live vaccines. Some vaccines may not work as well during treatment with mycophenolate mofetil capsules.
  • are pregnant or plan to become pregnant. See “What is the most important information I should know about mycophenolate mofetil capsules?”
  • are breastfeeding or plan to breastfeed. It is not known if mycophenolate mofetil passes into breast milk. You and your doctor will decide if you will take mycophenolate mofetil capsules or breastfeed.
Tell your healthcare provider about all the medicines you take, including prescription and over-the-counter medicines, vitamins and herbal supplements. Some medicines may affect the way mycophenolate mofetil capsules work, and mycophenolate mofetil capsules may affect how some medicines work.

 

Especially tell your doctor if you take:

  • birth control pills (oral contraceptives). See “What is the most important information I should know about mycophenolate mofetil capsules?”
  • sevelamer (Renagel®, RenvelaTM). These products should be taken at least 2 hours after taking mycophenolate mofetil capsules.
  • acyclovir (Zovirax®), valacyclovir (Valtrex®), ganciclovir (CYTOVENE®-IV, Vitrasert®), valganciclovir (VALCYTE®).
  • rifampin (Rifater®, Rifamate®, Rimactane®, Rifadin®).
  • antacids that contain magnesium and aluminum (mycophenolate mofetil capsules and the antacid should not be taken at the same time).
  • proton pump inhibitors (PPIs) (Prevacid®, Protonix®).
  • sulfamethoxazole/trimethoprim (BACTRIMTM, BACTRIM DSTM).
  • norfloxacin (Noroxin®) and metronidazole (Flagyl®, Flagyl® ER, Flagyl® IV, Metro IV, Helidac®, PyleraTM).
  • ciprofloxacin (Cipro®, Cipro® XR, Ciloxan®, Proquin® XR) and amoxicillin plus clavulanic acid (Augmentin®, Augmentin XRTM).
  •  azathioprine (Azasan®, Imuran®).
  •  cholestyramine (Questran Light®, Questran®, Locholest Light, Locholest, Prevalite®).
Know the medicines you take. Keep a list of them to show to your doctor or nurse and pharmacist when you get a new medicine. Do not take any new medicine without talking with your doctor.

How should I take mycophenolate mofetil capsules?

  • Take mycophenolate mofetil capsules exactly as prescribed.
  • Do not stop taking mycophenolate mofetil capsules or change the dose unless your doctor tells you to.
  • If you miss a dose of mycophenolate mofetil capsules, or you are not sure when you took your last dose, take your prescribed dose of mycophenolate mofetil capsules as soon as you remember. If your next dose is less than 2 hours away, skip the missed dose and take your next dose at your normal scheduled time. Do not take 2 doses at the same time. Call your doctor if you are not sure what to do.
  • Take mycophenolate mofetil capsules on an empty stomach, unless your doctor tells you otherwise.
  • Do not open or crush mycophenolate mofetil capsules.
  • If you are not able to swallow mycophenolate mofetil capsules, your doctor may prescribe CELLCEPT® Oral Suspension (mycophenolate mofetil) for oral suspension. This is a liquid form of mycophenolate mofetil. Your pharmacist will mix the medicine before you pick it up from a pharmacy.
  • Do not breathe in (inhale) or let mycophenolate mofetil capsules powder come in contact with your skin or mucous membranes.
    • If you accidentally get the powder on the skin, wash the area well with soap and water.
    •  If you accidentally get the powder in your eyes or other mucous membranes, flush with plain water.
  • If you take too much mycophenolate mofetil, call your doctor or the poison control center right away.
What should I avoid while taking mycophenolate mofetil capsules?

 

  • Avoid becoming pregnant. (See “What is the most important information I should know about mycophenolate mofetil capsules?”).
  • Limit the amount of time you spend in sunlight. Avoid using tanning beds or sunlamps. People who take mycophenolate mofetil capsules have a higher risk of getting skin cancer (See “What is the most important information I should know about mycophenolate mofetil capsules?”). Wear protective clothing when you are in the sun and use a broad-spectrum sunscreen with a high protection factor. This is especially important if your skin is very fair or if you have a family history of skin cancer.
  • You should not donate blood while taking mycophenolate mofetil capsules and for at least 6 weeks after stopping mycophenolate mofetil capsules.
  •  You should not donate sperm while taking mycophenolate mofetil capsules and for 90 days after stopping mycophenolate mofetil capsules.
  •  Mycophenolate mofetil capsules may influence your ability to drive and use machines (See “What are the possible side effects of mycophenolate mofetil capsules?”. If you experience drowsiness, confusion, dizziness, tremor, or low blood pressure during treatment with mycophenolate mofetil capsules, you should be cautious about driving or using heavy machines.
What are the possible side effects of mycophenolate mofetil capsules?

Mycophenolate mofetil capsules may cause serious side effects, including:

 

  • See “What is the most important information I should know about mycophenolate mofetil capsules?”
  • Low blood cell counts. People taking high doses of mycophenolate mofetil capsules each day may have a decrease in blood counts, including:
  • white blood cells, especially neutrophils. Neutrophils fight against bacterial infections. You have a higher chance of getting an infection when your white blood cell count is low. This is most common from 1 month to 6 months after your transplant.
  • red blood cells. Red blood cells carry oxygen to your body tissues. You have a higher chance of getting severe anemia when your red blood cell count is low.
  • platelets. Platelets help with blood clotting.
Your doctor will do blood tests before you start taking mycophenolate mofetil capsules and during treatment with mycophenolate mofetil capsules to check your blood cell counts. Tell your doctor right away if you have any signs of infection (See “What is the most important information I should know about mycophenolate mofetil capsules?”), including any unexpected bruising or bleeding. Also, tell your doctor if you have unusual tiredness, lack of energy, dizziness or fainting.

  • Stomach problems. Stomach problems including intestinal bleeding, a tear in your intestinal wall (perforation) or stomach ulcers can happen in people who take mycophenolate mofetil capsules. Bleeding can be severe and you may have to be hospitalized for treatment. Call your doctor right away if you have sudden or severe stomach-area pain or stomach-area pain that does not go away, or if you have diarrhea.
  • Inflammatory reactions. Some people taking mycophenolate mofetil capsules may have an inflammatory reaction with fever, joint stiffness, joint pain, and muscle pain. Some of these reactions may require hospitalization. This reaction could happen within weeks to months after your treatment with mycophenolate mofetil capsules starts or if your dose is increased. Call your doctor right away if you experience these symptoms.
  • Allergic (hypersensitivity) reactions. Allergic reactions, including a severe allergic reaction called anaphylaxis, can happen after taking mycophenolate mofetil capsules. Stop taking mycophenolate mofetil capsules and get emergency medical help right away if you have any of the following symptoms of an allergic reaction:

  • swelling of the face, lips, tongue, or throat

  • trouble breathing or swallowing

  • rash, hives, or itching

  • fast heartbeat

  • fainting, dizziness, feeling lightheaded

  • chest pain

The most common side effects of mycophenolate mofetil capsules include:

  • diarrhea
  • changes in laboratory blood levels, including high levels of blood sugar (hyperglycemia)
  • blood problems including low white and red blood cell counts
  • stomach problems including diarrhea, constipation, nausea and vomiting
  • infections
  • rash
  • blood pressure problems
  • nervous system problems such as headache, dizziness and tremor
  • fast heartbeat
  • swelling of the lower legs, ankles and feet
Side effects that can happen more often in children than in adults taking mycophenolate mofetil capsules include:

  • stomach area pain
  • vomiting
  • fever
  • sore throat
  • infection
  • colds (respiratory tract infections)
  • pain
  • high blood pressure
  • blood infection (sepsis)
  • low white blood cell count
  • diarrhea
  • low red blood cell count
These are not all of the possible side effects of mycophenolate mofetil capsules. Tell your doctor about any side effect that bothers you or that does not go away.

Call your doctor for medical advice about side effects. You may report side effects to FDA at 1-800-FDA-1088. You may also report side effects to Aurobindo Pharma USA, Inc. at 1-866-850-2876.



How should I store mycophenolate mofetil capsules?

  • Store mycophenolate mofetil capsules at room temperature between 59oF to 86oF (15oC to 30oC).
  • Dispense in light-resistant containers, such as the manufacturer’s original containers.
Keep mycophenolate mofetil capsules and all medicines out of the reach of children .

General information about the safe and effective use of mycophenolate mofetil capsules.

 

Medicines are sometimes prescribed for purposes other than those listed in a Medication Guide. Do not use mycophenolate mofetil capsules for a condition for which they were not prescribed. Do not give mycophenolate mofetil capsules to other people, even if they have the same symptoms that you have. They may harm them.

 

This Medication Guide summarizes the most important information about mycophenolate mofetil capsules. If you would like more information, talk with your doctor. You can ask your doctor or pharmacist about mycophenolate mofetil capsules that is written for health professionals.

What are the ingredients in mycophenolate mofetil capsules?

Active ingredient: mycophenolate mofetil



Inactive ingredients: colloidal silicon dioxide, croscarmellose sodium, magnesium stearate, povidone and pregelatinized starch (corn). The capsule shells contain gelatin, iron oxide black, iron oxide red, iron oxide yellow, sodium lauryl sulfate and titanium dioxide. The capsules are imprinted with black ink containing black iron oxide, potassium hydroxide, propylene glycol and shellac.

 

The brands listed are trademarks of their respective owners and are not trademarks of Aurobindo Pharma Limited.

 

Distributed by:

Aurobindo Pharma USA, Inc.

279 Princeton-Hightstown Road

East Windsor, NJ 08520



Manufactured by:

Aurobindo Pharma Limited

Hyderabad-500 032, India



For more information, call Aurobindo Pharma USA, Inc. at 1-866-850-2876.

This Medication Guide has been approved by the U.S. Food and Drug Administration.   



 Revised: 07/2025

Section 43683-2

Warnings and Precautions (5.8)                                                                      05/2025

10 Overdosage

Possible signs and symptoms of acute overdose include hematological abnormalities such as leukopenia and neutropenia, and gastrointestinal symptoms such as abdominal pain, diarrhea, nausea, vomiting, and dyspepsia.



The experience with overdose of mycophenolate mofetil in humans is limited. The reported effects associated with overdose fall within the known safety profile of the drug. The highest dose administered to kidney transplant patients in clinical trials has been 4 g/day. In limited experience with heart and liver transplant patients in clinical trials, the highest doses used were 4 g/day or 5 g/day. At doses of 4 g/day or 5 g/day, there appears to be a higher rate, compared to the use of 3 g/day or less, of gastrointestinal intolerance (nausea, vomiting, and/or diarrhea), and occasional hematologic abnormalities, particularly neutropenia [see Warnings and Precautions (5.4)].



Treatment and Management

MPA and the phenolic glucuronide metabolite of MPA (MPAG) are usually not removed by hemodialysis. However, at high MPAG plasma concentrations (>100 mcg/mL), small amounts of MPAG are removed. By increasing excretion of the drug, MPA can be removed by bile acid sequestrants, such as cholestyramine [see Clinical Pharmacology (12.3)].

15 References

1. “OSHA Hazardous Drugs.” OSHA.  http://www.osha.gov/SLTC/hazardousdrugs/index.html

8.1 Pregnancy

Pregnancy Exposure Registry



There is a pregnancy exposure registry that monitors pregnancy outcomes in women exposed to mycophenolate during pregnancy and those becoming pregnant within 6 weeks of discontinuing mycophenolate mofetil treatment. To report a pregnancy or obtain information about the registry, visit www.mycophenolateREMS.com  or call 1-800-­617-8191.



Risk Summary



Use of mycophenolate mofetil (MMF) during pregnancy is associated with an increased risk of first trimester pregnancy loss and an increased risk of multiple congenital malformations in multiple organ systems [see Human Data]. Oral administration of mycophenolate to rats and rabbits during the period of organogenesis produced congenital malformations and pregnancy loss at doses less than the recommended clinical dose (0.01 to 0.05 times the recommended clinical doses in kidney and heart transplant patients) [see Animal Data].

Consider alternative immunosuppressants with less potential for embryofetal toxicity. Risks and benefits of mycophenolate mofetil should be discussed with the pregnant woman.



The estimated background risk of pregnancy loss and congenital malformations in organ transplant populations is not clear. In the U.S. general population, the estimated background risk of major birth defects and miscarriage in clinically recognized pregnancies is 2 to 4% and 15 to 20%, respectively.



Data



Human Data



A spectrum of congenital malformations (including multiple malformations in individual newborns) has been reported in 23 to 27% of live births in MMF exposed pregnancies, based on published data from pregnancy registries. Malformations that have been documented include external ear, eye, and other facial abnormalities including cleft lip and palate, and anomalies of the distal limbs, heart, esophagus, kidney, and nervous system.



Based on published data from pregnancy registries, the risk of first trimester pregnancy loss has been reported at 45 to 49% following MMF exposure.



Animal Data



In animal reproductive toxicology studies, there were increased rates of fetal resorptions and malformations in the absence of maternal toxicity. Oral administration of MMF to pregnant rats from Gestational Day 7 to Day 16 produced increased embryofetal lethality and fetal malformations including anophthalmia, agnathia, and hydrocephaly at doses equivalent to 0.015 and 0.01 times the recommended human doses for renal and cardiac transplant patients, respectively, when corrected for BSA. Oral administration of MMF to pregnant rabbits from Gestational Day 7 to Day 19 produced increased embryofetal lethality and fetal malformations included ectopia cordis, ectopic kidneys, diaphragmatic hernia, and umbilical hernia at dose equivalents as low as 0.05 and 0.03 times the recommended human doses for renal and cardiac transplant patients, respectively, when corrected for BSA.

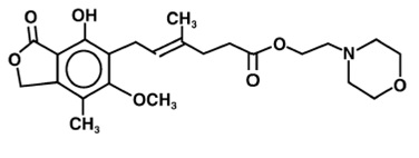
11 Description

Mycophenolate mofetil is an antimetabolite immunosuppressant. It is the 2-morpholinoethyl ester of mycophenolic acid (MPA), an immunosuppressive agent; inosine monophosphate dehydrogenase (IMPDH) inhibitor.



The chemical name for mycophenolate mofetil (MMF) is 2-morpholinoethyl (E)-6-(1,3-dihydro-4-hydroxy-6-­methoxy-7-methyl-3-oxo-5-isobenzofuranyl)-4-methyl-4-hexenoate. It has a molecular formula of C23H31NO7, a molecular weight of 433.50, and the following structural formula:







Mycophenolate mofetil USP is a white or almost white crystalline powder. It is slightly soluble in water (43 µg/mL at pH 7.4); the solubility increases in acidic medium (4.27 mg/mL at pH 3.6). It is freely soluble in acetone, soluble in methanol, and sparingly soluble in ethanol. The apparent partition coefficient in 1-octanol/water (pH 7.4) buffer solution is 238. The pKa values for mycophenolate mofetil are 5.6 for the morpholino group and 8.5 for the phenolic group.



Mycophenolate mofetil USP is available for oral administration as capsules containing 250 mg of mycophenolate mofetil USP.



Inactive ingredients in mycophenolate mofetil capsules USP, 250 mg include colloidal silicon dioxide, croscarmellose sodium, magnesium stearate, povidone and pregelatinized starch (corn). The capsule shells contain gelatin, iron oxide black, iron oxide red, iron oxide yellow, sodium lauryl sulfate and titanium dioxide. The capsules are imprinted with black ink containing black iron oxide, potassium hydroxide, propylene glycol and shellac.



Meets USP Dissolution Test 2.

8.2  lactation

Risk Summary



There are no data on the presence of mycophenolate in human milk, or the effects on milk production. There are limited data in the National Transplantation Pregnancy Registry on the effects of mycophenolate on a breastfed child [see Data]. Studies in rats treated with MMF have shown mycophenolic acid (MPA) to be present in milk. Because available data are limited, it is not possible to exclude potential risks to a breastfeeding infant.



The developmental and health benefits of breastfeeding should be considered along with the mother’s clinical need for mycophenolate mofetil and any potential adverse effects on the breastfed infant from mycophenolate mofetil or from the underlying maternal condition.



Data



Limited information is available from the National Transplantation Pregnancy Registry. Of seven infants reported by the National Transplantation Pregnancy Registry to have been breastfed while the mother was taking mycophenolate, all were born at 34 to 40 weeks gestation, and breastfed for up to 14 months. No adverse events were reported.

5.9 Immunizations

During treatment with mycophenolate mofetil, the use of live attenuated vaccines should be avoided (e.g., intranasal influenza, measles, mumps, rubella, oral polio, BCG, yellow fever, varicella, and TY21a typhoid vaccines) and patients should be advised that vaccinations may be less effective. Advise patients to discuss with the physician before seeking any immunizations.

8.4 Pediatric Use

Safety and effectiveness have been established in pediatric patients 3 months and older for the prophylaxis of organ rejection of allogenic kidney, heart or liver transplants.



Kidney Transplant



Use of mycophenolate mofetil in this population is supported by evidence from adequate and well-controlled studies of mycophenolate mofetil in adults with additional data from one open-label, pharmacokinetic and safety study of mycophenolate mofetil in pediatric patients after receiving allogeneic kidney transplant (100 patients, 3 months to 18 years of age) [see Dosage and Administration (2.2), Adverse Reactions (6.1), Clinical Pharmacology (12.3), Clinical Studies (14.1)].



Heart Transplant and Liver Transplant



Use of mycophenolate mofetil in pediatric heart transplant and liver transplant patients is supported by adequate and well-controlled studies and pharmacokinetic data in adult heart transplant and liver transplant patients. Additional supportive data include pharmacokinetic data in pediatric kidney transplant and pediatric liver transplant patients (8 liver transplant patients, 9 months to 5 years of age, in an open-label, pharmacokinetic and safety study) and published evidence of clinical efficacy and safety in pediatric heart transplant and pediatric liver transplant patients [see Dosage and Administration (2.3, 2.4), Adverse Reactions (6.1), Clinical Pharmacology (12.3), Clinical Studies (14.1)].

8.5 Geriatric Use

Clinical studies of mycophenolate mofetil did not include sufficient numbers of subjects aged 65 and over to determine whether they respond differently from younger subjects. Other reported clinical experience has not identified differences in responses between geriatric  and younger patients. In general, dose selection for a geriatric  patient should take into consideration the presence of decreased hepatic, renal or cardiac function and of concomitant drug therapies [see Adverse Reactions (6.1), Drug Interactions (7)].

17.8 Immunizations

Inform patients that mycophenolate mofetil capsules can interfere with the usual response to immunizations. Before seeking vaccines on their own, advise patients to discuss first with their physician [see Warnings and Precautions (5.9)].

4 Contraindications

Mycophenolate mofetil capsules are contraindicated in patients with a history of hypersensitivity, including anaphylaxis, to mycophenolate mofetil (MMF), mycophenolic acid (MPA) or any component of the drug product [see Warnings and Precautions (5.8)]. CELLCEPT® Intravenous (mycophenolate mofetil) for injection is contraindicated in patients who are allergic to Polysorbate 80 (TWEEN).



5.12 Blood Donation

Patients should not donate blood during therapy and for at least 6 weeks following discontinuation of mycophenolate mofetil because their blood or blood products might be administered to a female of reproductive potential or a pregnant woman.

5.13 Semen Donation

Based on animal data, men should not donate semen during therapy and for 90 days following discontinuation of mycophenolate mofetil [see Use In Specific Populations (8.3)].

6 Adverse Reactions

The following adverse reactions are discussed in greater detail in other sections of the label:  



7 Drug Interactions
  • See FPI for drugs that may interfere with systemic exposure and reduce mycophenolate mofetil efficacy: antacids with magnesium or aluminum hydroxide, proton pump inhibitors, drugs that interfere with enterohepatic recirculation, telmisartan, calcium-free phosphate binders. (7.1)
  • Mycophenolate mofetil may reduce effectiveness of oral contraceptives. Use of additional barrier contraceptive methods is recommended. (7.2)
  • See FPI for other important drug interactions. (7)
17.10 Blood Donation

Advise patients not to donate blood during therapy and for at least 6 weeks following discontinuation of mycophenolate mofetil capsules   [see Warnings and Precautions (5.12)].

17.11 Semen Donation

Advise males of childbearing potential not to donate semen during therapy and for 90 days following discontinuation of mycophenolate mofetil capsules [see Warnings and Precautions (5.13)].

12.2 Pharmacodynamics

There is a lack of information regarding the pharmacodynamic effects of MMF.

12.3 Pharmacokinetics

Absorption

Following oral and intravenous administration, MMF undergoes complete conversion to MPA, the active metabolite. In 12 healthy volunteers, the mean absolute bioavailability of oral MMF relative to intravenous MMF was 94%. Two 500 mg CELLCEPT® (mycophenolate mofetil) tablets have been shown to be bioequivalent to four 250 mg mycophenolate mofetil capsules. Five mL of the 200 mg/mL constituted CELLCEPT® Oral Suspension (mycophenolate mofetil) for oral suspension have been shown to be bioequivalent to four 250 mg capsules.



The mean (±SD) pharmacokinetic parameters estimates for MPA following the administration of MMF given as single doses to healthy volunteers, and multiple doses to kidney, heart, and liver transplant patients, are shown in Table 10. The area under the plasma-concentration time curve (AUC) for MPA appears to increase in a dose-proportional fashion in kidney transplant patients receiving multiple oral doses of MMF up to a daily dose of 3 g (1.5 g twice daily) (see Table 10).



Table 10  Pharmacokinetic Parameters for MPA [mean ( ± SD)] Following Administration of MMF to Healthy Volunteers (Single Dose), and Kidney, Heart, and Liver Transplant Patients (Multiple Doses)



Healthy Volunteers

Dose/Route

Tmax

(h)

Cmax

(mcg/mL)

Total AUC

 (mcg•h/mL)

Single dose

1 g/oral

0.80

(±0.36)

(n=129)

24.5

(±9.5)

(n=129)

63.9

(±16.2)

(n=117)

Kidney Transplant Patients (twice daily dosing) Time After Transplantation

Dose/Route

Tmax (h)

Cmax

(mcg/mL)

Interdosing Interval

AUC(0-12h)

 (mcg•h/mL)

5 days

1 g/iv

1.58

(±0.46)

(n=31)

12.0

(±3.82)

(n=31)

40.8

(±11.4)

 (n=31)

6 days

1 g/oral

1.33

(±1.05)

(n=31)

10.7

(±4.83)

(n=31)

32.9

(±15.0)

(n=31)

Early (Less than 40 days)

1 g/oral

1.31

(±0.76)

(n=25)

8.16

(±4.50)

(n=25)

27.3

(±10.9)

(n=25)

Early (Less than 40 days)

1.5 g/oral

1.21

(±0.81)

(n=27)

13.5

(±8.18)

(n=27)

38.4

(±15.4)

(n=27)

Late (Greater than 3 months)

1.5 g/oral

0.90

(±0.24)

(n=23)

24.1

(±12.1)

(n=23)

65.3

(±35.4)

(n=23)

Heart transplant Patients (twice daily dosing) Time After Transplantation

Dose/Route

Tmax (h)

Cmax (mcg/mL)

Interdosing Interval

AUC(0-12h)

 (mcg•h/mL)

Early (Day before discharge)

1.5 g/oral

1.8

(±1.3)

(n=11)

11.5

(±6.8)

(n=11)

43.3

(±20.8)

(n=9)

Late (Greater than 6 months)

1.5 g/oral

1.1

(±0.7)

(n=52)

20.0

(±9.4)

(n=52)

54.1a

(±20.4)

(n=49)

Liver transplant Patients (twice daily dosing) Time After Transplantation

Dose/Route

Tmax (h)

Cmax

(mcg/mL)

Interdosing Interval

AUC(0-12h)

(mcg•h/mL)

4 to 9 days

1 g/iv

1.50

(±0.517)

(n=22)

17.0

(±12.7)

(n=22)

34.0

(±17.4)

(n=22)

Early (5 to 8 days)

1.5 g/oral

1.15

(±0.432)

(n=20)

13.1

(±6.76) (n=20)

29.2

(±11.9)

(n=20)

Late (Greater than 6 months)

1.5 g/oral

1.54

(±0.51)

(n=6)

19.3

(±11.7)

(n=6)

49.3

(±14.8)

(n=6)

aAUC(0-12h) values quoted are extrapolated from data from samples collected over 4 hours.



In the early post-transplant period (less than 40 days post-transplant), kidney, heart, and liver transplant patients had mean MPA AUCs approximately 20% to 41% lower and mean Cmax approximately 32% to 44% lower compared to the late transplant period (i.e., 3 to 6 months post-transplant) (non-stationarity in MPA pharmacokinetics).

Mean MPA AUC values following administration of 1 g twice daily intravenous mycophenolate mofetil over 2 hours to kidney transplant patients for 5 days were about 24% higher than those observed after oral administration of a similar dose in the immediate post-transplant phase.



In liver transplant patients, administration of 1 g twice daily intravenous mycophenolate mofetil followed by 1.5 g twice daily oral mycophenolate mofetil resulted in mean MPA AUC estimates similar to those found in kidney transplant patients administered 1 g mycophenolate mofetil twice daily.



Effect of Food

Food (27 g fat, 650 calories) had no effect on the extent of absorption (MPA AUC) of MMF when administered at doses of 1.5 g twice daily to kidney transplant patients. However, MPA Cmax was decreased by 40% in the presence of food [see Dosage and Administration (2.1)].

 

Distribution

The mean (±SD) apparent volume of distribution of MPA in 12 healthy volunteers was approximately 3.6 (±1.5) L/kg. At clinically relevant concentrations, MPA is 97% bound to plasma albumin. The phenolic glucuronide metabolite of MPA (MPAG) is 82% bound to plasma albumin at MPAG concentration ranges that are normally seen in stable kidney transplant patients; however, at higher MPAG concentrations (observed in patients with kidney impairment or delayed kidney graft function), the binding of MPA may be reduced as a result of competition between MPAG and MPA for protein binding. Mean blood to plasma ratio of radioactivity concentrations was approximately 0.6 indicating that MPA and MPAG do not extensively distribute into the cellular fractions of blood.



In vitro studies to evaluate the effect of other agents on the binding of MPA to human serum albumin (HSA) or plasma proteins showed that salicylate (at 25 mg/dL with human serum albumin) and MPAG (at ≥ 460 mcg/mL with plasma proteins) increased the free fraction of MPA. MPA at concentrations as high as 100 mcg/mL had little effect on the binding of warfarin, digoxin or propranolol, but decreased the binding of theophylline from 53% to 45% and phenytoin from 90% to 87%.



Elimination

Mean (±SD) apparent half-life and plasma clearance of MPA are 17.9 (±6.5) hours and 193 (±48) mL/min following oral administration and 16.6 (±5.8) hours and 177 (±31) mL/min following intravenous administration, respectively.



Metabolism

The parent drug, MMF, can be measured systemically during the intravenous infusion; however, approximately 5 minutes after the infusion is stopped or after oral administration, MMF concentrations are below the limit of quantitation (0.4 mcg/mL).



Metabolism to MPA occurs pre-systemically after oral dosing. MPA is metabolized principally by glucuronyl transferase to form MPAG, which is not pharmacologically active. In vivo, MPAG is converted to MPA during enterohepatic recirculation. The following metabolites of the 2-hydroxyethyl-morpholino moiety are also recovered in the urine following oral administration of MMF to healthy subjects: N-(2-carboxymethyl)-­morpholine, N-(2-hydroxyethyl)-morpholine, and the N-oxide of N-(2-hydroxyethyl)-morpholine.



Due to the enterohepatic recirculation of MPAG/MPA, secondary peaks in the plasma MPA concentration-time profile are usually observed 6 to 12 hours post-dose. Bile sequestrants, such as cholestyramine, reduce MPA AUC by interfering with this enterohepatic recirculation of the drug [see Overdosage (10) and Drug Interaction Studies below].



Excretion

Negligible amount of drug is excreted as MPA (less than 1% of dose) in the urine. Orally administered radiolabeled MMF resulted in complete recovery of the administered dose, with 93% of the administered dose recovered in the urine and 6% recovered in feces. Most (about 87%) of the administered dose is excreted in the urine as MPAG. At clinically encountered concentrations, MPA and MPAG are usually not removed by hemodialysis. However, at high MPAG plasma concentrations (> 100 mcg/mL), small amounts of MPAG are removed.



Increased plasma concentrations of MMF metabolites (MPA 50% increase and MPAG about a 3-fold to 6-fold increase) are observed in patients with renal insufficiency [see Specific Populations].



Specific Populations

Patients with Renal Impairment



The mean (±SD) pharmacokinetic parameters for MPA following the administration of oral MMF given as single doses to non-transplant subjects with renal impairment are presented in Table 11.



In a single-dose study, MMF was administered as a capsule or as an intravenous infusion over 40 minutes. Plasma MPA AUC observed after oral dosing to volunteers with severe chronic renal impairment (GFR < 25 mL/min/1.73 m2) was about 75% higher relative to that observed in healthy volunteers (GFR > 80 mL/min/1.73 m2). In addition, the single-dose plasma MPAG AUC was 3-fold to 6-fold higher in volunteers with severe renal impairment than in volunteers with mild renal impairment or healthy volunteers, consistent with the known renal elimination of MPAG. No data are available on the safety of long-term exposure to this level of MPAG.



Plasma MPA AUC observed after single-dose (1 g) intravenous dosing to volunteers (n=4) with severe chronic renal impairment (GFR < 25 mL/min/1.73 m2) was 62.4 mcg•h/mL (±19.3). Multiple dosing of MMF in patients with severe chronic renal impairment has not been studied.

Patients with Delayed Graft Function or Nonfunction

In patients with delayed renal graft function post-transplant, mean MPA AUC(0-12h) was comparable to that seen in post-transplant patients without delayed renal graft function. There is a potential for a transient increase in the free fraction and concentration of plasma MPA in patients with delayed renal graft function. However, dose adjustment does not appear to be necessary in patients with delayed renal graft function. Mean plasma MPAG AUC(0-12h) was 2-fold to 3-fold higher than in post-transplant patients without delayed renal graft function [see Dosage and Administration (2.5)].



In eight patients with primary graft non-function following kidney transplantation, plasma concentrations of MPAG accumulated about 6-fold to 8-fold after multiple dosing for 28 days. Accumulation of MPA was about 1-fold to 2-fold.



The pharmacokinetics of MMF are not altered by hemodialysis. Hemodialysis usually does not remove MPA or MPAG. At high concentrations of MPAG (> 100 mcg/mL), hemodialysis removes only small amounts of MPAG.



Patients with Hepatic Impairment

The mean (± SD) pharmacokinetic parameters for MPA following the administration of oral MMF given as single doses to non-transplant subjects with hepatic impairment is presented in Table 11.



In a single-dose (1 g oral) study of 18 volunteers with alcoholic cirrhosis and 6 healthy volunteers, hepatic MPA glucuronidation processes appeared to be relatively unaffected by hepatic parenchymal disease when pharmacokinetic parameters of healthy volunteers and alcoholic cirrhosis patients within this study were compared. However, it should be noted that for unexplained reasons, the healthy volunteers in this study had about a 50% lower AUC as compared to healthy volunteers in other studies, thus making comparisons between volunteers with alcoholic cirrhosis and healthy volunteers difficult. In a single-dose

(1 g intravenous) study of 6 volunteers with severe hepatic impairment (aminopyrine breath test less than 0.2% of dose) due to alcoholic cirrhosis, MMF was rapidly converted to MPA. MPA AUC was 44.1 mcg•h/mL (±15.5).



Table 11  Pharmacokinetic Parameters for MPA [mean (±SD)] Following Single Doses of MMF Capsules in Chronic Renal and Hepatic Impairment

Pharmacokinetic Parameters for Renal Impairment

Dose

Tmax

  (h)

Cmax

(mcg/mL)

AUC(0-96h) (mcg•h/mL)

Healthy Volunteers

            GFR greater than 80 mL/min/1.73 m2

            (n=6)

1 g

0.75

(±0.27)

25.3

(±7.99)

45.0

(±22.6)

Mild Renal Impairment

            GFR 50 to 80 mL/min/1.73 m2

            (n=6)

1 g

0.75

(±0.27)

26.0

(±3.82)

59.9

(±12.9)

Moderate Renal Impairment

            GFR 25 to 49 mL/min/1.73 m2

            (n=6)

1 g

0.75

(±0.27)

19.0

(±13.2)

52.9

(±25.5)

Severe Renal Impairment

           GFR less than 25 mL/min/1.73 m2 

           (n=7)

1 g

1.00

(±0.41)

16.3

(±10.8)

78.6

(±46.4)

Pharmacokinetic Parameters for Hepatic Impairment

Dose

Tmax

(h)

Cmax (mcg/mL)

AUC(0-48h) (mcg•h/mL)

Healthy Volunteers

        (n=6)

1 g

0.63

(±0.14)

24.3

(±5.73)

29.0

(±5.78)

Alcoholic Cirrhosis

        (n=18)

1 g

0.85

(±0.58)

22.4

(±10.1)

29.8

(±10.7)

Pediatric Patients

The pharmacokinetic parameters of MPA and MPAG have been evaluated in 55 pediatric patients (ranging from 1 year to 18 years of age) receiving CELLCEPT® Oral Suspension (mycophenolate mofetil) for oral suspension at a dose of 600 mg/m2 twice daily (up to a maximum of 1 g twice daily) after allogeneic kidney transplantation. The pharmacokinetic data for MPA is provided in

Table 12.



Table 12 Mean (±SD) Computed Pharmacokinetic Parameters for MPA by Age and Time after Allogeneic Kidney Transplantation

Age Group (n)

Time

 T max

                 (h)

Dose Adjusteda Cmax

(mcg/mL)

Dose Adjusteda AUC0-12

(mcg•h/mL)

1 to less than 2 yr     (6)d

1 to less than 6 yr     (17)

6 to less than 12 yr   (16)

  12 to 18 yr               (21)

Early (Day 7)

3.03      (4.70)

1.63      (2.85)

0.940     (0.546)

1.16      (0.830)

10.3    (5.80)

13.2    (7.16)

13.1    (6.30)

11.7    (10.7)

22.5    (6.66)

27.4    (9.54)

33.2    (12.1)

26.3    (9.14)b

1 to less than 2 yr     (4)d

1 to less than 6 yr    (15)

6 to less than 12 yr  (14)

  12 to 18 yr              (17)

 Late (Month 3)

0.725    (0.276)

0.989    (0.511)

1.21      (0.532)

0.978    (0.484)

23.8    (13.4)

22.7    (10.1)

27.8    (14.3)

17.9    (9.57)

47.4    (14.7)

49.7    (18.2)

61.9    (19.6)

53.6    (20.3)c

1 to less than 2 yr    (4)d

1 to less than 6 yr    (12)

6 to less than 12 yr  (11)

  12 to 18 yr              (14)

 Late (Month 9)

0.604    (0.208)

0.869    (0.479)

1.12      (0.462)

1.09      (0.518)

25.6    (4.25)

30.4    (9.16)

29.2    (12.6)

18.1    (7.29)

55.8    (11.6)

61.0    (10.7)

66.8    (21.2)

56.7    (14.0)

adjusted to a dose of 600 mg/m2

b n=20

c n=16

d a subset of 1 to <6 yr



The CELLCEPT® Oral Suspension (mycophenolate mofetil) for oral suspension dose of 600 mg/m2 twice daily (up to a maximum of 1 g twice daily) achieved mean MPA AUC values in pediatric patients similar to those seen in adult kidney transplant patients receiving mycophenolate mofetil capsules at a dose of 1 g twice daily in the early post-transplant period. There was wide variability in the data. As observed in adults, early post-transplant MPA AUC values were approximately 45% to 53% lower than those observed in the later post-transplant period (>3 months). MPA AUC values were similar in the early and late post-transplant period across the 1 to 18-year age range.



A comparison of dose-normalized (to 600 mg/m2) MPA AUC values in 12 pediatric kidney transplant patients less than 6 years of age at 9 months post-transplant with those values in 7 pediatric liver transplant patients [median age 17 months (range: 10 to 60 months)] and at 6 months and beyond post-transplant revealed that, at the same dose, there were on average 23% lower AUC values in the pediatric liver compared to pediatric kidney patients. This is consistent with the need for higher dosing in adult liver transplant patients compared to kidney transplant patients to achieve the same exposure.



In adult transplant patients administered the same dosage of mycophenolate mofetil, there is similar MPA exposure among kidney transplant and heart transplant patients. Based on the established similarity in MPA exposure between pediatric kidney transplant and adult kidney transplant patients at their respective approved doses, it is expected that MPA exposure at the recommended dosage will be similar in pediatric heart transplant and adult heart transplant patients.



Male and Female Patients

Data obtained from several studies were pooled to look at any gender-related differences in the pharmacokinetics of MPA (data were adjusted to 1 g oral dose). Mean (±SD) MPA AUC(0-12h) for males (n=79) was 32.0 (±14.5) and for females (n=41) was 36.5 (±18.8) mcg•h/mL while mean (±SD) MPA Cmax was 9.96 (±6.19) in the males and 10.6 (±5.64) mcg/mL in the females. These differences are not of clinical significance.



Geriatric Patients

The pharmacokinetics of mycophenolate mofetil and its metabolites have not been found to be altered in geriatric transplant patients when compared to younger transplant patients.



Drug Interaction Studies

Acyclovir

Coadministration of MMF (1 g) and acyclovir (800 mg) to 12 healthy volunteers resulted in no significant change in MPA AUC and Cmax. However, MPAG and acyclovir plasma AUCs were increased 10.6% and 21.9%, respectively.



Antacids with Magnesium and Aluminum Hydroxides

Absorption of a single dose of MMF (2 g) was decreased when administered to 10 rheumatoid arthritis patients also taking Maalox® TC (10 mL qid). The Cmax and AUC(0-24h) for MPA were 33% and 17% lower, respectively, than when MMF was administered alone under fasting conditions.



Proton Pump Inhibitors (PPIs)

Coadministration of PPIs (e.g., lansoprazole, pantoprazole) in single doses to healthy volunteers and multiple doses to transplant patients receiving mycophenolate mofetil has been reported to reduce the exposure to MPA. An approximate reduction of 30 to 70% in the Cmax and 25% to 35% in the AUC of MPA has been observed, possibly due to a decrease in MPA solubility at an increased gastric pH.



Cholestyramine

Following single-dose administration of 1.5 g MMF to 12 healthy volunteers pretreated with 4 g three times a day of cholestyramine for 4 days, MPA AUC decreased approximately 40%. This decrease is consistent with interruption of enterohepatic recirculation which may be due to binding of recirculating MPAG with cholestyramine in the intestine.



Cyclosporine

Cyclosporine (Sandimmune®) pharmacokinetics (at doses of 275 to 415 mg/day) were unaffected by single and multiple doses of 1.5 g twice daily of MMF in 10 stable kidney transplant patients. The mean (±SD) AUC(0­-12h) and Cmax of cyclosporine after 14 days of multiple doses of MMF were 3290 (±822) ng•h/mL and 753 (±161) ng/mL, respectively, compared to 3245 (±1088) ng•h/mL and 700 (±246) ng/mL, respectively, 1 week before administration of MMF.



Cyclosporine A interferes with MPA enterohepatic recirculation. In kidney transplant patients, mean MPA exposure (AUC(0-12h)) was approximately 30 to 50% greater when MMF was administered without cyclosporine compared with when MMF was coadministered with cyclosporine. This interaction is due to cyclosporine inhibition of multidrug-resistance-associated protein 2 (MRP-2) transporter in the biliary tract, thereby preventing the excretion of MPAG into the bile that would lead to enterohepatic recirculation of MPA. This information should be taken into consideration when MMF is used without cyclosporine.



Drugs Affecting Glucuronidation

Concomitant administration of drugs inhibiting glucuronidation of MPA may increase MPA exposure (e.g., increase of MPA AUC(0-∞) by 35% was observed with concomitant administration of isavuconazole).



Concomitant administration of telmisartan and mycophenolate mofetil resulted in an approximately 30% decrease in MPA concentrations. Telmisartan changes MPA’s elimination by enhancing PPAR gamma (peroxisome proliferator-­activated receptor gamma) expression, which in turn results in an enhanced UGT1A9 expression and glucuronidation activity.



Ganciclovir

Following single-dose administration to 12 stable kidney transplant patients, no pharmacokinetic interaction was observed between MMF (1.5 g) and intravenous ganciclovir (5 mg/kg). Mean (±SD) ganciclovir AUC and Cmax (n=10) were 54.3 (±19.0) mcg•h/mL and 11.5 (±1.8) mcg/mL, respectively, after coadministration of the two drugs, compared to 51.0 (±17.0) mcg•h/mL and 10.6 (±2.0) mcg/mL, respectively, after administration of intravenous ganciclovir alone. The mean (±SD) AUC and Cmax of MPA (n=12) after coadministration were 80.9 (±21.6) mcg•h/mL and 27.8 (±13.9) mcg/mL, respectively, compared to values of 80.3 (±16.4) mcg•h/mL and 30.9 (±11.2) mcg/mL, respectively, after administration of MMF alone.



Oral Contraceptives

A study of coadministration of mycophenolate mofetil (1 g twice daily) and combined oral contraceptives containing ethinylestradiol (0.02 mg to 0.04 mg) and levonorgestrel (0.05 mg to 0.20 mg), desogestrel (0.15 mg) or gestodene (0.05 mg to 0.10 mg) was conducted in 18 women with psoriasis over 3 consecutive menstrual cycles. Mean serum levels of LH, FSH and progesterone were not significantly affected. Mean AUC(0-24h) was similar for ethinylestradiol and 3-keto desogestrel; however, mean levonorgestrel AUC(0-24h) significantly decreased by about 15%. There was large inter-patient variability (%CV in the range of 60% to 70%) in the data, especially for ethinylestradiol.



Sevelamer

Concomitant administration of sevelamer and MMF in adult and pediatric patients decreased the mean MPA Cmax and AUC (0-12h) by 36% and 26% respectively.



Antimicrobials

Antimicrobials eliminating beta-glucuronidase-producing bacteria in the intestine (e.g. aminoglycoside, cephalosporin, fluoroquinolone, and penicillin classes of antimicrobials) may interfere with the MPAG/MPA enterohepatic recirculation thus leading to reduced systemic MPA exposure. Information concerning antibiotics is as follows:

  • Trimethoprim/Sulfamethoxazole: Following single-dose administration of MMF (1.5 g) to 12 healthy male volunteers on day 8 of a 10-day course of trimethoprim   

    160 mg/sulfamethoxazole 800 mg administered twice daily, no effect on the bioavailability of MPA was observed. The mean (±SD) AUC and Cmax of MPA after concomitant administration were 75.2 (±19.8) mcg•h/mL and 34.0 (±6.6) mcg/mL, respectively, compared to 79.2 (±27.9) mcg•h/mL and 34.2 (±10.7) mcg/mL, respectively, after administration of MMF alone.
  • Norfloxacin and Metronidazole: Following single-dose administration of MMF (1 g) to 11 healthy volunteers on day 4 of a 5-day course of a combination of norfloxacin and metronidazole, the mean MPA AUC(0-48h) was significantly reduced by 33% compared to the administration of MMF alone (p<0.05). The mean (±SD) MPA AUC(0-48h) after coadministration of MMF with norfloxacin or metronidazole separately was 48.3 (±24) mcg·h/mL and 42.7 (±23) mcg·h/mL, respectively, compared with 56.2 (±24) mcg·h/mL after administration of MMF alone.
  • Ciprofloxacin and Amoxicillin Plus Clavulanic Acid: A total of 64 mycophenolate mofetil-treated kidney transplant recipients received either oral ciprofloxacin 500 mg twice daily or amoxicillin plus clavulanic acid 375 mg three times daily for 7 or at least 14 days, respectively. Approximately 50% reductions in median trough MPA concentrations (pre-dose) from baseline (mycophenolate mofetil alone) were observed in 3 days following commencement of oral ciprofloxacin or amoxicillin plus clavulanic acid. These reductions in trough MPA concentrations tended to diminish within 14 days of antimicrobial therapy and ceased within 3 days of discontinuation of antibiotics.
  • Rifampin: In a single heart-lung transplant patient, after correction for dose, a 67% decrease in MPA exposure (AUC(0-12h)) has been observed with concomitant administration of MMF and rifampin.
17.4 Blood Dyscrasias

Inform patients that they are at increased risk for developing blood adverse effects such as anemia or low white blood cells. Advise patients to immediately contact their healthcare provider if they experience any evidence of infection, unexpected bruising, or bleeding, or any other manifestation of bone marrow suppression [see Warnings and Precautions (5.4)].

5.3 Serious Infections

Patients receiving immunosuppressants, including mycophenolate mofetil, are at increased risk of developing bacterial, fungal, protozoal and new or reactivated viral infections, including opportunistic infections. The risk increases with the total immunosuppressive load. These infections may lead to serious outcomes, including hospitalizations and death [see Adverse Reactions (6.1, 6.2)].

Serious viral infections reported include:



  • Polyomavirus-associated nephropathy (PVAN), especially due to BK virus infection
  • JC virus-associated progressive multifocal leukoencephalopathy (PML), and
  • Cytomegalovirus (CMV) infections: CMV seronegative transplant patients who receive an organ from a CMV seropositive donor are at highest risk of CMV viremia and CMV disease.
  • Viral reactivation in patients infected with Hepatitis B and C
  • COVID-19


Consider dose reduction or discontinuation of mycophenolate mofetil in patients who develop new infections or reactivate viral infections, weighing the risk that reduced immunosuppression represents to the functioning allograft.



PVAN, especially due to BK virus infection, is associated with serious outcomes, including deteriorating renal function and renal graft loss [see Adverse Reactions (6.2)]. Patient monitoring may help detect patients at risk for PVAN.



PML, which is sometimes fatal, commonly presents with hemiparesis, apathy, confusion, cognitive deficiencies, and ataxia [see Adverse Reactions (6.2)]. In immunosuppressed patients, physicians should consider PML in the differential diagnosis in patients reporting neurological symptoms.



The risk of CMV viremia and CMV disease is highest among transplant recipients seronegative for CMV at time of transplant who receive a graft from a CMV seropositive donor. Therapeutic approaches to limiting CMV disease exist and should be routinely provided. Patient monitoring may help detect patients at risk for CMV disease.



Viral reactivation has been reported in patients infected with HBV or HCV. Monitoring infected patients for clinical and laboratory signs of active HBV or HCV infection is recommended.

1 Indications and Usage

Mycophenolate mofetil capsules are indicated for the prophylaxis of organ rejection, in adult and pediatric recipients 3 months of age and older of allogeneic kidney [see Clinical Studies (14.1)], heart [see Clinical Studies (14.2)] or liver transplants [see Clinical Studies (14.3)], in combination with other immunosuppressants.

12.1 Mechanism of Action

Mycophenolate mofetil (MMF) is absorbed following oral administration and hydrolyzed to mycophenolic acid (MPA), the active metabolite. MPA is a selective uncompetitive inhibitor of the two isoforms (type I and type II) of inosine monophosphate dehydrogenase (IMPDH) leading to inhibition of the de novo pathway of guanosine nucleotide synthesis and blocks DNA synthesis. The mechanism of action of MPA is multifaceted and includes effects on cellular checkpoints responsible for metabolic programming of lymphocytes. MPA shifts transcriptional activities in lymphocytes from a proliferative state to catabolic processes. In vitro studies suggest that MPA modulates transcriptional activities in human CD4+ T-lymphocytes by suppressing the Akt/mTOR and STAT5 pathways that are relevant to metabolism and survival, leading to an anergic state of T-cells whereby the cells become less responsive to antigenic stimulation. Additionally, MPA enhanced the expression of negative co-stimulators such as CD70, PD-1, CTLA-4, and transcription factor FoxP3 as well as decreased the expression of positive co-stimulators CD27 and CD28.



MPA decreases proliferative responses of T- and B-lymphocytes to both mitogenic and allo-antigenic stimulation, antibody responses, as well as the production of cytokines from lymphocytes and monocytes such as GM-CSF, IFN-Ɣ, IL-17, and TNF-α. Additionally, MPA prevents the glycosylation of lymphocyte and monocyte glycoproteins that are involved in intercellular adhesion to endothelial cells and may inhibit recruitment of leukocytes into sites of inflammation and graft rejection.



Overall, the effect of MPA is cytostatic and reversible.

5.1 Embryofetal Toxicity

Use of MMF during pregnancy is associated with an increased risk of first trimester pregnancy loss and an increased risk of congenital malformations, especially external ear and other facial abnormalities including cleft lip and palate, and anomalies of the distal limbs, heart, esophagus, kidney and nervous system. Females of reproductive potential must be made aware of these risks and must be counseled regarding pregnancy prevention and planning. Avoid use of MMF during pregnancy if safer treatment options are available [see Use in Specific Populations (8.1, 8.3)].

17.1 Embryofetal Toxicity

Pregnancy loss and malformations



  • Inform females of reproductive potential and pregnant women that use of mycophenolate mofetil capsules during pregnancy is associated with an increased risk of first trimester pregnancy loss and an increased risk of congenital malformations. Advise that they must use an acceptable form of contraception [see Warnings and Precautions (5.1), Use in Specific Populations (8.1, 8.3)].
  • Encourage pregnant women to enroll in the Pregnancy Exposure Registry. This registry monitors pregnancy outcomes in women exposed to mycophenolate [see Use in Specific Populations (8.1)].

Contraception



  • Discuss pregnancy testing, pregnancy prevention and planning with females of reproductive potential [see Use in Specific Populations (8.3)].
  • Females of reproductive potential must use an acceptable form of birth control during the entire mycophenolate mofetil capsules therapy and for 6 weeks after stopping mycophenolate mofetil capsules, unless the patient chooses abstinence. Mycophenolate mofetil capsules may reduce effectiveness of oral contraceptives. Use of additional barrier contraceptive methods is recommended [see Use in Specific Populations (8.3)].
  • For patients who are considering pregnancy, discuss appropriate alternative immunosuppressants with less potential for embryofetal toxicity. Risks and benefits of mycophenolate mofetil capsules should be discussed with the patient.
  • Advise sexually active male patients and/or their partners to use effective contraception during the treatment of the male patient and for at least 90 days after cessation of treatment. This recommendation is based on findings of animal studies [see Use in Specific Populations (8.3), Nonclinical Toxicology (13.1) ].
14.2 Heart Transplantation

A double-blind, randomized, comparative, parallel-group, multicenter study in primary de novo heart transplant recipients was performed at centers in the United States (20), in Canada (1), in Europe (5) and in Australia (2). The total number of patients enrolled (ITT population) was 650; 72 never received study drug and 578 received study drug (Safety Population). Patients received mycophenolate mofetil 1.5 g twice daily (n=289) or AZA 1.5 to 3 mg/kg/day (n=289), in combination with cyclosporine (Sandimmune® or Neoral®) and corticosteroids as maintenance immunosuppressive therapy. The two primary efficacy endpoints were: (1) the proportion of patients who, after transplantation, had at least one endomyocardial biopsy-proven rejection with hemodynamic compromise, or were re-transplanted or died, within the first 6 months, and (2) the proportion of patients who died or were re-transplanted during the first 12 months following transplantation. Patients who prematurely discontinued treatment were followed for the occurrence of allograft rejection for up to 6 months and for the occurrence of death for 1 year.



The analyses of the endpoints showed:



  • Rejection: No difference was established between mycophenolate mofetil and AZA with respect to biopsy-proven rejection with hemodynamic compromise.
  • Survival: Mycophenolate mofetil was shown to be at least as effective as AZA in preventing death or re-transplantation at 1 year (see Table 15).


Table 15 De Novo Heart Transplantation Study Rejection at 6 Months/Death or Re-transplantation at 1 Year



 

All Patients (ITT)

Treated Patients

AZA

N = 323

Mycophenolate Mofetil

N = 327

AZA

N = 289

Mycophenolate Mofetil

N = 289

Biopsy-proven rejection with hemodynamic compromise at 6 monthsa

121

(38%)

120

(37%)

100

(35%)

92

(32%)

Death or re-transplantation at

1 year

49

(15.2%)

42

(12.8%)

33

 (11.4%)

18

(6.2%)

a    Hemodynamic compromise occurred if any of the following criteria were met: pulmonary capillary wedge pressure ≥20 mm or a 25% increase; cardiac index <2.0 L/min/m2 or a 25% decrease; ejection fraction ≤30%; pulmonary artery oxygen saturation ≤60% or a 25% decrease; presence of new S3 gallop; fractional shortening was ≤20% or a 25% decrease; inotropic support required to manage the clinical condition.

14.3 Liver Transplantation

A double-blind, randomized, comparative, parallel-group, multicenter study in primary hepatic transplant recipients was performed at centers in the United States (16), in Canada (2), in Europe (4) and in Australia (1). The total number of patients enrolled was 565. Per protocol, patients received mycophenolate mofetil 1 g twice daily intravenously for up to 14 days followed by mycophenolate mofetil 1.5 g twice daily orally or AZA 1 to 2 mg/kg/day intravenously followed by AZA 1 to 2 mg/kg/day orally, in combination with cyclosporine (Neoral®) and corticosteroids as maintenance immunosuppressive therapy. The actual median oral dose of AZA on study was 1.5 mg/kg/day (range of 0.3 to 3.8 mg/kg/day) initially and 1.26 mg/kg/day (range of 0.3 to 3.8 mg/kg/day) at 12 months. The two primary endpoints were: (1) the proportion of patients who experienced, in the first 6 months post-transplantation, one or more episodes of biopsy-proven and treated rejection or death or re-transplantation, and (2) the proportion of patients who experienced graft loss (death or re-transplantation) during the first 12 months post-transplantation. Patients who prematurely discontinued treatment were followed for the occurrence of allograft rejection and for the occurrence of graft loss (death or re-transplantation) for 1 year.



In combination with corticosteroids and cyclosporine, mycophenolate mofetil demonstrated a lower rate of acute rejection at 6 months and a similar rate of death or re-transplantation at 1 year compared to AZA (Table 16).



Table 16 De Novo Liver Transplantation Study Rejection at 6 Months/Death or Retransplantation at 1 Year

 

AZA

N = 287

Mycophenolate Mofetil

N = 278

Biopsy-proven, treated rejection at 6 months (includes death or re-transplantation)

 

137 (47.7%)

107 (38.5%)

Death or re-transplantation at 1 year

 

42 (14.6%)

41 (14.7%)

16.1 Handling and Disposal

Mycophenolate mofetil (MMF) has demonstrated teratogenic effects in humans [see Warnings and Precautions (5.1) and Use in Specific Populations (8.1)]. Mycophenolate mofetil capsules, USP should not be opened or crushed. Avoid inhalation or direct contact with skin or mucous membranes of the powder contained in mycophenolate mofetil capsules, USP. Follow applicable special handling and disposal procedures 1 .

5 Warnings and Precautions
  • Blood Dyscrasias (Neutropenia, Red Blood Cell Aplasia): Monitor with blood tests; consider treatment interruption or dose reduction. (5.4)
  • Gastrointestinal Complications: Monitor for complications such as bleeding, ulceration and perforations, particularly in patients with underlying gastrointestinal disorders. (5.5)
  • Hypoxanthine-Guanine Phosphoribosyl-Transferase Deficiency: Avoid use of mycophenolate mofetil. (5.6)
  • Acute Inflammatory Syndrome Associated with Mycophenolate Products: Monitor for this paradoxical inflammatory reaction. (5.7)
  • Hypersensitivity Reactions: Discontinue mycophenolate mofetil; treat and monitor until signs and symptoms resolve. (5.8)
  • Immunizations: Avoid live attenuated vaccines. (5.9)
  • Local Reactions with Rapid Intravenous Administration: CELLCEPT® Intravenous (mycophenolate mofetil) for injection must not be administered by rapid or bolus intravenous injection. (5.10)
  •  Phenylketonurics: Oral suspension contains aspartame. (5.11)
  • Blood Donation: Avoid during therapy and for 6 weeks thereafter. (5.12)
  • Semen Donation: Avoid during therapy and for 90 days thereafter. (5.13)
  • Potential Impairment on Driving and Use of Machinery: Mycophenolate mofetil may affect ability to drive or operate machinery. (5.15)


14.1 Kidney Transplantation

Adults



The three de novo kidney transplantation studies compared two dose levels of oral mycophenolate mofetil (1 g twice daily and 1.5 g twice daily) with azathioprine (2 studies) or placebo (1 study) to prevent acute rejection episodes. One of the two studies with azathioprine (AZA) control arm also included anti-thymocyte globulin (ATGAM®) induction therapy. The geographic location of the investigational sites of these studies are included in Table 13.



In all three de novo kidney transplantation studies, the primary efficacy endpoint was the proportion of patients in each treatment group who experienced treatment failure within the first 6 months after transplantation. Treatment failure was defined as biopsy-proven acute rejection on treatment or the occurrence of death, graft loss or early termination from the study for any reason without prior biopsy-proven rejection.



Mycophenolate mofetil, in combination with corticosteroids and cyclosporine, reduced (statistically significant at 0.05 level) the incidence of treatment failure within the first 6 months following transplantation (Table 13). Patients who prematurely discontinued treatment were followed for the occurrence of death or graft loss, and the cumulative incidence of graft loss and patient death combined are summarized in Table 14. Patients who prematurely discontinued treatment were not followed for the occurrence of acute rejection after termination.

Table 13 Treatment Failure in De Novo Kidney Transplantation Studies



USA Study (N=499 patients)

Mycophenolate

Mofetil

2 g/day

(n=167 patients)

Mycophenolate Mofetil

3 g/day

(n=166 patients)

AZA

1 to 2 mg/kg/day

    (n=166 patients)

All 3 groups received anti-thymocyte globulin induction, cyclosporine and corticosteroids

All treatment failures

31.1%

31.3%

47.6%

Early termination without prior acute rejection

9.6%

12.7%

6.0%

Biopsy-proven rejection episode on treatment

19.8%

17.5%

38.0%

Europe/Canada/Australia Study

 (N=503 patients)

Mycophenolate Mofetil

2 g/day

(n=173 patients)

Mycophenolate Mofetil

3 g/day

(n=164 patients)

AZA

100 to 150 mg/day

(n=166 patients)

No induction treatment administered; all 3 groups received cyclosporine and corticosteroids.

All treatment failures

38.2%

34.8%

50.0%

Early termination without prior acute rejection

13.9%

15.2%

10.2%

Biopsy-proven rejection episode on treatment

19.7%

15.9%

35.5%

Europe Study (N=491 patients)

Mycophenolate Mofetil

2 g/day

(n=165 patients)

Mycophenolate Mofetil

3 g/day

(n=160 patients)

Placebo

 

(n=166 patients)

No induction treatment administered; all 3 groups received cyclosporine and corticosteroids.

All treatment failures

30.3%

38.8%

56.0%

Early termination without prior acute rejection

11.5%

22.5%

7.2%

Biopsy-proven rejection episode on treatment

17.0%

13.8%

46.4%

 *Does not include death and graft loss as reason for early termination.



No advantage of mycophenolate mofetil at 12 months with respect to graft loss or patient death (combined) was established (Table 14). Numerically, patients receiving mycophenolate mofetil 2 g/day and 3 g/day experienced a better outcome than controls in all three studies; patients receiving mycophenolate mofetil 2 g/day experienced a better outcome than mycophenolate mofetil 3 g/day in two of the three studies. Patients in all treatment groups who terminated treatment early were found to have a poor outcome with respect to graft loss or patient death at 1 year.



Table 14 De Novo Kidney Transplantation Studies Cumulative Incidence of Combined Graft Loss or Patient Death at 12 Months

Study

Mycophenolate Mofetil

 2 g/day

Mycophenolate Mofetil

3 g/day

Control

(AZA or Placebo)

USA

8.5%

11.5%

12.2%

Europe/Canada/Australia

11.7%

11.0%

13.6%

Europe

8.5%

10.0%

11.5%



Pediatrics- De Novo Kidney transplantation PK Study with Long Term Follow-Up



One open-label, safety and pharmacokinetic study of CELLCEPT® Oral Suspension (mycophenolate mofetil) for oral suspension 600 mg/m2 twice daily (up to 1 g twice daily) in combination with cyclosporine and corticosteroids was performed at centers in the United States (9), Europe (5) and Australia (1) in 100 pediatric patients (3 months to 18 years of age) for the prevention of renal allograft rejection. Mycophenolate mofetil was well tolerated in pediatric patients [see Adverse Reactions (6.1)], and the pharmacokinetics profile was similar to that seen in adult patients dosed with 1 g twice daily mycophenolate mofetil capsules [see Clinical Pharmacology (12.3)]. The rate of biopsy-proven rejection was similar across the age groups (3 months to <6 years, 6 years to <12 years, 12 years to 18 years). The overall biopsy-proven rejection rate at 6 months was comparable to adults. The combined incidence of graft loss (5%) and patient death (2%) at 12 months post-transplant was similar to that observed in adult kidney transplant patients.

2 Dosage and Administration


ADULTS

 DOSAGE

Kidney Transplant

 1 g twice daily, orally (2.2)

Heart Transplant

 1.5 g twice daily orally (2.3)

Liver Transplant

 1.5 g twice daily orally (2.4)

PEDIATRICS

Kidney Transplant

 600 mg/m2 orally twice daily, up to maximum of 2 g  daily (2.2)

Heart Transplant

 600 mg/m2 orally twice daily (starting dose) up to a maximum of 900 mg/m2 twice daily (3 g or 15 mL of oral suspension) (2.3)

Liver Transplant

 600 mg/m2 orally twice daily (starting dose) up to a maximum of 900 mg/m2 twice daily (3 g or 15 mL of oral suspension) (2.4)



  • Reduce or interrupt dosing in the event of neutropenia. (2.5)
  • See full prescribing information (FPI) for: adjustments for renal impairment and neutropenia. (2.5)
6.2 Postmarketing Experience

The following adverse reactions have been identified during post-approval use of mycophenolate mofetil. Because these reactions are reported voluntarily from a population of uncertain size, it is not always possible to reliably estimate their frequency or establish a causal relationship to drug exposure:



  • Embryo-Fetal Toxicity: Congenital malformations and spontaneous abortions, mainly in the first trimester, have been reported following exposure to mycophenolate mofetil (MMF) in combination with other immunosuppressants during pregnancy [see Warnings and Precautions (5.1), and Use in Specific Populations (8.1), (8.3)]. Congenital malformations include:


 -Facial malformations: cleft lip, cleft palate, micrognathia, hypertelorism of the orbits

 -Abnormalities of the ear and eye: abnormally formed or absent external/middle ear, coloboma, microphthalmos 

 -Malformations of the fingers: polydactyly, syndactyly, brachydactyly

 -Cardiac abnormalities: atrial and ventricular septal defects

 -Esophageal malformations: esophageal atresia

 -Nervous system malformations: such as spina bifida.



  • Cardiovascular: Venous thrombosis has been reported in patients treated with mycophenolate mofetil administered intravenously.
  • Digestive: Colitis, pancreatitis
  • Hematologic and Lymphatic: Bone marrow failure, cases of pure red cell aplasia (PRCA) and hypogammaglobulinemia have been reported in patients treated with mycophenolate mofetil in combination with other immunosuppressive agents [see Warnings and Precautions (5.4)].
  • Immune: Hypersensitivity reactions, including anaphylaxis and angioedema [see Warnings and Precautions (5.8)], hypogammaglobinemia.
  • Infections: Meningitis, infectious endocarditis, tuberculosis, atypical mycobacterial infection, progressive multifocal leukoencephalopathy, BK virus infection, viral reactivation of hepatitis B and hepatitis C, protozoal infections [see Warnings and Precautions (5.3)].
  • Respiratory: Bronchiectasis, interstitial lung disease, fatal pulmonary fibrosis, have been reported rarely and should be considered in the differential diagnosis of pulmonary symptoms ranging from dyspnea to respiratory failure in post-transplant patients receiving mycophenolate mofetil.
  • Vascular: Lymphocele
3 Dosage Forms and Strengths

Mycophenolate Mofetil Capsules, USP 250 mg are red opaque cap and brown opaque body, hard gelatin capsule shell imprinted “MYMH” on cap and “250” on the body filled with white to off-white granules.

8 Use in Specific Populations
  • Male Patients: Sexually active male patients and/or their female partners are recommended to use effective contraception during treatment of the male patient and for at least 90 days after cessation of treatment (8.3)
5.8 Hypersensitivity Reactions

Postmarketing cases of hypersensitivity reactions, including angioedema and anaphylaxis, have been reported with mycophenolate mofetil. These reactions generally occurred within hours to the next day after initiating mycophenolate mofetil. If signs or symptoms of hypersensitivity reaction occur, discontinue mycophenolate mofetil; treat and monitor until symptoms resolve [see Contraindications (4)].

17.7 Hypersensitivity Reactions

Inform patients of the potential risk of hypersensitivity reactions. Advise patients to stop taking mycophenolate mofetil capsules and seek immediate medical attention if signs or symptoms of hypersensitivity reaction occur (such as swelling of face, lips, tongue, or throat; difficulty breathing or swallowing) [see Warnings and Precautions (5.8)].

6.1 Clinical trials Experience

Because clinical trials are conducted under widely varying conditions, adverse reaction rates observed in the clinical trials of a drug cannot be directly compared to rates in the clinical trials of another drug and may not reflect the rates observed in practice.



An estimated total of 1557 adult patients received mycophenolate mofetil during pivotal clinical trials in the prevention of acute organ rejection. Of these, 991 were included in the three renal studies, 277 were included in one hepatic study, and 289 were included in one cardiac study. Patients in all study arms also received cyclosporine and corticosteroids.



The data described below primarily derive from five randomized, active-controlled double-blind 12-month trials of mycophenolate mofetil in de novo kidney (3) heart (1) and liver (1) transplant patients [see Clinical Studies (14.114.2, and 14.3)].



Mycophenolate Mofetil Oral



The incidence of adverse reactions for mycophenolate mofetil was determined in five randomized, comparative, double-blind trials in the prevention of rejection in kidney, heart and liver transplant patients (two active- and one placebo-controlled trials, one active-controlled trial, and one active-controlled trial, respectively) [see Clinical Studies (14.114.2 and 14.3)].



The three de novo kidney studies with 12-month duration compared two dose levels of oral mycophenolate mofetil (1 g twice daily and 1.5 g twice daily) with azathioprine (2 studies) or placebo (1 study) when administered in combination with cyclosporine (Sandimmune®) and corticosteroids to prevent acute rejection episodes. One study also included anti-thymocyte globulin (ATGAM®) induction therapy.



In the de novo heart transplantation study with 12-month duration, patients received mycophenolate mofetil 1.5 g twice daily (n=289) or azathioprine 1.5 to 3 mg/kg/day (n=289), in combination with cyclosporine (Sandimmune® or Neoral®) and corticosteroids as maintenance immunosuppressive therapy.



In the de novo liver transplantation study with 12-month duration, patients received mycophenolate mofetil 1 g twice daily intravenously for up to 14 days followed by mycophenolate mofetil 1.5 g twice daily orally or azathioprine 1 to 2 mg/kg/day intravenously followed by azathioprine 1 to 2 mg/kg/day orally, in combination with cyclosporine (Neoral®) and corticosteroids as maintenance immunosuppressive therapy. The total number of patients enrolled was 565.



Approximately 53% of the kidney transplant patients, 65% of the heart transplant patients, and 48% of the liver transplant patients were treated for more than 1 year. Adverse reactions reported in ≥ 20% of patients in the mycophenolate mofetil treatment groups are presented below. The safety data of three kidney transplantation studies are pooled together.



Table 5 Adverse Reactions in Controlled Studies of De Novo Kidney, Heart or Liver Transplantation Reported in 20% of Patients in the Mycophenolate Mofetil Group



Adverse drug reaction

System Organ Class

 

Kidney Studies

Heart Study

Liver Study

Mycophenolate Mofetil

2g/day (n=501) or 3g/day (n=490)

AZA

1 to 2 mg/kg/day or 100 to 150 mg/day

Placebo

Mycophenolate Mofetil

3g/day

AZA

1.5 to 3 mg/kg

/day

 

Mycophenolate Mofetil

3g/day

AZA

1 to 2 mg/kg/

day

 

(n=991)

(n=326)

(n=166)

(n=289)

(n=289)

(n=277)

(n=287)

%

%

%

%

%

%

%

Infections and infestations

Bacterial infections

39.9

33.7

37.3

-

-

27.4

26.5

Viral infections

- a

-

-

31.1

24.9

-

-

Blood and lymphatic system disorders

Anemia

20.0

23.6

2.4

45.0

47.1

43.0

53.0

Ecchymosis

-

-

-

20.1

9.7

-

-

Leukocytosis

-

-

-

42.6

37.4

22.4

21.3

Leukopenia

28.6

24.8

4.2

34.3

43.3

45.8

39.0

Thrombocytopenia

-

-

-

24.2

28.0

38.3

42.2

Metabolism and nutrition disorders

Hypercholesterolemia

-

-

-

46.0

43.9

-

-

Hyperglycemia

-

-

-

48.4

53.3

43.7

48.8

Hyperkalemia

-

-

-

-

-

22.0

23.7

Hypocalcemia

-

-

-

-

-

30.0

30.0

Hypokalemia

-

-

-

32.5

26.3

37.2

41.1

Hypomagnesemia

-

-

-

20.1

14.2

39.0

37.6

Psychiatric disorders

Depression

-

-

-

20.1

15.2

-

-

Insomnia

-

-

-

43.3

39.8

52.3

47.0

Nervous system disorders

Dizziness

-

-

-

34.3

33.9

-

-

Headache

-

-

-

58.5

55.4

53.8

49.1

Tremor

-

-

-

26.3

25.6

33.9

35.5

Cardiac disorders

Tachycardia

-

-

-

22.8

21.8

22.0

15.7

Vascular disorders

Hypertension

27.5

32.2

19.3

78.9

74.0

62.1

59.6

Hypotension

-

-

-

34.3

40.1

-

-

Respiratory, thoracic and mediastinal disorders

Cough

-

-

-

40.5

32.2

-

-

Dyspnea

-

-

-

44.3

44.3

31.0

30.3

Pleural effusion

-

-

-

-

-

34.3

35.9

Gastrointestinal disorders

Abdominal pain

22.4

23.0

11.4

41.9

39.4

62.5

51.2

Constipation

-

-

-

43.6

38.8

37.9

38.3

Decreased appetite

-

-

-

-

-

25.3

17.1

Diarrhea

30.4

20.9

13.9

52.6

39.4

51.3

49.8

Dyspepsia

-

-

-

22.1

22.1

22.4

20.9

Nausea

-

-

-

56.1

60.2

54.5

51.2

Vomiting

-

-

-

39.1

34.6

32.9

33.4

Hepatobiliary disorders

Blood lactate dehydrogenase increased

-

-

-

23.5

18.3

-

-

Hepatic enzyme increased

-

-

-

-

-

24.9

19.2

Skin and subcutaneous tissues disorders

Rash

-

-

-

26.0

20.8

-

-

Renal and urinary disorders

Blood creatinine increased

-

-

-

42.2

39.8

-

-

Blood urea increased

-

-

-

36.7

34.3

-

-

General disorders and administration site conditions

Asthenia

-

-

-

49.1

41.2

35.4

33.8

Edema b

21.0

28.2

8.4

67.5

55.7

48.4

47.7

Pain c

24.8

32.2

9.6

79.2

77.5

74.0

77.5

Pyrexia

-

-

-

56.4

53.6

52.3

56.1

a : “-” Indicates that the incidence was below the cutoff value of 20% for inclusion in the table.

b : “Edema” includes peripheral edema, facial edema, scrotal edema.

c : “Pain” includes musculoskeletal pain (myalgia, neck pain, back pain).



In the three de novo kidney studies, patients receiving 2 g/day of mycophenolate mofetil had an overall better safety profile than did patients receiving 3 g/day of mycophenolate mofetil.



Post-transplant lymphoproliferative disease (PTLD, pseudolymphoma) developed in 0.4% to 1% of patients receiving mycophenolate mofetil (2 g or 3 g daily) with other immunosuppressive agents in controlled clinical trials of kidney, heart and liver transplant patients followed for at least 1 year [see Warnings and Precautions (5.2)]. Non-melanoma skin carcinomas occurred in 1.6% to 4.2% of patients, other types of malignancy in 0.7% to 2.1% of patients. Three-year safety data in kidney and heart transplant patients did not reveal any unexpected changes in incidence of malignancy compared to the 1-year data. In pediatric patients, PTLD was observed in 1.35% (2/148) by 12 months post-transplant.



Cytopenias, including leukopenia, anemia, thrombocytopenia and pancytopenia are a known risk associated with mycophenolate and may lead or contribute to the occurrence of infections and hemorrhages [see Warnings and Precautions (5.3)]. Severe neutropenia (ANC <0.5 x 103/µL) developed in up to 2% of kidney transplant patients, up to 2.8% of heart transplant patients and up to 3.6% of liver transplant patients receiving mycophenolate mofetil 3 g daily [see Warnings and Precautions (5.4) and Dosage and Administration (2.5)].



The most common opportunistic infections in patients receiving mycophenolate mofetil with other immunosuppressants were mucocutaneous candida, CMV viremia/syndrome, and herpes simplex. The proportion of patients with CMV viremia/syndrome was 13.5%. In patients receiving mycophenolate mofetil (2 g or 3 g) in controlled studies for prevention of kidney, heart or liver rejection, fatal infection/sepsis occurred in approximately 2% of kidney and heart patients and in 5% of liver patients [see Warnings and Precautions (5.3)].



The most serious gastrointestinal disorders reported were ulceration and hemorrhage, which are known risks associated with mycophenolate mofetil. Mouth, esophageal, gastric, duodenal, and intestinal ulcers often complicated by hemorrhage, as well as hematemesis, melena, and hemorrhagic forms of gastritis and colitis were commonly reported during the pivotal clinical trials, while the most common gastrointestinal disorders were diarrhea, nausea and vomiting. Endoscopic investigation of patients with mycophenolate mofetil-related diarrhea revealed isolated cases of intestinal villous atrophy [see Warnings and Precautions (5.5)].



The following adverse reactions were reported with 3% to <20% incidence in kidney, heart, and liver transplant patients treated with mycophenolate mofetil, in combination with cyclosporine and corticosteroids.



Table 6 Adverse Reactions in Controlled Studies of De Novo Kidney, Heart or Liver Transplantation Reported in 3% to <20% of Patients Treated with Mycophenolate Mofetil in Combination with Cyclosporine and Corticosteroids



System Organ

Class

Adverse Reactions

Body as a Whole

cellulitis, chills, hernia, malaise

Infections and Infestations

fungal infections

Hematologic and Lymphatic

coagulation disorder, ecchymosis, pancytopenia

Urogenital

hematuria

Cardiovascular

hypotension

Metabolic and Nutritional

acidosis, alkaline phosphatase increased, hyperlipemia, hypophosphatemia, weight loss

Digestive

esophagitis, flatulence, gastritis, gastrointestinal hemorrhage, hepatitis, ileus, nausea and vomiting, stomach ulcer, stomatitis

Neoplasm benign, malignant and unspecified

neoplasm

Skin and Appendages

skin benign neoplasm, skin carcinoma

Psychiatric

confusional state

Nervous

hypertonia, paresthesia, somnolence

Musculoskeletal

arthralgia, myasthenia



Pediatrics

The type and frequency of adverse events in a clinical study for prevention of kidney allograft rejection in 100 pediatric patients 3 months to 18 years of age dosed with CELLCEPT® Oral Suspension (mycophenolate mofetil) for oral suspension 600 mg/m2 twice daily (up to 1 g twice daily) were generally similar to those observed in adult patients dosed with mycophenolate mofetil capsules at a dose of 1 g twice daily with the exception of abdominal pain, fever, infection, pain, sepsis, diarrhea, vomiting, pharyngitis, respiratory tract infection, hypertension, leukopenia, and anemia, which were observed in a higher proportion in pediatric patients.

  

Safety information in pediatric heart transplant or pediatric liver transplant patients treated with mycophenolate mofetil is supported by an open-label study in pediatric liver transplant patients and publications; the type and frequency of the reported adverse reactions are consistent with those observed in pediatric patients following renal transplant and in adults.



Geriatrics

Geriatric  patients (≥65 years), particularly those who are receiving mycophenolate mofetil as part of a combination immunosuppressive regimen, may be at increased risk of certain infections (including cytomegalovirus [CMV] tissue invasive disease) and possibly gastrointestinal hemorrhage and pulmonary edema, compared to younger individuals [see Warnings and Precautions (5.3) and Adverse Reactions (6.1)].



CELLCEPT® Intravenous (mycophenolate mofetil) for injection



The safety profile of CELLCEPT® Intravenous (mycophenolate mofetil) for injection was determined from a single, double-blind, controlled comparative study of the safety of 2 g/day of intravenous and oral mycophenolate mofetil in kidney transplant patients in the immediate post-transplant period (administered for the first 5 days). The potential venous irritation of CELLCEPT® Intravenous (mycophenolate mofetil) for injection was evaluated by comparing the adverse reactions attributable to peripheral venous infusion of CELLCEPT® Intravenous (mycophenolate mofetil) for injection with those observed in the intravenous placebo group; patients in the placebo group received active medication by the oral route.



Adverse reactions attributable to peripheral venous infusion were phlebitis and thrombosis, both observed at 4% in patients treated with CELLCEPT® Intravenous (mycophenolate mofetil) for injection.

17.6 Acute Inflammatory Syndrome

Inform patients that acute inflammatory reactions have been reported in some patients who received mycophenolate mofetil capsules. Some reactions were severe, requiring hospitalization. Advise patients to contact their physician if they develop fever, joint stiffness, joint pain or muscle pains [see Warnings and Precautions (5.7)].

17.9 Administration Instructions
  • Advise patients not to crush CELLCEPT® (mycophenolate mofetil) tablets and not to open mycophenolate mofetil capsules.
  • Advise patients to avoid inhalation or contact of the skin or mucous membranes with the powder contained in mycophenolate mofetil capsules and with the oral suspension. If such contact occurs, they must wash the area of contact thoroughly with soap and water. In case of ocular contact, rinse eyes with plain water.
  • Advise patients to take a missed dose as soon as they remember, except if it is closer than 2 hours to the next scheduled dose; in this case they should continue to take mycophenolate mofetil capsules at the usual times.
17 Patient Counseling Information

Advise the patient to read the FDA-approved patient labeling (Medication Guide).

5.5 Gastrointestinal Complications

Gastrointestinal bleeding requiring hospitalization, ulceration and perforations were observed in clinical trials. Physicians should be aware of these serious adverse effects particularly when administering mycophenolate mofetil to patients with a gastrointestinal disease.

8.6 Patients With Renal Impairment

Patients with Kidney Transplant

No dosage adjustments are needed in kidney transplant patients experiencing delayed graft function postoperatively but patients should be carefully monitored [see Clinical Pharmacology (12.3)]. In kidney transplant patients with severe chronic impairment of the graft (GFR <25 mL/min/1.73 m2), no dose adjustments are necessary; however, doses greater than 1 g administered twice a day should be avoided.



Patients with Heart and Liver Transplant

No data are available for heart or liver transplant patients with severe chronic renal impairment. Mycophenolate mofetil may be used for heart or liver transplant patients with severe chronic renal impairment if the potential benefits outweigh the potential risks.

5.2 Lymphoma and Other Malignancies

Patients receiving immunosuppressants, including mycophenolate mofetil, are at increased risk of developing lymphomas and other malignancies, particularly of the skin [see Adverse Reactions (6.1)]. The risk appears to be related to the intensity and duration of immunosuppression rather than to the use of any specific agent. For patients with increased risk for skin cancer, exposure to sunlight and UV light should be limited by wearing protective clothing and using a broad-spectrum sunscreen with a high protection factor.



Post-transplant lymphoproliferative disorder (PTLD) developed in 0.4% to 1% of patients receiving mycophenolate mofetil (2 g or 3 g) with other immunosuppressive agents in controlled clinical trials of kidney, heart and liver transplant patients [see Adverse Reactions (6.1)]. The majority of PTLD cases appear to be related to Epstein Barr Virus (EBV) infection. The risk of PTLD appears greatest in those individuals who are EBV seronegative, a population which includes many young children. In pediatric patients, no other malignancies besides PTLD were observed in clinical trials [see Adverse Reactions (6.1)].

8.7 Patients With Hepatic Impairment

Patients with Kidney Transplant

No dosage adjustments are recommended for kidney transplant patients with severe hepatic parenchymal disease. However, it is not known whether dosage adjustments are needed for hepatic disease with other etiologies [see Clinical Pharmacology (12.3)].



Patients with Heart Transplant

No data are available for heart transplant patients with severe hepatic parenchymal disease.

17.3 Increased Risk of Serious Infections

Inform patients that they are at increased risk of developing a variety of infections due to immunosuppression. Instruct them to contact their physician if they develop any of the signs and symptoms of infection explained in the Medication Guide [see Warnings and Precautions (5.3)].

17.5 Gastrointestinal Tract Complications

Inform patients that mycophenolate mofetil capsules can cause gastrointestinal tract complications including bleeding, intestinal perforations, and gastric or duodenal ulcers. Advise the patient to contact their healthcare provider if they have symptoms of gastrointestinal bleeding, or sudden onset or persistent abdominal pain [see Warnings and Precautions (5.5)].

2.1  important Administration Instructions

Mycophenolate mofetil capsules should not be used without the supervision of a physician with experience in immunosuppressive therapy.



Mycophenolate Mofetil Capsules, Tablets and Oral Suspension

Mycophenolate mofetil oral dosage forms (capsules, tablets or oral suspension) should not be used interchangeably with mycophenolic acid delayed-release tablets without supervision of a physician with experience in immunosuppressive therapy because the rates of absorption following the administration of mycophenolate mofetil oral dosage forms and mycophenolic acid delayed-release tablets are not equivalent.



CELLCEPT® (mycophenolate mofetil) tablets should not be crushed and mycophenolate mofetil capsules should not be opened or crushed. Patients should avoid inhalation or contact of the skin or mucous membranes with the powder contained in mycophenolate mofetil capsules and oral suspension. If such contact occurs, they must wash the area of contact thoroughly with soap and water. In case of ocular contact, rinse eyes with plain water.



The initial oral dose of mycophenolate mofetil should be given as soon as possible following kidney, heart or liver transplant. It is recommended that mycophenolate mofetil be administered on an empty stomach. In stable transplant patients, however, mycophenolate mofetil may be administered with food if necessary [see Clinical Pharmacology (12.3)]. Once reconstituted, CELLCEPT® Oral Suspension (mycophenolate mofetil) for oral suspension must not be mixed with any liquids prior to dose administration. If needed, CELLCEPT® Oral Suspension (mycophenolate mofetil) for oral suspension can be administered via a nasogastric tube with a minimum size of 8 French (minimum 1.7 mm interior diameter).



Patients should be instructed to take a missed dose as soon as they remember, except if it is closer than 2 hours to the next scheduled dose; in this case, they should continue to take mycophenolate mofetil capsules at the usual times.

5.11 Risks in Patients With Phenylketonuria

Phenylalanine can be harmful to patients with phenylketonuria (PKU). CELLCEPT® Oral Suspension (mycophenolate mofetil) for oral suspension contains aspartame, a source of phenylalanine (0.56 mg phenylalanine/mL suspension). Before prescribing CELLCEPT® Oral Suspension (mycophenolate mofetil) for oral suspension to a patient with PKU, consider the combined daily amount of phenylalanine from all sources, including mycophenolate mofetil.

16.2 Mycophenolate Mofetil Capsules Usp, 250 Mg

Mycophenolate Mofetil Capsules USP, 250 mg are red opaque cap and brown opaque body, hard gelatin capsule shell imprinted “MYMH” on cap and “250” on the body filled with white to off-white granules. They are supplied as follows:



                          Bottles of 100                                NDC 59651-624-01

                          Bottles of 500                                NDC 59651-624-05

Storage

Store at 20° to 25°C (68° to 77°F); excursions permitted to 15° to 30°C (59° to 86°F) [See USP Controlled Room Temperature].



Dispense in light-resistant containers, such as the manufacturer’s original containers.

8.3 Females and Males of Reproductive Potential

Females of reproductive potential must be made aware of the increased risk of first trimester pregnancy loss and congenital malformations and must be counseled regarding pregnancy prevention and planning.



Pregnancy Planning



For patients who are considering pregnancy, consider alternative immunosuppressants with less potential for embryofetal toxicity whenever possible. Risks and benefits of mycophenolate mofetil should be discussed with the patient.



Pregnancy Testing



To prevent unplanned exposure during pregnancy, all females of reproductive potential should have a serum or urine pregnancy test with a sensitivity of at least 25 mIU/mL immediately before starting mycophenolate mofetil. Another pregnancy test with the same sensitivity should be done 8 to 10 days later. Repeat pregnancy tests should be performed during routine follow-up visits. Results of all pregnancy tests should be discussed with the patient. In the event of a positive pregnancy test, consider alternative immunosuppressants with less potential for embryofetal toxicity whenever possible.



Contraception



Female Patients

Females of reproductive potential taking mycophenolate mofetil must receive contraceptive counseling and use acceptable contraception (see Table 9 for acceptable contraception methods). Patients must use acceptable birth control during the entire mycophenolate mofetil therapy, and for 6 weeks after stopping mycophenolate mofetil, unless the patient chooses abstinence.



Patients should be aware that mycophenolate mofetil reduces blood levels of the hormones from the oral contraceptive pill and could theoretically reduce its effectiveness [see Drug Interactions (7.2)].



Table 9 Acceptable Contraception Methods for Females of Reproductive Potential Pick from the following birth control options:



Option 1

Methods to

Use Alone

 

 

  • Intrauterine devices (IUDs)
  • Tubal sterilization
  • Patient’s partner vasectomy
 

OR



Option 2

 

Hormone Methods

choose 1

 

Barrier Methods

choose 1

Choose One

Hormone

Method AND

One Barrier

Method

 

Estrogen and Progesterone

  • Oral Contraceptive Pill
  • Transdermal patch
  • Vaginal ring
 

Progesterone-only

  • Injection
  • Implant
AND

 

  • Diaphragm with spermicide
  • Cervical cap with spermicide
  • Contraceptive sponge
  • Male condom
  • Female condom

OR



Option 3

 

Barrier Methods

choose 1

 

Barrier Methods

choose 1

Choose One

Barrier

Method from

each column

(must choose

 two methods)

  • Diaphragm with spermicide
  • Cervical cap with spermicide
  • Contraceptive sponge
 

AND

 

 

  • Male condom
  • Female condom
 

Male Patients

Genotoxic effects have been observed in animal studies at exposures exceeding the human therapeutic exposures by approximately 1.25 times. Thus, the risk of genotoxic effects on sperm cells cannot be excluded. Based on this potential risk, sexually active male patients and/or their female partners are recommended to use effective contraception during treatment of the male patient and for at least 90 days after cessation of treatment. Also, based on the potential risk of genotoxic effects, male patients should not donate sperm during treatment with mycophenolate mofetil and for at least 90 days after cessation of treatment [see Use in Special Populations (8.1), Nonclinical Toxicology (13.1), Patient Counseling Information (17.9)].

7.1 Effect of Other Drugs On Mycophenolate Mofetil

Table 7 Drug Interactions with Mycophenolate Mofetil that Affect Mycophenolic Acid (MPA) Exposure



Antacids with Magnesium or Aluminum Hydroxide

Clinical Impact

Concomitant use with an antacid containing magnesium or aluminum hydroxide decreases MPA systemic exposure [see Clinical Pharmacology (12.3)], which may reduce mycophenolate mofetil efficacy.

Prevention or

 Management

Administer magnesium or aluminum hydroxide containing antacids at least 2h after mycophenolate mofetil administration.

Proton Pump Inhibitors (PPIs)

Clinical Impact

Concomitant use with PPIs decreases MPA systemic exposure [see Clinical Pharmacology (12.3)], which may reduce mycophenolate mofetil efficacy.

Prevention or

Management

Monitor patients for alterations in efficacy when PPIs are co-administered with mycophenolate mofetil.

Examples

Lansoprazole, pantoprazole

Drugs that Interfere with Enterohepatic Recirculation

Clinical Impact

Concomitant use with drugs that directly interfere with enterohepatic recirculation, or indirectly interfere with enterohepatic recirculation by altering the gastrointestinal flora, can decrease MPA systemic exposure [see Clinical Pharmacology (12.3)], which may reduce mycophenolate mofetil efficacy.

Prevention or

Management

Monitor patients for alterations in efficacy or mycophenolate mofetil related adverse reactions when these drugs are co-administered with mycophenolate mofetil.

Examples

Cyclosporine A, trimethoprim/sulfamethoxazole, bile acid sequestrants (cholestyramine), rifampin as well as aminoglycoside, cephalosporin, fluoroquinolone and penicillin classes of antimicrobials

Drugs Modulating Glucuronidation

Clinical Impact

Concomitant use with drugs inducing glucuronidation decreases MPA systemic exposure, potentially reducing mycophenolate mofetil efficacy, while use with drugs inhibiting glucuronidation increases MPA systemic exposure [see Clinical Pharmacology (12.3)], which may increase the risk of mycophenolate mofetil related adverse reactions.

Prevention or Management

Monitor patients for alterations in efficacy or mycophenolate mofetil related adverse reactions when these drugs are co-administered with mycophenolate mofetil.

Examples

Telmisartan (induces glucuronidation); isavuconazole (inhibits glucuronidation).

Calcium Free Phosphate Binders

Clinical Impact

Concomitant use with calcium free phosphate binders decrease MPA systemic exposure [see Clinical Pharmacology (12.3)], which may reduce mycophenolate mofetil efficacy.

Prevention or

Management

Administer calcium free phosphate binders at least 2 hours after mycophenolate mofetil.

Examples

Sevelamer



7.2 Effect of Mycophenolate Mofetil On Other Drugs

Table 8 Drug Interactions with Mycophenolate Mofetil that Affect Other Drugs



Drugs that Undergo Renal Tubular Secretion

Clinical Impact

When concomitantly used with mycophenolate mofetil, its metabolite MPAG, may compete with drugs eliminated by renal tubular secretion which may increase plasma concentrations and/or adverse reactions associated with these drugs.

Prevention or

Management

Monitor for drug-related adverse reactions in patients with renal impairment.

Examples

Acyclovir, ganciclovir, probenecid, valacyclovir, valganciclovir

Combination Oral Contraceptives

Clinical Impact

Concomitant use with mycophenolate mofetil decreased the systemic exposure to levonorgestrel, but did not affect the systemic exposure to ethinylestradiol [see Clinical Pharmacology (12.3)], which may result in reduced combination oral contraceptive effectiveness.

Prevention or

Management

Use additional barrier contraceptive methods.



17.2 Development of Lymphoma and Other Malignancies


  • Inform patients that they are at increased risk of developing lymphomas and other malignancies, particularly of the skin, due to immunosuppression [see Warnings and Precautions (5.2)]
  • Advise patients to limit exposure to sunlight and ultraviolet (UV) light by wearing protective clothing and use of broad-spectrum sunscreen with high protection factor.
17.12 Potential to Impair Driving and Use of Machinery

Advise patients that mycophenolate mofetil capsules can affect the ability to drive or operate machines. Patients should avoid driving or operating machines if they experience somnolence, confusion, dizziness, tremor or hypotension during treatment with mycophenolate mofetil capsules [see Warnings and Precautions (5.15) ].



The brands listed are trademarks of their respective owners and are not trademarks of Aurobindo Pharma Limited.



Distributed by:

Aurobindo Pharma USA, Inc.

279 Princeton-Hightstown Road

East Windsor, NJ 08520



Manufactured by:

Aurobindo Pharma Limited

Hyderabad-500 032, India



Revised: 07/2025

2.3 Dosage Recommendations for Heart Transplant Patients

Adults



The recommended dosage of mycophenolate mofetil capsules for adult heart transplant patients is 1.5 g orally administered twice daily (total daily dose of 3 g).



Pediatrics (3 months and older)



The recommended starting dosage of CELLCEPT® Oral Suspension (mycophenolate mofetil) for oral suspension for pediatric heart transplant patients 3 months and older is 600 mg/m2, administered twice daily. If well tolerated, the dose can be increased to a maintenance dosage of 900 mg/m2 twice daily (maximum total daily dose of 3 g or 15 mL of the oral suspension). The dose may be individualized based on clinical assessment.

 

Pediatric patients with BSA ≥1.25 m2 may be started on therapy with capsules or tablets as follows:



Table 2 Pediatric Heart Transplant: Pediatric Starting Dosage Using Capsules or Tablets

Body Surface Area

Starting Dosage*

1.25 m2 to ˂1.5 m2

Mycophenolate mofetil  capsule 750 mg twice daily (1.5 g total daily dose)

≥ 1.5 m2

 

Mycophenolate mofetil  capsules or tablets 1 g twice daily (2 g total daily dose)

*Maximum maintenance dose: 3 g total daily.

2.4 Dosage Recommendations for Liver Transplant Patients

Adults



The recommended dosage of mycophenolate mofetil capsules for adult liver transplant patients is 1.5 g administered orally twice daily (total daily dose of 3 g).

Pediatrics (3 months and older)



The recommended starting dosage of CELLCEPT® Oral Suspension (mycophenolate mofetil) for oral suspension for pediatric liver transplant patients 3 months of age and older is 600 mg/m2, administered twice daily. If well tolerated, the dose can be increased to a maintenance dosage of 900 mg/m2 twice daily (maximum total daily dose of 3 g or 15 mL of the oral suspension). The dose may be individualized based on clinical assessment.

Pediatric patients with BSA ≥1.25 m2 may be started on therapy with capsules or tablets as follows:



Table 3 Pediatric Liver Transplant: Pediatric Starting Dosage Using Capsules or Tablets

Body Surface Area

Starting Dosage*

1.25 m2 to ˂1.5 m2

Mycophenolate mofetil  capsule 750 mg twice daily (1.5 g total daily dose)

≥ 1.5 m2

 

Mycophenolate mofetil  capsules or tablets 1 g twice daily (2 g total daily dose)

*Maximum maintenance dose: 3 g total daily.

13.1 Carcinogenesis, Mutagenesis, Impairment of Fertility

In a 104-week oral carcinogenicity study in mice, MMF in daily doses up to 180 mg/kg was not tumorigenic. The highest dose tested was 0.2 times the recommended clinical dose (2 g/day) in renal transplant patients and 0.15 times the recommended clinical dose (3 g/day) in cardiac transplant patients when corrected for differences in body surface area (BSA). In a 104-week oral carcinogenicity study in rats, MMF in daily doses up to 15 mg/kg was not tumorigenic. The highest dose was 0.035 times the recommended clinical dose in kidney transplant patients and 0.025 times the recommended clinical dose in heart transplant patients when corrected for BSA. While these animal doses were lower than those given to patients, they were maximal in those species and were considered adequate to evaluate the potential for human risk [see Warnings and Precautions (5.2)].



The genotoxic potential of MMF was determined in five assays. MMF was genotoxic in the mouse lymphoma/thymidine kinase assay and the in vivo mouse micronucleus assay. MMF was not genotoxic in the bacterial mutation assay, the yeast mitotic gene conversion assay or the Chinese hamster ovary cell chromosomal aberration assay.



MMF had no effect on fertility of male rats at oral doses up to 20 mg/kg/day. This dose represents 0.05 times the recommended clinical dose in renal transplant patients and 0.03 times the recommended clinical dose in cardiac transplant patients when corrected for BSA. In a female fertility and reproduction study conducted in rats, oral doses of 4.5 mg/kg/day caused malformations (principally of the head and eyes) in the first generation offspring in the absence of maternal toxicity. This dose was 0.01 times the recommended clinical dose in renal transplant patients and 0.005 times the recommended clinical dose in cardiac transplant patients when corrected for BSA. No effects on fertility or reproductive parameters were evident in the dams or in the subsequent generation.

2.2 dosage Recommendations for Kidney Transplant Patients

Adults



The recommended dosage for adult kidney transplant patients is 1 g orally, twice daily (total daily dose of 2 g).



Pediatrics (3 months and older)  

  

Pediatric dosing is based on body surface area (BSA). The recommended dosage of CELLCEPT® Oral Suspension (mycophenolate mofetil) for oral suspension for pediatric kidney transplant patients 3 months and older is 600 mg/m2, administered twice daily (maximum total daily dose of 2 g or 10 mL of the oral suspension). Pediatric patients with BSA ≥ 1.25 m2 may be dosed with capsules or tablets as follows:



Table 1 Pediatric Kidney Transplant: Dosage Using Capsules or Tablets



Body Surface Area

Dosage

1.25 m2 to <1.5 m2

Mycophenolate mofetil  capsule 750 mg twice daily (1.5 g total daily dose)

≥ 1.5 m2

Mycophenolate mofetil  capsules or tablets 1 g twice daily (2 g total daily dose)



5.10 Local Reactions With Rapid Intravenous Administration

CELLCEPT® Intravenous (mycophenolate mofetil) for injection must not be administered by rapid or bolus intravenous injection as rapid infusion increases the risk of local adverse reactions such as phlebitis and thrombosis [see Adverse Reactions (6.1)].

5.15 Potential Impairment of Ability to Drive Or Operate Machinery

Mycophenolate mofetil may impact the ability to drive and use machines. Patients should avoid driving or using machines if they experience somnolence, confusion, dizziness, tremor, or hypotension during treatment with mycophenolate mofetil [see Adverse Reactions (6.1)].

5.4 Blood Dyscrasias: Neutropenia and Pure Red Cell Aplasia (prca)

Severe neutropenia [absolute neutrophil count (ANC) <0.5 x 103/µL] developed in transplant patients receiving mycophenolate mofetil 3 g daily [see Adverse Reactions (6.1)]. Patients receiving mycophenolate mofetil should be monitored for neutropenia. Neutropenia has been observed most frequently in the period from 31 to 180 days post-transplant in patients treated for prevention of kidney, heart and liver rejection. The development of neutropenia may be related to mycophenolate mofetil itself, concomitant medications, viral infections, or a combination of these causes. If neutropenia develops (ANC <1.3 x 103/µL), dosing with mycophenolate mofetil should be interrupted or the dose reduced, appropriate diagnostic tests performed, and the patient managed appropriately [see Dosage and Administration (2.5)].



Patients receiving mycophenolate mofetil should be instructed to report immediately any evidence of infection, unexpected bruising, bleeding or any other manifestation of bone marrow depression.



Consider monitoring with complete blood counts weekly for the first month, twice monthly for the second and third months, and monthly for the remainder of the first year.



Cases of pure red cell aplasia (PRCA) have been reported in patients treated with mycophenolate mofetil in combination with other immunosuppressive agents. In some cases, PRCA was found to be reversible with dose reduction or cessation of mycophenolate mofetil therapy. In transplant patients, however, reduced immunosuppression may place the graft at risk.

Warning: Embryofetal Toxicity, Malignancies and Serious Infections


  • Use during pregnancy is associated with increased risks of first trimester pregnancy loss and congenital malformations. Avoid if safer treatment options are available. Females of reproductive potential must be counseled regarding pregnancy prevention and planning [see Warnings and Precautions (5.1), Use in Special Populations (8.1, 8.3)].
  • Increased risk of development of lymphoma and other malignancies, particularly of the skin [see Warnings and Precautions (5.2)].
  •   Increased susceptibility to bacterial, viral, fungal and protozoal infections, including opportunistic infections and viral reactivation of hepatitis B and C, which may lead to hospitalizations and fatal outcomes [see Warnings and Precautions (5.3)].
Package Label.principal Display Panel 250 Mg (100 Capsules Bottle)

NDC 59651-624-01

Mycophenolate Mofetil

Capsules, USP

250 mg

Attention Pharmacist: Dispense the Medication

Guide provided separately to each patient.



Rx only                100 Capsules

AUROBINDO

2.5 Dosage Modifications: patients With Renal Impairment, Neutropenia

Renal Impairment



No dosage modifications are needed in kidney transplant patients with delayed graft function postoperatively [see Clinical Pharmacology (12.3)]. In kidney transplant patients with severe chronic impairment of the graft (GFR <25 mL/min/1.73 m2), do not administer doses of mycophenolate mofetil capsules greater than 1 g twice a day. These patients should be carefully monitored [see Clinical Pharmacology (12.3)].



Neutropenia



If neutropenia develops (ANC <1.3 x 103/µL), dosing with mycophenolate mofetil capsules should be interrupted or reduced, appropriate diagnostic tests performed, and the patient managed appropriately [see Warnings and Precautions (5.4) and Adverse Reactions (6.1)].

5.7 Acute Inflammatory Syndrome Associated With Mycophenolate Products


Acute inflammatory syndrome (AIS) has been reported with the use of MMF and mycophenolate products, and some cases have resulted in hospitalization. AIS is a paradoxical pro-inflammatory reaction characterized by fever, arthralgias, arthritis, muscle pain and elevated inflammatory markers including, C-reactive protein and erythrocyte sedimentation rate, without evidence of infection or underlying disease recurrence. Symptoms occur within weeks to months of initiation of treatment or a dose increase. After discontinuation, improvement of symptoms and inflammatory markers are usually observed within 24 to 48 hours.

Monitor patients for symptoms and laboratory parameters of AIS when starting treatment with mycophenolate products or when increasing the dosage. Discontinue treatment and consider other treatment alternatives based on the risk and benefit for the patient.

5.14 Effect of Concomitant Medications On Mycophenolic Acid Concentrations

A variety of drugs have potential to alter systemic MPA exposure when co-administered with mycophenolate mofetil. Therefore, determination of MPA concentrations in plasma before and after making any changes to immunosuppressive therapy, or when adding or discontinuing concomitant medications, may be appropriate to ensure MPA concentrations remain stable.

5.6 Patients With Hypoxanthine Guanine Phosphoribosyl Transferase Deficiency (hgprt)

Mycophenolate mofetil is an inosine monophosphate dehydrogenase (IMPDH) inhibitor; therefore it should be avoided in patients with hereditary deficiencies of hypoxanthine-guanine phosphoribosyl-transferase (HGPRT) such as Lesch-Nyhan and Kelley-Seegmiller syndromes because it may cause an exacerbation of disease symptoms characterized by the overproduction and accumulation of uric acid leading to symptoms associated with gout such as acute arthritis, tophi, nephrolithiasis or urolithiasis and renal disease including renal failure.


Structured Label Content

Section 42231-1 (42231-1)


MEDICATION GUIDE

Mycophenolate Mofetil

(mye” koe fen’ oh late moe’ fe til)

Capsules, USP
Read the Medication Guide that comes with mycophenolate mofetil capsules before you start taking it and each time you refill your prescription. There may be new information. This Medication Guide does not take the place of talking with your doctor about your medical condition or treatment.

What is the most important information I should know about mycophenolate mofetil capsules?

Mycophenolate mofetil capsules can cause serious side effects, including:

Increased risk of loss of a pregnancy (miscarriage) and higher risk of birth defects. Females who take mycophenolate mofetil capsules during pregnancy have a higher risk of miscarriage during the first 3 months (first trimester), and a higher risk that their baby will be born with birth defects.

  • If you are a female who can become pregnant, your doctor must talk with you about acceptable birth control methods (contraceptive counseling) to use while taking mycophenolate mofetil capsules. You should have 1 pregnancy test immediately before starting mycophenolate mofetil capsules and another pregnancy test 8 to 10 days later. Pregnancy tests should be repeated during routine follow-up visits with your doctor. Talk to your doctor about the results of all of your pregnancy tests.
You must use acceptable birth control during your entire mycophenolate mofetil capsules treatment and for 6 weeks after stopping mycophenolate mofetil capsules, unless at any time you choose to avoid sexual intercourse (abstinence) with a man completely. Mycophenolate mofetil capsules decreases blood levels of the hormones in birth control pills that you take by mouth. Birth control pills may not work as well while you take mycophenolate mofetil capsules, and you could become pregnant. If you take birth control pills while using mycophenolate mofetil capsules you must also use another form of birth control. Talk to your doctor about other birth control methods that you can use while taking mycophenolate mofetil capsules.

  • If you are a sexually active male whose female partner can become pregnant while you are taking mycophenolate mofetil capsules, use effective contraception during treatment and for at least 90 days after stopping mycophenolate mofetil capsules.
  • If you plan to become pregnant, talk with your doctor. Your doctor will decide if other medicines to prevent rejection may be right for you.
  • If you become pregnant while taking mycophenolate mofetil capsules, do not stop taking mycophenolate mofetil capsules. Call your doctor right away. You and your doctor may decide that other medicines to prevent rejection may be right for you. You and your doctor should report your pregnancy to the Mycophenolate Pregnancy Registry either:
    • By phone at 1-800-617-8191 or
    • By visiting the REMS website at: www.mycophenolateREMS.com
The purpose of this registry is to gather information about the health of you and your baby.

Increased risk of getting certain cancers. People who take mycophenolate mofetil capsules have a higher risk of getting lymphoma, and other cancers, especially skin cancer. Tell your doctor if you have:

  • unexplained fever, prolonged tiredness, weight loss or lymph node swelling
  • a change in the size and color of a mole
  • a brown or black skin lesion with uneven borders, or one part of the lesion does not look like the other
  • a new skin lesion or bump
  • any other changes to your health
Increased risk of getting serious infections. Mycophenolate mofetil capsules weakens the body’s immune system and affects your ability to fight infections. Serious infections can happen with mycophenolate mofetil capsules and can lead to hospitalizations and death. These serious infections can include:

  • Viral infections. Certain viruses can live in your body and cause active infections when your immune system is weak. Viral infections that can happen with mycophenolate mofetil capsules include:
    • Shingles, other herpes infections, and cytomegalovirus (CMV). CMV can cause serious tissue and blood infections.
    • BK virus. BK virus can affect how your kidney works and cause your transplanted kidney to fail.
    • Hepatitis B and C viruses. Hepatitis viruses can affect how your liver works. Talk to your doctor about how hepatitis viruses may affect you.
    • COVID-19
  • A brain infection called Progressive Multifocal Leukoencephalopathy (PML). In some patients, mycophenolate mofetil capsules may cause an infection of the brain that may cause death. You are at risk for this brain infection because you have a weakened immune system. Call your doctor right away if you have any of the following symptoms:
    • weakness on one side of the body
    • you are confused or have problems thinking
    • you do not care about things you usually care about (apathy)
    • you cannot control your muscles
  • Fungal infections. Yeasts and other types of fungal infections can happen with mycophenolate mofetil capsules and can cause serious tissue and blood infections (See “What are the possible side effects of mycophenolate mofetil capsules?”).
Call your doctor right away if you have any of the following signs and symptoms of infection:

  • temperature of 100.5°F or greater
  • pain during urination
  • cold symptoms, such as a runny nose or sore throat
  • white patches in the mouth or throat
  • flu symptoms, such as an upset stomach, stomach pain, vomiting or diarrhea
  • unexpected bruising or bleeding
  • earache or headache
  • cuts, scrapes or incisions that are red, warm and oozing pus
See “What are the possible side effects of mycophenolate mofetil capsules?” for information about other serious side effects.

 

What are mycophenolate mofetil capsules?

  • Mycophenolate mofetil capsules are a prescription medicine to prevent rejection (antirejection medicine) in people who have received a kidney, heart or liver transplant. Rejection is when the body’s immune system perceives the new organ as a “foreign” threat and attacks it.
  • Mycophenolate mofetil capsules are used with other medicines containing cyclosporine and corticosteroids.
Who should not take mycophenolate mofetil capsules?

 

Do not take mycophenolate mofetil capsules if you have a history of allergic reactions to mycophenolate mofetil or any of the ingredients in mycophenolate mofetil capsules. See the end of this Medication Guide for a complete list of ingredients in mycophenolate mofetil capsules.

What should I tell my doctor before taking mycophenolate mofetil capsules?

Tell your doctor about all of your medical conditions, including if you :

  • have any digestive problems, such as ulcers.
  • have Phenylketonuria (PKU). CELLCEPT® Oral Suspension (mycophenolate mofetil) for oral suspension contains aspartame (a source of phenylalanine).
  • have Lesch-Nyhan syndrome, Kelley-Seegmiller syndrome, or another rare inherited deficiency hypoxanthine-guanine phosphoribosyl-transferase (HGPRT). You should not take mycophenolate mofetil capsules if you have one of these disorders.
  • plan to receive any vaccines. People taking mycophenolate mofetil capsules should not receive live vaccines. Some vaccines may not work as well during treatment with mycophenolate mofetil capsules.
  • are pregnant or plan to become pregnant. See “What is the most important information I should know about mycophenolate mofetil capsules?”
  • are breastfeeding or plan to breastfeed. It is not known if mycophenolate mofetil passes into breast milk. You and your doctor will decide if you will take mycophenolate mofetil capsules or breastfeed.
Tell your healthcare provider about all the medicines you take, including prescription and over-the-counter medicines, vitamins and herbal supplements. Some medicines may affect the way mycophenolate mofetil capsules work, and mycophenolate mofetil capsules may affect how some medicines work.

 

Especially tell your doctor if you take:

  • birth control pills (oral contraceptives). See “What is the most important information I should know about mycophenolate mofetil capsules?”
  • sevelamer (Renagel®, RenvelaTM). These products should be taken at least 2 hours after taking mycophenolate mofetil capsules.
  • acyclovir (Zovirax®), valacyclovir (Valtrex®), ganciclovir (CYTOVENE®-IV, Vitrasert®), valganciclovir (VALCYTE®).
  • rifampin (Rifater®, Rifamate®, Rimactane®, Rifadin®).
  • antacids that contain magnesium and aluminum (mycophenolate mofetil capsules and the antacid should not be taken at the same time).
  • proton pump inhibitors (PPIs) (Prevacid®, Protonix®).
  • sulfamethoxazole/trimethoprim (BACTRIMTM, BACTRIM DSTM).
  • norfloxacin (Noroxin®) and metronidazole (Flagyl®, Flagyl® ER, Flagyl® IV, Metro IV, Helidac®, PyleraTM).
  • ciprofloxacin (Cipro®, Cipro® XR, Ciloxan®, Proquin® XR) and amoxicillin plus clavulanic acid (Augmentin®, Augmentin XRTM).
  •  azathioprine (Azasan®, Imuran®).
  •  cholestyramine (Questran Light®, Questran®, Locholest Light, Locholest, Prevalite®).
Know the medicines you take. Keep a list of them to show to your doctor or nurse and pharmacist when you get a new medicine. Do not take any new medicine without talking with your doctor.

How should I take mycophenolate mofetil capsules?

  • Take mycophenolate mofetil capsules exactly as prescribed.
  • Do not stop taking mycophenolate mofetil capsules or change the dose unless your doctor tells you to.
  • If you miss a dose of mycophenolate mofetil capsules, or you are not sure when you took your last dose, take your prescribed dose of mycophenolate mofetil capsules as soon as you remember. If your next dose is less than 2 hours away, skip the missed dose and take your next dose at your normal scheduled time. Do not take 2 doses at the same time. Call your doctor if you are not sure what to do.
  • Take mycophenolate mofetil capsules on an empty stomach, unless your doctor tells you otherwise.
  • Do not open or crush mycophenolate mofetil capsules.
  • If you are not able to swallow mycophenolate mofetil capsules, your doctor may prescribe CELLCEPT® Oral Suspension (mycophenolate mofetil) for oral suspension. This is a liquid form of mycophenolate mofetil. Your pharmacist will mix the medicine before you pick it up from a pharmacy.
  • Do not breathe in (inhale) or let mycophenolate mofetil capsules powder come in contact with your skin or mucous membranes.
    • If you accidentally get the powder on the skin, wash the area well with soap and water.
    •  If you accidentally get the powder in your eyes or other mucous membranes, flush with plain water.
  • If you take too much mycophenolate mofetil, call your doctor or the poison control center right away.
What should I avoid while taking mycophenolate mofetil capsules?

 

  • Avoid becoming pregnant. (See “What is the most important information I should know about mycophenolate mofetil capsules?”).
  • Limit the amount of time you spend in sunlight. Avoid using tanning beds or sunlamps. People who take mycophenolate mofetil capsules have a higher risk of getting skin cancer (See “What is the most important information I should know about mycophenolate mofetil capsules?”). Wear protective clothing when you are in the sun and use a broad-spectrum sunscreen with a high protection factor. This is especially important if your skin is very fair or if you have a family history of skin cancer.
  • You should not donate blood while taking mycophenolate mofetil capsules and for at least 6 weeks after stopping mycophenolate mofetil capsules.
  •  You should not donate sperm while taking mycophenolate mofetil capsules and for 90 days after stopping mycophenolate mofetil capsules.
  •  Mycophenolate mofetil capsules may influence your ability to drive and use machines (See “What are the possible side effects of mycophenolate mofetil capsules?”. If you experience drowsiness, confusion, dizziness, tremor, or low blood pressure during treatment with mycophenolate mofetil capsules, you should be cautious about driving or using heavy machines.
What are the possible side effects of mycophenolate mofetil capsules?

Mycophenolate mofetil capsules may cause serious side effects, including:

 

  • See “What is the most important information I should know about mycophenolate mofetil capsules?”
  • Low blood cell counts. People taking high doses of mycophenolate mofetil capsules each day may have a decrease in blood counts, including:
  • white blood cells, especially neutrophils. Neutrophils fight against bacterial infections. You have a higher chance of getting an infection when your white blood cell count is low. This is most common from 1 month to 6 months after your transplant.
  • red blood cells. Red blood cells carry oxygen to your body tissues. You have a higher chance of getting severe anemia when your red blood cell count is low.
  • platelets. Platelets help with blood clotting.
Your doctor will do blood tests before you start taking mycophenolate mofetil capsules and during treatment with mycophenolate mofetil capsules to check your blood cell counts. Tell your doctor right away if you have any signs of infection (See “What is the most important information I should know about mycophenolate mofetil capsules?”), including any unexpected bruising or bleeding. Also, tell your doctor if you have unusual tiredness, lack of energy, dizziness or fainting.

  • Stomach problems. Stomach problems including intestinal bleeding, a tear in your intestinal wall (perforation) or stomach ulcers can happen in people who take mycophenolate mofetil capsules. Bleeding can be severe and you may have to be hospitalized for treatment. Call your doctor right away if you have sudden or severe stomach-area pain or stomach-area pain that does not go away, or if you have diarrhea.
  • Inflammatory reactions. Some people taking mycophenolate mofetil capsules may have an inflammatory reaction with fever, joint stiffness, joint pain, and muscle pain. Some of these reactions may require hospitalization. This reaction could happen within weeks to months after your treatment with mycophenolate mofetil capsules starts or if your dose is increased. Call your doctor right away if you experience these symptoms.
  • Allergic (hypersensitivity) reactions. Allergic reactions, including a severe allergic reaction called anaphylaxis, can happen after taking mycophenolate mofetil capsules. Stop taking mycophenolate mofetil capsules and get emergency medical help right away if you have any of the following symptoms of an allergic reaction:

  • swelling of the face, lips, tongue, or throat

  • trouble breathing or swallowing

  • rash, hives, or itching

  • fast heartbeat

  • fainting, dizziness, feeling lightheaded

  • chest pain

The most common side effects of mycophenolate mofetil capsules include:

  • diarrhea
  • changes in laboratory blood levels, including high levels of blood sugar (hyperglycemia)
  • blood problems including low white and red blood cell counts
  • stomach problems including diarrhea, constipation, nausea and vomiting
  • infections
  • rash
  • blood pressure problems
  • nervous system problems such as headache, dizziness and tremor
  • fast heartbeat
  • swelling of the lower legs, ankles and feet
Side effects that can happen more often in children than in adults taking mycophenolate mofetil capsules include:

  • stomach area pain
  • vomiting
  • fever
  • sore throat
  • infection
  • colds (respiratory tract infections)
  • pain
  • high blood pressure
  • blood infection (sepsis)
  • low white blood cell count
  • diarrhea
  • low red blood cell count
These are not all of the possible side effects of mycophenolate mofetil capsules. Tell your doctor about any side effect that bothers you or that does not go away.

Call your doctor for medical advice about side effects. You may report side effects to FDA at 1-800-FDA-1088. You may also report side effects to Aurobindo Pharma USA, Inc. at 1-866-850-2876.



How should I store mycophenolate mofetil capsules?

  • Store mycophenolate mofetil capsules at room temperature between 59oF to 86oF (15oC to 30oC).
  • Dispense in light-resistant containers, such as the manufacturer’s original containers.
Keep mycophenolate mofetil capsules and all medicines out of the reach of children .

General information about the safe and effective use of mycophenolate mofetil capsules.

 

Medicines are sometimes prescribed for purposes other than those listed in a Medication Guide. Do not use mycophenolate mofetil capsules for a condition for which they were not prescribed. Do not give mycophenolate mofetil capsules to other people, even if they have the same symptoms that you have. They may harm them.

 

This Medication Guide summarizes the most important information about mycophenolate mofetil capsules. If you would like more information, talk with your doctor. You can ask your doctor or pharmacist about mycophenolate mofetil capsules that is written for health professionals.

What are the ingredients in mycophenolate mofetil capsules?

Active ingredient: mycophenolate mofetil



Inactive ingredients: colloidal silicon dioxide, croscarmellose sodium, magnesium stearate, povidone and pregelatinized starch (corn). The capsule shells contain gelatin, iron oxide black, iron oxide red, iron oxide yellow, sodium lauryl sulfate and titanium dioxide. The capsules are imprinted with black ink containing black iron oxide, potassium hydroxide, propylene glycol and shellac.

 

The brands listed are trademarks of their respective owners and are not trademarks of Aurobindo Pharma Limited.

 

Distributed by:

Aurobindo Pharma USA, Inc.

279 Princeton-Hightstown Road

East Windsor, NJ 08520



Manufactured by:

Aurobindo Pharma Limited

Hyderabad-500 032, India



For more information, call Aurobindo Pharma USA, Inc. at 1-866-850-2876.

This Medication Guide has been approved by the U.S. Food and Drug Administration.   



 Revised: 07/2025

Section 43683-2 (43683-2)

Warnings and Precautions (5.8)                                                                      05/2025

10 Overdosage (10 OVERDOSAGE)

Possible signs and symptoms of acute overdose include hematological abnormalities such as leukopenia and neutropenia, and gastrointestinal symptoms such as abdominal pain, diarrhea, nausea, vomiting, and dyspepsia.



The experience with overdose of mycophenolate mofetil in humans is limited. The reported effects associated with overdose fall within the known safety profile of the drug. The highest dose administered to kidney transplant patients in clinical trials has been 4 g/day. In limited experience with heart and liver transplant patients in clinical trials, the highest doses used were 4 g/day or 5 g/day. At doses of 4 g/day or 5 g/day, there appears to be a higher rate, compared to the use of 3 g/day or less, of gastrointestinal intolerance (nausea, vomiting, and/or diarrhea), and occasional hematologic abnormalities, particularly neutropenia [see Warnings and Precautions (5.4)].



Treatment and Management

MPA and the phenolic glucuronide metabolite of MPA (MPAG) are usually not removed by hemodialysis. However, at high MPAG plasma concentrations (>100 mcg/mL), small amounts of MPAG are removed. By increasing excretion of the drug, MPA can be removed by bile acid sequestrants, such as cholestyramine [see Clinical Pharmacology (12.3)].

15 References (15 REFERENCES)

1. “OSHA Hazardous Drugs.” OSHA.  http://www.osha.gov/SLTC/hazardousdrugs/index.html

8.1 Pregnancy

Pregnancy Exposure Registry



There is a pregnancy exposure registry that monitors pregnancy outcomes in women exposed to mycophenolate during pregnancy and those becoming pregnant within 6 weeks of discontinuing mycophenolate mofetil treatment. To report a pregnancy or obtain information about the registry, visit www.mycophenolateREMS.com  or call 1-800-­617-8191.



Risk Summary



Use of mycophenolate mofetil (MMF) during pregnancy is associated with an increased risk of first trimester pregnancy loss and an increased risk of multiple congenital malformations in multiple organ systems [see Human Data]. Oral administration of mycophenolate to rats and rabbits during the period of organogenesis produced congenital malformations and pregnancy loss at doses less than the recommended clinical dose (0.01 to 0.05 times the recommended clinical doses in kidney and heart transplant patients) [see Animal Data].

Consider alternative immunosuppressants with less potential for embryofetal toxicity. Risks and benefits of mycophenolate mofetil should be discussed with the pregnant woman.



The estimated background risk of pregnancy loss and congenital malformations in organ transplant populations is not clear. In the U.S. general population, the estimated background risk of major birth defects and miscarriage in clinically recognized pregnancies is 2 to 4% and 15 to 20%, respectively.



Data



Human Data



A spectrum of congenital malformations (including multiple malformations in individual newborns) has been reported in 23 to 27% of live births in MMF exposed pregnancies, based on published data from pregnancy registries. Malformations that have been documented include external ear, eye, and other facial abnormalities including cleft lip and palate, and anomalies of the distal limbs, heart, esophagus, kidney, and nervous system.



Based on published data from pregnancy registries, the risk of first trimester pregnancy loss has been reported at 45 to 49% following MMF exposure.



Animal Data



In animal reproductive toxicology studies, there were increased rates of fetal resorptions and malformations in the absence of maternal toxicity. Oral administration of MMF to pregnant rats from Gestational Day 7 to Day 16 produced increased embryofetal lethality and fetal malformations including anophthalmia, agnathia, and hydrocephaly at doses equivalent to 0.015 and 0.01 times the recommended human doses for renal and cardiac transplant patients, respectively, when corrected for BSA. Oral administration of MMF to pregnant rabbits from Gestational Day 7 to Day 19 produced increased embryofetal lethality and fetal malformations included ectopia cordis, ectopic kidneys, diaphragmatic hernia, and umbilical hernia at dose equivalents as low as 0.05 and 0.03 times the recommended human doses for renal and cardiac transplant patients, respectively, when corrected for BSA.

11 Description (11 DESCRIPTION)

Mycophenolate mofetil is an antimetabolite immunosuppressant. It is the 2-morpholinoethyl ester of mycophenolic acid (MPA), an immunosuppressive agent; inosine monophosphate dehydrogenase (IMPDH) inhibitor.



The chemical name for mycophenolate mofetil (MMF) is 2-morpholinoethyl (E)-6-(1,3-dihydro-4-hydroxy-6-­methoxy-7-methyl-3-oxo-5-isobenzofuranyl)-4-methyl-4-hexenoate. It has a molecular formula of C23H31NO7, a molecular weight of 433.50, and the following structural formula:







Mycophenolate mofetil USP is a white or almost white crystalline powder. It is slightly soluble in water (43 µg/mL at pH 7.4); the solubility increases in acidic medium (4.27 mg/mL at pH 3.6). It is freely soluble in acetone, soluble in methanol, and sparingly soluble in ethanol. The apparent partition coefficient in 1-octanol/water (pH 7.4) buffer solution is 238. The pKa values for mycophenolate mofetil are 5.6 for the morpholino group and 8.5 for the phenolic group.



Mycophenolate mofetil USP is available for oral administration as capsules containing 250 mg of mycophenolate mofetil USP.



Inactive ingredients in mycophenolate mofetil capsules USP, 250 mg include colloidal silicon dioxide, croscarmellose sodium, magnesium stearate, povidone and pregelatinized starch (corn). The capsule shells contain gelatin, iron oxide black, iron oxide red, iron oxide yellow, sodium lauryl sulfate and titanium dioxide. The capsules are imprinted with black ink containing black iron oxide, potassium hydroxide, propylene glycol and shellac.



Meets USP Dissolution Test 2.

8.2  lactation (8.2  Lactation)

Risk Summary



There are no data on the presence of mycophenolate in human milk, or the effects on milk production. There are limited data in the National Transplantation Pregnancy Registry on the effects of mycophenolate on a breastfed child [see Data]. Studies in rats treated with MMF have shown mycophenolic acid (MPA) to be present in milk. Because available data are limited, it is not possible to exclude potential risks to a breastfeeding infant.



The developmental and health benefits of breastfeeding should be considered along with the mother’s clinical need for mycophenolate mofetil and any potential adverse effects on the breastfed infant from mycophenolate mofetil or from the underlying maternal condition.



Data



Limited information is available from the National Transplantation Pregnancy Registry. Of seven infants reported by the National Transplantation Pregnancy Registry to have been breastfed while the mother was taking mycophenolate, all were born at 34 to 40 weeks gestation, and breastfed for up to 14 months. No adverse events were reported.

5.9 Immunizations

During treatment with mycophenolate mofetil, the use of live attenuated vaccines should be avoided (e.g., intranasal influenza, measles, mumps, rubella, oral polio, BCG, yellow fever, varicella, and TY21a typhoid vaccines) and patients should be advised that vaccinations may be less effective. Advise patients to discuss with the physician before seeking any immunizations.

8.4 Pediatric Use

Safety and effectiveness have been established in pediatric patients 3 months and older for the prophylaxis of organ rejection of allogenic kidney, heart or liver transplants.



Kidney Transplant



Use of mycophenolate mofetil in this population is supported by evidence from adequate and well-controlled studies of mycophenolate mofetil in adults with additional data from one open-label, pharmacokinetic and safety study of mycophenolate mofetil in pediatric patients after receiving allogeneic kidney transplant (100 patients, 3 months to 18 years of age) [see Dosage and Administration (2.2), Adverse Reactions (6.1), Clinical Pharmacology (12.3), Clinical Studies (14.1)].



Heart Transplant and Liver Transplant



Use of mycophenolate mofetil in pediatric heart transplant and liver transplant patients is supported by adequate and well-controlled studies and pharmacokinetic data in adult heart transplant and liver transplant patients. Additional supportive data include pharmacokinetic data in pediatric kidney transplant and pediatric liver transplant patients (8 liver transplant patients, 9 months to 5 years of age, in an open-label, pharmacokinetic and safety study) and published evidence of clinical efficacy and safety in pediatric heart transplant and pediatric liver transplant patients [see Dosage and Administration (2.3, 2.4), Adverse Reactions (6.1), Clinical Pharmacology (12.3), Clinical Studies (14.1)].

8.5 Geriatric Use

Clinical studies of mycophenolate mofetil did not include sufficient numbers of subjects aged 65 and over to determine whether they respond differently from younger subjects. Other reported clinical experience has not identified differences in responses between geriatric  and younger patients. In general, dose selection for a geriatric  patient should take into consideration the presence of decreased hepatic, renal or cardiac function and of concomitant drug therapies [see Adverse Reactions (6.1), Drug Interactions (7)].

17.8 Immunizations

Inform patients that mycophenolate mofetil capsules can interfere with the usual response to immunizations. Before seeking vaccines on their own, advise patients to discuss first with their physician [see Warnings and Precautions (5.9)].

4 Contraindications (4 CONTRAINDICATIONS)

Mycophenolate mofetil capsules are contraindicated in patients with a history of hypersensitivity, including anaphylaxis, to mycophenolate mofetil (MMF), mycophenolic acid (MPA) or any component of the drug product [see Warnings and Precautions (5.8)]. CELLCEPT® Intravenous (mycophenolate mofetil) for injection is contraindicated in patients who are allergic to Polysorbate 80 (TWEEN).



5.12 Blood Donation

Patients should not donate blood during therapy and for at least 6 weeks following discontinuation of mycophenolate mofetil because their blood or blood products might be administered to a female of reproductive potential or a pregnant woman.

5.13 Semen Donation

Based on animal data, men should not donate semen during therapy and for 90 days following discontinuation of mycophenolate mofetil [see Use In Specific Populations (8.3)].

6 Adverse Reactions (6 ADVERSE REACTIONS)

The following adverse reactions are discussed in greater detail in other sections of the label:  



7 Drug Interactions (7 DRUG INTERACTIONS)
  • See FPI for drugs that may interfere with systemic exposure and reduce mycophenolate mofetil efficacy: antacids with magnesium or aluminum hydroxide, proton pump inhibitors, drugs that interfere with enterohepatic recirculation, telmisartan, calcium-free phosphate binders. (7.1)
  • Mycophenolate mofetil may reduce effectiveness of oral contraceptives. Use of additional barrier contraceptive methods is recommended. (7.2)
  • See FPI for other important drug interactions. (7)
17.10 Blood Donation

Advise patients not to donate blood during therapy and for at least 6 weeks following discontinuation of mycophenolate mofetil capsules   [see Warnings and Precautions (5.12)].

17.11 Semen Donation

Advise males of childbearing potential not to donate semen during therapy and for 90 days following discontinuation of mycophenolate mofetil capsules [see Warnings and Precautions (5.13)].

12.2 Pharmacodynamics

There is a lack of information regarding the pharmacodynamic effects of MMF.

12.3 Pharmacokinetics

Absorption

Following oral and intravenous administration, MMF undergoes complete conversion to MPA, the active metabolite. In 12 healthy volunteers, the mean absolute bioavailability of oral MMF relative to intravenous MMF was 94%. Two 500 mg CELLCEPT® (mycophenolate mofetil) tablets have been shown to be bioequivalent to four 250 mg mycophenolate mofetil capsules. Five mL of the 200 mg/mL constituted CELLCEPT® Oral Suspension (mycophenolate mofetil) for oral suspension have been shown to be bioequivalent to four 250 mg capsules.



The mean (±SD) pharmacokinetic parameters estimates for MPA following the administration of MMF given as single doses to healthy volunteers, and multiple doses to kidney, heart, and liver transplant patients, are shown in Table 10. The area under the plasma-concentration time curve (AUC) for MPA appears to increase in a dose-proportional fashion in kidney transplant patients receiving multiple oral doses of MMF up to a daily dose of 3 g (1.5 g twice daily) (see Table 10).



Table 10  Pharmacokinetic Parameters for MPA [mean ( ± SD)] Following Administration of MMF to Healthy Volunteers (Single Dose), and Kidney, Heart, and Liver Transplant Patients (Multiple Doses)



Healthy Volunteers

Dose/Route

Tmax

(h)

Cmax

(mcg/mL)

Total AUC

 (mcg•h/mL)

Single dose

1 g/oral

0.80

(±0.36)

(n=129)

24.5

(±9.5)

(n=129)

63.9

(±16.2)

(n=117)

Kidney Transplant Patients (twice daily dosing) Time After Transplantation

Dose/Route

Tmax (h)

Cmax

(mcg/mL)

Interdosing Interval

AUC(0-12h)

 (mcg•h/mL)

5 days

1 g/iv

1.58

(±0.46)

(n=31)

12.0

(±3.82)

(n=31)

40.8

(±11.4)

 (n=31)

6 days

1 g/oral

1.33

(±1.05)

(n=31)

10.7

(±4.83)

(n=31)

32.9

(±15.0)

(n=31)

Early (Less than 40 days)

1 g/oral

1.31

(±0.76)

(n=25)

8.16

(±4.50)

(n=25)

27.3

(±10.9)

(n=25)

Early (Less than 40 days)

1.5 g/oral

1.21

(±0.81)

(n=27)

13.5

(±8.18)

(n=27)

38.4

(±15.4)

(n=27)

Late (Greater than 3 months)

1.5 g/oral

0.90

(±0.24)

(n=23)

24.1

(±12.1)

(n=23)

65.3

(±35.4)

(n=23)

Heart transplant Patients (twice daily dosing) Time After Transplantation

Dose/Route

Tmax (h)

Cmax (mcg/mL)

Interdosing Interval

AUC(0-12h)

 (mcg•h/mL)

Early (Day before discharge)

1.5 g/oral

1.8

(±1.3)

(n=11)

11.5

(±6.8)

(n=11)

43.3

(±20.8)

(n=9)

Late (Greater than 6 months)

1.5 g/oral

1.1

(±0.7)

(n=52)

20.0

(±9.4)

(n=52)

54.1a

(±20.4)

(n=49)

Liver transplant Patients (twice daily dosing) Time After Transplantation

Dose/Route

Tmax (h)

Cmax

(mcg/mL)

Interdosing Interval

AUC(0-12h)

(mcg•h/mL)

4 to 9 days

1 g/iv

1.50

(±0.517)

(n=22)

17.0

(±12.7)

(n=22)

34.0

(±17.4)

(n=22)

Early (5 to 8 days)

1.5 g/oral

1.15

(±0.432)

(n=20)

13.1

(±6.76) (n=20)

29.2

(±11.9)

(n=20)

Late (Greater than 6 months)

1.5 g/oral

1.54

(±0.51)

(n=6)

19.3

(±11.7)

(n=6)

49.3

(±14.8)

(n=6)

aAUC(0-12h) values quoted are extrapolated from data from samples collected over 4 hours.



In the early post-transplant period (less than 40 days post-transplant), kidney, heart, and liver transplant patients had mean MPA AUCs approximately 20% to 41% lower and mean Cmax approximately 32% to 44% lower compared to the late transplant period (i.e., 3 to 6 months post-transplant) (non-stationarity in MPA pharmacokinetics).

Mean MPA AUC values following administration of 1 g twice daily intravenous mycophenolate mofetil over 2 hours to kidney transplant patients for 5 days were about 24% higher than those observed after oral administration of a similar dose in the immediate post-transplant phase.



In liver transplant patients, administration of 1 g twice daily intravenous mycophenolate mofetil followed by 1.5 g twice daily oral mycophenolate mofetil resulted in mean MPA AUC estimates similar to those found in kidney transplant patients administered 1 g mycophenolate mofetil twice daily.



Effect of Food

Food (27 g fat, 650 calories) had no effect on the extent of absorption (MPA AUC) of MMF when administered at doses of 1.5 g twice daily to kidney transplant patients. However, MPA Cmax was decreased by 40% in the presence of food [see Dosage and Administration (2.1)].

 

Distribution

The mean (±SD) apparent volume of distribution of MPA in 12 healthy volunteers was approximately 3.6 (±1.5) L/kg. At clinically relevant concentrations, MPA is 97% bound to plasma albumin. The phenolic glucuronide metabolite of MPA (MPAG) is 82% bound to plasma albumin at MPAG concentration ranges that are normally seen in stable kidney transplant patients; however, at higher MPAG concentrations (observed in patients with kidney impairment or delayed kidney graft function), the binding of MPA may be reduced as a result of competition between MPAG and MPA for protein binding. Mean blood to plasma ratio of radioactivity concentrations was approximately 0.6 indicating that MPA and MPAG do not extensively distribute into the cellular fractions of blood.



In vitro studies to evaluate the effect of other agents on the binding of MPA to human serum albumin (HSA) or plasma proteins showed that salicylate (at 25 mg/dL with human serum albumin) and MPAG (at ≥ 460 mcg/mL with plasma proteins) increased the free fraction of MPA. MPA at concentrations as high as 100 mcg/mL had little effect on the binding of warfarin, digoxin or propranolol, but decreased the binding of theophylline from 53% to 45% and phenytoin from 90% to 87%.



Elimination

Mean (±SD) apparent half-life and plasma clearance of MPA are 17.9 (±6.5) hours and 193 (±48) mL/min following oral administration and 16.6 (±5.8) hours and 177 (±31) mL/min following intravenous administration, respectively.



Metabolism

The parent drug, MMF, can be measured systemically during the intravenous infusion; however, approximately 5 minutes after the infusion is stopped or after oral administration, MMF concentrations are below the limit of quantitation (0.4 mcg/mL).



Metabolism to MPA occurs pre-systemically after oral dosing. MPA is metabolized principally by glucuronyl transferase to form MPAG, which is not pharmacologically active. In vivo, MPAG is converted to MPA during enterohepatic recirculation. The following metabolites of the 2-hydroxyethyl-morpholino moiety are also recovered in the urine following oral administration of MMF to healthy subjects: N-(2-carboxymethyl)-­morpholine, N-(2-hydroxyethyl)-morpholine, and the N-oxide of N-(2-hydroxyethyl)-morpholine.



Due to the enterohepatic recirculation of MPAG/MPA, secondary peaks in the plasma MPA concentration-time profile are usually observed 6 to 12 hours post-dose. Bile sequestrants, such as cholestyramine, reduce MPA AUC by interfering with this enterohepatic recirculation of the drug [see Overdosage (10) and Drug Interaction Studies below].



Excretion

Negligible amount of drug is excreted as MPA (less than 1% of dose) in the urine. Orally administered radiolabeled MMF resulted in complete recovery of the administered dose, with 93% of the administered dose recovered in the urine and 6% recovered in feces. Most (about 87%) of the administered dose is excreted in the urine as MPAG. At clinically encountered concentrations, MPA and MPAG are usually not removed by hemodialysis. However, at high MPAG plasma concentrations (> 100 mcg/mL), small amounts of MPAG are removed.



Increased plasma concentrations of MMF metabolites (MPA 50% increase and MPAG about a 3-fold to 6-fold increase) are observed in patients with renal insufficiency [see Specific Populations].



Specific Populations

Patients with Renal Impairment



The mean (±SD) pharmacokinetic parameters for MPA following the administration of oral MMF given as single doses to non-transplant subjects with renal impairment are presented in Table 11.



In a single-dose study, MMF was administered as a capsule or as an intravenous infusion over 40 minutes. Plasma MPA AUC observed after oral dosing to volunteers with severe chronic renal impairment (GFR < 25 mL/min/1.73 m2) was about 75% higher relative to that observed in healthy volunteers (GFR > 80 mL/min/1.73 m2). In addition, the single-dose plasma MPAG AUC was 3-fold to 6-fold higher in volunteers with severe renal impairment than in volunteers with mild renal impairment or healthy volunteers, consistent with the known renal elimination of MPAG. No data are available on the safety of long-term exposure to this level of MPAG.



Plasma MPA AUC observed after single-dose (1 g) intravenous dosing to volunteers (n=4) with severe chronic renal impairment (GFR < 25 mL/min/1.73 m2) was 62.4 mcg•h/mL (±19.3). Multiple dosing of MMF in patients with severe chronic renal impairment has not been studied.

Patients with Delayed Graft Function or Nonfunction

In patients with delayed renal graft function post-transplant, mean MPA AUC(0-12h) was comparable to that seen in post-transplant patients without delayed renal graft function. There is a potential for a transient increase in the free fraction and concentration of plasma MPA in patients with delayed renal graft function. However, dose adjustment does not appear to be necessary in patients with delayed renal graft function. Mean plasma MPAG AUC(0-12h) was 2-fold to 3-fold higher than in post-transplant patients without delayed renal graft function [see Dosage and Administration (2.5)].



In eight patients with primary graft non-function following kidney transplantation, plasma concentrations of MPAG accumulated about 6-fold to 8-fold after multiple dosing for 28 days. Accumulation of MPA was about 1-fold to 2-fold.



The pharmacokinetics of MMF are not altered by hemodialysis. Hemodialysis usually does not remove MPA or MPAG. At high concentrations of MPAG (> 100 mcg/mL), hemodialysis removes only small amounts of MPAG.



Patients with Hepatic Impairment

The mean (± SD) pharmacokinetic parameters for MPA following the administration of oral MMF given as single doses to non-transplant subjects with hepatic impairment is presented in Table 11.



In a single-dose (1 g oral) study of 18 volunteers with alcoholic cirrhosis and 6 healthy volunteers, hepatic MPA glucuronidation processes appeared to be relatively unaffected by hepatic parenchymal disease when pharmacokinetic parameters of healthy volunteers and alcoholic cirrhosis patients within this study were compared. However, it should be noted that for unexplained reasons, the healthy volunteers in this study had about a 50% lower AUC as compared to healthy volunteers in other studies, thus making comparisons between volunteers with alcoholic cirrhosis and healthy volunteers difficult. In a single-dose

(1 g intravenous) study of 6 volunteers with severe hepatic impairment (aminopyrine breath test less than 0.2% of dose) due to alcoholic cirrhosis, MMF was rapidly converted to MPA. MPA AUC was 44.1 mcg•h/mL (±15.5).



Table 11  Pharmacokinetic Parameters for MPA [mean (±SD)] Following Single Doses of MMF Capsules in Chronic Renal and Hepatic Impairment

Pharmacokinetic Parameters for Renal Impairment

Dose

Tmax

  (h)

Cmax

(mcg/mL)

AUC(0-96h) (mcg•h/mL)

Healthy Volunteers

            GFR greater than 80 mL/min/1.73 m2

            (n=6)

1 g

0.75

(±0.27)

25.3

(±7.99)

45.0

(±22.6)

Mild Renal Impairment

            GFR 50 to 80 mL/min/1.73 m2

            (n=6)

1 g

0.75

(±0.27)

26.0

(±3.82)

59.9

(±12.9)

Moderate Renal Impairment

            GFR 25 to 49 mL/min/1.73 m2

            (n=6)

1 g

0.75

(±0.27)

19.0

(±13.2)

52.9

(±25.5)

Severe Renal Impairment

           GFR less than 25 mL/min/1.73 m2 

           (n=7)

1 g

1.00

(±0.41)

16.3

(±10.8)

78.6

(±46.4)

Pharmacokinetic Parameters for Hepatic Impairment

Dose

Tmax

(h)

Cmax (mcg/mL)

AUC(0-48h) (mcg•h/mL)

Healthy Volunteers

        (n=6)

1 g

0.63

(±0.14)

24.3

(±5.73)

29.0

(±5.78)

Alcoholic Cirrhosis

        (n=18)

1 g

0.85

(±0.58)

22.4

(±10.1)

29.8

(±10.7)

Pediatric Patients

The pharmacokinetic parameters of MPA and MPAG have been evaluated in 55 pediatric patients (ranging from 1 year to 18 years of age) receiving CELLCEPT® Oral Suspension (mycophenolate mofetil) for oral suspension at a dose of 600 mg/m2 twice daily (up to a maximum of 1 g twice daily) after allogeneic kidney transplantation. The pharmacokinetic data for MPA is provided in

Table 12.



Table 12 Mean (±SD) Computed Pharmacokinetic Parameters for MPA by Age and Time after Allogeneic Kidney Transplantation

Age Group (n)

Time

 T max

                 (h)

Dose Adjusteda Cmax

(mcg/mL)

Dose Adjusteda AUC0-12

(mcg•h/mL)

1 to less than 2 yr     (6)d

1 to less than 6 yr     (17)

6 to less than 12 yr   (16)

  12 to 18 yr               (21)

Early (Day 7)

3.03      (4.70)

1.63      (2.85)

0.940     (0.546)

1.16      (0.830)

10.3    (5.80)

13.2    (7.16)

13.1    (6.30)

11.7    (10.7)

22.5    (6.66)

27.4    (9.54)

33.2    (12.1)

26.3    (9.14)b

1 to less than 2 yr     (4)d

1 to less than 6 yr    (15)

6 to less than 12 yr  (14)

  12 to 18 yr              (17)

 Late (Month 3)

0.725    (0.276)

0.989    (0.511)

1.21      (0.532)

0.978    (0.484)

23.8    (13.4)

22.7    (10.1)

27.8    (14.3)

17.9    (9.57)

47.4    (14.7)

49.7    (18.2)

61.9    (19.6)

53.6    (20.3)c

1 to less than 2 yr    (4)d

1 to less than 6 yr    (12)

6 to less than 12 yr  (11)

  12 to 18 yr              (14)

 Late (Month 9)

0.604    (0.208)

0.869    (0.479)

1.12      (0.462)

1.09      (0.518)

25.6    (4.25)

30.4    (9.16)

29.2    (12.6)

18.1    (7.29)

55.8    (11.6)

61.0    (10.7)

66.8    (21.2)

56.7    (14.0)

adjusted to a dose of 600 mg/m2

b n=20

c n=16

d a subset of 1 to <6 yr



The CELLCEPT® Oral Suspension (mycophenolate mofetil) for oral suspension dose of 600 mg/m2 twice daily (up to a maximum of 1 g twice daily) achieved mean MPA AUC values in pediatric patients similar to those seen in adult kidney transplant patients receiving mycophenolate mofetil capsules at a dose of 1 g twice daily in the early post-transplant period. There was wide variability in the data. As observed in adults, early post-transplant MPA AUC values were approximately 45% to 53% lower than those observed in the later post-transplant period (>3 months). MPA AUC values were similar in the early and late post-transplant period across the 1 to 18-year age range.



A comparison of dose-normalized (to 600 mg/m2) MPA AUC values in 12 pediatric kidney transplant patients less than 6 years of age at 9 months post-transplant with those values in 7 pediatric liver transplant patients [median age 17 months (range: 10 to 60 months)] and at 6 months and beyond post-transplant revealed that, at the same dose, there were on average 23% lower AUC values in the pediatric liver compared to pediatric kidney patients. This is consistent with the need for higher dosing in adult liver transplant patients compared to kidney transplant patients to achieve the same exposure.



In adult transplant patients administered the same dosage of mycophenolate mofetil, there is similar MPA exposure among kidney transplant and heart transplant patients. Based on the established similarity in MPA exposure between pediatric kidney transplant and adult kidney transplant patients at their respective approved doses, it is expected that MPA exposure at the recommended dosage will be similar in pediatric heart transplant and adult heart transplant patients.



Male and Female Patients

Data obtained from several studies were pooled to look at any gender-related differences in the pharmacokinetics of MPA (data were adjusted to 1 g oral dose). Mean (±SD) MPA AUC(0-12h) for males (n=79) was 32.0 (±14.5) and for females (n=41) was 36.5 (±18.8) mcg•h/mL while mean (±SD) MPA Cmax was 9.96 (±6.19) in the males and 10.6 (±5.64) mcg/mL in the females. These differences are not of clinical significance.



Geriatric Patients

The pharmacokinetics of mycophenolate mofetil and its metabolites have not been found to be altered in geriatric transplant patients when compared to younger transplant patients.



Drug Interaction Studies

Acyclovir

Coadministration of MMF (1 g) and acyclovir (800 mg) to 12 healthy volunteers resulted in no significant change in MPA AUC and Cmax. However, MPAG and acyclovir plasma AUCs were increased 10.6% and 21.9%, respectively.



Antacids with Magnesium and Aluminum Hydroxides

Absorption of a single dose of MMF (2 g) was decreased when administered to 10 rheumatoid arthritis patients also taking Maalox® TC (10 mL qid). The Cmax and AUC(0-24h) for MPA were 33% and 17% lower, respectively, than when MMF was administered alone under fasting conditions.



Proton Pump Inhibitors (PPIs)

Coadministration of PPIs (e.g., lansoprazole, pantoprazole) in single doses to healthy volunteers and multiple doses to transplant patients receiving mycophenolate mofetil has been reported to reduce the exposure to MPA. An approximate reduction of 30 to 70% in the Cmax and 25% to 35% in the AUC of MPA has been observed, possibly due to a decrease in MPA solubility at an increased gastric pH.



Cholestyramine

Following single-dose administration of 1.5 g MMF to 12 healthy volunteers pretreated with 4 g three times a day of cholestyramine for 4 days, MPA AUC decreased approximately 40%. This decrease is consistent with interruption of enterohepatic recirculation which may be due to binding of recirculating MPAG with cholestyramine in the intestine.



Cyclosporine

Cyclosporine (Sandimmune®) pharmacokinetics (at doses of 275 to 415 mg/day) were unaffected by single and multiple doses of 1.5 g twice daily of MMF in 10 stable kidney transplant patients. The mean (±SD) AUC(0­-12h) and Cmax of cyclosporine after 14 days of multiple doses of MMF were 3290 (±822) ng•h/mL and 753 (±161) ng/mL, respectively, compared to 3245 (±1088) ng•h/mL and 700 (±246) ng/mL, respectively, 1 week before administration of MMF.



Cyclosporine A interferes with MPA enterohepatic recirculation. In kidney transplant patients, mean MPA exposure (AUC(0-12h)) was approximately 30 to 50% greater when MMF was administered without cyclosporine compared with when MMF was coadministered with cyclosporine. This interaction is due to cyclosporine inhibition of multidrug-resistance-associated protein 2 (MRP-2) transporter in the biliary tract, thereby preventing the excretion of MPAG into the bile that would lead to enterohepatic recirculation of MPA. This information should be taken into consideration when MMF is used without cyclosporine.



Drugs Affecting Glucuronidation

Concomitant administration of drugs inhibiting glucuronidation of MPA may increase MPA exposure (e.g., increase of MPA AUC(0-∞) by 35% was observed with concomitant administration of isavuconazole).



Concomitant administration of telmisartan and mycophenolate mofetil resulted in an approximately 30% decrease in MPA concentrations. Telmisartan changes MPA’s elimination by enhancing PPAR gamma (peroxisome proliferator-­activated receptor gamma) expression, which in turn results in an enhanced UGT1A9 expression and glucuronidation activity.



Ganciclovir

Following single-dose administration to 12 stable kidney transplant patients, no pharmacokinetic interaction was observed between MMF (1.5 g) and intravenous ganciclovir (5 mg/kg). Mean (±SD) ganciclovir AUC and Cmax (n=10) were 54.3 (±19.0) mcg•h/mL and 11.5 (±1.8) mcg/mL, respectively, after coadministration of the two drugs, compared to 51.0 (±17.0) mcg•h/mL and 10.6 (±2.0) mcg/mL, respectively, after administration of intravenous ganciclovir alone. The mean (±SD) AUC and Cmax of MPA (n=12) after coadministration were 80.9 (±21.6) mcg•h/mL and 27.8 (±13.9) mcg/mL, respectively, compared to values of 80.3 (±16.4) mcg•h/mL and 30.9 (±11.2) mcg/mL, respectively, after administration of MMF alone.



Oral Contraceptives

A study of coadministration of mycophenolate mofetil (1 g twice daily) and combined oral contraceptives containing ethinylestradiol (0.02 mg to 0.04 mg) and levonorgestrel (0.05 mg to 0.20 mg), desogestrel (0.15 mg) or gestodene (0.05 mg to 0.10 mg) was conducted in 18 women with psoriasis over 3 consecutive menstrual cycles. Mean serum levels of LH, FSH and progesterone were not significantly affected. Mean AUC(0-24h) was similar for ethinylestradiol and 3-keto desogestrel; however, mean levonorgestrel AUC(0-24h) significantly decreased by about 15%. There was large inter-patient variability (%CV in the range of 60% to 70%) in the data, especially for ethinylestradiol.



Sevelamer

Concomitant administration of sevelamer and MMF in adult and pediatric patients decreased the mean MPA Cmax and AUC (0-12h) by 36% and 26% respectively.



Antimicrobials

Antimicrobials eliminating beta-glucuronidase-producing bacteria in the intestine (e.g. aminoglycoside, cephalosporin, fluoroquinolone, and penicillin classes of antimicrobials) may interfere with the MPAG/MPA enterohepatic recirculation thus leading to reduced systemic MPA exposure. Information concerning antibiotics is as follows:

  • Trimethoprim/Sulfamethoxazole: Following single-dose administration of MMF (1.5 g) to 12 healthy male volunteers on day 8 of a 10-day course of trimethoprim   

    160 mg/sulfamethoxazole 800 mg administered twice daily, no effect on the bioavailability of MPA was observed. The mean (±SD) AUC and Cmax of MPA after concomitant administration were 75.2 (±19.8) mcg•h/mL and 34.0 (±6.6) mcg/mL, respectively, compared to 79.2 (±27.9) mcg•h/mL and 34.2 (±10.7) mcg/mL, respectively, after administration of MMF alone.
  • Norfloxacin and Metronidazole: Following single-dose administration of MMF (1 g) to 11 healthy volunteers on day 4 of a 5-day course of a combination of norfloxacin and metronidazole, the mean MPA AUC(0-48h) was significantly reduced by 33% compared to the administration of MMF alone (p<0.05). The mean (±SD) MPA AUC(0-48h) after coadministration of MMF with norfloxacin or metronidazole separately was 48.3 (±24) mcg·h/mL and 42.7 (±23) mcg·h/mL, respectively, compared with 56.2 (±24) mcg·h/mL after administration of MMF alone.
  • Ciprofloxacin and Amoxicillin Plus Clavulanic Acid: A total of 64 mycophenolate mofetil-treated kidney transplant recipients received either oral ciprofloxacin 500 mg twice daily or amoxicillin plus clavulanic acid 375 mg three times daily for 7 or at least 14 days, respectively. Approximately 50% reductions in median trough MPA concentrations (pre-dose) from baseline (mycophenolate mofetil alone) were observed in 3 days following commencement of oral ciprofloxacin or amoxicillin plus clavulanic acid. These reductions in trough MPA concentrations tended to diminish within 14 days of antimicrobial therapy and ceased within 3 days of discontinuation of antibiotics.
  • Rifampin: In a single heart-lung transplant patient, after correction for dose, a 67% decrease in MPA exposure (AUC(0-12h)) has been observed with concomitant administration of MMF and rifampin.
17.4 Blood Dyscrasias

Inform patients that they are at increased risk for developing blood adverse effects such as anemia or low white blood cells. Advise patients to immediately contact their healthcare provider if they experience any evidence of infection, unexpected bruising, or bleeding, or any other manifestation of bone marrow suppression [see Warnings and Precautions (5.4)].

5.3 Serious Infections

Patients receiving immunosuppressants, including mycophenolate mofetil, are at increased risk of developing bacterial, fungal, protozoal and new or reactivated viral infections, including opportunistic infections. The risk increases with the total immunosuppressive load. These infections may lead to serious outcomes, including hospitalizations and death [see Adverse Reactions (6.1, 6.2)].

Serious viral infections reported include:



  • Polyomavirus-associated nephropathy (PVAN), especially due to BK virus infection
  • JC virus-associated progressive multifocal leukoencephalopathy (PML), and
  • Cytomegalovirus (CMV) infections: CMV seronegative transplant patients who receive an organ from a CMV seropositive donor are at highest risk of CMV viremia and CMV disease.
  • Viral reactivation in patients infected with Hepatitis B and C
  • COVID-19


Consider dose reduction or discontinuation of mycophenolate mofetil in patients who develop new infections or reactivate viral infections, weighing the risk that reduced immunosuppression represents to the functioning allograft.



PVAN, especially due to BK virus infection, is associated with serious outcomes, including deteriorating renal function and renal graft loss [see Adverse Reactions (6.2)]. Patient monitoring may help detect patients at risk for PVAN.



PML, which is sometimes fatal, commonly presents with hemiparesis, apathy, confusion, cognitive deficiencies, and ataxia [see Adverse Reactions (6.2)]. In immunosuppressed patients, physicians should consider PML in the differential diagnosis in patients reporting neurological symptoms.



The risk of CMV viremia and CMV disease is highest among transplant recipients seronegative for CMV at time of transplant who receive a graft from a CMV seropositive donor. Therapeutic approaches to limiting CMV disease exist and should be routinely provided. Patient monitoring may help detect patients at risk for CMV disease.



Viral reactivation has been reported in patients infected with HBV or HCV. Monitoring infected patients for clinical and laboratory signs of active HBV or HCV infection is recommended.

1 Indications and Usage (1 INDICATIONS AND USAGE)

Mycophenolate mofetil capsules are indicated for the prophylaxis of organ rejection, in adult and pediatric recipients 3 months of age and older of allogeneic kidney [see Clinical Studies (14.1)], heart [see Clinical Studies (14.2)] or liver transplants [see Clinical Studies (14.3)], in combination with other immunosuppressants.

12.1 Mechanism of Action

Mycophenolate mofetil (MMF) is absorbed following oral administration and hydrolyzed to mycophenolic acid (MPA), the active metabolite. MPA is a selective uncompetitive inhibitor of the two isoforms (type I and type II) of inosine monophosphate dehydrogenase (IMPDH) leading to inhibition of the de novo pathway of guanosine nucleotide synthesis and blocks DNA synthesis. The mechanism of action of MPA is multifaceted and includes effects on cellular checkpoints responsible for metabolic programming of lymphocytes. MPA shifts transcriptional activities in lymphocytes from a proliferative state to catabolic processes. In vitro studies suggest that MPA modulates transcriptional activities in human CD4+ T-lymphocytes by suppressing the Akt/mTOR and STAT5 pathways that are relevant to metabolism and survival, leading to an anergic state of T-cells whereby the cells become less responsive to antigenic stimulation. Additionally, MPA enhanced the expression of negative co-stimulators such as CD70, PD-1, CTLA-4, and transcription factor FoxP3 as well as decreased the expression of positive co-stimulators CD27 and CD28.



MPA decreases proliferative responses of T- and B-lymphocytes to both mitogenic and allo-antigenic stimulation, antibody responses, as well as the production of cytokines from lymphocytes and monocytes such as GM-CSF, IFN-Ɣ, IL-17, and TNF-α. Additionally, MPA prevents the glycosylation of lymphocyte and monocyte glycoproteins that are involved in intercellular adhesion to endothelial cells and may inhibit recruitment of leukocytes into sites of inflammation and graft rejection.



Overall, the effect of MPA is cytostatic and reversible.

5.1 Embryofetal Toxicity

Use of MMF during pregnancy is associated with an increased risk of first trimester pregnancy loss and an increased risk of congenital malformations, especially external ear and other facial abnormalities including cleft lip and palate, and anomalies of the distal limbs, heart, esophagus, kidney and nervous system. Females of reproductive potential must be made aware of these risks and must be counseled regarding pregnancy prevention and planning. Avoid use of MMF during pregnancy if safer treatment options are available [see Use in Specific Populations (8.1, 8.3)].

17.1 Embryofetal Toxicity

Pregnancy loss and malformations



  • Inform females of reproductive potential and pregnant women that use of mycophenolate mofetil capsules during pregnancy is associated with an increased risk of first trimester pregnancy loss and an increased risk of congenital malformations. Advise that they must use an acceptable form of contraception [see Warnings and Precautions (5.1), Use in Specific Populations (8.1, 8.3)].
  • Encourage pregnant women to enroll in the Pregnancy Exposure Registry. This registry monitors pregnancy outcomes in women exposed to mycophenolate [see Use in Specific Populations (8.1)].

Contraception



  • Discuss pregnancy testing, pregnancy prevention and planning with females of reproductive potential [see Use in Specific Populations (8.3)].
  • Females of reproductive potential must use an acceptable form of birth control during the entire mycophenolate mofetil capsules therapy and for 6 weeks after stopping mycophenolate mofetil capsules, unless the patient chooses abstinence. Mycophenolate mofetil capsules may reduce effectiveness of oral contraceptives. Use of additional barrier contraceptive methods is recommended [see Use in Specific Populations (8.3)].
  • For patients who are considering pregnancy, discuss appropriate alternative immunosuppressants with less potential for embryofetal toxicity. Risks and benefits of mycophenolate mofetil capsules should be discussed with the patient.
  • Advise sexually active male patients and/or their partners to use effective contraception during the treatment of the male patient and for at least 90 days after cessation of treatment. This recommendation is based on findings of animal studies [see Use in Specific Populations (8.3), Nonclinical Toxicology (13.1) ].
14.2 Heart Transplantation

A double-blind, randomized, comparative, parallel-group, multicenter study in primary de novo heart transplant recipients was performed at centers in the United States (20), in Canada (1), in Europe (5) and in Australia (2). The total number of patients enrolled (ITT population) was 650; 72 never received study drug and 578 received study drug (Safety Population). Patients received mycophenolate mofetil 1.5 g twice daily (n=289) or AZA 1.5 to 3 mg/kg/day (n=289), in combination with cyclosporine (Sandimmune® or Neoral®) and corticosteroids as maintenance immunosuppressive therapy. The two primary efficacy endpoints were: (1) the proportion of patients who, after transplantation, had at least one endomyocardial biopsy-proven rejection with hemodynamic compromise, or were re-transplanted or died, within the first 6 months, and (2) the proportion of patients who died or were re-transplanted during the first 12 months following transplantation. Patients who prematurely discontinued treatment were followed for the occurrence of allograft rejection for up to 6 months and for the occurrence of death for 1 year.



The analyses of the endpoints showed:



  • Rejection: No difference was established between mycophenolate mofetil and AZA with respect to biopsy-proven rejection with hemodynamic compromise.
  • Survival: Mycophenolate mofetil was shown to be at least as effective as AZA in preventing death or re-transplantation at 1 year (see Table 15).


Table 15 De Novo Heart Transplantation Study Rejection at 6 Months/Death or Re-transplantation at 1 Year



 

All Patients (ITT)

Treated Patients

AZA

N = 323

Mycophenolate Mofetil

N = 327

AZA

N = 289

Mycophenolate Mofetil

N = 289

Biopsy-proven rejection with hemodynamic compromise at 6 monthsa

121

(38%)

120

(37%)

100

(35%)

92

(32%)

Death or re-transplantation at

1 year

49

(15.2%)

42

(12.8%)

33

 (11.4%)

18

(6.2%)

a    Hemodynamic compromise occurred if any of the following criteria were met: pulmonary capillary wedge pressure ≥20 mm or a 25% increase; cardiac index <2.0 L/min/m2 or a 25% decrease; ejection fraction ≤30%; pulmonary artery oxygen saturation ≤60% or a 25% decrease; presence of new S3 gallop; fractional shortening was ≤20% or a 25% decrease; inotropic support required to manage the clinical condition.

14.3 Liver Transplantation

A double-blind, randomized, comparative, parallel-group, multicenter study in primary hepatic transplant recipients was performed at centers in the United States (16), in Canada (2), in Europe (4) and in Australia (1). The total number of patients enrolled was 565. Per protocol, patients received mycophenolate mofetil 1 g twice daily intravenously for up to 14 days followed by mycophenolate mofetil 1.5 g twice daily orally or AZA 1 to 2 mg/kg/day intravenously followed by AZA 1 to 2 mg/kg/day orally, in combination with cyclosporine (Neoral®) and corticosteroids as maintenance immunosuppressive therapy. The actual median oral dose of AZA on study was 1.5 mg/kg/day (range of 0.3 to 3.8 mg/kg/day) initially and 1.26 mg/kg/day (range of 0.3 to 3.8 mg/kg/day) at 12 months. The two primary endpoints were: (1) the proportion of patients who experienced, in the first 6 months post-transplantation, one or more episodes of biopsy-proven and treated rejection or death or re-transplantation, and (2) the proportion of patients who experienced graft loss (death or re-transplantation) during the first 12 months post-transplantation. Patients who prematurely discontinued treatment were followed for the occurrence of allograft rejection and for the occurrence of graft loss (death or re-transplantation) for 1 year.



In combination with corticosteroids and cyclosporine, mycophenolate mofetil demonstrated a lower rate of acute rejection at 6 months and a similar rate of death or re-transplantation at 1 year compared to AZA (Table 16).



Table 16 De Novo Liver Transplantation Study Rejection at 6 Months/Death or Retransplantation at 1 Year

 

AZA

N = 287

Mycophenolate Mofetil

N = 278

Biopsy-proven, treated rejection at 6 months (includes death or re-transplantation)

 

137 (47.7%)

107 (38.5%)

Death or re-transplantation at 1 year

 

42 (14.6%)

41 (14.7%)

16.1 Handling and Disposal

Mycophenolate mofetil (MMF) has demonstrated teratogenic effects in humans [see Warnings and Precautions (5.1) and Use in Specific Populations (8.1)]. Mycophenolate mofetil capsules, USP should not be opened or crushed. Avoid inhalation or direct contact with skin or mucous membranes of the powder contained in mycophenolate mofetil capsules, USP. Follow applicable special handling and disposal procedures 1 .

5 Warnings and Precautions (5 WARNINGS AND PRECAUTIONS)
  • Blood Dyscrasias (Neutropenia, Red Blood Cell Aplasia): Monitor with blood tests; consider treatment interruption or dose reduction. (5.4)
  • Gastrointestinal Complications: Monitor for complications such as bleeding, ulceration and perforations, particularly in patients with underlying gastrointestinal disorders. (5.5)
  • Hypoxanthine-Guanine Phosphoribosyl-Transferase Deficiency: Avoid use of mycophenolate mofetil. (5.6)
  • Acute Inflammatory Syndrome Associated with Mycophenolate Products: Monitor for this paradoxical inflammatory reaction. (5.7)
  • Hypersensitivity Reactions: Discontinue mycophenolate mofetil; treat and monitor until signs and symptoms resolve. (5.8)
  • Immunizations: Avoid live attenuated vaccines. (5.9)
  • Local Reactions with Rapid Intravenous Administration: CELLCEPT® Intravenous (mycophenolate mofetil) for injection must not be administered by rapid or bolus intravenous injection. (5.10)
  •  Phenylketonurics: Oral suspension contains aspartame. (5.11)
  • Blood Donation: Avoid during therapy and for 6 weeks thereafter. (5.12)
  • Semen Donation: Avoid during therapy and for 90 days thereafter. (5.13)
  • Potential Impairment on Driving and Use of Machinery: Mycophenolate mofetil may affect ability to drive or operate machinery. (5.15)


14.1 Kidney Transplantation

Adults



The three de novo kidney transplantation studies compared two dose levels of oral mycophenolate mofetil (1 g twice daily and 1.5 g twice daily) with azathioprine (2 studies) or placebo (1 study) to prevent acute rejection episodes. One of the two studies with azathioprine (AZA) control arm also included anti-thymocyte globulin (ATGAM®) induction therapy. The geographic location of the investigational sites of these studies are included in Table 13.



In all three de novo kidney transplantation studies, the primary efficacy endpoint was the proportion of patients in each treatment group who experienced treatment failure within the first 6 months after transplantation. Treatment failure was defined as biopsy-proven acute rejection on treatment or the occurrence of death, graft loss or early termination from the study for any reason without prior biopsy-proven rejection.



Mycophenolate mofetil, in combination with corticosteroids and cyclosporine, reduced (statistically significant at 0.05 level) the incidence of treatment failure within the first 6 months following transplantation (Table 13). Patients who prematurely discontinued treatment were followed for the occurrence of death or graft loss, and the cumulative incidence of graft loss and patient death combined are summarized in Table 14. Patients who prematurely discontinued treatment were not followed for the occurrence of acute rejection after termination.

Table 13 Treatment Failure in De Novo Kidney Transplantation Studies



USA Study (N=499 patients)

Mycophenolate

Mofetil

2 g/day

(n=167 patients)

Mycophenolate Mofetil

3 g/day

(n=166 patients)

AZA

1 to 2 mg/kg/day

    (n=166 patients)

All 3 groups received anti-thymocyte globulin induction, cyclosporine and corticosteroids

All treatment failures

31.1%

31.3%

47.6%

Early termination without prior acute rejection

9.6%

12.7%

6.0%

Biopsy-proven rejection episode on treatment

19.8%

17.5%

38.0%

Europe/Canada/Australia Study

 (N=503 patients)

Mycophenolate Mofetil

2 g/day

(n=173 patients)

Mycophenolate Mofetil

3 g/day

(n=164 patients)

AZA

100 to 150 mg/day

(n=166 patients)

No induction treatment administered; all 3 groups received cyclosporine and corticosteroids.

All treatment failures

38.2%

34.8%

50.0%

Early termination without prior acute rejection

13.9%

15.2%

10.2%

Biopsy-proven rejection episode on treatment

19.7%

15.9%

35.5%

Europe Study (N=491 patients)

Mycophenolate Mofetil

2 g/day

(n=165 patients)

Mycophenolate Mofetil

3 g/day

(n=160 patients)

Placebo

 

(n=166 patients)

No induction treatment administered; all 3 groups received cyclosporine and corticosteroids.

All treatment failures

30.3%

38.8%

56.0%

Early termination without prior acute rejection

11.5%

22.5%

7.2%

Biopsy-proven rejection episode on treatment

17.0%

13.8%

46.4%

 *Does not include death and graft loss as reason for early termination.



No advantage of mycophenolate mofetil at 12 months with respect to graft loss or patient death (combined) was established (Table 14). Numerically, patients receiving mycophenolate mofetil 2 g/day and 3 g/day experienced a better outcome than controls in all three studies; patients receiving mycophenolate mofetil 2 g/day experienced a better outcome than mycophenolate mofetil 3 g/day in two of the three studies. Patients in all treatment groups who terminated treatment early were found to have a poor outcome with respect to graft loss or patient death at 1 year.



Table 14 De Novo Kidney Transplantation Studies Cumulative Incidence of Combined Graft Loss or Patient Death at 12 Months

Study

Mycophenolate Mofetil

 2 g/day

Mycophenolate Mofetil

3 g/day

Control

(AZA or Placebo)

USA

8.5%

11.5%

12.2%

Europe/Canada/Australia

11.7%

11.0%

13.6%

Europe

8.5%

10.0%

11.5%



Pediatrics- De Novo Kidney transplantation PK Study with Long Term Follow-Up



One open-label, safety and pharmacokinetic study of CELLCEPT® Oral Suspension (mycophenolate mofetil) for oral suspension 600 mg/m2 twice daily (up to 1 g twice daily) in combination with cyclosporine and corticosteroids was performed at centers in the United States (9), Europe (5) and Australia (1) in 100 pediatric patients (3 months to 18 years of age) for the prevention of renal allograft rejection. Mycophenolate mofetil was well tolerated in pediatric patients [see Adverse Reactions (6.1)], and the pharmacokinetics profile was similar to that seen in adult patients dosed with 1 g twice daily mycophenolate mofetil capsules [see Clinical Pharmacology (12.3)]. The rate of biopsy-proven rejection was similar across the age groups (3 months to <6 years, 6 years to <12 years, 12 years to 18 years). The overall biopsy-proven rejection rate at 6 months was comparable to adults. The combined incidence of graft loss (5%) and patient death (2%) at 12 months post-transplant was similar to that observed in adult kidney transplant patients.

2 Dosage and Administration (2 DOSAGE AND ADMINISTRATION)


ADULTS

 DOSAGE

Kidney Transplant

 1 g twice daily, orally (2.2)

Heart Transplant

 1.5 g twice daily orally (2.3)

Liver Transplant

 1.5 g twice daily orally (2.4)

PEDIATRICS

Kidney Transplant

 600 mg/m2 orally twice daily, up to maximum of 2 g  daily (2.2)

Heart Transplant

 600 mg/m2 orally twice daily (starting dose) up to a maximum of 900 mg/m2 twice daily (3 g or 15 mL of oral suspension) (2.3)

Liver Transplant

 600 mg/m2 orally twice daily (starting dose) up to a maximum of 900 mg/m2 twice daily (3 g or 15 mL of oral suspension) (2.4)



  • Reduce or interrupt dosing in the event of neutropenia. (2.5)
  • See full prescribing information (FPI) for: adjustments for renal impairment and neutropenia. (2.5)
6.2 Postmarketing Experience

The following adverse reactions have been identified during post-approval use of mycophenolate mofetil. Because these reactions are reported voluntarily from a population of uncertain size, it is not always possible to reliably estimate their frequency or establish a causal relationship to drug exposure:



  • Embryo-Fetal Toxicity: Congenital malformations and spontaneous abortions, mainly in the first trimester, have been reported following exposure to mycophenolate mofetil (MMF) in combination with other immunosuppressants during pregnancy [see Warnings and Precautions (5.1), and Use in Specific Populations (8.1), (8.3)]. Congenital malformations include:


 -Facial malformations: cleft lip, cleft palate, micrognathia, hypertelorism of the orbits

 -Abnormalities of the ear and eye: abnormally formed or absent external/middle ear, coloboma, microphthalmos 

 -Malformations of the fingers: polydactyly, syndactyly, brachydactyly

 -Cardiac abnormalities: atrial and ventricular septal defects

 -Esophageal malformations: esophageal atresia

 -Nervous system malformations: such as spina bifida.



  • Cardiovascular: Venous thrombosis has been reported in patients treated with mycophenolate mofetil administered intravenously.
  • Digestive: Colitis, pancreatitis
  • Hematologic and Lymphatic: Bone marrow failure, cases of pure red cell aplasia (PRCA) and hypogammaglobulinemia have been reported in patients treated with mycophenolate mofetil in combination with other immunosuppressive agents [see Warnings and Precautions (5.4)].
  • Immune: Hypersensitivity reactions, including anaphylaxis and angioedema [see Warnings and Precautions (5.8)], hypogammaglobinemia.
  • Infections: Meningitis, infectious endocarditis, tuberculosis, atypical mycobacterial infection, progressive multifocal leukoencephalopathy, BK virus infection, viral reactivation of hepatitis B and hepatitis C, protozoal infections [see Warnings and Precautions (5.3)].
  • Respiratory: Bronchiectasis, interstitial lung disease, fatal pulmonary fibrosis, have been reported rarely and should be considered in the differential diagnosis of pulmonary symptoms ranging from dyspnea to respiratory failure in post-transplant patients receiving mycophenolate mofetil.
  • Vascular: Lymphocele
3 Dosage Forms and Strengths (3 DOSAGE FORMS AND STRENGTHS)

Mycophenolate Mofetil Capsules, USP 250 mg are red opaque cap and brown opaque body, hard gelatin capsule shell imprinted “MYMH” on cap and “250” on the body filled with white to off-white granules.

8 Use in Specific Populations (8 USE IN SPECIFIC POPULATIONS)
  • Male Patients: Sexually active male patients and/or their female partners are recommended to use effective contraception during treatment of the male patient and for at least 90 days after cessation of treatment (8.3)
5.8 Hypersensitivity Reactions

Postmarketing cases of hypersensitivity reactions, including angioedema and anaphylaxis, have been reported with mycophenolate mofetil. These reactions generally occurred within hours to the next day after initiating mycophenolate mofetil. If signs or symptoms of hypersensitivity reaction occur, discontinue mycophenolate mofetil; treat and monitor until symptoms resolve [see Contraindications (4)].

17.7 Hypersensitivity Reactions

Inform patients of the potential risk of hypersensitivity reactions. Advise patients to stop taking mycophenolate mofetil capsules and seek immediate medical attention if signs or symptoms of hypersensitivity reaction occur (such as swelling of face, lips, tongue, or throat; difficulty breathing or swallowing) [see Warnings and Precautions (5.8)].

6.1 Clinical trials Experience (6.1 Clinical Trials Experience)

Because clinical trials are conducted under widely varying conditions, adverse reaction rates observed in the clinical trials of a drug cannot be directly compared to rates in the clinical trials of another drug and may not reflect the rates observed in practice.



An estimated total of 1557 adult patients received mycophenolate mofetil during pivotal clinical trials in the prevention of acute organ rejection. Of these, 991 were included in the three renal studies, 277 were included in one hepatic study, and 289 were included in one cardiac study. Patients in all study arms also received cyclosporine and corticosteroids.



The data described below primarily derive from five randomized, active-controlled double-blind 12-month trials of mycophenolate mofetil in de novo kidney (3) heart (1) and liver (1) transplant patients [see Clinical Studies (14.114.2, and 14.3)].



Mycophenolate Mofetil Oral



The incidence of adverse reactions for mycophenolate mofetil was determined in five randomized, comparative, double-blind trials in the prevention of rejection in kidney, heart and liver transplant patients (two active- and one placebo-controlled trials, one active-controlled trial, and one active-controlled trial, respectively) [see Clinical Studies (14.114.2 and 14.3)].



The three de novo kidney studies with 12-month duration compared two dose levels of oral mycophenolate mofetil (1 g twice daily and 1.5 g twice daily) with azathioprine (2 studies) or placebo (1 study) when administered in combination with cyclosporine (Sandimmune®) and corticosteroids to prevent acute rejection episodes. One study also included anti-thymocyte globulin (ATGAM®) induction therapy.



In the de novo heart transplantation study with 12-month duration, patients received mycophenolate mofetil 1.5 g twice daily (n=289) or azathioprine 1.5 to 3 mg/kg/day (n=289), in combination with cyclosporine (Sandimmune® or Neoral®) and corticosteroids as maintenance immunosuppressive therapy.



In the de novo liver transplantation study with 12-month duration, patients received mycophenolate mofetil 1 g twice daily intravenously for up to 14 days followed by mycophenolate mofetil 1.5 g twice daily orally or azathioprine 1 to 2 mg/kg/day intravenously followed by azathioprine 1 to 2 mg/kg/day orally, in combination with cyclosporine (Neoral®) and corticosteroids as maintenance immunosuppressive therapy. The total number of patients enrolled was 565.



Approximately 53% of the kidney transplant patients, 65% of the heart transplant patients, and 48% of the liver transplant patients were treated for more than 1 year. Adverse reactions reported in ≥ 20% of patients in the mycophenolate mofetil treatment groups are presented below. The safety data of three kidney transplantation studies are pooled together.



Table 5 Adverse Reactions in Controlled Studies of De Novo Kidney, Heart or Liver Transplantation Reported in 20% of Patients in the Mycophenolate Mofetil Group



Adverse drug reaction

System Organ Class

 

Kidney Studies

Heart Study

Liver Study

Mycophenolate Mofetil

2g/day (n=501) or 3g/day (n=490)

AZA

1 to 2 mg/kg/day or 100 to 150 mg/day

Placebo

Mycophenolate Mofetil

3g/day

AZA

1.5 to 3 mg/kg

/day

 

Mycophenolate Mofetil

3g/day

AZA

1 to 2 mg/kg/

day

 

(n=991)

(n=326)

(n=166)

(n=289)

(n=289)

(n=277)

(n=287)

%

%

%

%

%

%

%

Infections and infestations

Bacterial infections

39.9

33.7

37.3

-

-

27.4

26.5

Viral infections

- a

-

-

31.1

24.9

-

-

Blood and lymphatic system disorders

Anemia

20.0

23.6

2.4

45.0

47.1

43.0

53.0

Ecchymosis

-

-

-

20.1

9.7

-

-

Leukocytosis

-

-

-

42.6

37.4

22.4

21.3

Leukopenia

28.6

24.8

4.2

34.3

43.3

45.8

39.0

Thrombocytopenia

-

-

-

24.2

28.0

38.3

42.2

Metabolism and nutrition disorders

Hypercholesterolemia

-

-

-

46.0

43.9

-

-

Hyperglycemia

-

-

-

48.4

53.3

43.7

48.8

Hyperkalemia

-

-

-

-

-

22.0

23.7

Hypocalcemia

-

-

-

-

-

30.0

30.0

Hypokalemia

-

-

-

32.5

26.3

37.2

41.1

Hypomagnesemia

-

-

-

20.1

14.2

39.0

37.6

Psychiatric disorders

Depression

-

-

-

20.1

15.2

-

-

Insomnia

-

-

-

43.3

39.8

52.3

47.0

Nervous system disorders

Dizziness

-

-

-

34.3

33.9

-

-

Headache

-

-

-

58.5

55.4

53.8

49.1

Tremor

-

-

-

26.3

25.6

33.9

35.5

Cardiac disorders

Tachycardia

-

-

-

22.8

21.8

22.0

15.7

Vascular disorders

Hypertension

27.5

32.2

19.3

78.9

74.0

62.1

59.6

Hypotension

-

-

-

34.3

40.1

-

-

Respiratory, thoracic and mediastinal disorders

Cough

-

-

-

40.5

32.2

-

-

Dyspnea

-

-

-

44.3

44.3

31.0

30.3

Pleural effusion

-

-

-

-

-

34.3

35.9

Gastrointestinal disorders

Abdominal pain

22.4

23.0

11.4

41.9

39.4

62.5

51.2

Constipation

-

-

-

43.6

38.8

37.9

38.3

Decreased appetite

-

-

-

-

-

25.3

17.1

Diarrhea

30.4

20.9

13.9

52.6

39.4

51.3

49.8

Dyspepsia

-

-

-

22.1

22.1

22.4

20.9

Nausea

-

-

-

56.1

60.2

54.5

51.2

Vomiting

-

-

-

39.1

34.6

32.9

33.4

Hepatobiliary disorders

Blood lactate dehydrogenase increased

-

-

-

23.5

18.3

-

-

Hepatic enzyme increased

-

-

-

-

-

24.9

19.2

Skin and subcutaneous tissues disorders

Rash

-

-

-

26.0

20.8

-

-

Renal and urinary disorders

Blood creatinine increased

-

-

-

42.2

39.8

-

-

Blood urea increased

-

-

-

36.7

34.3

-

-

General disorders and administration site conditions

Asthenia

-

-

-

49.1

41.2

35.4

33.8

Edema b

21.0

28.2

8.4

67.5

55.7

48.4

47.7

Pain c

24.8

32.2

9.6

79.2

77.5

74.0

77.5

Pyrexia

-

-

-

56.4

53.6

52.3

56.1

a : “-” Indicates that the incidence was below the cutoff value of 20% for inclusion in the table.

b : “Edema” includes peripheral edema, facial edema, scrotal edema.

c : “Pain” includes musculoskeletal pain (myalgia, neck pain, back pain).



In the three de novo kidney studies, patients receiving 2 g/day of mycophenolate mofetil had an overall better safety profile than did patients receiving 3 g/day of mycophenolate mofetil.



Post-transplant lymphoproliferative disease (PTLD, pseudolymphoma) developed in 0.4% to 1% of patients receiving mycophenolate mofetil (2 g or 3 g daily) with other immunosuppressive agents in controlled clinical trials of kidney, heart and liver transplant patients followed for at least 1 year [see Warnings and Precautions (5.2)]. Non-melanoma skin carcinomas occurred in 1.6% to 4.2% of patients, other types of malignancy in 0.7% to 2.1% of patients. Three-year safety data in kidney and heart transplant patients did not reveal any unexpected changes in incidence of malignancy compared to the 1-year data. In pediatric patients, PTLD was observed in 1.35% (2/148) by 12 months post-transplant.



Cytopenias, including leukopenia, anemia, thrombocytopenia and pancytopenia are a known risk associated with mycophenolate and may lead or contribute to the occurrence of infections and hemorrhages [see Warnings and Precautions (5.3)]. Severe neutropenia (ANC <0.5 x 103/µL) developed in up to 2% of kidney transplant patients, up to 2.8% of heart transplant patients and up to 3.6% of liver transplant patients receiving mycophenolate mofetil 3 g daily [see Warnings and Precautions (5.4) and Dosage and Administration (2.5)].



The most common opportunistic infections in patients receiving mycophenolate mofetil with other immunosuppressants were mucocutaneous candida, CMV viremia/syndrome, and herpes simplex. The proportion of patients with CMV viremia/syndrome was 13.5%. In patients receiving mycophenolate mofetil (2 g or 3 g) in controlled studies for prevention of kidney, heart or liver rejection, fatal infection/sepsis occurred in approximately 2% of kidney and heart patients and in 5% of liver patients [see Warnings and Precautions (5.3)].



The most serious gastrointestinal disorders reported were ulceration and hemorrhage, which are known risks associated with mycophenolate mofetil. Mouth, esophageal, gastric, duodenal, and intestinal ulcers often complicated by hemorrhage, as well as hematemesis, melena, and hemorrhagic forms of gastritis and colitis were commonly reported during the pivotal clinical trials, while the most common gastrointestinal disorders were diarrhea, nausea and vomiting. Endoscopic investigation of patients with mycophenolate mofetil-related diarrhea revealed isolated cases of intestinal villous atrophy [see Warnings and Precautions (5.5)].



The following adverse reactions were reported with 3% to <20% incidence in kidney, heart, and liver transplant patients treated with mycophenolate mofetil, in combination with cyclosporine and corticosteroids.



Table 6 Adverse Reactions in Controlled Studies of De Novo Kidney, Heart or Liver Transplantation Reported in 3% to <20% of Patients Treated with Mycophenolate Mofetil in Combination with Cyclosporine and Corticosteroids



System Organ

Class

Adverse Reactions

Body as a Whole

cellulitis, chills, hernia, malaise

Infections and Infestations

fungal infections

Hematologic and Lymphatic

coagulation disorder, ecchymosis, pancytopenia

Urogenital

hematuria

Cardiovascular

hypotension

Metabolic and Nutritional

acidosis, alkaline phosphatase increased, hyperlipemia, hypophosphatemia, weight loss

Digestive

esophagitis, flatulence, gastritis, gastrointestinal hemorrhage, hepatitis, ileus, nausea and vomiting, stomach ulcer, stomatitis

Neoplasm benign, malignant and unspecified

neoplasm

Skin and Appendages

skin benign neoplasm, skin carcinoma

Psychiatric

confusional state

Nervous

hypertonia, paresthesia, somnolence

Musculoskeletal

arthralgia, myasthenia



Pediatrics

The type and frequency of adverse events in a clinical study for prevention of kidney allograft rejection in 100 pediatric patients 3 months to 18 years of age dosed with CELLCEPT® Oral Suspension (mycophenolate mofetil) for oral suspension 600 mg/m2 twice daily (up to 1 g twice daily) were generally similar to those observed in adult patients dosed with mycophenolate mofetil capsules at a dose of 1 g twice daily with the exception of abdominal pain, fever, infection, pain, sepsis, diarrhea, vomiting, pharyngitis, respiratory tract infection, hypertension, leukopenia, and anemia, which were observed in a higher proportion in pediatric patients.

  

Safety information in pediatric heart transplant or pediatric liver transplant patients treated with mycophenolate mofetil is supported by an open-label study in pediatric liver transplant patients and publications; the type and frequency of the reported adverse reactions are consistent with those observed in pediatric patients following renal transplant and in adults.



Geriatrics

Geriatric  patients (≥65 years), particularly those who are receiving mycophenolate mofetil as part of a combination immunosuppressive regimen, may be at increased risk of certain infections (including cytomegalovirus [CMV] tissue invasive disease) and possibly gastrointestinal hemorrhage and pulmonary edema, compared to younger individuals [see Warnings and Precautions (5.3) and Adverse Reactions (6.1)].



CELLCEPT® Intravenous (mycophenolate mofetil) for injection



The safety profile of CELLCEPT® Intravenous (mycophenolate mofetil) for injection was determined from a single, double-blind, controlled comparative study of the safety of 2 g/day of intravenous and oral mycophenolate mofetil in kidney transplant patients in the immediate post-transplant period (administered for the first 5 days). The potential venous irritation of CELLCEPT® Intravenous (mycophenolate mofetil) for injection was evaluated by comparing the adverse reactions attributable to peripheral venous infusion of CELLCEPT® Intravenous (mycophenolate mofetil) for injection with those observed in the intravenous placebo group; patients in the placebo group received active medication by the oral route.



Adverse reactions attributable to peripheral venous infusion were phlebitis and thrombosis, both observed at 4% in patients treated with CELLCEPT® Intravenous (mycophenolate mofetil) for injection.

17.6 Acute Inflammatory Syndrome

Inform patients that acute inflammatory reactions have been reported in some patients who received mycophenolate mofetil capsules. Some reactions were severe, requiring hospitalization. Advise patients to contact their physician if they develop fever, joint stiffness, joint pain or muscle pains [see Warnings and Precautions (5.7)].

17.9 Administration Instructions
  • Advise patients not to crush CELLCEPT® (mycophenolate mofetil) tablets and not to open mycophenolate mofetil capsules.
  • Advise patients to avoid inhalation or contact of the skin or mucous membranes with the powder contained in mycophenolate mofetil capsules and with the oral suspension. If such contact occurs, they must wash the area of contact thoroughly with soap and water. In case of ocular contact, rinse eyes with plain water.
  • Advise patients to take a missed dose as soon as they remember, except if it is closer than 2 hours to the next scheduled dose; in this case they should continue to take mycophenolate mofetil capsules at the usual times.
17 Patient Counseling Information (17 PATIENT COUNSELING INFORMATION)

Advise the patient to read the FDA-approved patient labeling (Medication Guide).

5.5 Gastrointestinal Complications

Gastrointestinal bleeding requiring hospitalization, ulceration and perforations were observed in clinical trials. Physicians should be aware of these serious adverse effects particularly when administering mycophenolate mofetil to patients with a gastrointestinal disease.

8.6 Patients With Renal Impairment (8.6 Patients with Renal Impairment)

Patients with Kidney Transplant

No dosage adjustments are needed in kidney transplant patients experiencing delayed graft function postoperatively but patients should be carefully monitored [see Clinical Pharmacology (12.3)]. In kidney transplant patients with severe chronic impairment of the graft (GFR <25 mL/min/1.73 m2), no dose adjustments are necessary; however, doses greater than 1 g administered twice a day should be avoided.



Patients with Heart and Liver Transplant

No data are available for heart or liver transplant patients with severe chronic renal impairment. Mycophenolate mofetil may be used for heart or liver transplant patients with severe chronic renal impairment if the potential benefits outweigh the potential risks.

5.2 Lymphoma and Other Malignancies

Patients receiving immunosuppressants, including mycophenolate mofetil, are at increased risk of developing lymphomas and other malignancies, particularly of the skin [see Adverse Reactions (6.1)]. The risk appears to be related to the intensity and duration of immunosuppression rather than to the use of any specific agent. For patients with increased risk for skin cancer, exposure to sunlight and UV light should be limited by wearing protective clothing and using a broad-spectrum sunscreen with a high protection factor.



Post-transplant lymphoproliferative disorder (PTLD) developed in 0.4% to 1% of patients receiving mycophenolate mofetil (2 g or 3 g) with other immunosuppressive agents in controlled clinical trials of kidney, heart and liver transplant patients [see Adverse Reactions (6.1)]. The majority of PTLD cases appear to be related to Epstein Barr Virus (EBV) infection. The risk of PTLD appears greatest in those individuals who are EBV seronegative, a population which includes many young children. In pediatric patients, no other malignancies besides PTLD were observed in clinical trials [see Adverse Reactions (6.1)].

8.7 Patients With Hepatic Impairment (8.7 Patients with Hepatic Impairment)

Patients with Kidney Transplant

No dosage adjustments are recommended for kidney transplant patients with severe hepatic parenchymal disease. However, it is not known whether dosage adjustments are needed for hepatic disease with other etiologies [see Clinical Pharmacology (12.3)].



Patients with Heart Transplant

No data are available for heart transplant patients with severe hepatic parenchymal disease.

17.3 Increased Risk of Serious Infections

Inform patients that they are at increased risk of developing a variety of infections due to immunosuppression. Instruct them to contact their physician if they develop any of the signs and symptoms of infection explained in the Medication Guide [see Warnings and Precautions (5.3)].

17.5 Gastrointestinal Tract Complications

Inform patients that mycophenolate mofetil capsules can cause gastrointestinal tract complications including bleeding, intestinal perforations, and gastric or duodenal ulcers. Advise the patient to contact their healthcare provider if they have symptoms of gastrointestinal bleeding, or sudden onset or persistent abdominal pain [see Warnings and Precautions (5.5)].

2.1  important Administration Instructions (2.1  Important Administration Instructions)

Mycophenolate mofetil capsules should not be used without the supervision of a physician with experience in immunosuppressive therapy.



Mycophenolate Mofetil Capsules, Tablets and Oral Suspension

Mycophenolate mofetil oral dosage forms (capsules, tablets or oral suspension) should not be used interchangeably with mycophenolic acid delayed-release tablets without supervision of a physician with experience in immunosuppressive therapy because the rates of absorption following the administration of mycophenolate mofetil oral dosage forms and mycophenolic acid delayed-release tablets are not equivalent.



CELLCEPT® (mycophenolate mofetil) tablets should not be crushed and mycophenolate mofetil capsules should not be opened or crushed. Patients should avoid inhalation or contact of the skin or mucous membranes with the powder contained in mycophenolate mofetil capsules and oral suspension. If such contact occurs, they must wash the area of contact thoroughly with soap and water. In case of ocular contact, rinse eyes with plain water.



The initial oral dose of mycophenolate mofetil should be given as soon as possible following kidney, heart or liver transplant. It is recommended that mycophenolate mofetil be administered on an empty stomach. In stable transplant patients, however, mycophenolate mofetil may be administered with food if necessary [see Clinical Pharmacology (12.3)]. Once reconstituted, CELLCEPT® Oral Suspension (mycophenolate mofetil) for oral suspension must not be mixed with any liquids prior to dose administration. If needed, CELLCEPT® Oral Suspension (mycophenolate mofetil) for oral suspension can be administered via a nasogastric tube with a minimum size of 8 French (minimum 1.7 mm interior diameter).



Patients should be instructed to take a missed dose as soon as they remember, except if it is closer than 2 hours to the next scheduled dose; in this case, they should continue to take mycophenolate mofetil capsules at the usual times.

5.11 Risks in Patients With Phenylketonuria (5.11 Risks in Patients with Phenylketonuria)

Phenylalanine can be harmful to patients with phenylketonuria (PKU). CELLCEPT® Oral Suspension (mycophenolate mofetil) for oral suspension contains aspartame, a source of phenylalanine (0.56 mg phenylalanine/mL suspension). Before prescribing CELLCEPT® Oral Suspension (mycophenolate mofetil) for oral suspension to a patient with PKU, consider the combined daily amount of phenylalanine from all sources, including mycophenolate mofetil.

16.2 Mycophenolate Mofetil Capsules Usp, 250 Mg (16.2 Mycophenolate Mofetil Capsules USP, 250 mg)

Mycophenolate Mofetil Capsules USP, 250 mg are red opaque cap and brown opaque body, hard gelatin capsule shell imprinted “MYMH” on cap and “250” on the body filled with white to off-white granules. They are supplied as follows:



                          Bottles of 100                                NDC 59651-624-01

                          Bottles of 500                                NDC 59651-624-05

Storage

Store at 20° to 25°C (68° to 77°F); excursions permitted to 15° to 30°C (59° to 86°F) [See USP Controlled Room Temperature].



Dispense in light-resistant containers, such as the manufacturer’s original containers.

8.3 Females and Males of Reproductive Potential

Females of reproductive potential must be made aware of the increased risk of first trimester pregnancy loss and congenital malformations and must be counseled regarding pregnancy prevention and planning.



Pregnancy Planning



For patients who are considering pregnancy, consider alternative immunosuppressants with less potential for embryofetal toxicity whenever possible. Risks and benefits of mycophenolate mofetil should be discussed with the patient.



Pregnancy Testing



To prevent unplanned exposure during pregnancy, all females of reproductive potential should have a serum or urine pregnancy test with a sensitivity of at least 25 mIU/mL immediately before starting mycophenolate mofetil. Another pregnancy test with the same sensitivity should be done 8 to 10 days later. Repeat pregnancy tests should be performed during routine follow-up visits. Results of all pregnancy tests should be discussed with the patient. In the event of a positive pregnancy test, consider alternative immunosuppressants with less potential for embryofetal toxicity whenever possible.



Contraception



Female Patients

Females of reproductive potential taking mycophenolate mofetil must receive contraceptive counseling and use acceptable contraception (see Table 9 for acceptable contraception methods). Patients must use acceptable birth control during the entire mycophenolate mofetil therapy, and for 6 weeks after stopping mycophenolate mofetil, unless the patient chooses abstinence.



Patients should be aware that mycophenolate mofetil reduces blood levels of the hormones from the oral contraceptive pill and could theoretically reduce its effectiveness [see Drug Interactions (7.2)].



Table 9 Acceptable Contraception Methods for Females of Reproductive Potential Pick from the following birth control options:



Option 1

Methods to

Use Alone

 

 

  • Intrauterine devices (IUDs)
  • Tubal sterilization
  • Patient’s partner vasectomy
 

OR



Option 2

 

Hormone Methods

choose 1

 

Barrier Methods

choose 1

Choose One

Hormone

Method AND

One Barrier

Method

 

Estrogen and Progesterone

  • Oral Contraceptive Pill
  • Transdermal patch
  • Vaginal ring
 

Progesterone-only

  • Injection
  • Implant
AND

 

  • Diaphragm with spermicide
  • Cervical cap with spermicide
  • Contraceptive sponge
  • Male condom
  • Female condom

OR



Option 3

 

Barrier Methods

choose 1

 

Barrier Methods

choose 1

Choose One

Barrier

Method from

each column

(must choose

 two methods)

  • Diaphragm with spermicide
  • Cervical cap with spermicide
  • Contraceptive sponge
 

AND

 

 

  • Male condom
  • Female condom
 

Male Patients

Genotoxic effects have been observed in animal studies at exposures exceeding the human therapeutic exposures by approximately 1.25 times. Thus, the risk of genotoxic effects on sperm cells cannot be excluded. Based on this potential risk, sexually active male patients and/or their female partners are recommended to use effective contraception during treatment of the male patient and for at least 90 days after cessation of treatment. Also, based on the potential risk of genotoxic effects, male patients should not donate sperm during treatment with mycophenolate mofetil and for at least 90 days after cessation of treatment [see Use in Special Populations (8.1), Nonclinical Toxicology (13.1), Patient Counseling Information (17.9)].

7.1 Effect of Other Drugs On Mycophenolate Mofetil (7.1 Effect of Other Drugs on Mycophenolate Mofetil)

Table 7 Drug Interactions with Mycophenolate Mofetil that Affect Mycophenolic Acid (MPA) Exposure



Antacids with Magnesium or Aluminum Hydroxide

Clinical Impact

Concomitant use with an antacid containing magnesium or aluminum hydroxide decreases MPA systemic exposure [see Clinical Pharmacology (12.3)], which may reduce mycophenolate mofetil efficacy.

Prevention or

 Management

Administer magnesium or aluminum hydroxide containing antacids at least 2h after mycophenolate mofetil administration.

Proton Pump Inhibitors (PPIs)

Clinical Impact

Concomitant use with PPIs decreases MPA systemic exposure [see Clinical Pharmacology (12.3)], which may reduce mycophenolate mofetil efficacy.

Prevention or

Management

Monitor patients for alterations in efficacy when PPIs are co-administered with mycophenolate mofetil.

Examples

Lansoprazole, pantoprazole

Drugs that Interfere with Enterohepatic Recirculation

Clinical Impact

Concomitant use with drugs that directly interfere with enterohepatic recirculation, or indirectly interfere with enterohepatic recirculation by altering the gastrointestinal flora, can decrease MPA systemic exposure [see Clinical Pharmacology (12.3)], which may reduce mycophenolate mofetil efficacy.

Prevention or

Management

Monitor patients for alterations in efficacy or mycophenolate mofetil related adverse reactions when these drugs are co-administered with mycophenolate mofetil.

Examples

Cyclosporine A, trimethoprim/sulfamethoxazole, bile acid sequestrants (cholestyramine), rifampin as well as aminoglycoside, cephalosporin, fluoroquinolone and penicillin classes of antimicrobials

Drugs Modulating Glucuronidation

Clinical Impact

Concomitant use with drugs inducing glucuronidation decreases MPA systemic exposure, potentially reducing mycophenolate mofetil efficacy, while use with drugs inhibiting glucuronidation increases MPA systemic exposure [see Clinical Pharmacology (12.3)], which may increase the risk of mycophenolate mofetil related adverse reactions.

Prevention or Management

Monitor patients for alterations in efficacy or mycophenolate mofetil related adverse reactions when these drugs are co-administered with mycophenolate mofetil.

Examples

Telmisartan (induces glucuronidation); isavuconazole (inhibits glucuronidation).

Calcium Free Phosphate Binders

Clinical Impact

Concomitant use with calcium free phosphate binders decrease MPA systemic exposure [see Clinical Pharmacology (12.3)], which may reduce mycophenolate mofetil efficacy.

Prevention or

Management

Administer calcium free phosphate binders at least 2 hours after mycophenolate mofetil.

Examples

Sevelamer



7.2 Effect of Mycophenolate Mofetil On Other Drugs (7.2 Effect of Mycophenolate Mofetil on Other Drugs)

Table 8 Drug Interactions with Mycophenolate Mofetil that Affect Other Drugs



Drugs that Undergo Renal Tubular Secretion

Clinical Impact

When concomitantly used with mycophenolate mofetil, its metabolite MPAG, may compete with drugs eliminated by renal tubular secretion which may increase plasma concentrations and/or adverse reactions associated with these drugs.

Prevention or

Management

Monitor for drug-related adverse reactions in patients with renal impairment.

Examples

Acyclovir, ganciclovir, probenecid, valacyclovir, valganciclovir

Combination Oral Contraceptives

Clinical Impact

Concomitant use with mycophenolate mofetil decreased the systemic exposure to levonorgestrel, but did not affect the systemic exposure to ethinylestradiol [see Clinical Pharmacology (12.3)], which may result in reduced combination oral contraceptive effectiveness.

Prevention or

Management

Use additional barrier contraceptive methods.



17.2 Development of Lymphoma and Other Malignancies


  • Inform patients that they are at increased risk of developing lymphomas and other malignancies, particularly of the skin, due to immunosuppression [see Warnings and Precautions (5.2)]
  • Advise patients to limit exposure to sunlight and ultraviolet (UV) light by wearing protective clothing and use of broad-spectrum sunscreen with high protection factor.
17.12 Potential to Impair Driving and Use of Machinery

Advise patients that mycophenolate mofetil capsules can affect the ability to drive or operate machines. Patients should avoid driving or operating machines if they experience somnolence, confusion, dizziness, tremor or hypotension during treatment with mycophenolate mofetil capsules [see Warnings and Precautions (5.15) ].



The brands listed are trademarks of their respective owners and are not trademarks of Aurobindo Pharma Limited.



Distributed by:

Aurobindo Pharma USA, Inc.

279 Princeton-Hightstown Road

East Windsor, NJ 08520



Manufactured by:

Aurobindo Pharma Limited

Hyderabad-500 032, India



Revised: 07/2025

2.3 Dosage Recommendations for Heart Transplant Patients

Adults



The recommended dosage of mycophenolate mofetil capsules for adult heart transplant patients is 1.5 g orally administered twice daily (total daily dose of 3 g).



Pediatrics (3 months and older)



The recommended starting dosage of CELLCEPT® Oral Suspension (mycophenolate mofetil) for oral suspension for pediatric heart transplant patients 3 months and older is 600 mg/m2, administered twice daily. If well tolerated, the dose can be increased to a maintenance dosage of 900 mg/m2 twice daily (maximum total daily dose of 3 g or 15 mL of the oral suspension). The dose may be individualized based on clinical assessment.

 

Pediatric patients with BSA ≥1.25 m2 may be started on therapy with capsules or tablets as follows:



Table 2 Pediatric Heart Transplant: Pediatric Starting Dosage Using Capsules or Tablets

Body Surface Area

Starting Dosage*

1.25 m2 to ˂1.5 m2

Mycophenolate mofetil  capsule 750 mg twice daily (1.5 g total daily dose)

≥ 1.5 m2

 

Mycophenolate mofetil  capsules or tablets 1 g twice daily (2 g total daily dose)

*Maximum maintenance dose: 3 g total daily.

2.4 Dosage Recommendations for Liver Transplant Patients

Adults



The recommended dosage of mycophenolate mofetil capsules for adult liver transplant patients is 1.5 g administered orally twice daily (total daily dose of 3 g).

Pediatrics (3 months and older)



The recommended starting dosage of CELLCEPT® Oral Suspension (mycophenolate mofetil) for oral suspension for pediatric liver transplant patients 3 months of age and older is 600 mg/m2, administered twice daily. If well tolerated, the dose can be increased to a maintenance dosage of 900 mg/m2 twice daily (maximum total daily dose of 3 g or 15 mL of the oral suspension). The dose may be individualized based on clinical assessment.

Pediatric patients with BSA ≥1.25 m2 may be started on therapy with capsules or tablets as follows:



Table 3 Pediatric Liver Transplant: Pediatric Starting Dosage Using Capsules or Tablets

Body Surface Area

Starting Dosage*

1.25 m2 to ˂1.5 m2

Mycophenolate mofetil  capsule 750 mg twice daily (1.5 g total daily dose)

≥ 1.5 m2

 

Mycophenolate mofetil  capsules or tablets 1 g twice daily (2 g total daily dose)

*Maximum maintenance dose: 3 g total daily.

13.1 Carcinogenesis, Mutagenesis, Impairment of Fertility

In a 104-week oral carcinogenicity study in mice, MMF in daily doses up to 180 mg/kg was not tumorigenic. The highest dose tested was 0.2 times the recommended clinical dose (2 g/day) in renal transplant patients and 0.15 times the recommended clinical dose (3 g/day) in cardiac transplant patients when corrected for differences in body surface area (BSA). In a 104-week oral carcinogenicity study in rats, MMF in daily doses up to 15 mg/kg was not tumorigenic. The highest dose was 0.035 times the recommended clinical dose in kidney transplant patients and 0.025 times the recommended clinical dose in heart transplant patients when corrected for BSA. While these animal doses were lower than those given to patients, they were maximal in those species and were considered adequate to evaluate the potential for human risk [see Warnings and Precautions (5.2)].



The genotoxic potential of MMF was determined in five assays. MMF was genotoxic in the mouse lymphoma/thymidine kinase assay and the in vivo mouse micronucleus assay. MMF was not genotoxic in the bacterial mutation assay, the yeast mitotic gene conversion assay or the Chinese hamster ovary cell chromosomal aberration assay.



MMF had no effect on fertility of male rats at oral doses up to 20 mg/kg/day. This dose represents 0.05 times the recommended clinical dose in renal transplant patients and 0.03 times the recommended clinical dose in cardiac transplant patients when corrected for BSA. In a female fertility and reproduction study conducted in rats, oral doses of 4.5 mg/kg/day caused malformations (principally of the head and eyes) in the first generation offspring in the absence of maternal toxicity. This dose was 0.01 times the recommended clinical dose in renal transplant patients and 0.005 times the recommended clinical dose in cardiac transplant patients when corrected for BSA. No effects on fertility or reproductive parameters were evident in the dams or in the subsequent generation.

2.2 dosage Recommendations for Kidney Transplant Patients (2.2 Dosage Recommendations for Kidney Transplant Patients)

Adults



The recommended dosage for adult kidney transplant patients is 1 g orally, twice daily (total daily dose of 2 g).



Pediatrics (3 months and older)  

  

Pediatric dosing is based on body surface area (BSA). The recommended dosage of CELLCEPT® Oral Suspension (mycophenolate mofetil) for oral suspension for pediatric kidney transplant patients 3 months and older is 600 mg/m2, administered twice daily (maximum total daily dose of 2 g or 10 mL of the oral suspension). Pediatric patients with BSA ≥ 1.25 m2 may be dosed with capsules or tablets as follows:



Table 1 Pediatric Kidney Transplant: Dosage Using Capsules or Tablets



Body Surface Area

Dosage

1.25 m2 to <1.5 m2

Mycophenolate mofetil  capsule 750 mg twice daily (1.5 g total daily dose)

≥ 1.5 m2

Mycophenolate mofetil  capsules or tablets 1 g twice daily (2 g total daily dose)



5.10 Local Reactions With Rapid Intravenous Administration (5.10 Local Reactions with Rapid Intravenous Administration)

CELLCEPT® Intravenous (mycophenolate mofetil) for injection must not be administered by rapid or bolus intravenous injection as rapid infusion increases the risk of local adverse reactions such as phlebitis and thrombosis [see Adverse Reactions (6.1)].

5.15 Potential Impairment of Ability to Drive Or Operate Machinery (5.15 Potential Impairment of Ability to Drive or Operate Machinery)

Mycophenolate mofetil may impact the ability to drive and use machines. Patients should avoid driving or using machines if they experience somnolence, confusion, dizziness, tremor, or hypotension during treatment with mycophenolate mofetil [see Adverse Reactions (6.1)].

5.4 Blood Dyscrasias: Neutropenia and Pure Red Cell Aplasia (prca) (5.4 Blood Dyscrasias: Neutropenia and Pure Red Cell Aplasia (PRCA))

Severe neutropenia [absolute neutrophil count (ANC) <0.5 x 103/µL] developed in transplant patients receiving mycophenolate mofetil 3 g daily [see Adverse Reactions (6.1)]. Patients receiving mycophenolate mofetil should be monitored for neutropenia. Neutropenia has been observed most frequently in the period from 31 to 180 days post-transplant in patients treated for prevention of kidney, heart and liver rejection. The development of neutropenia may be related to mycophenolate mofetil itself, concomitant medications, viral infections, or a combination of these causes. If neutropenia develops (ANC <1.3 x 103/µL), dosing with mycophenolate mofetil should be interrupted or the dose reduced, appropriate diagnostic tests performed, and the patient managed appropriately [see Dosage and Administration (2.5)].



Patients receiving mycophenolate mofetil should be instructed to report immediately any evidence of infection, unexpected bruising, bleeding or any other manifestation of bone marrow depression.



Consider monitoring with complete blood counts weekly for the first month, twice monthly for the second and third months, and monthly for the remainder of the first year.



Cases of pure red cell aplasia (PRCA) have been reported in patients treated with mycophenolate mofetil in combination with other immunosuppressive agents. In some cases, PRCA was found to be reversible with dose reduction or cessation of mycophenolate mofetil therapy. In transplant patients, however, reduced immunosuppression may place the graft at risk.

Warning: Embryofetal Toxicity, Malignancies and Serious Infections (WARNING: EMBRYOFETAL TOXICITY, MALIGNANCIES and SERIOUS INFECTIONS)


  • Use during pregnancy is associated with increased risks of first trimester pregnancy loss and congenital malformations. Avoid if safer treatment options are available. Females of reproductive potential must be counseled regarding pregnancy prevention and planning [see Warnings and Precautions (5.1), Use in Special Populations (8.1, 8.3)].
  • Increased risk of development of lymphoma and other malignancies, particularly of the skin [see Warnings and Precautions (5.2)].
  •   Increased susceptibility to bacterial, viral, fungal and protozoal infections, including opportunistic infections and viral reactivation of hepatitis B and C, which may lead to hospitalizations and fatal outcomes [see Warnings and Precautions (5.3)].
Package Label.principal Display Panel 250 Mg (100 Capsules Bottle) (PACKAGE LABEL.PRINCIPAL DISPLAY PANEL - 250 mg (100 Capsules Bottle))

NDC 59651-624-01

Mycophenolate Mofetil

Capsules, USP

250 mg

Attention Pharmacist: Dispense the Medication

Guide provided separately to each patient.



Rx only                100 Capsules

AUROBINDO

2.5 Dosage Modifications: patients With Renal Impairment, Neutropenia (2.5 Dosage Modifications: Patients with Renal Impairment, Neutropenia)

Renal Impairment



No dosage modifications are needed in kidney transplant patients with delayed graft function postoperatively [see Clinical Pharmacology (12.3)]. In kidney transplant patients with severe chronic impairment of the graft (GFR <25 mL/min/1.73 m2), do not administer doses of mycophenolate mofetil capsules greater than 1 g twice a day. These patients should be carefully monitored [see Clinical Pharmacology (12.3)].



Neutropenia



If neutropenia develops (ANC <1.3 x 103/µL), dosing with mycophenolate mofetil capsules should be interrupted or reduced, appropriate diagnostic tests performed, and the patient managed appropriately [see Warnings and Precautions (5.4) and Adverse Reactions (6.1)].

5.7 Acute Inflammatory Syndrome Associated With Mycophenolate Products (5.7 Acute Inflammatory Syndrome Associated with Mycophenolate Products)


Acute inflammatory syndrome (AIS) has been reported with the use of MMF and mycophenolate products, and some cases have resulted in hospitalization. AIS is a paradoxical pro-inflammatory reaction characterized by fever, arthralgias, arthritis, muscle pain and elevated inflammatory markers including, C-reactive protein and erythrocyte sedimentation rate, without evidence of infection or underlying disease recurrence. Symptoms occur within weeks to months of initiation of treatment or a dose increase. After discontinuation, improvement of symptoms and inflammatory markers are usually observed within 24 to 48 hours.

Monitor patients for symptoms and laboratory parameters of AIS when starting treatment with mycophenolate products or when increasing the dosage. Discontinue treatment and consider other treatment alternatives based on the risk and benefit for the patient.

5.14 Effect of Concomitant Medications On Mycophenolic Acid Concentrations (5.14 Effect of Concomitant Medications on Mycophenolic Acid Concentrations)

A variety of drugs have potential to alter systemic MPA exposure when co-administered with mycophenolate mofetil. Therefore, determination of MPA concentrations in plasma before and after making any changes to immunosuppressive therapy, or when adding or discontinuing concomitant medications, may be appropriate to ensure MPA concentrations remain stable.

5.6 Patients With Hypoxanthine Guanine Phosphoribosyl Transferase Deficiency (hgprt) (5.6 Patients with Hypoxanthine-Guanine Phosphoribosyl-Transferase Deficiency (HGPRT))

Mycophenolate mofetil is an inosine monophosphate dehydrogenase (IMPDH) inhibitor; therefore it should be avoided in patients with hereditary deficiencies of hypoxanthine-guanine phosphoribosyl-transferase (HGPRT) such as Lesch-Nyhan and Kelley-Seegmiller syndromes because it may cause an exacerbation of disease symptoms characterized by the overproduction and accumulation of uric acid leading to symptoms associated with gout such as acute arthritis, tophi, nephrolithiasis or urolithiasis and renal disease including renal failure.


Advanced Ingredient Data


Raw Label Data

All Sections (JSON)