Orphenadrine Citrate Extended-release Tablets

Orphenadrine Citrate Extended-release Tablets
SPL v5
SPL
SPL Set ID 3eb1b1cc-ed7a-6f0f-e054-00144ff88e88
Route
ORAL
Published
Effective Date 2018-12-17
Document Type 34391-3 HUMAN PRESCRIPTION DRUG LABEL

Drug Facts

Composition & Product

Active Ingredients
Orphenadrine (100 mg)
Inactive Ingredients
Hypromelloses Magnesium Stearate Lactose Monohydrate

Identifiers & Packaging

Pill Appearance
Imprint: NL4 Shape: round Color: white Size: 10 mm Score: 1
Marketing Status
ANDA Active Since 1998-06-19

Description

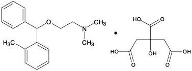
Orphenadrine citrate is the citrate salt of orphenadrine. It occurs as a white, crystalline powder having a bitter taste. It is practically odorless; sparingly soluble in water, slightly soluble in alcohol. The chemical name of orphenadrine citrate is (±)-N,N-Dimethyl-2-[(o-methyl-〈-phenylbenzyl)oxy]ethylamine citrate (1:1) having molecular formula C 18 H 23 NO•C 6 H 8 O 7 and molecular weight of 461.51. It has the following structural formula: Each tablet for oral administration contains 100 mg orphenadrine citrate. Each Orphenadrine citrate extended release tablet contains the following inactive ingredients: hydroxypropyl methylcellulose, lactose monohydrate and magnesium stearate.

Indications and Usage

Orphenadrine citrate extended-release tablets are indicated as an adjunct to rest, physical therapy, and other measures for the relief of discomfort associated with acute painful musculoskeletal conditions.

Dosage and Administration

Adults Two tablets per day; one in the morning and one in the evening.

Contraindications

Orphenadrine citrate extended-release tablets are contraindicated in patients with glaucoma, pyloric or duodenal obstruction, stenosing peptic ulcers, prostatic hypertrophy or obstruction of the bladder neck, cardio-spasm (mega-esophagus) and myasthenia gravis. Orphenadrine citrate tablets are contraindicated in patients who have demonstrated a previous hypersensitivity to the drug.

Adverse Reactions

Adverse reactions of orphenadrine are mainly due to the mild anticholinergic action of orphenadrine, and are usually associated with higher dosage. Dryness of the mouth is usually the first adverse effect to appear. When the daily dose is increased, possible adverse effects include: tachycardia, palpitation, urinary hesitancy or retention, blurred vision, dilatation of pupils, increased ocular tension, weakness, nausea, vomiting, headache, dizziness, constipation, drowsiness, hypersensitivity reactions, pruritus, hallucinations, agitation, tremor, gastric irritation, and rarely urticaria and other dermatoses. Infrequently, an elderly patient may experience some degree of mental confusion. These adverse reactions can usually be eliminated by reduction in dosage. Very rare cases of aplastic anemia associated with the use of orphenadrine tablets have been reported. No causal relationship has been established.

Storage and Handling

Store at 20°-25°C (68°-77°F) [see USP Controlled Room Temperature]. Dispense in a tight, light-resistant container. Manufactured by Novel Laboratories, Inc. Somerset, NJ 08873 for GAVIS Pharmaceuticals, LLC 400 Campus Drive Somerset, NJ 08873 GIN-480-01 Rev: 02/2011

How Supplied

Orphenadrine citrate extended-release tablets 100 mg are round, white to off-white tablets, debossed NL4 on one side and plain on the other side and are supplied as: NDC 66267-158-20 in bottles of 20 tablets NDC 66267-158-30 in bottles of 30 tablets


Medication Information

Indications and Usage

Orphenadrine citrate extended-release tablets are indicated as an adjunct to rest, physical therapy, and other measures for the relief of discomfort associated with acute painful musculoskeletal conditions.

Dosage and Administration

Adults

Two tablets per day; one in the morning and one in the evening.

Contraindications

Orphenadrine citrate extended-release tablets are contraindicated in patients with glaucoma, pyloric or duodenal obstruction, stenosing peptic ulcers, prostatic hypertrophy or obstruction of the bladder neck, cardio-spasm (mega-esophagus) and myasthenia gravis.

Orphenadrine citrate tablets are contraindicated in patients who have demonstrated a previous hypersensitivity to the drug.

Adverse Reactions

Adverse reactions of orphenadrine are mainly due to the mild anticholinergic action of orphenadrine, and are usually associated with higher dosage. Dryness of the mouth is usually the first adverse effect to appear. When the daily dose is increased, possible adverse effects include: tachycardia, palpitation, urinary hesitancy or retention, blurred vision, dilatation of pupils, increased ocular tension, weakness, nausea, vomiting, headache, dizziness, constipation, drowsiness, hypersensitivity reactions, pruritus, hallucinations, agitation, tremor, gastric irritation, and rarely urticaria and other dermatoses. Infrequently, an elderly patient may experience some degree of mental confusion.

These adverse reactions can usually be eliminated by reduction in dosage. Very rare cases of aplastic anemia associated with the use of orphenadrine tablets have been reported. No causal relationship has been established.

Storage and Handling

Store at 20°-25°C (68°-77°F) [see USP Controlled Room Temperature]. Dispense in a tight, light-resistant container.

Manufactured by

Novel Laboratories, Inc.

Somerset, NJ 08873

for GAVIS Pharmaceuticals, LLC

400 Campus Drive

Somerset, NJ 08873

GIN-480-01

Rev: 02/2011

How Supplied

Orphenadrine citrate extended-release tablets 100 mg are round, white to off-white tablets, debossed NL4 on one side and plain on the other side and are supplied as:

NDC 66267-158-20 in bottles of 20 tablets

NDC 66267-158-30 in bottles of 30 tablets

Description

Orphenadrine citrate is the citrate salt of orphenadrine. It occurs as a white, crystalline powder having a bitter taste. It is practically odorless; sparingly soluble in water, slightly soluble in alcohol. The chemical name of orphenadrine citrate is (±)-N,N-Dimethyl-2-[(o-methyl-〈-phenylbenzyl)oxy]ethylamine citrate (1:1) having molecular formula C 18H 23NO•C 6H 8O 7 and molecular weight of 461.51. It has the following structural formula:

Each tablet for oral administration contains 100 mg orphenadrine citrate. Each Orphenadrine citrate extended release tablet contains the following inactive ingredients: hydroxypropyl methylcellulose, lactose monohydrate and magnesium stearate.

Warnings

Some patients may experience transient episodes of light-headedness, dizziness or syncope. Orphenadrine may impair the ability of the patient to engage in potentially hazardous activities such as operating machinery or driving a motor vehicle; ambulatory patients should therefore be cautioned accordingly.

Pregnancy

Pregnancy Category C

Animal reproduction studies have not been conducted with orphenadrine. It is also not known whether orphenadrine can cause fetal harm when administered to a pregnant woman or can affect reproduction capacity. Orphenadrine should be given to a pregnant woman only if clearly needed.

Pediatric Use

Safety and effectiveness in pediatric patients have not been established.

Overdosage

Orphenadrine is toxic when overdosed and typically induces anticholinergic effects. In a review of orphenadrine toxicity, the minimum lethal dose was found to be 2 to 3 grams for adults; however, the range of toxicity is variable and unpredictable. Treatment for orphenadrine overdose is evacuation of stomach contents (when necessary), charcoal at repeated doses, intensive monitoring, and appropriate supportive treatment of any emergent anticholinergic effects.

Precautions

Confusion, anxiety and tremors have been reported in few patients receiving propoxyphene and orphenadrine concomitantly. As these symptoms may be simply due to an additive effect, reduction of dosage and/or discontinuation of one or both agents is recommended in such cases.

Orphenadrine citrate should be used with caution in patients with tachycardia, cardiac decompensation, coronary insufficiency, cardiac arrhythmias.

Safety of continuous long-term therapy with orphenadrine has not been established. Therefore, if orphenadrine is prescribed for prolonged use, periodic monitoring of blood, urine and liver function values is recommended.

Clinical Pharmacology

The mode of therapeutic action has not been clearly identified, but may be related to its analgesic properties. Orphenadrine citrate does not directly relax tense muscles in man. Orphenadrine citrate also possesses anti-cholinergic actions.

Drug Abuse and Dependence

Orphenadrine has been chronically abused for its euphoric effects. The mood elevating effects may occur at therapeutic doses of orphenadrine.

Package Label.principal Display Panel


Structured Label Content

Warnings (WARNINGS)

Some patients may experience transient episodes of light-headedness, dizziness or syncope. Orphenadrine may impair the ability of the patient to engage in potentially hazardous activities such as operating machinery or driving a motor vehicle; ambulatory patients should therefore be cautioned accordingly.

Pregnancy

Pregnancy Category C

Animal reproduction studies have not been conducted with orphenadrine. It is also not known whether orphenadrine can cause fetal harm when administered to a pregnant woman or can affect reproduction capacity. Orphenadrine should be given to a pregnant woman only if clearly needed.

Pediatric Use

Safety and effectiveness in pediatric patients have not been established.

Overdosage (OVERDOSAGE)

Orphenadrine is toxic when overdosed and typically induces anticholinergic effects. In a review of orphenadrine toxicity, the minimum lethal dose was found to be 2 to 3 grams for adults; however, the range of toxicity is variable and unpredictable. Treatment for orphenadrine overdose is evacuation of stomach contents (when necessary), charcoal at repeated doses, intensive monitoring, and appropriate supportive treatment of any emergent anticholinergic effects.

Description (DESCRIPTION)

Orphenadrine citrate is the citrate salt of orphenadrine. It occurs as a white, crystalline powder having a bitter taste. It is practically odorless; sparingly soluble in water, slightly soluble in alcohol. The chemical name of orphenadrine citrate is (±)-N,N-Dimethyl-2-[(o-methyl-〈-phenylbenzyl)oxy]ethylamine citrate (1:1) having molecular formula C 18H 23NO•C 6H 8O 7 and molecular weight of 461.51. It has the following structural formula:

Each tablet for oral administration contains 100 mg orphenadrine citrate. Each Orphenadrine citrate extended release tablet contains the following inactive ingredients: hydroxypropyl methylcellulose, lactose monohydrate and magnesium stearate.

Precautions (PRECAUTIONS)

Confusion, anxiety and tremors have been reported in few patients receiving propoxyphene and orphenadrine concomitantly. As these symptoms may be simply due to an additive effect, reduction of dosage and/or discontinuation of one or both agents is recommended in such cases.

Orphenadrine citrate should be used with caution in patients with tachycardia, cardiac decompensation, coronary insufficiency, cardiac arrhythmias.

Safety of continuous long-term therapy with orphenadrine has not been established. Therefore, if orphenadrine is prescribed for prolonged use, periodic monitoring of blood, urine and liver function values is recommended.

How Supplied (HOW SUPPLIED)

Orphenadrine citrate extended-release tablets 100 mg are round, white to off-white tablets, debossed NL4 on one side and plain on the other side and are supplied as:

NDC 66267-158-20 in bottles of 20 tablets

NDC 66267-158-30 in bottles of 30 tablets

Adverse Reactions (ADVERSE REACTIONS)

Adverse reactions of orphenadrine are mainly due to the mild anticholinergic action of orphenadrine, and are usually associated with higher dosage. Dryness of the mouth is usually the first adverse effect to appear. When the daily dose is increased, possible adverse effects include: tachycardia, palpitation, urinary hesitancy or retention, blurred vision, dilatation of pupils, increased ocular tension, weakness, nausea, vomiting, headache, dizziness, constipation, drowsiness, hypersensitivity reactions, pruritus, hallucinations, agitation, tremor, gastric irritation, and rarely urticaria and other dermatoses. Infrequently, an elderly patient may experience some degree of mental confusion.

These adverse reactions can usually be eliminated by reduction in dosage. Very rare cases of aplastic anemia associated with the use of orphenadrine tablets have been reported. No causal relationship has been established.

Contraindications (CONTRAINDICATIONS)

Orphenadrine citrate extended-release tablets are contraindicated in patients with glaucoma, pyloric or duodenal obstruction, stenosing peptic ulcers, prostatic hypertrophy or obstruction of the bladder neck, cardio-spasm (mega-esophagus) and myasthenia gravis.

Orphenadrine citrate tablets are contraindicated in patients who have demonstrated a previous hypersensitivity to the drug.

Storage and Handling

Store at 20°-25°C (68°-77°F) [see USP Controlled Room Temperature]. Dispense in a tight, light-resistant container.

Manufactured by

Novel Laboratories, Inc.

Somerset, NJ 08873

for GAVIS Pharmaceuticals, LLC

400 Campus Drive

Somerset, NJ 08873

GIN-480-01

Rev: 02/2011

Clinical Pharmacology (CLINICAL PHARMACOLOGY)

The mode of therapeutic action has not been clearly identified, but may be related to its analgesic properties. Orphenadrine citrate does not directly relax tense muscles in man. Orphenadrine citrate also possesses anti-cholinergic actions.

Indications and Usage (INDICATIONS AND USAGE)

Orphenadrine citrate extended-release tablets are indicated as an adjunct to rest, physical therapy, and other measures for the relief of discomfort associated with acute painful musculoskeletal conditions.

Dosage and Administration (DOSAGE AND ADMINISTRATION)

Adults

Two tablets per day; one in the morning and one in the evening.

Drug Abuse and Dependence (DRUG ABUSE AND DEPENDENCE)

Orphenadrine has been chronically abused for its euphoric effects. The mood elevating effects may occur at therapeutic doses of orphenadrine.

Package Label.principal Display Panel (PACKAGE LABEL.PRINCIPAL DISPLAY PANEL)


Advanced Ingredient Data


Raw Label Data

All Sections (JSON)