Doxycycline capsules, Usp

Doxycycline capsules, Usp
SPL v4
SPL
SPL Set ID 3dfa486c-4665-4882-93ac-9259708f899c
Route
ORAL
Published
Effective Date 2023-01-27
Document Type 34391-3 Human Prescription Drug Label

Drug Facts

Composition & Product

Active Ingredients
Doxycycline Anhydrous (75 mg)
Inactive Ingredients
Microcrystalline Cellulose Sodium Starch Glycolate Type A Potato Povidone Silicon Dioxide Magnesium Stearate Ferrosoferric Oxide Ferric Oxide Red Ferric Oxide Yellow Titanium Dioxide Gelatin Sodium Lauryl Sulfate Shellac Propylene Glycol Potassium Hydroxide Brown Iron Oxide

Identifiers & Packaging

Pill Appearance
Imprint: A;242 Shape: capsule Color: brown Size: 18 mm Size: 20 mm Score: 1
Marketing Status
ANDA Active Since 2017-07-31

Description

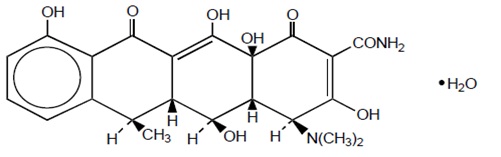
Doxycycline, USP  is  a  broad - spectrum  antibacterial  synthetically  derived  from  oxytetracycline.  Doxycycline  monohydrate  capsules  USP,  100  mg  and  75  mg  contain   doxycycline  monohydrate  equivalent  to  100  mg  and  75  mg  of  doxycycline  for  oral  administration.  The  chemical  designation  of  the  light  yellow  to  pale  yellow  powder  is  alpha- 6- deoxy- 5- oxytetracycline. Structural   formula: C 22 H 24 N 2 O 8  • H 2 O          M.W. = 462.45 Doxycycline  has  a  high  degree  of  lipid  solubility  and  a  low  affinity  for  calcium  binding.  It  is  highly  stable  in  normal  human  serum.  Doxycycline  will  not  degrade   into  an  epianhydro  form.   Inert  ingredients:  microcrystalline  cellulose; sodium  starch  glycolate;  povidone;  colloidal  silicon  dioxide;  magnesium  stearate;  and  a  hard  gelatin  capsule  which  contains  iron  oxide  black,  iron  oxide  red,  iron  oxide  yellow,  titanium dioxide,  gelatin  and  sodium  lauryl  sulphate.  The  capsule  shells  of  75  mg  are  printed  with  edible  black  ink  containing  shellac,  propylene  glycol,  iron  oxide  black  and  potassium  hydroxide.  The  cap  of  100  mg  capsule  shells  is  printed  with  edible  white  ink  containing  shellac,  propylene  glycol,  potassium  hydroxide  and  titanium  dioxide.   The  body  of  100  mg  capsule  shells  is  printed  with  edible  and  brown  ink  containing  shellac,  propylene  glycol,  potassium  hydroxide,  iron  oxide  brown  and  iron  oxide  black.

Dosage and Administration

THE USUAL DOSAGE AND FREQUENCY OF ADMINISTRATION OF DOXYCYCLINE DIFFERS FROM THAT OF THE OTHER TETRACYCLINES. EXCEEDING THE RECOMMENDED DOSAGE MAY RESULT IN AN INCREASED INCIDENCE OF SIDE EFFECTS. Adults:  The usual dose of oral doxycycline is 200 mg on the first day of treatment (administered 100 mg every 12 hours or 50 mg every 6 hours) followed by a maintenance dose of 100 mg/day. The maintenance dose may be administered as a single dose or as 50 mg every 12 hours. In the management of more severe infections (particularly chronic infections of the urinary tract), 100 mg every 12 hours is recommended. Pediatric Patients: For all pediatric patients weighing less than 45 kg with severe or life-threatening infections (e.g. anthrax, Rocky Mountain spotted fever), the recommended dosage is 2.2 mg/kg of body weight administered every 12 hours. Children weighing 45 kg or more should receive the adult dose (see WARNINGS and PRECAUTIONS). For pediatric patients with less severe disease (greater than 8 years of age and weighing less than 45 kg), the recommended dosage schedule is 4.4 mg per kg of body weight divided into two doses on the first day of treatment, followed by a maintenance dose of 2.2 mg per kg of body weight (given as a single daily dose or divided into twice daily doses). For pediatric patients weighing over 45 kg, the usual adult dose should be used. The therapeutic antibacterial serum activity will usually persist for 24 hours following recommended dosage. When used in streptococcal infections, therapy should be continued for 10 days. Administration of adequate amounts of fluid along with capsule and tablet forms of drugs in the tetracycline class is recommended to wash down the drugs and reduce the risk of esophageal irritation and ulceration. (See ADVERSE REACTIONS) If gastric irritation occurs, it is recommended that doxycycline be given with food or milk. The absorption of doxycycline is not markedly influenced by simultaneous ingestion of food or milk. Studies to date have indicated that administration of doxycycline at the usual recommended doses does not lead to excessive accumulation of doxycycline in patients with renal impairment.  Uncomplicated gonococcal infections in adults (except anorectal infections in men):  100 mg, by mouth, twice a day for 7 days. As an alternate single visit dose, administer 300 mg stat followed in one hour by a second 300 mg dose. Acute epididymo-orchitis caused by  N. gonorrhoeae:  100 mg, by mouth, twice a day for at least 10 days. Primary and secondary syphilis:  300 mg a day in divided doses for at least 10 days. Uncomplicated urethral, endocervical, or rectal infection in adults caused by  Chlamydia trachomatis:  100 mg, by mouth, twice a day for at least 7 days. Nongonococcal urethritis caused by  C. trachomatis  and  U. urealyticum:  100 mg, by mouth, twice a day for at least 7 days. Acute epididymo-orchitis caused by  C. trachomatis:  100 mg, by mouth, twice a day for at least 10 days. Inhalational anthrax (post-exposure):  ADULTS: 100 mg of doxycycline, by mouth, twice a day for 60 days. CHILDREN: weighing less than 45 kg; 2.2 mg/kg of body weight, by mouth, twice a day for 60 days. Children weighing 45 kg or more should receive the adult dose.

Contraindications

This drug is contraindicated in persons who have shown hypersensitivity to any of the tetracyclines.

Adverse Reactions

Due to oral doxycycline’s virtually complete absorption, side effects to the lower bowel, particularly diarrhea, have been infrequent. The following adverse reactions have been observed in patients receiving tetracyclines. Gastrointestinal: Anorexia, nausea, vomiting, diarrhea, glossitis, dysphagia, enterocolitis, and inflammatory lesions (with monilial overgrowth) in the anogenital region, and pancreatitis. Hepatotoxicity has been reported. These reactions have been caused by both the oral and parenteral administration of tetracyclines. Rare instances of esophagitis and esophageal ulcerations have been reported in patients receiving capsule and tablet forms of drugs in the tetracycline class. Most of these patients took medications immediately before going to bed. (See DOSAGE AND ADMINISTRATION.) Skin: Maculopapular and erythematous rashes, Stevens-Johnson syndrome, toxic epidermal necrolysis, and erythema multiforme have been reported. Exfoliative dermatitis has been reported but is uncommon. Photosensitivity is discussed above. (See WARNINGS.) Renal Toxicity: Rise in BUN has been reported and is apparently dose related. (See WARNINGS.) Hypersensitivity Reactions: Urticaria, angioneurotic edema, anaphylaxis, anaphylactoid purpura, serum sickness, pericarditis, and exacerbation of systemic lupus erythematosus. Blood: Hemolytic anemia, thrombocytopenia, neutropenia, and eosinophilia have been reported with tetracyclines. Other: Intracranial hypertension (IH, pseudotumor cerebri) has been associated with the use of tetracyclines. (See PRECAUTIONS-General.) When given over prolonged periods, tetracyclines have been reported to produce brown-black microscopic discoloration of the thyroid gland. No abnormalities of thyroid function are known to occur.

Drug Interactions

Because tetracyclines have been shown to depress plasma prothrombin activity, patients who are on anticoagulant therapy may require downward adjustment of their anticoagulant dosage. Since bacteriostatic drugs may interfere with the bactericidal action of penicillin, it is advisable to avoid giving tetracyclines in conjunction with penicillin. Absorption of tetracyclines is impaired by antacids containing aluminum, calcium, or magnesium, and iron-containing preparations. Barbiturates, carbamazepine, and phenytoin decrease the half-life of doxycycline. The concurrent use of tetracycline and methoxyflurane has been reported to result in fatal renal toxicity. Concurrent use of tetracycline may render oral contraceptives less effective.

How Supplied

Doxycycline capsules USP, 75  mg  are opaque brown cap/opaque white body hard gelatin capsules size “2” having imprinting “A” on cap with black ink and “241” on body with black ink filled with yellow to brown granular powder. Each  capsule  contains  doxycycline  monohydrate   equivalent  to  75   mg   doxycycline. NDC  46708-249-30    bottle  of   30  capsules NDC  46708-249-31    bottle  of   100  capsules Doxycycline  capsules USP, 100  mg  are opaque brown cap/opaque yellow body hard gelatin capsules size “1” having imprinting “A” on cap with white ink and “242” on body with brown ink filled with yellow to brown granular powder. Each  capsule  contains  doxycycline  monohydrate  equivalent  to  100  mg  doxycycline. NDC  46708-250-30    bottle  of   30  capsules NDC  46708-250-50    bottles  of   50  capsules NDC  46708-250-60    bottle  of    60  capsules NDC  46708-250-61    bottle  of   250  capsules Store at 25°C (77°F); excursions permitted to 15° to 30°C (59° to 86°F) [see USP Controlled Room Temperature]. Dispense in a  tight  light- resistant  container  as  defined  in  the  USP/NF. 


Medication Information

Dosage and Administration

THE USUAL DOSAGE AND FREQUENCY OF ADMINISTRATION OF DOXYCYCLINE DIFFERS FROM THAT OF THE OTHER TETRACYCLINES. EXCEEDING THE RECOMMENDED DOSAGE MAY RESULT IN AN INCREASED INCIDENCE OF SIDE EFFECTS.



Adults: The usual dose of oral doxycycline is 200 mg on the first day of treatment (administered 100 mg every 12 hours or 50 mg every 6 hours) followed by a maintenance dose of 100 mg/day. The maintenance dose may be administered as a single dose or as 50 mg every 12 hours. In the management of more severe infections (particularly chronic infections of the urinary tract), 100 mg every 12 hours is recommended.



Pediatric Patients:

For all pediatric patients weighing less than 45 kg with severe or life-threatening infections (e.g. anthrax, Rocky Mountain spotted fever), the recommended dosage is 2.2 mg/kg of body weight administered every 12 hours. Children weighing 45 kg or more should receive the adult dose (see WARNINGS and PRECAUTIONS).



For pediatric patients with less severe disease (greater than 8 years of age and weighing less than 45 kg), the recommended dosage schedule is 4.4 mg per kg of body weight divided into two doses on the first day of treatment, followed by a maintenance dose of 2.2 mg per kg of body weight (given as a single daily dose or divided into twice daily doses). For pediatric patients weighing over 45 kg, the usual adult dose should be used.



The therapeutic antibacterial serum activity will usually persist for 24 hours following recommended dosage.



When used in streptococcal infections, therapy should be continued for 10 days.



Administration of adequate amounts of fluid along with capsule and tablet forms of drugs in the tetracycline class is recommended to wash down the drugs and reduce the risk of esophageal irritation and ulceration. (See ADVERSE REACTIONS)



If gastric irritation occurs, it is recommended that doxycycline be given with food or milk. The absorption of doxycycline is not markedly influenced by simultaneous ingestion of food or milk.



Studies to date have indicated that administration of doxycycline at the usual recommended doses does not lead to excessive accumulation of doxycycline in patients with renal impairment. 



Uncomplicated gonococcal infections in adults (except anorectal infections in men): 100 mg, by mouth, twice a day for 7 days. As an alternate single visit dose, administer 300 mg stat followed in one hour by a second 300 mg dose.



Acute epididymo-orchitis caused by N. gonorrhoeae:  100 mg, by mouth, twice a day for at least 10 days.

Primary and secondary syphilis: 300 mg a day in divided doses for at least 10 days.



Uncomplicated urethral, endocervical, or rectal infection in adults caused by Chlamydia trachomatis:  100 mg, by mouth, twice a day for at least 7 days.



Nongonococcal urethritis caused by C. trachomatis and U. urealyticum:  100 mg, by mouth, twice a day for at least 7 days.



Acute epididymo-orchitis caused by C. trachomatis:  100 mg, by mouth, twice a day for at least 10 days.



Inhalational anthrax (post-exposure): ADULTS: 100 mg of doxycycline, by mouth, twice a day for 60 days. CHILDREN: weighing less than 45 kg; 2.2 mg/kg of body weight, by mouth, twice a day for 60 days. Children weighing 45 kg or more should receive the adult dose.

Contraindications

This drug is contraindicated in persons who have shown hypersensitivity to any of the tetracyclines.

Adverse Reactions

Due to oral doxycycline’s virtually complete absorption, side effects to the lower bowel, particularly diarrhea, have been infrequent. The following adverse reactions have been observed in patients receiving tetracyclines.

Gastrointestinal: Anorexia, nausea, vomiting, diarrhea, glossitis, dysphagia, enterocolitis, and inflammatory lesions (with monilial overgrowth) in the anogenital region, and pancreatitis. Hepatotoxicity has been reported. These reactions have been caused by both the oral and parenteral administration of tetracyclines. Rare instances of esophagitis and esophageal ulcerations have been reported in patients receiving capsule and tablet forms of drugs in the tetracycline class. Most of these patients took medications immediately before going to bed. (See DOSAGE AND ADMINISTRATION.)

Skin: Maculopapular and erythematous rashes, Stevens-Johnson syndrome, toxic epidermal necrolysis, and erythema multiforme have been reported. Exfoliative dermatitis has been reported but is uncommon. Photosensitivity is discussed above. (See WARNINGS.)

Renal Toxicity: Rise in BUN has been reported and is apparently dose related. (See WARNINGS.)

Hypersensitivity Reactions: Urticaria, angioneurotic edema, anaphylaxis, anaphylactoid purpura, serum sickness, pericarditis, and exacerbation of systemic lupus erythematosus.

Blood: Hemolytic anemia, thrombocytopenia, neutropenia, and eosinophilia have been reported with tetracyclines.

Other: Intracranial hypertension (IH, pseudotumor cerebri) has been associated with the use of tetracyclines. (See PRECAUTIONS-General.)

When given over prolonged periods, tetracyclines have been reported to produce brown-black microscopic discoloration of the thyroid gland. No abnormalities of thyroid function are known to occur.

Drug Interactions

Because tetracyclines have been shown to depress plasma prothrombin activity, patients who are on anticoagulant therapy may require downward adjustment of their anticoagulant dosage. Since bacteriostatic drugs may interfere with the bactericidal action of penicillin, it is advisable to avoid giving tetracyclines in conjunction with penicillin. Absorption of tetracyclines is impaired by antacids containing aluminum, calcium, or magnesium, and iron-containing preparations. Barbiturates, carbamazepine, and phenytoin decrease the half-life of doxycycline. The concurrent use of tetracycline and methoxyflurane has been reported to result in fatal renal toxicity. Concurrent use of tetracycline may render oral contraceptives less effective.

How Supplied

Doxycycline capsules USP, 75  mg  are opaque brown cap/opaque white body hard gelatin capsules size “2” having imprinting “A” on cap with black ink and “241” on body with black ink filled with yellow to brown granular powder. Each  capsule  contains  doxycycline  monohydrate   equivalent  to  75   mg   doxycycline.



NDC  46708-249-30    bottle  of   30  capsules

NDC  46708-249-31    bottle  of   100  capsules



Doxycycline  capsules USP, 100  mg  are opaque brown cap/opaque yellow body hard gelatin capsules size “1” having imprinting “A” on cap with white ink and “242” on body with brown ink filled with yellow to brown granular powder. Each  capsule  contains  doxycycline  monohydrate  equivalent  to  100  mg  doxycycline.



NDC  46708-250-30    bottle  of   30  capsules

NDC  46708-250-50    bottles  of   50  capsules

NDC  46708-250-60    bottle  of    60  capsules

NDC  46708-250-61    bottle  of   250  capsules



Store at 25°C (77°F); excursions permitted to 15° to 30°C (59° to 86°F) [see USP Controlled Room Temperature].

Dispense in a  tight  light- resistant  container  as  defined  in  the  USP/NF. 

Description

Doxycycline, USP  is  a  broad - spectrum  antibacterial  synthetically  derived  from  oxytetracycline.  Doxycycline  monohydrate  capsules  USP,  100  mg  and  75  mg  contain   doxycycline  monohydrate  equivalent  to  100  mg  and  75  mg  of  doxycycline  for  oral  administration.  The  chemical  designation  of  the  light  yellow  to  pale  yellow  powder  is  alpha- 6- deoxy- 5- oxytetracycline.





Structural   formula:





C22H24N2O8 • H2O          M.W. = 462.45

Doxycycline  has  a  high  degree  of  lipid  solubility  and  a  low  affinity  for  calcium  binding.  It  is  highly  stable  in  normal  human  serum.  Doxycycline  will  not  degrade   into  an  epianhydro  form.

 

Inert  ingredients:  microcrystalline  cellulose; sodium  starch  glycolate;  povidone;  colloidal  silicon  dioxide;  magnesium  stearate;  and  a  hard  gelatin  capsule  which  contains  iron  oxide  black,  iron  oxide  red,  iron  oxide  yellow,  titanium dioxide,  gelatin  and  sodium  lauryl  sulphate.  The  capsule  shells  of  75  mg  are  printed  with  edible  black  ink  containing  shellac,  propylene  glycol,  iron  oxide  black  and  potassium  hydroxide.  The  cap  of  100  mg  capsule  shells  is  printed  with  edible  white  ink  containing  shellac,  propylene  glycol,  potassium  hydroxide  and  titanium  dioxide.   The  body  of  100  mg  capsule  shells  is  printed  with  edible  and  brown  ink  containing  shellac,  propylene  glycol,  potassium  hydroxide,  iron  oxide  brown  and  iron  oxide  black.



General:

As with other antibacterial preparations, use of this drug may result in overgrowth of non-susceptible organisms, including fungi. If superinfection occurs, doxycycline  capsules should be discontinued and appropriate therapy instituted.

Incision and drainage or other surgical procedures should be performed in conjunction with antibacterial therapy when indicated.

Prescribing doxycycline monohydrate capsules in the absence of proven or strongly suspected bacterial infection or a prophylactic indication is unlikely to provide benefit to the patient and increases the risk of the development of drug-resistant bacteria.

Warnings

The use of drugs of the tetracycline class, including doxycycline, during tooth development (last half of pregnancy, infancy and childhood to the age of 8 years) may cause permanent discoloration of the teeth (yellow-gray-brown). This adverse reaction is more common during long-term use of the drugs, but it has been observed following repeated short-term courses. Enamel hypoplasia has also been reported. Use of doxycycline in pediatric patients 8 years of age or less only when the potential benefits are expected to outweigh the risks in severe or life-threatening conditions (e.g. anthrax, Rocky Mountain spotted fever), particularly when there are no alternative therapies. 



Clostridium difficile associated diarrhea (CDAD) has been reported with use of nearly all antibacterial agents, including doxycycline capsules, and may range in severity from mild diarrhea to fatal colitis. Treatment with antibacterial agents alters the normal flora of the colon leading to overgrowth of C. difficile.



C. difficile produces toxins A and B which contribute to the development of CDAD. Hypertoxin producing strains of C. difficile cause increased morbidity and mortality, as these infections can be refractory to antimicrobial therapy and may require colectomy. CDAD must be considered in all patients who present with diarrhea following antibiotic use. Careful medical history is necessary since CDAD has been reported to occur over two months after the administration of antibacterial agents. 



If CDAD is suspected or confirmed, ongoing antibiotic use not directed against C. difficile may need to be discontinued. Appropriate fluid and electrolyte management, protein supplementation, antibiotic treatment of C. difficile, and surgical evaluation should be instituted as clinically indicated.



Intracranial hypertension (IH, pseudotumor cerebri) has been associated with the use of tetracyclines including doxycycline capsules. Clinical manifestations of IH include headache, blurred vision, diplopia, and vision loss; papilledema can be found on fundoscopy. Women of childbearing age who are overweight or have a history of IH are at greater risk for developing tetracycline associated IH. Concomitant use of isotretinoin and doxycycline capsules should be avoided because isotretinoin is also known to cause pseudotumor cerebri.



Although IH typically resolves after discontinuation of treatment, the possibility for permanent visual loss exists. If visual disturbance occurs during treatment, prompt ophthalmologic evaluation is warranted. Since intracranial pressure can remain elevated for weeks after drug cessation patients should be monitored until they stabilize. 



All tetracyclines form a stable calcium complex in any bone-forming tissue. A decrease in the fibula growth rate has been observed in prematures given oral tetracycline in doses of 25 mg/kg every six hours. This reaction was shown to be reversible when the drug was discontinued.



Results of animal studies indicate that tetracyclines cross the placenta, are found in fetal tissues, and can have toxic effects on the developing fetus (often related to retardation of skeletal development). Evidence of embryo toxicity has been noted in animals treated early in pregnancy. If any tetracycline is used during pregnancy or if the patient becomes pregnant while taking these drugs, the patient should be apprised of the potential hazard to the fetus.



The antianabolic action of the tetracyclines may cause an increase in BUN. Studies to date indicate that this does not occur with the use of doxycycline in patients with impaired renal function.



Photosensitivity manifested by an exaggerated sunburn reaction has been observed in some individuals taking tetracyclines. Patients apt to be exposed to direct sunlight or ultraviolet light should be advised that this reaction can occur with tetracycline drugs, and treatment should be discontinued at the first evidence of skin erythema.









Overdosage

In case of overdosage, discontinue medication, treat symptomatically and institute supportive measures. Dialysis does not alter serum half-life, and it would not be of benefit in treating cases of overdosage.

Pregnancy:

Teratogenic Effects.

Pregnancy Category  D:
 

There are no adequate and well-controlled studies on the use of doxycycline in pregnant short-term, first trimester exposure. There are no human data available to assess the effects of long-term therapy of doxycycline in pregnant women such as that proposed for treatment of anthrax exposure. An expert review of published data on experiences with doxycycline use during pregnancy by TERIS - the Teratogen Information System - concluded that therapeutic doses during pregnancy are unlikely to pose a substantial teratogenic risk (the quantity and quality of data were assessed as limited to fair), but the data are insufficient to state that there is no risk.8

A case-control study (18,515 mothers of infants with congenital anomalies and 32,804 mothers of infants with no congenital anomalies) shows a weak but marginally statistically significant association with total malformations and use of doxycycline anytime during pregnancy. (Sixty-three [0.19%] of the controls and 56 [0.3%] of the cases were treated with doxycycline.) This association was not seen when the analysis was confined to maternal treatment during the period of organogenesis (i.e., in the second and third months of gestation) with the exception of a marginal relationship with neural tube defect based on only two exposed cases.9

A small prospective study of 81 pregnancies describes 43 pregnant women treated for 10 days with doxycycline during early first trimester. All mothers reported their exposed infants were normal at 1 year of age.10

References

1.      Clinical and Laboratory Standards Institute (CLSI). Performance Standards for Antimicrobial Susceptibility Testing; Twenty-Seventh Informational Supplement, CLSI document M100-S27 [2017]. CLSI document M100S23, Clinical Laboratory Standards Institute, 950 West Valley Road, Suite 2500, Wayne Pennsylvania 19087, USA. 



2.      Clinical and Laboratory Standards Institute (CLSI). Methods for Dilution Antimicrobial Susceptibility Tests for Bacteria that Grow Aerobically; Approved Standard –Tenth Edition. CLSI document M07-A10 [2015], Clinical Laboratory Standards Institute, 950 West Valley Road, Suite 2500, Wayne Pennsylvania 19087, USA.



3.      Clinical and Laboratory Standards Institute (CLSI). Performance Standards for Antimicrobial Disk Diffusion Susceptibility Tests; Approved Standard –Twelfth Edition. CLSI document M02-A12 [2015], Clinical Laboratory Standards Institute, 950 West Valley Road, Suite 2500, Wayne Pennsylvania 19087, USA.



4.      Clinical and Laboratory Standards Institute (CLSI). Methods for Antimicrobial Dilution and Disk Susceptibility Testing of Infrequently Isolated or Fastidious Bacteria; Approved Guideline –Third Edition. CLSI document M45­A3 [2015], Clinical Laboratory Standards Institute, 950 West Valley Road, Suite 2500, Wayne Pennsylvania 19087, USA.



5.      Clinical and Laboratory Standards Institute (CLSI). Methods for Antimicrobial Susceptibility Testing of Anaerobic Bacteria; Approved Standard – Eighth Edition. CLSI document M11-A8 [2012], Clinical Laboratory Standards Institute, 950 West Valley Road, Suite 2500, Wayne Pennsylvania 19087, USA.



6.      Clinical and Laboratory Standards Institute (CLSI). Methods for Mycobacteria, Nocardiae, and Other Aerobic Actinomycetes; Approved Standard – Second Edition. CLSI document M24-A2 [2011], Clinical Laboratory Standards Institute, 950 West Valley Road, Suite 2500, Wayne Pennsylvania 19087, USA.



7.      Clinical and Laboratory Standards Institute (CLSI). Methods for Antimicrobial Susceptibility Testing for Human Mycoplasmas; Approved Guideline. CLSI document M43-A [2011], Clinical Laboratory Standards Institute, 950 West Valley Road, Suite 2500, Wayne Pennsylvania 19087, USA. 



8.      Friedman JM and Polifka JE. Teratogenic Effects of Drugs. A Resource for Clinicians (TERIS). Baltimore, MD: The Johns Hopkins University Press: 2000: 149-195. 



9.      Cziezel AE and Rockenbauer M. Teratogenic study of doxycycline. Obstet Gynecol 1997;89:524-528. 



10.  Horne HW Jr. and Kundsin RB. The role of mycoplasma among 81 consecutive pregnancies: a prospective study. Int J Fertil 1980; 25:315-317. 



11.  Hale T.Medications and Mothers Milk. 9th edition. Amarillo, TX: Pharmasoft Publishing 2000; 225-226. 



Manufactured by:

Alembic Pharmaceuticals Limited

(Formulation Division),

Village Panelav, P.O. Tajpura,

Near Baska, Taluka-Halol,

Panchmahal 389350, Gujarat, India 



  

Revised: 04/2017





Pediatric Use:

Because of the effects of drugs of the tetracycline – class, on tooth development and growth, use doxycycline in pediatric patients 8 years of age or less only when the potential benefits are expected to outweigh the risks in severe or life-threatening conditions (e.g. anthrax, Rocky Mountain spotted fever), particularly when there are no alternative therapies. (see WARNINGS and DOSAGE AND ADMINISTRATION).

Nursing Mothers:

Tetracyclines are excreted in human milk, however, the extent of absorption of tetracyclines, including doxycycline, by the breastfed infant is not known. Short-term use by lactating women is not necessarily contraindicated; however, the effects of prolonged exposure to doxycycline in breast milk are unknown.11 Because of the potential for adverse reactions in nursing infants from doxycycline, a decision should be made whether to discontinue nursing or to discontinue the drug, taking into account the importance of the drug to the mother. (See WARNINGS.)

Laboratory Tests:

In venereal disease when coexistent syphilis is suspected, a dark-field examination should be done before treatment is started and the blood serology repeated monthly for at least four months.

In long-term therapy, periodic laboratory evaluations of organ systems, including hematopoietic, renal, and hepatic studies should be performed.



Drug Interactions:

Because tetracyclines have been shown to depress plasma prothrombin activity, patients who are on anticoagulant therapy may require downward adjustment of their anticoagulant dosage.

Since bacteriostatic drugs may interfere with the bactericidal action of penicillin, it is advisable to avoid giving tetracyclines in conjunction with penicillin.

Absorption of tetracyclines is impaired by antacids containing aluminum, calcium, or magnesium, and iron-containing preparations.

Barbiturates, carbamazepine, and phenytoin decrease the half-life of doxycycline.

The concurrent use of tetracycline and methoxyflurane has been reported to result in fatal renal toxicity. Concurrent use of tetracycline may render oral contraceptives less effective.

Labor and Delivery:

The effect of tetracyclines on labor and delivery is unknown.

Clinical Pharmacology

Tetracyclines are readily absorbed and are bound to plasma proteins in varying degrees. They are concentrated by the liver in the bile and excreted in the urine and feces at high concentrations in a biologically active form. Doxycycline is virtually completely absorbed after oral administration.



Following a 200 mg dose of doxycycline monohydrate, 24 normal adult volunteers averaged the following serum concentration values:



Time (hr): 0.5

1

1.5

2

3

4

8

12

24

48

72

Conc. 1.02

2.26

2.67

3.01

3.16

3.03

2.03

1.62

0.95

0.37

0.15 (μg/mL) 



Average Observed Values



Maximum Concentration                                3.61 μg/mL (± 0.9 sd)

Time of Maximum Concentration                   2.6 hr (± 1.1 sd)

Elimination Rate Constant                              0.049 per hr (± 0.03 sd)

Half-Life                                                         16.33 hr (± 4.53 sd)



Excretion of doxycycline by the kidney is about 40%/72 hours in individuals with normal function (creatinine clearance about 75 mL/min). This percentage excretion may fall as low as 1 to 5%/72 hours in individuals with severe renal insufficiency (creatinine clearance below 10 mL/min). Studies have shown no significant difference in serum half-life of doxycycline (range 18 to 22 hours) in individuals with normal and severely impaired renal function. Hemodialysis does not alter serum half-life.

Microbiology: 

Mechanism of Action 

Doxycycline inhibits bacterial protein synthesis by binding to the 30S ribosomal subunit. Doxycycline has bacteriostatic activity against a broad range of Gram-positive and Gram-negative bacteria. 



Resistance

Cross resistance with other tetracyclines is common. 



Antimocrobial Activity

Doxycycline has been shown to be active against most isolates of the following microorganisms, both in vitro and in clinical infections (see INDICATIONS AND USAGE).

 

Gram-Negative Bacteria 

Acinetobacter species 

Bartonella bacilliformis 

Brucella species 

Campylobacter fetus 

Enterobacter aerogenes 

Escherichia coli 

Francisella tularensis 

Haemophilus ducreyi 

Haemophilus influenza

Klebsiella granulomatis 

Klebsiella species 

Neisseria gonorrhoeae 

Shigella species 

Vibrio cholerae 

Yersinia pestis

 

Gram-Positive Bacteria 

Bacillus anthracis

Listeria monocytogenes 

Streptococcus pneumoniae 

 

Anaerobic Bacteria 

Clostridium species 

Fusobacterium fusiforme 

Propionibacterium acnes



Other Bacteria 

Nocardiae and other Actinomyces species 

Borrelia recurrentis 

Chlamydophila psittaci 

Chlamydia trachomatis 

Mycoplasma pneumoniae 

Rickettsiae 

Treponema pallidum 

Treponema pallidum subspecies pertenue 

Ureaplasma urealyticum 

 

Parasites 

Balantidium coli 

Entamoeba species



Susceptibility Testing Methods 

When available, the clinical microbiology laboratory should provide cumulative reports of in vitro susceptibility test results for antimicrobial drugs used in local hospitals and practice areas as periodic reports that describe the susceptibility profile of nosocomial and community-acquired pathogens. These reports should aid the physician in selecting the most effective antimicrobial.



Dilution Techniques 

Quantitative methods are used to determine antimicrobial minimum inhibitory concentrations (MICs). These MICs provide estimates of the susceptibility of bacteria to antimicrobial compounds. The MICs should be determined using a standardized test method (broth and/or agar).1,2,4,6,7  The MIC values should be interpreted according to criteria provided in Table 1.



Diffusion Techniques 

Quantitative methods that require measurement of zone diameters can also provide reproducible estimates of the susceptibility of bacteria to antimicrobial compounds. The zone size should be determined using a standardized test method.1,3,4 This procedure uses paper disks impregnated with 30 mcg doxycycline to test the susceptibility of microorganisms to doxycycline. The disk diffusion interpretive criteria are provided in Table 1.



Anaerobic Techniques 

For anaerobic bacteria, the susceptibility to doxycycline can be determined by a standardized test method.1,5 The MIC values obtained should be interpreted according to the criteria provided in Table 1

Table 1: Susceptibility Test Interpretive Criteria for Doxycycline and Tetracycline 

 

Bacteria*  

Minimal Inhibitory Concentration (mcg per mL)  

Zone Diameter (mm)  

Agar Dilution (mcg per mL)  

S

I

R

S

I

R

S

I

R

Acinetobacter spp. 

Doxycycline Tetracycline 

 

 

≤4

≤4

 

 





 

 

≥16

≥16

 

 

≥13

≥15

 

 

10 to 12 

12 to 14 

 

 

≤9

≤11

 

 





 

 





 

 





Anaerobes Tetracycline 

 

-

 

-

 

-

 

-

 

-

 

-

 

≤4

 



 

≥16

Bacillus anthracis Doxycycline Tetracycline

 

≤1

≤1

 





 





 





 





 





 





 





 





Brucella species Doxycycline Tetracycline

 

≤1

≤1

 





 





 





 





 





 





 





 





Enterobacteriaceae  Doxycycline Tetracycline 

 

≤4

≤4

 





 

≥16

≥16

 

≥14

≥15

 

11 to 13 

12 to 14 

 

≤10

≤11

 





 





 





Franciscella tularensis Doxycycline Tetracycline

 

 

≤4

≤4

 

 





 

 





 

 





 

 





 

 





 

 





 

 





 

 





Haemophilus influenzae 

Tetracycline 

 

 

≤2

 

 



 

 

≥8

 



≥29

 

-

26 to 28 

 



≤25

 

 



 

 



 

 



Mycoplasma pneumoniae Tetracycline

 

 



 

 



 

 



 

 



 

 



 

 



 

 

≤2

 

 



 

 



Neisseria gonorrhoeae Tetracycline

 

 



 

 



 

 



 

 

≥38

 

 

31 to 37 

 

 

≤30

 

 

≤0.25

 

 

0.5 to 1 

 

 

≥2

Norcardiae and other aerobic Actinomyces speciesDoxycycline

 

 

 

≤1

 

 

 

2 to 4 

 

 

 

≥8

 

 

 



 

 

 



 

 

 



 

 

 



 

 

 



 

 

 



Streptococcus pneumonia

Doxycycline 

Tetracycline 

 

 

<0.25

≤1

 

 

0.5



 

 

≥1 

≥4

 

 

≥28 

≥28

 

 

25 to 27

25 to 27 

 

 

<24

≤24

 

 

-



 

 

-



 

 

-



Vibrio cholerae 

Doxycycline 

Tetracycline 

 

≤4

≤4

 





 

≥16

≥16

 





 





 





 





 





 





Yersinia pestis 

Doxycycline 

Tetracycline 

 

≤4

≤4

 





 

≥16

≥16

 





 





 





 





 





 





Ureaplasma urealyticum 

Tetracycline 

 

 



 

 



 

 



 

 



 

 



 

 



 

 

≤1

 

 



 

 

≥2



* Organisms susceptible to tetracycline are also considered susceptible to doxycycline. However, some organisms that are intermediate or resistant to tetracycline may be susceptible to doxycycline. 

 The current absence of resistance isolates precludes defining any results other than “Susceptible”. If isolates yielding MIC results other than susceptible, they should be submitted to a reference laboratory for further testing.

 Gonococci with 30 mcg tetracycline disk zone diameters of less than 19 mm usually indicate a plasmid-mediated tetracycline resistant Neisseria gonorrhoeae isolate. Resistance in these strains should be confirmed by a dilution test (MIC ≥ 16 mcg per mL).



A report of Susceptible (S) indicates that the antimicrobial is likely to inhibit growth of the microorganism if the antimicrobial drug reaches the concentrations usually achievable at the site of infection. A report of Intermediate (I) indicates that the result should be considered equivocal, and, if the microorganism is not fully susceptible to alternative, clinically feasible drugs, the test should be repeated. This category implies possible clinical applicability in body sites where the drug product is physiologically concentrated or in situations where high dosage of drug can be used. This category also provides a buffer zone that prevents small uncontrolled technical factors from causing major discrepancies in interpretation. A report of Resistant (R) indicates that the antimicrobial drug is not likely to inhibit growth of the microorganism if the antimicrobial drug reaches the concentrations usually achievable at the infection site; other therapy should be selected.



Quality Control 

Standardized susceptibility test procedures require the use of laboratory controls to monitor and ensure the accuracy and precision of the supplies and reagents used in the assay, and the techniques of the individuals performing the test.1,2,3,4,5,6,7 Standard doxycycline and tetracycline powders should provide the following range of MIC values noted in Table 2. For the diffusion technique using the 30 mcg doxycycline disk or 30 mcg tetracycline disk, the criteria noted in should be achieved.



Table 2: Acceptable Quality Control Ranges for Susceptibility Testing for Doxycycline and Tetracycline 

 

QC Strain  

Minimal Inhibitory Concentration (mcg per mL)  

Zone Diameter (mm)  

Agar Dilution (mcg per mL)  

Enterococcus faecalis ATCC 29212

Doxycycline 

Tetracycline 

 

 

2 to  8 

8 to 32 

 

 





 

 





Escherichia coli        ATCC 25922

Doxycycline 

Tetracycline

 

 

0.5 to 2 

0.5 to 2 

 

 

18 to 24 

18 to 25 

 

 





Eggerthella lenta ATCC43055

Doxycycline

 

 

2 to 16

 

 

Haemophilus influenzae                   ATCC 49247

Tetracycline

 

 

 

4 to 32 

 

 

 

14 to 22 

 

 

 



Neisseria gonorrhoeae     ATCC 49226

Tetracycline

 

 

 



 

 

 

30 to 42 

 

 

 

0.25 to 1 

Staphylococcus aureus                            ATCC 25923

Doxycycline

Tetracycline

 

 

 





 

 

 

23 to 29 

24 to 30 

 

 

 





Staphylococcus aureus                             ATCC 29213

Doxycycline

Tetracycline

 

 

 

0.12 to 0.5 

0.12 to 1 

 

 

 





 

 

 





Streptococcus pneumoniae                 ATCC 49619

Doxycycline

Tetracycline

 

 

 

0.015 to 0.12 

0.06 to 0.5 

 

 

 

25 to 34 

27 to 31 

 

 

 





Bacteroides fragilis ATCC 25285  

Tetracycline

 

 



 

 



 

 

0.125 to 0.5 

Bacteroides thetaiotaomicron ATCC 29741

Doxycycline

Tetracycline

 

 

2 to 8



 

 

 



 

 

 

8 to 32 

Mycoplasma pneumoniae                ATCC 29342

Tetracycline

 

 

 

0.06 to 0.5 

 

 

 



 

 

 

0.06 to 0.5 

Ureaplasma urealyticum                ATCC 33175

Tetracycline

 

 

 



 

 

 



 

 

 

≥8



* ATCC is the American Type Culture Collection

Indications  and  usage

To reduce the development of drug-resistant bacteria and maintain effectiveness of doxycycline capsules, USP and other antibacterial drugs, doxycycline capsules, USP should be used only to treat or prevent infections that are proven or strongly suspected to be caused by susceptible bacteria. When culture and susceptibility information are available, they should be considered in selecting or modifying antibacterial therapy. In the absence of such data, local epidemiology and susceptibility patterns may contribute to the empiric selection of therapy.



Doxycycline is indicated for the treatment of the following infections:

            Rocky Mountain spotted fever, typhus fever and the typhus group, Q fever, rickettsialpox, and tick fevers caused by

Rickettsiae. 

  Respiratory tract infections caused by Mycoplasma pneumoniae.

  Lymphogranuloma venereum caused by Chlamydia trachomatis.

  Psittacosis (ornithosis) caused by Chlamydophila psittaci.

  Trachoma caused by Chlamydia trachomatis, although the infectious agent is not always eliminated as judged by immunofluorescence.

  Inclusion conjunctivitis caused by Chlamydia trachomatis.

  Uncomplicated urethral, endocervical or rectal infections in adults caused by Chlamydia trachomatis.

  Nongonococcal urethritis caused by Ureaplasma urealyticum.

  Relapsing fever due to Borrelia recurrentis.

 Doxycycline is also indicated for the treatment of infections caused by the following gram-negative microorganisms:

  Chancroid caused by Haemophilus ducreyi.

  Plague due to Yersinia pestis.

  Tularemia due to Francisella tularensis.

  Cholera caused by Vibrio cholerae.

  Campylobacter fetus infections caused by Campylobacter fetus.

  Brucellosis due to Brucella species (in conjunction with streptomycin).

  Bartonellosis due to Bartonella bacilliformis.

  Granuloma inguinale caused by Klebsiella granulomatis.



Because many strains of the following groups of microorganisms have been shown to be resistant to doxycycline, culture and susceptibility testing are recommended.

Doxycycline is indicated for treatment of infections caused by the following gram-negative microorganisms, when bacteriologic testing indicates appropriate susceptibility to the drug:

            Escherichia coli

            Enterobacter aerogenes

            Shigella species

            Acinetobacter species

            Respiratory tract infections caused by Haemophilus influenzae.

            Respiratory tract and urinary tract infections caused by Klebsiella species.

Doxycycline is indicated for treatment of infections caused by the following gram-positive microorganisms when bacteriologic testing indicates appropriate susceptibility to the drug:

            Upper respiratory infections caused by Streptococcus pneumoniae.

            Anthrax due to Bacillus anthracis, including inhalational anthrax (post-exposure): to reduce the incidence or progression of disease following exposure to aerosolized Bacillus anthracis.

When penicillin is contraindicated, doxycycline is an alternative drug in the treatment of the following infections:

            Uncomplicated gonorrhea caused by Neisseria gonorrhoeae.

            Syphilis caused by Treponema pallidum.

            Yaws caused by Treponema pallidum subspecies  pertenue.

            Listeriosis due to Listeria monocytogenes.

            Vincent’s infection caused by Fusobacterium fusiforme.

            Actinomycosis caused by Actinomyces israelii.

            Infections caused by Clostridium species.

In acute intestinal amebiasis, doxycycline may be a useful adjunct to amebicides.

In severe acne, doxycycline may be useful adjunctive therapy.





Information for Patients:

All patients taking doxycycline should be advised:

–to avoid excessive sunlight or artificial ultraviolet light while receiving doxycycline and to discontinue therapy if phototoxicity (e.g., skin eruptions, etc.) occurs. Sunscreen or sunblock should be considered. (See WARNINGS.)

–to drink fluids liberally along with doxycycline to reduce the risk of esophageal irritation and ulceration. (See ADVERSE  REACTIONS.)

–that the absorption of tetracyclines is reduced when taken with foods, especially those which contain calcium. However, the absorption of doxycycline is not markedly influenced by simultaneous ingestion of food or milk. (See Drug Interactions.)

–that the absorption of tetracyclines is reduced when taking bismuth subsalicylate. (See Drug Interactions.)

–not to use outdated or poorly stored doxycycline.

–that the use of doxycycline might increase the incidence of vaginal candidiasis.

Diarrhea is a common problem caused by antibiotics which usually ends when the antibiotic is discontinued. Sometimes after starting treatment with antibiotics, patients can develop watery and bloody stools (with or without stomach cramps and fever) even as late as two or more months after having taken the last dose of the antibiotic. If this occurs, patients should contact their physician as soon as possible.

Patients should be counseled that antibacterial drugs including doxycycline capsules should only be used to treat bacterial infections. They do not treat viral infections (e.g., the common cold). When doxycycline capsule is prescribed to treat a bacterial infection, patients should be told that although it is common to feel better early in the course of therapy, the medication should be taken exactly as directed. Skipping doses or not completing the full course of therapy may (1) decrease the effectiveness of the immediate treatment and (2) increase the likelihood that bacteria will develop resistance and will not be treatable by doxycycline capsules or other antibacterial drugs in the future.

Drug/laboratory Test Interactions:

False elevations of urinary catecholamine levels may occur due to interference with the fluorescence test.

Animal Pharmacology and Animal Toxicology

Hyperpigmentation of the thyroid has been produced by members of the tetracycline class in the following species: in rats by oxytetracycline, doxycycline, tetracycline PO4, and methacycline; in minipigs by doxycycline, minocycline, tetracycline PO4, and methacycline; in dogs by doxycycline and minocycline; in monkeys by minocycline.

Minocycline, tetracycline PO4, methacycline, doxycycline, tetracycline base, oxytetracycline HCl and tetracycline HCl were goitrogenic in rats fed a low iodine diet. This goitrogenic effect was accompanied by high radioactive iodine uptake. Administration of minocycline also produced a large goiter with high radioiodine uptake in rats fed a relatively high iodine diet.

Treatment of various animal species with this class of drugs has also resulted in the induction of thyroid hyperplasia in the following: in rats and dogs (minocycline), in chickens (chlortetracycline) and in rats and mice (oxytetracycline). Adrenal gland hyperplasia has been observed in goats and rats treated with oxytetracycline.

Call your doctor for medical advice about side effects. You may report side effects to FDA at 1-800-FDA-1088.

Package Label.principal Display Panel 75 Mg


Doxycycline Capsules, USP 75 mg (30's bottle pack)

Each capsule contains doxycycline monohydrate, equivalent to 75 mg of doxycycline USP .

46708-249-30





Package Label.principal Display Panel 100 Mg

Doxycycline Capsules, USP 100 mg (30's bottle pack)

Each capsule contains doxycycline monohydrate,  equivalent to 100 mg of doxycycline USP .

46708-250-30



Carcinogenesis, Mutagenesis, Impairment of Fertility:

Long-term studies in animals to evaluate the carcinogenic potential of doxycycline have not been conducted. However, there has been evidence of oncogenic activity in rats in studies with related antibacterial, oxytetracycline (adrenal and pituitary tumors) and minocycline (thyroid tumors). Likewise, although mutagenicity studies of doxycycline have not been conducted, positive results in in vitro mammalian cell assays have been reported for related antibacterial (tetracycline, oxytetracycline). Doxycycline administered orally at dosage levels as high as 250 mg/kg/day had no apparent effect on the fertility of female rats. Effect on male fertility has not been studied.


Structured Label Content

General:

As with other antibacterial preparations, use of this drug may result in overgrowth of non-susceptible organisms, including fungi. If superinfection occurs, doxycycline  capsules should be discontinued and appropriate therapy instituted.

Incision and drainage or other surgical procedures should be performed in conjunction with antibacterial therapy when indicated.

Prescribing doxycycline monohydrate capsules in the absence of proven or strongly suspected bacterial infection or a prophylactic indication is unlikely to provide benefit to the patient and increases the risk of the development of drug-resistant bacteria.

Warnings (WARNINGS)

The use of drugs of the tetracycline class, including doxycycline, during tooth development (last half of pregnancy, infancy and childhood to the age of 8 years) may cause permanent discoloration of the teeth (yellow-gray-brown). This adverse reaction is more common during long-term use of the drugs, but it has been observed following repeated short-term courses. Enamel hypoplasia has also been reported. Use of doxycycline in pediatric patients 8 years of age or less only when the potential benefits are expected to outweigh the risks in severe or life-threatening conditions (e.g. anthrax, Rocky Mountain spotted fever), particularly when there are no alternative therapies. 



Clostridium difficile associated diarrhea (CDAD) has been reported with use of nearly all antibacterial agents, including doxycycline capsules, and may range in severity from mild diarrhea to fatal colitis. Treatment with antibacterial agents alters the normal flora of the colon leading to overgrowth of C. difficile.



C. difficile produces toxins A and B which contribute to the development of CDAD. Hypertoxin producing strains of C. difficile cause increased morbidity and mortality, as these infections can be refractory to antimicrobial therapy and may require colectomy. CDAD must be considered in all patients who present with diarrhea following antibiotic use. Careful medical history is necessary since CDAD has been reported to occur over two months after the administration of antibacterial agents. 



If CDAD is suspected or confirmed, ongoing antibiotic use not directed against C. difficile may need to be discontinued. Appropriate fluid and electrolyte management, protein supplementation, antibiotic treatment of C. difficile, and surgical evaluation should be instituted as clinically indicated.



Intracranial hypertension (IH, pseudotumor cerebri) has been associated with the use of tetracyclines including doxycycline capsules. Clinical manifestations of IH include headache, blurred vision, diplopia, and vision loss; papilledema can be found on fundoscopy. Women of childbearing age who are overweight or have a history of IH are at greater risk for developing tetracycline associated IH. Concomitant use of isotretinoin and doxycycline capsules should be avoided because isotretinoin is also known to cause pseudotumor cerebri.



Although IH typically resolves after discontinuation of treatment, the possibility for permanent visual loss exists. If visual disturbance occurs during treatment, prompt ophthalmologic evaluation is warranted. Since intracranial pressure can remain elevated for weeks after drug cessation patients should be monitored until they stabilize. 



All tetracyclines form a stable calcium complex in any bone-forming tissue. A decrease in the fibula growth rate has been observed in prematures given oral tetracycline in doses of 25 mg/kg every six hours. This reaction was shown to be reversible when the drug was discontinued.



Results of animal studies indicate that tetracyclines cross the placenta, are found in fetal tissues, and can have toxic effects on the developing fetus (often related to retardation of skeletal development). Evidence of embryo toxicity has been noted in animals treated early in pregnancy. If any tetracycline is used during pregnancy or if the patient becomes pregnant while taking these drugs, the patient should be apprised of the potential hazard to the fetus.



The antianabolic action of the tetracyclines may cause an increase in BUN. Studies to date indicate that this does not occur with the use of doxycycline in patients with impaired renal function.



Photosensitivity manifested by an exaggerated sunburn reaction has been observed in some individuals taking tetracyclines. Patients apt to be exposed to direct sunlight or ultraviolet light should be advised that this reaction can occur with tetracycline drugs, and treatment should be discontinued at the first evidence of skin erythema.









Overdosage (OVERDOSAGE)

In case of overdosage, discontinue medication, treat symptomatically and institute supportive measures. Dialysis does not alter serum half-life, and it would not be of benefit in treating cases of overdosage.

Pregnancy:

Teratogenic Effects.

Pregnancy Category  D:
 

There are no adequate and well-controlled studies on the use of doxycycline in pregnant short-term, first trimester exposure. There are no human data available to assess the effects of long-term therapy of doxycycline in pregnant women such as that proposed for treatment of anthrax exposure. An expert review of published data on experiences with doxycycline use during pregnancy by TERIS - the Teratogen Information System - concluded that therapeutic doses during pregnancy are unlikely to pose a substantial teratogenic risk (the quantity and quality of data were assessed as limited to fair), but the data are insufficient to state that there is no risk.8

A case-control study (18,515 mothers of infants with congenital anomalies and 32,804 mothers of infants with no congenital anomalies) shows a weak but marginally statistically significant association with total malformations and use of doxycycline anytime during pregnancy. (Sixty-three [0.19%] of the controls and 56 [0.3%] of the cases were treated with doxycycline.) This association was not seen when the analysis was confined to maternal treatment during the period of organogenesis (i.e., in the second and third months of gestation) with the exception of a marginal relationship with neural tube defect based on only two exposed cases.9

A small prospective study of 81 pregnancies describes 43 pregnant women treated for 10 days with doxycycline during early first trimester. All mothers reported their exposed infants were normal at 1 year of age.10

References (REFERENCES)

1.      Clinical and Laboratory Standards Institute (CLSI). Performance Standards for Antimicrobial Susceptibility Testing; Twenty-Seventh Informational Supplement, CLSI document M100-S27 [2017]. CLSI document M100S23, Clinical Laboratory Standards Institute, 950 West Valley Road, Suite 2500, Wayne Pennsylvania 19087, USA. 



2.      Clinical and Laboratory Standards Institute (CLSI). Methods for Dilution Antimicrobial Susceptibility Tests for Bacteria that Grow Aerobically; Approved Standard –Tenth Edition. CLSI document M07-A10 [2015], Clinical Laboratory Standards Institute, 950 West Valley Road, Suite 2500, Wayne Pennsylvania 19087, USA.



3.      Clinical and Laboratory Standards Institute (CLSI). Performance Standards for Antimicrobial Disk Diffusion Susceptibility Tests; Approved Standard –Twelfth Edition. CLSI document M02-A12 [2015], Clinical Laboratory Standards Institute, 950 West Valley Road, Suite 2500, Wayne Pennsylvania 19087, USA.



4.      Clinical and Laboratory Standards Institute (CLSI). Methods for Antimicrobial Dilution and Disk Susceptibility Testing of Infrequently Isolated or Fastidious Bacteria; Approved Guideline –Third Edition. CLSI document M45­A3 [2015], Clinical Laboratory Standards Institute, 950 West Valley Road, Suite 2500, Wayne Pennsylvania 19087, USA.



5.      Clinical and Laboratory Standards Institute (CLSI). Methods for Antimicrobial Susceptibility Testing of Anaerobic Bacteria; Approved Standard – Eighth Edition. CLSI document M11-A8 [2012], Clinical Laboratory Standards Institute, 950 West Valley Road, Suite 2500, Wayne Pennsylvania 19087, USA.



6.      Clinical and Laboratory Standards Institute (CLSI). Methods for Mycobacteria, Nocardiae, and Other Aerobic Actinomycetes; Approved Standard – Second Edition. CLSI document M24-A2 [2011], Clinical Laboratory Standards Institute, 950 West Valley Road, Suite 2500, Wayne Pennsylvania 19087, USA.



7.      Clinical and Laboratory Standards Institute (CLSI). Methods for Antimicrobial Susceptibility Testing for Human Mycoplasmas; Approved Guideline. CLSI document M43-A [2011], Clinical Laboratory Standards Institute, 950 West Valley Road, Suite 2500, Wayne Pennsylvania 19087, USA. 



8.      Friedman JM and Polifka JE. Teratogenic Effects of Drugs. A Resource for Clinicians (TERIS). Baltimore, MD: The Johns Hopkins University Press: 2000: 149-195. 



9.      Cziezel AE and Rockenbauer M. Teratogenic study of doxycycline. Obstet Gynecol 1997;89:524-528. 



10.  Horne HW Jr. and Kundsin RB. The role of mycoplasma among 81 consecutive pregnancies: a prospective study. Int J Fertil 1980; 25:315-317. 



11.  Hale T.Medications and Mothers Milk. 9th edition. Amarillo, TX: Pharmasoft Publishing 2000; 225-226. 



Manufactured by:

Alembic Pharmaceuticals Limited

(Formulation Division),

Village Panelav, P.O. Tajpura,

Near Baska, Taluka-Halol,

Panchmahal 389350, Gujarat, India 



  

Revised: 04/2017





Description (DESCRIPTION)

Doxycycline, USP  is  a  broad - spectrum  antibacterial  synthetically  derived  from  oxytetracycline.  Doxycycline  monohydrate  capsules  USP,  100  mg  and  75  mg  contain   doxycycline  monohydrate  equivalent  to  100  mg  and  75  mg  of  doxycycline  for  oral  administration.  The  chemical  designation  of  the  light  yellow  to  pale  yellow  powder  is  alpha- 6- deoxy- 5- oxytetracycline.





Structural   formula:





C22H24N2O8 • H2O          M.W. = 462.45

Doxycycline  has  a  high  degree  of  lipid  solubility  and  a  low  affinity  for  calcium  binding.  It  is  highly  stable  in  normal  human  serum.  Doxycycline  will  not  degrade   into  an  epianhydro  form.

 

Inert  ingredients:  microcrystalline  cellulose; sodium  starch  glycolate;  povidone;  colloidal  silicon  dioxide;  magnesium  stearate;  and  a  hard  gelatin  capsule  which  contains  iron  oxide  black,  iron  oxide  red,  iron  oxide  yellow,  titanium dioxide,  gelatin  and  sodium  lauryl  sulphate.  The  capsule  shells  of  75  mg  are  printed  with  edible  black  ink  containing  shellac,  propylene  glycol,  iron  oxide  black  and  potassium  hydroxide.  The  cap  of  100  mg  capsule  shells  is  printed  with  edible  white  ink  containing  shellac,  propylene  glycol,  potassium  hydroxide  and  titanium  dioxide.   The  body  of  100  mg  capsule  shells  is  printed  with  edible  and  brown  ink  containing  shellac,  propylene  glycol,  potassium  hydroxide,  iron  oxide  brown  and  iron  oxide  black.



How Supplied (HOW SUPPLIED)

Doxycycline capsules USP, 75  mg  are opaque brown cap/opaque white body hard gelatin capsules size “2” having imprinting “A” on cap with black ink and “241” on body with black ink filled with yellow to brown granular powder. Each  capsule  contains  doxycycline  monohydrate   equivalent  to  75   mg   doxycycline.



NDC  46708-249-30    bottle  of   30  capsules

NDC  46708-249-31    bottle  of   100  capsules



Doxycycline  capsules USP, 100  mg  are opaque brown cap/opaque yellow body hard gelatin capsules size “1” having imprinting “A” on cap with white ink and “242” on body with brown ink filled with yellow to brown granular powder. Each  capsule  contains  doxycycline  monohydrate  equivalent  to  100  mg  doxycycline.



NDC  46708-250-30    bottle  of   30  capsules

NDC  46708-250-50    bottles  of   50  capsules

NDC  46708-250-60    bottle  of    60  capsules

NDC  46708-250-61    bottle  of   250  capsules



Store at 25°C (77°F); excursions permitted to 15° to 30°C (59° to 86°F) [see USP Controlled Room Temperature].

Dispense in a  tight  light- resistant  container  as  defined  in  the  USP/NF. 

Pediatric Use:

Because of the effects of drugs of the tetracycline – class, on tooth development and growth, use doxycycline in pediatric patients 8 years of age or less only when the potential benefits are expected to outweigh the risks in severe or life-threatening conditions (e.g. anthrax, Rocky Mountain spotted fever), particularly when there are no alternative therapies. (see WARNINGS and DOSAGE AND ADMINISTRATION).

Nursing Mothers:

Tetracyclines are excreted in human milk, however, the extent of absorption of tetracyclines, including doxycycline, by the breastfed infant is not known. Short-term use by lactating women is not necessarily contraindicated; however, the effects of prolonged exposure to doxycycline in breast milk are unknown.11 Because of the potential for adverse reactions in nursing infants from doxycycline, a decision should be made whether to discontinue nursing or to discontinue the drug, taking into account the importance of the drug to the mother. (See WARNINGS.)

Adverse Reactions (ADVERSE REACTIONS)

Due to oral doxycycline’s virtually complete absorption, side effects to the lower bowel, particularly diarrhea, have been infrequent. The following adverse reactions have been observed in patients receiving tetracyclines.

Gastrointestinal: Anorexia, nausea, vomiting, diarrhea, glossitis, dysphagia, enterocolitis, and inflammatory lesions (with monilial overgrowth) in the anogenital region, and pancreatitis. Hepatotoxicity has been reported. These reactions have been caused by both the oral and parenteral administration of tetracyclines. Rare instances of esophagitis and esophageal ulcerations have been reported in patients receiving capsule and tablet forms of drugs in the tetracycline class. Most of these patients took medications immediately before going to bed. (See DOSAGE AND ADMINISTRATION.)

Skin: Maculopapular and erythematous rashes, Stevens-Johnson syndrome, toxic epidermal necrolysis, and erythema multiforme have been reported. Exfoliative dermatitis has been reported but is uncommon. Photosensitivity is discussed above. (See WARNINGS.)

Renal Toxicity: Rise in BUN has been reported and is apparently dose related. (See WARNINGS.)

Hypersensitivity Reactions: Urticaria, angioneurotic edema, anaphylaxis, anaphylactoid purpura, serum sickness, pericarditis, and exacerbation of systemic lupus erythematosus.

Blood: Hemolytic anemia, thrombocytopenia, neutropenia, and eosinophilia have been reported with tetracyclines.

Other: Intracranial hypertension (IH, pseudotumor cerebri) has been associated with the use of tetracyclines. (See PRECAUTIONS-General.)

When given over prolonged periods, tetracyclines have been reported to produce brown-black microscopic discoloration of the thyroid gland. No abnormalities of thyroid function are known to occur.

Contraindications (CONTRAINDICATIONS)

This drug is contraindicated in persons who have shown hypersensitivity to any of the tetracyclines.

Laboratory Tests:

In venereal disease when coexistent syphilis is suspected, a dark-field examination should be done before treatment is started and the blood serology repeated monthly for at least four months.

In long-term therapy, periodic laboratory evaluations of organ systems, including hematopoietic, renal, and hepatic studies should be performed.



Drug Interactions:

Because tetracyclines have been shown to depress plasma prothrombin activity, patients who are on anticoagulant therapy may require downward adjustment of their anticoagulant dosage.

Since bacteriostatic drugs may interfere with the bactericidal action of penicillin, it is advisable to avoid giving tetracyclines in conjunction with penicillin.

Absorption of tetracyclines is impaired by antacids containing aluminum, calcium, or magnesium, and iron-containing preparations.

Barbiturates, carbamazepine, and phenytoin decrease the half-life of doxycycline.

The concurrent use of tetracycline and methoxyflurane has been reported to result in fatal renal toxicity. Concurrent use of tetracycline may render oral contraceptives less effective.

Labor and Delivery:

The effect of tetracyclines on labor and delivery is unknown.

Clinical Pharmacology (CLINICAL PHARMACOLOGY)

Tetracyclines are readily absorbed and are bound to plasma proteins in varying degrees. They are concentrated by the liver in the bile and excreted in the urine and feces at high concentrations in a biologically active form. Doxycycline is virtually completely absorbed after oral administration.



Following a 200 mg dose of doxycycline monohydrate, 24 normal adult volunteers averaged the following serum concentration values:



Time (hr): 0.5

1

1.5

2

3

4

8

12

24

48

72

Conc. 1.02

2.26

2.67

3.01

3.16

3.03

2.03

1.62

0.95

0.37

0.15 (μg/mL) 



Average Observed Values



Maximum Concentration                                3.61 μg/mL (± 0.9 sd)

Time of Maximum Concentration                   2.6 hr (± 1.1 sd)

Elimination Rate Constant                              0.049 per hr (± 0.03 sd)

Half-Life                                                         16.33 hr (± 4.53 sd)



Excretion of doxycycline by the kidney is about 40%/72 hours in individuals with normal function (creatinine clearance about 75 mL/min). This percentage excretion may fall as low as 1 to 5%/72 hours in individuals with severe renal insufficiency (creatinine clearance below 10 mL/min). Studies have shown no significant difference in serum half-life of doxycycline (range 18 to 22 hours) in individuals with normal and severely impaired renal function. Hemodialysis does not alter serum half-life.

Microbiology: 

Mechanism of Action 

Doxycycline inhibits bacterial protein synthesis by binding to the 30S ribosomal subunit. Doxycycline has bacteriostatic activity against a broad range of Gram-positive and Gram-negative bacteria. 



Resistance

Cross resistance with other tetracyclines is common. 



Antimocrobial Activity

Doxycycline has been shown to be active against most isolates of the following microorganisms, both in vitro and in clinical infections (see INDICATIONS AND USAGE).

 

Gram-Negative Bacteria 

Acinetobacter species 

Bartonella bacilliformis 

Brucella species 

Campylobacter fetus 

Enterobacter aerogenes 

Escherichia coli 

Francisella tularensis 

Haemophilus ducreyi 

Haemophilus influenza

Klebsiella granulomatis 

Klebsiella species 

Neisseria gonorrhoeae 

Shigella species 

Vibrio cholerae 

Yersinia pestis

 

Gram-Positive Bacteria 

Bacillus anthracis

Listeria monocytogenes 

Streptococcus pneumoniae 

 

Anaerobic Bacteria 

Clostridium species 

Fusobacterium fusiforme 

Propionibacterium acnes



Other Bacteria 

Nocardiae and other Actinomyces species 

Borrelia recurrentis 

Chlamydophila psittaci 

Chlamydia trachomatis 

Mycoplasma pneumoniae 

Rickettsiae 

Treponema pallidum 

Treponema pallidum subspecies pertenue 

Ureaplasma urealyticum 

 

Parasites 

Balantidium coli 

Entamoeba species



Susceptibility Testing Methods 

When available, the clinical microbiology laboratory should provide cumulative reports of in vitro susceptibility test results for antimicrobial drugs used in local hospitals and practice areas as periodic reports that describe the susceptibility profile of nosocomial and community-acquired pathogens. These reports should aid the physician in selecting the most effective antimicrobial.



Dilution Techniques 

Quantitative methods are used to determine antimicrobial minimum inhibitory concentrations (MICs). These MICs provide estimates of the susceptibility of bacteria to antimicrobial compounds. The MICs should be determined using a standardized test method (broth and/or agar).1,2,4,6,7  The MIC values should be interpreted according to criteria provided in Table 1.



Diffusion Techniques 

Quantitative methods that require measurement of zone diameters can also provide reproducible estimates of the susceptibility of bacteria to antimicrobial compounds. The zone size should be determined using a standardized test method.1,3,4 This procedure uses paper disks impregnated with 30 mcg doxycycline to test the susceptibility of microorganisms to doxycycline. The disk diffusion interpretive criteria are provided in Table 1.



Anaerobic Techniques 

For anaerobic bacteria, the susceptibility to doxycycline can be determined by a standardized test method.1,5 The MIC values obtained should be interpreted according to the criteria provided in Table 1

Table 1: Susceptibility Test Interpretive Criteria for Doxycycline and Tetracycline 

 

Bacteria*  

Minimal Inhibitory Concentration (mcg per mL)  

Zone Diameter (mm)  

Agar Dilution (mcg per mL)  

S

I

R

S

I

R

S

I

R

Acinetobacter spp. 

Doxycycline Tetracycline 

 

 

≤4

≤4

 

 





 

 

≥16

≥16

 

 

≥13

≥15

 

 

10 to 12 

12 to 14 

 

 

≤9

≤11

 

 





 

 





 

 





Anaerobes Tetracycline 

 

-

 

-

 

-

 

-

 

-

 

-

 

≤4

 



 

≥16

Bacillus anthracis Doxycycline Tetracycline

 

≤1

≤1

 





 





 





 





 





 





 





 





Brucella species Doxycycline Tetracycline

 

≤1

≤1

 





 





 





 





 





 





 





 





Enterobacteriaceae  Doxycycline Tetracycline 

 

≤4

≤4

 





 

≥16

≥16

 

≥14

≥15

 

11 to 13 

12 to 14 

 

≤10

≤11

 





 





 





Franciscella tularensis Doxycycline Tetracycline

 

 

≤4

≤4

 

 





 

 





 

 





 

 





 

 





 

 





 

 





 

 





Haemophilus influenzae 

Tetracycline 

 

 

≤2

 

 



 

 

≥8

 



≥29

 

-

26 to 28 

 



≤25

 

 



 

 



 

 



Mycoplasma pneumoniae Tetracycline

 

 



 

 



 

 



 

 



 

 



 

 



 

 

≤2

 

 



 

 



Neisseria gonorrhoeae Tetracycline

 

 



 

 



 

 



 

 

≥38

 

 

31 to 37 

 

 

≤30

 

 

≤0.25

 

 

0.5 to 1 

 

 

≥2

Norcardiae and other aerobic Actinomyces speciesDoxycycline

 

 

 

≤1

 

 

 

2 to 4 

 

 

 

≥8

 

 

 



 

 

 



 

 

 



 

 

 



 

 

 



 

 

 



Streptococcus pneumonia

Doxycycline 

Tetracycline 

 

 

<0.25

≤1

 

 

0.5



 

 

≥1 

≥4

 

 

≥28 

≥28

 

 

25 to 27

25 to 27 

 

 

<24

≤24

 

 

-



 

 

-



 

 

-



Vibrio cholerae 

Doxycycline 

Tetracycline 

 

≤4

≤4

 





 

≥16

≥16

 





 





 





 





 





 





Yersinia pestis 

Doxycycline 

Tetracycline 

 

≤4

≤4

 





 

≥16

≥16

 





 





 





 





 





 





Ureaplasma urealyticum 

Tetracycline 

 

 



 

 



 

 



 

 



 

 



 

 



 

 

≤1

 

 



 

 

≥2



* Organisms susceptible to tetracycline are also considered susceptible to doxycycline. However, some organisms that are intermediate or resistant to tetracycline may be susceptible to doxycycline. 

 The current absence of resistance isolates precludes defining any results other than “Susceptible”. If isolates yielding MIC results other than susceptible, they should be submitted to a reference laboratory for further testing.

 Gonococci with 30 mcg tetracycline disk zone diameters of less than 19 mm usually indicate a plasmid-mediated tetracycline resistant Neisseria gonorrhoeae isolate. Resistance in these strains should be confirmed by a dilution test (MIC ≥ 16 mcg per mL).



A report of Susceptible (S) indicates that the antimicrobial is likely to inhibit growth of the microorganism if the antimicrobial drug reaches the concentrations usually achievable at the site of infection. A report of Intermediate (I) indicates that the result should be considered equivocal, and, if the microorganism is not fully susceptible to alternative, clinically feasible drugs, the test should be repeated. This category implies possible clinical applicability in body sites where the drug product is physiologically concentrated or in situations where high dosage of drug can be used. This category also provides a buffer zone that prevents small uncontrolled technical factors from causing major discrepancies in interpretation. A report of Resistant (R) indicates that the antimicrobial drug is not likely to inhibit growth of the microorganism if the antimicrobial drug reaches the concentrations usually achievable at the infection site; other therapy should be selected.



Quality Control 

Standardized susceptibility test procedures require the use of laboratory controls to monitor and ensure the accuracy and precision of the supplies and reagents used in the assay, and the techniques of the individuals performing the test.1,2,3,4,5,6,7 Standard doxycycline and tetracycline powders should provide the following range of MIC values noted in Table 2. For the diffusion technique using the 30 mcg doxycycline disk or 30 mcg tetracycline disk, the criteria noted in should be achieved.



Table 2: Acceptable Quality Control Ranges for Susceptibility Testing for Doxycycline and Tetracycline 

 

QC Strain  

Minimal Inhibitory Concentration (mcg per mL)  

Zone Diameter (mm)  

Agar Dilution (mcg per mL)  

Enterococcus faecalis ATCC 29212

Doxycycline 

Tetracycline 

 

 

2 to  8 

8 to 32 

 

 





 

 





Escherichia coli        ATCC 25922

Doxycycline 

Tetracycline

 

 

0.5 to 2 

0.5 to 2 

 

 

18 to 24 

18 to 25 

 

 





Eggerthella lenta ATCC43055

Doxycycline

 

 

2 to 16

 

 

Haemophilus influenzae                   ATCC 49247

Tetracycline

 

 

 

4 to 32 

 

 

 

14 to 22 

 

 

 



Neisseria gonorrhoeae     ATCC 49226

Tetracycline

 

 

 



 

 

 

30 to 42 

 

 

 

0.25 to 1 

Staphylococcus aureus                            ATCC 25923

Doxycycline

Tetracycline

 

 

 





 

 

 

23 to 29 

24 to 30 

 

 

 





Staphylococcus aureus                             ATCC 29213

Doxycycline

Tetracycline

 

 

 

0.12 to 0.5 

0.12 to 1 

 

 

 





 

 

 





Streptococcus pneumoniae                 ATCC 49619

Doxycycline

Tetracycline

 

 

 

0.015 to 0.12 

0.06 to 0.5 

 

 

 

25 to 34 

27 to 31 

 

 

 





Bacteroides fragilis ATCC 25285  

Tetracycline

 

 



 

 



 

 

0.125 to 0.5 

Bacteroides thetaiotaomicron ATCC 29741

Doxycycline

Tetracycline

 

 

2 to 8



 

 

 



 

 

 

8 to 32 

Mycoplasma pneumoniae                ATCC 29342

Tetracycline

 

 

 

0.06 to 0.5 

 

 

 



 

 

 

0.06 to 0.5 

Ureaplasma urealyticum                ATCC 33175

Tetracycline

 

 

 



 

 

 



 

 

 

≥8



* ATCC is the American Type Culture Collection

Dosage and Administration (DOSAGE AND ADMINISTRATION)

THE USUAL DOSAGE AND FREQUENCY OF ADMINISTRATION OF DOXYCYCLINE DIFFERS FROM THAT OF THE OTHER TETRACYCLINES. EXCEEDING THE RECOMMENDED DOSAGE MAY RESULT IN AN INCREASED INCIDENCE OF SIDE EFFECTS.



Adults: The usual dose of oral doxycycline is 200 mg on the first day of treatment (administered 100 mg every 12 hours or 50 mg every 6 hours) followed by a maintenance dose of 100 mg/day. The maintenance dose may be administered as a single dose or as 50 mg every 12 hours. In the management of more severe infections (particularly chronic infections of the urinary tract), 100 mg every 12 hours is recommended.



Pediatric Patients:

For all pediatric patients weighing less than 45 kg with severe or life-threatening infections (e.g. anthrax, Rocky Mountain spotted fever), the recommended dosage is 2.2 mg/kg of body weight administered every 12 hours. Children weighing 45 kg or more should receive the adult dose (see WARNINGS and PRECAUTIONS).



For pediatric patients with less severe disease (greater than 8 years of age and weighing less than 45 kg), the recommended dosage schedule is 4.4 mg per kg of body weight divided into two doses on the first day of treatment, followed by a maintenance dose of 2.2 mg per kg of body weight (given as a single daily dose or divided into twice daily doses). For pediatric patients weighing over 45 kg, the usual adult dose should be used.



The therapeutic antibacterial serum activity will usually persist for 24 hours following recommended dosage.



When used in streptococcal infections, therapy should be continued for 10 days.



Administration of adequate amounts of fluid along with capsule and tablet forms of drugs in the tetracycline class is recommended to wash down the drugs and reduce the risk of esophageal irritation and ulceration. (See ADVERSE REACTIONS)



If gastric irritation occurs, it is recommended that doxycycline be given with food or milk. The absorption of doxycycline is not markedly influenced by simultaneous ingestion of food or milk.



Studies to date have indicated that administration of doxycycline at the usual recommended doses does not lead to excessive accumulation of doxycycline in patients with renal impairment. 



Uncomplicated gonococcal infections in adults (except anorectal infections in men): 100 mg, by mouth, twice a day for 7 days. As an alternate single visit dose, administer 300 mg stat followed in one hour by a second 300 mg dose.



Acute epididymo-orchitis caused by N. gonorrhoeae:  100 mg, by mouth, twice a day for at least 10 days.

Primary and secondary syphilis: 300 mg a day in divided doses for at least 10 days.



Uncomplicated urethral, endocervical, or rectal infection in adults caused by Chlamydia trachomatis:  100 mg, by mouth, twice a day for at least 7 days.



Nongonococcal urethritis caused by C. trachomatis and U. urealyticum:  100 mg, by mouth, twice a day for at least 7 days.



Acute epididymo-orchitis caused by C. trachomatis:  100 mg, by mouth, twice a day for at least 10 days.



Inhalational anthrax (post-exposure): ADULTS: 100 mg of doxycycline, by mouth, twice a day for 60 days. CHILDREN: weighing less than 45 kg; 2.2 mg/kg of body weight, by mouth, twice a day for 60 days. Children weighing 45 kg or more should receive the adult dose.

Indications  and  usage (INDICATIONS  AND  USAGE)

To reduce the development of drug-resistant bacteria and maintain effectiveness of doxycycline capsules, USP and other antibacterial drugs, doxycycline capsules, USP should be used only to treat or prevent infections that are proven or strongly suspected to be caused by susceptible bacteria. When culture and susceptibility information are available, they should be considered in selecting or modifying antibacterial therapy. In the absence of such data, local epidemiology and susceptibility patterns may contribute to the empiric selection of therapy.



Doxycycline is indicated for the treatment of the following infections:

            Rocky Mountain spotted fever, typhus fever and the typhus group, Q fever, rickettsialpox, and tick fevers caused by

Rickettsiae. 

  Respiratory tract infections caused by Mycoplasma pneumoniae.

  Lymphogranuloma venereum caused by Chlamydia trachomatis.

  Psittacosis (ornithosis) caused by Chlamydophila psittaci.

  Trachoma caused by Chlamydia trachomatis, although the infectious agent is not always eliminated as judged by immunofluorescence.

  Inclusion conjunctivitis caused by Chlamydia trachomatis.

  Uncomplicated urethral, endocervical or rectal infections in adults caused by Chlamydia trachomatis.

  Nongonococcal urethritis caused by Ureaplasma urealyticum.

  Relapsing fever due to Borrelia recurrentis.

 Doxycycline is also indicated for the treatment of infections caused by the following gram-negative microorganisms:

  Chancroid caused by Haemophilus ducreyi.

  Plague due to Yersinia pestis.

  Tularemia due to Francisella tularensis.

  Cholera caused by Vibrio cholerae.

  Campylobacter fetus infections caused by Campylobacter fetus.

  Brucellosis due to Brucella species (in conjunction with streptomycin).

  Bartonellosis due to Bartonella bacilliformis.

  Granuloma inguinale caused by Klebsiella granulomatis.



Because many strains of the following groups of microorganisms have been shown to be resistant to doxycycline, culture and susceptibility testing are recommended.

Doxycycline is indicated for treatment of infections caused by the following gram-negative microorganisms, when bacteriologic testing indicates appropriate susceptibility to the drug:

            Escherichia coli

            Enterobacter aerogenes

            Shigella species

            Acinetobacter species

            Respiratory tract infections caused by Haemophilus influenzae.

            Respiratory tract and urinary tract infections caused by Klebsiella species.

Doxycycline is indicated for treatment of infections caused by the following gram-positive microorganisms when bacteriologic testing indicates appropriate susceptibility to the drug:

            Upper respiratory infections caused by Streptococcus pneumoniae.

            Anthrax due to Bacillus anthracis, including inhalational anthrax (post-exposure): to reduce the incidence or progression of disease following exposure to aerosolized Bacillus anthracis.

When penicillin is contraindicated, doxycycline is an alternative drug in the treatment of the following infections:

            Uncomplicated gonorrhea caused by Neisseria gonorrhoeae.

            Syphilis caused by Treponema pallidum.

            Yaws caused by Treponema pallidum subspecies  pertenue.

            Listeriosis due to Listeria monocytogenes.

            Vincent’s infection caused by Fusobacterium fusiforme.

            Actinomycosis caused by Actinomyces israelii.

            Infections caused by Clostridium species.

In acute intestinal amebiasis, doxycycline may be a useful adjunct to amebicides.

In severe acne, doxycycline may be useful adjunctive therapy.





Information for Patients:

All patients taking doxycycline should be advised:

–to avoid excessive sunlight or artificial ultraviolet light while receiving doxycycline and to discontinue therapy if phototoxicity (e.g., skin eruptions, etc.) occurs. Sunscreen or sunblock should be considered. (See WARNINGS.)

–to drink fluids liberally along with doxycycline to reduce the risk of esophageal irritation and ulceration. (See ADVERSE  REACTIONS.)

–that the absorption of tetracyclines is reduced when taken with foods, especially those which contain calcium. However, the absorption of doxycycline is not markedly influenced by simultaneous ingestion of food or milk. (See Drug Interactions.)

–that the absorption of tetracyclines is reduced when taking bismuth subsalicylate. (See Drug Interactions.)

–not to use outdated or poorly stored doxycycline.

–that the use of doxycycline might increase the incidence of vaginal candidiasis.

Diarrhea is a common problem caused by antibiotics which usually ends when the antibiotic is discontinued. Sometimes after starting treatment with antibiotics, patients can develop watery and bloody stools (with or without stomach cramps and fever) even as late as two or more months after having taken the last dose of the antibiotic. If this occurs, patients should contact their physician as soon as possible.

Patients should be counseled that antibacterial drugs including doxycycline capsules should only be used to treat bacterial infections. They do not treat viral infections (e.g., the common cold). When doxycycline capsule is prescribed to treat a bacterial infection, patients should be told that although it is common to feel better early in the course of therapy, the medication should be taken exactly as directed. Skipping doses or not completing the full course of therapy may (1) decrease the effectiveness of the immediate treatment and (2) increase the likelihood that bacteria will develop resistance and will not be treatable by doxycycline capsules or other antibacterial drugs in the future.

Drug/laboratory Test Interactions: (Drug/Laboratory Test Interactions:)

False elevations of urinary catecholamine levels may occur due to interference with the fluorescence test.

Animal Pharmacology and Animal Toxicology (ANIMAL PHARMACOLOGY AND ANIMAL TOXICOLOGY)

Hyperpigmentation of the thyroid has been produced by members of the tetracycline class in the following species: in rats by oxytetracycline, doxycycline, tetracycline PO4, and methacycline; in minipigs by doxycycline, minocycline, tetracycline PO4, and methacycline; in dogs by doxycycline and minocycline; in monkeys by minocycline.

Minocycline, tetracycline PO4, methacycline, doxycycline, tetracycline base, oxytetracycline HCl and tetracycline HCl were goitrogenic in rats fed a low iodine diet. This goitrogenic effect was accompanied by high radioactive iodine uptake. Administration of minocycline also produced a large goiter with high radioiodine uptake in rats fed a relatively high iodine diet.

Treatment of various animal species with this class of drugs has also resulted in the induction of thyroid hyperplasia in the following: in rats and dogs (minocycline), in chickens (chlortetracycline) and in rats and mice (oxytetracycline). Adrenal gland hyperplasia has been observed in goats and rats treated with oxytetracycline.

Call your doctor for medical advice about side effects. You may report side effects to FDA at 1-800-FDA-1088.

Package Label.principal Display Panel 75 Mg (PACKAGE LABEL.PRINCIPAL DISPLAY PANEL 75 mg)


Doxycycline Capsules, USP 75 mg (30's bottle pack)

Each capsule contains doxycycline monohydrate, equivalent to 75 mg of doxycycline USP .

46708-249-30





Package Label.principal Display Panel 100 Mg (PACKAGE LABEL.PRINCIPAL DISPLAY PANEL 100 mg)

Doxycycline Capsules, USP 100 mg (30's bottle pack)

Each capsule contains doxycycline monohydrate,  equivalent to 100 mg of doxycycline USP .

46708-250-30



Carcinogenesis, Mutagenesis, Impairment of Fertility:

Long-term studies in animals to evaluate the carcinogenic potential of doxycycline have not been conducted. However, there has been evidence of oncogenic activity in rats in studies with related antibacterial, oxytetracycline (adrenal and pituitary tumors) and minocycline (thyroid tumors). Likewise, although mutagenicity studies of doxycycline have not been conducted, positive results in in vitro mammalian cell assays have been reported for related antibacterial (tetracycline, oxytetracycline). Doxycycline administered orally at dosage levels as high as 250 mg/kg/day had no apparent effect on the fertility of female rats. Effect on male fertility has not been studied.


Advanced Ingredient Data


Raw Label Data

All Sections (JSON)