Chlordiazepoxide Hydrochloride And Clidinium Bromide Capsules, Usp

Chlordiazepoxide Hydrochloride And Clidinium Bromide Capsules, Usp
SPL v1
SPL
SPL Set ID 398931c6-4954-4bbc-8b63-ea382e5864fc
Route
ORAL
Published
Effective Date 2023-10-06
Document Type 34391-3 Human Prescription Drug Label

Drug Facts

Composition & Product

Active Ingredients
Chlordiazepoxide (5 mg) Clidinium (2.5 mg)
Inactive Ingredients
Lactose Monohydrate Starch, Corn Talc Titanium Dioxide Fd&c Green No. 3 D&c Yellow No. 10 Gelatin, Unspecified Shellac Ferrosoferric Oxide Potassium Hydroxide Propylene Glycol

Identifiers & Packaging

Pill Appearance
Imprint: A;333 Shape: capsule Color: green Size: 16 mm Score: 1
Marketing Status
ANDA Active Since 2023-10-04

Description

WARNING: RISKS FROM CONCOMITANT USE WITH OPIOIDS; ABUSE, MISUSE, AND ADDICTION; and DEPENDENCE AND WITHDRAWAL REACTIONS   Concomitant use of benzodiazepines and opioids may result in profound sedation, respiratory depression, coma, and death. Reserve concomitant prescribing of these drugs in patients for whom alternative treatment options are inadequate. Limit dosages and durations to the minimum required. Follow patients for signs and symptoms of respiratory depression and sedation (see WARNINGS and PRECAUTIONS and PRECAUTIONS, Drug Interactions).   The use of benzodiazepines, including chlordiazepoxide hydrochloride, a component of chlordiazepoxide hydrochloride and clidinium bromide capsules, exposes users to risks of abuse, misuse, and addiction, which can lead to overdose or death. Abuse and misuse of benzodiazepines commonly involve concomitant use of other medications, alcohol, and/or illicit substances, which is associated with an increased frequency of serious adverse outcomes. Before prescribing chlordiazepoxide hydrochloride and clidinium bromide capsules and throughout treatment, assess each patient’s risk for abuse, misuse, and addiction (see WARNINGS) .   The continued use of benzodiazepines, including chlordiazepoxide hydrochloride and clidinium bromide capsules, may lead to clinically significant physical dependence. The risks of dependence and withdrawal increase with longer treatment duration and higher daily dose. Abrupt discontinuation or rapid dosage reduction of chlordiazepoxide hydrochloride and clidinium bromide capsules after continued use may precipitate acute withdrawal reactions, which can be life-threatening. To reduce the risk of withdrawal reactions, use a gradual taper to discontinue chlordiazepoxide hydrochloride and clidinium bromide capsules or reduce the dosage (see WARNINGS and DOSAGE AND ADMINISTRATION).

Indications and Usage

Chlordiazepoxide hydrochloride and clidinium bromide capsules are indicated to control emotional and somatic factors in gastrointestinal disorders. Chlordiazepoxide hydrochloride and clidinium bromide capsules may also be used as adjunctive therapy in the treatment of peptic ulcer and in the treatment of the irritable bowel syndrome (irritable colon, spastic colon, mucous colitis) and acute enterocolitis.

Dosage and Administration

Recommended Dosage Because of the varied individual responses to tranquilizers and anticholinergics, the optimum dosage of chlordiazepoxide hydrochloride and clidinium bromide capsules varies with the diagnosis and response of the individual patient. The dosage, therefore, should be individualized for maximum beneficial effects. The usual maintenance dose is 1 or 2 capsules, 3 or 4 times a day administered before meals and at bedtime.   Recommended Geriatric Dosage Dosage should be limited to the smallest effective amount to preclude the development of ataxia, oversedation or confusion. The initial dose should not exceed 2 chlordiazepoxide hydrochloride and clidinium bromide capsules per day, to be increased gradually as needed and tolerated. Elderly patients have an increased risk of dose-related adverse reactions (see PRECAUTIONS ). Discontinuation or Dosage Reduction of Chlordiazepoxide Hydrochloride and Clidinium Bromide Capsules To reduce the risk of withdrawal reactions, use a gradual taper to discontinue chlordiazepoxide hydrochloride and clidinium bromide capsules or reduce the dosage. If a patient develops withdrawal reactions, consider pausing the taper or increasing the dosage to the previous tapered dosage level. Subsequently decrease the dosage more slowly (see WARNINGS and DRUG ABUSE AND DEPENDENCE ).

Contraindications

Chlordiazepoxide hydrochloride and clidinium bromide capsules are contraindicated in the presence of glaucoma (since the anticholinergic component may produce some degree of mydriasis) and in patients with prostatic hypertrophy and benign bladder neck obstruction. It is contraindicated in patients with known hypersensitivity to chlordiazepoxide hydrochloride and/or clidinium bromide.

Adverse Reactions

In geriatric or debilitated patients, it is recommended that the dosage be limited to the smallest effective amount to preclude the development of ataxia, oversedation or confusion (not more than 2 chlordiazepoxide hydrochloride and clidinium bromide capsules per day initially, to be increased gradually as needed and tolerated). In general, the concomitant administration of chlordiazepoxide hydrochloride and clidinium bromide capsules and other psychotropic agents is not recommended. If such combination therapy seems indicated, careful consideration should be given to the pharmacology of the agents to be employed — particularly when the known potentiating compounds such as the MAO inhibitors and phenothiazines are to be used. The usual precautions in treating patients with impaired renal or hepatic function should be observed. Paradoxical reactions to chlordiazepoxide hydrochloride, e.g., excitement, stimulation and acute rage, have been reported in psychiatric patients and should be watched for during chlordiazepoxide hydrochloride and clidinium bromide capsules therapy. The usual precautions are indicated when chlordiazepoxide hydrochloride is used in the treatment of anxiety states where there is any evidence of impending depression; it should be borne in mind that suicidal tendencies may be present and protective measures may be necessary.

Drug Interactions

Opioids   The concomitant use of benzodiazepines, including chlordiazepoxide hydrochloride, a component of chlordiazepoxide hydrochloride and clidinium bromide capsules and opioids increases the risk of respiratory depression because of actions at different receptor sites in the CNS that control respiration. Benzodiazepines interact at GABA A sites and opioids interact primarily at mu receptors. When benzodiazepines and opioids are combined, the potential for benzodiazepines to significantly worsen opioid-related respiratory depression exists. Limit dosage and duration of concomitant use of chlordiazepoxide hydrochloride and clidinium bromide capsules and opioids, and follow patients closely for respiratory depression and sedation. Oral Anticoagulants Although clinical studies have not established a cause and effect relationship, physicians should be aware that variable effects on blood coagulation have been reported very rarely in patients receiving oral anticoagulants and chlordiazepoxide hydrochloride, a component of chlordiazepoxide hydrochloride and clidinium bromide capsules.

How Supplied

Chlordiazepoxide hydrochloride and clidinium bromide capsules, USP are opaque light green cap/opaque light green body hard gelatin capsule, size “3” having imprinting “A” on cap and “333” on body with black ink, filled with white to off white powder. Bottle of 100 capsules with child resistant closure, NDC 46708-744-31 Bottle of 1000 capsules, NDC 46708-744-91 Store at 25°C (77°F); excursions permitted to 15° to 30°C (59° to 86°F) [see USP Controlled Room Temperature]. Protect from light. Keep out of reach of children. Dispense in tight, light-resistant container as defined in USP/NF.   Manufactured by: Alembic Pharmaceuticals Limited (Formulation Division), Village Panelav, P. O. Tajpura, Near Baska, Taluka-Halol, Panchmahal 389350, Gujarat, India.   Revised: 02/2023


Medication Information

Recent Major Changes


WARNING: RISKS FROM CONCOMITANT USE WITH OPIOIDS; ABUSE, MISUSE, AND ADDICTION; and DEPENDENCE AND WITHDRAWAL REACTIONS 



  • Concomitant use of benzodiazepines and opioids may result in profound sedation, respiratory depression, coma, and death. Reserve concomitant prescribing of these drugs in patients for whom alternative treatment options are inadequate. Limit dosages and durations to the minimum required. Follow patients for signs and symptoms of respiratory depression and sedation (see WARNINGS and PRECAUTIONS and PRECAUTIONS, Drug Interactions). 
  • The use of benzodiazepines, including chlordiazepoxide hydrochloride, a component of chlordiazepoxide hydrochloride and clidinium bromide capsules, exposes users to risks of abuse, misuse, and addiction, which can lead to overdose or death. Abuse and misuse of benzodiazepines commonly involve concomitant use of other medications, alcohol, and/or illicit substances, which is associated with an increased frequency of serious adverse outcomes. Before prescribing chlordiazepoxide hydrochloride and clidinium bromide capsules and throughout treatment, assess each patient’s risk for abuse, misuse, and addiction (see WARNINGS).
  •   The continued use of benzodiazepines, including chlordiazepoxide hydrochloride and clidinium bromide capsules, may lead to clinically significant physical dependence. The risks of dependence and withdrawal increase with longer treatment duration and higher daily dose. Abrupt discontinuation or rapid dosage reduction of chlordiazepoxide hydrochloride and clidinium bromide capsules after continued use may precipitate acute withdrawal reactions, which can be life-threatening. To reduce the risk of withdrawal reactions, use a gradual taper to discontinue chlordiazepoxide hydrochloride and clidinium bromide capsules or reduce the dosage (see WARNINGS and DOSAGE AND ADMINISTRATION).
Indications and Usage

Chlordiazepoxide hydrochloride and clidinium bromide capsules are indicated to control emotional and somatic factors in gastrointestinal disorders. Chlordiazepoxide hydrochloride and clidinium bromide capsules may also be used as adjunctive therapy in the treatment of peptic ulcer and in the treatment of the irritable bowel syndrome (irritable colon, spastic colon, mucous colitis) and acute enterocolitis.

Dosage and Administration

Recommended Dosage

Because of the varied individual responses to tranquilizers and anticholinergics, the optimum dosage of chlordiazepoxide hydrochloride and clidinium bromide capsules varies with the diagnosis and response of the individual patient. The dosage, therefore, should be individualized for maximum beneficial effects. The usual maintenance dose is 1 or 2 capsules, 3 or 4 times a day administered before meals and at bedtime.

 

Recommended Geriatric Dosage

Dosage should be limited to the smallest effective amount to preclude the development of ataxia, oversedation or confusion. The initial dose should not exceed 2 chlordiazepoxide hydrochloride and clidinium bromide capsules per day, to be increased gradually as needed and tolerated. Elderly patients have an increased risk of dose-related adverse reactions (see PRECAUTIONS).

Discontinuation or Dosage Reduction of Chlordiazepoxide Hydrochloride and Clidinium Bromide Capsules



To reduce the risk of withdrawal reactions, use a gradual taper to discontinue chlordiazepoxide hydrochloride and clidinium bromide capsules or reduce the dosage. If a patient develops withdrawal reactions, consider pausing the taper or increasing the dosage to the previous tapered dosage level. Subsequently decrease the dosage more slowly (see WARNINGS and DRUG ABUSE AND DEPENDENCE).

Contraindications

Chlordiazepoxide hydrochloride and clidinium bromide capsules are contraindicated in the presence of glaucoma (since the anticholinergic component may produce some degree of mydriasis) and in patients with prostatic hypertrophy and benign bladder neck obstruction. It is contraindicated in patients with known hypersensitivity to chlordiazepoxide hydrochloride and/or clidinium bromide.

Adverse Reactions

No side effects or manifestations not seen with either compound alone have been reported with the administration of chlordiazepoxide hydrochloride and clidinium bromide capsules. However, since chlordiazepoxide hydrochloride and clidinium bromide capsules contains chlordiazepoxide hydrochloride and clidinium bromide, the possibility of untoward effects which may be seen with either of these two compounds cannot be excluded.



When chlordiazepoxide hydrochloride has been used alone the necessity of discontinuing therapy because of undesirable effects has been rare. Drowsiness, ataxia and confusion have been reported in some patients — particularly the elderly and debilitated. While these effects can be avoided in almost all instances by proper dosage adjustment, they have occasionally been observed at the lower dosage ranges. In a few instances syncope has been reported.



Other adverse reactions reported during therapy with chlordiazepoxide hydrochloride include isolated instances of skin eruptions, edema, minor menstrual irregularities, nausea and constipation, extrapyramidal symptoms, as well as increased and decreased libido. Such side effects have been infrequent and are generally controlled with reduction of dosage. Changes in EEG patterns (low-voltage fast activity) have been observed in patients during and after chlordiazepoxide hydrochloride treatment.



Blood dyscrasias, including agranulocytosis, jaundice and hepatic dysfunction have occasionally been reported during therapy with chlordiazepoxide hydrochloride. When chlordiazepoxide hydrochloride treatment is protracted, periodic blood counts and liver function tests are advisable.



Adverse effects reported with use of chlordiazepoxide hydrochloride and clidinium bromide capsules are those typical of anticholinergic agents, i.e., dryness of the mouth, blurring of vision, urinary hesitancy and constipation. Constipation has occurred most often when chlordiazepoxide hydrochloride and clidinium bromide therapy has been combined with other spasmolytic agents and/or a low residue diet.



To report SUSPECTED ADVERSE REACTIONS, contact FDA at 1-800-FDA-1088 or www.fda.gov/medwatch.

Drug Interactions

Opioids  

The concomitant use of benzodiazepines, including chlordiazepoxide hydrochloride, a component of chlordiazepoxide hydrochloride and clidinium bromide capsules and opioids increases the risk of respiratory depression because of actions at different receptor sites in the CNS that control respiration. Benzodiazepines interact at GABAA sites and opioids interact primarily at mu receptors. When benzodiazepines and opioids are combined, the potential for benzodiazepines to significantly worsen opioid-related respiratory depression exists. Limit dosage and duration of concomitant use of chlordiazepoxide hydrochloride and clidinium bromide capsules and opioids, and follow patients closely for respiratory depression and sedation.



Oral Anticoagulants

Although clinical studies have not established a cause and effect relationship, physicians should be aware that variable effects on blood coagulation have been reported very rarely in patients receiving oral anticoagulants and chlordiazepoxide hydrochloride, a component of chlordiazepoxide hydrochloride and clidinium bromide capsules.

How Supplied

Chlordiazepoxide hydrochloride and clidinium bromide capsules, USP are opaque light green cap/opaque light green body hard gelatin capsule, size “3” having imprinting “A” on cap and “333” on body with black ink, filled with white to off white powder.

Bottle of 100 capsules with child resistant closure, NDC 46708-744-31

Bottle of 1000 capsules, NDC 46708-744-91



Store at 25°C (77°F); excursions permitted to 15° to 30°C (59° to 86°F) [see USP Controlled Room Temperature]. Protect from light.

Keep out of reach of children.



Dispense in tight, light-resistant container as defined in USP/NF.

 



Manufactured by:

Alembic Pharmaceuticals Limited

(Formulation Division),

Village Panelav, P. O. Tajpura,

Near Baska, Taluka-Halol,

Panchmahal 389350, Gujarat, India.

 

Revised: 02/2023

Description

Chlordiazepoxide hydrochloride and clidinium bromide capsules, USP are a fixed-combination of chlordiazepoxide hydrochloride, a benzodiazepine, and clidinium bromide, an anticholinergic.

Each chlordiazepoxide hydrochloride and clidinium bromide capsule, USP contains the active ingredients 5 mg chlordiazepoxide hydrochloride, USP and 2.5 mg clidinium bromide, USP. Each capsule also contains the inactive ingredients lactose monohydrate, corn starch, talc, titanium dioxide, FD&C Green 3, D&C Yellow 10 and gelatin. The empty hard gelatin capsule shells are printed with edible black ink containing shellac, propylene glycol,  black iron oxide and potassium hydroxide.

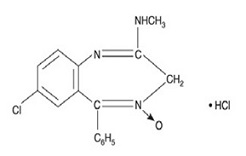
Chlordiazepoxide hydrochloride, USP is 7-chloro-2-methylamino-5-phenyl-3H-1,4-benzodiazepine 4-oxide hydrochloride. A white or practically white crystalline powder, it is soluble in water, sparingly soluble in alcohol and insoluble in solvent hexane. It is unstable in solution and the powder must be protected from light. The molecular weight is 336.22. The structural formula of chlordiazepoxide hydrochloride, USP is as follows:

Clidinium bromide, USP is a synthetic anticholinergic agent which has been shown in experimental and clinical studies to have antispasmodic and antisecretory effects on the gastrointestinal tract.

Structurally clidinium bromide, USP is:

   

Product meets USP Dissolution Test 2.

Abuse

Chlordiazepoxide hydrochloride, a component of chlordiazepoxide hydrochloride and clidinium bromide, is a CNS depressant with a potential for abuse and addiction. Abuse is the intentional, non-therapeutic use of a drug, even once, for its desirable psychological or physiological effects. Misuse is the intentional use, for therapeutic purposes, of a drug by an individual in a way other than prescribed by a health care provider or for whom it was not prescribed. Drug addiction is a cluster of behavioral, cognitive, and physiological phenomena that may include a strong desire to take the drug, difficulties in controlling drug use (e.g., continuing drug use despite harmful consequences, giving a higher priority to drug use than other activities and obligations), and possible tolerance or physical dependence. Even taking benzodiazepines as prescribed may put patients at risk for abuse and misuse of their medication. Abuse and misuse of benzodiazepines may lead to addiction.



Abuse and misuse of benzodiazepines often (but not always) involve the use of doses greater than the maximum recommended dosage and commonly involve concomitant use of other medications, alcohol, and/or illicit substances, which is associated with an increased frequency of serious adverse outcomes, including respiratory depression, overdose, or death. Benzodiazepines are often sought by individuals who abuse drugs and other substances, and by individuals with addictive disorders (see WARNINGS).



The following adverse reactions have occurred with benzodiazepine abuse and/or misuse: abdominal pain, amnesia, anorexia, anxiety, aggression, ataxia, blurred vision, confusion, depression, disinhibition, disorientation, dizziness, euphoria, impaired concentration and memory, indigestion, irritability, muscle pain, slurred speech, tremors, and vertigo.



The following severe adverse reactions have occurred with benzodiazepine abuse and/or misuse: delirium, paranoia, suicidal ideation and behavior, seizures, coma, breathing difficulty, and death. Death is more often associated with polysubstance use (especially benzodiazepines with other CNS depressants such as opioids and alcohol).

Section 42231-1




MEDICATION GUIDE

Chlordiazepoxide Hydrochloride (klor” dye az” e pox’ ide hye” droe klor’ ide)

and

Clidinium Bromide (kli din’ ee um broe’ mide)

Capsules, USP

for oral use 
 What is the most important information I should know about chlordiazepoxide hydrochloride and clidinium bromide capsules?

• Chlordiazepoxide hydrochloride and clidinium bromide capsule contains a benzodiazepine medicine. Taking chlordiazepoxide hydrochloride and clidinium bromide capsules with opioid medicines, alcohol, or other central nervous system (CNS) depressants (including street drugs) can cause severe drowsiness, breathing problems (respiratory depression), coma, and death.

 Get emergency help right away if any of the following happens:

      o shallow or slowed breathing

      o breathing stops (which may lead to the heart stopping)

      o excessive sleepiness (sedation)

Do not drive or operate heavy machinery until you know how taking chlordiazepoxide hydrochloride and clidinium bromide capsules with opioids affects you.

• Risk of abuse, misuse, and addiction. There is a risk of abuse, misuse, and addiction with benzodiazepines, including chlordiazepoxide hydrochloride and clidinium bromide capsules, which can lead to overdose or death.

        o Serious side effects including coma and death have happened in people who have abused or misused benzodiazepines, including chlordiazepoxide hydrochloride and clidinium bromide capsules. These serious side effects may also include delirium, paranoia, suicidal thoughts or actions, seizures, and difficulty breathing. Call your healthcare provider or go to the nearest hospital emergency room right away if you get any of these serious side effects.

        o You can develop an addiction even if you take chlordiazepoxide hydrochloride and clidinium bromide capsules as prescribed by your healthcare provider.

       o Take chlordiazepoxide hydrochloride and clidinium bromide capsules exactly as your healthcare provider prescribed.

      o Do not share your chlordiazepoxide hydrochloride and clidinium bromide capsules with other people.

      o Keep chlordiazepoxide hydrochloride and clidinium bromide capsules in a safe place and away from children.

• Physical dependence and withdrawal reactions. Chlordiazepoxide hydrochloride and clidinium bromide capsules can cause physical dependence and withdrawal reactions.

     o Do not suddenly stop using chlordiazepoxide hydrochloride and clidinium bromide capsules. Stopping chlordiazepoxide hydrochloride and clidinium bromide capsules suddenly can cause serious and life-threatening side effects, including unusual movements, responses, or expressions, seizures, sudden and severe mental or nervous system changes, depression, seeing or hearing things that others do not see or hear, an extreme increase in activity or talking, losing touch with reality, and suicidal thoughts or actions. Call your healthcare provider or go to the nearest hospital emergency room right away if you get any of these symptoms.

      o Some people who suddenly stop benzodiazepines have symptoms that can last for several weeks to more than 12 months, including anxiety, trouble remembering, learning, or concentrating, depression, problems sleeping, feeling like insects are crawling under your skin, weakness, shaking, muscle twitches, burning or prickling feeling in your hands, arms, legs or feet, and ringing in your ears.

      o Physical dependence is not the same as drug addiction. Your healthcare provider can tell you more about the differences between physical dependence and drug addiction.

     o Do not take more chlordiazepoxide hydrochloride and clidinium bromide capsules than prescribed or take chlordiazepoxide hydrochloride and clidinium bromide capsules for longer than prescribed.

 What is chlordiazepoxide hydrochloride and clidinium bromide capsule?

• Chlordiazepoxide hydrochloride and clidinium bromide capsule is a prescription medicine that is used with other therapies for the treatment of:

       o stomach (peptic) ulcers

       o irritable bowel syndrome (IBS)

      o inflammation of the colon called acute enterocolitis

• Chlordiazepoxide hydrochloride and clidinium bromide capsule contains the medicines chlordiazepoxide hydrochloride and clidinium bromide.

• Chlordiazepoxide hydrochloride and clidinium bromide capsule contains chlordiazepoxide hydrochloride that can be abused or lead to dependence. Keep chlordiazepoxide hydrochloride and clidinium bromide capsules in a safe place to prevent misuse and abuse. Selling or giving away chlordiazepoxide hydrochloride and clidinium bromide capsules may harm others. Tell your healthcare provider if you have abused or been dependent on alcohol, prescription medicines or street drugs.

• It is not known if chlordiazepoxide hydrochloride and clidinium bromide capsule is safe and effective in children.

 Do not take chlordiazepoxide hydrochloride and clidinium bromide capsules if you:

• have glaucoma

• have an enlarged prostate

• have a blockage of your bladder that causes problems with urination

• are allergic to chlordiazepoxide hydrochloride or clidinium bromide
Before you take chlordiazepoxide hydrochloride and clidinium bromide capsules, tell your healthcare provider about all of your medical conditions, including if you:

• have eye problems

• have problems urinating or emptying your bladder

• have coordination problems

• have kidney or liver problems

• have a history of depression, mental illness, or suicidal thoughts

• have a history of drug or alcohol abuse or addiction

• have bleeding problems

• are pregnant or plan to become pregnant. Chlordiazepoxide hydrochloride and clidinium bromide capsules may harm your unborn baby.

     o   Taking chlordiazepoxide hydrochloride and clidinium bromide capsules late in pregnancy may cause your baby to have symptoms of sedation (breathing problems, sluggishness, low muscle tone), and/or withdrawal symptoms (jitteriness, irritability, restlessness, shaking, excessive crying, feeding problems).

    o   Tell your healthcare provider right away if you become pregnant or think you are pregnant during treatment with chlordiazepoxide hydrochloride and clidinium bromide capsules.

• are breastfeeding or plan to breastfeed. Chlordiazepoxide hydrochloride and clidinium bromide may pass through your breast milk and may cause sedation, poor feeding or poor weight gain in your baby. Talk to your healthcare provider about the best way to feed your baby if you take chlordiazepoxide hydrochloride and clidinium bromide capsules. Chlordiazepoxide hydrochloride and clidinium bromide capsules may decrease the amount of breast milk your body makes.

Tell your healthcare provider about all the medicines you take, including prescription and over-the-counter medicines, vitamins, and herbal supplements.

Taking chlordiazepoxide hydrochloride and clidinium bromide capsules with certain other medicines can cause side effects or affect how well chlordiazepoxide hydrochloride and clidinium bromide capsules or the other medicines work. Do not start or stop other medicines without talking to your healthcare provider.

Especially tell your healthcare provider if you:

• take a monoamine oxidase inhibitor (MAOI) medicine or an anti-psychotic medicine called phenothiazine.

How should I take chlordiazepoxide hydrochloride and clidinium bromide capsules?

• Take chlordiazepoxide hydrochloride and clidinium bromide capsules exactly as your healthcare provider tells you to take it.

• Your healthcare provider may change your dose of chlordiazepoxide hydrochloride and clidinium bromide capsules if needed. Do not change your dose of chlordiazepoxide hydrochloride and clidinium bromide capsules or suddenly stop taking chlordiazepoxide hydrochloride and clidinium bromide capsules without talking with your healthcare provider.

• If you take too much chlordiazepoxide hydrochloride and clidinium bromide capsules, call your healthcare provider or go to the nearest hospital emergency room right away.

What are the possible side effects of chlordiazepoxide hydrochloride and clidinium bromide capsules?

Chlordiazepoxide hydrochloride and clidinium bromide capsules may cause serious side effects, including: See “What is the most important information I should know about chlordiazepoxide hydrochloride and clidinium bromide capsules?”


• Chlordiazepoxide hydrochloride and clidinium bromide capsules can make you sleepy or dizzy and can slow your thinking and motor skills.

        o Do not drive, operate heavy machinery, or do other dangerous activities until you know how chlordiazepoxide hydrochloride and clidinium bromide capsule affects you.

      o Do not drink alcohol or take other drugs that may make you sleepy or dizzy while taking chlordiazepoxide hydrochloride and clidinium bromide capsules without first talking to your healthcare provider. When taken with alcohol or drugs that cause sleepiness or dizziness, chlordiazepoxide hydrochloride and clidinium bromide capsules may make your sleepiness or dizziness much worse.

The most common side effects of chlordiazepoxide hydrochloride and clidinium bromide capsules include:

• dry mouth                     • nausea                • skin problems

• blurred vision               • constipation        • swelling

• irregular menstrual (periods) cycles

• increase and decreased desire for sex

   (libido)

• problems starting to urinate

• drowsiness, coordination problems, and

  confusion may happen, especially in people

  who are elderly or weak

These are not all the possible side effects of chlordiazepoxide hydrochloride and clidinium bromide capsules.

Call your doctor for medical advice about side effects. You may report side effects to FDA at 1-800-FDA-1088.

How should I store chlordiazepoxide hydrochloride and clidinium bromide capsules?

• Store chlordiazepoxide hydrochloride and clidinium bromide capsules at room temperature 77°F (25°C).

• Bottles of 100’s count are child-resistant.

 Keep chlordiazepoxide hydrochloride and clidinium bromide capsules and all medicines out of the reach of children.

General information about the safe and effective use of chlordiazepoxide hydrochloride and clidinium bromide capsules.

Medicines are sometimes prescribed for purposes other than those listed in a Medication Guide. Do not take chlordiazepoxide hydrochloride and clidinium bromide capsules for a condition for which it was not prescribed. Do not give chlordiazepoxide hydrochloride and clidinium bromide capsules to other people, even if they have the same symptoms that you have. It may harm them. You can ask your pharmacist or healthcare provider for information about chlordiazepoxide hydrochloride and clidinium bromide capsules that is written for health professionals.
What are the ingredients in chlordiazepoxide hydrochloride and clidinium bromide capsules?

Active ingredients: chlordiazepoxide hydrochloride and clidinium bromide

Inactive ingredients: lactose monohydrate, corn starch, talc, titanium dioxide, FD&C Green 3, D&C Yellow 10 and gelatin. The empty hard gelatin capsule shells are printed with edible black ink containing shellac, propylene glycol,  iron oxide and black iron oxide and potassium hydroxide.

 

Manufactured by:

Alembic Pharmaceuticals Limited

(Formulation Division),

Village Panelav, P. O. Tajpura,

Near Baska, Taluka-Halol,

Panchmahal 389350, Gujarat, India.                                     

This Medication Guide has been approved by the U.S. Food and Drug Administration.              Revised: 02/2023





Warnings

Risks From Concomitant Use with Opioids

Concomitant use of benzodiazepines, including chlordiazepoxide hydrochloride and clidinium bromide and opioids may result in profound sedation, respiratory depression, coma, and death. Because of these risks, reserve concomitant prescribing of these drugs -in patients for whom alternative treatment options are inadequate.



Observational studies have demonstrated that concomitant use of opioid analgesics and benzodiazepines increases the risk of drug-related mortality compared to use of opioids alone. If a decision is made to prescribe chlordiazepoxide hydrochloride and clidinium bromide concomitantly with opioids, prescribe the lowest effective dosages and minimum durations of concomitant use, and follow patients closely for signs and symptoms of respiratory depression and sedation. Advise both patients and caregivers about the risks of respiratory depression and sedation when chlordiazepoxide hydrochloride and clidinium bromide is used with opioids (see PRECAUTIONS).





Abuse, Misuse, and Addiction

The use of benzodiazepines, including chlordiazepoxide hydrochloride, a component of chlordiazepoxide hydrochloride and clidinium bromide capsules, exposes users to the risks of abuse, misuse, and addiction, which can lead to overdose or death. Abuse and misuse of benzodiazepines often (but not always) involve the use of doses greater than the maximum recommended dosage and commonly involve concomitant use of other medications, alcohol, and/or illicit substances, which is associated with an increased frequency of serious adverse outcomes, including respiratory depression, overdose, or death (see DRUG ABUSE AND DEPENDENCE).



Before prescribing chlordiazepoxide hydrochloride and clidinium bromide capsules and throughout treatment, assess each patient’s risk for abuse, misuse, and addiction (e.g., using a standardized screening tool). Use of chlordiazepoxide hydrochloride and clidinium bromide capsules, particularly in patients at elevated risk, necessitates counseling about the risks and proper use of chlordiazepoxide hydrochloride and clidinium bromide capsules along with monitoring for signs and symptoms of abuse, misuse, and addiction. Prescribe the lowest effective dosage; avoid or minimize concomitant use of CNS depressants and other substances associated with abuse, misuse, and addiction (e.g., opioid analgesics, stimulants); and advise patients on the proper disposal of unused drug. If a substance use disorder is suspected, evaluate the patient and institute (or refer them for) early treatment, as appropriate.



Dependence and Withdrawal Reactions

To reduce the risk of withdrawal reactions, use a gradual taper to discontinue chlordiazepoxide hydrochloride and clidinium bromide capsules or reduce the dosage (a patient-specific plan should be used to taper the dosage) (see DOSAGE AND ADMINISTRATION).



Patients at an increased risk of withdrawal adverse reactions after benzodiazepine discontinuation or rapid dosage reduction include those who take higher dosages, and those who have had longer durations of use.



Acute Withdrawal Reactions

The continued use of benzodiazepines, including chlordiazepoxide hydrochloride and clidinium bromide capsules, may lead to clinically significant physical dependence. Abrupt discontinuation or rapid dosage reduction of chlordiazepoxide hydrochloride and clidinium bromide capsules after continued use, or administration of flumazenil (a benzodiazepine antagonist) may precipitate acute withdrawal reactions, which can be life-threatening (e.g., seizures) (see DRUG ABUSE AND DEPENDENCE).



Protracted Withdrawal Syndrome

In some cases, benzodiazepine users have developed a protracted withdrawal syndrome with withdrawal symptoms lasting weeks to more than 12 months (see DRUG ABUSE AND DEPENDENCE).



Effects on the Ability to Drive or Operate Machinery

As in the case of other preparations containing CNS-acting drugs, patients receiving chlordiazepoxide hydrochloride and clidinium bromide capsules should be cautioned about possible combined effects with opioids, alcohol and other CNS depressants. For the same reason, they should be cautioned against hazardous occupations requiring complete mental alertness, such as operating machinery or driving a motor vehicle.



Neonatal Sedation and Withdrawal Syndrome

Use of benzodiazepines late in pregnancy can result in sedation (respiratory depression, lethargy, hypotonia) and/or withdrawal symptoms (hyperreflexia, irritability, restlessness, tremors, inconsolable crying, and feeding difficulties) in the neonate (see PRECAUTIONS, Pregnancy). Monitor neonates exposed to chlordiazepoxide hydrochloride and clidinium bromide capsules, which contains a benzodiazepine (chlordiazepoxide hydrochloride), during pregnancy and labor for signs of sedation and monitor neonates exposed to chlordiazepoxide hydrochloride and clidinium bromide capsules during pregnancy for signs of withdrawal; manage these neonates accordingly.

  

Pregnancy

Risk Summary



Chlordiazepoxide Hydrochloride

Neonates born to mothers using benzodiazepines during the later stages of pregnancy have been reported to experience symptoms of sedation and/or neonatal withdrawal (see WARNINGS, Neonatal Sedation and Withdrawal Syndrome and PRECAUTIONS: Clinical Considerations). Available data from published observational studies of pregnant women exposed to benzodiazepines do not report a clear association with benzodiazepines and major birth defects (see Data).



Clidinium Bromide

Over decades of use, there is an absence of published data on orally administered clidinium bromide in pregnant women, including an absence of any reports of a drug-associated risk of major birth defects, miscarriage, or other adverse maternal or fetal outcomes.



The background risk of major birth defects and miscarriage for the indicated population is unknown. All pregnancies have a background risk of birth defect, loss, or other adverse outcomes. In the U.S. general population, the estimated risk of major birth defects and miscarriage in clinically recognized pregnancies is 2% to 4% and 15% to 20%, respectively.



Clinical Considerations



Fetal/Neonatal Adverse Reactions

Benzodiazepines cross the placenta and may produce respiratory depression, hypotonia and sedation in neonates. Monitor neonates exposed to chlordiazepoxide hydrochloride and clidinium bromide capsules, which contains a benzodiazepine (chlordiazepoxide hydrochloride), during pregnancy or labor for signs of sedation, respiratory depression, hypotonia, and feeding problems. Monitor neonates exposed to chlordiazepoxide hydrochloride and clidinium bromide capsules during pregnancy for signs of withdrawal. Manage these neonates accordingly (see WARNINGS, Neonatal Sedation and Withdrawal Syndrome).



Data



Human Data

Published data from observational studies on the use of benzodiazepines during pregnancy do not report a clear association with benzodiazepines and major birth defects. Although early studies reported an increased risk of congenital malformations with diazepam and chlordiazepoxide, there was no consistent pattern noted. In addition, the majority of more recent case-control and cohort studies of benzodiazepine use during pregnancy, which were adjusted for confounding exposures to alcohol. Tobacco and other medications, have not confirmed these findings.



Animal Data

Oral daily doses of 2.5 mg/kg chlordiazepoxide hydrochloride with 1.25 mg/kg clidinium bromide or 25 mg/kg chlordiazepoxide hydrochloride with 12.5 mg/kg clidinium bromide (0.6 and 6.1 times, respectively, the maximum recommended clinical dose for both drugs, based on body surface area) were administered to rats in a reproduction study through two successive matings. In the first mating, no significant differences were noted between the control or the treated groups, with the exception of a slight decrease in the number of animals surviving during lactation among those receiving the highest dosage. In the second mating, similar results were obtained except for a slight decrease in the number of pregnant females and in the percentage of offspring surviving until weaning. No congenital anomalies were observed in both matings in either the control or treated groups.

Dependence

Physical Dependence  

Chlordiazepoxide hydrochloride and clidinium bromide capsules may produce physical dependence from continued therapy. Physical dependence is a state that develops as a result of physiological adaptation in response to repeated drug use, manifested by withdrawal signs and symptoms after abrupt discontinuation or a significant dose reduction of a drug. Abrupt discontinuation or rapid dosage reduction of benzodiazepines or administration of flumazenil, a benzodiazepine antagonist, may precipitate acute withdrawal reactions, including seizures, which can be life-threatening. Patients at an increased risk of withdrawal adverse reactions after benzodiazepine discontinuation or rapid dosage reduction include those who take higher dosages (i.e., higher and/or more frequent doses) and those who have had longer durations of use (see WARNINGS).



To reduce the risk of withdrawal reactions, use a gradual taper to discontinue chlordiazepoxide hydrochloride and clidinium bromide capsules or reduce the dosage (see WARNINGS and DOSAGE AND ADMININSTRATION).



   

Acute Withdrawal Signs and Symptoms  

Acute withdrawal signs and symptoms associated with benzodiazepines have included abnormal involuntary movements, anxiety, blurred vision, depersonalization, depression, derealization, dizziness, fatigue, gastrointestinal adverse reactions (e.g., nausea, vomiting, diarrhea, weight loss, decreased appetite), headache, hyperacusis, hypertension, irritability, insomnia, memory impairment, muscle pain and stiffness, panic attacks, photophobia, restlessness, tachycardia, and tremor. More severe acute withdrawal signs and symptoms, including life-threatening reactions, have included catatonia, convulsions, delirium tremens, depression, hallucinations, mania, psychosis, seizures and suicidality.



Protracted Withdrawal Syndrome

Protracted withdrawal syndrome associated with benzodiazepines is characterized by anxiety, cognitive impairment, depression, insomnia, formication, motor symptoms (e.g., weakness, tremor, muscle twitches), paresthesia, and tinnitus that persists beyond 4 to 6 weeks after initial benzodiazepine withdrawal. Protracted withdrawal symptoms may last weeks to more than 12 months. As a result, there may be difficulty in differentiating withdrawal symptoms from potential re-emergence or continuation of symptoms for which the benzodiazepine was being used.



Tolerance

Tolerance to chlordiazepoxide hydrochloride and clidinium bromide capsules may develop from continued therapy. Tolerance is a physiological state characterized by a reduced response to a drug after repeated administration (i.e., a higher dose of a drug is required to produce the same effect that was once obtained at a lower dose). Tolerance to the therapeutic effects of chlordiazepoxide hydrochloride and clidinium bromide capsules may develop; however, little tolerance develops to the amnestic reactions and other cognitive impairments caused by benzodiazepines.

Overdosage

Overdosage of chlordiazepoxide hydrochloride and clidinium bromide capsules, which contains a benzodiazepine (chlordiazepoxide hydrochloride) and an anticholinergic (clidinium bromide) may manifest signs and symptoms related to either of its components, although some effects such as altered levels of consciousness may be synergistic.

Overdosage of benzodiazepines, such as chlordiazepoxide hydrochloride, is characterized by central nervous system depression ranging from drowsiness to coma. In mild to moderate cases, symptoms can include drowsiness, confusion, dysarthria, lethargy, hypnotic state, diminished reflexes, ataxia, and hypotonia. Rarely, paradoxical or disinhibitory reactions (including agitation, irritability, impulsivity, violent behavior, confusion, restlessness, excitement, and talkativeness) may occur. In severe overdosage cases, patients may develop respiratory depression and coma.

Signs and symptoms of anticholinergic overdosage are related to excessive anti-muscarinic anticholinergic activity. Peripheral signs and symptoms may include dry mucous membranes and skin, flushing, tachycardia, hypertension, ileus, urinary retention, and mydriasis. Garbled speech is often pathognomonic. Central signs and symptoms may include agitation and delirium, seizures, and hyperthermia. Benzodiazepines are considered a first-line treatment for anticholinergic toxicity acting to treat mild to moderate agitation and prevent seizures.



Overdosage of benzodiazepines in combination with other CNS depressants (including alcohol and opioids) may be fatal (see WARNINGS, Dependence and Withdrawal Reactions). Markedly abnormal (lowered or elevated) blood pressure, heart rate, or respiratory rate raise the concern that additional drugs and/or alcohol are involved in the overdosage. Anticholinergic drugs usually increase heart rate and blood pressure. In managing benzodiazepine overdosage, employ general supportive measures, including intravenous fluids, and airway management.

Flumazenil, a specific benzodiazepine receptor antagonist is indicated for the complete or partial reversal of the sedative effects of benzodiazepines in the management of benzodiazepine overdosage. Use of flumazenil may increase the risk of seizures in mixed overdosage with drugs that may precipitate seizures, including anticholinergic medications. Benzodiazepines are used to treat agitated delirium from anticholinergic toxicity. Therefore flumazenil administration may worsen the anticholinergic delirium and should generally be avoided.

Anticholinesterase inhibitors may reverse severe agitated delirium that is not controlled by benzodiazepines. They may also improve the airway and breathing in CNS depressed patients. Caution is warranted especially in mixed drug overdoses.

Consider contacting a poison center (1-800-222-1222) or a medical toxicologist for overdosage management recommendations.

Geriatric Use

Geriatric subjects may be particularly prone to experiencing drowsiness, ataxia and confusion while receiving chlordiazepoxide hydrochloride and clidinium bromide capsules. These effects can usually be avoided with proper dosage adjustment, although they have occasionally been observed even at the lower dosage ranges. Dosing in geriatric subjects should be initiated cautiously (no more than 2 capsules per day) and increased gradually if needed and tolerated (see DOSAGE AND ADMINISTRATION). Chlordiazepoxide hydrochloride and clidinium bromide capsules are contraindicated in the presence of glaucoma, prostatic hypertrophy and benign bladder neck obstruction (see CONTRAINDICATIONS).

Pediatric Use

Safety and effectiveness in pediatric patients have not been established.

Nursing Mothers

Chlordiazepoxide Hydrochloride

There are no data on the presence of chlordiazepoxide in either human or animal milk, the effects on the breastfed infant, or the effects on milk production. However, there are reports of sedation, poor feeding and poor weight gain in infants exposed to other benzodiazepines through breast milk.



Reproduction studies in rats fed chlordiazepoxide hydrochloride, 10, 20 and 80 mg/kg daily (2.4, 4.8 and 19.4 times respectively, the maximum recommended clinical dose of 40 mg/day, based on body surface area), and bred through one or two matings showed no adverse effects on lactation of the dams.



Clidinium Bromide

There are no data on the presence of clidinium in either human or animal milk, the effects on the breastfed infant, or the effects on milk production. As with other anticholinergic drugs, clidinium may cause suppression of lactation.



The developmental and health benefits of breastfeeding should be considered along with the mother’s clinical need for chlordiazepoxide hydrochloride and clidinium bromide capsules and any potential adverse effects on the breastfed infant from chlordiazepoxide hydrochloride and clidinium bromide capsules. Infants exposed to chlordiazepoxide hydrochloride and clidinium bromide through breast milk should be monitored for sedation, poor feeding and poor weight gain.

Controlled Substance

Chlordiazepoxide hydrochloride and clidinium bromide capsules contain chlordiazepoxide hydrochloride, a Schedule IV controlled substance and clidinium bromide, which is not a controlled substance. Chlordiazepoxide hydrochloride and clidinium bromide capsule is exempted from Schedule IV and is not controlled under the Controlled Substances Act.

Cns Adverse Reactions

In geriatric or debilitated patients, it is recommended that the dosage be limited to the smallest effective amount to preclude the development of ataxia, oversedation or confusion (not more than 2 chlordiazepoxide hydrochloride and clidinium bromide capsules per day initially, to be increased gradually as needed and tolerated). In general, the concomitant administration of chlordiazepoxide hydrochloride and clidinium bromide capsules and other psychotropic agents is not recommended. If such combination therapy seems indicated, careful consideration should be given to the pharmacology of the agents to be employed — particularly when the known potentiating compounds such as the MAO inhibitors and phenothiazines are to be used. The usual precautions in treating patients with impaired renal or hepatic function should be observed.



Paradoxical reactions to chlordiazepoxide hydrochloride, e.g., excitement, stimulation and acute rage, have been reported in psychiatric patients and should be watched for during chlordiazepoxide hydrochloride and clidinium bromide capsules therapy. The usual precautions are indicated when chlordiazepoxide hydrochloride is used in the treatment of anxiety states where there is any evidence of impending depression; it should be borne in mind that suicidal tendencies may be present and protective measures may be necessary.

Information for Patients

Abuse, Misuse, and Addiction

Inform patients that the use of chlordiazepoxide hydrochloride and clidinium bromide capsules, even at recommended dosages, exposes users to risks of abuse, misuse, and addiction, which can lead to overdose and death, especially when used in combination with other medications (e.g., opioid analgesics), alcohol, and/or illicit substances. Inform patients about the signs and symptoms of benzodiazepine abuse, misuse, and addiction; to seek medical help if they develop these signs and/or symptoms; and on the proper disposal of unused drug (see WARNINGS).



Withdrawal Reactions

Inform patients that the continued use of chlordiazepoxide hydrochloride and clidinium bromide capsules may lead to clinically significant physical dependence and that abrupt discontinuation or rapid dosage reduction of chlordiazepoxide hydrochloride and clidinium bromide capsules may precipitate acute withdrawal reactions, which can be life-threatening. Inform patients that in some cases, patients taking benzodiazepines have developed a protracted withdrawal syndrome with withdrawal symptoms lasting weeks to more than 12 months. Instruct patients that discontinuation or dosage reduction of chlordiazepoxide hydrochloride and clidinium bromide capsules may require a slow taper (see WARNINGS and DRUG ABUSE AND DEPENDENCE).

 

Concomitant Use With Opioids and Other CNS Depressants   

Inform patients and caregivers that potentially fatal additive effects may occur if chlordiazepoxide hydrochloride and clidinium bromide capsules are used with opioids or other CNS depressants, including alcohol, and not to use these concomitantly unless supervised by a health care provider (see WARNINGS and PRECAUTIONS, Drug Interactions).



Pregnancy

Advise pregnant females that use of chlordiazepoxide hydrochloride and clidinium bromide capsules late in pregnancy can result in sedation (respiratory depression, lethargy, hypotonia) and /or withdrawal symptoms (hyperreflexia, irritability, restlessness, tremors, inconsolable crying, and feeding difficulties) in newborns (see WARNINGS, Neonatal Sedation and Withdrawal Syndrome and PRECAUTIONS, Pregnancy). Instruct patients to inform their healthcare provider if they are pregnant.



Nursing

Instruct patients to notify their healthcare provider if they are breastfeeding or intend to breastfeed (see PRECAUTIONS, Nursing Mothers).

Package Label.principal Display Panel

NDC 46708-744-31

Chlordiazepoxide

Hydrochloride and Clidinium

Bromide Capsules, USP

5 mg/2.5 mg

PHARMACIST: DISPENSE THE ACCOMPANYING

MEDICATION GUIDE TO EACH PATIENT.

Rx only

100 Capsules

Alembic

  

 

 

 

Animal Pharmacology And/or Animal Toxicology

  

Effects on Reproduction

Reproduction studies in rats fed chlordiazepoxide hydrochloride, 10, 20 and 80 mg/kg daily (2.4, 4.8 and 19.4 times, respectively, the maximum recommended clinical dose of 40 mg/day, based on body surface area), and bred through one or two matings showed no congenital anomalies, nor were there adverse effects on growth of the newborn. However, in another study at 100 mg/kg daily there was noted a significant decrease in the fertilization rate and a marked decrease in the viability and body weight of offspring which may be attributable to sedative activity, thus resulting in lack of interest in mating and lessened maternal nursing and care of the young. One neonate in each of the first and second matings in the rat reproduction study at the 100 mg/kg dose (24.2 times the maximum recommended human dose of 40 mg/day, based on body surface area) exhibited major skeletal defects.



Two series of reproduction experiments with clidinium bromide were carried out in rats, employing dosages of 2.5 and 10 mg/kg daily (1.2 and 4.9 times, respectively, the maximum recommended clinical dose of 20 mg/day, based on body surface area) in each experiment. In the first experiment, clidinium bromide was administered for a 9-week interval prior to mating; no untoward effect on fertilization or gestation was noted. The offspring were taken by caesarean section and did not show a significant incidence of congenital anomalies when compared to control animals. In the second experiment, adult animals were given clidinium bromide for 10 days prior to and through two mating cycles. No significant effects were observed on fertility, gestation, viability of offspring or lactation, as compared to control animals, nor was there a significant incidence of congenital anomalies in the offspring derived from these experiments.



A reproduction study was carried out in rats through two successive matings with administration of oral daily doses of 2.5 mg/kg chlordiazepoxide hydrochloride and 1.25 mg/kg clidinium bromide (0.6 times the maximum recommended clinical dose for both drugs, based on body surface area) or 25 mg/kg chlordiazepoxide hydrochloride and 12.5 mg/kg clidinium bromide (6.1 times the maximum recommended clinical dose for both drugs, based on body surface area). In the first mating, no significant differences were noted between the control or the treated groups, with the exception of a slight decrease in the number of animals surviving during lactation among those receiving the high dosage. In the second mating, similar results were obtained except for a slight decrease in the number of pregnant females and in the percentage of offspring surviving until weaning. No congenital anomalies were observed in both matings in either the control or treated groups.

   


Structured Label Content

Abuse

Chlordiazepoxide hydrochloride, a component of chlordiazepoxide hydrochloride and clidinium bromide, is a CNS depressant with a potential for abuse and addiction. Abuse is the intentional, non-therapeutic use of a drug, even once, for its desirable psychological or physiological effects. Misuse is the intentional use, for therapeutic purposes, of a drug by an individual in a way other than prescribed by a health care provider or for whom it was not prescribed. Drug addiction is a cluster of behavioral, cognitive, and physiological phenomena that may include a strong desire to take the drug, difficulties in controlling drug use (e.g., continuing drug use despite harmful consequences, giving a higher priority to drug use than other activities and obligations), and possible tolerance or physical dependence. Even taking benzodiazepines as prescribed may put patients at risk for abuse and misuse of their medication. Abuse and misuse of benzodiazepines may lead to addiction.



Abuse and misuse of benzodiazepines often (but not always) involve the use of doses greater than the maximum recommended dosage and commonly involve concomitant use of other medications, alcohol, and/or illicit substances, which is associated with an increased frequency of serious adverse outcomes, including respiratory depression, overdose, or death. Benzodiazepines are often sought by individuals who abuse drugs and other substances, and by individuals with addictive disorders (see WARNINGS).



The following adverse reactions have occurred with benzodiazepine abuse and/or misuse: abdominal pain, amnesia, anorexia, anxiety, aggression, ataxia, blurred vision, confusion, depression, disinhibition, disorientation, dizziness, euphoria, impaired concentration and memory, indigestion, irritability, muscle pain, slurred speech, tremors, and vertigo.



The following severe adverse reactions have occurred with benzodiazepine abuse and/or misuse: delirium, paranoia, suicidal ideation and behavior, seizures, coma, breathing difficulty, and death. Death is more often associated with polysubstance use (especially benzodiazepines with other CNS depressants such as opioids and alcohol).

Recent Major Changes (34066-1)


WARNING: RISKS FROM CONCOMITANT USE WITH OPIOIDS; ABUSE, MISUSE, AND ADDICTION; and DEPENDENCE AND WITHDRAWAL REACTIONS 



  • Concomitant use of benzodiazepines and opioids may result in profound sedation, respiratory depression, coma, and death. Reserve concomitant prescribing of these drugs in patients for whom alternative treatment options are inadequate. Limit dosages and durations to the minimum required. Follow patients for signs and symptoms of respiratory depression and sedation (see WARNINGS and PRECAUTIONS and PRECAUTIONS, Drug Interactions). 
  • The use of benzodiazepines, including chlordiazepoxide hydrochloride, a component of chlordiazepoxide hydrochloride and clidinium bromide capsules, exposes users to risks of abuse, misuse, and addiction, which can lead to overdose or death. Abuse and misuse of benzodiazepines commonly involve concomitant use of other medications, alcohol, and/or illicit substances, which is associated with an increased frequency of serious adverse outcomes. Before prescribing chlordiazepoxide hydrochloride and clidinium bromide capsules and throughout treatment, assess each patient’s risk for abuse, misuse, and addiction (see WARNINGS).
  •   The continued use of benzodiazepines, including chlordiazepoxide hydrochloride and clidinium bromide capsules, may lead to clinically significant physical dependence. The risks of dependence and withdrawal increase with longer treatment duration and higher daily dose. Abrupt discontinuation or rapid dosage reduction of chlordiazepoxide hydrochloride and clidinium bromide capsules after continued use may precipitate acute withdrawal reactions, which can be life-threatening. To reduce the risk of withdrawal reactions, use a gradual taper to discontinue chlordiazepoxide hydrochloride and clidinium bromide capsules or reduce the dosage (see WARNINGS and DOSAGE AND ADMINISTRATION).
Section 42231-1 (42231-1)




MEDICATION GUIDE

Chlordiazepoxide Hydrochloride (klor” dye az” e pox’ ide hye” droe klor’ ide)

and

Clidinium Bromide (kli din’ ee um broe’ mide)

Capsules, USP

for oral use 
 What is the most important information I should know about chlordiazepoxide hydrochloride and clidinium bromide capsules?

• Chlordiazepoxide hydrochloride and clidinium bromide capsule contains a benzodiazepine medicine. Taking chlordiazepoxide hydrochloride and clidinium bromide capsules with opioid medicines, alcohol, or other central nervous system (CNS) depressants (including street drugs) can cause severe drowsiness, breathing problems (respiratory depression), coma, and death.

 Get emergency help right away if any of the following happens:

      o shallow or slowed breathing

      o breathing stops (which may lead to the heart stopping)

      o excessive sleepiness (sedation)

Do not drive or operate heavy machinery until you know how taking chlordiazepoxide hydrochloride and clidinium bromide capsules with opioids affects you.

• Risk of abuse, misuse, and addiction. There is a risk of abuse, misuse, and addiction with benzodiazepines, including chlordiazepoxide hydrochloride and clidinium bromide capsules, which can lead to overdose or death.

        o Serious side effects including coma and death have happened in people who have abused or misused benzodiazepines, including chlordiazepoxide hydrochloride and clidinium bromide capsules. These serious side effects may also include delirium, paranoia, suicidal thoughts or actions, seizures, and difficulty breathing. Call your healthcare provider or go to the nearest hospital emergency room right away if you get any of these serious side effects.

        o You can develop an addiction even if you take chlordiazepoxide hydrochloride and clidinium bromide capsules as prescribed by your healthcare provider.

       o Take chlordiazepoxide hydrochloride and clidinium bromide capsules exactly as your healthcare provider prescribed.

      o Do not share your chlordiazepoxide hydrochloride and clidinium bromide capsules with other people.

      o Keep chlordiazepoxide hydrochloride and clidinium bromide capsules in a safe place and away from children.

• Physical dependence and withdrawal reactions. Chlordiazepoxide hydrochloride and clidinium bromide capsules can cause physical dependence and withdrawal reactions.

     o Do not suddenly stop using chlordiazepoxide hydrochloride and clidinium bromide capsules. Stopping chlordiazepoxide hydrochloride and clidinium bromide capsules suddenly can cause serious and life-threatening side effects, including unusual movements, responses, or expressions, seizures, sudden and severe mental or nervous system changes, depression, seeing or hearing things that others do not see or hear, an extreme increase in activity or talking, losing touch with reality, and suicidal thoughts or actions. Call your healthcare provider or go to the nearest hospital emergency room right away if you get any of these symptoms.

      o Some people who suddenly stop benzodiazepines have symptoms that can last for several weeks to more than 12 months, including anxiety, trouble remembering, learning, or concentrating, depression, problems sleeping, feeling like insects are crawling under your skin, weakness, shaking, muscle twitches, burning or prickling feeling in your hands, arms, legs or feet, and ringing in your ears.

      o Physical dependence is not the same as drug addiction. Your healthcare provider can tell you more about the differences between physical dependence and drug addiction.

     o Do not take more chlordiazepoxide hydrochloride and clidinium bromide capsules than prescribed or take chlordiazepoxide hydrochloride and clidinium bromide capsules for longer than prescribed.

 What is chlordiazepoxide hydrochloride and clidinium bromide capsule?

• Chlordiazepoxide hydrochloride and clidinium bromide capsule is a prescription medicine that is used with other therapies for the treatment of:

       o stomach (peptic) ulcers

       o irritable bowel syndrome (IBS)

      o inflammation of the colon called acute enterocolitis

• Chlordiazepoxide hydrochloride and clidinium bromide capsule contains the medicines chlordiazepoxide hydrochloride and clidinium bromide.

• Chlordiazepoxide hydrochloride and clidinium bromide capsule contains chlordiazepoxide hydrochloride that can be abused or lead to dependence. Keep chlordiazepoxide hydrochloride and clidinium bromide capsules in a safe place to prevent misuse and abuse. Selling or giving away chlordiazepoxide hydrochloride and clidinium bromide capsules may harm others. Tell your healthcare provider if you have abused or been dependent on alcohol, prescription medicines or street drugs.

• It is not known if chlordiazepoxide hydrochloride and clidinium bromide capsule is safe and effective in children.

 Do not take chlordiazepoxide hydrochloride and clidinium bromide capsules if you:

• have glaucoma

• have an enlarged prostate

• have a blockage of your bladder that causes problems with urination

• are allergic to chlordiazepoxide hydrochloride or clidinium bromide
Before you take chlordiazepoxide hydrochloride and clidinium bromide capsules, tell your healthcare provider about all of your medical conditions, including if you:

• have eye problems

• have problems urinating or emptying your bladder

• have coordination problems

• have kidney or liver problems

• have a history of depression, mental illness, or suicidal thoughts

• have a history of drug or alcohol abuse or addiction

• have bleeding problems

• are pregnant or plan to become pregnant. Chlordiazepoxide hydrochloride and clidinium bromide capsules may harm your unborn baby.

     o   Taking chlordiazepoxide hydrochloride and clidinium bromide capsules late in pregnancy may cause your baby to have symptoms of sedation (breathing problems, sluggishness, low muscle tone), and/or withdrawal symptoms (jitteriness, irritability, restlessness, shaking, excessive crying, feeding problems).

    o   Tell your healthcare provider right away if you become pregnant or think you are pregnant during treatment with chlordiazepoxide hydrochloride and clidinium bromide capsules.

• are breastfeeding or plan to breastfeed. Chlordiazepoxide hydrochloride and clidinium bromide may pass through your breast milk and may cause sedation, poor feeding or poor weight gain in your baby. Talk to your healthcare provider about the best way to feed your baby if you take chlordiazepoxide hydrochloride and clidinium bromide capsules. Chlordiazepoxide hydrochloride and clidinium bromide capsules may decrease the amount of breast milk your body makes.

Tell your healthcare provider about all the medicines you take, including prescription and over-the-counter medicines, vitamins, and herbal supplements.

Taking chlordiazepoxide hydrochloride and clidinium bromide capsules with certain other medicines can cause side effects or affect how well chlordiazepoxide hydrochloride and clidinium bromide capsules or the other medicines work. Do not start or stop other medicines without talking to your healthcare provider.

Especially tell your healthcare provider if you:

• take a monoamine oxidase inhibitor (MAOI) medicine or an anti-psychotic medicine called phenothiazine.

How should I take chlordiazepoxide hydrochloride and clidinium bromide capsules?

• Take chlordiazepoxide hydrochloride and clidinium bromide capsules exactly as your healthcare provider tells you to take it.

• Your healthcare provider may change your dose of chlordiazepoxide hydrochloride and clidinium bromide capsules if needed. Do not change your dose of chlordiazepoxide hydrochloride and clidinium bromide capsules or suddenly stop taking chlordiazepoxide hydrochloride and clidinium bromide capsules without talking with your healthcare provider.

• If you take too much chlordiazepoxide hydrochloride and clidinium bromide capsules, call your healthcare provider or go to the nearest hospital emergency room right away.

What are the possible side effects of chlordiazepoxide hydrochloride and clidinium bromide capsules?

Chlordiazepoxide hydrochloride and clidinium bromide capsules may cause serious side effects, including: See “What is the most important information I should know about chlordiazepoxide hydrochloride and clidinium bromide capsules?”


• Chlordiazepoxide hydrochloride and clidinium bromide capsules can make you sleepy or dizzy and can slow your thinking and motor skills.

        o Do not drive, operate heavy machinery, or do other dangerous activities until you know how chlordiazepoxide hydrochloride and clidinium bromide capsule affects you.

      o Do not drink alcohol or take other drugs that may make you sleepy or dizzy while taking chlordiazepoxide hydrochloride and clidinium bromide capsules without first talking to your healthcare provider. When taken with alcohol or drugs that cause sleepiness or dizziness, chlordiazepoxide hydrochloride and clidinium bromide capsules may make your sleepiness or dizziness much worse.

The most common side effects of chlordiazepoxide hydrochloride and clidinium bromide capsules include:

• dry mouth                     • nausea                • skin problems

• blurred vision               • constipation        • swelling

• irregular menstrual (periods) cycles

• increase and decreased desire for sex

   (libido)

• problems starting to urinate

• drowsiness, coordination problems, and

  confusion may happen, especially in people

  who are elderly or weak

These are not all the possible side effects of chlordiazepoxide hydrochloride and clidinium bromide capsules.

Call your doctor for medical advice about side effects. You may report side effects to FDA at 1-800-FDA-1088.

How should I store chlordiazepoxide hydrochloride and clidinium bromide capsules?

• Store chlordiazepoxide hydrochloride and clidinium bromide capsules at room temperature 77°F (25°C).

• Bottles of 100’s count are child-resistant.

 Keep chlordiazepoxide hydrochloride and clidinium bromide capsules and all medicines out of the reach of children.

General information about the safe and effective use of chlordiazepoxide hydrochloride and clidinium bromide capsules.

Medicines are sometimes prescribed for purposes other than those listed in a Medication Guide. Do not take chlordiazepoxide hydrochloride and clidinium bromide capsules for a condition for which it was not prescribed. Do not give chlordiazepoxide hydrochloride and clidinium bromide capsules to other people, even if they have the same symptoms that you have. It may harm them. You can ask your pharmacist or healthcare provider for information about chlordiazepoxide hydrochloride and clidinium bromide capsules that is written for health professionals.
What are the ingredients in chlordiazepoxide hydrochloride and clidinium bromide capsules?

Active ingredients: chlordiazepoxide hydrochloride and clidinium bromide

Inactive ingredients: lactose monohydrate, corn starch, talc, titanium dioxide, FD&C Green 3, D&C Yellow 10 and gelatin. The empty hard gelatin capsule shells are printed with edible black ink containing shellac, propylene glycol,  iron oxide and black iron oxide and potassium hydroxide.

 

Manufactured by:

Alembic Pharmaceuticals Limited

(Formulation Division),

Village Panelav, P. O. Tajpura,

Near Baska, Taluka-Halol,

Panchmahal 389350, Gujarat, India.                                     

This Medication Guide has been approved by the U.S. Food and Drug Administration.              Revised: 02/2023





Warnings (WARNINGS)

Risks From Concomitant Use with Opioids

Concomitant use of benzodiazepines, including chlordiazepoxide hydrochloride and clidinium bromide and opioids may result in profound sedation, respiratory depression, coma, and death. Because of these risks, reserve concomitant prescribing of these drugs -in patients for whom alternative treatment options are inadequate.



Observational studies have demonstrated that concomitant use of opioid analgesics and benzodiazepines increases the risk of drug-related mortality compared to use of opioids alone. If a decision is made to prescribe chlordiazepoxide hydrochloride and clidinium bromide concomitantly with opioids, prescribe the lowest effective dosages and minimum durations of concomitant use, and follow patients closely for signs and symptoms of respiratory depression and sedation. Advise both patients and caregivers about the risks of respiratory depression and sedation when chlordiazepoxide hydrochloride and clidinium bromide is used with opioids (see PRECAUTIONS).





Abuse, Misuse, and Addiction

The use of benzodiazepines, including chlordiazepoxide hydrochloride, a component of chlordiazepoxide hydrochloride and clidinium bromide capsules, exposes users to the risks of abuse, misuse, and addiction, which can lead to overdose or death. Abuse and misuse of benzodiazepines often (but not always) involve the use of doses greater than the maximum recommended dosage and commonly involve concomitant use of other medications, alcohol, and/or illicit substances, which is associated with an increased frequency of serious adverse outcomes, including respiratory depression, overdose, or death (see DRUG ABUSE AND DEPENDENCE).



Before prescribing chlordiazepoxide hydrochloride and clidinium bromide capsules and throughout treatment, assess each patient’s risk for abuse, misuse, and addiction (e.g., using a standardized screening tool). Use of chlordiazepoxide hydrochloride and clidinium bromide capsules, particularly in patients at elevated risk, necessitates counseling about the risks and proper use of chlordiazepoxide hydrochloride and clidinium bromide capsules along with monitoring for signs and symptoms of abuse, misuse, and addiction. Prescribe the lowest effective dosage; avoid or minimize concomitant use of CNS depressants and other substances associated with abuse, misuse, and addiction (e.g., opioid analgesics, stimulants); and advise patients on the proper disposal of unused drug. If a substance use disorder is suspected, evaluate the patient and institute (or refer them for) early treatment, as appropriate.



Dependence and Withdrawal Reactions

To reduce the risk of withdrawal reactions, use a gradual taper to discontinue chlordiazepoxide hydrochloride and clidinium bromide capsules or reduce the dosage (a patient-specific plan should be used to taper the dosage) (see DOSAGE AND ADMINISTRATION).



Patients at an increased risk of withdrawal adverse reactions after benzodiazepine discontinuation or rapid dosage reduction include those who take higher dosages, and those who have had longer durations of use.



Acute Withdrawal Reactions

The continued use of benzodiazepines, including chlordiazepoxide hydrochloride and clidinium bromide capsules, may lead to clinically significant physical dependence. Abrupt discontinuation or rapid dosage reduction of chlordiazepoxide hydrochloride and clidinium bromide capsules after continued use, or administration of flumazenil (a benzodiazepine antagonist) may precipitate acute withdrawal reactions, which can be life-threatening (e.g., seizures) (see DRUG ABUSE AND DEPENDENCE).



Protracted Withdrawal Syndrome

In some cases, benzodiazepine users have developed a protracted withdrawal syndrome with withdrawal symptoms lasting weeks to more than 12 months (see DRUG ABUSE AND DEPENDENCE).



Effects on the Ability to Drive or Operate Machinery

As in the case of other preparations containing CNS-acting drugs, patients receiving chlordiazepoxide hydrochloride and clidinium bromide capsules should be cautioned about possible combined effects with opioids, alcohol and other CNS depressants. For the same reason, they should be cautioned against hazardous occupations requiring complete mental alertness, such as operating machinery or driving a motor vehicle.



Neonatal Sedation and Withdrawal Syndrome

Use of benzodiazepines late in pregnancy can result in sedation (respiratory depression, lethargy, hypotonia) and/or withdrawal symptoms (hyperreflexia, irritability, restlessness, tremors, inconsolable crying, and feeding difficulties) in the neonate (see PRECAUTIONS, Pregnancy). Monitor neonates exposed to chlordiazepoxide hydrochloride and clidinium bromide capsules, which contains a benzodiazepine (chlordiazepoxide hydrochloride), during pregnancy and labor for signs of sedation and monitor neonates exposed to chlordiazepoxide hydrochloride and clidinium bromide capsules during pregnancy for signs of withdrawal; manage these neonates accordingly.

  

Pregnancy

Risk Summary



Chlordiazepoxide Hydrochloride

Neonates born to mothers using benzodiazepines during the later stages of pregnancy have been reported to experience symptoms of sedation and/or neonatal withdrawal (see WARNINGS, Neonatal Sedation and Withdrawal Syndrome and PRECAUTIONS: Clinical Considerations). Available data from published observational studies of pregnant women exposed to benzodiazepines do not report a clear association with benzodiazepines and major birth defects (see Data).



Clidinium Bromide

Over decades of use, there is an absence of published data on orally administered clidinium bromide in pregnant women, including an absence of any reports of a drug-associated risk of major birth defects, miscarriage, or other adverse maternal or fetal outcomes.



The background risk of major birth defects and miscarriage for the indicated population is unknown. All pregnancies have a background risk of birth defect, loss, or other adverse outcomes. In the U.S. general population, the estimated risk of major birth defects and miscarriage in clinically recognized pregnancies is 2% to 4% and 15% to 20%, respectively.



Clinical Considerations



Fetal/Neonatal Adverse Reactions

Benzodiazepines cross the placenta and may produce respiratory depression, hypotonia and sedation in neonates. Monitor neonates exposed to chlordiazepoxide hydrochloride and clidinium bromide capsules, which contains a benzodiazepine (chlordiazepoxide hydrochloride), during pregnancy or labor for signs of sedation, respiratory depression, hypotonia, and feeding problems. Monitor neonates exposed to chlordiazepoxide hydrochloride and clidinium bromide capsules during pregnancy for signs of withdrawal. Manage these neonates accordingly (see WARNINGS, Neonatal Sedation and Withdrawal Syndrome).



Data



Human Data

Published data from observational studies on the use of benzodiazepines during pregnancy do not report a clear association with benzodiazepines and major birth defects. Although early studies reported an increased risk of congenital malformations with diazepam and chlordiazepoxide, there was no consistent pattern noted. In addition, the majority of more recent case-control and cohort studies of benzodiazepine use during pregnancy, which were adjusted for confounding exposures to alcohol. Tobacco and other medications, have not confirmed these findings.



Animal Data

Oral daily doses of 2.5 mg/kg chlordiazepoxide hydrochloride with 1.25 mg/kg clidinium bromide or 25 mg/kg chlordiazepoxide hydrochloride with 12.5 mg/kg clidinium bromide (0.6 and 6.1 times, respectively, the maximum recommended clinical dose for both drugs, based on body surface area) were administered to rats in a reproduction study through two successive matings. In the first mating, no significant differences were noted between the control or the treated groups, with the exception of a slight decrease in the number of animals surviving during lactation among those receiving the highest dosage. In the second mating, similar results were obtained except for a slight decrease in the number of pregnant females and in the percentage of offspring surviving until weaning. No congenital anomalies were observed in both matings in either the control or treated groups.

Dependence

Physical Dependence  

Chlordiazepoxide hydrochloride and clidinium bromide capsules may produce physical dependence from continued therapy. Physical dependence is a state that develops as a result of physiological adaptation in response to repeated drug use, manifested by withdrawal signs and symptoms after abrupt discontinuation or a significant dose reduction of a drug. Abrupt discontinuation or rapid dosage reduction of benzodiazepines or administration of flumazenil, a benzodiazepine antagonist, may precipitate acute withdrawal reactions, including seizures, which can be life-threatening. Patients at an increased risk of withdrawal adverse reactions after benzodiazepine discontinuation or rapid dosage reduction include those who take higher dosages (i.e., higher and/or more frequent doses) and those who have had longer durations of use (see WARNINGS).



To reduce the risk of withdrawal reactions, use a gradual taper to discontinue chlordiazepoxide hydrochloride and clidinium bromide capsules or reduce the dosage (see WARNINGS and DOSAGE AND ADMININSTRATION).



   

Acute Withdrawal Signs and Symptoms  

Acute withdrawal signs and symptoms associated with benzodiazepines have included abnormal involuntary movements, anxiety, blurred vision, depersonalization, depression, derealization, dizziness, fatigue, gastrointestinal adverse reactions (e.g., nausea, vomiting, diarrhea, weight loss, decreased appetite), headache, hyperacusis, hypertension, irritability, insomnia, memory impairment, muscle pain and stiffness, panic attacks, photophobia, restlessness, tachycardia, and tremor. More severe acute withdrawal signs and symptoms, including life-threatening reactions, have included catatonia, convulsions, delirium tremens, depression, hallucinations, mania, psychosis, seizures and suicidality.



Protracted Withdrawal Syndrome

Protracted withdrawal syndrome associated with benzodiazepines is characterized by anxiety, cognitive impairment, depression, insomnia, formication, motor symptoms (e.g., weakness, tremor, muscle twitches), paresthesia, and tinnitus that persists beyond 4 to 6 weeks after initial benzodiazepine withdrawal. Protracted withdrawal symptoms may last weeks to more than 12 months. As a result, there may be difficulty in differentiating withdrawal symptoms from potential re-emergence or continuation of symptoms for which the benzodiazepine was being used.



Tolerance

Tolerance to chlordiazepoxide hydrochloride and clidinium bromide capsules may develop from continued therapy. Tolerance is a physiological state characterized by a reduced response to a drug after repeated administration (i.e., a higher dose of a drug is required to produce the same effect that was once obtained at a lower dose). Tolerance to the therapeutic effects of chlordiazepoxide hydrochloride and clidinium bromide capsules may develop; however, little tolerance develops to the amnestic reactions and other cognitive impairments caused by benzodiazepines.

Overdosage (OVERDOSAGE)

Overdosage of chlordiazepoxide hydrochloride and clidinium bromide capsules, which contains a benzodiazepine (chlordiazepoxide hydrochloride) and an anticholinergic (clidinium bromide) may manifest signs and symptoms related to either of its components, although some effects such as altered levels of consciousness may be synergistic.

Overdosage of benzodiazepines, such as chlordiazepoxide hydrochloride, is characterized by central nervous system depression ranging from drowsiness to coma. In mild to moderate cases, symptoms can include drowsiness, confusion, dysarthria, lethargy, hypnotic state, diminished reflexes, ataxia, and hypotonia. Rarely, paradoxical or disinhibitory reactions (including agitation, irritability, impulsivity, violent behavior, confusion, restlessness, excitement, and talkativeness) may occur. In severe overdosage cases, patients may develop respiratory depression and coma.

Signs and symptoms of anticholinergic overdosage are related to excessive anti-muscarinic anticholinergic activity. Peripheral signs and symptoms may include dry mucous membranes and skin, flushing, tachycardia, hypertension, ileus, urinary retention, and mydriasis. Garbled speech is often pathognomonic. Central signs and symptoms may include agitation and delirium, seizures, and hyperthermia. Benzodiazepines are considered a first-line treatment for anticholinergic toxicity acting to treat mild to moderate agitation and prevent seizures.



Overdosage of benzodiazepines in combination with other CNS depressants (including alcohol and opioids) may be fatal (see WARNINGS, Dependence and Withdrawal Reactions). Markedly abnormal (lowered or elevated) blood pressure, heart rate, or respiratory rate raise the concern that additional drugs and/or alcohol are involved in the overdosage. Anticholinergic drugs usually increase heart rate and blood pressure. In managing benzodiazepine overdosage, employ general supportive measures, including intravenous fluids, and airway management.

Flumazenil, a specific benzodiazepine receptor antagonist is indicated for the complete or partial reversal of the sedative effects of benzodiazepines in the management of benzodiazepine overdosage. Use of flumazenil may increase the risk of seizures in mixed overdosage with drugs that may precipitate seizures, including anticholinergic medications. Benzodiazepines are used to treat agitated delirium from anticholinergic toxicity. Therefore flumazenil administration may worsen the anticholinergic delirium and should generally be avoided.

Anticholinesterase inhibitors may reverse severe agitated delirium that is not controlled by benzodiazepines. They may also improve the airway and breathing in CNS depressed patients. Caution is warranted especially in mixed drug overdoses.

Consider contacting a poison center (1-800-222-1222) or a medical toxicologist for overdosage management recommendations.

Description (DESCRIPTION)

Chlordiazepoxide hydrochloride and clidinium bromide capsules, USP are a fixed-combination of chlordiazepoxide hydrochloride, a benzodiazepine, and clidinium bromide, an anticholinergic.

Each chlordiazepoxide hydrochloride and clidinium bromide capsule, USP contains the active ingredients 5 mg chlordiazepoxide hydrochloride, USP and 2.5 mg clidinium bromide, USP. Each capsule also contains the inactive ingredients lactose monohydrate, corn starch, talc, titanium dioxide, FD&C Green 3, D&C Yellow 10 and gelatin. The empty hard gelatin capsule shells are printed with edible black ink containing shellac, propylene glycol,  black iron oxide and potassium hydroxide.

Chlordiazepoxide hydrochloride, USP is 7-chloro-2-methylamino-5-phenyl-3H-1,4-benzodiazepine 4-oxide hydrochloride. A white or practically white crystalline powder, it is soluble in water, sparingly soluble in alcohol and insoluble in solvent hexane. It is unstable in solution and the powder must be protected from light. The molecular weight is 336.22. The structural formula of chlordiazepoxide hydrochloride, USP is as follows:

Clidinium bromide, USP is a synthetic anticholinergic agent which has been shown in experimental and clinical studies to have antispasmodic and antisecretory effects on the gastrointestinal tract.

Structurally clidinium bromide, USP is:

   

Product meets USP Dissolution Test 2.

How Supplied (HOW SUPPLIED)

Chlordiazepoxide hydrochloride and clidinium bromide capsules, USP are opaque light green cap/opaque light green body hard gelatin capsule, size “3” having imprinting “A” on cap and “333” on body with black ink, filled with white to off white powder.

Bottle of 100 capsules with child resistant closure, NDC 46708-744-31

Bottle of 1000 capsules, NDC 46708-744-91



Store at 25°C (77°F); excursions permitted to 15° to 30°C (59° to 86°F) [see USP Controlled Room Temperature]. Protect from light.

Keep out of reach of children.



Dispense in tight, light-resistant container as defined in USP/NF.

 



Manufactured by:

Alembic Pharmaceuticals Limited

(Formulation Division),

Village Panelav, P. O. Tajpura,

Near Baska, Taluka-Halol,

Panchmahal 389350, Gujarat, India.

 

Revised: 02/2023

Geriatric Use

Geriatric subjects may be particularly prone to experiencing drowsiness, ataxia and confusion while receiving chlordiazepoxide hydrochloride and clidinium bromide capsules. These effects can usually be avoided with proper dosage adjustment, although they have occasionally been observed even at the lower dosage ranges. Dosing in geriatric subjects should be initiated cautiously (no more than 2 capsules per day) and increased gradually if needed and tolerated (see DOSAGE AND ADMINISTRATION). Chlordiazepoxide hydrochloride and clidinium bromide capsules are contraindicated in the presence of glaucoma, prostatic hypertrophy and benign bladder neck obstruction (see CONTRAINDICATIONS).

Pediatric Use

Safety and effectiveness in pediatric patients have not been established.

Nursing Mothers

Chlordiazepoxide Hydrochloride

There are no data on the presence of chlordiazepoxide in either human or animal milk, the effects on the breastfed infant, or the effects on milk production. However, there are reports of sedation, poor feeding and poor weight gain in infants exposed to other benzodiazepines through breast milk.



Reproduction studies in rats fed chlordiazepoxide hydrochloride, 10, 20 and 80 mg/kg daily (2.4, 4.8 and 19.4 times respectively, the maximum recommended clinical dose of 40 mg/day, based on body surface area), and bred through one or two matings showed no adverse effects on lactation of the dams.



Clidinium Bromide

There are no data on the presence of clidinium in either human or animal milk, the effects on the breastfed infant, or the effects on milk production. As with other anticholinergic drugs, clidinium may cause suppression of lactation.



The developmental and health benefits of breastfeeding should be considered along with the mother’s clinical need for chlordiazepoxide hydrochloride and clidinium bromide capsules and any potential adverse effects on the breastfed infant from chlordiazepoxide hydrochloride and clidinium bromide capsules. Infants exposed to chlordiazepoxide hydrochloride and clidinium bromide through breast milk should be monitored for sedation, poor feeding and poor weight gain.

Adverse Reactions (ADVERSE REACTIONS)

No side effects or manifestations not seen with either compound alone have been reported with the administration of chlordiazepoxide hydrochloride and clidinium bromide capsules. However, since chlordiazepoxide hydrochloride and clidinium bromide capsules contains chlordiazepoxide hydrochloride and clidinium bromide, the possibility of untoward effects which may be seen with either of these two compounds cannot be excluded.



When chlordiazepoxide hydrochloride has been used alone the necessity of discontinuing therapy because of undesirable effects has been rare. Drowsiness, ataxia and confusion have been reported in some patients — particularly the elderly and debilitated. While these effects can be avoided in almost all instances by proper dosage adjustment, they have occasionally been observed at the lower dosage ranges. In a few instances syncope has been reported.



Other adverse reactions reported during therapy with chlordiazepoxide hydrochloride include isolated instances of skin eruptions, edema, minor menstrual irregularities, nausea and constipation, extrapyramidal symptoms, as well as increased and decreased libido. Such side effects have been infrequent and are generally controlled with reduction of dosage. Changes in EEG patterns (low-voltage fast activity) have been observed in patients during and after chlordiazepoxide hydrochloride treatment.



Blood dyscrasias, including agranulocytosis, jaundice and hepatic dysfunction have occasionally been reported during therapy with chlordiazepoxide hydrochloride. When chlordiazepoxide hydrochloride treatment is protracted, periodic blood counts and liver function tests are advisable.



Adverse effects reported with use of chlordiazepoxide hydrochloride and clidinium bromide capsules are those typical of anticholinergic agents, i.e., dryness of the mouth, blurring of vision, urinary hesitancy and constipation. Constipation has occurred most often when chlordiazepoxide hydrochloride and clidinium bromide therapy has been combined with other spasmolytic agents and/or a low residue diet.



To report SUSPECTED ADVERSE REACTIONS, contact FDA at 1-800-FDA-1088 or www.fda.gov/medwatch.

Contraindications (CONTRAINDICATIONS)

Chlordiazepoxide hydrochloride and clidinium bromide capsules are contraindicated in the presence of glaucoma (since the anticholinergic component may produce some degree of mydriasis) and in patients with prostatic hypertrophy and benign bladder neck obstruction. It is contraindicated in patients with known hypersensitivity to chlordiazepoxide hydrochloride and/or clidinium bromide.

Drug Interactions

Opioids  

The concomitant use of benzodiazepines, including chlordiazepoxide hydrochloride, a component of chlordiazepoxide hydrochloride and clidinium bromide capsules and opioids increases the risk of respiratory depression because of actions at different receptor sites in the CNS that control respiration. Benzodiazepines interact at GABAA sites and opioids interact primarily at mu receptors. When benzodiazepines and opioids are combined, the potential for benzodiazepines to significantly worsen opioid-related respiratory depression exists. Limit dosage and duration of concomitant use of chlordiazepoxide hydrochloride and clidinium bromide capsules and opioids, and follow patients closely for respiratory depression and sedation.



Oral Anticoagulants

Although clinical studies have not established a cause and effect relationship, physicians should be aware that variable effects on blood coagulation have been reported very rarely in patients receiving oral anticoagulants and chlordiazepoxide hydrochloride, a component of chlordiazepoxide hydrochloride and clidinium bromide capsules.

Controlled Substance

Chlordiazepoxide hydrochloride and clidinium bromide capsules contain chlordiazepoxide hydrochloride, a Schedule IV controlled substance and clidinium bromide, which is not a controlled substance. Chlordiazepoxide hydrochloride and clidinium bromide capsule is exempted from Schedule IV and is not controlled under the Controlled Substances Act.

Cns Adverse Reactions (CNS Adverse Reactions)

In geriatric or debilitated patients, it is recommended that the dosage be limited to the smallest effective amount to preclude the development of ataxia, oversedation or confusion (not more than 2 chlordiazepoxide hydrochloride and clidinium bromide capsules per day initially, to be increased gradually as needed and tolerated). In general, the concomitant administration of chlordiazepoxide hydrochloride and clidinium bromide capsules and other psychotropic agents is not recommended. If such combination therapy seems indicated, careful consideration should be given to the pharmacology of the agents to be employed — particularly when the known potentiating compounds such as the MAO inhibitors and phenothiazines are to be used. The usual precautions in treating patients with impaired renal or hepatic function should be observed.



Paradoxical reactions to chlordiazepoxide hydrochloride, e.g., excitement, stimulation and acute rage, have been reported in psychiatric patients and should be watched for during chlordiazepoxide hydrochloride and clidinium bromide capsules therapy. The usual precautions are indicated when chlordiazepoxide hydrochloride is used in the treatment of anxiety states where there is any evidence of impending depression; it should be borne in mind that suicidal tendencies may be present and protective measures may be necessary.

Indications and Usage (INDICATIONS AND USAGE)

Chlordiazepoxide hydrochloride and clidinium bromide capsules are indicated to control emotional and somatic factors in gastrointestinal disorders. Chlordiazepoxide hydrochloride and clidinium bromide capsules may also be used as adjunctive therapy in the treatment of peptic ulcer and in the treatment of the irritable bowel syndrome (irritable colon, spastic colon, mucous colitis) and acute enterocolitis.

Information for Patients

Abuse, Misuse, and Addiction

Inform patients that the use of chlordiazepoxide hydrochloride and clidinium bromide capsules, even at recommended dosages, exposes users to risks of abuse, misuse, and addiction, which can lead to overdose and death, especially when used in combination with other medications (e.g., opioid analgesics), alcohol, and/or illicit substances. Inform patients about the signs and symptoms of benzodiazepine abuse, misuse, and addiction; to seek medical help if they develop these signs and/or symptoms; and on the proper disposal of unused drug (see WARNINGS).



Withdrawal Reactions

Inform patients that the continued use of chlordiazepoxide hydrochloride and clidinium bromide capsules may lead to clinically significant physical dependence and that abrupt discontinuation or rapid dosage reduction of chlordiazepoxide hydrochloride and clidinium bromide capsules may precipitate acute withdrawal reactions, which can be life-threatening. Inform patients that in some cases, patients taking benzodiazepines have developed a protracted withdrawal syndrome with withdrawal symptoms lasting weeks to more than 12 months. Instruct patients that discontinuation or dosage reduction of chlordiazepoxide hydrochloride and clidinium bromide capsules may require a slow taper (see WARNINGS and DRUG ABUSE AND DEPENDENCE).

 

Concomitant Use With Opioids and Other CNS Depressants   

Inform patients and caregivers that potentially fatal additive effects may occur if chlordiazepoxide hydrochloride and clidinium bromide capsules are used with opioids or other CNS depressants, including alcohol, and not to use these concomitantly unless supervised by a health care provider (see WARNINGS and PRECAUTIONS, Drug Interactions).



Pregnancy

Advise pregnant females that use of chlordiazepoxide hydrochloride and clidinium bromide capsules late in pregnancy can result in sedation (respiratory depression, lethargy, hypotonia) and /or withdrawal symptoms (hyperreflexia, irritability, restlessness, tremors, inconsolable crying, and feeding difficulties) in newborns (see WARNINGS, Neonatal Sedation and Withdrawal Syndrome and PRECAUTIONS, Pregnancy). Instruct patients to inform their healthcare provider if they are pregnant.



Nursing

Instruct patients to notify their healthcare provider if they are breastfeeding or intend to breastfeed (see PRECAUTIONS, Nursing Mothers).

Dosage and Administration (DOSAGE AND ADMINISTRATION)

Recommended Dosage

Because of the varied individual responses to tranquilizers and anticholinergics, the optimum dosage of chlordiazepoxide hydrochloride and clidinium bromide capsules varies with the diagnosis and response of the individual patient. The dosage, therefore, should be individualized for maximum beneficial effects. The usual maintenance dose is 1 or 2 capsules, 3 or 4 times a day administered before meals and at bedtime.

 

Recommended Geriatric Dosage

Dosage should be limited to the smallest effective amount to preclude the development of ataxia, oversedation or confusion. The initial dose should not exceed 2 chlordiazepoxide hydrochloride and clidinium bromide capsules per day, to be increased gradually as needed and tolerated. Elderly patients have an increased risk of dose-related adverse reactions (see PRECAUTIONS).

Discontinuation or Dosage Reduction of Chlordiazepoxide Hydrochloride and Clidinium Bromide Capsules



To reduce the risk of withdrawal reactions, use a gradual taper to discontinue chlordiazepoxide hydrochloride and clidinium bromide capsules or reduce the dosage. If a patient develops withdrawal reactions, consider pausing the taper or increasing the dosage to the previous tapered dosage level. Subsequently decrease the dosage more slowly (see WARNINGS and DRUG ABUSE AND DEPENDENCE).

Package Label.principal Display Panel (PACKAGE LABEL.PRINCIPAL DISPLAY PANEL)

NDC 46708-744-31

Chlordiazepoxide

Hydrochloride and Clidinium

Bromide Capsules, USP

5 mg/2.5 mg

PHARMACIST: DISPENSE THE ACCOMPANYING

MEDICATION GUIDE TO EACH PATIENT.

Rx only

100 Capsules

Alembic

  

 

 

 

Animal Pharmacology And/or Animal Toxicology (ANIMAL PHARMACOLOGY AND/OR ANIMAL TOXICOLOGY)

  

Effects on Reproduction

Reproduction studies in rats fed chlordiazepoxide hydrochloride, 10, 20 and 80 mg/kg daily (2.4, 4.8 and 19.4 times, respectively, the maximum recommended clinical dose of 40 mg/day, based on body surface area), and bred through one or two matings showed no congenital anomalies, nor were there adverse effects on growth of the newborn. However, in another study at 100 mg/kg daily there was noted a significant decrease in the fertilization rate and a marked decrease in the viability and body weight of offspring which may be attributable to sedative activity, thus resulting in lack of interest in mating and lessened maternal nursing and care of the young. One neonate in each of the first and second matings in the rat reproduction study at the 100 mg/kg dose (24.2 times the maximum recommended human dose of 40 mg/day, based on body surface area) exhibited major skeletal defects.



Two series of reproduction experiments with clidinium bromide were carried out in rats, employing dosages of 2.5 and 10 mg/kg daily (1.2 and 4.9 times, respectively, the maximum recommended clinical dose of 20 mg/day, based on body surface area) in each experiment. In the first experiment, clidinium bromide was administered for a 9-week interval prior to mating; no untoward effect on fertilization or gestation was noted. The offspring were taken by caesarean section and did not show a significant incidence of congenital anomalies when compared to control animals. In the second experiment, adult animals were given clidinium bromide for 10 days prior to and through two mating cycles. No significant effects were observed on fertility, gestation, viability of offspring or lactation, as compared to control animals, nor was there a significant incidence of congenital anomalies in the offspring derived from these experiments.



A reproduction study was carried out in rats through two successive matings with administration of oral daily doses of 2.5 mg/kg chlordiazepoxide hydrochloride and 1.25 mg/kg clidinium bromide (0.6 times the maximum recommended clinical dose for both drugs, based on body surface area) or 25 mg/kg chlordiazepoxide hydrochloride and 12.5 mg/kg clidinium bromide (6.1 times the maximum recommended clinical dose for both drugs, based on body surface area). In the first mating, no significant differences were noted between the control or the treated groups, with the exception of a slight decrease in the number of animals surviving during lactation among those receiving the high dosage. In the second mating, similar results were obtained except for a slight decrease in the number of pregnant females and in the percentage of offspring surviving until weaning. No congenital anomalies were observed in both matings in either the control or treated groups.

   


Advanced Ingredient Data


Raw Label Data

All Sections (JSON)