Neomycin And Polymyxin B Sulfates,

Neomycin And Polymyxin B Sulfates,
SPL v12
SPL
SPL Set ID 3b00eb5c-dd98-467e-a883-04c37a8ecc42
Route
OPHTHALMIC
Published
Effective Date 2023-01-31
Document Type 34391-3 HUMAN PRESCRIPTION DRUG LABEL

Drug Facts

Composition & Product

Active Ingredients
Neomycin (3.5 mg) Polymyxin B (10000 [USP'U]) Bacitracin (400 [USP'U]) Hydrocortisone (10 mg)
Inactive Ingredients
Mineral Oil Petrolatum

Identifiers & Packaging

Marketing Status
ANDA Active Since 1995-10-30

Description

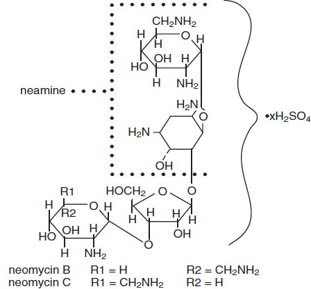
Neomycin and polymyxin B sulfates, bacitracin zinc and hydrocortisone ophthalmic ointment, USP is a sterile antimicrobial and anti-inflammatory ointment for ophthalmic use. Each gram contains: Actives: neomycin sulfate equivalent to 3.5 mg neomycin base, polymyxin B sulfate equivalent to 10,000 polymyxin B units, bacitracin zinc equivalent to 400 bacitracin units, hydrocortisone 10 mg (1%); Inactives: mineral oil, white petrolatum. Neomycin sulfate is the sulfate salt of neomycin B and C, which are produced by the growth of  Streptomyces fradiae  Waksman (Fam. Streptomycetaceae). It has a potency equivalent of not less than 600 mcg of neomycin standard per mg, calculated on an anhydrous basis. The structural formulae are: Polymyxin B sulfate is the sulfate salt of polymyxin B 1  and B 2 , which are produced by the growth of  Bacillus polymyxa  (Prazmowski) Migula (Fam. Bacillaceae). It has a potency of not less than 6,000 polymyxin B units per mg, calculated on an anhydrous basis. The structural formulae are: Bacitracin zinc is the zinc salt of bacitracin, a mixture of related cyclic polypeptides (mainly bacitracin A) produced by the growth of an organism of the  licheniformis  group of  Bacillus subtilis  var Tracy. It has a potency of not less than 40 bacitracin units per mg. The structural formula is: Hydrocortisone, 11β, 17, 21-trihydroxypregn-4-ene-3, 20-dione, is an anti-inflammatory hormone. Its structural formula is:

Indications and Usage

Neomycin and polymyxin B sulfates, bacitracin zinc and hydrocortisone ophthalmic ointment is indicated for steroid-responsive inflammatory ocular conditions for which a corticosteroid is indicated and where bacterial infection or a risk of bacterial infection exists. Ocular corticosteroids are indicated in inflammatory conditions of the palpebral and bulbar conjunctiva, cornea, and anterior segment of the globe where the inherent risk of corticosteroid use in certain infective conjunctivitides is accepted to obtain a diminution in edema and inflammation. They are also indicated in chronic anterior uveitis and corneal injury from chemical, radiation, or thermal burns, or penetration of foreign bodies. The use of a combination drug with an anti-infective component is indicated where the risk of infection is high or where there is an expectation that potentially dangerous numbers of bacteria will be present in the eye (see  CLINICAL PHARMACOLOGY ,   Microbiology ). The particular anti-infective drugs in this product are active against the following common bacterial eye pathogens:  Staphylococcus aureus , streptococci, including  Streptococcus pneumoniae, Escherichia coli, Haemophilus influenzae, Klebsiella/Enterobacter  species,  Neisseria  species, and  Pseudomonas aeruginosa . The product does not provide adequate coverage against  Serratia marcescens .

Dosage and Administration

Apply the ointment in the affected eye every 3 or 4 hours, depending on the severity of the condition. Not more than 8 grams should be prescribed initially and the prescription should not be refilled without further evaluation as outlined in PRECAUTIONS above.

Contraindications

Neomycin and polymyxin B sulfates, bacitracin zinc and hydrocortisone ophthalmic ointment is contraindicated in most viral diseases of the cornea and conjunctiva including: epithelial herpes simplex keratitis (dendritic keratitis), vaccinia and varicella, and also in mycobacterial infection of the eye and fungal diseases of ocular structures. Neomycin and polymyxin B sulfates, bacitracin zinc and hydrocortisone ophthalmic ointment is also contraindicated in individuals who have shown hypersensitivity to any of its components. Hypersensitivity to the antibiotic component occurs at a higher rate than for other components.

Adverse Reactions

Adverse reactions have occurred with corticosteroid/anti-infective combination drugs which can be attributed to the corticosteroid component, the anti-infective component, or the combination. The exact incidence is not known. Reactions occurring most often from the presence of the anti-infective ingredient are allergic sensitization reactions including itching, swelling, and conjunctival erythema (see  WARNINGS ). More serious hypersensitivity reactions, including anaphylaxis, have been reported rarely. The reactions due to the corticosteroid component in decreasing order of frequency are: elevation of intraocular pressure (IOP) with possible development of glaucoma, and infrequent optic nerve damage; posterior subcapsular cataract formation; and delayed wound healing.

How Supplied

Neomycin and polymyxin B sulfates, bacitracin zinc and hydrocortisone ophthalmic ointment, USP is supplied in a tube with ophthalmic tip applicator in the following size: NDC 24208-785-55 - 3.5 g tube FOR OPHTHALMIC USE ONLY


Medication Information

Indications and Usage

Neomycin and polymyxin B sulfates, bacitracin zinc and hydrocortisone ophthalmic ointment is indicated for steroid-responsive inflammatory ocular conditions for which a corticosteroid is indicated and where bacterial infection or a risk of bacterial infection exists.

Ocular corticosteroids are indicated in inflammatory conditions of the palpebral and bulbar conjunctiva, cornea, and anterior segment of the globe where the inherent risk of corticosteroid use in certain infective conjunctivitides is accepted to obtain a diminution in edema and inflammation. They are also indicated in chronic anterior uveitis and corneal injury from chemical, radiation, or thermal burns, or penetration of foreign bodies.

The use of a combination drug with an anti-infective component is indicated where the risk of infection is high or where there is an expectation that potentially dangerous numbers of bacteria will be present in the eye (see  CLINICAL PHARMACOLOGY ,   Microbiology ).

The particular anti-infective drugs in this product are active against the following common bacterial eye pathogens:  Staphylococcus aureus, streptococci, including  Streptococcus pneumoniae, Escherichia coli, Haemophilus influenzae, Klebsiella/Enterobacter species,  Neisseria species, and  Pseudomonas aeruginosa. The product does not provide adequate coverage against  Serratia marcescens.

Dosage and Administration

Apply the ointment in the affected eye every 3 or 4 hours, depending on the severity of the condition.

Not more than 8 grams should be prescribed initially and the prescription should not be refilled without further evaluation as outlined in PRECAUTIONS above.

Contraindications

Neomycin and polymyxin B sulfates, bacitracin zinc and hydrocortisone ophthalmic ointment is contraindicated in most viral diseases of the cornea and conjunctiva including: epithelial herpes simplex keratitis (dendritic keratitis), vaccinia and varicella, and also in mycobacterial infection of the eye and fungal diseases of ocular structures.

Neomycin and polymyxin B sulfates, bacitracin zinc and hydrocortisone ophthalmic ointment is also contraindicated in individuals who have shown hypersensitivity to any of its components. Hypersensitivity to the antibiotic component occurs at a higher rate than for other components.

Adverse Reactions

Adverse reactions have occurred with corticosteroid/anti-infective combination drugs which can be attributed to the corticosteroid component, the anti-infective component, or the combination. The exact incidence is not known.

Reactions occurring most often from the presence of the anti-infective ingredient are allergic sensitization reactions including itching, swelling, and conjunctival erythema (see  WARNINGS ). More serious hypersensitivity reactions, including anaphylaxis, have been reported rarely.

The reactions due to the corticosteroid component in decreasing order of frequency are: elevation of intraocular pressure (IOP) with possible development of glaucoma, and infrequent optic nerve damage; posterior subcapsular cataract formation; and delayed wound healing.

How Supplied

Neomycin and polymyxin B sulfates, bacitracin zinc and hydrocortisone ophthalmic ointment, USP is supplied in a tube with ophthalmic tip applicator in the following size:

NDC 24208-785-55 - 3.5 g tube

FOR OPHTHALMIC USE ONLY

Description

Neomycin and polymyxin B sulfates, bacitracin zinc and hydrocortisone ophthalmic ointment, USP is a sterile antimicrobial and anti-inflammatory ointment for ophthalmic use.

Each gram contains:

Actives:neomycin sulfate equivalent to 3.5 mg neomycin base, polymyxin B sulfate equivalent to 10,000 polymyxin B units, bacitracin zinc equivalent to 400 bacitracin units, hydrocortisone 10 mg (1%); Inactives:mineral oil, white petrolatum.

Neomycin sulfate is the sulfate salt of neomycin B and C, which are produced by the growth of  Streptomyces fradiae Waksman (Fam. Streptomycetaceae). It has a potency equivalent of not less than 600 mcg of neomycin standard per mg, calculated on an anhydrous basis.

The structural formulae are:

Polymyxin B sulfate is the sulfate salt of polymyxin B 1 and B 2, which are produced by the growth of  Bacillus polymyxa (Prazmowski) Migula (Fam. Bacillaceae). It has a potency of not less than 6,000 polymyxin B units per mg, calculated on an anhydrous basis.

The structural formulae are:

Bacitracin zinc is the zinc salt of bacitracin, a mixture of related cyclic polypeptides (mainly bacitracin A) produced by the growth of an organism of the  licheniformis group of  Bacillus subtilis var Tracy. It has a potency of not less than 40 bacitracin units per mg.

The structural formula is:

Hydrocortisone, 11β, 17, 21-trihydroxypregn-4-ene-3, 20-dione, is an anti-inflammatory hormone.

Its structural formula is:

General

The initial prescription and renewal of the medication order beyond 8 grams should be made by a physician only after examination of the patient with the aid of magnification, such as slit lamp biomicroscopy and, where appropriate, fluorescein staining. If signs and symptoms fail to improve after two days, the patient should be re-evaluated.

As fungal infections of the cornea are particularly prone to develop coincidentally with long-term corticosteroid applications, fungal invasion should be suspected in any persistent corneal ulceration where a corticosteroid has been used or is in use. Fungal cultures should be taken when appropriate.

If this product is used for 10 days or longer, intraocular pressure should be monitored (see  WARNINGS ).

There have been reports of bacterial keratitis associated with the use of topical ophthalmic products in multiple-dose containers which have been inadvertently contaminated by patients, most of whom had a concurrent corneal disease or a disruption of the ocular epithelial surface (see PRECAUTIONS, Information for Patients ).

Allergic cross-reactions may occur which could prevent the use of any or all of the following antibiotics for the treatment of future infections: kanamycin, paromomycin, streptomycin, and possibly gentamicin.

Storage

Store at 15°C to 25°C (59°F to 77°F). Keep tightly closed when not in use.

KEEP OUT OF REACH OF CHILDREN.

Distributed by:

Bausch & Lomb Americas Inc.

Bridgewater, NJ 08807 USA

Manufactured by:

Bausch & Lomb Incorporated

Tampa, FL 33637 USA

© 2023 Bausch & Lomb Incorporated or its affiliates

Rev. 01/2023

9113804  (Folded)

9113904  (Flat)

Warnings

NOT FOR INJECTION INTO THE EYE

Neomycin and polymyxin B sulfates, bacitracin zinc and hydrocortisone ophthalmic ointment should never be directly introduced into the anterior chamber of the eye. Ophthalmic ointments may retard corneal wound healing. Prolonged use of corticosteroids may result in ocular hypertension and/or glaucoma, with damage to the optic nerve, defects in visual acuity and fields of vision, and in posterior subcapsular cataract formation.

Prolonged use may suppress the host immune response and thus increase the hazard of secondary ocular infections. Various ocular diseases and long-term use of topical corticosteroids have been known to cause corneal and scleral thinning. Use of topical corticosteroids in the presence of thin corneal or scleral tissue may lead to perforation.

Acute purulent infections of the eye may be masked or enhanced by the presence of corticosteroid medication.

If these products are used for 10 days or longer, intraocular pressure should be routinely monitored even though it may be difficult in uncooperative patients. Corticosteroids should be used with caution in the presence of glaucoma. Intraocular pressure should be checked frequently.

The use of corticosteroids after cataract surgery may delay healing and increase the incidence of filtering blebs.

Use of ocular corticosteroids may prolong the course and may exacerbate the severity of many viral infections of the eye (including herpes simplex). Employment of corticosteroid medication in the treatment of herpes simplex requires great caution; frequent slit lamp microscopy is recommended.

Topical antibiotics, particularly neomycin sulfate, may cause cutaneous sensitization. A precise incidence of hypersensitivity reactions (primarily skin rash) due to topical antibiotics is not known. The manifestations of sensitization to topical antibiotics are usually itching, reddening, and edema of the conjunctiva and eyelid. A sensitization reaction may manifest simply as a failure to heal. During long-term use of topical antibiotic products, periodic examination for such signs is advisable, and the patient should be told to discontinue the product if they are observed. Symptoms usually subside quickly on withdrawing the medication. Applications of products containing these ingredients should be avoided for the patient thereafter (see PRECAUTIONS , General ).

Microbiology

The anti-infective components in neomycin and polymyxin B sulfates, bacitracin zinc and hydrocortisone ophthalmic ointment are included to provide action against specific organisms susceptible to it. Neomycin sulfate and polymyxin B sulfate are active  in vitro against susceptible strains of the following microorganisms:  Staphylococcus aureus, streptococci including  Streptococcus pneumoniae, Escherichia coli, Haemophilus influenzae, Klebsiella/Enterobacter species,  Neisseria species, and  Pseudomonas aeruginosa. This product does not provide adequate coverage against Serratia marcescens(see INDICATIONS AND USAGE ).

Pediatric Use

Safety and effectiveness in pediatric patients have not been established.

Geriatric Use

No overall differences in safety or effectiveness have been observed in between elderly and younger patients.

Nursing Mothers

It is not known whether topical administration of corticosteroids could result in sufficient systemic absorption to produce detectable quantities in human milk. Systemically administered corticosteroids appear in human milk and could suppress growth, interfere with endogenous corticosteroid production, or cause other untoward effects. Because of the potential for serious adverse reactions in nursing infants from neomycin and polymyxin B sulfates, bacitracin zinc and hydrocortisone ophthalmic ointment, a decision should be made whether to discontinue nursing or to discontinue the drug, taking into account the importance of the drug to the mother.

Secondary Infection

The development of secondary ocular infection has occurred after use of combinations containing corticosteroids and antimicrobials. Fungal and viral infections of the cornea are particularly prone to develop coincidentally with long-term applications of a corticosteroid. The possibility of fungal invasion must be considered in any persistent corneal ulceration where corticosteroid treatment has been used (see  WARNINGS ).

Local irritation on instillation has also been reported.

If signs and symptoms fail to improve after two days, the patient should be re-evaluated (see PRECAUTIONS).

To report SUSPECTED ADVERSE REACTIONS, contact Bausch & Lomb Incorporated at 1-800-553-5340 or FDA at 1-800-FDA-1088 or www.fda.gov/medwatch.

Clinical Pharmacology

Corticosteroids suppress the inflammatory response to a variety of agents and they probably delay or slow healing. Since corticosteroids may inhibit the body’s defense mechanism against infection, concomitant antimicrobial drugs may be used when this inhibition is considered to be clinically significant in a particular case.

When a decision to administer both a corticosteroid and antimicrobials is made, the administration of such drugs in combination has the advantage of greater patient compliance and convenience, with the added assurance that the appropriate dosage of all drugs is administered. When each type of drug is in the same formulation, compatibility of ingredients is assured and the correct volume of drug is delivered and retained.

The relative potency of corticosteroids depends on the molecular structure, concentration, and release from the vehicle.

Information for Patients

If inflammation or pain persists longer than 48 hours or becomes aggravated, the patient should be advised to discontinue use of the medication and consult a physician.

This product is sterile when packaged. To prevent contamination, care should be taken to avoid touching the tip of the tube to eyelids or to any other surface. The use of this tube by more than one person may spread infection. Store at 15°C to 25°C (59°F to 77°F). Keep out of the reach of children.

Pregnancy: Teratogenic Effects

Corticosteroids have been found to be teratogenic in rabbits when applied topically at concentrations of 0.5% on days 6 to 18 of gestation and in mice when applied topically at a concentration of 15% on days 10 to 13 of gestation. There are no adequate and well-controlled studies in pregnant women. Neomycin and polymyxin B sulfates, bacitracin zinc and hydrocortisone ophthalmic ointment should be used during pregnancy only if the potential benefit justifies the potential risk to the fetus.

Package/label Principal Display Panel

NDC24208-785-55

Neomycin and

Polymyxin B Sulfates,

Bacitracin Zinc

and Hydrocortisone

Ophthalmic

Ointment, USP

(Sterile)

FOR OPHTHALMIC

USE ONLY

{eye image}

Rx only Net Wt. 3.5 g

(1/8 oz)

BAUSCH + LOMB

9758904

AB03934

Carcinogenesis, Mutagenesis, Impairment of Fertility

Long-term studies in animals to evaluate carcinogenic or mutagenic potential have not been conducted with polymyxin B sulfate or bacitracin. Treatment of cultured human lymphocytes  in vitro with neomycin increased the frequency of chromosome aberrations at the highest concentration (80 mcg/mL) tested; however, the effects of neomycin on carcinogenesis and mutagenesis in humans are unknown.

Long-term studies in animals (rats, rabbits, mice) showed no evidence of carcinogenicity or mutagenicity attributable to oral administration of corticosteroids. Long-term animal studies have not been performed to evaluate the carcinogenic potential of topical corticosteroids. Studies to determine mutagenicity with hydrocortisone have revealed negative results.

Polymyxin B has been reported to impair the motility of equine sperm, but its effects on male or female fertility are unknown. No adverse effects on male or female fertility, litter size or survival were observed in rabbits given bacitracin zinc 100 gm/ton of diet. Long-term animal studies have not been performed to evaluate the effect on fertility of topical corticosteroids.


Structured Label Content

General

The initial prescription and renewal of the medication order beyond 8 grams should be made by a physician only after examination of the patient with the aid of magnification, such as slit lamp biomicroscopy and, where appropriate, fluorescein staining. If signs and symptoms fail to improve after two days, the patient should be re-evaluated.

As fungal infections of the cornea are particularly prone to develop coincidentally with long-term corticosteroid applications, fungal invasion should be suspected in any persistent corneal ulceration where a corticosteroid has been used or is in use. Fungal cultures should be taken when appropriate.

If this product is used for 10 days or longer, intraocular pressure should be monitored (see  WARNINGS ).

There have been reports of bacterial keratitis associated with the use of topical ophthalmic products in multiple-dose containers which have been inadvertently contaminated by patients, most of whom had a concurrent corneal disease or a disruption of the ocular epithelial surface (see PRECAUTIONS, Information for Patients ).

Allergic cross-reactions may occur which could prevent the use of any or all of the following antibiotics for the treatment of future infections: kanamycin, paromomycin, streptomycin, and possibly gentamicin.

Storage

Store at 15°C to 25°C (59°F to 77°F). Keep tightly closed when not in use.

KEEP OUT OF REACH OF CHILDREN.

Distributed by:

Bausch & Lomb Americas Inc.

Bridgewater, NJ 08807 USA

Manufactured by:

Bausch & Lomb Incorporated

Tampa, FL 33637 USA

© 2023 Bausch & Lomb Incorporated or its affiliates

Rev. 01/2023

9113804  (Folded)

9113904  (Flat)

Warnings (WARNINGS)

NOT FOR INJECTION INTO THE EYE

Neomycin and polymyxin B sulfates, bacitracin zinc and hydrocortisone ophthalmic ointment should never be directly introduced into the anterior chamber of the eye. Ophthalmic ointments may retard corneal wound healing. Prolonged use of corticosteroids may result in ocular hypertension and/or glaucoma, with damage to the optic nerve, defects in visual acuity and fields of vision, and in posterior subcapsular cataract formation.

Prolonged use may suppress the host immune response and thus increase the hazard of secondary ocular infections. Various ocular diseases and long-term use of topical corticosteroids have been known to cause corneal and scleral thinning. Use of topical corticosteroids in the presence of thin corneal or scleral tissue may lead to perforation.

Acute purulent infections of the eye may be masked or enhanced by the presence of corticosteroid medication.

If these products are used for 10 days or longer, intraocular pressure should be routinely monitored even though it may be difficult in uncooperative patients. Corticosteroids should be used with caution in the presence of glaucoma. Intraocular pressure should be checked frequently.

The use of corticosteroids after cataract surgery may delay healing and increase the incidence of filtering blebs.

Use of ocular corticosteroids may prolong the course and may exacerbate the severity of many viral infections of the eye (including herpes simplex). Employment of corticosteroid medication in the treatment of herpes simplex requires great caution; frequent slit lamp microscopy is recommended.

Topical antibiotics, particularly neomycin sulfate, may cause cutaneous sensitization. A precise incidence of hypersensitivity reactions (primarily skin rash) due to topical antibiotics is not known. The manifestations of sensitization to topical antibiotics are usually itching, reddening, and edema of the conjunctiva and eyelid. A sensitization reaction may manifest simply as a failure to heal. During long-term use of topical antibiotic products, periodic examination for such signs is advisable, and the patient should be told to discontinue the product if they are observed. Symptoms usually subside quickly on withdrawing the medication. Applications of products containing these ingredients should be avoided for the patient thereafter (see PRECAUTIONS , General ).

Description (DESCRIPTION)

Neomycin and polymyxin B sulfates, bacitracin zinc and hydrocortisone ophthalmic ointment, USP is a sterile antimicrobial and anti-inflammatory ointment for ophthalmic use.

Each gram contains:

Actives:neomycin sulfate equivalent to 3.5 mg neomycin base, polymyxin B sulfate equivalent to 10,000 polymyxin B units, bacitracin zinc equivalent to 400 bacitracin units, hydrocortisone 10 mg (1%); Inactives:mineral oil, white petrolatum.

Neomycin sulfate is the sulfate salt of neomycin B and C, which are produced by the growth of  Streptomyces fradiae Waksman (Fam. Streptomycetaceae). It has a potency equivalent of not less than 600 mcg of neomycin standard per mg, calculated on an anhydrous basis.

The structural formulae are:

Polymyxin B sulfate is the sulfate salt of polymyxin B 1 and B 2, which are produced by the growth of  Bacillus polymyxa (Prazmowski) Migula (Fam. Bacillaceae). It has a potency of not less than 6,000 polymyxin B units per mg, calculated on an anhydrous basis.

The structural formulae are:

Bacitracin zinc is the zinc salt of bacitracin, a mixture of related cyclic polypeptides (mainly bacitracin A) produced by the growth of an organism of the  licheniformis group of  Bacillus subtilis var Tracy. It has a potency of not less than 40 bacitracin units per mg.

The structural formula is:

Hydrocortisone, 11β, 17, 21-trihydroxypregn-4-ene-3, 20-dione, is an anti-inflammatory hormone.

Its structural formula is:

How Supplied (HOW SUPPLIED)

Neomycin and polymyxin B sulfates, bacitracin zinc and hydrocortisone ophthalmic ointment, USP is supplied in a tube with ophthalmic tip applicator in the following size:

NDC 24208-785-55 - 3.5 g tube

FOR OPHTHALMIC USE ONLY

Microbiology

The anti-infective components in neomycin and polymyxin B sulfates, bacitracin zinc and hydrocortisone ophthalmic ointment are included to provide action against specific organisms susceptible to it. Neomycin sulfate and polymyxin B sulfate are active  in vitro against susceptible strains of the following microorganisms:  Staphylococcus aureus, streptococci including  Streptococcus pneumoniae, Escherichia coli, Haemophilus influenzae, Klebsiella/Enterobacter species,  Neisseria species, and  Pseudomonas aeruginosa. This product does not provide adequate coverage against Serratia marcescens(see INDICATIONS AND USAGE ).

Pediatric Use

Safety and effectiveness in pediatric patients have not been established.

Geriatric Use

No overall differences in safety or effectiveness have been observed in between elderly and younger patients.

Nursing Mothers

It is not known whether topical administration of corticosteroids could result in sufficient systemic absorption to produce detectable quantities in human milk. Systemically administered corticosteroids appear in human milk and could suppress growth, interfere with endogenous corticosteroid production, or cause other untoward effects. Because of the potential for serious adverse reactions in nursing infants from neomycin and polymyxin B sulfates, bacitracin zinc and hydrocortisone ophthalmic ointment, a decision should be made whether to discontinue nursing or to discontinue the drug, taking into account the importance of the drug to the mother.

Adverse Reactions (ADVERSE REACTIONS)

Adverse reactions have occurred with corticosteroid/anti-infective combination drugs which can be attributed to the corticosteroid component, the anti-infective component, or the combination. The exact incidence is not known.

Reactions occurring most often from the presence of the anti-infective ingredient are allergic sensitization reactions including itching, swelling, and conjunctival erythema (see  WARNINGS ). More serious hypersensitivity reactions, including anaphylaxis, have been reported rarely.

The reactions due to the corticosteroid component in decreasing order of frequency are: elevation of intraocular pressure (IOP) with possible development of glaucoma, and infrequent optic nerve damage; posterior subcapsular cataract formation; and delayed wound healing.

Contraindications (CONTRAINDICATIONS)

Neomycin and polymyxin B sulfates, bacitracin zinc and hydrocortisone ophthalmic ointment is contraindicated in most viral diseases of the cornea and conjunctiva including: epithelial herpes simplex keratitis (dendritic keratitis), vaccinia and varicella, and also in mycobacterial infection of the eye and fungal diseases of ocular structures.

Neomycin and polymyxin B sulfates, bacitracin zinc and hydrocortisone ophthalmic ointment is also contraindicated in individuals who have shown hypersensitivity to any of its components. Hypersensitivity to the antibiotic component occurs at a higher rate than for other components.

Secondary Infection

The development of secondary ocular infection has occurred after use of combinations containing corticosteroids and antimicrobials. Fungal and viral infections of the cornea are particularly prone to develop coincidentally with long-term applications of a corticosteroid. The possibility of fungal invasion must be considered in any persistent corneal ulceration where corticosteroid treatment has been used (see  WARNINGS ).

Local irritation on instillation has also been reported.

If signs and symptoms fail to improve after two days, the patient should be re-evaluated (see PRECAUTIONS).

To report SUSPECTED ADVERSE REACTIONS, contact Bausch & Lomb Incorporated at 1-800-553-5340 or FDA at 1-800-FDA-1088 or www.fda.gov/medwatch.

Clinical Pharmacology (CLINICAL PHARMACOLOGY)

Corticosteroids suppress the inflammatory response to a variety of agents and they probably delay or slow healing. Since corticosteroids may inhibit the body’s defense mechanism against infection, concomitant antimicrobial drugs may be used when this inhibition is considered to be clinically significant in a particular case.

When a decision to administer both a corticosteroid and antimicrobials is made, the administration of such drugs in combination has the advantage of greater patient compliance and convenience, with the added assurance that the appropriate dosage of all drugs is administered. When each type of drug is in the same formulation, compatibility of ingredients is assured and the correct volume of drug is delivered and retained.

The relative potency of corticosteroids depends on the molecular structure, concentration, and release from the vehicle.

Indications and Usage (INDICATIONS AND USAGE)

Neomycin and polymyxin B sulfates, bacitracin zinc and hydrocortisone ophthalmic ointment is indicated for steroid-responsive inflammatory ocular conditions for which a corticosteroid is indicated and where bacterial infection or a risk of bacterial infection exists.

Ocular corticosteroids are indicated in inflammatory conditions of the palpebral and bulbar conjunctiva, cornea, and anterior segment of the globe where the inherent risk of corticosteroid use in certain infective conjunctivitides is accepted to obtain a diminution in edema and inflammation. They are also indicated in chronic anterior uveitis and corneal injury from chemical, radiation, or thermal burns, or penetration of foreign bodies.

The use of a combination drug with an anti-infective component is indicated where the risk of infection is high or where there is an expectation that potentially dangerous numbers of bacteria will be present in the eye (see  CLINICAL PHARMACOLOGY ,   Microbiology ).

The particular anti-infective drugs in this product are active against the following common bacterial eye pathogens:  Staphylococcus aureus, streptococci, including  Streptococcus pneumoniae, Escherichia coli, Haemophilus influenzae, Klebsiella/Enterobacter species,  Neisseria species, and  Pseudomonas aeruginosa. The product does not provide adequate coverage against  Serratia marcescens.

Information for Patients

If inflammation or pain persists longer than 48 hours or becomes aggravated, the patient should be advised to discontinue use of the medication and consult a physician.

This product is sterile when packaged. To prevent contamination, care should be taken to avoid touching the tip of the tube to eyelids or to any other surface. The use of this tube by more than one person may spread infection. Store at 15°C to 25°C (59°F to 77°F). Keep out of the reach of children.

Dosage and Administration (DOSAGE AND ADMINISTRATION)

Apply the ointment in the affected eye every 3 or 4 hours, depending on the severity of the condition.

Not more than 8 grams should be prescribed initially and the prescription should not be refilled without further evaluation as outlined in PRECAUTIONS above.

Pregnancy: Teratogenic Effects

Corticosteroids have been found to be teratogenic in rabbits when applied topically at concentrations of 0.5% on days 6 to 18 of gestation and in mice when applied topically at a concentration of 15% on days 10 to 13 of gestation. There are no adequate and well-controlled studies in pregnant women. Neomycin and polymyxin B sulfates, bacitracin zinc and hydrocortisone ophthalmic ointment should be used during pregnancy only if the potential benefit justifies the potential risk to the fetus.

Package/label Principal Display Panel (PACKAGE/LABEL PRINCIPAL DISPLAY PANEL)

NDC24208-785-55

Neomycin and

Polymyxin B Sulfates,

Bacitracin Zinc

and Hydrocortisone

Ophthalmic

Ointment, USP

(Sterile)

FOR OPHTHALMIC

USE ONLY

{eye image}

Rx only Net Wt. 3.5 g

(1/8 oz)

BAUSCH + LOMB

9758904

AB03934

Carcinogenesis, Mutagenesis, Impairment of Fertility

Long-term studies in animals to evaluate carcinogenic or mutagenic potential have not been conducted with polymyxin B sulfate or bacitracin. Treatment of cultured human lymphocytes  in vitro with neomycin increased the frequency of chromosome aberrations at the highest concentration (80 mcg/mL) tested; however, the effects of neomycin on carcinogenesis and mutagenesis in humans are unknown.

Long-term studies in animals (rats, rabbits, mice) showed no evidence of carcinogenicity or mutagenicity attributable to oral administration of corticosteroids. Long-term animal studies have not been performed to evaluate the carcinogenic potential of topical corticosteroids. Studies to determine mutagenicity with hydrocortisone have revealed negative results.

Polymyxin B has been reported to impair the motility of equine sperm, but its effects on male or female fertility are unknown. No adverse effects on male or female fertility, litter size or survival were observed in rabbits given bacitracin zinc 100 gm/ton of diet. Long-term animal studies have not been performed to evaluate the effect on fertility of topical corticosteroids.


Advanced Ingredient Data


Raw Label Data

All Sections (JSON)