Lactulose For Oral Solution

Lactulose For Oral Solution
SPL v1
SPL
SPL Set ID 3eaf273a-b49d-2595-e063-6394a90a1cf6
Route
ORAL
Published
Effective Date 2025-09-13
Document Type 34391-3 HUMAN PRESCRIPTION DRUG LABEL

Drug Facts

Composition & Product

Active Ingredients
Lactulose (10 g)

Identifiers & Packaging

Marketing Status
ANDA Active Since 2025-09-13

Description

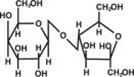
Lactulose for Oral Solution is a synthetic disaccharide in the form of crystals for reconstitution prior to use for oral administration. Each 10 g of lactulose contains less than 0.3 g galactose and lactose as a total sum. The pH range is 3.0 to 7.0. Lactulose is a colonic acidifier which promotes laxation. The chemical name for lactulose is 4-O-β-D-Galactopyranosyl-D-fructofuranose. It has the following structural formula: The molecular formula is C 12 H 22 O 11 . The molecular weight is 342.30. It is freely soluble in water.

Indications and Usage

Lactulose for Oral Solution is indicated for the treatment of constipation. In patients with a history of chronic constipation, lactulose therapy increases the number of bowel movements per day and the number of days on which bowel movements occur.

Dosage and Administration

The usual adult dosage is 10 g to 20 g of lactulose daily. The dose may be increased to 40 g daily if necessary. Twenty-four to 48 hours may be required to produce a normal bowel movement.

Contraindications

Since Lactulose for Oral Solution contains galactose (less than 0.3 g/10 g as a total sum with lactose), it is contraindicated in patients who require a low galactose diet.

Adverse Reactions

Precise frequency data are not available. Initial dosing may produce flatulence and intestinal cramps, which are usually transient. Excessive dosage can lead to diarrhea with potential complications such as loss of fluids, hypokalemia, and hypernatremia. Nausea and vomiting have been reported.

Drug Interactions

Results of preliminary studies in humans and rats suggest that nonabsorbable antacids given concurrently with lactulose may inhibit the desired lactulose-induced drop in colonic pH. Therefore, a possible lack of desired effect of treatment should be taken into consideration before such drugs are given concomitantly with lactulose.

How Supplied

Lactulose for Oral Solution is available in single dose packets of 10 g (NDC 73352-900-01) and single dose packets of 20 g (NDC 73352-905-01). The packets are supplied as follows: - NDC 73352-900-15 (Carton of fifteen 10 g packets) - NDC 73352-905-15 (Carton of fifteen 20 g packets) - STORE AT ROOM TEMPERATURE, 15°-30°C (59°-86°F). To report SUSPECTED ADVERSE REACTIONS, contact Trifluent Pharma at 1-888-927-5191 or FDA at 1-800-FDA-1088 or www.fda.gov/medwatch. - Distributed by: Trifluent Pharma, LLC San Antonio Tx, 78213 IN791631 Rev. 01 04/2025


Medication Information

Indications and Usage

Lactulose for Oral Solution is indicated for the treatment of constipation. In patients with a history of chronic constipation, lactulose therapy increases the number of bowel movements per day and the number of days on which bowel movements occur.

Dosage and Administration

The usual adult dosage is 10 g to 20 g of lactulose daily. The dose may be increased to 40 g daily if necessary. Twenty-four to 48 hours may be required to produce a normal bowel movement.

Contraindications

Since Lactulose for Oral Solution contains galactose (less than 0.3 g/10 g as a total sum with lactose), it is contraindicated in patients who require a low galactose diet.

Adverse Reactions

Precise frequency data are not available.

Initial dosing may produce flatulence and intestinal cramps, which are usually transient. Excessive dosage can lead to diarrhea with potential complications such as loss of fluids, hypokalemia, and hypernatremia.

Nausea and vomiting have been reported.

Drug Interactions

Results of preliminary studies in humans and rats suggest that nonabsorbable antacids given concurrently with lactulose may inhibit the desired lactulose-induced drop in colonic pH. Therefore, a possible lack of desired effect of treatment should be taken into consideration before such drugs are given concomitantly with lactulose.

How Supplied

Lactulose for Oral Solution is available in single dose packets of 10 g (NDC 73352-900-01) and single dose packets of 20 g (NDC 73352-905-01). The packets are supplied as follows:

-

NDC 73352-900-15

(Carton of fifteen 10 g packets)

-

NDC 73352-905-15

(Carton of fifteen 20 g packets)

-

STORE AT ROOM TEMPERATURE, 15°-30°C (59°-86°F).

To report SUSPECTED ADVERSE REACTIONS, contact Trifluent Pharma at 1-888-927-5191 or FDA at 1-800-FDA-1088 or www.fda.gov/medwatch.

-

Distributed by:

Trifluent Pharma, LLC

San Antonio Tx, 78213

IN791631

Rev. 01 04/2025

Description

Lactulose for Oral Solution is a synthetic disaccharide in the form of crystals for reconstitution prior to use for oral administration. Each 10 g of lactulose contains less than 0.3 g galactose and lactose as a total sum. The pH range is 3.0 to 7.0.

Lactulose is a colonic acidifier which promotes laxation.

The chemical name for lactulose is 4-O-β-D-Galactopyranosyl-D-fructofuranose. It has the following structural formula:

The molecular formula is C 12H 22O 11. The molecular weight is 342.30. It is freely soluble in water.

General

Since Lactulose for Oral Solution contains galactose and lactose (less than 0.3 g/10 g as a total sum), it should be used with caution in diabetics.

Dialysis

Dialysis data are not available for lactulose. Its molecular similarity to sucrose, however, would suggest that it should be dialyzable.

Warnings

A theoretical hazard may exist for patients being treated with lactulose who may be required to undergo electrocautery procedures during proctoscopy or colonoscopy. Accumulation of H 2 gas in significant concentration in the presence of an electrical spark may result in an explosive reaction. Although this complication has not been reported with lactulose, patients on lactulose therapy undergoing such procedures should have a thorough bowel cleansing with a non-fermentable solution. Insufflation of CO 2 as an additional safeguard may be pursued but is considered to be a redundant measure.

Pregnancy

Teratogenic Effects

Reproduction studies have been performed in mice, rats, and rabbits at doses up to 3 or 6 times the usual human oral dose and have revealed no evidence of impaired fertility or harm to the fetus due to lactulose. There are, however, no adequate and well-controlled studies in pregnant women. Because animal reproduction studies are not always predictive of human response, this drug should be used during pregnancy only if clearly needed.

Overdosage

-

Oral Ld 50

The acute oral LD 50of the drug is 48.8 mL/kg in mice and greater than 30 mL/kg in rats.

Precautions

-

Pediatric Use

Safety and effectiveness in pediatric patients have not been established.

Nursing Mothers

It is not known whether this drug is excreted in human milk. Because many drugs are excreted in human milk, caution should be exercised when lactulose is administered to a nursing woman.

Laboratory Tests

Elderly, debilitated patients who receive lactulose for more than six months should have serum electrolytes (potassium, chloride, carbon dioxide) measured periodically.

Signs and Symptoms

There have been no reports of accidental overdosage. In the event of overdosage, it is expected that diarrhea and abdominal cramps would be the major symptoms. Medication should be terminated.

Clinical Pharmacology

Lactulose is poorly absorbed from the gastrointestinal tract and no enzyme capable of hydrolysis of this disaccharide is present in human gastrointestinal tissue. As a result, oral doses of lactulose reach the colon virtually unchanged. In the colon, lactulose is broken down primarily to lactic acid, and also to small amounts of formic and acetic acids, by the action of colonic bacteria, which results in an increase in osmotic pressure and slight acidification of the colonic contents. This in turn causes an increase in stool water content and softens the stool.

Since lactulose does not exert its effect until it reaches the colon, and since transit time through the colon may be slow, 24 to 48 hours may be required to produce desired bowel movement.

Lactulose given orally to man and experimental animals resulted in only small amounts reaching the blood. Urinary excretion has been determined to be 3% or less and is essentially complete within 24 hours.

Information for Patients

In the event that an unusual diarrheal condition occurs, contact your physician.

Directions for Preparation

Dissolve contents of packet in half a glass (4 ounces) of water.

When Lactulose for Oral Solution is dissolved in water, the resulting solution may be colorless to a slightly pale yellow color.

Lactulose for Oral Solution Carton

Lactulose for ORal Solution

NDC 73352-900-15

Rx Only

Principal Display Panel 10 G Carton

NDC 73352-900-15

Lactulose for Oral Solution

10 Grams

15 Single Dose Packets

Rx only

Principal Display Panel 10 G Packet

NDC 73352-900-01

Lactulose for Oral Solution

10 Grams

Single Dose Packet

Rx only

CONTENTS:Each packet contains 10 grams of lactulose (and less than 0.3 g galactose and lactose as a total sum).

This unit dose packet is not child resistant.

INDICATIONS:For the treatment of constipation. See accompanying package insert.

USUAL ADULT DOSAGE:10 to 20 grams daily. See accompanying package insert.

Since lactulose does not exert its effect until it reaches the colon, and since transit time through the colon may be slow, 24-48 hours may be required to produce a normal bowl movement.

DIRECTIONS FOR PREPARATION:Dissolve contents of packet in half a glass (4 ounces) of water.

Store at room temperature, 15°-30°C (59°-86°F).

Distributed by:

Trifluent Pharma, LLC

San Antonio TX 78213

Principal Display Panel 20 G Packet

NDC 73352-905-01

Lactulose for Oral Solution

20 Grams

Single Dose Packet

Rx only

CONTENTS:Each packet contains 20 grams of lactulose (and less than 0.6 g galactose and lactose as a total sum).

This unit dose packet is not child resistant.

INDICATIONS:For the treatment of constipation. See accompanying package insert.

USUAL ADULT DOSAGE:10 to 20 grams daily. See accompanying package insert.

Since lactulose does not exert its effect until it reaches the colon, and since transit time through the colon may be slow, 24-48 hours may be required to produce a normal bowl movement.

DIRECTIONS FOR PREPARATION:Dissolve contents of packet in half a glass (4 ounces) of water.

Store at room temperature, 15°-30°C (59°-86°F).

Distributed by:

Trifluent Pharma, LLC

San Antonio, TX 78213

Carcinogenesis, Mutagenesis, Impairment of Fertility

There are no known human data on long-term potential for carcinogenicity, mutagenicity, or impairment of fertility.

There are no known animal data on long-term potential for mutagenicity.

Administration of lactulose syrup in the diet of mice for 18 months in concentrations of 3 and 10 percent (v/w) did not produce any evidence of carcinogenicity.

In studies in mice, rats, and rabbits, doses of lactulose syrup up to 6 or 12 mL/kg/day produced no deleterious effects in breeding, conception, or parturition.


Structured Label Content

General

Since Lactulose for Oral Solution contains galactose and lactose (less than 0.3 g/10 g as a total sum), it should be used with caution in diabetics.

Dialysis

Dialysis data are not available for lactulose. Its molecular similarity to sucrose, however, would suggest that it should be dialyzable.

Warnings (WARNINGS)

A theoretical hazard may exist for patients being treated with lactulose who may be required to undergo electrocautery procedures during proctoscopy or colonoscopy. Accumulation of H 2 gas in significant concentration in the presence of an electrical spark may result in an explosive reaction. Although this complication has not been reported with lactulose, patients on lactulose therapy undergoing such procedures should have a thorough bowel cleansing with a non-fermentable solution. Insufflation of CO 2 as an additional safeguard may be pursued but is considered to be a redundant measure.

Pregnancy

Teratogenic Effects

Reproduction studies have been performed in mice, rats, and rabbits at doses up to 3 or 6 times the usual human oral dose and have revealed no evidence of impaired fertility or harm to the fetus due to lactulose. There are, however, no adequate and well-controlled studies in pregnant women. Because animal reproduction studies are not always predictive of human response, this drug should be used during pregnancy only if clearly needed.

Overdosage (OVERDOSAGE)

-

Oral Ld 50 (Oral LD 50)

The acute oral LD 50of the drug is 48.8 mL/kg in mice and greater than 30 mL/kg in rats.

Description (DESCRIPTION)

Lactulose for Oral Solution is a synthetic disaccharide in the form of crystals for reconstitution prior to use for oral administration. Each 10 g of lactulose contains less than 0.3 g galactose and lactose as a total sum. The pH range is 3.0 to 7.0.

Lactulose is a colonic acidifier which promotes laxation.

The chemical name for lactulose is 4-O-β-D-Galactopyranosyl-D-fructofuranose. It has the following structural formula:

The molecular formula is C 12H 22O 11. The molecular weight is 342.30. It is freely soluble in water.

Precautions (PRECAUTIONS)

-

How Supplied (HOW SUPPLIED)

Lactulose for Oral Solution is available in single dose packets of 10 g (NDC 73352-900-01) and single dose packets of 20 g (NDC 73352-905-01). The packets are supplied as follows:

-

NDC 73352-900-15

(Carton of fifteen 10 g packets)

-

NDC 73352-905-15

(Carton of fifteen 20 g packets)

-

STORE AT ROOM TEMPERATURE, 15°-30°C (59°-86°F).

To report SUSPECTED ADVERSE REACTIONS, contact Trifluent Pharma at 1-888-927-5191 or FDA at 1-800-FDA-1088 or www.fda.gov/medwatch.

-

Distributed by:

Trifluent Pharma, LLC

San Antonio Tx, 78213

IN791631

Rev. 01 04/2025

Pediatric Use

Safety and effectiveness in pediatric patients have not been established.

Nursing Mothers

It is not known whether this drug is excreted in human milk. Because many drugs are excreted in human milk, caution should be exercised when lactulose is administered to a nursing woman.

Laboratory Tests

Elderly, debilitated patients who receive lactulose for more than six months should have serum electrolytes (potassium, chloride, carbon dioxide) measured periodically.

Adverse Reactions (ADVERSE REACTIONS)

Precise frequency data are not available.

Initial dosing may produce flatulence and intestinal cramps, which are usually transient. Excessive dosage can lead to diarrhea with potential complications such as loss of fluids, hypokalemia, and hypernatremia.

Nausea and vomiting have been reported.

Contraindications (CONTRAINDICATIONS)

Since Lactulose for Oral Solution contains galactose (less than 0.3 g/10 g as a total sum with lactose), it is contraindicated in patients who require a low galactose diet.

Drug Interactions

Results of preliminary studies in humans and rats suggest that nonabsorbable antacids given concurrently with lactulose may inhibit the desired lactulose-induced drop in colonic pH. Therefore, a possible lack of desired effect of treatment should be taken into consideration before such drugs are given concomitantly with lactulose.

Signs and Symptoms

There have been no reports of accidental overdosage. In the event of overdosage, it is expected that diarrhea and abdominal cramps would be the major symptoms. Medication should be terminated.

Clinical Pharmacology (CLINICAL PHARMACOLOGY)

Lactulose is poorly absorbed from the gastrointestinal tract and no enzyme capable of hydrolysis of this disaccharide is present in human gastrointestinal tissue. As a result, oral doses of lactulose reach the colon virtually unchanged. In the colon, lactulose is broken down primarily to lactic acid, and also to small amounts of formic and acetic acids, by the action of colonic bacteria, which results in an increase in osmotic pressure and slight acidification of the colonic contents. This in turn causes an increase in stool water content and softens the stool.

Since lactulose does not exert its effect until it reaches the colon, and since transit time through the colon may be slow, 24 to 48 hours may be required to produce desired bowel movement.

Lactulose given orally to man and experimental animals resulted in only small amounts reaching the blood. Urinary excretion has been determined to be 3% or less and is essentially complete within 24 hours.

Indications and Usage (INDICATIONS AND USAGE)

Lactulose for Oral Solution is indicated for the treatment of constipation. In patients with a history of chronic constipation, lactulose therapy increases the number of bowel movements per day and the number of days on which bowel movements occur.

Information for Patients

In the event that an unusual diarrheal condition occurs, contact your physician.

Dosage and Administration (DOSAGE AND ADMINISTRATION)

The usual adult dosage is 10 g to 20 g of lactulose daily. The dose may be increased to 40 g daily if necessary. Twenty-four to 48 hours may be required to produce a normal bowel movement.

Directions for Preparation (DIRECTIONS FOR PREPARATION)

Dissolve contents of packet in half a glass (4 ounces) of water.

When Lactulose for Oral Solution is dissolved in water, the resulting solution may be colorless to a slightly pale yellow color.

Lactulose for Oral Solution Carton

Lactulose for ORal Solution

NDC 73352-900-15

Rx Only

Principal Display Panel 10 G Carton (PRINCIPAL DISPLAY PANEL - 10 g CARTON)

NDC 73352-900-15

Lactulose for Oral Solution

10 Grams

15 Single Dose Packets

Rx only

Principal Display Panel 10 G Packet (PRINCIPAL DISPLAY PANEL - 10 g PACKET)

NDC 73352-900-01

Lactulose for Oral Solution

10 Grams

Single Dose Packet

Rx only

CONTENTS:Each packet contains 10 grams of lactulose (and less than 0.3 g galactose and lactose as a total sum).

This unit dose packet is not child resistant.

INDICATIONS:For the treatment of constipation. See accompanying package insert.

USUAL ADULT DOSAGE:10 to 20 grams daily. See accompanying package insert.

Since lactulose does not exert its effect until it reaches the colon, and since transit time through the colon may be slow, 24-48 hours may be required to produce a normal bowl movement.

DIRECTIONS FOR PREPARATION:Dissolve contents of packet in half a glass (4 ounces) of water.

Store at room temperature, 15°-30°C (59°-86°F).

Distributed by:

Trifluent Pharma, LLC

San Antonio TX 78213

Principal Display Panel 20 G Packet (PRINCIPAL DISPLAY PANEL - 20 g PACKET)

NDC 73352-905-01

Lactulose for Oral Solution

20 Grams

Single Dose Packet

Rx only

CONTENTS:Each packet contains 20 grams of lactulose (and less than 0.6 g galactose and lactose as a total sum).

This unit dose packet is not child resistant.

INDICATIONS:For the treatment of constipation. See accompanying package insert.

USUAL ADULT DOSAGE:10 to 20 grams daily. See accompanying package insert.

Since lactulose does not exert its effect until it reaches the colon, and since transit time through the colon may be slow, 24-48 hours may be required to produce a normal bowl movement.

DIRECTIONS FOR PREPARATION:Dissolve contents of packet in half a glass (4 ounces) of water.

Store at room temperature, 15°-30°C (59°-86°F).

Distributed by:

Trifluent Pharma, LLC

San Antonio, TX 78213

Carcinogenesis, Mutagenesis, Impairment of Fertility

There are no known human data on long-term potential for carcinogenicity, mutagenicity, or impairment of fertility.

There are no known animal data on long-term potential for mutagenicity.

Administration of lactulose syrup in the diet of mice for 18 months in concentrations of 3 and 10 percent (v/w) did not produce any evidence of carcinogenicity.

In studies in mice, rats, and rabbits, doses of lactulose syrup up to 6 or 12 mL/kg/day produced no deleterious effects in breeding, conception, or parturition.


Advanced Ingredient Data


Raw Label Data

All Sections (JSON)