Probenecid And Colchicine Tablets Usp

Probenecid And Colchicine Tablets Usp
SPL v6
SPL
SPL Set ID 3d2a3d4f-38a3-4669-ad78-ab1d7aef4ec3
Route
ORAL
Published
Effective Date 2026-01-27
Document Type 34391-3 Human Prescription Drug Label

Drug Facts

Composition & Product

Active Ingredients
Probenecid (500 mg) Colchicine (0.5 mg)
Inactive Ingredients
Silicon Dioxide Starch, Corn Magnesium Stearate Microcrystalline Cellulose 101 Povidone K90 Sodium Lauryl Sulfate Sodium Starch Glycolate Type A Potato

Identifiers & Packaging

Pill Appearance
Imprint: C81 Shape: capsule Color: white Size: 18 mm Score: 2
Marketing Status
ANDA Active Since 2023-10-24

Description

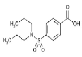
Probenecid and colchicine contains probenecid, which is a uricosuric agent, and colchicine, which has antigout activity, the mechanism of which is unknown. Probenecid is the generic name for p-(Dipropylsulfamoyl)benzoic acid. The structural formula is represented below: C 13 H 19 NO 4 S                                                   M.W.285.36 Probenecid is a white or practically white, fine, crystalline powder. It is soluble in dilute alkali, in alcohol, in chloroform, and in acetone; it is practically insoluble in water and in dilute acids. Colchicine is an alkaloid obtained from various species of Colchicum. The chemical name for Colchicine is (S)-N-(5,6,7,9- tetrahydro-1,2,3,10-tetramethoxy-9-oxobenzo[α]heptalen-7-yl) acetamide. The structural formula is represented below: C 22 H 25 NO 6                                            M.W.399.44 Colchicine consists of yellowish white to pale yellow to pale greenish-yellow powder which darken on exposure to light. Colchicine is freely soluble in chloroform. Each tablet for oral administration contains 500 mg of probenecid and 0.5 mg of colchicine. Each tablet also contains the following inactive ingredients: colloidal silicon dioxide, corn starch, magnesium stearate, microcrystalline cellulose, povidone, sodium lauryl sulfate and sodium starch glycolate. FDA approved dissolution test specifications differ from the USP.

Contraindications

Hypersensitivity to this product or to probenecid or colchicine. Probenecid and colchicine tablets are contraindicated in children under 2 years of age. Not recommended in persons with known blood dyscrasias or uric acid kidney stones. Therapy with probenecid and colchicine should not be started until an acute gouty attack has subsided. Pregnancy Probenecid crosses the placental barrier and appears in cord blood. Colchicine can arrest cell division in animals and plants. In certain species of animals under certain conditions, colchicine has produced teratogenic effects. The possibility of such effects in humans also has been reported. Because of the colchicine component, probenecid and colchicine is contraindicated in pregnant patients. The use of any drug in women of childbearing potential requires that the anticipated benefit be weighed against the possible hazards.

Adverse Reactions

The following adverse reactions have been observed and within each category are listed in order of decreasing severity. Probenecid Central Nervous System: headache, dizziness. Metabolic: precipitation of acute gouty arthritis. Gastrointestinal: hepatic necrosis, vomiting, nausea, anorexia, sore gums. Genitourinary: nephrotic syndrome, uric acid stones with or without hematuria, renal colic, costovertebral pain, urinary frequency. Hypersensitivity: anaphylaxis, fever, urticaria, pruritus. Hematologic: aplastic anemia, leukopenia, hemolytic anemia which in some patients could be related to genetic deficiency of glucose-6-phosphate dehydrogenase in red blood cells, anemia. Integumentary: dermatitis, alopecia, flushing. Colchicine Side effects due to colchicine appear to be a function of dosage. The possibility of increased colchicine toxicity in the presence of hepatic dysfunction should be considered. The appearance of any of the following symptoms may require reduction of dosage or discontinuance of the drug. Central Nervous System: peripheral neuritis. Musculoskeletal: muscular weakness. Gastrointestinal: nausea, vomiting, abdominal pain, or diarrhea may be particularly troublesome in the presence of peptic ulcer or spastic colon. Hypersensitivity: urticaria. Hematologic: aplastic anemia, agranulocytosis. Integumentary: dermatitis, purpura, alopecia. At toxic doses, colchicine may cause severe diarrhea, generalized vascular damage, and renal damage with hematuria and oliguria. To report SUSPECTED ADVERSE REACTIONS, contact Rising Pharma Holdings, Inc. at 1-844-874-7464 or FDA at 1-800-FDA-1088 or www.fda.gov/medwatch .

Drug Interactions

When probenecid is used to elevate plasma concentrations of penicillin, or other beta-lactams, or when such drugs are given to patients taking probenecid therapeutically, high plasma concentrations of the other drug may increase the incidence of adverse reactions associated with that drug. In the case of penicillin, or other beta-lactams, psychic disturbances have been reported. The use of salicylates antagonizes the uricosuric action of probenecid (see WARNINGS ). The uricosuric action of probenecid is also antagonized by pyrazinamide. Probenecid produces an insignificant increase in free sulfonamide plasma concentrations but a significant increase in total sulfonamide plasma levels. Since probenecid decreases the renal excretion of conjugated sulfonamides, plasma concentrations of the latter should be determined from time to time when a sulfonamide and probenecid and colchicine are coadministered for prolonged periods. Probenecid may prolong or enhance the action of oral sulfonylureas and thereby increase the risk of hypoglycemia. It has been reported that patients receiving probenecid require significantly less thiopental for induction of anesthesia. In addition, ketamine and thiopental anesthesia were significantly prolonged in rats receiving probenecid. The concomitant administration of probenecid increases the mean plasma elimination half-life of a number of drugs which can lead to increased plasma concentrations. These include agents such as indomethacin, acetaminophen, naproxen, ketoprofen, meclofenamate, lorazepam, and rifampin. Although the clinical significance of this observation has not been established, a lower dosage of the drug may be required to produce a therapeutic effect, and increases in dosage of the drug in question should be made cautiously and in small increments when probenecid is being co-administrated. Although specific instances of toxicity due to this potential interaction have not been observed to date, physicians should be alert to this possibility. Probenecid given concomitantly with sulindac had only a slight effect on plasma sulfide levels, while plasma levels of sulindac and sulfone were increased. Sulindac was shown to produce a modest reduction in the uricosuric action of probenecid, which probably is not significant under most circumstances. In animals and in humans, probenecid has been reported to increase plasma concentrations of methotrexate (see WARNINGS ). Falsely high readings for theophylline have been reported in an in vitro study, using the Schack and Waxler technique, when therapeutic concentrations of theophylline and probenecid were added to human plasma.

How Supplied

Probenecid and Colchicine Tablets, USP 500 mg/0.5 mg are bisected, white to off-white capsule shaped, tablets debossed with “C81” on one side and break line on another side. They are supplied in bottles of 100 count: NDC 16571-832-01 Dispense in a well closed, light-resistant container with child-resistant closure. Store at 20º to 25ºC (68º to 77ºF); excursions permitted to 15° to 30°C (59° to 86°F) [See USP Controlled Room Temperature]. Protect from light. Manufactured for: Rising Pharma Holdings, Inc. East Brunswick, NJ 08816 Made in India. Neutral Code: 4323066/TS/DRUGS/2025 Revised: 01/2026 PIR83201-05


Medication Information

Contraindications

Hypersensitivity to this product or to probenecid or colchicine.

Probenecid and colchicine tablets are contraindicated in children under 2 years of age.

Not recommended in persons with known blood dyscrasias or uric acid kidney stones.

Therapy with probenecid and colchicine should not be started until an acute gouty attack has subsided.

Pregnancy

Probenecid crosses the placental barrier and appears in cord blood. Colchicine can arrest cell division in animals and plants. In certain species of animals under certain conditions, colchicine has produced teratogenic effects. The possibility of such effects in humans also has been reported. Because of the colchicine component, probenecid and colchicine is contraindicated in pregnant patients. The use of any drug in women of childbearing potential requires that the anticipated benefit be weighed against the possible hazards.

Adverse Reactions

The following adverse reactions have been observed and within each category are listed in order of decreasing severity.

Probenecid



Central Nervous System: headache, dizziness.



Metabolic: precipitation of acute gouty arthritis.



Gastrointestinal: hepatic necrosis, vomiting, nausea, anorexia, sore gums.



Genitourinary: nephrotic syndrome, uric acid stones with or without hematuria, renal colic, costovertebral pain, urinary frequency.



Hypersensitivity: anaphylaxis, fever, urticaria, pruritus.



Hematologic: aplastic anemia, leukopenia, hemolytic anemia which in some patients could be related to genetic deficiency of glucose-6-phosphate dehydrogenase in red blood cells, anemia.



Integumentary: dermatitis, alopecia, flushing.

Colchicine



Side effects due to colchicine appear to be a function of dosage. The possibility of increased colchicine toxicity in the presence of hepatic dysfunction should be considered. The appearance of any of the following symptoms may require reduction of dosage or discontinuance of the drug.



Central Nervous System: peripheral neuritis.



Musculoskeletal: muscular weakness.



Gastrointestinal: nausea, vomiting, abdominal pain, or diarrhea may be particularly troublesome in the presence of peptic ulcer or spastic colon.



Hypersensitivity: urticaria.



Hematologic: aplastic anemia, agranulocytosis.



Integumentary: dermatitis, purpura, alopecia.



At toxic doses, colchicine may cause severe diarrhea, generalized vascular damage, and renal damage with hematuria and oliguria.

To report SUSPECTED ADVERSE REACTIONS, contact Rising Pharma Holdings, Inc. at 1-844-874-7464 or FDA at 1-800-FDA-1088 or www.fda.gov/medwatch .

Drug Interactions

When probenecid is used to elevate plasma concentrations of penicillin, or other beta-lactams, or when such drugs are given to patients taking probenecid therapeutically, high plasma concentrations of the other drug may increase the incidence of adverse reactions associated with that drug. In the case of penicillin, or other beta-lactams, psychic disturbances have been reported.

The use of salicylates antagonizes the uricosuric action of probenecid (see WARNINGS). The uricosuric action of probenecid is also antagonized by pyrazinamide.

Probenecid produces an insignificant increase in free sulfonamide plasma concentrations but a significant increase in total sulfonamide plasma levels. Since probenecid decreases the renal excretion of conjugated sulfonamides, plasma concentrations of the latter should be determined from time to time when a sulfonamide and probenecid and colchicine are coadministered for prolonged periods. Probenecid may prolong or enhance the action of oral sulfonylureas and thereby increase the risk of hypoglycemia.

It has been reported that patients receiving probenecid require significantly less thiopental for induction of anesthesia. In addition, ketamine and thiopental anesthesia were significantly prolonged in rats receiving probenecid.

The concomitant administration of probenecid increases the mean plasma elimination half-life of a number of drugs which can lead to increased plasma concentrations. These include agents such as indomethacin, acetaminophen, naproxen, ketoprofen, meclofenamate, lorazepam, and rifampin. Although the clinical significance of this observation has not been established, a lower dosage of the drug may be required to produce a therapeutic effect, and increases in dosage of the drug in question should be made cautiously and in small increments when probenecid is being co-administrated. Although specific instances of toxicity due to this potential interaction have not been observed to date, physicians should be alert to this possibility.

Probenecid given concomitantly with sulindac had only a slight effect on plasma sulfide levels, while plasma levels of sulindac and sulfone were increased. Sulindac was shown to produce a modest reduction in the uricosuric action of probenecid, which probably is not significant under most circumstances.

In animals and in humans, probenecid has been reported to increase plasma concentrations of methotrexate (see WARNINGS).

Falsely high readings for theophylline have been reported in an in vitro study, using the Schack and Waxler technique, when therapeutic concentrations of theophylline and probenecid were added to human plasma.

How Supplied

Probenecid and Colchicine Tablets, USP 500 mg/0.5 mg are bisected, white to off-white capsule shaped, tablets debossed with “C81” on one side and break line on another side.

They are supplied in bottles of 100 count: NDC 16571-832-01

Dispense in a well closed, light-resistant container with child-resistant closure.

Store at 20º to 25ºC (68º to 77ºF); excursions permitted to 15° to 30°C (59° to 86°F) [See USP Controlled Room Temperature].

Protect from light.

Manufactured for:

Rising Pharma Holdings, Inc.

East Brunswick, NJ 08816

Made in India.



Neutral Code: 4323066/TS/DRUGS/2025

Revised: 01/2026

PIR83201-05

Description

Probenecid and colchicine contains probenecid, which is a uricosuric agent, and colchicine, which has antigout activity, the mechanism of which is unknown. Probenecid is the generic name for p-(Dipropylsulfamoyl)benzoic acid. The structural formula is represented below:





C13H19NO4S                                                   M.W.285.36



Probenecid is a white or practically white, fine, crystalline powder. It is soluble in dilute alkali, in alcohol, in chloroform, and in acetone; it is practically insoluble in water and in dilute acids. Colchicine is an alkaloid obtained from various species of Colchicum. The chemical name for Colchicine is (S)-N-(5,6,7,9- tetrahydro-1,2,3,10-tetramethoxy-9-oxobenzo[α]heptalen-7-yl) acetamide. The structural formula is represented below:



C22H25NO6                                           M.W.399.44



Colchicine consists of yellowish white to pale yellow to pale greenish-yellow powder which darken on exposure to light. Colchicine is freely soluble in chloroform. Each tablet for oral administration contains 500 mg of probenecid and 0.5 mg of colchicine. Each tablet also contains the following inactive ingredients: colloidal silicon dioxide, corn starch, magnesium stearate, microcrystalline cellulose, povidone, sodium lauryl sulfate and sodium starch glycolate.



FDA approved dissolution test specifications differ from the USP.

Warnings

Exacerbation of gout following therapy with probenecid and colchicine may occur; in such cases additional colchicine or other appropriate therapy is advisable.

Probenecid increases plasma concentrations of methotrexate in both animals and humans. In animal studies, increased methotrexate toxicity has been reported. If probenecid and colchicine is given with methotrexate, the dosage of methotrexate should be reduced and serum levels may need to be monitored.

In patients on probenecid and colchicine the use of salicylates in either small or large doses is contraindicated because it antagonizes the uricosuric action of probenecid. The biphasic action of salicylates in the renal tubules accounts for the so-called “paradoxical effect” of uricosuric agents. In patients on probenecid and colchicine who require a mild analgesic agent the use of acetaminophen rather than small doses of salicylates would be preferred.

Rarely, severe allergic reactions and anaphylaxis have been reported with the use of probenecid and colchicine. Most of these have been reported to occur within several hours after readministration following prior usage of the drug.

The appearance of hypersensitivity reactions requires cessation of therapy with probenecid and colchicine.

Colchicine has been reported to adversely affect spermatogenesis in animals. Reversible azoospermia has been reported in one patient.

General Precautions

Hematuria, renal colic, costovertebral pain, and formation of uric acid stones associated with the use of probenecid and colchicine in gouty patients may be prevented by alkalization of the urine and a liberal fluid intake (see DOSAGE AND ADMINISTRATION). In these cases when alkali is administered, the acid-base balance of the patient should be watched.

Use with caution in patients with a history of peptic ulcer.

Probenecid and colchicine has been used in patients with some renal impairment but dosage requirements may be increased. Probenecid and colchicine may not be effective in chronic renal insufficiency particularly when the glomerular filtration rate is 30 mL/minute or less.

A reducing substance may appear in the urine of patients receiving probenecid. This disappears with discontinuance of therapy. Suspected glycosuria should be confirmed by using a test specific for glucose.

Adequate animal studies have not been conducted to determine the carcinogenicity potential of probenecid or this drug combination. Since colchicine is an established mutagen, its ability to act as a carcinogen must be suspected and administration of probenecid and colchicine should involve a weighing of the benefit-vs-risk when long-term administration is contemplated.

Indications & Usage

For the treatment of chronic gouty arthritis when complicated by frequent, recurrent acute attacks of gout.

Clinical Pharmacology

Probenecid is a uricosuric and renal tubular blocking agent. It inhibits the tubular reabsorption of urate, thus increasing the urinary excretion of uric acid and decreasing serum urate levels. Effective uricosuria reduces the miscible urate pool, retards urate deposition, and promotes resorption of urate deposits.

Probenecid inhibits the tubular secretion of penicillin and usually increases penicillin plasma levels by any route the antibiotic is given. A 2-fold to 4-fold elevation has been demonstrated for various penicillins.

Probenecid also has been reported to inhibit the renal transport of many other compounds including amino hippuric acid (PAH), aminosalicylic acid (PAS), indomethacin, sodium iodomethamate and related iodinated organic acids, 17-ketosteroids, pantothenic acid, phenolsulfonphthalein (PSP), sulfonamides, and sulfonylureas. See also Drug Interactions.

Probenecid decreases both hepatic and renal excretion of sulfobromophthalein (BSP). The tubular reabsorption of phosphorus is inhibited in hypoparathyroid but not in euparathyroid individuals.

Probenecid does not influence plasma concentrations of salicylates, nor the excretion of streptomycin, chloramphenicol, chlortetracycline, oxytetracycline, or neomycin.

The mode of action of colchicine in gout is unknown. It is not an analgesic, though it relieves pain in acute attacks of gout. It is not a uricosuric agent and will not prevent progression of gout to chronic gouty arthritis. It does have a prophylactic, suppressive effect that helps to reduce the incidence of acute attacks and to relieve the residual pain and mild discomfort that patients with gout occasionally feel.

In man and certain other animals, colchicine can produce a temporary leukopenia that is followed by leukocytosis.

Colchicine has other pharmacologic actions in animals: It alters neuromuscular function, intensifies gastrointestinal activity by neurogenic stimulation, increases sensitivity to central depressants, heightens response to sympathomimetic compounds, depresses the respiratory center, constricts blood vessels, causes hypertension by central vasomotor stimulation, and lowers body temperature.

Dosage & Administration

Therapy with probenecid and colchicine should not be started until an acute gouty attack has subsided. However, if an acute attack is precipitated during therapy, probenecid and colchicine may be continued without changing the dosage, and additional colchicine or other appropriate therapy should be given to control the acute attack.

The recommended adult dosage is 1 tablet of probenecid and colchicine daily for one week, followed by 1 tablet twice a day thereafter.

Some degree of renal impairment may be present in patients with gout. A daily dosage of 2 tablets may be adequate. However, if necessary, the daily dosage may be increased by 1 tablet every four weeks within tolerance (and usually not above 4 tablets per day) if symptoms of gouty arthritis are not controlled or the 24 hour uric acid excretion is not above 700 mg. As noted, probenecid may not be effective in chronic renal insufficiency particularly when the glomerular filtration rate is 30 mL/minute or less.

Gastric intolerance may be indicative of overdosage, and may be corrected by decreasing the dosage.

As uric acid tends to crystallize out of an acid urine, a liberal fluid intake is recommended, as well as sufficient sodium bicarbonate (3 to 7.5 g daily) or potassium citrate (7.5 g daily) to maintain an alkaline urine (see PRECAUTIONS).

Alkalization of the urine is recommended until the serum urate level returns to normal limits and tophaceous deposits disappear, i.e., during the period when urinary excretion of uric acid is at a high level. Thereafter, alkalization of the urine and the usual restriction of purine-producing foods may be somewhat relaxed.

Probenecid and colchicine (or probenecid) should be continued at the dosage that will maintain normal serum urate levels. When acute attacks have been absent for six months or more and serum urate levels remain within normal limits, the daily dosage of probenecid and colchicine may be decreased by 1 tablet every six months. The maintenance dosage should not be reduced to the point where serum urate levels tend to rise.

Package Label.principal Display Panel

NDC 16571-832-01

Probenecid and Colchicine Tablets USP

500 mg/0.5 mg

100 Tablets

Rising Pharma Holdings, Inc.

Rx only


Structured Label Content

Warnings (WARNINGS)

Exacerbation of gout following therapy with probenecid and colchicine may occur; in such cases additional colchicine or other appropriate therapy is advisable.

Probenecid increases plasma concentrations of methotrexate in both animals and humans. In animal studies, increased methotrexate toxicity has been reported. If probenecid and colchicine is given with methotrexate, the dosage of methotrexate should be reduced and serum levels may need to be monitored.

In patients on probenecid and colchicine the use of salicylates in either small or large doses is contraindicated because it antagonizes the uricosuric action of probenecid. The biphasic action of salicylates in the renal tubules accounts for the so-called “paradoxical effect” of uricosuric agents. In patients on probenecid and colchicine who require a mild analgesic agent the use of acetaminophen rather than small doses of salicylates would be preferred.

Rarely, severe allergic reactions and anaphylaxis have been reported with the use of probenecid and colchicine. Most of these have been reported to occur within several hours after readministration following prior usage of the drug.

The appearance of hypersensitivity reactions requires cessation of therapy with probenecid and colchicine.

Colchicine has been reported to adversely affect spermatogenesis in animals. Reversible azoospermia has been reported in one patient.

Description (DESCRIPTION)

Probenecid and colchicine contains probenecid, which is a uricosuric agent, and colchicine, which has antigout activity, the mechanism of which is unknown. Probenecid is the generic name for p-(Dipropylsulfamoyl)benzoic acid. The structural formula is represented below:





C13H19NO4S                                                   M.W.285.36



Probenecid is a white or practically white, fine, crystalline powder. It is soluble in dilute alkali, in alcohol, in chloroform, and in acetone; it is practically insoluble in water and in dilute acids. Colchicine is an alkaloid obtained from various species of Colchicum. The chemical name for Colchicine is (S)-N-(5,6,7,9- tetrahydro-1,2,3,10-tetramethoxy-9-oxobenzo[α]heptalen-7-yl) acetamide. The structural formula is represented below:



C22H25NO6                                           M.W.399.44



Colchicine consists of yellowish white to pale yellow to pale greenish-yellow powder which darken on exposure to light. Colchicine is freely soluble in chloroform. Each tablet for oral administration contains 500 mg of probenecid and 0.5 mg of colchicine. Each tablet also contains the following inactive ingredients: colloidal silicon dioxide, corn starch, magnesium stearate, microcrystalline cellulose, povidone, sodium lauryl sulfate and sodium starch glycolate.



FDA approved dissolution test specifications differ from the USP.

How Supplied (HOW SUPPLIED)

Probenecid and Colchicine Tablets, USP 500 mg/0.5 mg are bisected, white to off-white capsule shaped, tablets debossed with “C81” on one side and break line on another side.

They are supplied in bottles of 100 count: NDC 16571-832-01

Dispense in a well closed, light-resistant container with child-resistant closure.

Store at 20º to 25ºC (68º to 77ºF); excursions permitted to 15° to 30°C (59° to 86°F) [See USP Controlled Room Temperature].

Protect from light.

Manufactured for:

Rising Pharma Holdings, Inc.

East Brunswick, NJ 08816

Made in India.



Neutral Code: 4323066/TS/DRUGS/2025

Revised: 01/2026

PIR83201-05

Adverse Reactions (ADVERSE REACTIONS)

The following adverse reactions have been observed and within each category are listed in order of decreasing severity.

Probenecid



Central Nervous System: headache, dizziness.



Metabolic: precipitation of acute gouty arthritis.



Gastrointestinal: hepatic necrosis, vomiting, nausea, anorexia, sore gums.



Genitourinary: nephrotic syndrome, uric acid stones with or without hematuria, renal colic, costovertebral pain, urinary frequency.



Hypersensitivity: anaphylaxis, fever, urticaria, pruritus.



Hematologic: aplastic anemia, leukopenia, hemolytic anemia which in some patients could be related to genetic deficiency of glucose-6-phosphate dehydrogenase in red blood cells, anemia.



Integumentary: dermatitis, alopecia, flushing.

Colchicine



Side effects due to colchicine appear to be a function of dosage. The possibility of increased colchicine toxicity in the presence of hepatic dysfunction should be considered. The appearance of any of the following symptoms may require reduction of dosage or discontinuance of the drug.



Central Nervous System: peripheral neuritis.



Musculoskeletal: muscular weakness.



Gastrointestinal: nausea, vomiting, abdominal pain, or diarrhea may be particularly troublesome in the presence of peptic ulcer or spastic colon.



Hypersensitivity: urticaria.



Hematologic: aplastic anemia, agranulocytosis.



Integumentary: dermatitis, purpura, alopecia.



At toxic doses, colchicine may cause severe diarrhea, generalized vascular damage, and renal damage with hematuria and oliguria.

To report SUSPECTED ADVERSE REACTIONS, contact Rising Pharma Holdings, Inc. at 1-844-874-7464 or FDA at 1-800-FDA-1088 or www.fda.gov/medwatch .

Contraindications (CONTRAINDICATIONS)

Hypersensitivity to this product or to probenecid or colchicine.

Probenecid and colchicine tablets are contraindicated in children under 2 years of age.

Not recommended in persons with known blood dyscrasias or uric acid kidney stones.

Therapy with probenecid and colchicine should not be started until an acute gouty attack has subsided.

Pregnancy

Probenecid crosses the placental barrier and appears in cord blood. Colchicine can arrest cell division in animals and plants. In certain species of animals under certain conditions, colchicine has produced teratogenic effects. The possibility of such effects in humans also has been reported. Because of the colchicine component, probenecid and colchicine is contraindicated in pregnant patients. The use of any drug in women of childbearing potential requires that the anticipated benefit be weighed against the possible hazards.

Drug Interactions (DRUG INTERACTIONS)

When probenecid is used to elevate plasma concentrations of penicillin, or other beta-lactams, or when such drugs are given to patients taking probenecid therapeutically, high plasma concentrations of the other drug may increase the incidence of adverse reactions associated with that drug. In the case of penicillin, or other beta-lactams, psychic disturbances have been reported.

The use of salicylates antagonizes the uricosuric action of probenecid (see WARNINGS). The uricosuric action of probenecid is also antagonized by pyrazinamide.

Probenecid produces an insignificant increase in free sulfonamide plasma concentrations but a significant increase in total sulfonamide plasma levels. Since probenecid decreases the renal excretion of conjugated sulfonamides, plasma concentrations of the latter should be determined from time to time when a sulfonamide and probenecid and colchicine are coadministered for prolonged periods. Probenecid may prolong or enhance the action of oral sulfonylureas and thereby increase the risk of hypoglycemia.

It has been reported that patients receiving probenecid require significantly less thiopental for induction of anesthesia. In addition, ketamine and thiopental anesthesia were significantly prolonged in rats receiving probenecid.

The concomitant administration of probenecid increases the mean plasma elimination half-life of a number of drugs which can lead to increased plasma concentrations. These include agents such as indomethacin, acetaminophen, naproxen, ketoprofen, meclofenamate, lorazepam, and rifampin. Although the clinical significance of this observation has not been established, a lower dosage of the drug may be required to produce a therapeutic effect, and increases in dosage of the drug in question should be made cautiously and in small increments when probenecid is being co-administrated. Although specific instances of toxicity due to this potential interaction have not been observed to date, physicians should be alert to this possibility.

Probenecid given concomitantly with sulindac had only a slight effect on plasma sulfide levels, while plasma levels of sulindac and sulfone were increased. Sulindac was shown to produce a modest reduction in the uricosuric action of probenecid, which probably is not significant under most circumstances.

In animals and in humans, probenecid has been reported to increase plasma concentrations of methotrexate (see WARNINGS).

Falsely high readings for theophylline have been reported in an in vitro study, using the Schack and Waxler technique, when therapeutic concentrations of theophylline and probenecid were added to human plasma.

General Precautions (GENERAL PRECAUTIONS)

Hematuria, renal colic, costovertebral pain, and formation of uric acid stones associated with the use of probenecid and colchicine in gouty patients may be prevented by alkalization of the urine and a liberal fluid intake (see DOSAGE AND ADMINISTRATION). In these cases when alkali is administered, the acid-base balance of the patient should be watched.

Use with caution in patients with a history of peptic ulcer.

Probenecid and colchicine has been used in patients with some renal impairment but dosage requirements may be increased. Probenecid and colchicine may not be effective in chronic renal insufficiency particularly when the glomerular filtration rate is 30 mL/minute or less.

A reducing substance may appear in the urine of patients receiving probenecid. This disappears with discontinuance of therapy. Suspected glycosuria should be confirmed by using a test specific for glucose.

Adequate animal studies have not been conducted to determine the carcinogenicity potential of probenecid or this drug combination. Since colchicine is an established mutagen, its ability to act as a carcinogen must be suspected and administration of probenecid and colchicine should involve a weighing of the benefit-vs-risk when long-term administration is contemplated.

Indications & Usage (INDICATIONS & USAGE)

For the treatment of chronic gouty arthritis when complicated by frequent, recurrent acute attacks of gout.

Clinical Pharmacology (CLINICAL PHARMACOLOGY)

Probenecid is a uricosuric and renal tubular blocking agent. It inhibits the tubular reabsorption of urate, thus increasing the urinary excretion of uric acid and decreasing serum urate levels. Effective uricosuria reduces the miscible urate pool, retards urate deposition, and promotes resorption of urate deposits.

Probenecid inhibits the tubular secretion of penicillin and usually increases penicillin plasma levels by any route the antibiotic is given. A 2-fold to 4-fold elevation has been demonstrated for various penicillins.

Probenecid also has been reported to inhibit the renal transport of many other compounds including amino hippuric acid (PAH), aminosalicylic acid (PAS), indomethacin, sodium iodomethamate and related iodinated organic acids, 17-ketosteroids, pantothenic acid, phenolsulfonphthalein (PSP), sulfonamides, and sulfonylureas. See also Drug Interactions.

Probenecid decreases both hepatic and renal excretion of sulfobromophthalein (BSP). The tubular reabsorption of phosphorus is inhibited in hypoparathyroid but not in euparathyroid individuals.

Probenecid does not influence plasma concentrations of salicylates, nor the excretion of streptomycin, chloramphenicol, chlortetracycline, oxytetracycline, or neomycin.

The mode of action of colchicine in gout is unknown. It is not an analgesic, though it relieves pain in acute attacks of gout. It is not a uricosuric agent and will not prevent progression of gout to chronic gouty arthritis. It does have a prophylactic, suppressive effect that helps to reduce the incidence of acute attacks and to relieve the residual pain and mild discomfort that patients with gout occasionally feel.

In man and certain other animals, colchicine can produce a temporary leukopenia that is followed by leukocytosis.

Colchicine has other pharmacologic actions in animals: It alters neuromuscular function, intensifies gastrointestinal activity by neurogenic stimulation, increases sensitivity to central depressants, heightens response to sympathomimetic compounds, depresses the respiratory center, constricts blood vessels, causes hypertension by central vasomotor stimulation, and lowers body temperature.

Dosage & Administration (DOSAGE & ADMINISTRATION)

Therapy with probenecid and colchicine should not be started until an acute gouty attack has subsided. However, if an acute attack is precipitated during therapy, probenecid and colchicine may be continued without changing the dosage, and additional colchicine or other appropriate therapy should be given to control the acute attack.

The recommended adult dosage is 1 tablet of probenecid and colchicine daily for one week, followed by 1 tablet twice a day thereafter.

Some degree of renal impairment may be present in patients with gout. A daily dosage of 2 tablets may be adequate. However, if necessary, the daily dosage may be increased by 1 tablet every four weeks within tolerance (and usually not above 4 tablets per day) if symptoms of gouty arthritis are not controlled or the 24 hour uric acid excretion is not above 700 mg. As noted, probenecid may not be effective in chronic renal insufficiency particularly when the glomerular filtration rate is 30 mL/minute or less.

Gastric intolerance may be indicative of overdosage, and may be corrected by decreasing the dosage.

As uric acid tends to crystallize out of an acid urine, a liberal fluid intake is recommended, as well as sufficient sodium bicarbonate (3 to 7.5 g daily) or potassium citrate (7.5 g daily) to maintain an alkaline urine (see PRECAUTIONS).

Alkalization of the urine is recommended until the serum urate level returns to normal limits and tophaceous deposits disappear, i.e., during the period when urinary excretion of uric acid is at a high level. Thereafter, alkalization of the urine and the usual restriction of purine-producing foods may be somewhat relaxed.

Probenecid and colchicine (or probenecid) should be continued at the dosage that will maintain normal serum urate levels. When acute attacks have been absent for six months or more and serum urate levels remain within normal limits, the daily dosage of probenecid and colchicine may be decreased by 1 tablet every six months. The maintenance dosage should not be reduced to the point where serum urate levels tend to rise.

Package Label.principal Display Panel (PACKAGE LABEL.PRINCIPAL DISPLAY PANEL)

NDC 16571-832-01

Probenecid and Colchicine Tablets USP

500 mg/0.5 mg

100 Tablets

Rising Pharma Holdings, Inc.

Rx only


Advanced Ingredient Data


Raw Label Data

All Sections (JSON)