Prochlorperazine Maleate Tablets, Usp

Prochlorperazine Maleate Tablets, Usp
SPL v5
SPL
SPL Set ID 3b022837-0fcc-d38a-e063-6394a90a0f7f
Route
ORAL
Published
Effective Date 2024-06-25
Document Type 34391-3 HUMAN PRESCRIPTION DRUG LABEL

Drug Facts

Composition & Product

Active Ingredients
Prochlorperazine (5 mg)
Inactive Ingredients
Silicon Dioxide Hydroxypropyl Cellulose (110000 Wamw) Hypromellose 2910 (6 Mpa.s) Lactose Monohydrate Magnesium Stearate Microcrystalline Cellulose Polyethylene Glycol 400 Starch, Corn Titanium Dioxide Water Polyethylene Glycol, Unspecified

Identifiers & Packaging

Pill Appearance
Imprint: LP;266 Shape: round Color: white Size: 7 mm Size: 9 mm Score: 1
Marketing Status
ANDA Active Since 2025-07-28

Description

Increased Mortality in Elderly Patients with Dementia-Related Psychosis Elderly patients with dementia-related psychosis treated with antipsychotic drugs are at an increased risk of death. Analyses of seventeen placebo-controlled trials (modal duration of 10 weeks), largely in patients taking atypical antipsychotic drugs, revealed a risk of death in drug-treated patients of between 1.6 to 1.7 times the risk of death in placebo-treated patients. Over the course of a typical 10-week controlled trial, the rate of death in drug-treated patients was about 4.5% compared to a rate of about 2.6% in the placebo group. Although the causes of death were varied, most of the deaths appeared to be either cardiovascular (e.g., heart failure, sudden death) or infectious (e.g., pneumonia) in nature. Observational studies suggest that, similar to atypical antipsychotic drugs, treatment with conventional antipsychotic drugs may increase mortality. The extent to which the findings of increased mortality in observational studies may be attributed to the antipsychotic drug as opposed to some characteristic(s) of the patients is not clear. Prochlorperazine maleate is not approved for the treatment of patients with dementia-related psychosis (see  WARNINGS ).

Indications and Usage

For control of severe nausea and vomiting. For the treatment of schizophrenia. Prochlorperazine maleate tablets are effective for the short-term treatment of generalized non-psychotic anxiety. However, prochlorperazine maleate tablets are not the first drug to be used in therapy for most patients with non-psychotic anxiety, because certain risks associated with its use are not shared by common alternative treatments (e.g., benzodiazepines). When used in the treatment of non-psychotic anxiety, prochlorperazine maleate tablets should not be administered at doses of more than 20 mg per day or for longer than 12 weeks, because the use of prochlorperazine maleate tablets at higher doses or for longer intervals may cause persistent tardive dyskinesia that may prove irreversible (see WARNINGS ). The effectiveness of prochlorperazine maleate tablets as treatment for non-psychotic anxiety was established in 4-week clinical studies of outpatients with generalized anxiety disorder. This evidence does not predict that prochlorperazine maleate tablets will be useful in patients with other non-psychotic conditions in which anxiety, or signs that mimic anxiety, are found (e.g., physical illness, organic mental conditions, agitated depression, character pathologies, etc.) Prochlorperazine maleate tablets has not been shown effective in the management of behavioral complications in patients with mental retardation.

Dosage and Administration

Do not use in pediatric surgery Children seem more prone to develop extrapyramidal reactions, even on moderate doses. Therefore, use lowest effective dosage. Tell parents not to exceed prescribed dosage, since the possibility of adverse reactions increases as dosage rises. Occasionally the patient may react to the drug with signs of restlessness and excitement; if this occurs, do not administer additional doses. Take particular precaution in administering the drug to children with acute illnesses or dehydration (see under Dystonias). Severe Nausea and Vomiting in Children: Prochlorperazine should not be used in pediatric patients under 20 pounds in weight or 2 years of age. It should not be used in conditions for which children’s dosages have not been established. Dosage and frequency of administration should be adjusted according to the severity of the symptoms and the response of the patient. The duration of activity following intramuscular administration may last up to 12 hours. Subsequent doses may be given by the same route if necessary. Oral Dosage More than 1 day’s therapy is seldom necessary. Weight Usual Dosage Not to Exceed under 20 lbs not recommended 20 to 29 lbs 2½ mg 1 or 2 times a day 7.5 mg per day 30 to 39 lbs 2½ mg 2 or 3 times a day 10 mg per day 40 to 85 lbs 2½ mg 3 times a day or 5 mg 2 times a day 15 mg per day 2. Children with schizophrenia: Oral Dosage: For children 2 to 12 years, starting dosage is 2½ mg 2 or 3 times daily. Do not give more than 10 mg the first day. Then increase dosage according to patient’s response. FOR AGES 2 to 5, total daily dosage usually does not exceed 20 mg. FOR AGES 6 to 12, total daily dosage usually does not exceed 25 mg.

Contraindications

Do not use in patients with known hypersensitivity to phenothiazines. Do not use in comatose states or in the presence of large amounts of central nervous system depressants (alcohol, barbiturates, narcotics, etc.). Do not use in pediatric surgery. Do not use in pediatric patients under 2 years of age or under 20 lbs. Do not use in children for conditions for which dosage has not been established.

Adverse Reactions

Drowsiness, dizziness, amenorrhea, blurred vision, skin reactions and hypotension may occur. Neuroleptic Malignant Syndrome (NMS) has been reported in association with antipsychotic drugs (see WARNINGS ). Cholestatic jaundice has occurred. If fever with grippe-like symptoms occurs, appropriate liver studies should be conducted. If tests indicate an abnormality, stop treatment. There have been a few observations of fatty changes in the livers of patients who have died while receiving the drug. No causal relationship has been established. Leukopenia and agranulocytosis have occurred. Warn patients to report the sudden appearance of sore throat or other signs of infection. If white blood cell and differential counts indicate leukocyte depression, stop treatment and start antibiotic and other suitable therapy.

How Supplied

Prochlorperazine Maleate Tablets USP, 5 mg are supplied as white to off white, round coated tablet, debossed with “LP” over “265” on one side and plain on the other side. They are available as follows: Bottles of 90: NDC 72789-517-90 Bottles of 100: NDC 72789-517-01 Prochlorperazine Maleate Tablets USP, 10 mg are supplied as white to off white, round coated tablet, debossed with “LP” over “266” on one side and plain on the other side. They are available as follows: Bottles of 15: NDC 72789-518-15 Bottles of 90: NDC 72789-518-90 Bottles of 100: NDC 72789-518-01 Store at 20° to 25°C (68° to 77°F); excursions permitted between 15°C and 30°C (between 59°F and 86°F) [See USP Controlled Room Temperature]. Dispense in a tight, light-resistant container as defined in the USP, with a child-resistant closure (as required). Manufactured by: Leading Pharma, LLC 3 Oak road, Fairfield, New Jersey (NJ) 07004 United States (USA) Rev.01, 06/24


Medication Information

Indications and Usage

For control of severe nausea and vomiting.

For the treatment of schizophrenia.

Prochlorperazine maleate tablets are effective for the short-term treatment of generalized non-psychotic anxiety. However, prochlorperazine maleate tablets are not the first drug to be used in therapy for most patients with non-psychotic anxiety, because certain risks associated with its use are not shared by common alternative treatments (e.g., benzodiazepines).

When used in the treatment of non-psychotic anxiety, prochlorperazine maleate tablets should not be administered at doses of more than 20 mg per day or for longer than 12 weeks, because the use of prochlorperazine maleate tablets at higher doses or for longer intervals may cause persistent tardive dyskinesia that may prove irreversible (see WARNINGS ).

The effectiveness of prochlorperazine maleate tablets as treatment for non-psychotic anxiety was established in 4-week clinical studies of outpatients with generalized anxiety disorder. This evidence does not predict that prochlorperazine maleate tablets will be useful in patients with other non-psychotic conditions in which anxiety, or signs that mimic anxiety, are found (e.g., physical illness, organic mental conditions, agitated depression, character pathologies, etc.)

Prochlorperazine maleate tablets has not been shown effective in the management of behavioral complications in patients with mental retardation.

Dosage and Administration

Do not use in pediatric surgery Children seem more prone to develop extrapyramidal reactions, even on moderate doses. Therefore, use lowest effective dosage. Tell parents not to exceed prescribed dosage, since the possibility of adverse reactions increases as dosage rises. Occasionally the patient may react to the drug with signs of restlessness and excitement; if this occurs, do not administer additional doses. Take particular precaution in administering the drug to children with acute illnesses or dehydration (see under Dystonias). Severe Nausea and Vomiting in Children: Prochlorperazine should not be used in pediatric patients under 20 pounds in weight or 2 years of age. It should not be used in conditions for which children’s dosages have not been established. Dosage and frequency of administration should be adjusted according to the severity of the symptoms and the response of the patient. The duration of activity following intramuscular administration may last up to 12 hours. Subsequent doses may be given by the same route if necessary. Oral Dosage More than 1 day’s therapy is seldom necessary. Weight Usual Dosage Not to Exceed under 20 lbs not recommended 20 to 29 lbs 2½ mg 1 or 2 times a day 7.5 mg per day 30 to 39 lbs 2½ mg 2 or 3 times a day 10 mg per day 40 to 85 lbs 2½ mg 3 times a day or 5 mg 2 times a day 15 mg per day 2. Children with schizophrenia: Oral Dosage: For children 2 to 12 years, starting dosage is 2½ mg 2 or 3 times daily. Do not give more than 10 mg the first day. Then increase dosage according to patient’s response. FOR AGES 2 to 5, total daily dosage usually does not exceed 20 mg. FOR AGES 6 to 12, total daily dosage usually does not exceed 25 mg.

Contraindications

Do not use in patients with known hypersensitivity to phenothiazines.

Do not use in comatose states or in the presence of large amounts of central nervous system depressants (alcohol, barbiturates, narcotics, etc.).

Do not use in pediatric surgery.

Do not use in pediatric patients under 2 years of age or under 20 lbs. Do not use in children for conditions for which dosage has not been established.

Adverse Reactions

Drowsiness, dizziness, amenorrhea, blurred vision, skin reactions and hypotension may occur. Neuroleptic Malignant Syndrome (NMS) has been reported in association with antipsychotic drugs (see WARNINGS ).

Cholestatic jaundice has occurred. If fever with grippe-like symptoms occurs, appropriate liver studies should be conducted. If tests indicate an abnormality, stop treatment. There have been a few observations of fatty changes in the livers of patients who have died while receiving the drug. No causal relationship has been established.

Leukopenia and agranulocytosis have occurred. Warn patients to report the sudden appearance of sore throat or other signs of infection. If white blood cell and differential counts indicate leukocyte depression, stop treatment and start antibiotic and other suitable therapy.

How Supplied

Prochlorperazine Maleate Tablets USP, 5 mg are supplied as white to off white, round coated tablet, debossed with “LP” over “265” on one side and plain on the other side.

They are available as follows:

Bottles of 90: NDC 72789-517-90

Bottles of 100: NDC 72789-517-01

Prochlorperazine Maleate Tablets USP, 10 mg are supplied as white to off white, round coated tablet, debossed with “LP” over “266” on one side and plain on the other side.

They are available as follows:

Bottles of 15: NDC 72789-518-15

Bottles of 90: NDC 72789-518-90

Bottles of 100: NDC 72789-518-01

Store at 20° to 25°C (68° to 77°F); excursions permitted between 15°C and 30°C (between 59°F and 86°F) [See USP Controlled Room Temperature].

Dispense in a tight, light-resistant container as defined in the USP, with a child-resistant closure (as required).

Manufactured by:

Leading Pharma, LLC

3 Oak road, Fairfield,

New Jersey (NJ) 07004

United States (USA)

Rev.01, 06/24

Description

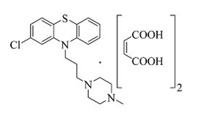
Prochlorperazine, USP is a phenothiazine derivative, present in prochlorperazine tablets as the maleate. Its chemical name is 2-chloro-10- [3-(4- methyl-1-piperazinyl) propyl]-10 H-phenothiazine ( Z)-2-butenedioate (1:2) and has the following structure:

Prochlorperazine maleate is classified as an anti-emetic and antipsychotic agent. Prochlorperazine maleate, USP is a white to pale yellow crystalline powder. It is slightly soluble in warm chloroform, practically insoluble in water and in alcohol.

Each film-coated tablet, for oral administration contains prochlorperazine maleate USP, 8.104 mg or 16.208 mg equivalent to prochlorperazine USP, 5 mg or 10 mg respectively.

In addition, each tablet contains the following inactive ingredients: colloidal silicon dioxide, hydroxypropyl cellulose, hypromellose, lactose monohydrate, magnesium stearate, microcrystalline cellulose, polyethylene glycol, pregelatinized starch, purified water and titanium dioxide.

FDA approved dissolution test specifications differ from USP.

Section 34084-4

Adverse Reactions Reported with prochlorperazine or Other  Phenothiazine Derivatives:Adverse reactions with different phenothiazines vary in type, frequency and mechanism of occurrence, i.e., some are dose-related, while others involve individual patient sensitivity. Some adverse reactions may be more likely to occur, or occur with greater intensity, in patients with special medical problems, e.g., patients with mitral insufficiency or pheochromocytoma have experienced severe hypotension following recommended doses of certain phenothiazines.

Not all of the following adverse reactions have been observed with every phenothiazine derivative, but they have been reported with 1 or more and should be borne in mind when drugs of this class are administered: extrapyramidal symptoms (opisthotonos, oculogyric crisis, hyperreflexia, dystonia, akathisia, dyskinesia, parkinsonism) some of which have lasted months and even years–particularly in elderly patients with previous brain damage; grand mal and petit mal convulsions, particularly in patients with EEG abnormalities or history of such disorders; altered cerebrospinal fluid proteins; cerebral edema; intensification and prolongation of the action of central nervous system depressants (opiates, analgesics, antihistamines, barbiturates, alcohol), atropine, heat, organophosphorus insecticides; autonomic reactions (dryness of mouth, nasal congestion, headache, nausea, constipation, obstipation, adynamic ileus, ejaculatory disorders/impotence, priapism, atonic colon, urinary retention, miosis and mydriasis); reactivation of psychotic processes, catatonic-like states; hypotension (sometimes fatal); cardiac arrest; blood dyscrasias (pancytopenia, thrombocytopenic purpura, leukopenia, agranulocytosis, eosinophilia, hemolytic anemia, aplastic anemia); liver damage (jaundice, biliary stasis); endocrine disturbances (hyperglycemia, hypoglycemia, glycosuria, lactation, galactorrhea, gynecomastia, menstrual irregularities, false-positive pregnancy tests); skin disorders (photosensitivity, itching, erythema, urticaria, eczema up to exfoliative dermatitis); other allergic reactions (asthma, laryngeal edema, angioneurotic edema, anaphylactoid reactions); peripheral edema; reversed epinephrine effect; hyperpyrexia; mild fever after large I.M. doses; increased appetite; increased weight; a systemic lupus erythematosus-like syndrome; pigmentary retinopathy; with prolonged administration of substantial doses, skin pigmentation, epithelial keratopathy, and lenticular and corneal deposits.

EKG changes–particularly nonspecific, usually reversible Q and T wave distortions–have been observed in some patients receiving phenothiazines.

Although phenothiazines cause neither psychic nor physical dependence, sudden discontinuance in long-term psychiatric patients may cause temporary symptoms, e.g., nausea and vomiting, dizziness, tremulousness.

Note:There have been occasional reports of sudden death in patients receiving phenothiazines. In some cases, the cause appeared to be cardiac arrest or asphyxia due to failure of the cough reflex.

To report SUSPECTED ADVERSE REACTIONS, contact Leading Pharma, LLC at 1-844-740-7500 or FDA at 1-800-FDA-1088 or www.fda.gov/medwatch.

Warning

Increased Mortality in Elderly Patients with Dementia-Related Psychosis

Elderly patients with dementia-related psychosis treated with antipsychotic drugs are at an increased risk of death. Analyses of seventeen placebo-controlled trials (modal duration of 10 weeks), largely in patients taking atypical antipsychotic drugs, revealed a risk of death in drug-treated patients of between 1.6 to 1.7 times the risk of death in placebo-treated patients. Over the course of a typical 10-week controlled trial, the rate of death in drug-treated patients was about 4.5% compared to a rate of about 2.6% in the placebo group. Although the causes of death were varied, most of the deaths appeared to be either cardiovascular (e.g., heart failure, sudden death) or infectious (e.g., pneumonia) in nature. Observational studies suggest that, similar to atypical antipsychotic drugs, treatment with conventional antipsychotic drugs may increase mortality. The extent to which the findings of increased mortality in observational studies may be attributed to the antipsychotic drug as opposed to some characteristic(s) of the patients is not clear. Prochlorperazine maleate is not approved for the treatment of patients with dementia-related psychosis (see  WARNINGS ).

Dystonia

Class effect:Symptoms of dystonia, prolonged abnormal contractions of muscle groups, may occur in susceptible individuals during the first few days of treatment. Dystonic symptoms include: spasm of the neck muscles, sometimes progressing to tightness of the throat, swallowing difficulty, difficulty breathing, and/or protrusion of the tongue. While these symptoms can occur at low doses, they occur more frequently and with greater severity with high potency and at higher doses of first generation antipsychotic drugs. An elevated risk of acute dystonia is observed in males and younger age groups.

These usually subside within a few hours, and almost always within 24 to 48 hours, after the drug has been discontinued.

Warnings

Increased Mortality in Elderly Patients with Dementia-Related Psychosis

Elderly patients with dementia-related psychosis treated with antipsychotic drugs are at an increased risk of death. Prochlorperazine maleate is not approved for the treatment of patients with dementia-related psychosis (see BOXED WARNING ).

The extrapyramidal symptoms which can occur secondary to prochlorperazine may be confused with the central nervous system signs of an undiagnosed primary disease responsible for the vomiting, e.g., Reye’s syndrome or other encephalopathy. The use of prochlorperazine and other potential hepatotoxins should be avoided in children and adolescents whose signs and symptoms suggest Reye’s syndrome.

Overdosage

(See also ADVERSE REACTIONS. )

SYMPTOMS–Primarily involvement of the extrapyramidal mechanism producing some of the dystonic reactions described above.

Symptoms of central nervous system depression to the point of somnolence or coma. Agitation and restlessness may also occur. Other possible manifestations include convulsions, EKG changes and cardiac arrhythmias, fever and autonomic reactions such as hypotension, dry mouth and ileus.

TREATMENT–It is important to determine other medications taken by the patient since multiple-dose therapy is common in overdosage situations. Treatment is essentially symptomatic and supportive. Early gastric lavage is helpful. Keep patient under observation and maintain an open airway, since involvement of the extrapyramidal mechanism may produce dysphagia and respiratory difficulty in severe overdosage. Do not attempt to induce emesis because a dystonic reaction of the head or neck may develop that could result in aspiration of vomitus.Extrapyramidal symptoms may be treated with anti-parkinsonism drugs, barbiturates or Benadryl. See prescribing information for these products. Care should be taken to avoid increasing respiratory depression.

If administration of a stimulant is desirable, amphetamine, dextroamphetamine or caffeine with sodium benzoate is recommended.

Stimulants that may cause convulsions (e.g., picrotoxin or pentylenetetrazol) should be avoided.

If hypotension occurs, the standard measures for managing circulatory shock should be initiated. If it is desirable to administer a vasoconstrictor, Levophed and Neo-Synephrine are most suitable. Other pressor agents, including epinephrine, are not recommended because phenothiazine derivatives may reverse the usual elevating action of these agents and cause a further lowering of blood pressure.

Limited experience indicates that phenothiazines are not dialyzable.

Precautions

Leukopenia, Neutropenia and Agranulocytosis:

In clinical trial and postmarketing experience, events of leukopenia/neutropenia and agranulocytosis have been reported temporally related to antipsychotic agents.

Possible risk factors for leukopenia/neutropenia include pre-existing low white blood cell count (WBC) and history of drug induced leukopenia/neutropenia. Patients with a pre-existing low WBC or a history of drug induced leukopenia/neutropenia should have their complete blood count (CBC) monitored frequently during the first few months of therapy and should discontinue prochlorperazine maleate tablets at the first sign of a decline in WBC in the absence of other causative factors.

Patients with neutropenia should be carefully monitored for fever or other symptoms or signs of infection and treated promptly if such symptoms or signs occur. Patients with severe neutropenia (absolute neutrophil count < 1000/mm 3) should discontinue prochlorperazine maleate tablets and have their WBC followed until recovery.

The antiemetic action of prochlorperazine may mask the signs and symptoms of overdosage of other drugs and may obscure the diagnosis and treatment of other conditions such as intestinal obstruction, brain tumor and Reye’s syndrome (see WARNINGS ).

When prochlorperazine maleate is used with cancer chemotherapeutic drugs, vomiting as a sign of the toxicity of these agents may be obscured by the antiemetic effect of prochlorperazine maleate.

Because hypotension may occur, large doses and parenteral administration should be used cautiously in patients with impaired cardiovascular systems. To minimize the occurrence of hypotension after injection, keep patient lying down and observe for at least ½ hour. If hypotension occurs after parenteral or oral dosing, place patient in head-low position with legs raised. If a vasoconstrictor is required, Levophed ® *and Neo-Synephrine ® are suitable. Other pressor agents, including epinephrine, should not be used because they may cause a paradoxical further lowering of blood pressure.

Aspiration of vomitus has occurred in a few post-surgical patients who have received prochlorperazine as an antiemetic. Although no causal relationship has been established, this possibility should be borne in mind during surgical aftercare.

Deep sleep, from which patients can be aroused, and coma have been reported, usually with overdosage.

Antipsychotic drugs elevate prolactin levels; the elevation persists during chronic administration. Tissue culture experiments indicate that approximately 1/3 of human breast cancers are prolactin-dependent in vitro, a factor of potential importance if the prescribing of these drugs is contemplated in a patient with a previously detected breast cancer. Although disturbances such as galactorrhea, amenorrhea, gynecomastia and impotence have been reported, the clinical significance of elevated serum prolactin levels is unknown for most patients. An increase in mammary neoplasms has been found in rodents after chronic administration of antipsychotic drugs. Neither clinical nor epidemiologic studies conducted to date, however, have shown an association between chronic administration of these drugs and mammary tumorigenesis; the available evidence is considered too limited to be conclusive at this time.

Chromosomal aberrations in spermatocytes and abnormal sperm have been demonstrated in rodents treated with certain antipsychotics.

As with all drugs which exert an anticholinergic effect, and/or cause mydriasis, prochlorperazine should be used with caution in patients with glaucoma.

Because phenothiazines may interfere with thermoregulatory mechanisms, use with caution in persons who will be exposed to extreme heat.

Phenothiazines can diminish the effect of oral anticoagulants.

Phenothiazines can produce alpha-adrenergic blockade.

Thiazide diuretics may accentuate the orthostatic hypotension that may occur with phenothiazines. Antihypertensive effects of guanethidine and related compounds may be counteracted when phenothiazines are used concomitantly.

Concomitant administration of propranolol with phenothiazines results in increased plasma levels of both drugs.

Phenothiazines may lower the convulsive threshold; dosage adjustments of anticonvulsants may be necessary. Potentiation of anticonvulsant effects does not occur. However, it has been reported that phenothiazines may interfere with the metabolism of Dilantin ® and thus precipitate Dilantin toxicity.

The presence of phenothiazines may produce false-positive phenylketonuria (PKU) test results.

Geriatric Use:

Clinical studies of prochlorperazine did not include sufficient numbers of subjects aged 65 and over to determine whether elderly subjects respond differently from younger subjects. Geriatric patients are more sensitive to the side effects of antipsychotics, including prochlorperazine. These adverse events include hypotension, anticholinergic effects (such as urinary retention, constipation, and confusion), and neuromuscular reactions (such as parkinsonism and tardive dyskinesia) (see PRECAUTIONS and ADVERSE REACTIONS ). Also, postmarketing safety experience suggests that the incidence of agranulocytosis may be higher in geriatric patients compared to younger individuals who received prochlorperazine. In general, dose selection for an elderly patient should be cautious, usually starting at the low end of the dosing range, reflecting the greater frequency of decreased hepatic, renal, or cardiac function, and of concomitant disease or other drug therapy (see DOSAGE AND ADMINISTRATION ).

Nursing Mothers:

There is evidence that phenothiazines are excreted in the breast milk of nursing mothers. Caution should be exercised when prochlorperazine is administered to a nursing woman.

Long Term Therapy:

Given the likelihood that some patients exposed chronically to antipsychotics will develop tardive dyskinesia, it is advised that all patients in whom chronic use is contemplated be given, if possible, full information about this risk. The decision to inform patients and/or their guardians must obviously take into account the clinical circumstances and the competency of the patient to understand the information provided.

To lessen the likelihood of adverse reactions related to cumulative drug effect, patients with a history of long-term therapy with prochlorperazine and/or other antipsychotics should be evaluated periodically to decide whether the maintenance dosage could be lowered, or drug therapy discontinued.

Children with acute illnesses (e.g., chickenpox, CNS infections, measles, gastroenteritis) or dehydration seem to be much more susceptible to neuromuscular reactions, particularly dystonias, than are adults. In such patients, the drug should be used only under close supervision.

Drugs which lower the seizure threshold, including phenothiazine derivatives, should not be used with Amipaque ® §. As with other phenothiazine derivatives, prochlorperazine should be discontinued at least 48 hours before myelography, should not be resumed for at least 24 hours postprocedure, and should not be used for the control of nausea and vomiting occurring either prior to myelography with Amipaque, or postprocedure.

Tardive Dyskinesia

Tardive dyskinesia, a syndrome consisting of potentially irreversible, involuntary, dyskinetic movements, may develop in patients treated with antipsychotic drugs. Although the prevalence of the syndrome appears to be highest among the elderly, especially elderly women, it is impossible to rely upon prevalence estimates to predict, at the inception of antipsychotic drug treatment, which patients are likely to develop the syndrome. Whether antipsychotic drug products differ in their potential to cause tardive dyskinesia is unknown.

Both the risk of developing the syndrome and the likelihood that it will become irreversible are believed to increase as the duration of treatment and the total cumulative dose of antipsychotic drugs administered to the patient increase. However, the syndrome can develop, although much less commonly, after relatively brief treatment periods at low doses.

There is no known treatment for established cases of tardive dyskinesia, although the syndrome may remit, partially or completely, if antipsychotic drug treatment is withdrawn. Antipsychotic drug treatment itself, however, may suppress (or partially suppress) the signs and symptoms of the syndrome and thereby may possibly mask the underlying disease process.

The effect that symptomatic suppression has upon the long-term course of the syndrome is unknown.

Given these considerations, antipsychotics drugs should be prescribed in a manner that is most likely to minimize the occurrence of tardive dyskinesia especially in the elderly. Chronic antipsychotic treatment should generally be reserved for patients who suffer from a chronic illness that, 1) is known to respond to antipsychotic drugs, and 2) for whom alternative, equally effective, but potentially less harmful treatments are notavailable or appropriate. In patients who do require chronic treatment, the smallest dose and the shortest duration of treatment producing a satisfactory clinical response should be sought. The need for continued treatment should be reassessed periodically.

If signs and symptoms of tardive dyskinesia appear in a patient on antipsychotics, drug discontinuation should be considered. However, some patients may require treatment despite the presence of the syndrome.

For further information about the description of tardive dyskinesia and its clinical detection, please refer to the sections on PRECAUTIONS and ADVERSE REACTIONS.

Motor Restlessness:

Symptoms may include agitation or jitteriness and sometimes insomnia.

These symptoms often disappear spontaneously. At times these symptoms may be similar to the original neurotic or psychotic symptoms. Dosage should not be increased until these side effects have subsided.

If these symptoms become too troublesome, they can usually be controlled by a reduction of dosage or change of drug. Treatment with anti-parkinsonian agents, benzodiazepines or propranolol may be helpful.

Tardive Dyskinesia:

As with all antipsychotic agents, tardive dyskinesia may appear in some patients on long-term therapy or may appear after drug therapy has been discontinued. The syndrome can also develop, although much less frequently, after relatively brief treatment periods at low doses. This syndrome appears in all age groups. Although its prevalence appears to be highest among elderly patients, especially elderly women, it is impossible to rely upon prevalence estimates to predict at the inception of antipsychotic treatment which patients are likely to develop the syndrome. The symptoms are persistent and in some patients appear to be irreversible. The syndrome is characterized by rhythmical involuntary movements of the tongue, face, mouth or jaw (e.g., protrusion of tongue, puffing of cheeks, puckering of mouth, chewing movements). Sometimes these may be accompanied by involuntary movements of extremities. In rare instances, these involuntary movements of the extremities are the only manifestations of tardive dyskinesia. A variant of tardive dyskinesia, tardive dystonia, has also been described.

There is no known effective treatment for tardive dyskinesia; anti-parkinsonism agents do not alleviate the symptoms of this syndrome. It is suggested that all antipsychotic agents be discontinued if these symptoms appear.

Should it be necessary to reinstitute treatment, or increase the dosage of the agent, or switch to a different antipsychotic agent, the syndrome may be masked.

It has been reported that fine vermicular movements of the tongue may be an early sign of the syndrome and if the medication is stopped at that time the syndrome may not develop.

Usage in Pregnancy:

Safety for the use of prochlorperazine during pregnancy has not been established. Therefore, prochlorperazine is not recommended for use in pregnant patients except in cases of severe nausea and vomiting that are so serious and intractable that, in the judgment of the physician, drug intervention is required, and potential benefits outweigh possible hazards.

There have been reported instances of prolonged jaundice, extrapyramidal signs, hyperreflexia or hyporeflexia in newborn infants whose mothers received phenothiazines.

Non-teratogenic Effects:

Neonates exposed to antipsychotic drugs, during third trimester of pregnancy are at risk for extrapyramidal and/or withdrawal symptoms following delivery. There have been reports of agitation, hypertonia, hypotonia, tremor, somnolence, respiratory distress and feeding disorder in these neonates. These complications have varied in severity; while in some cases symptoms have been self-limited, in other cases neonates have required intensive care unit support and prolonged hospitalization.

Prochlorperazine maleate should be used during pregnancy only if the potential benefit justifies the potential risk to the fetus.

Pseudo Parkinsonism:

Symptoms may include: mask-like facies; drooling; tremors; pillrolling motion; cogwheel rigidity; and shuffling gait. Reassurance and sedation are important. In most cases these symptoms are readily controlled when an anti-parkinsonism agent is administered concomitantly. Anti-parkinsonism agents should be used only when required. Generally, therapy of a few weeks to 2 or 3 months will suffice. After this time patients should be evaluated to determine their need for continued treatment. (Note: Levodopa has not been found effective in pseudo-parkinsonism.) Occasionally it is necessary to lower the dosage of prochlorperazine or to discontinue the drug.

Dosage and Administration –adults

(For children’s dosage and administration, see below.) Dosage should be increased more gradually in debilitated or emaciated patients.

Elderly Patients:

In general, dosages in the lower range are sufficient for most elderly patients. Since they appear to be more susceptible to hypotension and neuromuscular reactions, such patients should be observed closely. Dosage should be tailored to the individual, response carefully monitored and dosage adjusted accordingly. Dosage should be increased more gradually in elderly patients.

  • To Control Severe Nausea and Vomiting:

Adjust dosage to the response of the individual. Begin with the lowest recommended dosage.

Oral Dosage–Tablets:Usually one 5 mg or 10 mg tablet 3 or 4 times daily. Daily dosages above 40 mg should be used only in resistant cases.

2. In Adult Psychiatric Disorders:Adjust dosage to the response of the individual and according to the severity of the condition. Begin with the lowest recommended dose. Although response ordinarily is seen within a day or 2, longer treatment is usually required before maximal improvement is seen.

Oral Dosage: Non-Psychotic Anxiety–Usual dosage is 5 mg 3 or 4 times daily. Do not administer in  doses of more than 20 mg per day or for longer than 12 weeks.

Psychotic Disorders including SchizophreniaIn relatively mild conditions,as seen in private psychiatric practice or in outpatient clinics, dosage is 5 or 10 mg 3 or 4 times daily.

In moderate to severe conditions,for hospitalized or adequately supervised patients, usual starting dosage is 10 mg 3 or 4 times daily. Increase dosage gradually until symptoms are controlled or side effects become bothersome. When dosage is increased by small increments every 2 or 3 days, side effects either do not occur or are easily controlled. Some patients respond satisfactorily on 50 to 75 mg daily.

In more severe disturbances, optimum dosage is usually 100 to 150 mg daily.

Dosage and Administration–children

Do not use in pediatric surgery

Children seem more prone to develop extrapyramidal reactions, even on moderate doses. Therefore, use lowest effective dosage. Tell parents not to exceed prescribed dosage, since the possibility of adverse reactions increases as dosage rises.

Occasionally the patient may react to the drug with signs of restlessness and excitement; if this occurs, do not administer additional doses. Take particular precaution in administering the drug to children with acute illnesses or dehydration (see under Dystonias).

  • Severe Nausea and Vomiting in Children:

    Prochlorperazine should not be used in pediatric patients under 20 pounds in weight or 2 years of age. It should not be used in conditions for which children’s dosages have not been established. Dosage and frequency of administration should be adjusted according to the severity of the symptoms and the response of the patient. The duration of activity following intramuscular administration may last up to 12 hours. Subsequent doses may be given by the same route if necessary.

Oral Dosage

More than 1 day’s therapy is seldom necessary.

Weight

Usual Dosage

Not to Exceed

under 20 lbs not recommended

20 to 29 lbs

2½ mg 1 or 2 times a day

7.5 mg per day

30 to 39 lbs

2½ mg 2 or 3 times a day

10 mg per day

40 to 85 lbs

2½ mg 3 times a day or

5 mg 2 times a day

15 mg per day

2. Children with schizophrenia:

Oral Dosage:

For children 2 to 12 years, starting dosage is 2½ mg 2 or 3 times daily.

Do not give more than 10 mg the first day. Then increase dosage according to patient’s response.

FOR AGES 2 to 5, total daily dosage usually does not exceed 20 mg.

FOR AGES 6 to 12, total daily dosage usually does not exceed 25 mg.

Neuroleptic Malignant Syndrome (nms):

A potentially fatal syndrome complex sometimes referred to as Neuroleptic Malignant Syndrome (NMS) has been reported in association with antipsychotic drugs. Clinical manifestations of NMS are hyperpyrexia, muscle rigidity, altered mental status and evidence of autonomic instability (irregular pulse or blood pressure, tachycardia, diaphoresis and cardiac dysrhythmias).

The diagnostic evaluation of patients with this syndrome is complicated. In arriving at a diagnosis, it is important to identify cases where the clinical presentation includes both serious medical illness (e.g., pneumonia, systemic infection, etc.) and untreated or inadequately treated extrapyramidal signs and symptoms (EPS). Other important considerations in the differential diagnosis include central anticholinergic toxicity, heat stroke, drug fever and primary central nervous system (CNS) pathology.

The management of NMS should include 1) immediate discontinuation of antipsychotic drugs and other drugs not essential to concurrent therapy, 2) intensive symptomatic treatment and medical monitoring, and 3) treatment of any concomitant serious medical problems for which specific treatments are available. There is no general agreement about specific pharmacological treatment regimens for uncomplicated NMS.

If a patient requires antipsychotic drug treatment after recovery from NMS, the potential reintroduction of drug therapy should be carefully considered. The patient should be carefully monitored, since recurrences of NMS have been reported.

An encephalopathic syndrome (characterized by weakness, lethargy, fever, tremulousness and confusion, extrapyramidal symptoms, leukocytosis, elevated serum enzymes, BUN and FBS) has occurred in a few patients treated with lithium plus an antipsychotic. In some instances, the syndrome was followed by irreversible brain damage. Because of a possible causal relationship between these events and the concomitant administration of lithium and antipsychotics, patients receiving such combined therapy should be monitored closely for early evidence of neurologic toxicity and treatment discontinued promptly if such signs appear. This encephalopathic syndrome may be similar to or the same as neuroleptic malignant syndrome (NMS).

Patients with bone marrow depression or who have previously demonstrated a hypersensitivity reaction (e.g., blood dyscrasias, jaundice) with a phenothiazine should not receive any phenothiazine, including prochlorperazine, unless in the judgment of the physician the potential benefits of treatment outweigh the possible hazards.

Prochlorperazine may impair mental and/or physical abilities, especially during the first few days of therapy. Therefore, caution patients about activities requiring alertness (e.g., operating vehicles or machinery).

Phenothiazines may intensify or prolong the action of central nervous system depressants (e.g., alcohol, anesthetics, narcotics).

Falls:Prochlorperazine maleate tablets may cause somnolence, postural hypotension, motor and sensory instability, which may lead to falls and, consequently, fractures or other injuries. For patients with diseases, conditions, or medications that could exacerbate these effects, complete fall risk assessments when initiating antipsychotic treatment and recurrently for patients on long-term antipsychotic therapy.

Package Label.principal Display Panel

Neuromuscular (extrapyramidal) Reactions

These symptoms are seen in a significant number of hospitalized mental patients. They may be characterized by motor restlessness, be of the dystonic type, or they may resemble parkinsonism.

Depending on the severity of symptoms, dosage should be reduced or discontinued. If therapy is reinstituted, it should be at a lower dosage. Should these symptoms occur in children or pregnant patients, the drug should be stopped and not reinstituted. In most cases barbiturates by suitable route of administration will suffice. (Or, injectable Benadryl ® ||may be useful.) In more severe cases, the administration of an anti-parkinsonism agent, except levodopa (see PDR), usually produces rapid reversal of symptoms. Suitable supportive measures such as maintaining a clear airway and adequate hydration should be employed.


Structured Label Content

Section 34084-4 (34084-4)

Adverse Reactions Reported with prochlorperazine or Other  Phenothiazine Derivatives:Adverse reactions with different phenothiazines vary in type, frequency and mechanism of occurrence, i.e., some are dose-related, while others involve individual patient sensitivity. Some adverse reactions may be more likely to occur, or occur with greater intensity, in patients with special medical problems, e.g., patients with mitral insufficiency or pheochromocytoma have experienced severe hypotension following recommended doses of certain phenothiazines.

Not all of the following adverse reactions have been observed with every phenothiazine derivative, but they have been reported with 1 or more and should be borne in mind when drugs of this class are administered: extrapyramidal symptoms (opisthotonos, oculogyric crisis, hyperreflexia, dystonia, akathisia, dyskinesia, parkinsonism) some of which have lasted months and even years–particularly in elderly patients with previous brain damage; grand mal and petit mal convulsions, particularly in patients with EEG abnormalities or history of such disorders; altered cerebrospinal fluid proteins; cerebral edema; intensification and prolongation of the action of central nervous system depressants (opiates, analgesics, antihistamines, barbiturates, alcohol), atropine, heat, organophosphorus insecticides; autonomic reactions (dryness of mouth, nasal congestion, headache, nausea, constipation, obstipation, adynamic ileus, ejaculatory disorders/impotence, priapism, atonic colon, urinary retention, miosis and mydriasis); reactivation of psychotic processes, catatonic-like states; hypotension (sometimes fatal); cardiac arrest; blood dyscrasias (pancytopenia, thrombocytopenic purpura, leukopenia, agranulocytosis, eosinophilia, hemolytic anemia, aplastic anemia); liver damage (jaundice, biliary stasis); endocrine disturbances (hyperglycemia, hypoglycemia, glycosuria, lactation, galactorrhea, gynecomastia, menstrual irregularities, false-positive pregnancy tests); skin disorders (photosensitivity, itching, erythema, urticaria, eczema up to exfoliative dermatitis); other allergic reactions (asthma, laryngeal edema, angioneurotic edema, anaphylactoid reactions); peripheral edema; reversed epinephrine effect; hyperpyrexia; mild fever after large I.M. doses; increased appetite; increased weight; a systemic lupus erythematosus-like syndrome; pigmentary retinopathy; with prolonged administration of substantial doses, skin pigmentation, epithelial keratopathy, and lenticular and corneal deposits.

EKG changes–particularly nonspecific, usually reversible Q and T wave distortions–have been observed in some patients receiving phenothiazines.

Although phenothiazines cause neither psychic nor physical dependence, sudden discontinuance in long-term psychiatric patients may cause temporary symptoms, e.g., nausea and vomiting, dizziness, tremulousness.

Note:There have been occasional reports of sudden death in patients receiving phenothiazines. In some cases, the cause appeared to be cardiac arrest or asphyxia due to failure of the cough reflex.

To report SUSPECTED ADVERSE REACTIONS, contact Leading Pharma, LLC at 1-844-740-7500 or FDA at 1-800-FDA-1088 or www.fda.gov/medwatch.

Warning (WARNING)

Increased Mortality in Elderly Patients with Dementia-Related Psychosis

Elderly patients with dementia-related psychosis treated with antipsychotic drugs are at an increased risk of death. Analyses of seventeen placebo-controlled trials (modal duration of 10 weeks), largely in patients taking atypical antipsychotic drugs, revealed a risk of death in drug-treated patients of between 1.6 to 1.7 times the risk of death in placebo-treated patients. Over the course of a typical 10-week controlled trial, the rate of death in drug-treated patients was about 4.5% compared to a rate of about 2.6% in the placebo group. Although the causes of death were varied, most of the deaths appeared to be either cardiovascular (e.g., heart failure, sudden death) or infectious (e.g., pneumonia) in nature. Observational studies suggest that, similar to atypical antipsychotic drugs, treatment with conventional antipsychotic drugs may increase mortality. The extent to which the findings of increased mortality in observational studies may be attributed to the antipsychotic drug as opposed to some characteristic(s) of the patients is not clear. Prochlorperazine maleate is not approved for the treatment of patients with dementia-related psychosis (see  WARNINGS ).

Dystonia

Class effect:Symptoms of dystonia, prolonged abnormal contractions of muscle groups, may occur in susceptible individuals during the first few days of treatment. Dystonic symptoms include: spasm of the neck muscles, sometimes progressing to tightness of the throat, swallowing difficulty, difficulty breathing, and/or protrusion of the tongue. While these symptoms can occur at low doses, they occur more frequently and with greater severity with high potency and at higher doses of first generation antipsychotic drugs. An elevated risk of acute dystonia is observed in males and younger age groups.

These usually subside within a few hours, and almost always within 24 to 48 hours, after the drug has been discontinued.

Warnings (WARNINGS)

Increased Mortality in Elderly Patients with Dementia-Related Psychosis

Elderly patients with dementia-related psychosis treated with antipsychotic drugs are at an increased risk of death. Prochlorperazine maleate is not approved for the treatment of patients with dementia-related psychosis (see BOXED WARNING ).

The extrapyramidal symptoms which can occur secondary to prochlorperazine may be confused with the central nervous system signs of an undiagnosed primary disease responsible for the vomiting, e.g., Reye’s syndrome or other encephalopathy. The use of prochlorperazine and other potential hepatotoxins should be avoided in children and adolescents whose signs and symptoms suggest Reye’s syndrome.

Overdosage (OVERDOSAGE)

(See also ADVERSE REACTIONS. )

SYMPTOMS–Primarily involvement of the extrapyramidal mechanism producing some of the dystonic reactions described above.

Symptoms of central nervous system depression to the point of somnolence or coma. Agitation and restlessness may also occur. Other possible manifestations include convulsions, EKG changes and cardiac arrhythmias, fever and autonomic reactions such as hypotension, dry mouth and ileus.

TREATMENT–It is important to determine other medications taken by the patient since multiple-dose therapy is common in overdosage situations. Treatment is essentially symptomatic and supportive. Early gastric lavage is helpful. Keep patient under observation and maintain an open airway, since involvement of the extrapyramidal mechanism may produce dysphagia and respiratory difficulty in severe overdosage. Do not attempt to induce emesis because a dystonic reaction of the head or neck may develop that could result in aspiration of vomitus.Extrapyramidal symptoms may be treated with anti-parkinsonism drugs, barbiturates or Benadryl. See prescribing information for these products. Care should be taken to avoid increasing respiratory depression.

If administration of a stimulant is desirable, amphetamine, dextroamphetamine or caffeine with sodium benzoate is recommended.

Stimulants that may cause convulsions (e.g., picrotoxin or pentylenetetrazol) should be avoided.

If hypotension occurs, the standard measures for managing circulatory shock should be initiated. If it is desirable to administer a vasoconstrictor, Levophed and Neo-Synephrine are most suitable. Other pressor agents, including epinephrine, are not recommended because phenothiazine derivatives may reverse the usual elevating action of these agents and cause a further lowering of blood pressure.

Limited experience indicates that phenothiazines are not dialyzable.

Description (DESCRIPTION)

Prochlorperazine, USP is a phenothiazine derivative, present in prochlorperazine tablets as the maleate. Its chemical name is 2-chloro-10- [3-(4- methyl-1-piperazinyl) propyl]-10 H-phenothiazine ( Z)-2-butenedioate (1:2) and has the following structure:

Prochlorperazine maleate is classified as an anti-emetic and antipsychotic agent. Prochlorperazine maleate, USP is a white to pale yellow crystalline powder. It is slightly soluble in warm chloroform, practically insoluble in water and in alcohol.

Each film-coated tablet, for oral administration contains prochlorperazine maleate USP, 8.104 mg or 16.208 mg equivalent to prochlorperazine USP, 5 mg or 10 mg respectively.

In addition, each tablet contains the following inactive ingredients: colloidal silicon dioxide, hydroxypropyl cellulose, hypromellose, lactose monohydrate, magnesium stearate, microcrystalline cellulose, polyethylene glycol, pregelatinized starch, purified water and titanium dioxide.

FDA approved dissolution test specifications differ from USP.

Precautions (PRECAUTIONS)

Leukopenia, Neutropenia and Agranulocytosis:

In clinical trial and postmarketing experience, events of leukopenia/neutropenia and agranulocytosis have been reported temporally related to antipsychotic agents.

Possible risk factors for leukopenia/neutropenia include pre-existing low white blood cell count (WBC) and history of drug induced leukopenia/neutropenia. Patients with a pre-existing low WBC or a history of drug induced leukopenia/neutropenia should have their complete blood count (CBC) monitored frequently during the first few months of therapy and should discontinue prochlorperazine maleate tablets at the first sign of a decline in WBC in the absence of other causative factors.

Patients with neutropenia should be carefully monitored for fever or other symptoms or signs of infection and treated promptly if such symptoms or signs occur. Patients with severe neutropenia (absolute neutrophil count < 1000/mm 3) should discontinue prochlorperazine maleate tablets and have their WBC followed until recovery.

The antiemetic action of prochlorperazine may mask the signs and symptoms of overdosage of other drugs and may obscure the diagnosis and treatment of other conditions such as intestinal obstruction, brain tumor and Reye’s syndrome (see WARNINGS ).

When prochlorperazine maleate is used with cancer chemotherapeutic drugs, vomiting as a sign of the toxicity of these agents may be obscured by the antiemetic effect of prochlorperazine maleate.

Because hypotension may occur, large doses and parenteral administration should be used cautiously in patients with impaired cardiovascular systems. To minimize the occurrence of hypotension after injection, keep patient lying down and observe for at least ½ hour. If hypotension occurs after parenteral or oral dosing, place patient in head-low position with legs raised. If a vasoconstrictor is required, Levophed ® *and Neo-Synephrine ® are suitable. Other pressor agents, including epinephrine, should not be used because they may cause a paradoxical further lowering of blood pressure.

Aspiration of vomitus has occurred in a few post-surgical patients who have received prochlorperazine as an antiemetic. Although no causal relationship has been established, this possibility should be borne in mind during surgical aftercare.

Deep sleep, from which patients can be aroused, and coma have been reported, usually with overdosage.

Antipsychotic drugs elevate prolactin levels; the elevation persists during chronic administration. Tissue culture experiments indicate that approximately 1/3 of human breast cancers are prolactin-dependent in vitro, a factor of potential importance if the prescribing of these drugs is contemplated in a patient with a previously detected breast cancer. Although disturbances such as galactorrhea, amenorrhea, gynecomastia and impotence have been reported, the clinical significance of elevated serum prolactin levels is unknown for most patients. An increase in mammary neoplasms has been found in rodents after chronic administration of antipsychotic drugs. Neither clinical nor epidemiologic studies conducted to date, however, have shown an association between chronic administration of these drugs and mammary tumorigenesis; the available evidence is considered too limited to be conclusive at this time.

Chromosomal aberrations in spermatocytes and abnormal sperm have been demonstrated in rodents treated with certain antipsychotics.

As with all drugs which exert an anticholinergic effect, and/or cause mydriasis, prochlorperazine should be used with caution in patients with glaucoma.

Because phenothiazines may interfere with thermoregulatory mechanisms, use with caution in persons who will be exposed to extreme heat.

Phenothiazines can diminish the effect of oral anticoagulants.

Phenothiazines can produce alpha-adrenergic blockade.

Thiazide diuretics may accentuate the orthostatic hypotension that may occur with phenothiazines. Antihypertensive effects of guanethidine and related compounds may be counteracted when phenothiazines are used concomitantly.

Concomitant administration of propranolol with phenothiazines results in increased plasma levels of both drugs.

Phenothiazines may lower the convulsive threshold; dosage adjustments of anticonvulsants may be necessary. Potentiation of anticonvulsant effects does not occur. However, it has been reported that phenothiazines may interfere with the metabolism of Dilantin ® and thus precipitate Dilantin toxicity.

The presence of phenothiazines may produce false-positive phenylketonuria (PKU) test results.

How Supplied (HOW SUPPLIED)

Prochlorperazine Maleate Tablets USP, 5 mg are supplied as white to off white, round coated tablet, debossed with “LP” over “265” on one side and plain on the other side.

They are available as follows:

Bottles of 90: NDC 72789-517-90

Bottles of 100: NDC 72789-517-01

Prochlorperazine Maleate Tablets USP, 10 mg are supplied as white to off white, round coated tablet, debossed with “LP” over “266” on one side and plain on the other side.

They are available as follows:

Bottles of 15: NDC 72789-518-15

Bottles of 90: NDC 72789-518-90

Bottles of 100: NDC 72789-518-01

Store at 20° to 25°C (68° to 77°F); excursions permitted between 15°C and 30°C (between 59°F and 86°F) [See USP Controlled Room Temperature].

Dispense in a tight, light-resistant container as defined in the USP, with a child-resistant closure (as required).

Manufactured by:

Leading Pharma, LLC

3 Oak road, Fairfield,

New Jersey (NJ) 07004

United States (USA)

Rev.01, 06/24

Geriatric Use:

Clinical studies of prochlorperazine did not include sufficient numbers of subjects aged 65 and over to determine whether elderly subjects respond differently from younger subjects. Geriatric patients are more sensitive to the side effects of antipsychotics, including prochlorperazine. These adverse events include hypotension, anticholinergic effects (such as urinary retention, constipation, and confusion), and neuromuscular reactions (such as parkinsonism and tardive dyskinesia) (see PRECAUTIONS and ADVERSE REACTIONS ). Also, postmarketing safety experience suggests that the incidence of agranulocytosis may be higher in geriatric patients compared to younger individuals who received prochlorperazine. In general, dose selection for an elderly patient should be cautious, usually starting at the low end of the dosing range, reflecting the greater frequency of decreased hepatic, renal, or cardiac function, and of concomitant disease or other drug therapy (see DOSAGE AND ADMINISTRATION ).

Nursing Mothers:

There is evidence that phenothiazines are excreted in the breast milk of nursing mothers. Caution should be exercised when prochlorperazine is administered to a nursing woman.

Adverse Reactions (ADVERSE REACTIONS)

Drowsiness, dizziness, amenorrhea, blurred vision, skin reactions and hypotension may occur. Neuroleptic Malignant Syndrome (NMS) has been reported in association with antipsychotic drugs (see WARNINGS ).

Cholestatic jaundice has occurred. If fever with grippe-like symptoms occurs, appropriate liver studies should be conducted. If tests indicate an abnormality, stop treatment. There have been a few observations of fatty changes in the livers of patients who have died while receiving the drug. No causal relationship has been established.

Leukopenia and agranulocytosis have occurred. Warn patients to report the sudden appearance of sore throat or other signs of infection. If white blood cell and differential counts indicate leukocyte depression, stop treatment and start antibiotic and other suitable therapy.

Contraindications (CONTRAINDICATIONS)

Do not use in patients with known hypersensitivity to phenothiazines.

Do not use in comatose states or in the presence of large amounts of central nervous system depressants (alcohol, barbiturates, narcotics, etc.).

Do not use in pediatric surgery.

Do not use in pediatric patients under 2 years of age or under 20 lbs. Do not use in children for conditions for which dosage has not been established.

Long Term Therapy: (Long-Term Therapy:)

Given the likelihood that some patients exposed chronically to antipsychotics will develop tardive dyskinesia, it is advised that all patients in whom chronic use is contemplated be given, if possible, full information about this risk. The decision to inform patients and/or their guardians must obviously take into account the clinical circumstances and the competency of the patient to understand the information provided.

To lessen the likelihood of adverse reactions related to cumulative drug effect, patients with a history of long-term therapy with prochlorperazine and/or other antipsychotics should be evaluated periodically to decide whether the maintenance dosage could be lowered, or drug therapy discontinued.

Children with acute illnesses (e.g., chickenpox, CNS infections, measles, gastroenteritis) or dehydration seem to be much more susceptible to neuromuscular reactions, particularly dystonias, than are adults. In such patients, the drug should be used only under close supervision.

Drugs which lower the seizure threshold, including phenothiazine derivatives, should not be used with Amipaque ® §. As with other phenothiazine derivatives, prochlorperazine should be discontinued at least 48 hours before myelography, should not be resumed for at least 24 hours postprocedure, and should not be used for the control of nausea and vomiting occurring either prior to myelography with Amipaque, or postprocedure.

Tardive Dyskinesia

Tardive dyskinesia, a syndrome consisting of potentially irreversible, involuntary, dyskinetic movements, may develop in patients treated with antipsychotic drugs. Although the prevalence of the syndrome appears to be highest among the elderly, especially elderly women, it is impossible to rely upon prevalence estimates to predict, at the inception of antipsychotic drug treatment, which patients are likely to develop the syndrome. Whether antipsychotic drug products differ in their potential to cause tardive dyskinesia is unknown.

Both the risk of developing the syndrome and the likelihood that it will become irreversible are believed to increase as the duration of treatment and the total cumulative dose of antipsychotic drugs administered to the patient increase. However, the syndrome can develop, although much less commonly, after relatively brief treatment periods at low doses.

There is no known treatment for established cases of tardive dyskinesia, although the syndrome may remit, partially or completely, if antipsychotic drug treatment is withdrawn. Antipsychotic drug treatment itself, however, may suppress (or partially suppress) the signs and symptoms of the syndrome and thereby may possibly mask the underlying disease process.

The effect that symptomatic suppression has upon the long-term course of the syndrome is unknown.

Given these considerations, antipsychotics drugs should be prescribed in a manner that is most likely to minimize the occurrence of tardive dyskinesia especially in the elderly. Chronic antipsychotic treatment should generally be reserved for patients who suffer from a chronic illness that, 1) is known to respond to antipsychotic drugs, and 2) for whom alternative, equally effective, but potentially less harmful treatments are notavailable or appropriate. In patients who do require chronic treatment, the smallest dose and the shortest duration of treatment producing a satisfactory clinical response should be sought. The need for continued treatment should be reassessed periodically.

If signs and symptoms of tardive dyskinesia appear in a patient on antipsychotics, drug discontinuation should be considered. However, some patients may require treatment despite the presence of the syndrome.

For further information about the description of tardive dyskinesia and its clinical detection, please refer to the sections on PRECAUTIONS and ADVERSE REACTIONS.

Motor Restlessness:

Symptoms may include agitation or jitteriness and sometimes insomnia.

These symptoms often disappear spontaneously. At times these symptoms may be similar to the original neurotic or psychotic symptoms. Dosage should not be increased until these side effects have subsided.

If these symptoms become too troublesome, they can usually be controlled by a reduction of dosage or change of drug. Treatment with anti-parkinsonian agents, benzodiazepines or propranolol may be helpful.

Tardive Dyskinesia:

As with all antipsychotic agents, tardive dyskinesia may appear in some patients on long-term therapy or may appear after drug therapy has been discontinued. The syndrome can also develop, although much less frequently, after relatively brief treatment periods at low doses. This syndrome appears in all age groups. Although its prevalence appears to be highest among elderly patients, especially elderly women, it is impossible to rely upon prevalence estimates to predict at the inception of antipsychotic treatment which patients are likely to develop the syndrome. The symptoms are persistent and in some patients appear to be irreversible. The syndrome is characterized by rhythmical involuntary movements of the tongue, face, mouth or jaw (e.g., protrusion of tongue, puffing of cheeks, puckering of mouth, chewing movements). Sometimes these may be accompanied by involuntary movements of extremities. In rare instances, these involuntary movements of the extremities are the only manifestations of tardive dyskinesia. A variant of tardive dyskinesia, tardive dystonia, has also been described.

There is no known effective treatment for tardive dyskinesia; anti-parkinsonism agents do not alleviate the symptoms of this syndrome. It is suggested that all antipsychotic agents be discontinued if these symptoms appear.

Should it be necessary to reinstitute treatment, or increase the dosage of the agent, or switch to a different antipsychotic agent, the syndrome may be masked.

It has been reported that fine vermicular movements of the tongue may be an early sign of the syndrome and if the medication is stopped at that time the syndrome may not develop.

Usage in Pregnancy:

Safety for the use of prochlorperazine during pregnancy has not been established. Therefore, prochlorperazine is not recommended for use in pregnant patients except in cases of severe nausea and vomiting that are so serious and intractable that, in the judgment of the physician, drug intervention is required, and potential benefits outweigh possible hazards.

There have been reported instances of prolonged jaundice, extrapyramidal signs, hyperreflexia or hyporeflexia in newborn infants whose mothers received phenothiazines.

Non-teratogenic Effects:

Neonates exposed to antipsychotic drugs, during third trimester of pregnancy are at risk for extrapyramidal and/or withdrawal symptoms following delivery. There have been reports of agitation, hypertonia, hypotonia, tremor, somnolence, respiratory distress and feeding disorder in these neonates. These complications have varied in severity; while in some cases symptoms have been self-limited, in other cases neonates have required intensive care unit support and prolonged hospitalization.

Prochlorperazine maleate should be used during pregnancy only if the potential benefit justifies the potential risk to the fetus.

Pseudo Parkinsonism: (Pseudo-parkinsonism:)

Symptoms may include: mask-like facies; drooling; tremors; pillrolling motion; cogwheel rigidity; and shuffling gait. Reassurance and sedation are important. In most cases these symptoms are readily controlled when an anti-parkinsonism agent is administered concomitantly. Anti-parkinsonism agents should be used only when required. Generally, therapy of a few weeks to 2 or 3 months will suffice. After this time patients should be evaluated to determine their need for continued treatment. (Note: Levodopa has not been found effective in pseudo-parkinsonism.) Occasionally it is necessary to lower the dosage of prochlorperazine or to discontinue the drug.

Indications and Usage (INDICATIONS AND USAGE)

For control of severe nausea and vomiting.

For the treatment of schizophrenia.

Prochlorperazine maleate tablets are effective for the short-term treatment of generalized non-psychotic anxiety. However, prochlorperazine maleate tablets are not the first drug to be used in therapy for most patients with non-psychotic anxiety, because certain risks associated with its use are not shared by common alternative treatments (e.g., benzodiazepines).

When used in the treatment of non-psychotic anxiety, prochlorperazine maleate tablets should not be administered at doses of more than 20 mg per day or for longer than 12 weeks, because the use of prochlorperazine maleate tablets at higher doses or for longer intervals may cause persistent tardive dyskinesia that may prove irreversible (see WARNINGS ).

The effectiveness of prochlorperazine maleate tablets as treatment for non-psychotic anxiety was established in 4-week clinical studies of outpatients with generalized anxiety disorder. This evidence does not predict that prochlorperazine maleate tablets will be useful in patients with other non-psychotic conditions in which anxiety, or signs that mimic anxiety, are found (e.g., physical illness, organic mental conditions, agitated depression, character pathologies, etc.)

Prochlorperazine maleate tablets has not been shown effective in the management of behavioral complications in patients with mental retardation.

Dosage and Administration –adults (DOSAGE AND ADMINISTRATION –ADULTS)

(For children’s dosage and administration, see below.) Dosage should be increased more gradually in debilitated or emaciated patients.

Elderly Patients:

In general, dosages in the lower range are sufficient for most elderly patients. Since they appear to be more susceptible to hypotension and neuromuscular reactions, such patients should be observed closely. Dosage should be tailored to the individual, response carefully monitored and dosage adjusted accordingly. Dosage should be increased more gradually in elderly patients.

  • To Control Severe Nausea and Vomiting:

Adjust dosage to the response of the individual. Begin with the lowest recommended dosage.

Oral Dosage–Tablets:Usually one 5 mg or 10 mg tablet 3 or 4 times daily. Daily dosages above 40 mg should be used only in resistant cases.

2. In Adult Psychiatric Disorders:Adjust dosage to the response of the individual and according to the severity of the condition. Begin with the lowest recommended dose. Although response ordinarily is seen within a day or 2, longer treatment is usually required before maximal improvement is seen.

Oral Dosage: Non-Psychotic Anxiety–Usual dosage is 5 mg 3 or 4 times daily. Do not administer in  doses of more than 20 mg per day or for longer than 12 weeks.

Psychotic Disorders including SchizophreniaIn relatively mild conditions,as seen in private psychiatric practice or in outpatient clinics, dosage is 5 or 10 mg 3 or 4 times daily.

In moderate to severe conditions,for hospitalized or adequately supervised patients, usual starting dosage is 10 mg 3 or 4 times daily. Increase dosage gradually until symptoms are controlled or side effects become bothersome. When dosage is increased by small increments every 2 or 3 days, side effects either do not occur or are easily controlled. Some patients respond satisfactorily on 50 to 75 mg daily.

In more severe disturbances, optimum dosage is usually 100 to 150 mg daily.

Dosage and Administration–children (DOSAGE AND ADMINISTRATION–CHILDREN)

Do not use in pediatric surgery

Children seem more prone to develop extrapyramidal reactions, even on moderate doses. Therefore, use lowest effective dosage. Tell parents not to exceed prescribed dosage, since the possibility of adverse reactions increases as dosage rises.

Occasionally the patient may react to the drug with signs of restlessness and excitement; if this occurs, do not administer additional doses. Take particular precaution in administering the drug to children with acute illnesses or dehydration (see under Dystonias).

  • Severe Nausea and Vomiting in Children:

    Prochlorperazine should not be used in pediatric patients under 20 pounds in weight or 2 years of age. It should not be used in conditions for which children’s dosages have not been established. Dosage and frequency of administration should be adjusted according to the severity of the symptoms and the response of the patient. The duration of activity following intramuscular administration may last up to 12 hours. Subsequent doses may be given by the same route if necessary.

Oral Dosage

More than 1 day’s therapy is seldom necessary.

Weight

Usual Dosage

Not to Exceed

under 20 lbs not recommended

20 to 29 lbs

2½ mg 1 or 2 times a day

7.5 mg per day

30 to 39 lbs

2½ mg 2 or 3 times a day

10 mg per day

40 to 85 lbs

2½ mg 3 times a day or

5 mg 2 times a day

15 mg per day

2. Children with schizophrenia:

Oral Dosage:

For children 2 to 12 years, starting dosage is 2½ mg 2 or 3 times daily.

Do not give more than 10 mg the first day. Then increase dosage according to patient’s response.

FOR AGES 2 to 5, total daily dosage usually does not exceed 20 mg.

FOR AGES 6 to 12, total daily dosage usually does not exceed 25 mg.

Neuroleptic Malignant Syndrome (nms): (Neuroleptic Malignant Syndrome (NMS):)

A potentially fatal syndrome complex sometimes referred to as Neuroleptic Malignant Syndrome (NMS) has been reported in association with antipsychotic drugs. Clinical manifestations of NMS are hyperpyrexia, muscle rigidity, altered mental status and evidence of autonomic instability (irregular pulse or blood pressure, tachycardia, diaphoresis and cardiac dysrhythmias).

The diagnostic evaluation of patients with this syndrome is complicated. In arriving at a diagnosis, it is important to identify cases where the clinical presentation includes both serious medical illness (e.g., pneumonia, systemic infection, etc.) and untreated or inadequately treated extrapyramidal signs and symptoms (EPS). Other important considerations in the differential diagnosis include central anticholinergic toxicity, heat stroke, drug fever and primary central nervous system (CNS) pathology.

The management of NMS should include 1) immediate discontinuation of antipsychotic drugs and other drugs not essential to concurrent therapy, 2) intensive symptomatic treatment and medical monitoring, and 3) treatment of any concomitant serious medical problems for which specific treatments are available. There is no general agreement about specific pharmacological treatment regimens for uncomplicated NMS.

If a patient requires antipsychotic drug treatment after recovery from NMS, the potential reintroduction of drug therapy should be carefully considered. The patient should be carefully monitored, since recurrences of NMS have been reported.

An encephalopathic syndrome (characterized by weakness, lethargy, fever, tremulousness and confusion, extrapyramidal symptoms, leukocytosis, elevated serum enzymes, BUN and FBS) has occurred in a few patients treated with lithium plus an antipsychotic. In some instances, the syndrome was followed by irreversible brain damage. Because of a possible causal relationship between these events and the concomitant administration of lithium and antipsychotics, patients receiving such combined therapy should be monitored closely for early evidence of neurologic toxicity and treatment discontinued promptly if such signs appear. This encephalopathic syndrome may be similar to or the same as neuroleptic malignant syndrome (NMS).

Patients with bone marrow depression or who have previously demonstrated a hypersensitivity reaction (e.g., blood dyscrasias, jaundice) with a phenothiazine should not receive any phenothiazine, including prochlorperazine, unless in the judgment of the physician the potential benefits of treatment outweigh the possible hazards.

Prochlorperazine may impair mental and/or physical abilities, especially during the first few days of therapy. Therefore, caution patients about activities requiring alertness (e.g., operating vehicles or machinery).

Phenothiazines may intensify or prolong the action of central nervous system depressants (e.g., alcohol, anesthetics, narcotics).

Falls:Prochlorperazine maleate tablets may cause somnolence, postural hypotension, motor and sensory instability, which may lead to falls and, consequently, fractures or other injuries. For patients with diseases, conditions, or medications that could exacerbate these effects, complete fall risk assessments when initiating antipsychotic treatment and recurrently for patients on long-term antipsychotic therapy.

Package Label.principal Display Panel (PACKAGE LABEL.PRINCIPAL DISPLAY PANEL)

Neuromuscular (extrapyramidal) Reactions (Neuromuscular (Extrapyramidal) Reactions)

These symptoms are seen in a significant number of hospitalized mental patients. They may be characterized by motor restlessness, be of the dystonic type, or they may resemble parkinsonism.

Depending on the severity of symptoms, dosage should be reduced or discontinued. If therapy is reinstituted, it should be at a lower dosage. Should these symptoms occur in children or pregnant patients, the drug should be stopped and not reinstituted. In most cases barbiturates by suitable route of administration will suffice. (Or, injectable Benadryl ® ||may be useful.) In more severe cases, the administration of an anti-parkinsonism agent, except levodopa (see PDR), usually produces rapid reversal of symptoms. Suitable supportive measures such as maintaining a clear airway and adequate hydration should be employed.


Advanced Ingredient Data


Raw Label Data

All Sections (JSON)