These Highlights Do Not Include All The Information Needed To Use Azithromycin Tablets Safely And Effectively. See Full Prescribing Information For Azithromycin Tablets.

These Highlights Do Not Include All The Information Needed To Use Azithromycin Tablets Safely And Effectively. See Full Prescribing Information For Azithromycin Tablets.
SPL v1
SPL
SPL Set ID 397471e5-76e2-462c-af30-bcc54fe00266
Route
ORAL
Published
Effective Date 2025-10-10
Document Type 34391-3 HUMAN PRESCRIPTION DRUG LABEL

Drug Facts

Composition & Product

Active Ingredients
Azithromycin Anhydrous (500 mg)
Inactive Ingredients
Starch, Corn Anhydrous Dibasic Calcium Phosphate Croscarmellose Sodium Hypromellose 2910 (15 Mpa.s) Lactose Monohydrate Magnesium Stearate Microcrystalline Cellulose Polyethylene Glycol 4000 Trisodium Citrate Dihydrate Sodium Lauryl Sulfate Titanium Dioxide Fd&c Blue No. 2

Identifiers & Packaging

Pill Appearance
Imprint: PLIVA;788 Shape: oval Color: blue Size: 19 mm Score: 1
Marketing Status
ANDA Active Since 2006-01-06

Description

Azithromycin tablets are a macrolide antibacterial drug indicated for the treatment of patients with mild to moderate infections caused by susceptible strains of the designated microorganisms in the specific conditions listed below. Recommended dosages and durations of therapy in adult and pediatric patient populations vary in these indications [see Dosage and Administration ( 2 )].

Indications and Usage

Azithromycin tablets are a macrolide antibacterial drug indicated for the treatment of patients with mild to moderate infections caused by susceptible strains of the designated microorganisms in the specific conditions listed below. Recommended dosages and durations of therapy in adult and pediatric patient populations vary in these indications [see Dosage and Administration ( 2 )].

Dosage and Administration

Adult Patients ( 2.1 ) Infection Recommended Dose/Duration of Therapy Community-acquired pneumonia (mild severity) Pharyngitis/tonsillitis (second-line therapy) Skin/skin structure (uncomplicated) 500 mg as a single dose on Day 1, followed by 250 mg once daily on Days 2 through 5. Acute bacterial exacerbations of chronic bronchitis (mild to moderate) 500 mg as a single dose on Day 1, followed by 250 mg once daily on Days 2 through 5 or 500 mg once daily for 3 days. Acute bacterial sinusitis  500 mg once daily for 3 days. Genital ulcer disease (chancroid) Non-gonococcal urethritis and cervicitis One single 1 gram dose. Gonococcal urethritis and cervicitis One single 2 gram dose. Pediatric Patients ( 2.2 ) Infection Recommended Dose/Duration of Therapy Acute otitis media (6 months of age and older) 30 mg/kg as a single dose or 10 mg/kg once daily for 3 days or 10 mg/kg as a single dose on Day 1 followed by 5 mg/kg/day on Days 2 through 5. Acute bacterial sinusitis (6 months of age and older)  10 mg/kg once daily for 3 days. Community-acquired pneumonia (6 months of age and older) 10 mg/kg as a single dose on Day 1 followed by 5 mg/kg once daily on Days 2 through 5. Pharyngitis/tonsillitis (2 years of age and older) 12 mg/kg once daily for 5 days.

Warnings and Precautions

Serious (including fatal) allergic and skin reactions: Discontinue azithromycin if reaction occurs. ( 5.1 ) Hepatotoxicity: Severe, and sometimes fatal, hepatotoxicity has been reported. Discontinue azithromycin immediately if signs and symptoms of hepatitis occur. ( 5.2 ) Infantile Hypertrophic Pyloric Stenosis (IHPS): Following the use of azithromycin in neonates (treatment up to 42 days of life), IHPS has been reported. Direct parents and caregivers to contact their physician if vomiting or irritability with feeding occurs. ( 5.3 ) Prolongation of QT interval and cases of torsades de pointes have been reported. This risk which can be fatal should be considered in patients with certain cardiovascular disorders including known QT prolongation or history of torsades de pointes, those with proarrhythmic conditions, and with other drugs that prolong the QT interval. ( 5.4 ) Cardiovascular Death: Some observational studies have shown an approximately two-fold increased short-term potential risk of acute cardiovascular death in adults exposed to azithromycin relative to other antibacterial drugs, including amoxicillin. Consider balancing this potential risk with treatment benefits when prescribing azithromycin. ( 5.5 ) Clostridioides difficile- Associated Diarrhea: Evaluate patients if diarrhea occurs. ( 5.6 )  Azithromycin may exacerbate muscle weakness in persons with myasthenia gravis. ( 5.7 )

Contraindications

Patients with known hypersensitivity to azithromycin, erythromycin, any macrolide or ketolide drug. ( 4.1 ) Patients with a history of cholestatic jaundice/hepatic dysfunction associated with prior use of azithromycin. ( 4.2 )

Adverse Reactions

The following clinically significant adverse reactions are described elsewhere in labeling: Hypersensitivity [see Warnings and Precautions ( 5.1 )] Hepatotoxicity [see Warnings and Precautions ( 5.2 )] Infantile Hypertrophic Pyloric Stenosis (IHPS) [see Warnings and Precautions ( 5.3 )] QT Prolongation [see Warnings and Precautions ( 5.4 )] Cardiovascular Death [see Warnings and Precautions ( 5.5 )] Clostridioides difficile- Associated Diarrhea (CDAD) [see Warnings and Precautions ( 5.6 )] Exacerbation of Myasthenia Gravis [see Warnings and Precautions ( 5.7 )]

Drug Interactions

Nelfinavir: Close monitoring for known adverse reactions of azithromycin, such as liver enzyme abnormalities and hearing impairment, is warranted. ( 7.1 ) Warfarin: Use with azithromycin may increase coagulation times; monitor prothrombin time. ( 7.2 )

Storage and Handling

Azithromycin Tablets USP, 500 mg are supplied as blue, capsule shaped, biconvex, film-coated tablets, debossed with “788” on one side and “PLIVA” on the other, containing azithromycin monohydrate equivalent to 500 mg of azithromycin, USP, available in boxes of 1 card x 3 tablets (NDC 85766-077-03 relabeled from NDC 50111-788-55), in a bundle of 3 boxes x 3 tablets (9) (NDC 85766-077-09 relabeled from NDC 50111-788-67), and in bottles of 30 tablets (NDC 85766-077-30 relabeled from NDC 50111-788-10). Store at 20° to 25°C (68° to 77°F) [See USP Controlled Room Temperature]. Keep this and all medications out of the reach of children.

How Supplied

Azithromycin Tablets USP, 500 mg are supplied as blue, capsule shaped, biconvex, film-coated tablets, debossed with “788” on one side and “PLIVA” on the other, containing azithromycin monohydrate equivalent to 500 mg of azithromycin, USP, available in boxes of 1 card x 3 tablets (NDC 85766-077-03 relabeled from NDC 50111-788-55), in a bundle of 3 boxes x 3 tablets (9) (NDC 85766-077-09 relabeled from NDC 50111-788-67), and in bottles of 30 tablets (NDC 85766-077-30 relabeled from NDC 50111-788-10). Store at 20° to 25°C (68° to 77°F) [See USP Controlled Room Temperature]. Keep this and all medications out of the reach of children.


Medication Information

Warnings and Precautions

Serious (including fatal) allergic and skin reactions: Discontinue azithromycin if reaction occurs. ( 5.1 ) Hepatotoxicity: Severe, and sometimes fatal, hepatotoxicity has been reported. Discontinue azithromycin immediately if signs and symptoms of hepatitis occur. ( 5.2 ) Infantile Hypertrophic Pyloric Stenosis (IHPS): Following the use of azithromycin in neonates (treatment up to 42 days of life), IHPS has been reported. Direct parents and caregivers to contact their physician if vomiting or irritability with feeding occurs. ( 5.3 ) Prolongation of QT interval and cases of torsades de pointes have been reported. This risk which can be fatal should be considered in patients with certain cardiovascular disorders including known QT prolongation or history of torsades de pointes, those with proarrhythmic conditions, and with other drugs that prolong the QT interval. ( 5.4 ) Cardiovascular Death: Some observational studies have shown an approximately two-fold increased short-term potential risk of acute cardiovascular death in adults exposed to azithromycin relative to other antibacterial drugs, including amoxicillin. Consider balancing this potential risk with treatment benefits when prescribing azithromycin. ( 5.5 ) Clostridioides difficile- Associated Diarrhea: Evaluate patients if diarrhea occurs. ( 5.6 )  Azithromycin may exacerbate muscle weakness in persons with myasthenia gravis. ( 5.7 )

Indications and Usage

Azithromycin tablets are a macrolide antibacterial drug indicated for the treatment of patients with mild to moderate infections caused by susceptible strains of the designated microorganisms in the specific conditions listed below. Recommended dosages and durations of therapy in adult and pediatric patient populations vary in these indications [see Dosage and Administration ( 2 )].

Dosage and Administration

Adult Patients ( 2.1 ) Infection Recommended Dose/Duration of Therapy Community-acquired pneumonia (mild severity) Pharyngitis/tonsillitis (second-line therapy) Skin/skin structure (uncomplicated) 500 mg as a single dose on Day 1, followed by 250 mg once daily on Days 2 through 5. Acute bacterial exacerbations of chronic bronchitis (mild to moderate) 500 mg as a single dose on Day 1, followed by 250 mg once daily on Days 2 through 5 or 500 mg once daily for 3 days. Acute bacterial sinusitis  500 mg once daily for 3 days. Genital ulcer disease (chancroid) Non-gonococcal urethritis and cervicitis One single 1 gram dose. Gonococcal urethritis and cervicitis One single 2 gram dose. Pediatric Patients ( 2.2 ) Infection Recommended Dose/Duration of Therapy Acute otitis media (6 months of age and older) 30 mg/kg as a single dose or 10 mg/kg once daily for 3 days or 10 mg/kg as a single dose on Day 1 followed by 5 mg/kg/day on Days 2 through 5. Acute bacterial sinusitis (6 months of age and older)  10 mg/kg once daily for 3 days. Community-acquired pneumonia (6 months of age and older) 10 mg/kg as a single dose on Day 1 followed by 5 mg/kg once daily on Days 2 through 5. Pharyngitis/tonsillitis (2 years of age and older) 12 mg/kg once daily for 5 days.

Contraindications

Patients with known hypersensitivity to azithromycin, erythromycin, any macrolide or ketolide drug. ( 4.1 ) Patients with a history of cholestatic jaundice/hepatic dysfunction associated with prior use of azithromycin. ( 4.2 )

Adverse Reactions

The following clinically significant adverse reactions are described elsewhere in labeling: Hypersensitivity [see Warnings and Precautions ( 5.1 )] Hepatotoxicity [see Warnings and Precautions ( 5.2 )] Infantile Hypertrophic Pyloric Stenosis (IHPS) [see Warnings and Precautions ( 5.3 )] QT Prolongation [see Warnings and Precautions ( 5.4 )] Cardiovascular Death [see Warnings and Precautions ( 5.5 )] Clostridioides difficile- Associated Diarrhea (CDAD) [see Warnings and Precautions ( 5.6 )] Exacerbation of Myasthenia Gravis [see Warnings and Precautions ( 5.7 )]

Drug Interactions

Nelfinavir: Close monitoring for known adverse reactions of azithromycin, such as liver enzyme abnormalities and hearing impairment, is warranted. ( 7.1 ) Warfarin: Use with azithromycin may increase coagulation times; monitor prothrombin time. ( 7.2 )

Storage and Handling

Azithromycin Tablets USP, 500 mg are supplied as blue, capsule shaped, biconvex, film-coated tablets, debossed with “788” on one side and “PLIVA” on the other, containing azithromycin monohydrate equivalent to 500 mg of azithromycin, USP, available in boxes of 1 card x 3 tablets (NDC 85766-077-03 relabeled from NDC 50111-788-55), in a bundle of 3 boxes x 3 tablets (9) (NDC 85766-077-09 relabeled from NDC 50111-788-67), and in bottles of 30 tablets (NDC 85766-077-30 relabeled from NDC 50111-788-10). Store at 20° to 25°C (68° to 77°F) [See USP Controlled Room Temperature]. Keep this and all medications out of the reach of children.

How Supplied

Azithromycin Tablets USP, 500 mg are supplied as blue, capsule shaped, biconvex, film-coated tablets, debossed with “788” on one side and “PLIVA” on the other, containing azithromycin monohydrate equivalent to 500 mg of azithromycin, USP, available in boxes of 1 card x 3 tablets (NDC 85766-077-03 relabeled from NDC 50111-788-55), in a bundle of 3 boxes x 3 tablets (9) (NDC 85766-077-09 relabeled from NDC 50111-788-67), and in bottles of 30 tablets (NDC 85766-077-30 relabeled from NDC 50111-788-10). Store at 20° to 25°C (68° to 77°F) [See USP Controlled Room Temperature]. Keep this and all medications out of the reach of children.

Description

Azithromycin tablets are a macrolide antibacterial drug indicated for the treatment of patients with mild to moderate infections caused by susceptible strains of the designated microorganisms in the specific conditions listed below. Recommended dosages and durations of therapy in adult and pediatric patient populations vary in these indications [see Dosage and Administration ( 2 )].

Section 42229-5

Dispense with Patient Package Insert available at: www.tevausa.com/PatientPI

Section 42230-3

Azithromycin (ay zith” roe mye’ sin)

Tablets, USP

Read this Patient Information leaflet before you start taking azithromycin tablets and each time you get a refill. There may be new information. This information does not take the place of talking to your healthcare provider about your medical condition or your treatment.

What are azithromycin tablets?

Azithromycin tablets are a macrolide antibiotic prescription medicine used in adults 18 years or older to treat certain infections caused by certain germs called bacteria. These bacterial infections include:

  • acute worsening of chronic bronchitis
  • acute sinus infection
  • community-acquired pneumonia
  • infected throat or tonsils
  • skin infections
  • infections of the urethra or cervix
  • genital ulcers in men

Azithromycin tablets are also used in children to treat:

  • ear infections
  • community-acquired pneumonia
  • infected throat or tonsils

Azithromycin should not be taken by people who cannot tolerate oral medications because they are very ill or have certain other risk factors including:

  • have cystic fibrosis
  • have hospital acquired infections
  • have known or suspected bacteria in the blood
  • need to be in the hospital
  • are elderly
  • have any medical problems that can lower the ability of the immune system to fight infections

Azithromycin tablets are not for viral infections such as the common cold.

It is not known if azithromycin tablets are safe and effective for genital ulcers in women.

It is not known if azithromycin tablets are safe and effective for children with ear infections, sinus infections, and community-acquired pneumonia under 6 months of age.

It is not known if azithromycin tablets are safe and effective for infected throat or tonsils in children under 2 years of age.

Who should not take azithromycin tablets?

Do not take azithromycin tablets if you:

  • have had a severe allergic reaction to certain antibiotics known as macrolides or ketolides including azithromycin and erythromycin.
  • have a history of cholestatic jaundice or hepatic dysfunction that happened with the use of azithromycin.

What should I tell my healthcare provider before taking azithromycin tablets?

Before you take azithromycin tablets, tell your healthcare provider if you:

  • have pneumonia
  • have cystic fibrosis
  • have known or suspected bacteremia (bacterial infection in the blood)
  • have liver or kidney problems
  • have an irregular heartbeat, especially a problem called “QT prolongation”
  • have a problem that causes muscle weakness (myasthenia gravis)
  • have any other medical problems
  • are pregnant or plan to become pregnant. It is not known if azithromycin tablets will harm your unborn baby.
  • are breastfeeding or plan to breastfeed. Azithromycin has been reported to pass into breast milk. Talk to your healthcare provider about the best way to feed your baby while you take azithromycin tablets.

Contact your healthcare provider immediately if you are giving azithromycin tablets to a young child (less than 6 weeks of age) and he or she vomits or becomes irritable when fed.

Tell your healthcare provider about all the medicines you take,including prescription and non-prescription medicines, vitamins, and herbal supplements.

Azithromycin tablets and other medicines may affect each other causing side effects. Azithromycin tablets may affect the way other medicines work, and other medicines may affect how azithromycin tablets work.

Especially tell your healthcare provider if you take:

  • nelfinavir
  • a blood thinner (warfarin)
  • digoxin
  • colchicine
  • phenytoin
  • an antacid that contains aluminum or magnesium

Know the medicines you take. Keep a list of your medicines and show it to your healthcare provider and pharmacist when you get a new medicine.

How should I take azithromycin tablets?

  • Take azithromycin tablets exactly as your healthcare provider tells you to take them.
  • Azithromycin tablets can be taken with or without food.
  • Do not skip any doses of azithromycin tablets or stop taking them, even if you begin to feel better, until you finish your prescribed treatment unless you have a serious allergic reaction or your healthcare provider tells you to stop taking azithromycin tablets. See “What are the possible side effects of azithromycin tablets?”If you skip doses, or do not complete the total course of azithromycin tablets your treatment may not work as well and your infection may be harder to treat. Taking all of your azithromycin tablets doses will help lower the chance that the bacteria will become resistant to azithromycin.
  • If the bacteria becomes resistant to azithromycin, azithromycin tablets and other antibiotic medicines may not work for you in the future.
  • If you take too many azithromycin tablets, call your healthcare provider or get medical help right away.

What are the possible side effects of azithromycin tablets?

Azithromycin tablets can cause serious side effects, including:

  • Serious allergic reactions.Allergic reactions can happen in people taking azithromycin the active ingredient in azithromycin tablets, even after only 1 dose. Stop taking azithromycin tablets and get emergency medical help right away if you have any of the following symptoms of a severe allergic reaction:
    • trouble breathing or swallowing
    • swelling of the lips, tongue, face
    • throat tightness, hoarseness
    • rapid heartbeat
    • faintness
    • skin rash (hives)
    • new onset of fever and swollen lymph nodes
    Stop taking azithromycin tablets at the first sign of a skin rash and call your healthcare provider. Skin rash may be a sign of a more serious reaction to azithromycin tablets.
  • Liver damage (hepatotoxicity).Hepatotoxicity can happen in people who take azithromycin tablets. Call your healthcare provider right away if you have unexplained symptoms such as:
  • nausea or vomiting
  • stomach pain
  • fever
  • weakness
  • abdominal pain or tenderness
  • itching
  • unusual tiredness
  • loss of appetite
  • change in the color of your bowel movements
  • dark colored urine
  • yellowing of your skin or of the whites of your eyes



Stop taking azithromycin tablets and tell your healthcare provider right away if you have yellowing of your skin or white part of your eyes, or if you have dark urine. These can be signs of a serious reaction to azithromycin tablets (a liver problem).

  • Serious heart rhythm changes that can be life-threatening, including heart stopping (cardiac arrest), QT prolongation, torsades de pointes, feeling that your heart is pounding or racing (palpitations), chest discomfort, or irregular heartbeat.Tell your healthcare provider right away if you or your child feel a fast or irregular heartbeat, get dizzy or faint. Azithromycin tablets may cause a rare heart problem known as prolongation of the QT interval. This condition can cause an abnormal heartbeat and can be very dangerous. The chances of this happening are higher in people:

    • who are elderly
    • with a family history of prolonged QT interval
    • with low blood potassium
    • who take certain medicines to control heart rhythm (antiarrhythmics)
  • Worsening of myasthenia gravis (a problem that causes muscle weakness).Certain antibiotics like azithromycin tablets may cause worsening of myasthenia gravis symptoms, including muscle weakness and breathing problems. Call your healthcare provider right away if you have any worsening muscle weakness or breathing problems.
  • Diarrhea.Tell your healthcare provider right away if you have watery diarrhea, diarrhea that does not go away, or bloody stools. You may experience cramping and a fever. This could happen after you have finished your azithromycin tablets.

    The most common side effects of azithromycin tablets include:
  • nausea
  • stomach pain
  • vomiting

These are not all the possible side effects of azithromycin tablets. Tell your healthcare provider about any side effect that bothers you or that does not go away.

Call your doctor for medical advice about side effects. You may report side effects to FDA at 1-800-FDA-1088.

How should I store azithromycin tablets?

  • Store azithromycin tablets at 68° to 77°F (20° to 25°C). 
  • Safely throw away any medicine that is out of date or no longer needed.

Keep azithromycin tablets and all medicines out of the reach of children.

General information about the safe and effective use of azithromycin tablets.

Medicines are sometimes prescribed for purposes other than those listed in the Patient Information leaflet. Do not use azithromycin tablets for a condition for which they were not prescribed. Do not give azithromycin tablets to other people, even if they have the same symptoms you have. It may harm them.

This Patient Information leaflet summarizes the most important information about azithromycin tablets. If you would like more information, talk with your healthcare provider. You can ask your pharmacist or healthcare provider for information about azithromycin tablets that is written for health professionals.

For more information, call 1-888-838-2872.

What are the ingredients in azithromycin tablets?

Active ingredient: azithromycin monohydrate

Inactive ingredients: corn starch, dibasic calcium phosphate anhydrous, croscarmellose sodium, FD&C Blue #2, hypromellose, lactose monohydrate, magnesium stearate, microcrystalline cellulose, polyethylene glycol, sodium citrate, sodium lauryl sulfate, and titanium dioxide.

This Patient Information has been approved by the U.S. Food and Drug Administration.

Distributed by:

Sportpharm

2237 N Commerce Parkway,

STE 1, Weston, Florida-33326

Relabeled by:

Enovachem PHARMACEUTICALS

Torrance, CA 90501

1.4 Usage

To reduce the development of drug-resistant bacteria and maintain the effectiveness of azithromycin tablets and other antibacterial drugs, azithromycin tablets should be used only to treat infections that are proven or strongly suspected to be caused by susceptible bacteria. When culture and susceptibility information are available, they should be considered in selecting or modifying antibacterial therapy. In the absence of such data, local epidemiology and susceptibility patterns may contribute to the empiric selection of therapy.

7.2 Warfarin

Spontaneous postmarketing reports suggest that concomitant administration of azithromycin may potentiate the effects of oral anticoagulants such as warfarin, although the prothrombin time was not affected in the dedicated drug interaction study with azithromycin and warfarin. Prothrombin times should be carefully monitored while patients are receiving azithromycin and oral anticoagulants concomitantly.

10 Overdosage

Adverse reactions experienced at higher than recommended doses were similar to those seen at normal doses particularly nausea, diarrhea, and vomiting. In the event of overdosage, general symptomatic and supportive measures are indicated as required.

8.1 Pregnancy

Risk Summary

Available data from published literature and postmarketing experience over several decades with azithromycin use in pregnant women have not identified any drug-associated risks for major birth defects, miscarriage, or adverse maternal or fetal outcomes (see Data). Developmental toxicity studies with azithromycin in rats, mice, and rabbits showed no drug-induced fetal malformations at doses up to 4, 2, and 2 times, respectively, an adult human daily dose of 500 mg based on body surface area. Decreased viability and delayed development were observed in the offspring of pregnant rats administered azithromycin from day 6 of pregnancy through weaning at a dose equivalent to 4 times an adult human daily dose of 500 mg based on body surface area (see Data).

The estimated background risk of major birth defects and miscarriage for the indicated populations is unknown. All pregnancies have a background risk of birth defect, loss, or other adverse outcomes. In the U.S. general population, the estimated background risk of major birth defects and miscarriage in clinically recognized pregnancies is 2% to 4% and 15% to 20%, respectively.

Data

Human Data

Available data from published observational studies, case series, and case reports over several decades do not suggest an increased risk for major birth defects, miscarriage, or adverse maternal or fetal outcomes with azithromycin use in pregnant women. Limitations of these data include the lack of randomization and inability to control for confounders such as underlying maternal disease and maternal use of concomitant medications.

Animal Data

Azithromycin administered during the period of organogenesis did not cause fetal malformations in rats and mice at oral doses up to 200 mg/kg/day (moderately maternally toxic). Based on body surface area, this dose is approximately 4 (rats) and 2 (mice) times an adult human daily dose of 500 mg. In rabbits administered azithromycin at oral doses of 10, 20, and 40 mg/kg/day during organogenesis, reduced maternal body weight and food consumption were observed in all groups; no evidence of fetotoxicity or teratogenicity was observed at these doses, the highest of which is estimated to be 2 times an adult human daily dose of 500 mg based on body surface area.

In a pre- and postnatal development study, azithromycin was administered orally to pregnant rats from day 6 of pregnancy until weaning at doses of 50 or 200 mg/kg/day. Maternal toxicity (reduced food consumption and body weight gain; increased stress at parturition) was observed at the higher dose. Effects in the offspring were noted at 200 mg/kg/day during the postnatal development period (decreased viability, delayed developmental landmarks). These effects were not observed in a pre- and postnatal rat study when up to 200 mg/kg/day of azithromycin was given orally beginning on day 15 of pregnancy until weaning.

8.2 Lactation

Risk Summary

Azithromycin is present in human milk (see Data). Non-serious adverse reactions have been reported in breastfed infants after maternal administration of azithromycin (see Clinical Considerations). There are no available data on the effects of azithromycin on milk production. The developmental and health benefits of breastfeeding should be considered along with the mother’s clinical need for azithromycin and any potential adverse effects on the breastfed infant from azithromycin or from the underlying maternal condition.

Clinical Considerations

Advise women to monitor the breastfed infant for diarrhea, vomiting, or rash.

Data

Azithromycin breastmilk concentrations were measured in 20 women after receiving a single 2 g oral dose of azithromycin during labor. Breastmilk samples collected on days 3 and 6 postpartum as well as 2 and 4 weeks postpartum revealed the presence of azithromycin in breastmilk up to 4 weeks after dosing. In another study, a single dose of azithromycin 500 mg was administered intravenously to 8 women prior to incision for cesarean section. Breastmilk (colostrum) samples obtained between 12 and 48 hours after dosing revealed that azithromycin persisted in breastmilk up to 48 hours.

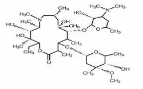
11 Description

Azithromycin Tablets, USP contain the active ingredient azithromycin, USP, a macrolide antibacterial drug, for oral administration. Azithromycin, USP has the chemical name (2 R,3 S,4 R,5 R,8 R,10 R,11 R,12 S,13 S,14 R)-13-[(2,6-dideoxy-3- C-methyl-3- O-methyl-α-L- ribo-hexopyranosyl) oxy]-2-ethyl-3,4,10-trihydroxy-3,5,6,8,10,12,14-heptamethyl-11-[[3,4,6-trideoxy-3-(dimethylamino)-β-D- xylo-hexopyranosyl]oxy]-1-oxa-6-azacyclopentadecan-15-one. Azithromycin, USP is derived from erythromycin; however, it differs chemically from erythromycin in that a methyl-substituted nitrogen atom is incorporated into the lactone ring.

Azithromycin, USP has the following structural formula:

C 38H 72N 2O 12M.W. 749

Azithromycin, USP, as the monohydrate, is a white crystalline powder with a molecular formula of C 38H 72N 2O 12•H 2O and a molecular weight of 767.

Azithromycin Tablets, USP are supplied for oral administration as tablets containing azithromycin monohydrate equivalent to 500 mg azithromycin, USP and the following inactive ingredients: corn starch, dibasic calcium phosphate anhydrous, croscarmellose sodium, FD&C Blue #2, hypromellose, lactose monohydrate, magnesium stearate, microcrystalline cellulose, polyethylene glycol, sodium citrate, sodium lauryl sulfate, and titanium dioxide.

7.1 Nelfinavir

Coadministration of nelfinavir at steady-state with a single oral dose of azithromycin resulted in increased azithromycin serum concentrations. Although a dose adjustment of azithromycin is not recommended when administered in combination with nelfinavir, close monitoring for known adverse reactions of azithromycin, such as liver enzyme abnormalities and hearing impairment, is warranted [see Adverse Reactions ( 6)].

12.4 Microbiology

Mechanism of Action

Azithromycin acts by binding to the 23S rRNA of the 50S ribosomal subunit of susceptible microorganisms inhibiting bacterial protein synthesis and impeding the assembly of the 50S ribosomal subunit.

Resistance

Azithromycin demonstrates cross resistance with erythromycin. The most frequently encountered mechanism of resistance to azithromycin is modification of the 23S rRNA target, most often by methylation. Ribosomal modifications can determine cross resistance to other macrolides, lincosamides, and streptogramin B (MLS Bphenotype).

Antimicrobial Activity

Azithromycin has been shown to be active against most isolates of the following microorganisms, both in vitroand in clinical infections [see Indications and Usage ( 1)].

Gram-Positive Bacteria

Staphylococcus aureus

Streptococcus agalactiae

Streptococcus pneumoniae

Streptococcus pyogenes

Gram-Negative Bacteria

Haemophilus ducreyi

Haemophilus influenzae

Moraxella catarrhalis

Neisseria gonorrhoeae

Other Bacteria

Chlamydophila pneumoniae

Chlamydia trachomatis

Mycoplasma pneumoniae

The following in vitrodata are available, but their clinical significance is unknown. At least 90 percent of the following bacteria exhibit an in vitrominimum inhibitory concentration (MIC) less than or equal to the susceptible breakpoint for azithromycin against isolates of similar genus or organism group. However, the efficacy of azithromycin in treating clinical infections caused by these bacteria has not been established in adequate and well-controlled clinical trials.

Gram-Positive Bacteria

Beta-hemolytic streptococci (Groups C, F, G)

Viridans group streptococci

Gram-Negative Bacteria

Bordetella pertussis

Legionella pneumophila

Anaerobic Bacteria

Prevotella bivia

Peptostreptococcus species

Other Bacteria

Ureaplasma urealyticum

Susceptibility Testing

For specific information regarding susceptibility test interpretive criteria and associated test methods and quality control standards recognized by FDA for this drug, please see: https://www.fda.gov/STIC.

8.4 Pediatric Use

[see Clinical Pharmacology ( 12.3), Indications and Usage ( 1.2), and Dosage and Administration ( 2.2)]

Safety and effectiveness in the treatment of pediatric patients with acute otitis media, acute bacterial sinusitis and community-acquired pneumonia under 6 months of age have not been established. Use of azithromycin for the treatment of acute bacterial sinusitis and community-acquired pneumonia in pediatric patients (6 months of age or greater) is supported by adequate and well-controlled trials in adults.

Pharyngitis/Tonsillitis:Safety and effectiveness in the treatment of pediatric patients with pharyngitis/tonsillitis under 2 years of age have not been established.

8.5 Geriatric Use

In multiple-dose clinical trials of oral azithromycin, 9% of patients were at least 65 years of age (458/4949) and 3% of patients (144/4949) were at least 75 years of age. No overall differences in safety or effectiveness were observed between these subjects and younger subjects, and other reported clinical experience has not identified differences in response between the elderly and younger patients, but greater sensitivity of some older individuals cannot be ruled out.

Elderly patients may be more susceptible to development of torsades de pointes arrhythmias than younger patients [see Warnings and Precautions ( 5.4 )].

Azithromycin tablets, 250 mg contain 0.36 mg of sodium per tablet.

Azithromycin tablets, 500 mg contain 0.73 mg of sodium per tablet.

1.1 Adult Patients
  • Acute bacterial exacerbations of chronic bronchitis due to Haemophilus influenzae, Moraxella catarrhalis,or Streptococcus pneumoniae.
  • Acute bacterial sinusitis due to Haemophilus influenzae, Moraxella catarrhalis,or Streptococcus pneumoniae.
  • Community-acquired pneumonia due to Chlamydophila pneumoniae, Haemophilus influenzae, Mycoplasma pneumoniae,or Streptococcus pneumoniaein patients appropriate for oral therapy.
  • Pharyngitis/tonsillitis caused by Streptococcus pyogenesas an alternative to first-line therapy in individuals who cannot use first-line therapy.
  • Uncomplicated skin and skin structure infections due to Staphylococcus aureus, Streptococcus pyogenes, or Streptococcus agalactiae.
  • Urethritis and cervicitis due to Chlamydia trachomatisor Neisseria gonorrhoeae.
  • Genital ulcer disease in men due to Haemophilus ducreyi(chancroid). Due to the small number of women included in clinical trials, the efficacy of azithromycin in the treatment of chancroid in women has not been established.
2.1 Adult Patients

[see Indications and Usage ( 1.1) and Clinical Pharmacology ( 12.3)]

Infection*

Recommended Dose/Duration of Therapy

Community-acquired pneumonia

Pharyngitis/tonsillitis (second-line therapy)

Skin/skin structure (uncomplicated)

500 mg as a single dose on Day 1, followed by 250 mg once daily on Days 2 through 5

Acute bacterial exacerbations of chronic obstructive pulmonary disease

500 mg once daily for 3 days

OR

500 mg as a single dose on Day 1, followed by 250 mg once daily on Days 2 through 5

Acute bacterial sinusitis

500 mg once daily for 3 days

Genital ulcer disease (chancroid)

One single 1 gram dose

Non-gonococcal urethritis and cervicitis

One single 1 gram dose

Gonococcal urethritis and cervicitis

One single 2 gram dose

*DUE TO THE INDICATED ORGANISMS [see Indications and Usage ( 1.1)]

Azithromycin tablets can be taken with or without food.

5.2 Hepatotoxicity

Abnormal liver function, hepatitis, cholestatic jaundice, hepatic necrosis, and hepatic failure have been reported, some of which have resulted in death. Discontinue azithromycin immediately if signs and symptoms of hepatitis occur.

14.1 Adult Patients

Acute Bacterial Exacerbations of Chronic Bronchitis

In a randomized, double-blind controlled clinical trial of acute exacerbation of chronic bronchitis (AECB), azithromycin (500 mg once daily for 3 days) was compared with clarithromycin (500 mg twice daily for 10 days). The primary endpoint of this trial was the clinical cure rate at Days 21 to 24. For the 304 patients analyzed in the modified intent-to-treat analysis at the Days 21 to 24 visit, the clinical cure rate for 3 days of azithromycin was 85% (125/147) compared to 82% (129/157) for 10 days of clarithromycin.

The following outcomes were the clinical cure rates at the Days 21 to 24 visit for the bacteriologically evaluable patients by pathogen:

Pathogen

Azithromycin (3 Days)

Clarithromycin (10 Days)

S. pneumoniae

29/32 (91%)

21/27 (78%)

H. influenzae

12/14 (86%)

14/16 (88%)

M. catarrhalis

11/12 (92%)

12/15 (80%)



Acute Bacterial Sinusitis

In a randomized, double-blind, double-dummy controlled clinical trial of acute bacterial sinusitis, azithromycin (500 mg once daily for 3 days) was compared with amoxicillin/clavulanate (500/125 mg three times a day for 10 days). Clinical response assessments were made at Day 10 and Day 28. The primary endpoint of this trial was prospectively defined as the clinical cure rate at Day 28. For the 594 patients analyzed in the modified intent to treat analysis at the Day 10 visit, the clinical cure rate for 3 days of azithromycin was 88% (268/303) compared to 85% (248/291) for 10 days of amoxicillin/clavulanate. For the 586 patients analyzed in the modified intent to treat analysis at the Day 28 visit, the clinical cure rate for 3 days of azithromycin was 71.5% (213/298) compared to 71.5% (206/288), with a 97.5% confidence interval of –8.4 to 8.3, for 10 days of amoxicillin/clavulanate.

In an open label, non-comparative study requiring baseline transantral sinus punctures, the following outcomes were the clinical success rates at the Day 7 and Day 28 visits for the modified intent to treat patients administered 500 mg of azithromycin once daily for 3 days with the following pathogens:

Clinical Success Rates of Azithromycin (500 mg per day for 3 Days)

Pathogen

Day 7

Day 28

S. pneumoniae

23/26 (88%)

21/25 (84%)

H. influenzae

28/32 (87%)

24/32 (75%)

M. catarrhalis

14/15 (93%)

13/15 (87%)

4 Contraindications
  • Patients with known hypersensitivity to azithromycin, erythromycin, any macrolide or ketolide drug. ( 4.1)
  • Patients with a history of cholestatic jaundice/hepatic dysfunction associated with prior use of azithromycin. ( 4.2)
5.4 Qt Prolongation

Prolonged cardiac repolarization and QT interval, imparting a risk of developing cardiac arrhythmia and torsades de pointes, have been seen with treatment with macrolides, including azithromycin. Cases of torsades de pointes have been spontaneously reported during postmarketing surveillance in patients receiving azithromycin. Providers should consider the risk of QT prolongation which can be fatal when weighing the risks and benefits of azithromycin for at-risk groups including:

  • patients with known prolongation of the QT interval, a history of torsades de pointes, congenital long QT syndrome, bradyarrhythmias or uncompensated heart failure
  • patients on drugs known to prolong the QT interval
  • patients with ongoing proarrhythmic conditions such as uncorrected hypokalemia or hypomagnesemia, clinically significant bradycardia, and in patients receiving Class IA (quinidine, procainamide) or Class III (dofetilide, amiodarone, sotalol) antiarrhythmic agents.

Elderly patients may be more susceptible to drug-associated effects on the QT interval.

6 Adverse Reactions

The following clinically significant adverse reactions are described elsewhere in labeling:

  • Hypersensitivity [see Warnings and Precautions ( 5.1)]
  • Hepatotoxicity [see Warnings and Precautions ( 5.2)]
  • Infantile Hypertrophic Pyloric Stenosis (IHPS) [see Warnings and Precautions ( 5.3)]
  • QT Prolongation [see Warnings and Precautions ( 5.4)]
  • Cardiovascular Death [see Warnings and Precautions ( 5.5)]
  • Clostridioides difficile-Associated Diarrhea (CDAD) [see Warnings and Precautions ( 5.6)]
  • Exacerbation of Myasthenia Gravis [see Warnings and Precautions ( 5.7)]
7 Drug Interactions
  • Nelfinavir: Close monitoring for known adverse reactions of azithromycin, such as liver enzyme abnormalities and hearing impairment, is warranted. ( 7.1)
  • Warfarin: Use with azithromycin may increase coagulation times; monitor prothrombin time. ( 7.2)
4.1 Hypersensitivity

Azithromycin tablets are contraindicated in patients with known hypersensitivity to azithromycin, erythromycin, any macrolide or ketolide drug.

5.1 Hypersensitivity

Serious allergic reactions, including angioedema, anaphylaxis, and dermatologic reactions including Acute Generalized Exanthematous Pustulosis (AGEP), Stevens-Johnson syndrome, and toxic epidermal necrolysis have been reported in patients on azithromycin therapy [see Contraindications ( 4.1)] .

Fatalities have been reported. Cases of Drug Reaction with Eosinophilia and Systemic Symptoms (DRESS) have also been reported. Despite initially successful symptomatic treatment of the allergic symptoms, when symptomatic therapy was discontinued, the allergic symptoms recurred soon thereafter in some patients without further azithromycin exposure. These patients required prolonged periods of observation and symptomatic treatment. The relationship of these episodes to the long tissue half-life of azithromycin and subsequent prolonged exposure to antigen is presently unknown.

If an allergic reaction occurs, the drug should be discontinued and appropriate therapy should be instituted. Physicians should be aware that allergic symptoms may reappear when symptomatic therapy has been discontinued.

12.2 Pharmacodynamics

Based on animal models of infection, the antibacterial activity of azithromycin appears to correlate with the ratio of area under the concentration-time curve to minimum inhibitory concentration (AUC/MIC) for certain pathogens ( S. pneumoniaeand S. aureus). The principal pharmacokinetic/pharmacodynamic parameter best associated with clinical and microbiological cure has not been elucidated in clinical trials with azithromycin.

Cardiac Electrophysiology

QTc interval prolongation was studied in a randomized, placebo-controlled parallel trial in 116 healthy subjects who received either chloroquine (1000 mg) alone or in combination with oral azithromycin (500 mg, 1000 mg, and 1500 mg once daily). Coadministration of azithromycin increased the QTc interval in a dose- and concentration-dependent manner. In comparison to chloroquine alone, the maximum mean (95% upper confidence bound) increases in QTcF were 5 (10) ms, 7 (12) ms and 9 (14) ms with the coadministration of 500 mg, 1000 mg and 1500 mg azithromycin, respectively.

12.3 Pharmacokinetics

Following oral administration of a single 500 mg dose (two 250 mg tablets) to 36 fasted healthy male volunteers, the mean (SD) pharmacokinetic parameters were AUC 0-72= 4.3 (1.2) mcg·hr/mL; C max= 0.5 (0.2) mcg/mL; T max= 2.2 (0.9) hours. Two azithromycin 250 mg tablets are bioequivalent to a single 500 mg tablet.

In a two-way crossover study, 12 adult healthy volunteers (6 males, 6 females) received 1500 mg of azithromycin administered in single daily doses over either 5 days (two 250 mg tablets on day 1, followed by one 250 mg tablet on days 2 to 5) or 3 days (500 mg per day for days 1 to 3). Due to limited serum samples on day 2 (3 day regimen) and days 2 to 4 (5 day regimen), the serum concentration-time profile of each subject was fit to a 3 compartment model and the AUC 0-∞for the fitted concentration profile was comparable between the 5 day and 3 day regimens.

3 Day Regimen

5 Day Regimen

Pharmacokinetic Parameter [mean (SD)]

Day 1

Day 3

Day 1

Day 5

C max(serum, mcg/mL)

0.44 (0.22)

0.54 (0.25)

0.43 (0.20)

0.24 (0.06)

Serum AUC 0-∞(mcg·hr/mL)

17.4 (6.2)*

14.9 (3.1)*

Serum T 1/2

71.8 hr

68.9 hr

*Total AUC for the entire 3 day and 5 day regimens. 

Absorption

The absolute bioavailability of azithromycin 250 mg capsules is 38%.

In a two-way crossover study in which 12 healthy subjects received a single 500 mg dose of azithromycin (two 250 mg tablets) with or without a high fat meal, food was shown to increase C maxby 23% but had no effect on AUC.

When azithromycin oral suspension was administered with food to 28 adult healthy male subjects, C maxincreased by 56% and AUC was unchanged.

Distribution

The serum protein binding of azithromycin is variable in the concentration range approximating human exposure, decreasing from 51% at 0.02 mcg/mL to 7% at 2 mcg/mL.

The antibacterial activity of azithromycin is pH related and appears to be reduced with decreasing pH. However, the extensive distribution of drug to tissues may be relevant to clinical activity.

Azithromycin has been shown to penetrate into human tissues, including skin, lung, tonsil, and cervix. Extensive tissue distribution was confirmed by examination of additional tissues and fluids (bone, ejaculum, prostate, ovary, uterus, salpinx, stomach, liver, and gallbladder). As there are no data from adequate and well-controlled studies of azithromycin treatment of infections in these additional body sites, the clinical significance of these tissue concentration data is unknown.

Following a regimen of 500 mg on the first day and 250 mg daily for 4 days, very low concentrations were noted in cerebrospinal fluid (less than 0.01 mcg/mL) in the presence of noninflamed meninges.

Metabolism

In vitroand in vivostudies to assess the metabolism of azithromycin have not been performed.

Elimination

Plasma concentrations of azithromycin following single 500 mg oral and IV doses declined in a polyphasic pattern resulting in a mean apparent plasma clearance of 630 mL/min and terminal elimination half-life of 68 hr. The prolonged terminal half-life is thought to be due to extensive uptake and subsequent release of drug from tissues. Biliary excretion of azithromycin, predominantly as unchanged drug, is a major route of elimination. Over the course of a week, approximately 6% of the administered dose appears as unchanged drug in urine.

Specific Populations

Patients with Renal Impairment

Azithromycin pharmacokinetics was investigated in 42 adults (21 to 85 years of age) with varying degrees of renal impairment. Following the oral administration of a single 1.0 g dose of azithromycin (4 x 250 mg capsules), mean C maxand AUC 0-120increased by 5.1% and 4.2%, respectively, in subjects with mild to moderate renal impairment (GFR 10 to 80 mL/min) compared to subjects with normal renal function (GFR > 80 mL/min). The mean C maxand AUC 0-120increased 61% and 35%, respectively, in subjects with severe renal impairment (GFR < 10 mL/min) compared to subjects with normal renal function (GFR > 80 mL/min).

Patients with Hepatic Impairment

The pharmacokinetics of azithromycin in subjects with hepatic impairment has not been established.

Male and Female Patients

There are no significant differences in the disposition of azithromycin between male and female subjects. No dosage adjustment is recommended based on gender.

Geriatric Patients

Pharmacokinetic parameters in older volunteers (65 to 85 years old) were similar to those in young adults (18 to 40 years old) for the 5 day therapeutic regimen. Dosage adjustment does not appear to be necessary for older patients with normal renal and hepatic function receiving treatment with this dosage regimen [see Geriatric Use ( 8.5)] .

Pediatric Patients

In two clinical studies, azithromycin for oral suspension was dosed at 10 mg/kg on day 1, followed by 5 mg/kg on days 2 through 5 in two groups of pediatric patients (aged 1 to 5 years and 5 to 15 years, respectively). The mean pharmacokinetic parameters on day 5 were C max= 0.216 mcg/mL, T max= 1.9 hr, and AUC 0-24= 1.822 mcg·hr/mL for the 1 to 5 year-old group and were C max= 0.383 mcg/mL, T max= 2.4 hr, and AUC 0-24= 3.109 mcg·hr/mL for the 5 to 15 year-old group.

In another study, 33 pediatric patients received doses of 12 mg/kg/day (maximum daily dose 500 mg) for 5 days, of whom 31 patients were evaluated for azithromycin pharmacokinetics following a low fat breakfast. In this study, azithromycin concentrations were determined over a 24 hr period following the last daily dose. Patients weighing above 41.7 kg received the maximum adult daily dose of 500 mg. Seventeen patients (weighing 41.7 kg or less) received a total dose of 60 mg/kg. The following table shows pharmacokinetic data in the subset of pediatric patients who received a total dose of 60 mg/kg.

Pharmacokinetic Parameter [mean (SD)]

5 Day Regimen (12 mg/kg for 5 days)

N

17

C max(mcg/mL)

0.5 (0.4)

T max(hr)

2.2 (0.8)

AUC 0-24(mcg·hr/mL)

3.9 (1.9)



Single dose pharmacokinetics of azithromycin in pediatric patients given doses of 30 mg/kg have not been studied [see Dosage and Administration ( 2)] .

Drug Interaction Studies

Drug interaction studies were performed with azithromycin and other drugs likely to be coadministered. The effects of coadministration of azithromycin on the pharmacokinetics of other drugs are shown in Table 1and the effects of other drugs on the pharmacokinetics of azithromycin are shown in Table 2.

Coadministration of azithromycin at therapeutic doses had a modest effect on the pharmacokinetics of the drugs listed in Table 1. No dosage adjustment of drugs listed in Table 1is recommended when coadministered with azithromycin.

Coadministration of azithromycin with efavirenz or fluconazole had a modest effect on the pharmacokinetics of azithromycin. Nelfinavir significantly increased the C maxand AUC of azithromycin. No dosage adjustment of azithromycin is recommended when administered with drugs listed in Table 2 [see Drug Interactions ( 7.3)] .

Table 1. Drug Interactions: Pharmacokinetic Parameters for Coadministered Drugs in the Presence of Azithromycin

Coadministered Drug

Dose of Coadministered Drug

Dose of Azithromycin

n

Ratio (with/without azithromycin) of Coadministered Drug Pharmacokinetic Parameters (90% CI); No Effect = 1.00

Mean C max

Mean AUC

Atorvastatin

10 mg/day for 8 days

500 mg/day orally on days 6 to 8

12

0.83

(0.63 to 1.08)

1.01

(0.81 to 1.25)

Carbamazepine

200 mg/day for 2 days, then 200 mg twice a day for 18 days

500 mg/day orally for days 16 to 18

7

0.97

(0.88 to 1.06)

0.96

(0.88 to 1.06)

Cetirizine

20 mg/day for 11 days

500 mg orally on day 7, then 250 mg/day on days 8 to 11

14

1.03

(0.93 to 1.14)

1.02

(0.92 to 1.13)

Didanosine

200 mg orally twice a day for 21 days

1200 mg/day orally on days 8 to 21

6

1.44

(0.85 to 2.43)

1.14

(0.83 to 1.57)

Efavirenz

400 mg/day for 7 days

600 mg orally on day 7

14

1.04*

0.95*

Fluconazole

200 mg orally single dose

1200 mg orally single dose

18

1.04

(0.98 to 1.11)

1.01

(0.97 to 1.05)

Indinavir

800 mg three times a day for 5 days

1200 mg orally on day 5

18

0.96

(0.86 to 1.08)

0.90

(0.81 to 1.00)

Midazolam

15 mg orally on day 3

500 mg/day orally for 3 days

12

1.27

(0.89 to 1.81)

1.26

(1.01 to 1.56)

Nelfinavir

750 mg three times a day for 11 days

1200 mg orally on day 9

14

0.90

(0.81 to 1.01)

0.85

(0.78 to 0.93)

Sildenafil

100 mg on days 1 and 4

500 mg/day orally for 3 days

12

1.16

(0.86 to 1.57)

0.92

(0.75 to 1.12)

Theophylline

4 mg/kg IV on days 1, 11, 25

500 mg orally on day 7, 250 mg/day on days 8 to 11

10

1.19

(1.02 to 1.40)

1.02

(0.86 to 1.22)

Theophylline

300 mg orally twice a day for 15 days

500 mg orally on day 6, then 250 mg/day on days 7 to 10

8

1.09

(0.92 to 1.29)

1.08

(0.89 to 1.31)

Triazolam

0.125 mg on day 2

500 mg orally on day 1, then 250 mg/day on day 2

12

1.06*

1.02*

Trimethoprim/ Sulfamethoxazole

160 mg/800 mg/day orally for 7 days

1200 mg orally on day 7

12

0.85

(0.75 to 0.97)/

0.90

(0.78 to 1.03)

0.87

(0.80 to 0.95)/0.96

(0.88 to 1.03)

Zidovudine

500 mg/day orally for 21 days

600 mg/day orally for 14 days

5

1.12

(0.42 to 3.02)

0.94

(0.52 to 1.70)

Zidovudine

500 mg/day orally for 21 days

1200 mg/day orally for 14 days

4

1.31

(0.43 to 3.97)

1.30

(0.69 to 2.43)

* - 90% Confidence interval not reported 
Table 2. Drug Interactions: Pharmacokinetic Parameters for Azithromycin in the Presence of Coadministered Drugs [see Drug Interactions ( 7)].

Coadministered Drug

Dose of Coadministered Drug

Dose of Azithromycin

n

Ratio (with/without coadministered drug) of Azithromycin Pharmacokinetic Parameters (90% CI); No Effect = 1.00

Mean C max

Mean AUC

Efavirenz

400 mg/day for 7 days

600 mg orally on day 7

14

1.22

(1.04 to 1.42)

0.92*

Fluconazole

200 mg orally single dose

1200 mg orally single dose

18

0.82

(0.66 to 1.02)

1.07

(0.94 to 1.22)

Nelfinavir

750 mg three times a day for 11 days

1200 mg orally on day 9

14

2.36

(1.77 to 3.15)

2.12

(1.80 to 2.50)

* - 90% Confidence interval not reported 
1.2 Pediatric Patients

[see Use in Specific Populations ( 8.4) and Clinical Studies ( 14.2)]

  • Acute otitis media (> 6 months of age) caused by Haemophilus influenzae, Moraxella catarrhalis,or Streptococcus pneumoniae.
  • Community-acquired pneumonia (> 6 months of age) due to Chlamydophila pneumoniae, Haemophilus influenzae, Mycoplasma pneumoniae , or  Streptococcus pneumoniaein patients appropriate for oral therapy.
  • Pharyngitis/tonsillitis (> 2 years of age)caused by Streptococcus pyogenesas an alternative to first-line therapy in individuals who cannot use first-line therapy.
1.3 Limitations of Use

Azithromycin should not be used in patients with pneumonia who are judged to be inappropriate for oral therapy because of moderate to severe illness or risk factors such as any of the following:

  • patients with cystic fibrosis,
  • patients with nosocomial infections,
  • patients with known or suspected bacteremia,
  • patients requiring hospitalization,
  • elderly or debilitated patients, or
  • patients with significant underlying health problems that may compromise their ability to respond to their illness (including immunodeficiency or functional asplenia).
1 Indications and Usage

Azithromycin tablets are a macrolide antibacterial drug indicated for the treatment of patients with mild to moderate infections caused by susceptible strains of the designated microorganisms in the specific conditions listed below. Recommended dosages and durations of therapy in adult and pediatric patient populations vary in these indications [see Dosage and Administration ( 2)].

14.2 Pediatric Patients

From the perspective of evaluating pediatric clinical trials, Days 11 to 14 were considered on-therapy evaluations because of the extended half-life of azithromycin. Days 11 to 14 data are provided for clinical guidance. Days 24 to 32 evaluations were considered the primary test of cure endpoint.

Pharyngitis/Tonsillitis

In three double-blind controlled studies, conducted in the United States, azithromycin (12 mg/kg once a day for 5 days) was compared to penicillin V (250 mg three times a day for 10 days) in the treatment of pharyngitis due to documented Group A β-hemolytic streptococci(GABHS or S. pyogenes). Azithromycin was clinically and microbiologically statistically superior to penicillin at Day 14 and Day 30 with the following clinical success (i.e., cure and improvement) and bacteriologic efficacy rates (for the combined evaluable patient with documented GABHS):

Three U.S. Streptococcal Pharyngitis Studies

Azithromycin vs. Penicillin V

EFFICACY RESULTS

Day 14

Day 30

Bacteriologic Eradication:

Azithromycin

323/340 (95%)

255/330 (77%)

Penicillin V

242/332 (73%)

206/325 (63%)

Clinical Success (cure plus improvement):

Azithromycin

336/343 (98%)

310/330 (94%)

Penicillin V

284/338 (84%)

241/325 (74%)



Approximately 1% of azithromycin-susceptible S. pyogenesisolates were resistant to azithromycin following therapy.

Acute Otitis Media

Efficacy using azithromycin given over 5 days (10 mg/kg on Day 1 followed by 5 mg/kg on Days 2 to 5).

Trial 1

In a double-blind, controlled clinical study of acute otitis media performed in the United States, azithromycin (10 mg/kg on Day 1 followed by 5 mg/kg on Days 2 to 5) was compared to amoxicillin/clavulanate potassium (4:1). For the 553 patients who were evaluated for clinical efficacy, the clinical success rate (i.e., cure plus improvement) at the Day 11 visit was 88% for azithromycin and 88% for the control agent. For the 521 patients who were evaluated at the Day 30 visit, the clinical success rate was 73% for azithromycin and 71% for the control agent.

Trial 2

In a non-comparative clinical and microbiologic trial performed in the United States, where significant rates of beta-lactamase producing organisms (35%) were found, 131 patients were evaluable for clinical efficacy. The combined clinical success rate (i.e., cure and improvement) at the Day 11 visit was 84% for azithromycin. For the 122 patients who were evaluated at the Day 30 visit, the clinical success rate was 70% for azithromycin.

Microbiologic determinations were made at the pre-treatment visit. Microbiology was not reassessed at later visits. The following clinical success rates were obtained from the evaluable group:

Pathogen

Day 11

Azithromycin

Day 30

Azithromycin

S. pneumoniae

61/74 (82%)

40/56 (71%)

H. influenzae

43/54 (80%)

30/47 (64%)

M. catarrhalis

28/35 (80%)

19/26 (73%)

S. pyogenes

11/11 (100%)

7/7 (100%)

Overall

177/217 (82%)

97/137 (73%)



Trial 3

In another controlled comparative clinical and microbiologic study of otitis media performed in the United States, azithromycin (10 mg/kg on Day 1 followed by 5 mg/kg on Days 2 to 5) was compared to amoxicillin/clavulanate potassium (4:1). This study utilized two of the same investigators as Protocol 2 (above), and these two investigators enrolled 90% of the patients in Protocol 3. For this reason, Protocol 3 was not considered to be an independent study. Significant rates of beta-lactamase producing organisms (20%) were found. Ninety-two (92) patients were evaluable for clinical and microbiologic efficacy. The combined clinical success rate (i.e., cure and improvement) of those patients with a baseline pathogen at the Day 11 visit was 88% for azithromycin vs. 100% for control; at the Day 30 visit, the clinical success rate was 82% for azithromycin vs. 80% for control.

Microbiologic determinations were made at the pre-treatment visit. Microbiology was not reassessed at later visits. At the Day 11 and Day 30 visits, the following clinical success rates were obtained from the evaluable group:

Day 11

Day 30

Pathogen

Azithromycin

Control

Azithromycin

Control

S. pneumoniae

25/29 (86%)

26/26 (100%)

22/28 (79%)

18/22 (82%)

H. influenzae

9/11 (82%)

9/9 (100%)

8/10 (80%)

6/8 (75%)

M. catarrhalis

7/7 (100%)

5/5 (100%)

5/5 (100%)

2/3 (66%)

S. pyogenes

2/2 (100%)

5/5 (100%)

2/2 (100%)

4/4 (100%)

Overall

43/49 (88%)

45/45 (100%)

37/45 (82%)

30/37 (81%)



Efficacy using azithromycin given over 3 days (10 mg/kg/day).

Trial 4

In a double-blind, controlled, randomized clinical study of acute otitis media in pediatric patients from 6 months to 12 years of age, azithromycin (10 mg/kg per day for 3 days) was compared to amoxicillin/clavulanate potassium (7:1) in divided doses q12h for 10 days. Each patient received active drug and placebo matched for the comparator.

For the 366 patients who were evaluated for clinical efficacy at the Day 12 visit, the clinical success rate (i.e., cure plus improvement) was 83% for azithromycin and 88% for the control agent. For the 362 patients who were evaluated at the Days 24 to 28 visit, the clinical success rate was 74% for azithromycin and 69% for the control agent.

Efficacy using azithromycin 30 mg/kg given as a single dose.

Trial 5

A double-blind, controlled, randomized trial was performed at nine clinical centers. Pediatric patients from 6 months to 12 years of age were randomized 1:1 to treatment with either azithromycin (given at 30 mg/kg as a single dose on Day 1) or amoxicillin/clavulanate potassium (7:1), divided q12h for 10 days. Each child received active drug, and placebo matched for the comparator.

Clinical response (Cure, Improvement, Failure) was evaluated at End of Therapy (Days 12 to 16) and Test of Cure (Days 28 to 32). Safety was evaluated throughout the trial for all treated subjects. For the 321 subjects who were evaluated at End of Treatment, the clinical success rate (cure plus improvement) was 87% for azithromycin, and 88% for the comparator. For the 305 subjects who were evaluated at Test of Cure, the clinical success rate was 75% for both azithromycin and the comparator.

Trial 6

In a non-comparative clinical and microbiological trial, 248 patients from 6 months to 12 years of age with documented acute otitis media were dosed with a single oral dose of azithromycin (30 mg/kg on Day 1).

For the 240 patients who were evaluable for clinical modified Intent-to-Treat (MITT) analysis, the clinical success rate (i.e., cure plus improvement) at Day 10 was 89% and for the 242 patients evaluable at Days 24 to 28, the clinical success rate (cure) was 85%.

Presumed Bacteriologic Eradication

Day 10

Days 24 to 28

S. pneumoniae

70/76 (92%)

67/76 (88%)

H. influenzae

30/42 (71%)

28/44 (64%)

M. catarrhalis

10/10 (100%)

10/10 (100%)

Overall

110/128 (86%)

105/130 (81%)

4.2 Hepatic Dysfunction

Azithromycin tablets are contraindicated in patients with a history of cholestatic jaundice/hepatic dysfunction associated with prior use of azithromycin.

12.1 Mechanism of Action

Azithromycin is a macrolide antibacterial drug [see Microbiology ( 12.4)].

2.2 Pediatric Patients 1

Infection*

Recommended Dose/Duration of Therapy

Acute otitis media

30 mg/kg as a single dose or 10 mg/kg once daily for 3 days or 10 mg/kg as a single dose on Day 1 followed by 5 mg/kg/day on Days 2 through 5.

Acute bacterial sinusitis

10 mg/kg once daily for 3 days.

Community-acquired pneumonia

10 mg/kg as a single dose on Day 1 followed by 5 mg/kg once daily on Days 2 through 5.

Pharyngitis/tonsillitis

12 mg/kg once daily for 5 days.

*DUE TO THE INDICATED ORGANISMS [see Indications and Usage ( 1.2)]

1see dosing tables below for maximum doses evaluated by indication

Azithromycin for oral suspension can be taken with or without food.

PEDIATRIC DOSAGE GUIDELINES FOR OTITIS MEDIA, ACUTE BACTERIAL SINUSITIS, AND COMMUNITY-ACQUIRED PNEUMONIA

(Age 6 months and above, [see Use in Specific Populations ( 8.4)] )

Based on Body Weight

OTITIS MEDIA AND COMMUNITY-ACQUIRED PNEUMONIA: (5 Day Regimen)*

Dosing Calculated on 10 mg/kg/day Day 1 and 5 mg/kg/day Days 2 to 5.

Weight

100 mg/5 mL

200 mg/5 mL

Total mL per Treatment Course

Total mg per Treatment Course

Kg

Day 1

Days 2 to 5

Day 1

Days 2 to 5

5

2.5 mL; (½ tsp)

1.25 mL; (¼ tsp)

7.5 mL

150 mg

10

5 mL; (1 tsp)

2.5 mL; (½ tsp)

15 mL

300 mg

20

5 mL; (1 tsp)

2.5 mL;

(½ tsp)

15 mL

600 mg

30

7.5 mL; (1½ tsp)

3.75 mL;

(¾ tsp)

22.5 mL

900 mg

40

10 mL;

(2 tsp)

5 mL;

(1 tsp)

30 mL

1200 mg

50 and above

12.5 mL; (2½ tsp)

6.25 mL; (1¼ tsp)

37.5 mL

1500 mg

* Effectiveness of the 3 day or 1 day regimen in pediatric patients with community-acquired pneumonia has not been established.  

OTITIS MEDIA AND ACUTE BACTERIAL SINUSITIS: (3 Day Regimen)*

Dosing Calculated on 10 mg/kg/day.

Weight

100 mg/5 mL

200 mg/5 mL

Total mL per Treatment Course

Total mg per Treatment Course

Kg

Days 1 to 3

Days 1 to 3

5

2.5 mL;

(½ tsp)

7.5 mL

150 mg

10

5 mL;

(1 tsp)

15 mL

300 mg

20

5 mL

(1 tsp)

15 mL

600 mg

30

7.5 mL

(1½ tsp)

22.5 mL

900 mg

40

10 mL

(2 tsp)

30 mL

1200 mg

50 and above

12.5 mL

(2½ tsp)

37.5 mL

1500 mg

*Effectiveness of the 5 day or 1 day regimen in pediatric patients with acute bacterial sinusitis has not been established. 

OTITIS MEDIA: (1 Day Regimen)

Dosing Calculated on 30 mg/kg as a single dose.

Weight

200 mg/5 mL

Total mL per Treatment Course

Total mg per Treatment Course

Kg

1 Day Regimen

5

3.75 mL;

(¾ tsp)

3.75 mL  

150 mg  

10

7.5 mL;

(1½ tsp)

7.5 mL  

300 mg  

20

15 mL;

(3 tsp)

15 mL  

600 mg  

30

22.5 mL;

(4½ tsp)

22.5 mL  

900 mg  

40

30 mL;

(6 tsp)

  30 mL  

  1200 mg  

50 and above

37.5 mL;

(7½ tsp)

37.5 mL  

1500 mg

The safety of re-dosing azithromycin in pediatric patients who vomit after receiving 30 mg/kg as a single dose has not been established. In clinical studies involving 487 patients with acute otitis media given a single 30 mg/kg dose of azithromycin, 8 patients who vomited within 30 minutes of dosing were re-dosed at the same total dose.

Pharyngitis/Tonsillitis: The recommended dose of azithromycin for children with pharyngitis/tonsillitis is 12 mg/kg once daily for 5 days. (See chart below.)

PEDIATRIC DOSAGE GUIDELINES FOR PHARYNGITIS/TONSILLITIS

(Age 2 years and above, [see Use in Specific Populations ( 8.4)] )

Based on Body Weight

PHARYNGITIS/TONSILLITIS: (5 Day Regimen)

Dosing Calculated on 12 mg/kg/day for 5 days.

Weight

200 mg/5 mL

Total mL per Treatment Course

Total mg per Treatment Course

Kg

Day 1 to 5

8

2.5 mL;

(½ tsp)

12.5 mL

500 mg

17

5 mL;

(1 tsp)

25 mL

1000 mg

25

7.5 mL;

(1½ tsp)

37.5 mL

1500 mg

33

10 mL;

(2 tsp)

50 mL

2000 mg

40

12.5 mL;

(2½ tsp)

62.5 mL

2500 mg

5.5 Cardiovascular Death

Some observational studies have shown an approximately two-fold increased short-term potential risk of acute cardiovascular death in adults exposed to azithromycin relative to other antibacterial drugs, including amoxicillin. The five-day cardiovascular mortality observed in these studies ranged from 20 to 400 per million azithromycin treatment courses. This potential risk was noted to be greater during the first five days of azithromycin use and does not appear to be limited to those patients with preexisting cardiovascular diseases. The data in these observational studies are insufficient to establish or exclude a causal relationship between acute cardiovascular death and azithromycin use. Consider balancing this potential risk with treatment benefits when prescribing azithromycin.

5 Warnings and Precautions
  • Serious (including fatal) allergic and skin reactions: Discontinue azithromycin if reaction occurs. ( 5.1)
  • Hepatotoxicity: Severe, and sometimes fatal, hepatotoxicity has been reported. Discontinue azithromycin immediately if signs and symptoms of hepatitis occur. ( 5.2)
  • Infantile Hypertrophic Pyloric Stenosis (IHPS): Following the use of azithromycin in neonates (treatment up to 42 days of life), IHPS has been reported. Direct parents and caregivers to contact their physician if vomiting or irritability with feeding occurs. ( 5.3)
  • Prolongation of QT interval and cases of torsades de pointes have been reported. This risk which can be fatal should be considered in patients with certain cardiovascular disorders including known QT prolongation or history of torsades de pointes, those with proarrhythmic conditions, and with other drugs that prolong the QT interval. ( 5.4)
  • Cardiovascular Death: Some observational studies have shown an approximately two-fold increased short-term potential risk of acute cardiovascular death in adults exposed to azithromycin relative to other antibacterial drugs, including amoxicillin. Consider balancing this potential risk with treatment benefits when prescribing azithromycin. ( 5.5)
  • Clostridioides difficile-Associated Diarrhea: Evaluate patients if diarrhea occurs. ( 5.6)
  •  Azithromycin may exacerbate muscle weakness in persons with myasthenia gravis. ( 5.7)
2 Dosage and Administration
  • Adult Patients ( 2.1)

Infection

Recommended Dose/Duration of Therapy

Community-acquired pneumonia (mild severity)

Pharyngitis/tonsillitis (second-line therapy)

Skin/skin structure (uncomplicated)

500 mg as a single dose on Day 1, followed by 250 mg once daily on Days 2 through 5.

Acute bacterial exacerbations of chronic bronchitis (mild to moderate)

500 mg as a single dose on Day 1, followed by 250 mg once daily on Days 2 through 5 or 500 mg once daily for 3 days.

Acute bacterial sinusitis 

500 mg once daily for 3 days.

Genital ulcer disease (chancroid)

Non-gonococcal urethritis and cervicitis

One single 1 gram dose.

Gonococcal urethritis and cervicitis

One single 2 gram dose.

  • Pediatric Patients ( 2.2)

Infection

Recommended Dose/Duration of Therapy

Acute otitis media (6 months of age and older)

30 mg/kg as a single dose or 10 mg/kg once daily for 3 days or 10 mg/kg as a single dose on Day 1 followed by 5 mg/kg/day on Days 2 through 5.

Acute bacterial sinusitis (6 months of age and older) 

10 mg/kg once daily for 3 days.

Community-acquired pneumonia (6 months of age and older)

10 mg/kg as a single dose on Day 1 followed by 5 mg/kg once daily on Days 2 through 5.

Pharyngitis/tonsillitis (2 years of age and older)

12 mg/kg once daily for 5 days.

Package/label Display Panel

3 Dosage Forms and Strengths

Azithromycin Tablets USP, 500 mg are supplied as blue, capsule shaped, biconvex, film-coated tablets, debossed with “788” on one side and “PLIVA” on the other, containing azithromycin monohydrate equivalent to 500 mg of azithromycin, USP.

5.6 Clostridioides Difficile

Clostridioidesdifficile -associated diarrhea has been reported with use of nearly all antibacterial agents, including azithromycin, and may range in severity from mild diarrhea to fatal colitis. Treatment with antibacterial agents alters the normal flora of the colon, leading to overgrowth of C. difficile.

C. difficileproduces toxins A and B which contribute to the development of CDAD. Hypertoxin producing strains of C. difficilecause increased morbidity and mortality, as these infections can be refractory to antibacterial therapy and may require colectomy. CDAD must be considered in all patients who present with diarrhea following antibiotic use. Careful medical history is necessary since CDAD has been reported to occur over two months after the administration of antibacterial agents.

If CDAD is suspected or confirmed, ongoing antibiotic use not directed against C. difficilemay need to be discontinued. Appropriate fluid and electrolyte management, protein supplementation, antibiotic treatment of C. difficile, and surgical evaluation should be instituted as clinically indicated.

6.2 Postmarketing Experience

The following adverse reactions have been identified during post-approval use of azithromycin. Because these reactions are reported voluntarily from a population of uncertain size, it is not always possible to reliably estimate their frequency or establish a causal relationship to drug exposure.

Adverse reactions reported with azithromycin during the postmarketing period in adult and/or pediatric patients for which a causal relationship may not be established include:

Allergic:Arthralgia, edema, urticaria, and angioedema.

Cardiovascular:Arrhythmias including ventricular tachycardia and hypotension. There have been reports of QT prolongation, torsades de pointes, and cardiovascular death. 

Gastrointestinal:Anorexia, constipation, dyspepsia, flatulence, vomiting/diarrhea, pseudomembranous colitis, pancreatitis, oral candidiasis, pyloric stenosis, and reports of tongue discoloration.

General:Asthenia, paresthesia, fatigue, malaise, and anaphylaxis.

Genitourinary:Interstitial nephritis and acute renal failure and vaginitis.

Hematopoietic:Thrombocytopenia.

Liver/Biliary:Abnormal liver function, hepatitis, cholestatic jaundice, hepatic necrosis, and hepatic failure [see Warnings and Precautions ( 5.2)].

Nervous System:Convulsions, dizziness/vertigo, headache, somnolence, hyperactivity, nervousness, agitation, and syncope.

Psychiatric:Aggressive reaction and anxiety.

Skin/Appendages:Pruritus, serious skin reactions including erythema multiforme, AGEP, Stevens-Johnson syndrome, toxic epidermal necrolysis, and DRESS.

Special Senses:Hearing disturbances including hearing loss, deafness and/or tinnitus, and reports of taste/smell perversion and/or loss.

6.3 Laboratory Abnormalities

Adults:

Clinically significant abnormalities (irrespective of drug relationship) occurring during the clinical trials were reported as follows: with an incidence of greater than 1%: decreased hemoglobin, hematocrit, lymphocytes, neutrophils, and blood glucose; elevated serum creatine phosphokinase, potassium, ALT, GGT, AST, BUN, creatinine, blood glucose, platelet count, lymphocytes, neutrophils, and eosinophils; with an incidence of less than 1%: leukopenia, neutropenia, decreased sodium, potassium, platelet count, elevated monocytes, basophils, bicarbonate, serum alkaline phosphatase, bilirubin, LDH, and phosphate. The majority of subjects with elevated serum creatinine also had abnormal values at baseline. When follow-up was provided, changes in laboratory tests appeared to be reversible.

In multiple-dose clinical trials involving more than 5000 patients, four patients discontinued therapy because of treatment-related liver enzyme abnormalities and one because of a renal function abnormality.

Pediatric Patients:

One, Three, and Five Day Regimens

Laboratory data collected from comparative clinical trials employing two 3 day regimens (30 mg/kg or 60 mg/kg in divided doses over 3 days), or two 5 day regimens (30 mg/kg or 60 mg/kg in divided doses over 5 days) were similar for regimens of azithromycin and all comparators combined, with most clinically significant laboratory abnormalities occurring at incidences of 1 to 5%. Laboratory data for patients receiving 30 mg/kg as a single dose were collected in one single center trial. In that trial, an absolute neutrophil count between 500 to 1500 cells/mm 3was observed in 10/64 patients receiving 30 mg/kg as a single dose, 9/62 patients receiving 30 mg/kg given over 3 days, and 8/63 comparator patients. No patient had an absolute neutrophil count <500 cells/mm 3.

In multiple-dose clinical trials involving approximately 4700 pediatric patients, no patients discontinued therapy because of treatment-related laboratory abnormalities.

8 Use in Specific Populations
  • Pediatric use: Safety and effectiveness in the treatment of patients under 6 months of age have not been established. ( 8.4)
  • Geriatric use: Elderly patients may be more susceptible to development of torsades de pointes arrhythmias. ( 8.5)
6.1 Clinical Trials Experience

Because clinical trials are conducted under widely varying conditions, adverse reaction rates observed in the clinical trials of a drug cannot be directly compared to rates in the clinical trials of another drug and may not reflect the rates observed in practice.

In clinical trials, most of the reported side effects were mild to moderate in severity and were reversible upon discontinuation of the drug. Potentially serious adverse reactions of angioedema and cholestatic jaundice were reported. Approximately 0.7% of the patients (adults and pediatric patients) from the 5 day multiple-dose clinical trials discontinued azithromycin therapy because of treatment-related adverse reactions. In adults given 500 mg/day for 3 days, the discontinuation rate due to treatment-related adverse reactions was 0.6%. In clinical trials in pediatric patients given 30 mg/kg, either as a single dose or over 3 days, discontinuation from the trials due to treatment-related adverse reactions was approximately 1%. Most of the adverse reactions leading to discontinuation were related to the gastrointestinal tract, e.g., nausea, vomiting, diarrhea, or abdominal pain [see Clinical Studies ( 14.2)].

Adults

Multiple-dose regimens: Overall, the most common treatment-related adverse reactions in adult patients receiving multiple-dose regimens of azithromycin were related to the gastrointestinal system with diarrhea/loose stools (4 to 5%), nausea (3%), and abdominal pain (2 to 3%) being the most frequently reported.

No other adverse reactions occurred in patients on the multiple-dose regimens of azithromycin with a frequency greater than 1%. Adverse reactions that occurred with a frequency of 1% or less included the following:

Cardiovascular:Palpitations, chest pain.

Gastrointestinal:Dyspepsia, flatulence, vomiting, melena, and cholestatic jaundice.

Genitourinary:Monilia, vaginitis, and nephritis.

Nervous System:Dizziness, headache, vertigo, and somnolence.

General:Fatigue.

Allergic:Rash, pruritus, photosensitivity, and angioedema.

Single 1 gram dose regimen:

Overall, the most common adverse reactions in patients receiving a single-dose regimen of 1 gram of azithromycin were related to the gastrointestinal system and were more frequently reported than in patients receiving the multiple-dose regimen.

Adverse reactions that occurred in patients on the single 1 gram dosing regimen of azithromycin with a frequency of 1% or greater included diarrhea/loose stools (7%), nausea (5%), abdominal pain (5%), vomiting (2%), dyspepsia (1%), and vaginitis (1%).

Single 2 gram dose regimen:

Overall, the most common adverse reactions in patients receiving a single 2 gram dose of azithromycin were related to the gastrointestinal system. Adverse reactions that occurred in patients in this study with a frequency of 1% or greater included nausea (18%), diarrhea/loose stools (14%), vomiting (7%), abdominal pain (7%), vaginitis (2%), dyspepsia (1%), and dizziness (1%). The majority of these complaints were mild in nature.

Pediatric Patients

Single and Multiple-dose regimens: The types of adverse reactions in pediatric patients were comparable to those seen in adults, with different incidence rates for the dosage regimens recommended in pediatric patients.

Acute Otitis Media:For the recommended total dosage regimen of 30 mg/kg, the most frequent adverse reactions (≥ 1%) attributed to treatment were diarrhea, abdominal pain, vomiting, nausea, and rash [see Dosage and Administration ( 2) and Clinical Studies ( 14.2)] .

The incidence, based on dosing regimen, is described in the table below:

Dosage Regimen

Diarrhea %

Abdominal Pain %

Vomiting %

Nausea %

Rash %

1 day

4.3%

1.4%

4.9%

1.0%

1.0%

3 day

2.6%

1.7%

2.3%

0.4%

0.6%

5 day

1.8%

1.2%

1.1%

0.5%

0.4%



Community-Acquired Pneumonia:
For the recommended dosage regimen of 10 mg/kg on Day 1 followed by 5 mg/kg on Days 2 to 5, the most frequent adverse reactions attributed to treatment were diarrhea/loose stools, abdominal pain, vomiting, nausea, and rash.

The incidence is described in the table below:

Dosage Regimen

Diarrhea/Loose stools %

Abdominal Pain %

Vomiting %

Nausea %

Rash %

5 day

5.8%

1.9%

1.9%

1.9%

1.6%



Pharyngitis/Tonsillitis:
For the recommended dosage regimen of 12 mg/kg on Days 1 to 5, the most frequent adverse reactions attributed to treatment were diarrhea, vomiting, abdominal pain, nausea, and headache.

The incidence is described in the table below:

Dosage Regimen

Diarrhea %

Abdominal Pain %

Vomiting %

Nausea %

Rash %

Headache %

5 day

5.4%

3.4%

5.6%

1.8%

0.7%

1.1%



With any of the treatment regimens, no other adverse reactions occurred in pediatric patients treated with azithromycin with a frequency greater than 1%. Adverse reactions that occurred with a frequency of 1% or less included the following:

Cardiovascular:Chest pain.

Gastrointestinal:Dyspepsia, constipation, anorexia, enteritis, flatulence, gastritis, jaundice, loose stools, and oral moniliasis.

Hematologic and Lymphatic:Anemia and leukopenia.

Nervous System:Headache (otitis media dosage), hyperkinesia, dizziness, agitation, nervousness, and insomnia.

General:Fever, face edema, fatigue, fungal infection, malaise, and pain.

Allergic:Rash and allergic reaction.

Respiratory:Cough, pharyngitis, pleural effusion, and rhinitis.

Skin and Appendages:Eczema, fungal dermatitis, pruritus, sweating, urticaria, and vesiculobullous rash.

Special Senses:Conjunctivitis.

17 Patient Counseling Information

Advise the patient to read the FDA-approved patient labeling (Patient Information).

General Patient Counseling

Azithromycin tablets can be taken with or without food.

Patients should also be cautioned not to take aluminum- and magnesium-containing antacids and azithromycin simultaneously.

The patient should be directed to discontinue azithromycin immediately and contact a physician if any signs of an allergic reaction occur.

Direct parents or caregivers to contact their physician if vomiting and irritability with feeding occurs in the infant.

Patients should be counseled that antibacterial drugs including azithromycin should only be used to treat bacterial infections. They do not treat viral infections (e.g., the common cold). When azithromycin is prescribed to treat a bacterial infection, patients should be told that although it is common to feel better early in the course of the therapy, the medication should be taken exactly as directed. Skipping doses or not completing the full course of therapy may (1) decrease the effectiveness of the immediate treatment and (2) increase the likelihood that bacteria will develop resistance and will not be treatable by azithromycin or other antibacterial drugs in the future.

Diarrhea is a common problem caused by antibacterials which usually ends when the antibacterial is discontinued. Sometimes after starting treatment with antibacterials patients can develop watery and bloody stools (with or without stomach cramps and fever) even as late as two or more months after having taken the last dose of the antibacterial drug. If this occurs, patients should contact their physician as soon as possible.

Dispense with Patient Package Insert available at: www.tevausa.com/PatientPI

Distributed by:

Sportpharm

2237 N Commerce Parkway,

STE 1, Weston, Florida-33326

Relabeled by:

Enovachem PHARMACEUTICALS

Torrance, CA 90501

16 How Supplied/storage and Handling

Azithromycin Tablets USP, 500 mg are supplied as blue, capsule shaped, biconvex, film-coated tablets, debossed with “788” on one side and “PLIVA” on the other, containing azithromycin monohydrate equivalent to 500 mg of azithromycin, USP, available in boxes of 1 card x 3 tablets (NDC 85766-077-03 relabeled from NDC 50111-788-55), in a bundle of 3 boxes x 3 tablets (9) (NDC 85766-077-09 relabeled from NDC 50111-788-67), and in bottles of 30 tablets (NDC 85766-077-30 relabeled from NDC 50111-788-10).

Store at 20° to 25°C (68° to 77°F) [See USP Controlled Room Temperature].

Keep this and all medications out of the reach of children.

5.7 Exacerbation of Myasthenia Gravis

Exacerbation of symptoms of myasthenia gravis and new onset of myasthenic syndrome have been reported in patients receiving azithromycin therapy.

13.2 Animal Toxicology And/or Pharmacology

Phospholipidosis (intracellular phospholipid accumulation) has been observed in some tissues of mice, rats, and dogs given multiple doses of azithromycin. It has been demonstrated in numerous organ systems (e.g., eye, dorsal root ganglia, liver, gallbladder, kidney, spleen, and/or pancreas) in dogs and rats treated with azithromycin at doses which, expressed on the basis of body surface area, are similar to or less than the highest recommended adult human dose. This effect has been shown to be reversible after cessation of azithromycin treatment. Based on the pharmacokinetic data, phospholipidosis has been seen in the rat (50 mg/kg/day dose) at the observed maximal plasma concentration of 1.3 mcg/mL (1.6 times the observed C maxof 0.821 mcg/mL at the adult dose of 2 g). Similarly, it has been shown in the dog (10 mg/kg/day dose) at the observed maximal serum concentration of 1 mcg/mL (1.2 times the observed C maxof 0.821 mcg/mL at the adult dose of 2 g). Phospholipidosis was also observed in neonatal rats dosed for 18 days at 30 mg/kg/day, which is less than the pediatric dose of 60 mg/kg based on the surface area. It was not observed in neonatal rats treated for 10 days at 40 mg/kg/day with mean maximal serum concentrations of 1.86 mcg/mL, approximately 1.5 times the C maxof 1.27 mcg/mL at the pediatric dose. Phospholipidosis has been observed in neonatal dogs (10 mg/kg/day) at maximum mean whole blood concentrations of 3.54 mcg/mL, approximately 3 times the pediatric dose C max. The significance of these findings for animals and for humans is unknown.

5.8 Use in Sexually Transmitted Infections

Azithromycin, at the recommended dose, should not be relied upon to treat syphilis. Antibacterial agents used to treat non-gonococcal urethritis may mask or delay the symptoms of incubating syphilis. All patients with sexually transmitted urethritis or cervicitis should have a serologic test for syphilis and appropriate testing for gonorrhea performed at the time of diagnosis. Appropriate antibacterial therapy and follow-up tests for these diseases should be initiated if infection is confirmed.

5.9 Development of Drug Resistant Bacteria

Prescribing azithromycin in the absence of a proven or strongly suspected bacterial infection is unlikely to provide benefit to the patient and increases the risk of the development of drug-resistant bacteria.

5.3 Infantile Hypertrophic Pyloric Stenosis (ihps)

Following the use of azithromycin in neonates (treatment up to 42 days of life), IHPS has been reported. Direct parents and caregivers to contact their physician if vomiting or irritability with feeding occurs.

7.3 Potential Drug Drug Interaction With Macrolides

Interactions with digoxin, colchicine or phenytoin have not been reported in clinical trials with azithromycin. No specific drug interaction studies have been performed to evaluate potential drug-drug interaction. However, drug interactions have been observed with other macrolide products. Until further data are developed regarding drug interactions when digoxin, colchicine or phenytoin are used with azithromycin careful monitoring of patients is advised.

13.1 Carcinogenesis, Mutagenesis, Impairment of Fertility

Long-term studies in animals have not been performed to evaluate carcinogenic potential. Azithromycin has shown no mutagenic potential in standard laboratory tests: mouse lymphoma assay, human lymphocyte clastogenic assay, and mouse bone marrow clastogenic assay. In fertility studies conducted in male and female rats, oral administration of azithromycin for 64 to 66 days (males) or 15 days (females) prior to and during cohabitation resulted in decreased pregnancy rate at 20 and 30 mg/kg/day when both males and females were treated with azithromycin. This minimal effect on pregnancy rate (approximately 12% reduction compared to concurrent controls) did not become more pronounced when the dose was increased from 20 to 30 mg/kg/day (approximately 0.4 to 0.6 times the adult daily dose of 500 mg based on body surface area) and it was not observed when only one animal in the mated pair was treated. There were no effects on any other reproductive parameters, and there were no effects on fertility at 10 mg/kg/day. The relevance of these findings to patients being treated with azithromycin at the doses and durations recommended in the prescribing information is uncertain.


Structured Label Content

Section 42229-5 (42229-5)

Dispense with Patient Package Insert available at: www.tevausa.com/PatientPI

Section 42230-3 (42230-3)

Azithromycin (ay zith” roe mye’ sin)

Tablets, USP

Read this Patient Information leaflet before you start taking azithromycin tablets and each time you get a refill. There may be new information. This information does not take the place of talking to your healthcare provider about your medical condition or your treatment.

What are azithromycin tablets?

Azithromycin tablets are a macrolide antibiotic prescription medicine used in adults 18 years or older to treat certain infections caused by certain germs called bacteria. These bacterial infections include:

  • acute worsening of chronic bronchitis
  • acute sinus infection
  • community-acquired pneumonia
  • infected throat or tonsils
  • skin infections
  • infections of the urethra or cervix
  • genital ulcers in men

Azithromycin tablets are also used in children to treat:

  • ear infections
  • community-acquired pneumonia
  • infected throat or tonsils

Azithromycin should not be taken by people who cannot tolerate oral medications because they are very ill or have certain other risk factors including:

  • have cystic fibrosis
  • have hospital acquired infections
  • have known or suspected bacteria in the blood
  • need to be in the hospital
  • are elderly
  • have any medical problems that can lower the ability of the immune system to fight infections

Azithromycin tablets are not for viral infections such as the common cold.

It is not known if azithromycin tablets are safe and effective for genital ulcers in women.

It is not known if azithromycin tablets are safe and effective for children with ear infections, sinus infections, and community-acquired pneumonia under 6 months of age.

It is not known if azithromycin tablets are safe and effective for infected throat or tonsils in children under 2 years of age.

Who should not take azithromycin tablets?

Do not take azithromycin tablets if you:

  • have had a severe allergic reaction to certain antibiotics known as macrolides or ketolides including azithromycin and erythromycin.
  • have a history of cholestatic jaundice or hepatic dysfunction that happened with the use of azithromycin.

What should I tell my healthcare provider before taking azithromycin tablets?

Before you take azithromycin tablets, tell your healthcare provider if you:

  • have pneumonia
  • have cystic fibrosis
  • have known or suspected bacteremia (bacterial infection in the blood)
  • have liver or kidney problems
  • have an irregular heartbeat, especially a problem called “QT prolongation”
  • have a problem that causes muscle weakness (myasthenia gravis)
  • have any other medical problems
  • are pregnant or plan to become pregnant. It is not known if azithromycin tablets will harm your unborn baby.
  • are breastfeeding or plan to breastfeed. Azithromycin has been reported to pass into breast milk. Talk to your healthcare provider about the best way to feed your baby while you take azithromycin tablets.

Contact your healthcare provider immediately if you are giving azithromycin tablets to a young child (less than 6 weeks of age) and he or she vomits or becomes irritable when fed.

Tell your healthcare provider about all the medicines you take,including prescription and non-prescription medicines, vitamins, and herbal supplements.

Azithromycin tablets and other medicines may affect each other causing side effects. Azithromycin tablets may affect the way other medicines work, and other medicines may affect how azithromycin tablets work.

Especially tell your healthcare provider if you take:

  • nelfinavir
  • a blood thinner (warfarin)
  • digoxin
  • colchicine
  • phenytoin
  • an antacid that contains aluminum or magnesium

Know the medicines you take. Keep a list of your medicines and show it to your healthcare provider and pharmacist when you get a new medicine.

How should I take azithromycin tablets?

  • Take azithromycin tablets exactly as your healthcare provider tells you to take them.
  • Azithromycin tablets can be taken with or without food.
  • Do not skip any doses of azithromycin tablets or stop taking them, even if you begin to feel better, until you finish your prescribed treatment unless you have a serious allergic reaction or your healthcare provider tells you to stop taking azithromycin tablets. See “What are the possible side effects of azithromycin tablets?”If you skip doses, or do not complete the total course of azithromycin tablets your treatment may not work as well and your infection may be harder to treat. Taking all of your azithromycin tablets doses will help lower the chance that the bacteria will become resistant to azithromycin.
  • If the bacteria becomes resistant to azithromycin, azithromycin tablets and other antibiotic medicines may not work for you in the future.
  • If you take too many azithromycin tablets, call your healthcare provider or get medical help right away.

What are the possible side effects of azithromycin tablets?

Azithromycin tablets can cause serious side effects, including:

  • Serious allergic reactions.Allergic reactions can happen in people taking azithromycin the active ingredient in azithromycin tablets, even after only 1 dose. Stop taking azithromycin tablets and get emergency medical help right away if you have any of the following symptoms of a severe allergic reaction:
    • trouble breathing or swallowing
    • swelling of the lips, tongue, face
    • throat tightness, hoarseness
    • rapid heartbeat
    • faintness
    • skin rash (hives)
    • new onset of fever and swollen lymph nodes
    Stop taking azithromycin tablets at the first sign of a skin rash and call your healthcare provider. Skin rash may be a sign of a more serious reaction to azithromycin tablets.
  • Liver damage (hepatotoxicity).Hepatotoxicity can happen in people who take azithromycin tablets. Call your healthcare provider right away if you have unexplained symptoms such as:
  • nausea or vomiting
  • stomach pain
  • fever
  • weakness
  • abdominal pain or tenderness
  • itching
  • unusual tiredness
  • loss of appetite
  • change in the color of your bowel movements
  • dark colored urine
  • yellowing of your skin or of the whites of your eyes



Stop taking azithromycin tablets and tell your healthcare provider right away if you have yellowing of your skin or white part of your eyes, or if you have dark urine. These can be signs of a serious reaction to azithromycin tablets (a liver problem).

  • Serious heart rhythm changes that can be life-threatening, including heart stopping (cardiac arrest), QT prolongation, torsades de pointes, feeling that your heart is pounding or racing (palpitations), chest discomfort, or irregular heartbeat.Tell your healthcare provider right away if you or your child feel a fast or irregular heartbeat, get dizzy or faint. Azithromycin tablets may cause a rare heart problem known as prolongation of the QT interval. This condition can cause an abnormal heartbeat and can be very dangerous. The chances of this happening are higher in people:

    • who are elderly
    • with a family history of prolonged QT interval
    • with low blood potassium
    • who take certain medicines to control heart rhythm (antiarrhythmics)
  • Worsening of myasthenia gravis (a problem that causes muscle weakness).Certain antibiotics like azithromycin tablets may cause worsening of myasthenia gravis symptoms, including muscle weakness and breathing problems. Call your healthcare provider right away if you have any worsening muscle weakness or breathing problems.
  • Diarrhea.Tell your healthcare provider right away if you have watery diarrhea, diarrhea that does not go away, or bloody stools. You may experience cramping and a fever. This could happen after you have finished your azithromycin tablets.

    The most common side effects of azithromycin tablets include:
  • nausea
  • stomach pain
  • vomiting

These are not all the possible side effects of azithromycin tablets. Tell your healthcare provider about any side effect that bothers you or that does not go away.

Call your doctor for medical advice about side effects. You may report side effects to FDA at 1-800-FDA-1088.

How should I store azithromycin tablets?

  • Store azithromycin tablets at 68° to 77°F (20° to 25°C). 
  • Safely throw away any medicine that is out of date or no longer needed.

Keep azithromycin tablets and all medicines out of the reach of children.

General information about the safe and effective use of azithromycin tablets.

Medicines are sometimes prescribed for purposes other than those listed in the Patient Information leaflet. Do not use azithromycin tablets for a condition for which they were not prescribed. Do not give azithromycin tablets to other people, even if they have the same symptoms you have. It may harm them.

This Patient Information leaflet summarizes the most important information about azithromycin tablets. If you would like more information, talk with your healthcare provider. You can ask your pharmacist or healthcare provider for information about azithromycin tablets that is written for health professionals.

For more information, call 1-888-838-2872.

What are the ingredients in azithromycin tablets?

Active ingredient: azithromycin monohydrate

Inactive ingredients: corn starch, dibasic calcium phosphate anhydrous, croscarmellose sodium, FD&C Blue #2, hypromellose, lactose monohydrate, magnesium stearate, microcrystalline cellulose, polyethylene glycol, sodium citrate, sodium lauryl sulfate, and titanium dioxide.

This Patient Information has been approved by the U.S. Food and Drug Administration.

Distributed by:

Sportpharm

2237 N Commerce Parkway,

STE 1, Weston, Florida-33326

Relabeled by:

Enovachem PHARMACEUTICALS

Torrance, CA 90501

1.4 Usage

To reduce the development of drug-resistant bacteria and maintain the effectiveness of azithromycin tablets and other antibacterial drugs, azithromycin tablets should be used only to treat infections that are proven or strongly suspected to be caused by susceptible bacteria. When culture and susceptibility information are available, they should be considered in selecting or modifying antibacterial therapy. In the absence of such data, local epidemiology and susceptibility patterns may contribute to the empiric selection of therapy.

7.2 Warfarin

Spontaneous postmarketing reports suggest that concomitant administration of azithromycin may potentiate the effects of oral anticoagulants such as warfarin, although the prothrombin time was not affected in the dedicated drug interaction study with azithromycin and warfarin. Prothrombin times should be carefully monitored while patients are receiving azithromycin and oral anticoagulants concomitantly.

10 Overdosage (10 OVERDOSAGE)

Adverse reactions experienced at higher than recommended doses were similar to those seen at normal doses particularly nausea, diarrhea, and vomiting. In the event of overdosage, general symptomatic and supportive measures are indicated as required.

8.1 Pregnancy

Risk Summary

Available data from published literature and postmarketing experience over several decades with azithromycin use in pregnant women have not identified any drug-associated risks for major birth defects, miscarriage, or adverse maternal or fetal outcomes (see Data). Developmental toxicity studies with azithromycin in rats, mice, and rabbits showed no drug-induced fetal malformations at doses up to 4, 2, and 2 times, respectively, an adult human daily dose of 500 mg based on body surface area. Decreased viability and delayed development were observed in the offspring of pregnant rats administered azithromycin from day 6 of pregnancy through weaning at a dose equivalent to 4 times an adult human daily dose of 500 mg based on body surface area (see Data).

The estimated background risk of major birth defects and miscarriage for the indicated populations is unknown. All pregnancies have a background risk of birth defect, loss, or other adverse outcomes. In the U.S. general population, the estimated background risk of major birth defects and miscarriage in clinically recognized pregnancies is 2% to 4% and 15% to 20%, respectively.

Data

Human Data

Available data from published observational studies, case series, and case reports over several decades do not suggest an increased risk for major birth defects, miscarriage, or adverse maternal or fetal outcomes with azithromycin use in pregnant women. Limitations of these data include the lack of randomization and inability to control for confounders such as underlying maternal disease and maternal use of concomitant medications.

Animal Data

Azithromycin administered during the period of organogenesis did not cause fetal malformations in rats and mice at oral doses up to 200 mg/kg/day (moderately maternally toxic). Based on body surface area, this dose is approximately 4 (rats) and 2 (mice) times an adult human daily dose of 500 mg. In rabbits administered azithromycin at oral doses of 10, 20, and 40 mg/kg/day during organogenesis, reduced maternal body weight and food consumption were observed in all groups; no evidence of fetotoxicity or teratogenicity was observed at these doses, the highest of which is estimated to be 2 times an adult human daily dose of 500 mg based on body surface area.

In a pre- and postnatal development study, azithromycin was administered orally to pregnant rats from day 6 of pregnancy until weaning at doses of 50 or 200 mg/kg/day. Maternal toxicity (reduced food consumption and body weight gain; increased stress at parturition) was observed at the higher dose. Effects in the offspring were noted at 200 mg/kg/day during the postnatal development period (decreased viability, delayed developmental landmarks). These effects were not observed in a pre- and postnatal rat study when up to 200 mg/kg/day of azithromycin was given orally beginning on day 15 of pregnancy until weaning.

8.2 Lactation

Risk Summary

Azithromycin is present in human milk (see Data). Non-serious adverse reactions have been reported in breastfed infants after maternal administration of azithromycin (see Clinical Considerations). There are no available data on the effects of azithromycin on milk production. The developmental and health benefits of breastfeeding should be considered along with the mother’s clinical need for azithromycin and any potential adverse effects on the breastfed infant from azithromycin or from the underlying maternal condition.

Clinical Considerations

Advise women to monitor the breastfed infant for diarrhea, vomiting, or rash.

Data

Azithromycin breastmilk concentrations were measured in 20 women after receiving a single 2 g oral dose of azithromycin during labor. Breastmilk samples collected on days 3 and 6 postpartum as well as 2 and 4 weeks postpartum revealed the presence of azithromycin in breastmilk up to 4 weeks after dosing. In another study, a single dose of azithromycin 500 mg was administered intravenously to 8 women prior to incision for cesarean section. Breastmilk (colostrum) samples obtained between 12 and 48 hours after dosing revealed that azithromycin persisted in breastmilk up to 48 hours.

11 Description (11 DESCRIPTION)

Azithromycin Tablets, USP contain the active ingredient azithromycin, USP, a macrolide antibacterial drug, for oral administration. Azithromycin, USP has the chemical name (2 R,3 S,4 R,5 R,8 R,10 R,11 R,12 S,13 S,14 R)-13-[(2,6-dideoxy-3- C-methyl-3- O-methyl-α-L- ribo-hexopyranosyl) oxy]-2-ethyl-3,4,10-trihydroxy-3,5,6,8,10,12,14-heptamethyl-11-[[3,4,6-trideoxy-3-(dimethylamino)-β-D- xylo-hexopyranosyl]oxy]-1-oxa-6-azacyclopentadecan-15-one. Azithromycin, USP is derived from erythromycin; however, it differs chemically from erythromycin in that a methyl-substituted nitrogen atom is incorporated into the lactone ring.

Azithromycin, USP has the following structural formula:

C 38H 72N 2O 12M.W. 749

Azithromycin, USP, as the monohydrate, is a white crystalline powder with a molecular formula of C 38H 72N 2O 12•H 2O and a molecular weight of 767.

Azithromycin Tablets, USP are supplied for oral administration as tablets containing azithromycin monohydrate equivalent to 500 mg azithromycin, USP and the following inactive ingredients: corn starch, dibasic calcium phosphate anhydrous, croscarmellose sodium, FD&C Blue #2, hypromellose, lactose monohydrate, magnesium stearate, microcrystalline cellulose, polyethylene glycol, sodium citrate, sodium lauryl sulfate, and titanium dioxide.

7.1 Nelfinavir

Coadministration of nelfinavir at steady-state with a single oral dose of azithromycin resulted in increased azithromycin serum concentrations. Although a dose adjustment of azithromycin is not recommended when administered in combination with nelfinavir, close monitoring for known adverse reactions of azithromycin, such as liver enzyme abnormalities and hearing impairment, is warranted [see Adverse Reactions ( 6)].

12.4 Microbiology

Mechanism of Action

Azithromycin acts by binding to the 23S rRNA of the 50S ribosomal subunit of susceptible microorganisms inhibiting bacterial protein synthesis and impeding the assembly of the 50S ribosomal subunit.

Resistance

Azithromycin demonstrates cross resistance with erythromycin. The most frequently encountered mechanism of resistance to azithromycin is modification of the 23S rRNA target, most often by methylation. Ribosomal modifications can determine cross resistance to other macrolides, lincosamides, and streptogramin B (MLS Bphenotype).

Antimicrobial Activity

Azithromycin has been shown to be active against most isolates of the following microorganisms, both in vitroand in clinical infections [see Indications and Usage ( 1)].

Gram-Positive Bacteria

Staphylococcus aureus

Streptococcus agalactiae

Streptococcus pneumoniae

Streptococcus pyogenes

Gram-Negative Bacteria

Haemophilus ducreyi

Haemophilus influenzae

Moraxella catarrhalis

Neisseria gonorrhoeae

Other Bacteria

Chlamydophila pneumoniae

Chlamydia trachomatis

Mycoplasma pneumoniae

The following in vitrodata are available, but their clinical significance is unknown. At least 90 percent of the following bacteria exhibit an in vitrominimum inhibitory concentration (MIC) less than or equal to the susceptible breakpoint for azithromycin against isolates of similar genus or organism group. However, the efficacy of azithromycin in treating clinical infections caused by these bacteria has not been established in adequate and well-controlled clinical trials.

Gram-Positive Bacteria

Beta-hemolytic streptococci (Groups C, F, G)

Viridans group streptococci

Gram-Negative Bacteria

Bordetella pertussis

Legionella pneumophila

Anaerobic Bacteria

Prevotella bivia

Peptostreptococcus species

Other Bacteria

Ureaplasma urealyticum

Susceptibility Testing

For specific information regarding susceptibility test interpretive criteria and associated test methods and quality control standards recognized by FDA for this drug, please see: https://www.fda.gov/STIC.

8.4 Pediatric Use

[see Clinical Pharmacology ( 12.3), Indications and Usage ( 1.2), and Dosage and Administration ( 2.2)]

Safety and effectiveness in the treatment of pediatric patients with acute otitis media, acute bacterial sinusitis and community-acquired pneumonia under 6 months of age have not been established. Use of azithromycin for the treatment of acute bacterial sinusitis and community-acquired pneumonia in pediatric patients (6 months of age or greater) is supported by adequate and well-controlled trials in adults.

Pharyngitis/Tonsillitis:Safety and effectiveness in the treatment of pediatric patients with pharyngitis/tonsillitis under 2 years of age have not been established.

8.5 Geriatric Use

In multiple-dose clinical trials of oral azithromycin, 9% of patients were at least 65 years of age (458/4949) and 3% of patients (144/4949) were at least 75 years of age. No overall differences in safety or effectiveness were observed between these subjects and younger subjects, and other reported clinical experience has not identified differences in response between the elderly and younger patients, but greater sensitivity of some older individuals cannot be ruled out.

Elderly patients may be more susceptible to development of torsades de pointes arrhythmias than younger patients [see Warnings and Precautions ( 5.4 )].

Azithromycin tablets, 250 mg contain 0.36 mg of sodium per tablet.

Azithromycin tablets, 500 mg contain 0.73 mg of sodium per tablet.

1.1 Adult Patients
  • Acute bacterial exacerbations of chronic bronchitis due to Haemophilus influenzae, Moraxella catarrhalis,or Streptococcus pneumoniae.
  • Acute bacterial sinusitis due to Haemophilus influenzae, Moraxella catarrhalis,or Streptococcus pneumoniae.
  • Community-acquired pneumonia due to Chlamydophila pneumoniae, Haemophilus influenzae, Mycoplasma pneumoniae,or Streptococcus pneumoniaein patients appropriate for oral therapy.
  • Pharyngitis/tonsillitis caused by Streptococcus pyogenesas an alternative to first-line therapy in individuals who cannot use first-line therapy.
  • Uncomplicated skin and skin structure infections due to Staphylococcus aureus, Streptococcus pyogenes, or Streptococcus agalactiae.
  • Urethritis and cervicitis due to Chlamydia trachomatisor Neisseria gonorrhoeae.
  • Genital ulcer disease in men due to Haemophilus ducreyi(chancroid). Due to the small number of women included in clinical trials, the efficacy of azithromycin in the treatment of chancroid in women has not been established.
2.1 Adult Patients

[see Indications and Usage ( 1.1) and Clinical Pharmacology ( 12.3)]

Infection*

Recommended Dose/Duration of Therapy

Community-acquired pneumonia

Pharyngitis/tonsillitis (second-line therapy)

Skin/skin structure (uncomplicated)

500 mg as a single dose on Day 1, followed by 250 mg once daily on Days 2 through 5

Acute bacterial exacerbations of chronic obstructive pulmonary disease

500 mg once daily for 3 days

OR

500 mg as a single dose on Day 1, followed by 250 mg once daily on Days 2 through 5

Acute bacterial sinusitis

500 mg once daily for 3 days

Genital ulcer disease (chancroid)

One single 1 gram dose

Non-gonococcal urethritis and cervicitis

One single 1 gram dose

Gonococcal urethritis and cervicitis

One single 2 gram dose

*DUE TO THE INDICATED ORGANISMS [see Indications and Usage ( 1.1)]

Azithromycin tablets can be taken with or without food.

5.2 Hepatotoxicity

Abnormal liver function, hepatitis, cholestatic jaundice, hepatic necrosis, and hepatic failure have been reported, some of which have resulted in death. Discontinue azithromycin immediately if signs and symptoms of hepatitis occur.

14.1 Adult Patients

Acute Bacterial Exacerbations of Chronic Bronchitis

In a randomized, double-blind controlled clinical trial of acute exacerbation of chronic bronchitis (AECB), azithromycin (500 mg once daily for 3 days) was compared with clarithromycin (500 mg twice daily for 10 days). The primary endpoint of this trial was the clinical cure rate at Days 21 to 24. For the 304 patients analyzed in the modified intent-to-treat analysis at the Days 21 to 24 visit, the clinical cure rate for 3 days of azithromycin was 85% (125/147) compared to 82% (129/157) for 10 days of clarithromycin.

The following outcomes were the clinical cure rates at the Days 21 to 24 visit for the bacteriologically evaluable patients by pathogen:

Pathogen

Azithromycin (3 Days)

Clarithromycin (10 Days)

S. pneumoniae

29/32 (91%)

21/27 (78%)

H. influenzae

12/14 (86%)

14/16 (88%)

M. catarrhalis

11/12 (92%)

12/15 (80%)



Acute Bacterial Sinusitis

In a randomized, double-blind, double-dummy controlled clinical trial of acute bacterial sinusitis, azithromycin (500 mg once daily for 3 days) was compared with amoxicillin/clavulanate (500/125 mg three times a day for 10 days). Clinical response assessments were made at Day 10 and Day 28. The primary endpoint of this trial was prospectively defined as the clinical cure rate at Day 28. For the 594 patients analyzed in the modified intent to treat analysis at the Day 10 visit, the clinical cure rate for 3 days of azithromycin was 88% (268/303) compared to 85% (248/291) for 10 days of amoxicillin/clavulanate. For the 586 patients analyzed in the modified intent to treat analysis at the Day 28 visit, the clinical cure rate for 3 days of azithromycin was 71.5% (213/298) compared to 71.5% (206/288), with a 97.5% confidence interval of –8.4 to 8.3, for 10 days of amoxicillin/clavulanate.

In an open label, non-comparative study requiring baseline transantral sinus punctures, the following outcomes were the clinical success rates at the Day 7 and Day 28 visits for the modified intent to treat patients administered 500 mg of azithromycin once daily for 3 days with the following pathogens:

Clinical Success Rates of Azithromycin (500 mg per day for 3 Days)

Pathogen

Day 7

Day 28

S. pneumoniae

23/26 (88%)

21/25 (84%)

H. influenzae

28/32 (87%)

24/32 (75%)

M. catarrhalis

14/15 (93%)

13/15 (87%)

4 Contraindications (4 CONTRAINDICATIONS)
  • Patients with known hypersensitivity to azithromycin, erythromycin, any macrolide or ketolide drug. ( 4.1)
  • Patients with a history of cholestatic jaundice/hepatic dysfunction associated with prior use of azithromycin. ( 4.2)
5.4 Qt Prolongation (5.4 QT Prolongation)

Prolonged cardiac repolarization and QT interval, imparting a risk of developing cardiac arrhythmia and torsades de pointes, have been seen with treatment with macrolides, including azithromycin. Cases of torsades de pointes have been spontaneously reported during postmarketing surveillance in patients receiving azithromycin. Providers should consider the risk of QT prolongation which can be fatal when weighing the risks and benefits of azithromycin for at-risk groups including:

  • patients with known prolongation of the QT interval, a history of torsades de pointes, congenital long QT syndrome, bradyarrhythmias or uncompensated heart failure
  • patients on drugs known to prolong the QT interval
  • patients with ongoing proarrhythmic conditions such as uncorrected hypokalemia or hypomagnesemia, clinically significant bradycardia, and in patients receiving Class IA (quinidine, procainamide) or Class III (dofetilide, amiodarone, sotalol) antiarrhythmic agents.

Elderly patients may be more susceptible to drug-associated effects on the QT interval.

6 Adverse Reactions (6 ADVERSE REACTIONS)

The following clinically significant adverse reactions are described elsewhere in labeling:

  • Hypersensitivity [see Warnings and Precautions ( 5.1)]
  • Hepatotoxicity [see Warnings and Precautions ( 5.2)]
  • Infantile Hypertrophic Pyloric Stenosis (IHPS) [see Warnings and Precautions ( 5.3)]
  • QT Prolongation [see Warnings and Precautions ( 5.4)]
  • Cardiovascular Death [see Warnings and Precautions ( 5.5)]
  • Clostridioides difficile-Associated Diarrhea (CDAD) [see Warnings and Precautions ( 5.6)]
  • Exacerbation of Myasthenia Gravis [see Warnings and Precautions ( 5.7)]
7 Drug Interactions (7 DRUG INTERACTIONS)
  • Nelfinavir: Close monitoring for known adverse reactions of azithromycin, such as liver enzyme abnormalities and hearing impairment, is warranted. ( 7.1)
  • Warfarin: Use with azithromycin may increase coagulation times; monitor prothrombin time. ( 7.2)
4.1 Hypersensitivity

Azithromycin tablets are contraindicated in patients with known hypersensitivity to azithromycin, erythromycin, any macrolide or ketolide drug.

5.1 Hypersensitivity

Serious allergic reactions, including angioedema, anaphylaxis, and dermatologic reactions including Acute Generalized Exanthematous Pustulosis (AGEP), Stevens-Johnson syndrome, and toxic epidermal necrolysis have been reported in patients on azithromycin therapy [see Contraindications ( 4.1)] .

Fatalities have been reported. Cases of Drug Reaction with Eosinophilia and Systemic Symptoms (DRESS) have also been reported. Despite initially successful symptomatic treatment of the allergic symptoms, when symptomatic therapy was discontinued, the allergic symptoms recurred soon thereafter in some patients without further azithromycin exposure. These patients required prolonged periods of observation and symptomatic treatment. The relationship of these episodes to the long tissue half-life of azithromycin and subsequent prolonged exposure to antigen is presently unknown.

If an allergic reaction occurs, the drug should be discontinued and appropriate therapy should be instituted. Physicians should be aware that allergic symptoms may reappear when symptomatic therapy has been discontinued.

12.2 Pharmacodynamics

Based on animal models of infection, the antibacterial activity of azithromycin appears to correlate with the ratio of area under the concentration-time curve to minimum inhibitory concentration (AUC/MIC) for certain pathogens ( S. pneumoniaeand S. aureus). The principal pharmacokinetic/pharmacodynamic parameter best associated with clinical and microbiological cure has not been elucidated in clinical trials with azithromycin.

Cardiac Electrophysiology

QTc interval prolongation was studied in a randomized, placebo-controlled parallel trial in 116 healthy subjects who received either chloroquine (1000 mg) alone or in combination with oral azithromycin (500 mg, 1000 mg, and 1500 mg once daily). Coadministration of azithromycin increased the QTc interval in a dose- and concentration-dependent manner. In comparison to chloroquine alone, the maximum mean (95% upper confidence bound) increases in QTcF were 5 (10) ms, 7 (12) ms and 9 (14) ms with the coadministration of 500 mg, 1000 mg and 1500 mg azithromycin, respectively.

12.3 Pharmacokinetics

Following oral administration of a single 500 mg dose (two 250 mg tablets) to 36 fasted healthy male volunteers, the mean (SD) pharmacokinetic parameters were AUC 0-72= 4.3 (1.2) mcg·hr/mL; C max= 0.5 (0.2) mcg/mL; T max= 2.2 (0.9) hours. Two azithromycin 250 mg tablets are bioequivalent to a single 500 mg tablet.

In a two-way crossover study, 12 adult healthy volunteers (6 males, 6 females) received 1500 mg of azithromycin administered in single daily doses over either 5 days (two 250 mg tablets on day 1, followed by one 250 mg tablet on days 2 to 5) or 3 days (500 mg per day for days 1 to 3). Due to limited serum samples on day 2 (3 day regimen) and days 2 to 4 (5 day regimen), the serum concentration-time profile of each subject was fit to a 3 compartment model and the AUC 0-∞for the fitted concentration profile was comparable between the 5 day and 3 day regimens.

3 Day Regimen

5 Day Regimen

Pharmacokinetic Parameter [mean (SD)]

Day 1

Day 3

Day 1

Day 5

C max(serum, mcg/mL)

0.44 (0.22)

0.54 (0.25)

0.43 (0.20)

0.24 (0.06)

Serum AUC 0-∞(mcg·hr/mL)

17.4 (6.2)*

14.9 (3.1)*

Serum T 1/2

71.8 hr

68.9 hr

*Total AUC for the entire 3 day and 5 day regimens. 

Absorption

The absolute bioavailability of azithromycin 250 mg capsules is 38%.

In a two-way crossover study in which 12 healthy subjects received a single 500 mg dose of azithromycin (two 250 mg tablets) with or without a high fat meal, food was shown to increase C maxby 23% but had no effect on AUC.

When azithromycin oral suspension was administered with food to 28 adult healthy male subjects, C maxincreased by 56% and AUC was unchanged.

Distribution

The serum protein binding of azithromycin is variable in the concentration range approximating human exposure, decreasing from 51% at 0.02 mcg/mL to 7% at 2 mcg/mL.

The antibacterial activity of azithromycin is pH related and appears to be reduced with decreasing pH. However, the extensive distribution of drug to tissues may be relevant to clinical activity.

Azithromycin has been shown to penetrate into human tissues, including skin, lung, tonsil, and cervix. Extensive tissue distribution was confirmed by examination of additional tissues and fluids (bone, ejaculum, prostate, ovary, uterus, salpinx, stomach, liver, and gallbladder). As there are no data from adequate and well-controlled studies of azithromycin treatment of infections in these additional body sites, the clinical significance of these tissue concentration data is unknown.

Following a regimen of 500 mg on the first day and 250 mg daily for 4 days, very low concentrations were noted in cerebrospinal fluid (less than 0.01 mcg/mL) in the presence of noninflamed meninges.

Metabolism

In vitroand in vivostudies to assess the metabolism of azithromycin have not been performed.

Elimination

Plasma concentrations of azithromycin following single 500 mg oral and IV doses declined in a polyphasic pattern resulting in a mean apparent plasma clearance of 630 mL/min and terminal elimination half-life of 68 hr. The prolonged terminal half-life is thought to be due to extensive uptake and subsequent release of drug from tissues. Biliary excretion of azithromycin, predominantly as unchanged drug, is a major route of elimination. Over the course of a week, approximately 6% of the administered dose appears as unchanged drug in urine.

Specific Populations

Patients with Renal Impairment

Azithromycin pharmacokinetics was investigated in 42 adults (21 to 85 years of age) with varying degrees of renal impairment. Following the oral administration of a single 1.0 g dose of azithromycin (4 x 250 mg capsules), mean C maxand AUC 0-120increased by 5.1% and 4.2%, respectively, in subjects with mild to moderate renal impairment (GFR 10 to 80 mL/min) compared to subjects with normal renal function (GFR > 80 mL/min). The mean C maxand AUC 0-120increased 61% and 35%, respectively, in subjects with severe renal impairment (GFR < 10 mL/min) compared to subjects with normal renal function (GFR > 80 mL/min).

Patients with Hepatic Impairment

The pharmacokinetics of azithromycin in subjects with hepatic impairment has not been established.

Male and Female Patients

There are no significant differences in the disposition of azithromycin between male and female subjects. No dosage adjustment is recommended based on gender.

Geriatric Patients

Pharmacokinetic parameters in older volunteers (65 to 85 years old) were similar to those in young adults (18 to 40 years old) for the 5 day therapeutic regimen. Dosage adjustment does not appear to be necessary for older patients with normal renal and hepatic function receiving treatment with this dosage regimen [see Geriatric Use ( 8.5)] .

Pediatric Patients

In two clinical studies, azithromycin for oral suspension was dosed at 10 mg/kg on day 1, followed by 5 mg/kg on days 2 through 5 in two groups of pediatric patients (aged 1 to 5 years and 5 to 15 years, respectively). The mean pharmacokinetic parameters on day 5 were C max= 0.216 mcg/mL, T max= 1.9 hr, and AUC 0-24= 1.822 mcg·hr/mL for the 1 to 5 year-old group and were C max= 0.383 mcg/mL, T max= 2.4 hr, and AUC 0-24= 3.109 mcg·hr/mL for the 5 to 15 year-old group.

In another study, 33 pediatric patients received doses of 12 mg/kg/day (maximum daily dose 500 mg) for 5 days, of whom 31 patients were evaluated for azithromycin pharmacokinetics following a low fat breakfast. In this study, azithromycin concentrations were determined over a 24 hr period following the last daily dose. Patients weighing above 41.7 kg received the maximum adult daily dose of 500 mg. Seventeen patients (weighing 41.7 kg or less) received a total dose of 60 mg/kg. The following table shows pharmacokinetic data in the subset of pediatric patients who received a total dose of 60 mg/kg.

Pharmacokinetic Parameter [mean (SD)]

5 Day Regimen (12 mg/kg for 5 days)

N

17

C max(mcg/mL)

0.5 (0.4)

T max(hr)

2.2 (0.8)

AUC 0-24(mcg·hr/mL)

3.9 (1.9)



Single dose pharmacokinetics of azithromycin in pediatric patients given doses of 30 mg/kg have not been studied [see Dosage and Administration ( 2)] .

Drug Interaction Studies

Drug interaction studies were performed with azithromycin and other drugs likely to be coadministered. The effects of coadministration of azithromycin on the pharmacokinetics of other drugs are shown in Table 1and the effects of other drugs on the pharmacokinetics of azithromycin are shown in Table 2.

Coadministration of azithromycin at therapeutic doses had a modest effect on the pharmacokinetics of the drugs listed in Table 1. No dosage adjustment of drugs listed in Table 1is recommended when coadministered with azithromycin.

Coadministration of azithromycin with efavirenz or fluconazole had a modest effect on the pharmacokinetics of azithromycin. Nelfinavir significantly increased the C maxand AUC of azithromycin. No dosage adjustment of azithromycin is recommended when administered with drugs listed in Table 2 [see Drug Interactions ( 7.3)] .

Table 1. Drug Interactions: Pharmacokinetic Parameters for Coadministered Drugs in the Presence of Azithromycin

Coadministered Drug

Dose of Coadministered Drug

Dose of Azithromycin

n

Ratio (with/without azithromycin) of Coadministered Drug Pharmacokinetic Parameters (90% CI); No Effect = 1.00

Mean C max

Mean AUC

Atorvastatin

10 mg/day for 8 days

500 mg/day orally on days 6 to 8

12

0.83

(0.63 to 1.08)

1.01

(0.81 to 1.25)

Carbamazepine

200 mg/day for 2 days, then 200 mg twice a day for 18 days

500 mg/day orally for days 16 to 18

7

0.97

(0.88 to 1.06)

0.96

(0.88 to 1.06)

Cetirizine

20 mg/day for 11 days

500 mg orally on day 7, then 250 mg/day on days 8 to 11

14

1.03

(0.93 to 1.14)

1.02

(0.92 to 1.13)

Didanosine

200 mg orally twice a day for 21 days

1200 mg/day orally on days 8 to 21

6

1.44

(0.85 to 2.43)

1.14

(0.83 to 1.57)

Efavirenz

400 mg/day for 7 days

600 mg orally on day 7

14

1.04*

0.95*

Fluconazole

200 mg orally single dose

1200 mg orally single dose

18

1.04

(0.98 to 1.11)

1.01

(0.97 to 1.05)

Indinavir

800 mg three times a day for 5 days

1200 mg orally on day 5

18

0.96

(0.86 to 1.08)

0.90

(0.81 to 1.00)

Midazolam

15 mg orally on day 3

500 mg/day orally for 3 days

12

1.27

(0.89 to 1.81)

1.26

(1.01 to 1.56)

Nelfinavir

750 mg three times a day for 11 days

1200 mg orally on day 9

14

0.90

(0.81 to 1.01)

0.85

(0.78 to 0.93)

Sildenafil

100 mg on days 1 and 4

500 mg/day orally for 3 days

12

1.16

(0.86 to 1.57)

0.92

(0.75 to 1.12)

Theophylline

4 mg/kg IV on days 1, 11, 25

500 mg orally on day 7, 250 mg/day on days 8 to 11

10

1.19

(1.02 to 1.40)

1.02

(0.86 to 1.22)

Theophylline

300 mg orally twice a day for 15 days

500 mg orally on day 6, then 250 mg/day on days 7 to 10

8

1.09

(0.92 to 1.29)

1.08

(0.89 to 1.31)

Triazolam

0.125 mg on day 2

500 mg orally on day 1, then 250 mg/day on day 2

12

1.06*

1.02*

Trimethoprim/ Sulfamethoxazole

160 mg/800 mg/day orally for 7 days

1200 mg orally on day 7

12

0.85

(0.75 to 0.97)/

0.90

(0.78 to 1.03)

0.87

(0.80 to 0.95)/0.96

(0.88 to 1.03)

Zidovudine

500 mg/day orally for 21 days

600 mg/day orally for 14 days

5

1.12

(0.42 to 3.02)

0.94

(0.52 to 1.70)

Zidovudine

500 mg/day orally for 21 days

1200 mg/day orally for 14 days

4

1.31

(0.43 to 3.97)

1.30

(0.69 to 2.43)

* - 90% Confidence interval not reported 
Table 2. Drug Interactions: Pharmacokinetic Parameters for Azithromycin in the Presence of Coadministered Drugs [see Drug Interactions ( 7)].

Coadministered Drug

Dose of Coadministered Drug

Dose of Azithromycin

n

Ratio (with/without coadministered drug) of Azithromycin Pharmacokinetic Parameters (90% CI); No Effect = 1.00

Mean C max

Mean AUC

Efavirenz

400 mg/day for 7 days

600 mg orally on day 7

14

1.22

(1.04 to 1.42)

0.92*

Fluconazole

200 mg orally single dose

1200 mg orally single dose

18

0.82

(0.66 to 1.02)

1.07

(0.94 to 1.22)

Nelfinavir

750 mg three times a day for 11 days

1200 mg orally on day 9

14

2.36

(1.77 to 3.15)

2.12

(1.80 to 2.50)

* - 90% Confidence interval not reported 
1.2 Pediatric Patients

[see Use in Specific Populations ( 8.4) and Clinical Studies ( 14.2)]

  • Acute otitis media (> 6 months of age) caused by Haemophilus influenzae, Moraxella catarrhalis,or Streptococcus pneumoniae.
  • Community-acquired pneumonia (> 6 months of age) due to Chlamydophila pneumoniae, Haemophilus influenzae, Mycoplasma pneumoniae , or  Streptococcus pneumoniaein patients appropriate for oral therapy.
  • Pharyngitis/tonsillitis (> 2 years of age)caused by Streptococcus pyogenesas an alternative to first-line therapy in individuals who cannot use first-line therapy.
1.3 Limitations of Use

Azithromycin should not be used in patients with pneumonia who are judged to be inappropriate for oral therapy because of moderate to severe illness or risk factors such as any of the following:

  • patients with cystic fibrosis,
  • patients with nosocomial infections,
  • patients with known or suspected bacteremia,
  • patients requiring hospitalization,
  • elderly or debilitated patients, or
  • patients with significant underlying health problems that may compromise their ability to respond to their illness (including immunodeficiency or functional asplenia).
1 Indications and Usage (1 INDICATIONS AND USAGE)

Azithromycin tablets are a macrolide antibacterial drug indicated for the treatment of patients with mild to moderate infections caused by susceptible strains of the designated microorganisms in the specific conditions listed below. Recommended dosages and durations of therapy in adult and pediatric patient populations vary in these indications [see Dosage and Administration ( 2)].

14.2 Pediatric Patients

From the perspective of evaluating pediatric clinical trials, Days 11 to 14 were considered on-therapy evaluations because of the extended half-life of azithromycin. Days 11 to 14 data are provided for clinical guidance. Days 24 to 32 evaluations were considered the primary test of cure endpoint.

Pharyngitis/Tonsillitis

In three double-blind controlled studies, conducted in the United States, azithromycin (12 mg/kg once a day for 5 days) was compared to penicillin V (250 mg three times a day for 10 days) in the treatment of pharyngitis due to documented Group A β-hemolytic streptococci(GABHS or S. pyogenes). Azithromycin was clinically and microbiologically statistically superior to penicillin at Day 14 and Day 30 with the following clinical success (i.e., cure and improvement) and bacteriologic efficacy rates (for the combined evaluable patient with documented GABHS):

Three U.S. Streptococcal Pharyngitis Studies

Azithromycin vs. Penicillin V

EFFICACY RESULTS

Day 14

Day 30

Bacteriologic Eradication:

Azithromycin

323/340 (95%)

255/330 (77%)

Penicillin V

242/332 (73%)

206/325 (63%)

Clinical Success (cure plus improvement):

Azithromycin

336/343 (98%)

310/330 (94%)

Penicillin V

284/338 (84%)

241/325 (74%)



Approximately 1% of azithromycin-susceptible S. pyogenesisolates were resistant to azithromycin following therapy.

Acute Otitis Media

Efficacy using azithromycin given over 5 days (10 mg/kg on Day 1 followed by 5 mg/kg on Days 2 to 5).

Trial 1

In a double-blind, controlled clinical study of acute otitis media performed in the United States, azithromycin (10 mg/kg on Day 1 followed by 5 mg/kg on Days 2 to 5) was compared to amoxicillin/clavulanate potassium (4:1). For the 553 patients who were evaluated for clinical efficacy, the clinical success rate (i.e., cure plus improvement) at the Day 11 visit was 88% for azithromycin and 88% for the control agent. For the 521 patients who were evaluated at the Day 30 visit, the clinical success rate was 73% for azithromycin and 71% for the control agent.

Trial 2

In a non-comparative clinical and microbiologic trial performed in the United States, where significant rates of beta-lactamase producing organisms (35%) were found, 131 patients were evaluable for clinical efficacy. The combined clinical success rate (i.e., cure and improvement) at the Day 11 visit was 84% for azithromycin. For the 122 patients who were evaluated at the Day 30 visit, the clinical success rate was 70% for azithromycin.

Microbiologic determinations were made at the pre-treatment visit. Microbiology was not reassessed at later visits. The following clinical success rates were obtained from the evaluable group:

Pathogen

Day 11

Azithromycin

Day 30

Azithromycin

S. pneumoniae

61/74 (82%)

40/56 (71%)

H. influenzae

43/54 (80%)

30/47 (64%)

M. catarrhalis

28/35 (80%)

19/26 (73%)

S. pyogenes

11/11 (100%)

7/7 (100%)

Overall

177/217 (82%)

97/137 (73%)



Trial 3

In another controlled comparative clinical and microbiologic study of otitis media performed in the United States, azithromycin (10 mg/kg on Day 1 followed by 5 mg/kg on Days 2 to 5) was compared to amoxicillin/clavulanate potassium (4:1). This study utilized two of the same investigators as Protocol 2 (above), and these two investigators enrolled 90% of the patients in Protocol 3. For this reason, Protocol 3 was not considered to be an independent study. Significant rates of beta-lactamase producing organisms (20%) were found. Ninety-two (92) patients were evaluable for clinical and microbiologic efficacy. The combined clinical success rate (i.e., cure and improvement) of those patients with a baseline pathogen at the Day 11 visit was 88% for azithromycin vs. 100% for control; at the Day 30 visit, the clinical success rate was 82% for azithromycin vs. 80% for control.

Microbiologic determinations were made at the pre-treatment visit. Microbiology was not reassessed at later visits. At the Day 11 and Day 30 visits, the following clinical success rates were obtained from the evaluable group:

Day 11

Day 30

Pathogen

Azithromycin

Control

Azithromycin

Control

S. pneumoniae

25/29 (86%)

26/26 (100%)

22/28 (79%)

18/22 (82%)

H. influenzae

9/11 (82%)

9/9 (100%)

8/10 (80%)

6/8 (75%)

M. catarrhalis

7/7 (100%)

5/5 (100%)

5/5 (100%)

2/3 (66%)

S. pyogenes

2/2 (100%)

5/5 (100%)

2/2 (100%)

4/4 (100%)

Overall

43/49 (88%)

45/45 (100%)

37/45 (82%)

30/37 (81%)



Efficacy using azithromycin given over 3 days (10 mg/kg/day).

Trial 4

In a double-blind, controlled, randomized clinical study of acute otitis media in pediatric patients from 6 months to 12 years of age, azithromycin (10 mg/kg per day for 3 days) was compared to amoxicillin/clavulanate potassium (7:1) in divided doses q12h for 10 days. Each patient received active drug and placebo matched for the comparator.

For the 366 patients who were evaluated for clinical efficacy at the Day 12 visit, the clinical success rate (i.e., cure plus improvement) was 83% for azithromycin and 88% for the control agent. For the 362 patients who were evaluated at the Days 24 to 28 visit, the clinical success rate was 74% for azithromycin and 69% for the control agent.

Efficacy using azithromycin 30 mg/kg given as a single dose.

Trial 5

A double-blind, controlled, randomized trial was performed at nine clinical centers. Pediatric patients from 6 months to 12 years of age were randomized 1:1 to treatment with either azithromycin (given at 30 mg/kg as a single dose on Day 1) or amoxicillin/clavulanate potassium (7:1), divided q12h for 10 days. Each child received active drug, and placebo matched for the comparator.

Clinical response (Cure, Improvement, Failure) was evaluated at End of Therapy (Days 12 to 16) and Test of Cure (Days 28 to 32). Safety was evaluated throughout the trial for all treated subjects. For the 321 subjects who were evaluated at End of Treatment, the clinical success rate (cure plus improvement) was 87% for azithromycin, and 88% for the comparator. For the 305 subjects who were evaluated at Test of Cure, the clinical success rate was 75% for both azithromycin and the comparator.

Trial 6

In a non-comparative clinical and microbiological trial, 248 patients from 6 months to 12 years of age with documented acute otitis media were dosed with a single oral dose of azithromycin (30 mg/kg on Day 1).

For the 240 patients who were evaluable for clinical modified Intent-to-Treat (MITT) analysis, the clinical success rate (i.e., cure plus improvement) at Day 10 was 89% and for the 242 patients evaluable at Days 24 to 28, the clinical success rate (cure) was 85%.

Presumed Bacteriologic Eradication

Day 10

Days 24 to 28

S. pneumoniae

70/76 (92%)

67/76 (88%)

H. influenzae

30/42 (71%)

28/44 (64%)

M. catarrhalis

10/10 (100%)

10/10 (100%)

Overall

110/128 (86%)

105/130 (81%)

4.2 Hepatic Dysfunction

Azithromycin tablets are contraindicated in patients with a history of cholestatic jaundice/hepatic dysfunction associated with prior use of azithromycin.

12.1 Mechanism of Action

Azithromycin is a macrolide antibacterial drug [see Microbiology ( 12.4)].

2.2 Pediatric Patients 1

Infection*

Recommended Dose/Duration of Therapy

Acute otitis media

30 mg/kg as a single dose or 10 mg/kg once daily for 3 days or 10 mg/kg as a single dose on Day 1 followed by 5 mg/kg/day on Days 2 through 5.

Acute bacterial sinusitis

10 mg/kg once daily for 3 days.

Community-acquired pneumonia

10 mg/kg as a single dose on Day 1 followed by 5 mg/kg once daily on Days 2 through 5.

Pharyngitis/tonsillitis

12 mg/kg once daily for 5 days.

*DUE TO THE INDICATED ORGANISMS [see Indications and Usage ( 1.2)]

1see dosing tables below for maximum doses evaluated by indication

Azithromycin for oral suspension can be taken with or without food.

PEDIATRIC DOSAGE GUIDELINES FOR OTITIS MEDIA, ACUTE BACTERIAL SINUSITIS, AND COMMUNITY-ACQUIRED PNEUMONIA

(Age 6 months and above, [see Use in Specific Populations ( 8.4)] )

Based on Body Weight

OTITIS MEDIA AND COMMUNITY-ACQUIRED PNEUMONIA: (5 Day Regimen)*

Dosing Calculated on 10 mg/kg/day Day 1 and 5 mg/kg/day Days 2 to 5.

Weight

100 mg/5 mL

200 mg/5 mL

Total mL per Treatment Course

Total mg per Treatment Course

Kg

Day 1

Days 2 to 5

Day 1

Days 2 to 5

5

2.5 mL; (½ tsp)

1.25 mL; (¼ tsp)

7.5 mL

150 mg

10

5 mL; (1 tsp)

2.5 mL; (½ tsp)

15 mL

300 mg

20

5 mL; (1 tsp)

2.5 mL;

(½ tsp)

15 mL

600 mg

30

7.5 mL; (1½ tsp)

3.75 mL;

(¾ tsp)

22.5 mL

900 mg

40

10 mL;

(2 tsp)

5 mL;

(1 tsp)

30 mL

1200 mg

50 and above

12.5 mL; (2½ tsp)

6.25 mL; (1¼ tsp)

37.5 mL

1500 mg

* Effectiveness of the 3 day or 1 day regimen in pediatric patients with community-acquired pneumonia has not been established.  

OTITIS MEDIA AND ACUTE BACTERIAL SINUSITIS: (3 Day Regimen)*

Dosing Calculated on 10 mg/kg/day.

Weight

100 mg/5 mL

200 mg/5 mL

Total mL per Treatment Course

Total mg per Treatment Course

Kg

Days 1 to 3

Days 1 to 3

5

2.5 mL;

(½ tsp)

7.5 mL

150 mg

10

5 mL;

(1 tsp)

15 mL

300 mg

20

5 mL

(1 tsp)

15 mL

600 mg

30

7.5 mL

(1½ tsp)

22.5 mL

900 mg

40

10 mL

(2 tsp)

30 mL

1200 mg

50 and above

12.5 mL

(2½ tsp)

37.5 mL

1500 mg

*Effectiveness of the 5 day or 1 day regimen in pediatric patients with acute bacterial sinusitis has not been established. 

OTITIS MEDIA: (1 Day Regimen)

Dosing Calculated on 30 mg/kg as a single dose.

Weight

200 mg/5 mL

Total mL per Treatment Course

Total mg per Treatment Course

Kg

1 Day Regimen

5

3.75 mL;

(¾ tsp)

3.75 mL  

150 mg  

10

7.5 mL;

(1½ tsp)

7.5 mL  

300 mg  

20

15 mL;

(3 tsp)

15 mL  

600 mg  

30

22.5 mL;

(4½ tsp)

22.5 mL  

900 mg  

40

30 mL;

(6 tsp)

  30 mL  

  1200 mg  

50 and above

37.5 mL;

(7½ tsp)

37.5 mL  

1500 mg

The safety of re-dosing azithromycin in pediatric patients who vomit after receiving 30 mg/kg as a single dose has not been established. In clinical studies involving 487 patients with acute otitis media given a single 30 mg/kg dose of azithromycin, 8 patients who vomited within 30 minutes of dosing were re-dosed at the same total dose.

Pharyngitis/Tonsillitis: The recommended dose of azithromycin for children with pharyngitis/tonsillitis is 12 mg/kg once daily for 5 days. (See chart below.)

PEDIATRIC DOSAGE GUIDELINES FOR PHARYNGITIS/TONSILLITIS

(Age 2 years and above, [see Use in Specific Populations ( 8.4)] )

Based on Body Weight

PHARYNGITIS/TONSILLITIS: (5 Day Regimen)

Dosing Calculated on 12 mg/kg/day for 5 days.

Weight

200 mg/5 mL

Total mL per Treatment Course

Total mg per Treatment Course

Kg

Day 1 to 5

8

2.5 mL;

(½ tsp)

12.5 mL

500 mg

17

5 mL;

(1 tsp)

25 mL

1000 mg

25

7.5 mL;

(1½ tsp)

37.5 mL

1500 mg

33

10 mL;

(2 tsp)

50 mL

2000 mg

40

12.5 mL;

(2½ tsp)

62.5 mL

2500 mg

5.5 Cardiovascular Death

Some observational studies have shown an approximately two-fold increased short-term potential risk of acute cardiovascular death in adults exposed to azithromycin relative to other antibacterial drugs, including amoxicillin. The five-day cardiovascular mortality observed in these studies ranged from 20 to 400 per million azithromycin treatment courses. This potential risk was noted to be greater during the first five days of azithromycin use and does not appear to be limited to those patients with preexisting cardiovascular diseases. The data in these observational studies are insufficient to establish or exclude a causal relationship between acute cardiovascular death and azithromycin use. Consider balancing this potential risk with treatment benefits when prescribing azithromycin.

5 Warnings and Precautions (5 WARNINGS AND PRECAUTIONS)
  • Serious (including fatal) allergic and skin reactions: Discontinue azithromycin if reaction occurs. ( 5.1)
  • Hepatotoxicity: Severe, and sometimes fatal, hepatotoxicity has been reported. Discontinue azithromycin immediately if signs and symptoms of hepatitis occur. ( 5.2)
  • Infantile Hypertrophic Pyloric Stenosis (IHPS): Following the use of azithromycin in neonates (treatment up to 42 days of life), IHPS has been reported. Direct parents and caregivers to contact their physician if vomiting or irritability with feeding occurs. ( 5.3)
  • Prolongation of QT interval and cases of torsades de pointes have been reported. This risk which can be fatal should be considered in patients with certain cardiovascular disorders including known QT prolongation or history of torsades de pointes, those with proarrhythmic conditions, and with other drugs that prolong the QT interval. ( 5.4)
  • Cardiovascular Death: Some observational studies have shown an approximately two-fold increased short-term potential risk of acute cardiovascular death in adults exposed to azithromycin relative to other antibacterial drugs, including amoxicillin. Consider balancing this potential risk with treatment benefits when prescribing azithromycin. ( 5.5)
  • Clostridioides difficile-Associated Diarrhea: Evaluate patients if diarrhea occurs. ( 5.6)
  •  Azithromycin may exacerbate muscle weakness in persons with myasthenia gravis. ( 5.7)
2 Dosage and Administration (2 DOSAGE AND ADMINISTRATION)
  • Adult Patients ( 2.1)

Infection

Recommended Dose/Duration of Therapy

Community-acquired pneumonia (mild severity)

Pharyngitis/tonsillitis (second-line therapy)

Skin/skin structure (uncomplicated)

500 mg as a single dose on Day 1, followed by 250 mg once daily on Days 2 through 5.

Acute bacterial exacerbations of chronic bronchitis (mild to moderate)

500 mg as a single dose on Day 1, followed by 250 mg once daily on Days 2 through 5 or 500 mg once daily for 3 days.

Acute bacterial sinusitis 

500 mg once daily for 3 days.

Genital ulcer disease (chancroid)

Non-gonococcal urethritis and cervicitis

One single 1 gram dose.

Gonococcal urethritis and cervicitis

One single 2 gram dose.

  • Pediatric Patients ( 2.2)

Infection

Recommended Dose/Duration of Therapy

Acute otitis media (6 months of age and older)

30 mg/kg as a single dose or 10 mg/kg once daily for 3 days or 10 mg/kg as a single dose on Day 1 followed by 5 mg/kg/day on Days 2 through 5.

Acute bacterial sinusitis (6 months of age and older) 

10 mg/kg once daily for 3 days.

Community-acquired pneumonia (6 months of age and older)

10 mg/kg as a single dose on Day 1 followed by 5 mg/kg once daily on Days 2 through 5.

Pharyngitis/tonsillitis (2 years of age and older)

12 mg/kg once daily for 5 days.

Package/label Display Panel (Package/Label Display Panel)

3 Dosage Forms and Strengths (3 DOSAGE FORMS AND STRENGTHS)

Azithromycin Tablets USP, 500 mg are supplied as blue, capsule shaped, biconvex, film-coated tablets, debossed with “788” on one side and “PLIVA” on the other, containing azithromycin monohydrate equivalent to 500 mg of azithromycin, USP.

5.6 Clostridioides Difficile (5.6 Clostridioides difficile)

Clostridioidesdifficile -associated diarrhea has been reported with use of nearly all antibacterial agents, including azithromycin, and may range in severity from mild diarrhea to fatal colitis. Treatment with antibacterial agents alters the normal flora of the colon, leading to overgrowth of C. difficile.

C. difficileproduces toxins A and B which contribute to the development of CDAD. Hypertoxin producing strains of C. difficilecause increased morbidity and mortality, as these infections can be refractory to antibacterial therapy and may require colectomy. CDAD must be considered in all patients who present with diarrhea following antibiotic use. Careful medical history is necessary since CDAD has been reported to occur over two months after the administration of antibacterial agents.

If CDAD is suspected or confirmed, ongoing antibiotic use not directed against C. difficilemay need to be discontinued. Appropriate fluid and electrolyte management, protein supplementation, antibiotic treatment of C. difficile, and surgical evaluation should be instituted as clinically indicated.

6.2 Postmarketing Experience

The following adverse reactions have been identified during post-approval use of azithromycin. Because these reactions are reported voluntarily from a population of uncertain size, it is not always possible to reliably estimate their frequency or establish a causal relationship to drug exposure.

Adverse reactions reported with azithromycin during the postmarketing period in adult and/or pediatric patients for which a causal relationship may not be established include:

Allergic:Arthralgia, edema, urticaria, and angioedema.

Cardiovascular:Arrhythmias including ventricular tachycardia and hypotension. There have been reports of QT prolongation, torsades de pointes, and cardiovascular death. 

Gastrointestinal:Anorexia, constipation, dyspepsia, flatulence, vomiting/diarrhea, pseudomembranous colitis, pancreatitis, oral candidiasis, pyloric stenosis, and reports of tongue discoloration.

General:Asthenia, paresthesia, fatigue, malaise, and anaphylaxis.

Genitourinary:Interstitial nephritis and acute renal failure and vaginitis.

Hematopoietic:Thrombocytopenia.

Liver/Biliary:Abnormal liver function, hepatitis, cholestatic jaundice, hepatic necrosis, and hepatic failure [see Warnings and Precautions ( 5.2)].

Nervous System:Convulsions, dizziness/vertigo, headache, somnolence, hyperactivity, nervousness, agitation, and syncope.

Psychiatric:Aggressive reaction and anxiety.

Skin/Appendages:Pruritus, serious skin reactions including erythema multiforme, AGEP, Stevens-Johnson syndrome, toxic epidermal necrolysis, and DRESS.

Special Senses:Hearing disturbances including hearing loss, deafness and/or tinnitus, and reports of taste/smell perversion and/or loss.

6.3 Laboratory Abnormalities

Adults:

Clinically significant abnormalities (irrespective of drug relationship) occurring during the clinical trials were reported as follows: with an incidence of greater than 1%: decreased hemoglobin, hematocrit, lymphocytes, neutrophils, and blood glucose; elevated serum creatine phosphokinase, potassium, ALT, GGT, AST, BUN, creatinine, blood glucose, platelet count, lymphocytes, neutrophils, and eosinophils; with an incidence of less than 1%: leukopenia, neutropenia, decreased sodium, potassium, platelet count, elevated monocytes, basophils, bicarbonate, serum alkaline phosphatase, bilirubin, LDH, and phosphate. The majority of subjects with elevated serum creatinine also had abnormal values at baseline. When follow-up was provided, changes in laboratory tests appeared to be reversible.

In multiple-dose clinical trials involving more than 5000 patients, four patients discontinued therapy because of treatment-related liver enzyme abnormalities and one because of a renal function abnormality.

Pediatric Patients:

One, Three, and Five Day Regimens

Laboratory data collected from comparative clinical trials employing two 3 day regimens (30 mg/kg or 60 mg/kg in divided doses over 3 days), or two 5 day regimens (30 mg/kg or 60 mg/kg in divided doses over 5 days) were similar for regimens of azithromycin and all comparators combined, with most clinically significant laboratory abnormalities occurring at incidences of 1 to 5%. Laboratory data for patients receiving 30 mg/kg as a single dose were collected in one single center trial. In that trial, an absolute neutrophil count between 500 to 1500 cells/mm 3was observed in 10/64 patients receiving 30 mg/kg as a single dose, 9/62 patients receiving 30 mg/kg given over 3 days, and 8/63 comparator patients. No patient had an absolute neutrophil count <500 cells/mm 3.

In multiple-dose clinical trials involving approximately 4700 pediatric patients, no patients discontinued therapy because of treatment-related laboratory abnormalities.

8 Use in Specific Populations (8 USE IN SPECIFIC POPULATIONS)
  • Pediatric use: Safety and effectiveness in the treatment of patients under 6 months of age have not been established. ( 8.4)
  • Geriatric use: Elderly patients may be more susceptible to development of torsades de pointes arrhythmias. ( 8.5)
6.1 Clinical Trials Experience

Because clinical trials are conducted under widely varying conditions, adverse reaction rates observed in the clinical trials of a drug cannot be directly compared to rates in the clinical trials of another drug and may not reflect the rates observed in practice.

In clinical trials, most of the reported side effects were mild to moderate in severity and were reversible upon discontinuation of the drug. Potentially serious adverse reactions of angioedema and cholestatic jaundice were reported. Approximately 0.7% of the patients (adults and pediatric patients) from the 5 day multiple-dose clinical trials discontinued azithromycin therapy because of treatment-related adverse reactions. In adults given 500 mg/day for 3 days, the discontinuation rate due to treatment-related adverse reactions was 0.6%. In clinical trials in pediatric patients given 30 mg/kg, either as a single dose or over 3 days, discontinuation from the trials due to treatment-related adverse reactions was approximately 1%. Most of the adverse reactions leading to discontinuation were related to the gastrointestinal tract, e.g., nausea, vomiting, diarrhea, or abdominal pain [see Clinical Studies ( 14.2)].

Adults

Multiple-dose regimens: Overall, the most common treatment-related adverse reactions in adult patients receiving multiple-dose regimens of azithromycin were related to the gastrointestinal system with diarrhea/loose stools (4 to 5%), nausea (3%), and abdominal pain (2 to 3%) being the most frequently reported.

No other adverse reactions occurred in patients on the multiple-dose regimens of azithromycin with a frequency greater than 1%. Adverse reactions that occurred with a frequency of 1% or less included the following:

Cardiovascular:Palpitations, chest pain.

Gastrointestinal:Dyspepsia, flatulence, vomiting, melena, and cholestatic jaundice.

Genitourinary:Monilia, vaginitis, and nephritis.

Nervous System:Dizziness, headache, vertigo, and somnolence.

General:Fatigue.

Allergic:Rash, pruritus, photosensitivity, and angioedema.

Single 1 gram dose regimen:

Overall, the most common adverse reactions in patients receiving a single-dose regimen of 1 gram of azithromycin were related to the gastrointestinal system and were more frequently reported than in patients receiving the multiple-dose regimen.

Adverse reactions that occurred in patients on the single 1 gram dosing regimen of azithromycin with a frequency of 1% or greater included diarrhea/loose stools (7%), nausea (5%), abdominal pain (5%), vomiting (2%), dyspepsia (1%), and vaginitis (1%).

Single 2 gram dose regimen:

Overall, the most common adverse reactions in patients receiving a single 2 gram dose of azithromycin were related to the gastrointestinal system. Adverse reactions that occurred in patients in this study with a frequency of 1% or greater included nausea (18%), diarrhea/loose stools (14%), vomiting (7%), abdominal pain (7%), vaginitis (2%), dyspepsia (1%), and dizziness (1%). The majority of these complaints were mild in nature.

Pediatric Patients

Single and Multiple-dose regimens: The types of adverse reactions in pediatric patients were comparable to those seen in adults, with different incidence rates for the dosage regimens recommended in pediatric patients.

Acute Otitis Media:For the recommended total dosage regimen of 30 mg/kg, the most frequent adverse reactions (≥ 1%) attributed to treatment were diarrhea, abdominal pain, vomiting, nausea, and rash [see Dosage and Administration ( 2) and Clinical Studies ( 14.2)] .

The incidence, based on dosing regimen, is described in the table below:

Dosage Regimen

Diarrhea %

Abdominal Pain %

Vomiting %

Nausea %

Rash %

1 day

4.3%

1.4%

4.9%

1.0%

1.0%

3 day

2.6%

1.7%

2.3%

0.4%

0.6%

5 day

1.8%

1.2%

1.1%

0.5%

0.4%



Community-Acquired Pneumonia:
For the recommended dosage regimen of 10 mg/kg on Day 1 followed by 5 mg/kg on Days 2 to 5, the most frequent adverse reactions attributed to treatment were diarrhea/loose stools, abdominal pain, vomiting, nausea, and rash.

The incidence is described in the table below:

Dosage Regimen

Diarrhea/Loose stools %

Abdominal Pain %

Vomiting %

Nausea %

Rash %

5 day

5.8%

1.9%

1.9%

1.9%

1.6%



Pharyngitis/Tonsillitis:
For the recommended dosage regimen of 12 mg/kg on Days 1 to 5, the most frequent adverse reactions attributed to treatment were diarrhea, vomiting, abdominal pain, nausea, and headache.

The incidence is described in the table below:

Dosage Regimen

Diarrhea %

Abdominal Pain %

Vomiting %

Nausea %

Rash %

Headache %

5 day

5.4%

3.4%

5.6%

1.8%

0.7%

1.1%



With any of the treatment regimens, no other adverse reactions occurred in pediatric patients treated with azithromycin with a frequency greater than 1%. Adverse reactions that occurred with a frequency of 1% or less included the following:

Cardiovascular:Chest pain.

Gastrointestinal:Dyspepsia, constipation, anorexia, enteritis, flatulence, gastritis, jaundice, loose stools, and oral moniliasis.

Hematologic and Lymphatic:Anemia and leukopenia.

Nervous System:Headache (otitis media dosage), hyperkinesia, dizziness, agitation, nervousness, and insomnia.

General:Fever, face edema, fatigue, fungal infection, malaise, and pain.

Allergic:Rash and allergic reaction.

Respiratory:Cough, pharyngitis, pleural effusion, and rhinitis.

Skin and Appendages:Eczema, fungal dermatitis, pruritus, sweating, urticaria, and vesiculobullous rash.

Special Senses:Conjunctivitis.

17 Patient Counseling Information (17 PATIENT COUNSELING INFORMATION)

Advise the patient to read the FDA-approved patient labeling (Patient Information).

General Patient Counseling

Azithromycin tablets can be taken with or without food.

Patients should also be cautioned not to take aluminum- and magnesium-containing antacids and azithromycin simultaneously.

The patient should be directed to discontinue azithromycin immediately and contact a physician if any signs of an allergic reaction occur.

Direct parents or caregivers to contact their physician if vomiting and irritability with feeding occurs in the infant.

Patients should be counseled that antibacterial drugs including azithromycin should only be used to treat bacterial infections. They do not treat viral infections (e.g., the common cold). When azithromycin is prescribed to treat a bacterial infection, patients should be told that although it is common to feel better early in the course of the therapy, the medication should be taken exactly as directed. Skipping doses or not completing the full course of therapy may (1) decrease the effectiveness of the immediate treatment and (2) increase the likelihood that bacteria will develop resistance and will not be treatable by azithromycin or other antibacterial drugs in the future.

Diarrhea is a common problem caused by antibacterials which usually ends when the antibacterial is discontinued. Sometimes after starting treatment with antibacterials patients can develop watery and bloody stools (with or without stomach cramps and fever) even as late as two or more months after having taken the last dose of the antibacterial drug. If this occurs, patients should contact their physician as soon as possible.

Dispense with Patient Package Insert available at: www.tevausa.com/PatientPI

Distributed by:

Sportpharm

2237 N Commerce Parkway,

STE 1, Weston, Florida-33326

Relabeled by:

Enovachem PHARMACEUTICALS

Torrance, CA 90501

16 How Supplied/storage and Handling (16 HOW SUPPLIED/STORAGE AND HANDLING)

Azithromycin Tablets USP, 500 mg are supplied as blue, capsule shaped, biconvex, film-coated tablets, debossed with “788” on one side and “PLIVA” on the other, containing azithromycin monohydrate equivalent to 500 mg of azithromycin, USP, available in boxes of 1 card x 3 tablets (NDC 85766-077-03 relabeled from NDC 50111-788-55), in a bundle of 3 boxes x 3 tablets (9) (NDC 85766-077-09 relabeled from NDC 50111-788-67), and in bottles of 30 tablets (NDC 85766-077-30 relabeled from NDC 50111-788-10).

Store at 20° to 25°C (68° to 77°F) [See USP Controlled Room Temperature].

Keep this and all medications out of the reach of children.

5.7 Exacerbation of Myasthenia Gravis

Exacerbation of symptoms of myasthenia gravis and new onset of myasthenic syndrome have been reported in patients receiving azithromycin therapy.

13.2 Animal Toxicology And/or Pharmacology (13.2 Animal Toxicology and/or Pharmacology)

Phospholipidosis (intracellular phospholipid accumulation) has been observed in some tissues of mice, rats, and dogs given multiple doses of azithromycin. It has been demonstrated in numerous organ systems (e.g., eye, dorsal root ganglia, liver, gallbladder, kidney, spleen, and/or pancreas) in dogs and rats treated with azithromycin at doses which, expressed on the basis of body surface area, are similar to or less than the highest recommended adult human dose. This effect has been shown to be reversible after cessation of azithromycin treatment. Based on the pharmacokinetic data, phospholipidosis has been seen in the rat (50 mg/kg/day dose) at the observed maximal plasma concentration of 1.3 mcg/mL (1.6 times the observed C maxof 0.821 mcg/mL at the adult dose of 2 g). Similarly, it has been shown in the dog (10 mg/kg/day dose) at the observed maximal serum concentration of 1 mcg/mL (1.2 times the observed C maxof 0.821 mcg/mL at the adult dose of 2 g). Phospholipidosis was also observed in neonatal rats dosed for 18 days at 30 mg/kg/day, which is less than the pediatric dose of 60 mg/kg based on the surface area. It was not observed in neonatal rats treated for 10 days at 40 mg/kg/day with mean maximal serum concentrations of 1.86 mcg/mL, approximately 1.5 times the C maxof 1.27 mcg/mL at the pediatric dose. Phospholipidosis has been observed in neonatal dogs (10 mg/kg/day) at maximum mean whole blood concentrations of 3.54 mcg/mL, approximately 3 times the pediatric dose C max. The significance of these findings for animals and for humans is unknown.

5.8 Use in Sexually Transmitted Infections

Azithromycin, at the recommended dose, should not be relied upon to treat syphilis. Antibacterial agents used to treat non-gonococcal urethritis may mask or delay the symptoms of incubating syphilis. All patients with sexually transmitted urethritis or cervicitis should have a serologic test for syphilis and appropriate testing for gonorrhea performed at the time of diagnosis. Appropriate antibacterial therapy and follow-up tests for these diseases should be initiated if infection is confirmed.

5.9 Development of Drug Resistant Bacteria (5.9 Development of Drug-Resistant Bacteria)

Prescribing azithromycin in the absence of a proven or strongly suspected bacterial infection is unlikely to provide benefit to the patient and increases the risk of the development of drug-resistant bacteria.

5.3 Infantile Hypertrophic Pyloric Stenosis (ihps) (5.3 Infantile Hypertrophic Pyloric Stenosis (IHPS))

Following the use of azithromycin in neonates (treatment up to 42 days of life), IHPS has been reported. Direct parents and caregivers to contact their physician if vomiting or irritability with feeding occurs.

7.3 Potential Drug Drug Interaction With Macrolides (7.3 Potential Drug-Drug Interaction with Macrolides)

Interactions with digoxin, colchicine or phenytoin have not been reported in clinical trials with azithromycin. No specific drug interaction studies have been performed to evaluate potential drug-drug interaction. However, drug interactions have been observed with other macrolide products. Until further data are developed regarding drug interactions when digoxin, colchicine or phenytoin are used with azithromycin careful monitoring of patients is advised.

13.1 Carcinogenesis, Mutagenesis, Impairment of Fertility

Long-term studies in animals have not been performed to evaluate carcinogenic potential. Azithromycin has shown no mutagenic potential in standard laboratory tests: mouse lymphoma assay, human lymphocyte clastogenic assay, and mouse bone marrow clastogenic assay. In fertility studies conducted in male and female rats, oral administration of azithromycin for 64 to 66 days (males) or 15 days (females) prior to and during cohabitation resulted in decreased pregnancy rate at 20 and 30 mg/kg/day when both males and females were treated with azithromycin. This minimal effect on pregnancy rate (approximately 12% reduction compared to concurrent controls) did not become more pronounced when the dose was increased from 20 to 30 mg/kg/day (approximately 0.4 to 0.6 times the adult daily dose of 500 mg based on body surface area) and it was not observed when only one animal in the mated pair was treated. There were no effects on any other reproductive parameters, and there were no effects on fertility at 10 mg/kg/day. The relevance of these findings to patients being treated with azithromycin at the doses and durations recommended in the prescribing information is uncertain.


Advanced Ingredient Data


Raw Label Data

All Sections (JSON)