Clindamycin Palmitate Hydrochloride For Oral Solution, Usp (pediatric)

Clindamycin Palmitate Hydrochloride For Oral Solution, Usp (pediatric)
SPL v107
SPL
SPL Set ID 3afe52c2-b65b-40fe-b2fa-da39f1bcf529
Route
ORAL
Published
Effective Date 2024-07-25
Document Type 34391-3 HUMAN PRESCRIPTION DRUG LABEL

Drug Facts

Composition & Product

Active Ingredients
Clindamycin (75 mg)
Inactive Ingredients
Ethylparaben Poloxamer 188 Sucrose

Identifiers & Packaging

Marketing Status
ANDA Active Since 2012-09-11

Description

NDC 64980-511-10 To reduce the development of drug-resistant bacteria and maintain the effectiveness of clindamycin palmitate hydrochloride for oral solution (Pediatric) and other antibacterial drugs, clindamycin palmitate hydrochloride for oral solution (Pediatric) should be used only to treat or prevent infections that are proven or strongly suspected to be caused by bacteria. Not for Injection

Indications and Usage

Clindamycin palmitate hydrochloride for oral solution, USP (Pediatric) (clindamycin palmitate HCl) is indicated in the treatment of serious infections caused by susceptible anaerobic bacteria. Clindamycin is also indicated in the treatment of serious infections due to susceptible strains of streptococci, pneumococci and staphylococci. Its use should be reserved for penicillin-allergic patients or other patients for whom, in the judgment of the physician, a penicillin is inappropriate. Because of the risk of colitis, as described in the BOXED WARNING , before selecting clindamycin the physician should consider the nature of the infection and the suitability of less toxic alternatives (e.g., erythromycin). Anaerobes: Serious respiratory tract infections such as empyema, anaerobic pneumonitis and lung abscess; serious skin and soft tissue infections; septicemia; intra-abdominal infections such as peritonitis and intra-abdominal abscess (typically resulting from anaerobic organisms resident in the normal gastrointestinal tract); infections of the female pelvis and genital tract such as endometritis, nongonococcal tubo-ovarian abscess, pelvic cellulitis and postsurgical vaginal cuff infection. Streptococci: Serious respiratory tract infections; serious skin and soft tissue infections. Staphylococci: Serious respiratory tract infections; serious skin and soft tissue infections. Pneumococci: Serious respiratory tract infections. Bacteriologic studies should be performed to determine the causative organisms and their susceptibility to clindamycin. To reduce the development of drug-resistant bacteria and maintain the effectiveness of Clindamycin palmitate hydrochloride for oral solution (Pediatric) and other antibacterial drugs, Clindamycin palmitate hydrochloride for oral solution (Pediatric) should be used only to treat or prevent infections that are proven or strongly suspected to be caused by susceptible bacteria. When culture and susceptibility information are available, they should be considered in selecting or modifying antibacterial therapy. In the absence of such data, local epidemiology and susceptibility patterns may contribute to the empiric selection of therapy.

Dosage and Administration

If significant diarrhea occurs during therapy, this antibiotic should be discontinued (see BOXED WARNING ). Concomitant administration of food does not adversely affect the absorption of clindamycin palmitate HCl contained in clindamycin palmitate hydrochloride for oral solution (Pediatric) flavored granules. Serious infections: 8-12 mg/kg/day (4-6 mg/lb/day) divided into 3 or 4 equal doses. Severe infections: 13-16 mg/kg/day (6.5-8 mg/lb/day) divided into 3 or 4 equal doses. More severe infections: 17-25 mg/kg/day (8.5-12.5 mg/lb/day) divided into 3 or 4 equal doses. In pediatric patients weighing 10 kg or less, ½ teaspoon (37.5 mg) three times a day should be considered the minimum recommended dose. Serious infections due to anaerobic bacteria are usually treated with clindamycin injection. However, in clinically appropriate circumstances, the physician may elect to initiate treatment or continue treatment with clindamycin palmitate hydrochloride for oral solution (Pediatric). NOTE: In cases of β-hemolytic streptococcal infections, treatment should be continued for at least 10 days. Reconstitution Instructions: When reconstituted with water as follows, each 5 mL (teaspoon) of solution contains clindamycin palmitate HCl equivalent to 75 mg clindamycin. Reconstitute bottles of 100 mL with 75 mL of water. Add a large portion of the water and shake vigorously; add the remainder of the water and shake until the solution is uniform. Storage Conditions: Store at controlled room temperature 20° to 25°C (68° to 77°F) [see USP]. Do NOT refrigerate the reconstituted solution; when chilled, the solution may thicken and be difficult to pour. The solution is stable for 2 weeks at room temperature.

Contraindications

This drug is contraindicated in individuals with a history of hypersensitivity to preparations containing clindamycin or lincomycin.

Adverse Reactions

The following reactions have been reported with the use of clindamycin. Infections and infestations: Clostridium difficile colitis Gastrointestinal: Abdominal pain, pseudomembranous colitis, esophagitis, nausea, vomiting and diarrhea (see  BOXED WARNING ). The onset of pseudomembranous colitis symptoms may occur during or after antibacterial treatment (see WARNINGS ). An unpleasant or metallic taste has been reported after oral administration. Hypersensitivity Reactions: Generalized mild to moderate morbilliform-like (maculopapular) skin rashes are the most frequently reported adverse reactions. Vesiculobullous rashes, as well as urticaria, have been observed during drug therapy. Severe skin reactions such as Toxic Epidermal Necrolysis, some with fatal outcome, have been reported (See WARNINGS). Cases of Acute Generalized Exanthematous Pustulosis (AGEP), erythema multiforme, some resembling Stevens-Johnson syndrome, anaphylactic shock, anaphylactic reaction and hypersensitivity have also been reported. Skin and Mucous Membranes: Pruritus, vaginitis, angioedema, and rare instances of exfoliative dermatitis have been reported. (See Hypersensitivity Reactions.) Liver : Jaundice and abnormalities in liver function tests have been observed during clindamycin therapy. Renal : Although no direct relationship of clindamycin to renal damage has been established, renal dysfunction as evidenced by azotemia, oliguria, and/or proteinuria has been observed. Hematopoietic : Transient neutropenia (leukopenia) and eosinophilia have been reported. Reports of agranulocytosis and thrombocytopenia have been made. No direct etiologic relationship to concurrent clindamycin therapy could be made in any of the foregoing. Immune system: Drug reaction with eosinophilia and systemic symptoms (DRESS) cases have been reported. Musculoskeletal : Cases of polyarthritis have been reported. To report SUSPECTED ADVERSE REACTIONS, contact Rising Pharmaceuticals, Inc. at 1-866-562-4597 or FDA at 1-800-FDA-1088 or www.FDA.gov/medwatch.

How Supplied

Clindamycin palmitate hydrochloride for oral solution, USP (Pediatric) flavored granules is available in bottles of 100 mL (NDC 63629-2391-1). When reconstituted as directed, each bottle yields a solution containing 75 mg of clindamycin per 5 mL. Rx only Repackaged/Relabeled by: Bryant Ranch Prepack, Inc. Burbank, CA 91504


Medication Information

Indications and Usage

Clindamycin palmitate hydrochloride for oral solution, USP (Pediatric) (clindamycin palmitate HCl) is indicated in the treatment of serious infections caused by susceptible anaerobic bacteria.

Clindamycin is also indicated in the treatment of serious infections due to susceptible strains of streptococci, pneumococci and staphylococci. Its use should be reserved for penicillin-allergic patients or other patients for whom, in the judgment of the physician, a penicillin is inappropriate. Because of the risk of colitis, as described in the BOXED WARNING, before selecting clindamycin the physician should consider the nature of the infection and the suitability of less toxic alternatives (e.g., erythromycin).

Anaerobes: Serious respiratory tract infections such as empyema, anaerobic pneumonitis and lung abscess; serious skin and soft tissue infections; septicemia; intra-abdominal infections such as peritonitis and intra-abdominal abscess (typically resulting from anaerobic organisms resident in the normal gastrointestinal tract); infections of the female pelvis and genital tract such as endometritis, nongonococcal tubo-ovarian abscess, pelvic cellulitis and postsurgical vaginal cuff infection.

Streptococci: Serious respiratory tract infections; serious skin and soft tissue infections.

Staphylococci: Serious respiratory tract infections; serious skin and soft tissue infections.

Pneumococci: Serious respiratory tract infections.

Bacteriologic studies should be performed to determine the causative organisms and their susceptibility to clindamycin.

To reduce the development of drug-resistant bacteria and maintain the effectiveness of Clindamycin palmitate hydrochloride for oral solution (Pediatric) and other antibacterial drugs, Clindamycin palmitate hydrochloride for oral solution (Pediatric) should be used only to treat or prevent infections that are proven or strongly suspected to be caused by susceptible bacteria. When culture and susceptibility information are available, they should be considered in selecting or modifying antibacterial therapy. In the absence of such data, local epidemiology and susceptibility patterns may contribute to the empiric selection of therapy.

Dosage and Administration

If significant diarrhea occurs during therapy, this antibiotic should be discontinued (see BOXED WARNING).

Concomitant administration of food does not adversely affect the absorption of clindamycin palmitate HCl contained in clindamycin palmitate hydrochloride for oral solution (Pediatric) flavored granules.

Serious infections: 8-12 mg/kg/day (4-6 mg/lb/day) divided into 3 or 4 equal doses.

Severe infections: 13-16 mg/kg/day (6.5-8 mg/lb/day) divided into 3 or 4 equal doses.

More severe infections: 17-25 mg/kg/day (8.5-12.5 mg/lb/day) divided into 3 or 4 equal doses.

In pediatric patients weighing 10 kg or less, ½ teaspoon (37.5 mg) three times a day should be considered the minimum recommended dose.

Serious infections due to anaerobic bacteria are usually treated with clindamycin injection. However, in clinically appropriate circumstances, the physician may elect to initiate treatment or continue treatment with clindamycin palmitate hydrochloride for oral solution (Pediatric).

NOTE: In cases of β-hemolytic streptococcal infections, treatment should be continued for at least 10 days.

Reconstitution Instructions: When reconstituted with water as follows, each 5 mL (teaspoon) of solution contains clindamycin palmitate HCl equivalent to 75 mg clindamycin.

Reconstitute bottles of 100 mL with 75 mL of water. Add a large portion of the water and shake vigorously; add the remainder of the water and shake until the solution is uniform.

Storage Conditions: Store at controlled room temperature 20° to 25°C (68° to 77°F) [see USP].

Do NOT refrigerate the reconstituted solution; when chilled, the solution may thicken and be difficult to pour. The solution is stable for 2 weeks at room temperature.

Contraindications

This drug is contraindicated in individuals with a history of hypersensitivity to preparations containing clindamycin or lincomycin.

Adverse Reactions

The following reactions have been reported with the use of clindamycin.

Infections and infestations: Clostridium difficile colitis

Gastrointestinal: Abdominal pain, pseudomembranous colitis, esophagitis, nausea, vomiting and diarrhea (see BOXED WARNING). The onset of pseudomembranous colitis symptoms may occur during or after antibacterial treatment (see WARNINGS ). An unpleasant or metallic taste has been reported after oral administration.

Hypersensitivity Reactions: Generalized mild to moderate morbilliform-like (maculopapular) skin rashes are the most frequently reported adverse reactions. Vesiculobullous rashes, as well as urticaria, have been observed during drug therapy. Severe skin reactions such as Toxic Epidermal Necrolysis, some with fatal outcome, have been reported (See WARNINGS). Cases of Acute Generalized Exanthematous Pustulosis (AGEP), erythema multiforme, some resembling Stevens-Johnson syndrome, anaphylactic shock, anaphylactic reaction and hypersensitivity have also been reported.

Skin and Mucous Membranes: Pruritus, vaginitis, angioedema, and rare instances of exfoliative dermatitis have been reported. (See Hypersensitivity Reactions.)

Liver: Jaundice and abnormalities in liver function tests have been observed during clindamycin therapy.

Renal: Although no direct relationship of clindamycin to renal damage has been established, renal dysfunction as evidenced by azotemia, oliguria, and/or proteinuria has been observed.

Hematopoietic: Transient neutropenia (leukopenia) and eosinophilia have been reported. Reports of agranulocytosis and thrombocytopenia have been made. No direct etiologic relationship to concurrent clindamycin therapy could be made in any of the foregoing.

Immune system: Drug reaction with eosinophilia and systemic symptoms (DRESS) cases have been reported.

Musculoskeletal: Cases of polyarthritis have been reported.



To report SUSPECTED ADVERSE REACTIONS, contact Rising Pharmaceuticals, Inc. at 1-866-562-4597 or FDA at 1-800-FDA-1088 or www.FDA.gov/medwatch.

How Supplied

Clindamycin palmitate hydrochloride for oral solution, USP (Pediatric) flavored granules is available in bottles of 100 mL (NDC 63629-2391-1).

When reconstituted as directed, each bottle yields a solution containing 75 mg of clindamycin per 5 mL.

Rx only

Repackaged/Relabeled by:

Bryant Ranch Prepack, Inc.

Burbank, CA 91504

Description

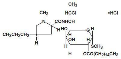
Clindamycin palmitate hydrochloride is a water soluble hydrochloride salt of the ester of clindamycin and palmitic acid. Clindamycin is a semisynthetic antibiotic produced by a 7(S)-chloro-substitution of the 7(R)-hydroxyl group of the parent compound lincomycin.

The structural formula is represented below:

The chemical name for clindamycin palmitate hydrochloride is Methyl 7-chloro-6, 7, 8-trideoxy-6-(1-methyl- trans-4-propyl-L-2-pyrrolidinecarboxamido)-1-thio-L- threo-α-D- galacto-octopyranoside 2-palmitate monohydrochloride.

Clindamycin palmitate hydrochloride for oral solution, USP (Pediatric) flavored granules contain clindamycin palmitate hydrochloride for reconstitution. Each 5 mL contains the equivalent of 75 mg clindamycin. Inactive ingredients: natural cherry flavor, dextrin, ethylparaben, poloxamer 188, simethicone, sucrose.

Section 34073-7

Drug Interactions

Clindamycin has been shown to have neuromuscular blocking properties that may enhance the action of other neuromuscular blocking agents. Therefore, it should be used with caution in patients receiving such agents.

Clindamycin is metabolized predominantly by CYP3A4, and to a lesser extent by CYP3A5, to the major metabolite clindamycin sulfoxide and minor metabolite N-desmethylclindamycin. Therefore inhibitors of CYP3A4 and CYP3A5 may increase plasma concentrations of clindamycin and inducers of these isoenzymes may reduce plasma concentrations of clindamycin. In the presence of strong CYP3A4 inhibitors, monitor for adverse reactions. In the presence of strong CYP3A4 inducers such as rifampicin, monitor for loss of effectiveness.

In vitro studies indicate that clindamycin does not inhibit CYP1A2, CYP2C9, CYP2C19, CYP2E1 or CYP2D6 and only moderately inhibits CYP3A4.

Section 34075-2

Laboratory Tests

During prolonged therapy, periodic liver and kidney function tests and blood counts should be performed.

Section 34076-0

Information for Patients

Patients should be counseled that antibacterial drugs including clindamycin palmitate hydrochloride for oral solution (Pediatric) should only be used to treat bacterial infections. They do not treat viral infections (e.g., the common cold). When clindamycin palmitate hydrochloride for oral solution (Pediatric) is prescribed to treat a bacterial infection, patients should be told that although it is common to feel better early in the course of therapy, the medication should be taken exactly as directed. Skipping doses or not completing the full course of therapy may (1) decrease the effectiveness of the immediate treatment and (2) increase the likelihood that bacteria will develop resistance and will not be treatable by clindamycin palmitate hydrochloride for oral solution (Pediatric) or other antibacterial drugs in the future.

Diarrhea is a common problem caused by antibiotics which usually ends when the antibiotic is discontinued. Sometimes after starting treatment with antibiotics, patients can develop watery and bloody stools (with or without stomach cramps and fever) even as late as two or more months after having taken the last dose of the antibiotic. If this occurs, patients should contact their physician as soon as possible.

Section 34080-2

Nursing Mothers

Clindamycin has been reported to appear in human breast milk in the range of <0.5 to 3.8 mcg/mL. Clindamycin has the potential to cause adverse effects on the breastfed infant's gastrointestinal flora. If oral or intravenous clindamycin is required by a nursing mother, it is not a reason to discontinue breastfeeding, but an alternate drug may be preferred. Monitor the infant for possible adverse effects on the gastrointestinal flora, such as diarrhea, candidiasis (thrush, diaper rash) or rarely, blood in the stool indicating possible antibiotic-associated colitis.

The developmental and health benefits of breastfeeding should be considered along with the mother's clinical need for clindamycin and any potential adverse effects on the breastfed child from clindamycin or from the underlying maternal condition.

Section 34081-0

Pediatric Use

When clindamycin palmitate hydrochloride for oral solution (Pediatric) is administered to the pediatric population (birth to 16 years), appropriate monitoring of organ system functions is desirable.

Section 34082-8

Geriatric Use

Clinical studies of clindamycin did not include sufficient numbers of patients age 65 and over to determine whether they respond differently from younger patients. However, other reported clinical experience indicates that antibiotic-associated colitis and diarrhea (due to Clostridium difficile) seen in association with most antibiotics occur more frequently in the elderly (>60 years) and may be more severe. These patients should be carefully monitored for the development of diarrhea.

Pharmacokinetic studies with clindamycin have shown no clinically important differences between young subjects (18 to 39 years) and elderly subjects (61 to 79 years) with normal hepatic function and normal (age-adjusted) renal function after oral or intravenous administration.

Section 34083-6

Carcinogenesis, Mutagenesis, Impairment of Fertility

Long term studies in animals have not been performed with clindamycin to evaluate carcinogenic potential. Genotoxicity tests performed included a rat micronucleus test and an Ames Salmonella reversion test. Both tests were negative.

Fertility studies in rats treated orally with up to 300 mg/kg/day (approximately 1.6 times the highest recommended adult human oral dose based on mg/m²) revealed no effects on fertility or mating ability.

Section 34093-5

References

  • Smith RB, Phillips JP: Evaluation of CLEOCIN HCl and CLEOCIN Phosphate in an Aged Population. Upjohn TR 8147-82-9122-021, December 1982.


Mfd. for:

Rising Pharmaceuticals, Inc.

Saddle Brook, NJ 07663

Mfd. by:

Lyne Laboratories, Inc.

Brockton, MA 02301

R3-02/19

Section 42228-7

Pregnancy: Teratogenic Effects

Clindamycin should be used during the first trimester of pregnancy only if clearly needed. There are no adequate and well-controlled studies in pregnant women during the first trimester of pregnancy.

Because animal reproduction studies are not always predictive of the human response, this drug should be used during pregnancy only if clearly needed.

Reproduction studies performed in rats and mice using oral doses of clindamycin up to 600 mg/kg/day (3.2 and 1.6 times the highest recommended adult human dose based on mg/m², respectively) or subcutaneous doses of clindamycin up to 250 mg/kg/day (1.3 and 0.7 times the highest recommended adult human dose based on mg/m², respectively) revealed no evidence of teratogenicity.



Section 42229-5

NDC 64980-511-10

To reduce the development of drug-resistant bacteria and maintain the effectiveness of clindamycin palmitate hydrochloride for oral solution (Pediatric) and other antibacterial drugs, clindamycin palmitate hydrochloride for oral solution (Pediatric) should be used only to treat or prevent infections that are proven or strongly suspected to be caused by bacteria.

Not for Injection

Section 49489-8

Microbiology

Mechanism of Action

Clindamycin inhibits bacterial protein synthesis by binding to the 23S RNA of the 50S subunit of the ribosome. Clindamycin is bacteriostatic.



Resistance

Resistance to clindamycin is most often caused by modification of specific bases of the 23S ribosomal RNA. Cross-resistance between clindamycin and lincomycin is complete. Because the binding sites for these antibacterial drugs overlap, cross-resistance is sometimes observed among lincosamides, macrolides and streptogramin B. Macrolide-inducible resistance to clindamycin occurs in some isolates of macrolide-resistant bacteria. Macrolide-resistant isolates of staphylococci and beta-hemolytic streptococci should be screened for induction of clindamycin resistance using the D-zone test.



Antimicrobial Activity

Clindamycin has been shown to be active against most of the isolates of the following microorganisms, both in vitro and in clinical infections, as described in the INDICATIONS AND USAGE section.

Gram-positive Bacteria

    Staphylococcus aureus (methicillin-susceptible strains)

    Streptococcus pneumoniae (penicillin-susceptible strains)

    Streptococcus pyogenes

Anaerobic Bacteria

    Clostridium perfringens

    Fusobacterium necrophorum

    Fusobacterium nucleatum

    Peptostreptococcus anaerobius

    Prevotella melaninogenica

At least 90% of the microorganisms listed below exhibit in vitro minimum inhibitory concentrations (MICs) less than or equal to the clindamycin susceptible MIC breakpoint for organisms of a similar type. However, the efficacy of clindamycin in treating clinical infections due to these microorganisms has not been established in adequate and well-controlled clinical trials.

Gram-positive Bacteria

    Staphylococcus epidermidis (methicillin-susceptible strains)

    Streptococcus agalactiae

    Streptococcus anginosus 

    Streptococcus mitis 

    Streptococcus oralis 

Anaerobic Bacteria

    Actinomyces israelii

    Clostridium clostridioforme

    Eggerthella lenta

    Finegoldia (Peptostreptococcus) magna

    Micromonas (Peptostreptococcus) micros

    Prevotella bivia

    Prevotella intermedia

    Propionibacterium acnes

Susceptibility Testing

For specific information regarding susceptibility test interpretive criteria and associated test methods and quality control standards recognized by FDA for this drug, please see: https://www.fda.gov/STIC



Section 51945-4

Clindamycin Palmitate Hcl 75 mg/5ml, #100

Extended Label

Warning


Clostridium difficile associated diarrhea (CDAD) has been reported with use of nearly all antibacterial agents, including clindamycin and may range in severity from mild diarrhea to fatal colitis. Treatment with antibacterial agents alters the normal flora of the colon leading to overgrowth of C.difficile.

Because clindamycin therapy has been associated with severe colitis which may end fatally, it should be reserved for serious infections where less toxic antimicrobial agents are inappropriate, as described in the INDICATIONS AND USAGE section. It should not be used in patients with nonbacterial infections such as most upper respiratory tract infections. C.difficile produces toxins A and B which contribute to the development of CDAD. Hypertoxin producing strains of C.difficile cause increased morbidity and mortality, as these infections can be refractory to antimicrobial therapy and may require colectomy. CDAD must be considered in all patients who present with diarrhea following antibiotic use. Careful medical history is necessary since CDAD has been reported to occur over two months after the administration of antibacterial agents. If CDAD is suspected or confirmed, ongoing antibiotic use not directed against C.difficile may need to be discontinued. Appropriate fluid and electrolyte management, protein supplementation, antibiotic treatment of C.difficile, and surgical evaluation should be instituted as clinically indicated.

Warnings

See BOXED WARNING.

Clostridium difficile Associated Diarrhea

Clostridium difficile associated diarrhea (CDAD) has been reported with use of nearly all antibacterial agents, including cindamycin palmitate hydrochloride for oral solution (Pediatric), and may range in severity from mild diarrhea to fatal colitis. Treatment with antibacterial agents alters the normal flora of the colon leading to overgrowth of C.difficile.

C.difficile produces toxins A and B which contribute to the development of CDAD. Hypertoxin producing strains of C.difficile cause increased morbidity and mortality, as these infections can be refractory to antimicrobial therapy and may require colectomy. CDAD must be considered in all patients who present with diarrhea following antibiotic use. Careful medical history is necessary since CDAD has been reported to occur over two months after the administration of antibacterial agents.

If CDAD is suspected or confirmed, ongoing antibiotic use not directed against C.difficile may need to be discontinued. Appropriate fluid and electrolyte management, protein supplementation, antibiotic treatment of C.difficile, and surgical evaluation should be instituted as clinically indicated.



Anaphylactic and Severe Hypersensitivity Reactions

Anaphylactic shock and anaphylactic reactions have been reported (see ADVERSE REACTIONS). 

Severe hypersensitivity reactions, including severe skin reactions such as toxic epidermal necrolysis (TEN), drug reaction with eosinophilia and systemic symptoms (DRESS), and Stevens-Johnson syndrome (SJS), some with fatal outcome, have been reported (see ADVERSE REACTIONS). 

In case of such an anaphylactic or severe hypersensitivity reaction, discontinue treatment permanently and institute appropriate therapy.

A careful inquiry should be made concerning previous sensitivities to drugs and other allergens.



Usage in Meningitis


Since clindamycin does not diffuse adequately into the cerebrospinal fluid, the drug should not be used in the treatment of meningitis.

Overdosage

Significant mortality was observed in mice at an intravenous dose of 855 mg/kg and in rats at an oral or subcutaneous dose of approximately 2618 mg/kg. In the mice, convulsions and depression were observed. Hemodialysis and peritoneal dialysis are not effective in removing clindamycin from the serum.

Precautions

General

Review of experience to date suggests that a subgroup of older patients with associated severe illness may tolerate diarrhea less well. When clindamycin is indicated in these patients, they should be carefully monitored for change in bowel frequency.

Clindamycin palmitate hydrochloride for oral solution (Pediatric) should be prescribed with caution in individuals with a history of gastrointestinal disease, particularly colitis.

Clindamycin palmitate hydrochloride for oral solution (Pediatric) should be prescribed with caution in atopic individuals.

Indicated surgical procedures should be performed in conjunction with antibiotic therapy.

The use of clindamycin palmitate hydrochloride for oral solution (Pediatric) occasionally results in overgrowth of nonsusceptible organisms-particularly yeasts. Should superinfections occur, appropriate measures should be taken as indicated by the clinical situation.

Clindamycin dosage modification may not be necessary in patients with renal disease. In patients with moderate to severe liver disease, prolongation of clindamycin half-life has been found. However, it was postulated from studies that when given every eight hours, accumulation should rarely occur. Therefore, dosage modification in patients with liver disease may not be necessary. However, periodic liver enzyme determinations should be made when treating patients with severe liver disease.

Prescribing clindamycin palmitate hydrochloride for oral solution (Pediatric) in the absence of a proven or strongly suspected bacterial infection or a prophylactic indication is unlikely to provide benefit to the patient and increases the risk of the development of drug-resistant bacteria.


Structured Label Content

Section 34073-7 (34073-7)

Drug Interactions

Clindamycin has been shown to have neuromuscular blocking properties that may enhance the action of other neuromuscular blocking agents. Therefore, it should be used with caution in patients receiving such agents.

Clindamycin is metabolized predominantly by CYP3A4, and to a lesser extent by CYP3A5, to the major metabolite clindamycin sulfoxide and minor metabolite N-desmethylclindamycin. Therefore inhibitors of CYP3A4 and CYP3A5 may increase plasma concentrations of clindamycin and inducers of these isoenzymes may reduce plasma concentrations of clindamycin. In the presence of strong CYP3A4 inhibitors, monitor for adverse reactions. In the presence of strong CYP3A4 inducers such as rifampicin, monitor for loss of effectiveness.

In vitro studies indicate that clindamycin does not inhibit CYP1A2, CYP2C9, CYP2C19, CYP2E1 or CYP2D6 and only moderately inhibits CYP3A4.

Section 34075-2 (34075-2)

Laboratory Tests

During prolonged therapy, periodic liver and kidney function tests and blood counts should be performed.

Section 34076-0 (34076-0)

Information for Patients

Patients should be counseled that antibacterial drugs including clindamycin palmitate hydrochloride for oral solution (Pediatric) should only be used to treat bacterial infections. They do not treat viral infections (e.g., the common cold). When clindamycin palmitate hydrochloride for oral solution (Pediatric) is prescribed to treat a bacterial infection, patients should be told that although it is common to feel better early in the course of therapy, the medication should be taken exactly as directed. Skipping doses or not completing the full course of therapy may (1) decrease the effectiveness of the immediate treatment and (2) increase the likelihood that bacteria will develop resistance and will not be treatable by clindamycin palmitate hydrochloride for oral solution (Pediatric) or other antibacterial drugs in the future.

Diarrhea is a common problem caused by antibiotics which usually ends when the antibiotic is discontinued. Sometimes after starting treatment with antibiotics, patients can develop watery and bloody stools (with or without stomach cramps and fever) even as late as two or more months after having taken the last dose of the antibiotic. If this occurs, patients should contact their physician as soon as possible.

Section 34080-2 (34080-2)

Nursing Mothers

Clindamycin has been reported to appear in human breast milk in the range of <0.5 to 3.8 mcg/mL. Clindamycin has the potential to cause adverse effects on the breastfed infant's gastrointestinal flora. If oral or intravenous clindamycin is required by a nursing mother, it is not a reason to discontinue breastfeeding, but an alternate drug may be preferred. Monitor the infant for possible adverse effects on the gastrointestinal flora, such as diarrhea, candidiasis (thrush, diaper rash) or rarely, blood in the stool indicating possible antibiotic-associated colitis.

The developmental and health benefits of breastfeeding should be considered along with the mother's clinical need for clindamycin and any potential adverse effects on the breastfed child from clindamycin or from the underlying maternal condition.

Section 34081-0 (34081-0)

Pediatric Use

When clindamycin palmitate hydrochloride for oral solution (Pediatric) is administered to the pediatric population (birth to 16 years), appropriate monitoring of organ system functions is desirable.

Section 34082-8 (34082-8)

Geriatric Use

Clinical studies of clindamycin did not include sufficient numbers of patients age 65 and over to determine whether they respond differently from younger patients. However, other reported clinical experience indicates that antibiotic-associated colitis and diarrhea (due to Clostridium difficile) seen in association with most antibiotics occur more frequently in the elderly (>60 years) and may be more severe. These patients should be carefully monitored for the development of diarrhea.

Pharmacokinetic studies with clindamycin have shown no clinically important differences between young subjects (18 to 39 years) and elderly subjects (61 to 79 years) with normal hepatic function and normal (age-adjusted) renal function after oral or intravenous administration.

Section 34083-6 (34083-6)

Carcinogenesis, Mutagenesis, Impairment of Fertility

Long term studies in animals have not been performed with clindamycin to evaluate carcinogenic potential. Genotoxicity tests performed included a rat micronucleus test and an Ames Salmonella reversion test. Both tests were negative.

Fertility studies in rats treated orally with up to 300 mg/kg/day (approximately 1.6 times the highest recommended adult human oral dose based on mg/m²) revealed no effects on fertility or mating ability.

Section 34093-5 (34093-5)

References

  • Smith RB, Phillips JP: Evaluation of CLEOCIN HCl and CLEOCIN Phosphate in an Aged Population. Upjohn TR 8147-82-9122-021, December 1982.


Mfd. for:

Rising Pharmaceuticals, Inc.

Saddle Brook, NJ 07663

Mfd. by:

Lyne Laboratories, Inc.

Brockton, MA 02301

R3-02/19

Section 42228-7 (42228-7)

Pregnancy: Teratogenic Effects

Clindamycin should be used during the first trimester of pregnancy only if clearly needed. There are no adequate and well-controlled studies in pregnant women during the first trimester of pregnancy.

Because animal reproduction studies are not always predictive of the human response, this drug should be used during pregnancy only if clearly needed.

Reproduction studies performed in rats and mice using oral doses of clindamycin up to 600 mg/kg/day (3.2 and 1.6 times the highest recommended adult human dose based on mg/m², respectively) or subcutaneous doses of clindamycin up to 250 mg/kg/day (1.3 and 0.7 times the highest recommended adult human dose based on mg/m², respectively) revealed no evidence of teratogenicity.



Section 42229-5 (42229-5)

NDC 64980-511-10

To reduce the development of drug-resistant bacteria and maintain the effectiveness of clindamycin palmitate hydrochloride for oral solution (Pediatric) and other antibacterial drugs, clindamycin palmitate hydrochloride for oral solution (Pediatric) should be used only to treat or prevent infections that are proven or strongly suspected to be caused by bacteria.

Not for Injection

Section 49489-8 (49489-8)

Microbiology

Mechanism of Action

Clindamycin inhibits bacterial protein synthesis by binding to the 23S RNA of the 50S subunit of the ribosome. Clindamycin is bacteriostatic.



Resistance

Resistance to clindamycin is most often caused by modification of specific bases of the 23S ribosomal RNA. Cross-resistance between clindamycin and lincomycin is complete. Because the binding sites for these antibacterial drugs overlap, cross-resistance is sometimes observed among lincosamides, macrolides and streptogramin B. Macrolide-inducible resistance to clindamycin occurs in some isolates of macrolide-resistant bacteria. Macrolide-resistant isolates of staphylococci and beta-hemolytic streptococci should be screened for induction of clindamycin resistance using the D-zone test.



Antimicrobial Activity

Clindamycin has been shown to be active against most of the isolates of the following microorganisms, both in vitro and in clinical infections, as described in the INDICATIONS AND USAGE section.

Gram-positive Bacteria

    Staphylococcus aureus (methicillin-susceptible strains)

    Streptococcus pneumoniae (penicillin-susceptible strains)

    Streptococcus pyogenes

Anaerobic Bacteria

    Clostridium perfringens

    Fusobacterium necrophorum

    Fusobacterium nucleatum

    Peptostreptococcus anaerobius

    Prevotella melaninogenica

At least 90% of the microorganisms listed below exhibit in vitro minimum inhibitory concentrations (MICs) less than or equal to the clindamycin susceptible MIC breakpoint for organisms of a similar type. However, the efficacy of clindamycin in treating clinical infections due to these microorganisms has not been established in adequate and well-controlled clinical trials.

Gram-positive Bacteria

    Staphylococcus epidermidis (methicillin-susceptible strains)

    Streptococcus agalactiae

    Streptococcus anginosus 

    Streptococcus mitis 

    Streptococcus oralis 

Anaerobic Bacteria

    Actinomyces israelii

    Clostridium clostridioforme

    Eggerthella lenta

    Finegoldia (Peptostreptococcus) magna

    Micromonas (Peptostreptococcus) micros

    Prevotella bivia

    Prevotella intermedia

    Propionibacterium acnes

Susceptibility Testing

For specific information regarding susceptibility test interpretive criteria and associated test methods and quality control standards recognized by FDA for this drug, please see: https://www.fda.gov/STIC



Section 51945-4 (51945-4)

Clindamycin Palmitate Hcl 75 mg/5ml, #100

Extended Label

Warning (WARNING)


Clostridium difficile associated diarrhea (CDAD) has been reported with use of nearly all antibacterial agents, including clindamycin and may range in severity from mild diarrhea to fatal colitis. Treatment with antibacterial agents alters the normal flora of the colon leading to overgrowth of C.difficile.

Because clindamycin therapy has been associated with severe colitis which may end fatally, it should be reserved for serious infections where less toxic antimicrobial agents are inappropriate, as described in the INDICATIONS AND USAGE section. It should not be used in patients with nonbacterial infections such as most upper respiratory tract infections. C.difficile produces toxins A and B which contribute to the development of CDAD. Hypertoxin producing strains of C.difficile cause increased morbidity and mortality, as these infections can be refractory to antimicrobial therapy and may require colectomy. CDAD must be considered in all patients who present with diarrhea following antibiotic use. Careful medical history is necessary since CDAD has been reported to occur over two months after the administration of antibacterial agents. If CDAD is suspected or confirmed, ongoing antibiotic use not directed against C.difficile may need to be discontinued. Appropriate fluid and electrolyte management, protein supplementation, antibiotic treatment of C.difficile, and surgical evaluation should be instituted as clinically indicated.

Warnings (WARNINGS)

See BOXED WARNING.

Clostridium difficile Associated Diarrhea

Clostridium difficile associated diarrhea (CDAD) has been reported with use of nearly all antibacterial agents, including cindamycin palmitate hydrochloride for oral solution (Pediatric), and may range in severity from mild diarrhea to fatal colitis. Treatment with antibacterial agents alters the normal flora of the colon leading to overgrowth of C.difficile.

C.difficile produces toxins A and B which contribute to the development of CDAD. Hypertoxin producing strains of C.difficile cause increased morbidity and mortality, as these infections can be refractory to antimicrobial therapy and may require colectomy. CDAD must be considered in all patients who present with diarrhea following antibiotic use. Careful medical history is necessary since CDAD has been reported to occur over two months after the administration of antibacterial agents.

If CDAD is suspected or confirmed, ongoing antibiotic use not directed against C.difficile may need to be discontinued. Appropriate fluid and electrolyte management, protein supplementation, antibiotic treatment of C.difficile, and surgical evaluation should be instituted as clinically indicated.



Anaphylactic and Severe Hypersensitivity Reactions

Anaphylactic shock and anaphylactic reactions have been reported (see ADVERSE REACTIONS). 

Severe hypersensitivity reactions, including severe skin reactions such as toxic epidermal necrolysis (TEN), drug reaction with eosinophilia and systemic symptoms (DRESS), and Stevens-Johnson syndrome (SJS), some with fatal outcome, have been reported (see ADVERSE REACTIONS). 

In case of such an anaphylactic or severe hypersensitivity reaction, discontinue treatment permanently and institute appropriate therapy.

A careful inquiry should be made concerning previous sensitivities to drugs and other allergens.



Usage in Meningitis


Since clindamycin does not diffuse adequately into the cerebrospinal fluid, the drug should not be used in the treatment of meningitis.

Overdosage (OVERDOSAGE)

Significant mortality was observed in mice at an intravenous dose of 855 mg/kg and in rats at an oral or subcutaneous dose of approximately 2618 mg/kg. In the mice, convulsions and depression were observed. Hemodialysis and peritoneal dialysis are not effective in removing clindamycin from the serum.

Description (DESCRIPTION)

Clindamycin palmitate hydrochloride is a water soluble hydrochloride salt of the ester of clindamycin and palmitic acid. Clindamycin is a semisynthetic antibiotic produced by a 7(S)-chloro-substitution of the 7(R)-hydroxyl group of the parent compound lincomycin.

The structural formula is represented below:

The chemical name for clindamycin palmitate hydrochloride is Methyl 7-chloro-6, 7, 8-trideoxy-6-(1-methyl- trans-4-propyl-L-2-pyrrolidinecarboxamido)-1-thio-L- threo-α-D- galacto-octopyranoside 2-palmitate monohydrochloride.

Clindamycin palmitate hydrochloride for oral solution, USP (Pediatric) flavored granules contain clindamycin palmitate hydrochloride for reconstitution. Each 5 mL contains the equivalent of 75 mg clindamycin. Inactive ingredients: natural cherry flavor, dextrin, ethylparaben, poloxamer 188, simethicone, sucrose.

Precautions (PRECAUTIONS)

General

Review of experience to date suggests that a subgroup of older patients with associated severe illness may tolerate diarrhea less well. When clindamycin is indicated in these patients, they should be carefully monitored for change in bowel frequency.

Clindamycin palmitate hydrochloride for oral solution (Pediatric) should be prescribed with caution in individuals with a history of gastrointestinal disease, particularly colitis.

Clindamycin palmitate hydrochloride for oral solution (Pediatric) should be prescribed with caution in atopic individuals.

Indicated surgical procedures should be performed in conjunction with antibiotic therapy.

The use of clindamycin palmitate hydrochloride for oral solution (Pediatric) occasionally results in overgrowth of nonsusceptible organisms-particularly yeasts. Should superinfections occur, appropriate measures should be taken as indicated by the clinical situation.

Clindamycin dosage modification may not be necessary in patients with renal disease. In patients with moderate to severe liver disease, prolongation of clindamycin half-life has been found. However, it was postulated from studies that when given every eight hours, accumulation should rarely occur. Therefore, dosage modification in patients with liver disease may not be necessary. However, periodic liver enzyme determinations should be made when treating patients with severe liver disease.

Prescribing clindamycin palmitate hydrochloride for oral solution (Pediatric) in the absence of a proven or strongly suspected bacterial infection or a prophylactic indication is unlikely to provide benefit to the patient and increases the risk of the development of drug-resistant bacteria.

How Supplied (HOW SUPPLIED)

Clindamycin palmitate hydrochloride for oral solution, USP (Pediatric) flavored granules is available in bottles of 100 mL (NDC 63629-2391-1).

When reconstituted as directed, each bottle yields a solution containing 75 mg of clindamycin per 5 mL.

Rx only

Repackaged/Relabeled by:

Bryant Ranch Prepack, Inc.

Burbank, CA 91504

Adverse Reactions (ADVERSE REACTIONS)

The following reactions have been reported with the use of clindamycin.

Infections and infestations: Clostridium difficile colitis

Gastrointestinal: Abdominal pain, pseudomembranous colitis, esophagitis, nausea, vomiting and diarrhea (see BOXED WARNING). The onset of pseudomembranous colitis symptoms may occur during or after antibacterial treatment (see WARNINGS ). An unpleasant or metallic taste has been reported after oral administration.

Hypersensitivity Reactions: Generalized mild to moderate morbilliform-like (maculopapular) skin rashes are the most frequently reported adverse reactions. Vesiculobullous rashes, as well as urticaria, have been observed during drug therapy. Severe skin reactions such as Toxic Epidermal Necrolysis, some with fatal outcome, have been reported (See WARNINGS). Cases of Acute Generalized Exanthematous Pustulosis (AGEP), erythema multiforme, some resembling Stevens-Johnson syndrome, anaphylactic shock, anaphylactic reaction and hypersensitivity have also been reported.

Skin and Mucous Membranes: Pruritus, vaginitis, angioedema, and rare instances of exfoliative dermatitis have been reported. (See Hypersensitivity Reactions.)

Liver: Jaundice and abnormalities in liver function tests have been observed during clindamycin therapy.

Renal: Although no direct relationship of clindamycin to renal damage has been established, renal dysfunction as evidenced by azotemia, oliguria, and/or proteinuria has been observed.

Hematopoietic: Transient neutropenia (leukopenia) and eosinophilia have been reported. Reports of agranulocytosis and thrombocytopenia have been made. No direct etiologic relationship to concurrent clindamycin therapy could be made in any of the foregoing.

Immune system: Drug reaction with eosinophilia and systemic symptoms (DRESS) cases have been reported.

Musculoskeletal: Cases of polyarthritis have been reported.



To report SUSPECTED ADVERSE REACTIONS, contact Rising Pharmaceuticals, Inc. at 1-866-562-4597 or FDA at 1-800-FDA-1088 or www.FDA.gov/medwatch.

Contraindications (CONTRAINDICATIONS)

This drug is contraindicated in individuals with a history of hypersensitivity to preparations containing clindamycin or lincomycin.

Indications and Usage (INDICATIONS AND USAGE)

Clindamycin palmitate hydrochloride for oral solution, USP (Pediatric) (clindamycin palmitate HCl) is indicated in the treatment of serious infections caused by susceptible anaerobic bacteria.

Clindamycin is also indicated in the treatment of serious infections due to susceptible strains of streptococci, pneumococci and staphylococci. Its use should be reserved for penicillin-allergic patients or other patients for whom, in the judgment of the physician, a penicillin is inappropriate. Because of the risk of colitis, as described in the BOXED WARNING, before selecting clindamycin the physician should consider the nature of the infection and the suitability of less toxic alternatives (e.g., erythromycin).

Anaerobes: Serious respiratory tract infections such as empyema, anaerobic pneumonitis and lung abscess; serious skin and soft tissue infections; septicemia; intra-abdominal infections such as peritonitis and intra-abdominal abscess (typically resulting from anaerobic organisms resident in the normal gastrointestinal tract); infections of the female pelvis and genital tract such as endometritis, nongonococcal tubo-ovarian abscess, pelvic cellulitis and postsurgical vaginal cuff infection.

Streptococci: Serious respiratory tract infections; serious skin and soft tissue infections.

Staphylococci: Serious respiratory tract infections; serious skin and soft tissue infections.

Pneumococci: Serious respiratory tract infections.

Bacteriologic studies should be performed to determine the causative organisms and their susceptibility to clindamycin.

To reduce the development of drug-resistant bacteria and maintain the effectiveness of Clindamycin palmitate hydrochloride for oral solution (Pediatric) and other antibacterial drugs, Clindamycin palmitate hydrochloride for oral solution (Pediatric) should be used only to treat or prevent infections that are proven or strongly suspected to be caused by susceptible bacteria. When culture and susceptibility information are available, they should be considered in selecting or modifying antibacterial therapy. In the absence of such data, local epidemiology and susceptibility patterns may contribute to the empiric selection of therapy.

Dosage and Administration (DOSAGE AND ADMINISTRATION)

If significant diarrhea occurs during therapy, this antibiotic should be discontinued (see BOXED WARNING).

Concomitant administration of food does not adversely affect the absorption of clindamycin palmitate HCl contained in clindamycin palmitate hydrochloride for oral solution (Pediatric) flavored granules.

Serious infections: 8-12 mg/kg/day (4-6 mg/lb/day) divided into 3 or 4 equal doses.

Severe infections: 13-16 mg/kg/day (6.5-8 mg/lb/day) divided into 3 or 4 equal doses.

More severe infections: 17-25 mg/kg/day (8.5-12.5 mg/lb/day) divided into 3 or 4 equal doses.

In pediatric patients weighing 10 kg or less, ½ teaspoon (37.5 mg) three times a day should be considered the minimum recommended dose.

Serious infections due to anaerobic bacteria are usually treated with clindamycin injection. However, in clinically appropriate circumstances, the physician may elect to initiate treatment or continue treatment with clindamycin palmitate hydrochloride for oral solution (Pediatric).

NOTE: In cases of β-hemolytic streptococcal infections, treatment should be continued for at least 10 days.

Reconstitution Instructions: When reconstituted with water as follows, each 5 mL (teaspoon) of solution contains clindamycin palmitate HCl equivalent to 75 mg clindamycin.

Reconstitute bottles of 100 mL with 75 mL of water. Add a large portion of the water and shake vigorously; add the remainder of the water and shake until the solution is uniform.

Storage Conditions: Store at controlled room temperature 20° to 25°C (68° to 77°F) [see USP].

Do NOT refrigerate the reconstituted solution; when chilled, the solution may thicken and be difficult to pour. The solution is stable for 2 weeks at room temperature.


Advanced Ingredient Data


Raw Label Data

All Sections (JSON)