Highlights Of Prescribing Information

Highlights Of Prescribing Information
SPL v2
SPL
SPL Set ID 3b1ac82f-6920-4e40-a77e-598398679f2d
Route
INTRAVENOUS
Published
Effective Date 2025-10-31
Document Type 34391-3 HUMAN PRESCRIPTION DRUG LABEL

Drug Facts

Composition & Product

Active Ingredients
Epinephrine (0.1 mg)
Inactive Ingredients
Citric Acid Edetate Disodium Sodium Chloride Sodium Citrate Sodium Metabisulfite Water Hydrochloric Acid Nitrogen

Identifiers & Packaging

Marketing Status
NDA Active Since 2024-12-03

Description

1.1 Hypotension associated with Septic Shock Epinephrine Injection USP, 1 mg/10 mL (0.1 mg/mL) is indicated to increase mean arterial blood pressure in adult patients with hypotension associated with septic shock.

Indications and Usage

1.1 Hypotension associated with Septic Shock Epinephrine Injection USP, 1 mg/10 mL (0.1 mg/mL) is indicated to increase mean arterial blood pressure in adult patients with hypotension associated with septic shock.

Dosage and Administration

2.1 General Considerations Inspect visually for particulate matter and discoloration prior to administration, whenever solution and container permit. Do not use if the solution is colored or cloudy, or if it contains particulate matter. Discard any unused portion. 2.2 Hypotension associated with Septic Shock Dilute epinephrine in 5% Dextrose Injection, USP or 5% Dextrose and Sodium Chloride solution. These dextrose containing fluids provide protection against significant loss of potency by oxidation. Administration in saline solution alone is not recommended. If indicated, administer whole blood or plasma separately. Add the entire contents of epinephrine prefilled syringe to 1000 mL of a 5% Dextrose containing solution. Each mL of this dilution contains 1 mcg of epinephrine. Whenever possible, give infusions of epinephrine into a large vein. Avoid using a catheter tie-in technique, because the obstruction to blood flow around the tubing may cause stasis and increased local concentration of the drug. Avoid the veins of the leg in elderly patients or in those suffering from occlusive vascular diseases. To provide hemodynamic support in septic shock associated hypotension in adult patients, the suggested dosing infusion rate of intravenously administered epinephrine is 0.05 mcg/kg/min to 2 mcg/kg/min, and is titrated to achieve a desired mean arterial pressure (MAP). The dosage may be adjusted periodically, such as every 10 to 15 minutes, in increments of 0.05 mcg/kg/min to 0.2 mcg/kg/min, to achieve the desired blood pressure goal. After hemodynamic stabilization, wean incrementally over time, such as by decreasing doses of epinephrine every 30 minutes over a 12- to 24-hour period.

Warnings and Precautions

5.1 Hypertension Because individual response to epinephrine may vary significantly, monitor blood pressure frequently and titrate to avoid excessive increases in blood pressure. Patients receiving monoamine oxidase inhibitors (MAOI) or antidepressants of triptyline or imipramine types may experience severe, prolonged hypertension when given epinephrine. 5.2 Pulmonary Edema Epinephrine increases cardiac output and causes peripheral vasoconstriction, which may result in pulmonary edema. 5.3 Cardiac Arrhythmias and Ischemia Epinephrine may induce cardiac arrhythmias and myocardial ischemia in patients, especially patients suffering from coronary artery disease or cardiomyopathy [see Adverse Reactions (6) and Drug Interactions (7.3)]. 5.4 Extravasation and Tissue Necrosis with Intravenous Infusion Avoid extravasation of epinephrine into the tissues, to prevent local necrosis. When Epinephrine Injection is administered intravenously, check the infusion site frequently for free flow. Blanching along the course of the infused vein, sometimes without obvious extravasation, may be attributed to vasa vasorum constriction with increased permeability of the vein wall, permitting some leakage. This also may progress on rare occasions to superficial slough. Hence, if blanching occurs, consider changing the infusion site at intervals to allow the effects of local vasoconstriction to subside. There is a potential for gangrene in a lower extremity when infusions of catecholamine are given in an ankle vein. Antidote for Extravasation Ischemia: To prevent sloughing and necrosis in areas in which extravasation has taken place, infiltrate the area with 10 mL to 15 mL of saline solution containing from 5 mg to 10 mg of phentolamine, an adrenergic blocking agent. Use a syringe with a fine hypodermic needle, with the solution being infiltrated liberally throughout the area, which is easily identified by its cold, hard, and pallid appearance. Sympathetic blockade with phentolamine causes immediate and conspicuous local hyperemic changes if the area is infiltrated with 12 hours. 5.5 Renal Impairment Epinephrine constricts renal blood vessels, which may result in oliguria or renal impairment. 5.6 Allergic Reactions Associated with Sulfite Contains sodium bisulfite, which may cause mild to severe allergic reactions including anaphylaxis orasthmatic episodes, particularly in patients with a history of allergies. The presence of sodium bisulfite in this product should not preclude its use for the treatment of hypotension associated with septic shock, even if the patient is sulfite-sensitive, as the alternatives to using epinephrine in a life-threatening situation may not be satisfactory. In susceptible patients, consider using a formulation of epinephrine or another vasoconstrictor that does not contain sodium bisulfite.

Contraindications

None.

Adverse Reactions

The following adverse reactions are discussed elsewhere in labeling: • Hypertension [see Warnings and Precautions (5.1)] • Pulmonary Edema [see Warnings and Precautions (5.2)] • Cardiac Arrhythmias and Ischemia [see Warnings and Precautions (5.3)] • Extravassation and Tissue Necrosis with Intravenous Infusion [see Warnings and Precautions (5.4)] • Renal Impairment [see Warnings and Precautions (5.5)] • Allergic Reactions associated with Sulfite [see Warnings and Precautions (5.6)] The following adverse reactions associated with the infusion of epinephrine were identified in the literature. Because these reactions are reported voluntarily from a population of uncertain size, it is not always possible to estimate their frequency reliably or to establish a causal relationship to drug exposure. Cardiovascular disorders: tachycardia, supraventricular tachycardia, ventricular arrhythmias, myocardial ischemia, myocardial infarction, limb ischemia, pulmonary edema Gastrointestinal disorders: Nausea, vomiting General disorders and administrative site conditions: Chest pain, extravasation Metabolic: hypoglycemia, hyperglycemia, insulin resistance, hypokalemia, lactic acidosis Nervous system disorders: Headache, nervousness, paresthesia, tremor, stroke, central nervous system bleeding Psychiatric disorders: Excitability Renal disorders: Renal insufficiency Respiratory: Pulmonary edema, rales Skin and subcutaneous tissue disorders: Diaphoresis, pallor, piloerection, skin blanching, skin necrosis with extravasation

Drug Interactions

7.1 Drugs Antagonizing Pressor Effects of Epinephrine • α-blockers, such as phentolamine • Vasodilators, such as nitrates • Diuretics • Antihypertensives • Ergot alkaloids • Phenothiazine antipsychotics 7.2 Drugs Potentiating Pressor Effects of Epinephrine • Sympathomimetics • β-blockers, such as propranolol • Tricyclic anti-depressants • Monoamine oxidase (MAO) inhibitors • Catechol-O-methyl transferase (COMT) inhibitors, such as entacapon • Clonidine • Doxapram • Oxytocin 7.3 Drugs Potentiating Arrhythmogenic Effects of Epinephrine Patients who are concomitantly receiving any of the following drugs should be observed carefully for the development of cardiac arrhythmias [see Warnings and Precautions (5.6) and Adverse Reactions (6)]. • β-blockers, such as propranolol • Cyclopropane or halogenated hydrocarbon anesthetics, such as halothane • Antihistamines • Thyroid hormones • Diuretics • Cardiac glycosides, such as digitalis glycosides • Quinidine 7.4 Drugs Potentiating Hypokalemic Effects of Epinephrine • Potassium depleting diuretics • Corticosteroids • Theophylline

Storage and Handling

Epinephrine Injection USP, 1 mg/10 mL (0.1 mg/mL) is a clear colorless solution available in a single-dose Luer-Jet Luer-Lock prefilled syringe packaged in a carton. It is supplied in the following presentation. Epinephrine is light sensitive. Protect from light until ready to use. Do not refrigerate. Protect from freezing. Store at room temperature, between 20° to 25°C (68° to 77°F). (See USP Controlled Room Temperature.) Protect from alkalis and oxidizing agents. Product repackaged by: Henry Schein, Inc., Bastian, VA 24314  From Original Manufacturer/Distributor's NDC and Unit of Sale To Henry Schein Repackaged Product NDC and Unit of Sale Total Strength/Total Volume (Concentration) per unit NDC 76329-3318-1 Shrink wrapped bundle of 10 individual cartons NDC 0404-9806-10 1 10 mL Syringe in a bag (Syringe bears NDC 76329-3318-1) 1 mg/10 mL (0.1 mg/mL) Rx Only Manufactured by: INTERNATIONAL MEDICATION SYSTEMS, LIMITED So. EL MONTE, CA 91733, U.S.A. An Amphastar Pharmaceuticals Company ©INTERNATIONAL MEDICATION SYSTEMS, LIMITED 2022 REV 08/22

How Supplied

Epinephrine Injection USP, 1 mg/10 mL (0.1 mg/mL) is a clear colorless solution available in a single-dose Luer-Jet Luer-Lock prefilled syringe packaged in a carton. It is supplied in the following presentation. Epinephrine is light sensitive. Protect from light until ready to use. Do not refrigerate. Protect from freezing. Store at room temperature, between 20° to 25°C (68° to 77°F). (See USP Controlled Room Temperature.) Protect from alkalis and oxidizing agents. Product repackaged by: Henry Schein, Inc., Bastian, VA 24314  From Original Manufacturer/Distributor's NDC and Unit of Sale To Henry Schein Repackaged Product NDC and Unit of Sale Total Strength/Total Volume (Concentration) per unit NDC 76329-3318-1 Shrink wrapped bundle of 10 individual cartons NDC 0404-9806-10 1 10 mL Syringe in a bag (Syringe bears NDC 76329-3318-1) 1 mg/10 mL (0.1 mg/mL) Rx Only Manufactured by: INTERNATIONAL MEDICATION SYSTEMS, LIMITED So. EL MONTE, CA 91733, U.S.A. An Amphastar Pharmaceuticals Company ©INTERNATIONAL MEDICATION SYSTEMS, LIMITED 2022 REV 08/22


Medication Information

Warnings and Precautions

5.1 Hypertension Because individual response to epinephrine may vary significantly, monitor blood pressure frequently and titrate to avoid excessive increases in blood pressure. Patients receiving monoamine oxidase inhibitors (MAOI) or antidepressants of triptyline or imipramine types may experience severe, prolonged hypertension when given epinephrine. 5.2 Pulmonary Edema Epinephrine increases cardiac output and causes peripheral vasoconstriction, which may result in pulmonary edema. 5.3 Cardiac Arrhythmias and Ischemia Epinephrine may induce cardiac arrhythmias and myocardial ischemia in patients, especially patients suffering from coronary artery disease or cardiomyopathy [see Adverse Reactions (6) and Drug Interactions (7.3)]. 5.4 Extravasation and Tissue Necrosis with Intravenous Infusion Avoid extravasation of epinephrine into the tissues, to prevent local necrosis. When Epinephrine Injection is administered intravenously, check the infusion site frequently for free flow. Blanching along the course of the infused vein, sometimes without obvious extravasation, may be attributed to vasa vasorum constriction with increased permeability of the vein wall, permitting some leakage. This also may progress on rare occasions to superficial slough. Hence, if blanching occurs, consider changing the infusion site at intervals to allow the effects of local vasoconstriction to subside. There is a potential for gangrene in a lower extremity when infusions of catecholamine are given in an ankle vein. Antidote for Extravasation Ischemia: To prevent sloughing and necrosis in areas in which extravasation has taken place, infiltrate the area with 10 mL to 15 mL of saline solution containing from 5 mg to 10 mg of phentolamine, an adrenergic blocking agent. Use a syringe with a fine hypodermic needle, with the solution being infiltrated liberally throughout the area, which is easily identified by its cold, hard, and pallid appearance. Sympathetic blockade with phentolamine causes immediate and conspicuous local hyperemic changes if the area is infiltrated with 12 hours. 5.5 Renal Impairment Epinephrine constricts renal blood vessels, which may result in oliguria or renal impairment. 5.6 Allergic Reactions Associated with Sulfite Contains sodium bisulfite, which may cause mild to severe allergic reactions including anaphylaxis orasthmatic episodes, particularly in patients with a history of allergies. The presence of sodium bisulfite in this product should not preclude its use for the treatment of hypotension associated with septic shock, even if the patient is sulfite-sensitive, as the alternatives to using epinephrine in a life-threatening situation may not be satisfactory. In susceptible patients, consider using a formulation of epinephrine or another vasoconstrictor that does not contain sodium bisulfite.

Indications and Usage

1.1 Hypotension associated with Septic Shock Epinephrine Injection USP, 1 mg/10 mL (0.1 mg/mL) is indicated to increase mean arterial blood pressure in adult patients with hypotension associated with septic shock.

Dosage and Administration

2.1 General Considerations Inspect visually for particulate matter and discoloration prior to administration, whenever solution and container permit. Do not use if the solution is colored or cloudy, or if it contains particulate matter. Discard any unused portion. 2.2 Hypotension associated with Septic Shock Dilute epinephrine in 5% Dextrose Injection, USP or 5% Dextrose and Sodium Chloride solution. These dextrose containing fluids provide protection against significant loss of potency by oxidation. Administration in saline solution alone is not recommended. If indicated, administer whole blood or plasma separately. Add the entire contents of epinephrine prefilled syringe to 1000 mL of a 5% Dextrose containing solution. Each mL of this dilution contains 1 mcg of epinephrine. Whenever possible, give infusions of epinephrine into a large vein. Avoid using a catheter tie-in technique, because the obstruction to blood flow around the tubing may cause stasis and increased local concentration of the drug. Avoid the veins of the leg in elderly patients or in those suffering from occlusive vascular diseases. To provide hemodynamic support in septic shock associated hypotension in adult patients, the suggested dosing infusion rate of intravenously administered epinephrine is 0.05 mcg/kg/min to 2 mcg/kg/min, and is titrated to achieve a desired mean arterial pressure (MAP). The dosage may be adjusted periodically, such as every 10 to 15 minutes, in increments of 0.05 mcg/kg/min to 0.2 mcg/kg/min, to achieve the desired blood pressure goal. After hemodynamic stabilization, wean incrementally over time, such as by decreasing doses of epinephrine every 30 minutes over a 12- to 24-hour period.

Contraindications

None.

Adverse Reactions

The following adverse reactions are discussed elsewhere in labeling: • Hypertension [see Warnings and Precautions (5.1)] • Pulmonary Edema [see Warnings and Precautions (5.2)] • Cardiac Arrhythmias and Ischemia [see Warnings and Precautions (5.3)] • Extravassation and Tissue Necrosis with Intravenous Infusion [see Warnings and Precautions (5.4)] • Renal Impairment [see Warnings and Precautions (5.5)] • Allergic Reactions associated with Sulfite [see Warnings and Precautions (5.6)] The following adverse reactions associated with the infusion of epinephrine were identified in the literature. Because these reactions are reported voluntarily from a population of uncertain size, it is not always possible to estimate their frequency reliably or to establish a causal relationship to drug exposure. Cardiovascular disorders: tachycardia, supraventricular tachycardia, ventricular arrhythmias, myocardial ischemia, myocardial infarction, limb ischemia, pulmonary edema Gastrointestinal disorders: Nausea, vomiting General disorders and administrative site conditions: Chest pain, extravasation Metabolic: hypoglycemia, hyperglycemia, insulin resistance, hypokalemia, lactic acidosis Nervous system disorders: Headache, nervousness, paresthesia, tremor, stroke, central nervous system bleeding Psychiatric disorders: Excitability Renal disorders: Renal insufficiency Respiratory: Pulmonary edema, rales Skin and subcutaneous tissue disorders: Diaphoresis, pallor, piloerection, skin blanching, skin necrosis with extravasation

Drug Interactions

7.1 Drugs Antagonizing Pressor Effects of Epinephrine • α-blockers, such as phentolamine • Vasodilators, such as nitrates • Diuretics • Antihypertensives • Ergot alkaloids • Phenothiazine antipsychotics 7.2 Drugs Potentiating Pressor Effects of Epinephrine • Sympathomimetics • β-blockers, such as propranolol • Tricyclic anti-depressants • Monoamine oxidase (MAO) inhibitors • Catechol-O-methyl transferase (COMT) inhibitors, such as entacapon • Clonidine • Doxapram • Oxytocin 7.3 Drugs Potentiating Arrhythmogenic Effects of Epinephrine Patients who are concomitantly receiving any of the following drugs should be observed carefully for the development of cardiac arrhythmias [see Warnings and Precautions (5.6) and Adverse Reactions (6)]. • β-blockers, such as propranolol • Cyclopropane or halogenated hydrocarbon anesthetics, such as halothane • Antihistamines • Thyroid hormones • Diuretics • Cardiac glycosides, such as digitalis glycosides • Quinidine 7.4 Drugs Potentiating Hypokalemic Effects of Epinephrine • Potassium depleting diuretics • Corticosteroids • Theophylline

Storage and Handling

Epinephrine Injection USP, 1 mg/10 mL (0.1 mg/mL) is a clear colorless solution available in a single-dose Luer-Jet Luer-Lock prefilled syringe packaged in a carton. It is supplied in the following presentation. Epinephrine is light sensitive. Protect from light until ready to use. Do not refrigerate. Protect from freezing. Store at room temperature, between 20° to 25°C (68° to 77°F). (See USP Controlled Room Temperature.) Protect from alkalis and oxidizing agents. Product repackaged by: Henry Schein, Inc., Bastian, VA 24314  From Original Manufacturer/Distributor's NDC and Unit of Sale To Henry Schein Repackaged Product NDC and Unit of Sale Total Strength/Total Volume (Concentration) per unit NDC 76329-3318-1 Shrink wrapped bundle of 10 individual cartons NDC 0404-9806-10 1 10 mL Syringe in a bag (Syringe bears NDC 76329-3318-1) 1 mg/10 mL (0.1 mg/mL) Rx Only Manufactured by: INTERNATIONAL MEDICATION SYSTEMS, LIMITED So. EL MONTE, CA 91733, U.S.A. An Amphastar Pharmaceuticals Company ©INTERNATIONAL MEDICATION SYSTEMS, LIMITED 2022 REV 08/22

How Supplied

Epinephrine Injection USP, 1 mg/10 mL (0.1 mg/mL) is a clear colorless solution available in a single-dose Luer-Jet Luer-Lock prefilled syringe packaged in a carton. It is supplied in the following presentation. Epinephrine is light sensitive. Protect from light until ready to use. Do not refrigerate. Protect from freezing. Store at room temperature, between 20° to 25°C (68° to 77°F). (See USP Controlled Room Temperature.) Protect from alkalis and oxidizing agents. Product repackaged by: Henry Schein, Inc., Bastian, VA 24314  From Original Manufacturer/Distributor's NDC and Unit of Sale To Henry Schein Repackaged Product NDC and Unit of Sale Total Strength/Total Volume (Concentration) per unit NDC 76329-3318-1 Shrink wrapped bundle of 10 individual cartons NDC 0404-9806-10 1 10 mL Syringe in a bag (Syringe bears NDC 76329-3318-1) 1 mg/10 mL (0.1 mg/mL) Rx Only Manufactured by: INTERNATIONAL MEDICATION SYSTEMS, LIMITED So. EL MONTE, CA 91733, U.S.A. An Amphastar Pharmaceuticals Company ©INTERNATIONAL MEDICATION SYSTEMS, LIMITED 2022 REV 08/22

Description

1.1 Hypotension associated with Septic Shock Epinephrine Injection USP, 1 mg/10 mL (0.1 mg/mL) is indicated to increase mean arterial blood pressure in adult patients with hypotension associated with septic shock.

10 Overdosage

Overdosage of epinephrine may produce extremely elevated arterial pressure, which may result in cerebrovascular hemorrhage, particularly in elderly patients. Overdosage may also result in pulmonary edema because of peripheral vascular constriction together with cardiac stimulation. Epinephrine overdosage may also cause transient bradycardia followed by tachycardia and these may be accompanied by potentially fatal cardiac arrhythmias. Premature ventricular contractions may appear within one minute after injection and may be followed by multifocal ventricular tachycardia (prefibrillation rhythm). Subsidence of the ventricular effects may be followed by atrial tachycardia and occasionally by atrioventricular block. Myocardial ischemia and infarction, cardiomyopathy, extreme pallor and coldness of the skin, metabolic acidosis due to elevated blood lactic acid levels, and renal insufficiency and failure have also been reported.

Epinephrine is rapidly inactivated in the body and treatment following overdose is primarily supportive. Treatment of pulmonary edema consists of a rapidly acting alpha-adrenergic blocking drug (such as phentolamine mesylate) and respiratory support. Treatment of arrhythmias consists of administration of a beta-adrenergic blocking drug (such as propranolol). If necessary, pressor effects may be counteracted by rapidly acting vasodilators (such as nitrites) or alpha-adrenergic blocking drugs. If prolonged hypotension follows such measures, it may be necessary to administer another pressor drug.

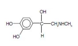
11 Description

Epinephrine, USP is a non-selective alpha and beta-adrenergic agonist designated chemically as (R)-4-(1-Hydroxy-2-(methylamino)ethyl)benzene-1,2-diol, a white, microcrystalline powder. It has the following structural formula:

The molecular weight of epinephrine is 183.2.

Epinephrine solution deteriorates rapidly on exposure to air or light, turning pink from oxidation to adrenochrome and brown from the formation of melanin.

Epinephrine Injection USP, 1 mg/10 mL (0.1 mg/mL) is supplied as a sterile aqueous solution that is clear, colorless and nonpyrogenic. Each mL of the solution contains epinephrine (0.1 mg) as the active ingredient and the following inactive ingredients: citric acid monohydrate (3.3 mg), edetate disodium dihydrate (0.004 mg), sodium chloride (8.2 mg), sodium citrate dihydrate (1.5 mg), sodium metabisulfite, and Water for Injection. Hydrochloric acid solution is added to dissolve the active ingredient. Sodium hydroxide solution is added to adjust the pH. Nitrogen is used for blanketing protection.

Solution must be diluted prior to intravenous use.

14 Clinical Studies

14.1 Hypotension associated with Septic Shock

Fourteen clinical studies from the literature documented that epinephrine increases the mean arterial pressure (MAP) in patients with hypotension associated with septic shock.

4 Contraindications

None.

6 Adverse Reactions

The following adverse reactions are discussed elsewhere in labeling:

• Hypertension [see Warnings and Precautions (5.1)]

• Pulmonary Edema [see Warnings and Precautions (5.2)]

• Cardiac Arrhythmias and Ischemia [see Warnings and Precautions (5.3)]

• Extravassation and Tissue Necrosis with Intravenous Infusion [see Warnings and Precautions (5.4)]

• Renal Impairment [see Warnings and Precautions (5.5)]

• Allergic Reactions associated with Sulfite [see Warnings and Precautions (5.6)]

The following adverse reactions associated with the infusion of epinephrine were identified in the literature. Because these reactions are reported voluntarily from a population of uncertain size, it is not always possible to estimate their frequency reliably or to establish a causal relationship to drug exposure.

Cardiovascular disorders: tachycardia, supraventricular tachycardia, ventricular arrhythmias, myocardial ischemia, myocardial infarction, limb ischemia, pulmonary edema

Gastrointestinal disorders: Nausea, vomiting

General disorders and administrative site conditions: Chest pain, extravasation

Metabolic: hypoglycemia, hyperglycemia, insulin resistance, hypokalemia, lactic acidosis

Nervous system disorders: Headache, nervousness, paresthesia, tremor, stroke, central nervous system bleeding

Psychiatric disorders: Excitability

Renal disorders: Renal insufficiency

Respiratory: Pulmonary edema, rales

Skin and subcutaneous tissue disorders: Diaphoresis, pallor, piloerection, skin blanching, skin necrosis with extravasation

7 Drug Interactions

7.1 Drugs Antagonizing Pressor Effects of Epinephrine

• α-blockers, such as phentolamine

• Vasodilators, such as nitrates

• Diuretics

• Antihypertensives

• Ergot alkaloids

• Phenothiazine antipsychotics

7.2 Drugs Potentiating Pressor Effects of Epinephrine

• Sympathomimetics

• β-blockers, such as propranolol

• Tricyclic anti-depressants

• Monoamine oxidase (MAO) inhibitors

• Catechol-O-methyl transferase (COMT) inhibitors, such as entacapon

• Clonidine

• Doxapram

• Oxytocin

7.3 Drugs Potentiating Arrhythmogenic Effects of Epinephrine

Patients who are concomitantly receiving any of the following drugs should be observed carefully for the development of cardiac arrhythmias [see Warnings and Precautions (5.6) and Adverse Reactions (6)].

• β-blockers, such as propranolol

• Cyclopropane or halogenated hydrocarbon anesthetics, such as halothane

• Antihistamines

• Thyroid hormones

• Diuretics

• Cardiac glycosides, such as digitalis glycosides

• Quinidine

7.4 Drugs Potentiating Hypokalemic Effects of Epinephrine

• Potassium depleting diuretics

• Corticosteroids

• Theophylline

Sample Package Label

1 Indications and Usage

1.1 Hypotension associated with Septic Shock

Epinephrine Injection USP, 1 mg/10 mL (0.1 mg/mL) is indicated to increase mean arterial blood pressure in adult patients with hypotension associated with septic shock.

12 Clinical Pharmacology

12.1 Mechanism of Action

Epinephrine acts on both alpha (α)- and beta (β)-adrenergic receptors. The mechanism of the rise in blood pressure is 3-fold: a direct myocardial stimulation that increases the strength of ventricular contraction (positive inotropic action), an increased heart rate (positive chronotropic action), and peripheral vasoconstriction.

12.2 Pharmacodynamics

Intravenous use for hypotension associated with septic shock

Following intravenous administration of epinephrine, increases in systolic blood pressure and heart rate are observed. Decreases in systemic vascular resistance and diastolic blood pressure are observed at low doses of epinephrine because of β2-mediated vasodilation, but are overtaken by α1-mediated peripheral vasoconstriction at higher doses leading to increase in diastolic blood pressure. The onset of blood pressure increase following an intravenous dose of epinephrine is < 5 minutes and the time to offset blood pressure response occurs within 20 min. Most vascular beds are constricted including renal, splanchnic, mucosal and skin.

12.3 Pharmacokinetics

Following intravenous injection, epinephrine is rapidly cleared from the plasma with an effective half-life of < 5 min. A pharmacokinetic steady state following continuous intravenous infusion is achieved within 10-15 min. In patients with septic shock, epinephrine displays dose-proportional pharmacokinetics in the infusion dose range of 0.03 to 1.7 mcg/kg/min.

Epinephrine is extensively metabolized with only a small amount excreted unchanged.

Epinephrine is rapidly degraded to vanillylmandelic acid, an inactive metabolite, by monoamine oxidase and catechol-O-methyltransferase that are abundantly expressed in the liver, kidneys and other extraneuronal tissues. The tissues with the highest contribution to removal of circulating exogenous epinephrine are the liver (32%), kidneys (25%), skeletal muscle (20%), and mesenteric organs (12%).

Specific Populations

Elderly

In a pharmacokinetic study of 45-minute epinephrine infusions given to healthy men aged 20 to 25 years and healthy men aged 60 to 65 years, the mean plasma metabolic clearance rate of epinephrine at steady state was greater among the older men (144.8 versus 78 mL/kg/min for a 14.3 ng/kg/min infusion).

Body Weight

Body weight has been found to influence epinephrine pharmacokinetics. Higher body weight was associated with a higher plasma epinephrine clearance and a lower concentration plateau.

13 Nonclinical Toxicology

13.1 Carcinogenesis, Mutagenesis, Impairment of Fertility

Long-term studies to evaluate the carcinogenic potential of epinephrine have not been conducted.

Epinephrine and other catecholamines have been shown to have mutagenic potential in vitro. Epinephrine was positive in the Salmonella bacterial reverse mutation assay, positive in the mouse lymphoma assay, and negative in the in vivo micronucleus assay. Epinephrine is an oxidative mutagen based on the E. coli WP2 Mutoxitest bacterial reverse mutation assay. This should not prevent the use of epinephrine under the conditions noted under the Indications and Usage.

The potential for epinephrine to impair reproductive performance has not been evaluated, but epinephrine has been shown to decrease implantation in female rabbits dosed subcutaneously with 1.2 mg/kg/day (15-fold the highest human intramuscular or subcutaneous daily dose) during gestation days 3 to 9.

13.2 Animal Toxicology and/or Pharmacology

Epinephrine was associated with metabolic effects, decreased mesentery, coronary and renal conductance in a sheep model of septic shock. Data from hemolysis study have shown that epinephrine at 1:1000 dilution is non-hemolytic. Epinephrine infusion significantly increased the MAP (69 vs. 86 mmHg) and cardiac output (6.4 vs. 7.1 L/min) and decreased renal blood flow (330 vs. 247 mL/min).

5 Warnings and Precautions

5.1 Hypertension

Because individual response to epinephrine may vary significantly, monitor blood pressure frequently and titrate to avoid excessive increases in blood pressure.

Patients receiving monoamine oxidase inhibitors (MAOI) or antidepressants of triptyline or imipramine types may experience severe, prolonged hypertension when given epinephrine.

5.2 Pulmonary Edema

Epinephrine increases cardiac output and causes peripheral vasoconstriction, which may result in pulmonary edema.

5.3 Cardiac Arrhythmias and Ischemia

Epinephrine may induce cardiac arrhythmias and myocardial ischemia in patients, especially patients suffering from coronary artery disease or cardiomyopathy [see Adverse Reactions (6) and Drug Interactions (7.3)].

5.4 Extravasation and Tissue Necrosis with Intravenous Infusion

Avoid extravasation of epinephrine into the tissues, to prevent local necrosis. When Epinephrine Injection is administered intravenously, check the infusion site frequently for free flow. Blanching along the course of the infused vein, sometimes without obvious extravasation, may be attributed to vasa vasorum constriction with increased permeability of the vein wall, permitting some leakage. This also may progress on rare occasions to superficial slough. Hence, if blanching occurs, consider changing the infusion site at intervals to allow the effects of local vasoconstriction to subside.

There is a potential for gangrene in a lower extremity when infusions of catecholamine are given in an ankle vein.

Antidote for Extravasation Ischemia: To prevent sloughing and necrosis in areas in which extravasation has taken place, infiltrate the area with 10 mL to 15 mL of saline solution containing from 5 mg to 10 mg of phentolamine, an adrenergic blocking agent. Use a syringe with a fine hypodermic needle, with the solution being infiltrated liberally throughout the area, which is easily identified by its cold, hard, and pallid appearance. Sympathetic blockade with phentolamine causes immediate and conspicuous local hyperemic changes if the area is infiltrated with 12 hours.

5.5 Renal Impairment

Epinephrine constricts renal blood vessels, which may result in oliguria or renal impairment.

5.6 Allergic Reactions Associated with Sulfite

Contains sodium bisulfite, which may cause mild to severe allergic reactions including anaphylaxis orasthmatic episodes, particularly in patients with a history of allergies. The presence of sodium bisulfite in this product should not preclude its use for the treatment of hypotension associated with septic shock, even if the patient is sulfite-sensitive, as the alternatives to using epinephrine in a life-threatening situation may not be satisfactory. In susceptible patients, consider using a formulation of epinephrine or another vasoconstrictor that does not contain sodium bisulfite.

2 Dosage and Administration

2.1 General Considerations

Inspect visually for particulate matter and discoloration prior to administration, whenever solution and container permit. Do not use if the solution is colored or cloudy, or if it contains particulate matter. Discard any unused portion.

2.2 Hypotension associated with Septic Shock

Dilute epinephrine in 5% Dextrose Injection, USP or 5% Dextrose and Sodium Chloride solution. These dextrose containing fluids provide protection against significant loss of potency by oxidation. Administration in saline solution alone is not recommended. If indicated, administer whole blood or plasma separately.

Add the entire contents of epinephrine prefilled syringe to 1000 mL of a 5% Dextrose containing solution. Each mL of this dilution contains 1 mcg of epinephrine.

Whenever possible, give infusions of epinephrine into a large vein. Avoid using a catheter tie-in technique, because the obstruction to blood flow around the tubing may cause stasis and increased local concentration of the drug. Avoid the veins of the leg in elderly patients or in those suffering from occlusive vascular diseases.

To provide hemodynamic support in septic shock associated hypotension in adult patients, the suggested dosing infusion rate of intravenously administered epinephrine is 0.05 mcg/kg/min to 2 mcg/kg/min, and is titrated to achieve a desired mean arterial pressure (MAP). The dosage may be adjusted periodically, such as every 10 to 15 minutes, in increments of 0.05 mcg/kg/min to 0.2 mcg/kg/min, to achieve the desired blood pressure goal.

After hemodynamic stabilization, wean incrementally over time, such as by decreasing doses of epinephrine every 30 minutes over a 12- to 24-hour period.

3 Dosage Forms and Strengths

Injection: 10 mL single-dose prefilled syringe containing 1 mg/10 mL (0.1 mg/mL) epinephrine as the hydrochloride in a sterile, clear and colorless solution.

8 Use in Specific Populations

8.1 Pregnancy

Risk Summary

Limited published data on epinephrine use in pregnant women are not sufficient to determine a drug-associated risk for major birth defects or miscarriage. However, there are risks to the mother and fetus associated with epinephrine use during labor or delivery, and risks due to untreated hypotension associated with septic shock (see Clinical Considerations). In animal reproduction studies, epinephrine demostrated adverse developmental effects when administed to pregnant rabbits (gastroschisis), mice (teratogenie effects, embryonic lethality, and delayed skeletal ossification), and hamsters (embryonic lethality and delayed skeletal ossification) during organogenesis at doses approximately 15 times, 3 times and 2 times, respectively, the maximum recommended daily intramuscular or subcutaneous dose (see Data).

The estimated background risk of major birth defects and miscarriage for the indicated population is unknown. All pregnancies have a background risk of birth defect, loss, or other adverse outcomes. In the United States general population, the estimated background risk of major birth defects and miscarriage in clinically recognized pregnancies is 2 to 4% and 15 to 20%, respectively.

Clinical Considerations

Hypotension associated with septic shock is a medical emergency in pregnancy which can be fatal if left untreated. Delaying treatment in pregnant women with hypotension associated with septic shock may increase the risk of maternal and fetal morbidity and mortality. Do not withhold life-sustaining therapy for a pregnant woman.

Labor or Delivery

Epinephrine usually inhibits spontaneous or oxytocin-induced contractions of the pregnant human uterus and may delay the second stage of labor. Avoid epinephrine during the second stage of labor. In dosage sufficient to reduce uterine contractions, the drug may cause a prolonged period of uterine atony with hemorrhage. Avoid epinephrine in obstetrics when maternal blood pressure exceeds 130/80 mmHg.

Although epinephrine may improve maternal hypotension associated with septic shock and anaphylaxis, it may result in uterine vasoconstriction, decreased uterine blood flow, and fetal anoxia.

Data

Animal Data

In an embryofetal development study with pregnant rabbits dosed during the period of organogenesis (on days 3 to 5, 6 to 7, or 7 to 9 of gestation), epinephrine caused teratogenic effects (including gastroschisis) at doses approximately 15 times the maximum recommended intramuscular, subcutaneous, or intravenous dose (on a mg/m2 basis at a maternal subcutaneous dose of 1.2 mg/kg/day for 2 to 3 days).Animals treated on days 6 to 7 had decreased number of implantations.

In an embryofetal development study, pregnant mice were administered epinephrine (0.1 to 10 mg/kg/day) on Gestation Days 6 to 15. Teratogenic effects, embryonic lethality, and delays in skeletal ossification were observed at approximately 3 times the maximum recommended intramuscular, subcutaneous, or intravenous dose (on a mg/m2 basis at maternal subcutaneous dose of 1 mg/kg/day for 10 days). These effects were not seen in mice at approximately 2 times the maximum recommended daily intramuscular or subcutaneous dose (on a mg/m2 basis at a subcutaneous maternal dose of 0.5 mg/kg/day for 10 days).

In an embryofetal development study with pregnant hamsters dosed during the period of organogenesis from gestation days 7 to 10, epinephrine produced reductions in litter size and delayed skeletal ossification at doses approximately 2 times the maximum recommended intramuscular, subcutaneous, or intravenous dose (on a mg/m2 basis at a maternal subcutaneous dose of 0.5 mg/kg/day).

8.2 Lactation

Risk Summary

There is no information regarding the presence of epinephrine in human milk or the effects of epinephrine on the breastfed infant or on milk production. However, due to its poor oral bioavailability and short half-life, epinephrine exposure is expected to be very low in the breastfed infant. The lack of clinical data during lactation precludes a clear determination of the risk of epinephrine to a breastfed infant.

8.4 Pediatric Use

Safety and effectiveness of epinephrine in pediatric patients with septic shock have not been established.

8.5 Geriatric Use

Clinical studies of epinephrine for the treatment of hypotension associated with septic shock did not include sufficient numbers of subjects aged 65 and over to determine whether they respond differently from younger subjects. Other reported clinical experience has not identified differences in responses between the elderly and younger patients. In general, dose selection for an elderly patient should be cautious, usually starting at the low end of the dosing range, reflecting the greater frequency of decreased hepatic, renal, or cardiac function, and of concomitant disease or other drug therapy.

16 How Supplied/storage and Handling

Epinephrine Injection USP, 1 mg/10 mL (0.1 mg/mL) is a clear colorless solution available in a single-dose Luer-Jet Luer-Lock prefilled syringe packaged in a carton.

It is supplied in the following presentation.

Epinephrine is light sensitive. Protect from light until ready to use.

Do not refrigerate. Protect from freezing.

Store at room temperature, between 20° to 25°C (68° to 77°F). (See USP Controlled Room Temperature.) Protect from alkalis and oxidizing agents.

Product repackaged by: Henry Schein, Inc., Bastian, VA 24314 
From Original Manufacturer/Distributor's NDC and Unit of Sale To Henry Schein Repackaged Product NDC and Unit of Sale Total Strength/Total Volume (Concentration) per unit
NDC 76329-3318-1

Shrink wrapped bundle of 10 individual cartons
NDC 0404-9806-10

1 10 mL Syringe in a bag

(Syringe bears NDC 76329-3318-1)
1 mg/10 mL

(0.1 mg/mL)

Rx Only

Manufactured by:

INTERNATIONAL MEDICATION SYSTEMS, LIMITED

So. EL MONTE, CA 91733, U.S.A.

An Amphastar Pharmaceuticals Company

©INTERNATIONAL MEDICATION SYSTEMS, LIMITED 2022

REV 08/22


Structured Label Content

10 Overdosage (10 OVERDOSAGE)

Overdosage of epinephrine may produce extremely elevated arterial pressure, which may result in cerebrovascular hemorrhage, particularly in elderly patients. Overdosage may also result in pulmonary edema because of peripheral vascular constriction together with cardiac stimulation. Epinephrine overdosage may also cause transient bradycardia followed by tachycardia and these may be accompanied by potentially fatal cardiac arrhythmias. Premature ventricular contractions may appear within one minute after injection and may be followed by multifocal ventricular tachycardia (prefibrillation rhythm). Subsidence of the ventricular effects may be followed by atrial tachycardia and occasionally by atrioventricular block. Myocardial ischemia and infarction, cardiomyopathy, extreme pallor and coldness of the skin, metabolic acidosis due to elevated blood lactic acid levels, and renal insufficiency and failure have also been reported.

Epinephrine is rapidly inactivated in the body and treatment following overdose is primarily supportive. Treatment of pulmonary edema consists of a rapidly acting alpha-adrenergic blocking drug (such as phentolamine mesylate) and respiratory support. Treatment of arrhythmias consists of administration of a beta-adrenergic blocking drug (such as propranolol). If necessary, pressor effects may be counteracted by rapidly acting vasodilators (such as nitrites) or alpha-adrenergic blocking drugs. If prolonged hypotension follows such measures, it may be necessary to administer another pressor drug.

11 Description (11 DESCRIPTION)

Epinephrine, USP is a non-selective alpha and beta-adrenergic agonist designated chemically as (R)-4-(1-Hydroxy-2-(methylamino)ethyl)benzene-1,2-diol, a white, microcrystalline powder. It has the following structural formula:

The molecular weight of epinephrine is 183.2.

Epinephrine solution deteriorates rapidly on exposure to air or light, turning pink from oxidation to adrenochrome and brown from the formation of melanin.

Epinephrine Injection USP, 1 mg/10 mL (0.1 mg/mL) is supplied as a sterile aqueous solution that is clear, colorless and nonpyrogenic. Each mL of the solution contains epinephrine (0.1 mg) as the active ingredient and the following inactive ingredients: citric acid monohydrate (3.3 mg), edetate disodium dihydrate (0.004 mg), sodium chloride (8.2 mg), sodium citrate dihydrate (1.5 mg), sodium metabisulfite, and Water for Injection. Hydrochloric acid solution is added to dissolve the active ingredient. Sodium hydroxide solution is added to adjust the pH. Nitrogen is used for blanketing protection.

Solution must be diluted prior to intravenous use.

14 Clinical Studies (14 CLINICAL STUDIES)

14.1 Hypotension associated with Septic Shock

Fourteen clinical studies from the literature documented that epinephrine increases the mean arterial pressure (MAP) in patients with hypotension associated with septic shock.

4 Contraindications (4 CONTRAINDICATIONS)

None.

6 Adverse Reactions (6 ADVERSE REACTIONS)

The following adverse reactions are discussed elsewhere in labeling:

• Hypertension [see Warnings and Precautions (5.1)]

• Pulmonary Edema [see Warnings and Precautions (5.2)]

• Cardiac Arrhythmias and Ischemia [see Warnings and Precautions (5.3)]

• Extravassation and Tissue Necrosis with Intravenous Infusion [see Warnings and Precautions (5.4)]

• Renal Impairment [see Warnings and Precautions (5.5)]

• Allergic Reactions associated with Sulfite [see Warnings and Precautions (5.6)]

The following adverse reactions associated with the infusion of epinephrine were identified in the literature. Because these reactions are reported voluntarily from a population of uncertain size, it is not always possible to estimate their frequency reliably or to establish a causal relationship to drug exposure.

Cardiovascular disorders: tachycardia, supraventricular tachycardia, ventricular arrhythmias, myocardial ischemia, myocardial infarction, limb ischemia, pulmonary edema

Gastrointestinal disorders: Nausea, vomiting

General disorders and administrative site conditions: Chest pain, extravasation

Metabolic: hypoglycemia, hyperglycemia, insulin resistance, hypokalemia, lactic acidosis

Nervous system disorders: Headache, nervousness, paresthesia, tremor, stroke, central nervous system bleeding

Psychiatric disorders: Excitability

Renal disorders: Renal insufficiency

Respiratory: Pulmonary edema, rales

Skin and subcutaneous tissue disorders: Diaphoresis, pallor, piloerection, skin blanching, skin necrosis with extravasation

7 Drug Interactions (7 DRUG INTERACTIONS)

7.1 Drugs Antagonizing Pressor Effects of Epinephrine

• α-blockers, such as phentolamine

• Vasodilators, such as nitrates

• Diuretics

• Antihypertensives

• Ergot alkaloids

• Phenothiazine antipsychotics

7.2 Drugs Potentiating Pressor Effects of Epinephrine

• Sympathomimetics

• β-blockers, such as propranolol

• Tricyclic anti-depressants

• Monoamine oxidase (MAO) inhibitors

• Catechol-O-methyl transferase (COMT) inhibitors, such as entacapon

• Clonidine

• Doxapram

• Oxytocin

7.3 Drugs Potentiating Arrhythmogenic Effects of Epinephrine

Patients who are concomitantly receiving any of the following drugs should be observed carefully for the development of cardiac arrhythmias [see Warnings and Precautions (5.6) and Adverse Reactions (6)].

• β-blockers, such as propranolol

• Cyclopropane or halogenated hydrocarbon anesthetics, such as halothane

• Antihistamines

• Thyroid hormones

• Diuretics

• Cardiac glycosides, such as digitalis glycosides

• Quinidine

7.4 Drugs Potentiating Hypokalemic Effects of Epinephrine

• Potassium depleting diuretics

• Corticosteroids

• Theophylline

Sample Package Label

1 Indications and Usage (1 INDICATIONS AND USAGE)

1.1 Hypotension associated with Septic Shock

Epinephrine Injection USP, 1 mg/10 mL (0.1 mg/mL) is indicated to increase mean arterial blood pressure in adult patients with hypotension associated with septic shock.

12 Clinical Pharmacology (12 CLINICAL PHARMACOLOGY)

12.1 Mechanism of Action

Epinephrine acts on both alpha (α)- and beta (β)-adrenergic receptors. The mechanism of the rise in blood pressure is 3-fold: a direct myocardial stimulation that increases the strength of ventricular contraction (positive inotropic action), an increased heart rate (positive chronotropic action), and peripheral vasoconstriction.

12.2 Pharmacodynamics

Intravenous use for hypotension associated with septic shock

Following intravenous administration of epinephrine, increases in systolic blood pressure and heart rate are observed. Decreases in systemic vascular resistance and diastolic blood pressure are observed at low doses of epinephrine because of β2-mediated vasodilation, but are overtaken by α1-mediated peripheral vasoconstriction at higher doses leading to increase in diastolic blood pressure. The onset of blood pressure increase following an intravenous dose of epinephrine is < 5 minutes and the time to offset blood pressure response occurs within 20 min. Most vascular beds are constricted including renal, splanchnic, mucosal and skin.

12.3 Pharmacokinetics

Following intravenous injection, epinephrine is rapidly cleared from the plasma with an effective half-life of < 5 min. A pharmacokinetic steady state following continuous intravenous infusion is achieved within 10-15 min. In patients with septic shock, epinephrine displays dose-proportional pharmacokinetics in the infusion dose range of 0.03 to 1.7 mcg/kg/min.

Epinephrine is extensively metabolized with only a small amount excreted unchanged.

Epinephrine is rapidly degraded to vanillylmandelic acid, an inactive metabolite, by monoamine oxidase and catechol-O-methyltransferase that are abundantly expressed in the liver, kidneys and other extraneuronal tissues. The tissues with the highest contribution to removal of circulating exogenous epinephrine are the liver (32%), kidneys (25%), skeletal muscle (20%), and mesenteric organs (12%).

Specific Populations

Elderly

In a pharmacokinetic study of 45-minute epinephrine infusions given to healthy men aged 20 to 25 years and healthy men aged 60 to 65 years, the mean plasma metabolic clearance rate of epinephrine at steady state was greater among the older men (144.8 versus 78 mL/kg/min for a 14.3 ng/kg/min infusion).

Body Weight

Body weight has been found to influence epinephrine pharmacokinetics. Higher body weight was associated with a higher plasma epinephrine clearance and a lower concentration plateau.

13 Nonclinical Toxicology (13 NONCLINICAL TOXICOLOGY)

13.1 Carcinogenesis, Mutagenesis, Impairment of Fertility

Long-term studies to evaluate the carcinogenic potential of epinephrine have not been conducted.

Epinephrine and other catecholamines have been shown to have mutagenic potential in vitro. Epinephrine was positive in the Salmonella bacterial reverse mutation assay, positive in the mouse lymphoma assay, and negative in the in vivo micronucleus assay. Epinephrine is an oxidative mutagen based on the E. coli WP2 Mutoxitest bacterial reverse mutation assay. This should not prevent the use of epinephrine under the conditions noted under the Indications and Usage.

The potential for epinephrine to impair reproductive performance has not been evaluated, but epinephrine has been shown to decrease implantation in female rabbits dosed subcutaneously with 1.2 mg/kg/day (15-fold the highest human intramuscular or subcutaneous daily dose) during gestation days 3 to 9.

13.2 Animal Toxicology and/or Pharmacology

Epinephrine was associated with metabolic effects, decreased mesentery, coronary and renal conductance in a sheep model of septic shock. Data from hemolysis study have shown that epinephrine at 1:1000 dilution is non-hemolytic. Epinephrine infusion significantly increased the MAP (69 vs. 86 mmHg) and cardiac output (6.4 vs. 7.1 L/min) and decreased renal blood flow (330 vs. 247 mL/min).

5 Warnings and Precautions (5 WARNINGS AND PRECAUTIONS)

5.1 Hypertension

Because individual response to epinephrine may vary significantly, monitor blood pressure frequently and titrate to avoid excessive increases in blood pressure.

Patients receiving monoamine oxidase inhibitors (MAOI) or antidepressants of triptyline or imipramine types may experience severe, prolonged hypertension when given epinephrine.

5.2 Pulmonary Edema

Epinephrine increases cardiac output and causes peripheral vasoconstriction, which may result in pulmonary edema.

5.3 Cardiac Arrhythmias and Ischemia

Epinephrine may induce cardiac arrhythmias and myocardial ischemia in patients, especially patients suffering from coronary artery disease or cardiomyopathy [see Adverse Reactions (6) and Drug Interactions (7.3)].

5.4 Extravasation and Tissue Necrosis with Intravenous Infusion

Avoid extravasation of epinephrine into the tissues, to prevent local necrosis. When Epinephrine Injection is administered intravenously, check the infusion site frequently for free flow. Blanching along the course of the infused vein, sometimes without obvious extravasation, may be attributed to vasa vasorum constriction with increased permeability of the vein wall, permitting some leakage. This also may progress on rare occasions to superficial slough. Hence, if blanching occurs, consider changing the infusion site at intervals to allow the effects of local vasoconstriction to subside.

There is a potential for gangrene in a lower extremity when infusions of catecholamine are given in an ankle vein.

Antidote for Extravasation Ischemia: To prevent sloughing and necrosis in areas in which extravasation has taken place, infiltrate the area with 10 mL to 15 mL of saline solution containing from 5 mg to 10 mg of phentolamine, an adrenergic blocking agent. Use a syringe with a fine hypodermic needle, with the solution being infiltrated liberally throughout the area, which is easily identified by its cold, hard, and pallid appearance. Sympathetic blockade with phentolamine causes immediate and conspicuous local hyperemic changes if the area is infiltrated with 12 hours.

5.5 Renal Impairment

Epinephrine constricts renal blood vessels, which may result in oliguria or renal impairment.

5.6 Allergic Reactions Associated with Sulfite

Contains sodium bisulfite, which may cause mild to severe allergic reactions including anaphylaxis orasthmatic episodes, particularly in patients with a history of allergies. The presence of sodium bisulfite in this product should not preclude its use for the treatment of hypotension associated with septic shock, even if the patient is sulfite-sensitive, as the alternatives to using epinephrine in a life-threatening situation may not be satisfactory. In susceptible patients, consider using a formulation of epinephrine or another vasoconstrictor that does not contain sodium bisulfite.

2 Dosage and Administration (2 DOSAGE AND ADMINISTRATION)

2.1 General Considerations

Inspect visually for particulate matter and discoloration prior to administration, whenever solution and container permit. Do not use if the solution is colored or cloudy, or if it contains particulate matter. Discard any unused portion.

2.2 Hypotension associated with Septic Shock

Dilute epinephrine in 5% Dextrose Injection, USP or 5% Dextrose and Sodium Chloride solution. These dextrose containing fluids provide protection against significant loss of potency by oxidation. Administration in saline solution alone is not recommended. If indicated, administer whole blood or plasma separately.

Add the entire contents of epinephrine prefilled syringe to 1000 mL of a 5% Dextrose containing solution. Each mL of this dilution contains 1 mcg of epinephrine.

Whenever possible, give infusions of epinephrine into a large vein. Avoid using a catheter tie-in technique, because the obstruction to blood flow around the tubing may cause stasis and increased local concentration of the drug. Avoid the veins of the leg in elderly patients or in those suffering from occlusive vascular diseases.

To provide hemodynamic support in septic shock associated hypotension in adult patients, the suggested dosing infusion rate of intravenously administered epinephrine is 0.05 mcg/kg/min to 2 mcg/kg/min, and is titrated to achieve a desired mean arterial pressure (MAP). The dosage may be adjusted periodically, such as every 10 to 15 minutes, in increments of 0.05 mcg/kg/min to 0.2 mcg/kg/min, to achieve the desired blood pressure goal.

After hemodynamic stabilization, wean incrementally over time, such as by decreasing doses of epinephrine every 30 minutes over a 12- to 24-hour period.

3 Dosage Forms and Strengths (3 DOSAGE FORMS AND STRENGTHS)

Injection: 10 mL single-dose prefilled syringe containing 1 mg/10 mL (0.1 mg/mL) epinephrine as the hydrochloride in a sterile, clear and colorless solution.

8 Use in Specific Populations (8 USE IN SPECIFIC POPULATIONS)

8.1 Pregnancy

Risk Summary

Limited published data on epinephrine use in pregnant women are not sufficient to determine a drug-associated risk for major birth defects or miscarriage. However, there are risks to the mother and fetus associated with epinephrine use during labor or delivery, and risks due to untreated hypotension associated with septic shock (see Clinical Considerations). In animal reproduction studies, epinephrine demostrated adverse developmental effects when administed to pregnant rabbits (gastroschisis), mice (teratogenie effects, embryonic lethality, and delayed skeletal ossification), and hamsters (embryonic lethality and delayed skeletal ossification) during organogenesis at doses approximately 15 times, 3 times and 2 times, respectively, the maximum recommended daily intramuscular or subcutaneous dose (see Data).

The estimated background risk of major birth defects and miscarriage for the indicated population is unknown. All pregnancies have a background risk of birth defect, loss, or other adverse outcomes. In the United States general population, the estimated background risk of major birth defects and miscarriage in clinically recognized pregnancies is 2 to 4% and 15 to 20%, respectively.

Clinical Considerations

Hypotension associated with septic shock is a medical emergency in pregnancy which can be fatal if left untreated. Delaying treatment in pregnant women with hypotension associated with septic shock may increase the risk of maternal and fetal morbidity and mortality. Do not withhold life-sustaining therapy for a pregnant woman.

Labor or Delivery

Epinephrine usually inhibits spontaneous or oxytocin-induced contractions of the pregnant human uterus and may delay the second stage of labor. Avoid epinephrine during the second stage of labor. In dosage sufficient to reduce uterine contractions, the drug may cause a prolonged period of uterine atony with hemorrhage. Avoid epinephrine in obstetrics when maternal blood pressure exceeds 130/80 mmHg.

Although epinephrine may improve maternal hypotension associated with septic shock and anaphylaxis, it may result in uterine vasoconstriction, decreased uterine blood flow, and fetal anoxia.

Data

Animal Data

In an embryofetal development study with pregnant rabbits dosed during the period of organogenesis (on days 3 to 5, 6 to 7, or 7 to 9 of gestation), epinephrine caused teratogenic effects (including gastroschisis) at doses approximately 15 times the maximum recommended intramuscular, subcutaneous, or intravenous dose (on a mg/m2 basis at a maternal subcutaneous dose of 1.2 mg/kg/day for 2 to 3 days).Animals treated on days 6 to 7 had decreased number of implantations.

In an embryofetal development study, pregnant mice were administered epinephrine (0.1 to 10 mg/kg/day) on Gestation Days 6 to 15. Teratogenic effects, embryonic lethality, and delays in skeletal ossification were observed at approximately 3 times the maximum recommended intramuscular, subcutaneous, or intravenous dose (on a mg/m2 basis at maternal subcutaneous dose of 1 mg/kg/day for 10 days). These effects were not seen in mice at approximately 2 times the maximum recommended daily intramuscular or subcutaneous dose (on a mg/m2 basis at a subcutaneous maternal dose of 0.5 mg/kg/day for 10 days).

In an embryofetal development study with pregnant hamsters dosed during the period of organogenesis from gestation days 7 to 10, epinephrine produced reductions in litter size and delayed skeletal ossification at doses approximately 2 times the maximum recommended intramuscular, subcutaneous, or intravenous dose (on a mg/m2 basis at a maternal subcutaneous dose of 0.5 mg/kg/day).

8.2 Lactation

Risk Summary

There is no information regarding the presence of epinephrine in human milk or the effects of epinephrine on the breastfed infant or on milk production. However, due to its poor oral bioavailability and short half-life, epinephrine exposure is expected to be very low in the breastfed infant. The lack of clinical data during lactation precludes a clear determination of the risk of epinephrine to a breastfed infant.

8.4 Pediatric Use

Safety and effectiveness of epinephrine in pediatric patients with septic shock have not been established.

8.5 Geriatric Use

Clinical studies of epinephrine for the treatment of hypotension associated with septic shock did not include sufficient numbers of subjects aged 65 and over to determine whether they respond differently from younger subjects. Other reported clinical experience has not identified differences in responses between the elderly and younger patients. In general, dose selection for an elderly patient should be cautious, usually starting at the low end of the dosing range, reflecting the greater frequency of decreased hepatic, renal, or cardiac function, and of concomitant disease or other drug therapy.

16 How Supplied/storage and Handling (16 HOW SUPPLIED/STORAGE AND HANDLING)

Epinephrine Injection USP, 1 mg/10 mL (0.1 mg/mL) is a clear colorless solution available in a single-dose Luer-Jet Luer-Lock prefilled syringe packaged in a carton.

It is supplied in the following presentation.

Epinephrine is light sensitive. Protect from light until ready to use.

Do not refrigerate. Protect from freezing.

Store at room temperature, between 20° to 25°C (68° to 77°F). (See USP Controlled Room Temperature.) Protect from alkalis and oxidizing agents.

Product repackaged by: Henry Schein, Inc., Bastian, VA 24314 
From Original Manufacturer/Distributor's NDC and Unit of Sale To Henry Schein Repackaged Product NDC and Unit of Sale Total Strength/Total Volume (Concentration) per unit
NDC 76329-3318-1

Shrink wrapped bundle of 10 individual cartons
NDC 0404-9806-10

1 10 mL Syringe in a bag

(Syringe bears NDC 76329-3318-1)
1 mg/10 mL

(0.1 mg/mL)

Rx Only

Manufactured by:

INTERNATIONAL MEDICATION SYSTEMS, LIMITED

So. EL MONTE, CA 91733, U.S.A.

An Amphastar Pharmaceuticals Company

©INTERNATIONAL MEDICATION SYSTEMS, LIMITED 2022

REV 08/22


Advanced Ingredient Data


Raw Label Data

All Sections (JSON)