These Highlights Do Not Include All The Information Needed To Use Amoxicillin Tablets Safely And Effectively. See Full Prescribing Information For Amoxicillin Tablets.

These Highlights Do Not Include All The Information Needed To Use Amoxicillin Tablets Safely And Effectively. See Full Prescribing Information For Amoxicillin Tablets.
SPL v1
SPL
SPL Set ID 3880b9c2-62a5-0d23-e063-6394a90a1252
Route
ORAL
Published
Effective Date 2025-06-26
Document Type 34391-3 HUMAN PRESCRIPTION DRUG LABEL

Drug Facts

Composition & Product

Active Ingredients
Amoxicillin Anhydrous (500 mg)
Inactive Ingredients
Silicon Dioxide Crospovidone (120 .mu.m) D&c Red No. 30 Hypromellose 2910 (6 Mpa.s) Hypromellose 2910 (15 Mpa.s) Magnesium Stearate Microcrystalline Cellulose Polyethylene Glycol 3350 Polyethylene Glycol 8000 Sodium Starch Glycolate Type A Potato Titanium Dioxide

Identifiers & Packaging

Pill Appearance
Imprint: A;66 Shape: oval Color: pink Size: 18 mm Score: 1
Marketing Status
ANDA Active Since 2005-11-09

Description

Warnings and Precautions, Drug-Induced Enterocolitis Syndrome (DIES) ( 5.3 )                                                               5/2024

Indications and Usage

Adults and Pediatric Patients Upper Respiratory Tract Infections of the Ear, Nose, and Throat: Amoxicillin tablets are indicated in the treatment of infections due to susceptible (ONLY β-lactamase-negative) isolates of Streptococcus species. (α- and β-hemolytic isolates only), Streptococcus pneumoniae , Staphylococcus spp., or Haemophilus influenzae . Infections of the Genitourinary Tract: Amoxicillin tablets are indicated in the treatment of infections due to susceptible (ONLY β-lactamase–negative) isolates of Escherichia coli, Proteus mirabilis , or Enterococcus faecalis .  Infections of the Skin and Skin Structure: Amoxicillin tablets are indicated in the treatment of infections due to susceptible (ONLY β-lactamase–negative) isolates of Streptococcus spp. (α- and β-hemolytic isolates only), Staphylococcus spp., or E. coli . Infections of the Lower Respiratory Tract: Amoxicillin tablets are indicated in the treatment of infections due to susceptible (ONLY β-lactamase–negative) isolates of Streptococcus spp. (α- and β-hemolytic isolates only), S. pneumoniae, Staphylococcus spp., or H. influenzae .  Adult Patients only Helicobacter pylori Infection and Duodenal Ulcer Disease: Triple therapy for Helicobacter pylori (H. pylori) with clarithromycin and lansoprazole:   Amoxicillin tablets, in combination with clarithromycin plus lansoprazole as triple therapy, are indicated for the treatment of patients with H. pylori infection and duodenal ulcer disease (active or 1-year history of a duodenal ulcer) to eradicate H. pylori . Eradication of H. pylori has been shown to reduce the risk of duodenal ulcer recurrence. Dual therapy for H. pylori with lansoprazole :   Amoxicillin tablets, in combination with lansoprazole delayed-release capsules as dual therapy, are indicated for the treatment of patients with H. pylori infection and duodenal ulcer disease (active or 1-year history of a duodenal ulcer) who are either allergic or intolerant to clarithromycin or in whom resistance to clarithromycin is known or suspected . (See the clarithromycin package insert, MICROBIOLOGY.) Eradication of H. pylori has been shown to reduce the risk of duodenal ulcer recurrence. Usage To reduce the development of drug-resistant bacteria and maintain the effectiveness of amoxicillin tablets and other antibacterial drugs, amoxicillin tablets should be used only to treat infections that are proven or strongly suspected to be caused by bacteria. When culture and susceptibility information are available, they should be considered in selecting or modifying antibacterial therapy. In the absence of such data, local epidemiology and susceptibility patterns may contribute to the empiric selection of therapy.

Dosage and Administration

In Adults, 750 to 1750 mg/day in divided doses every 8 to 12 hours. In Pediatric Patients over 3 Months of Age, 20 to 45 mg/kg/day in divided doses every 8 to 12 hours. Refer to full prescribing information for specific dosing regimens. ( 2.2 , 2.3 ) The upper dose for neonates and infants aged 3 months or younger is 30 mg/kg/day divided every 12 hours. ( 2.3 ) Dosing for H. pylori Infection (in Adults): Triple therapy: 1 gram amoxicillin, 500 mg clarithromycin, and 30 mg lansoprazole, all given twice daily (every 12 hours) for 14 days. Dual therapy: 1 gram amoxicillin and 30 mg lansoprazole, each given three times daily (every 8 hours) for 14 days. ( 2.4 )  Reduce the dose in patients with severe renal impairment (GFR greater than 30 mL/min). ( 2.5 )

Warnings and Precautions

Anaphylactic reactions: Serious and occasionally fatal anaphylactic reactions have been reported in patients on penicillin therapy, including amoxicillin. Discontinue amoxicillin if a reaction occurs ( 5.1 ). Severe cutaneous adverse reactions (SCAR): Monitor closely. Discontinue if rash progresses. ( 5.2 ) Drug-induced enterocolitis syndrome (DIES) has been reported with amoxicillin use. If this occurs, discontinue amoxicillin and institute appropriate therapy. ( 5.3 )   Clostridioides difficile -associated diarrhea (CDAD) (ranging from mild diarrhea to fatal colitis): Evaluate if diarrhea occurs. ( 5.4 )

Contraindications

Amoxicillin tablets are contraindicated in patients who have experienced a serious hypersensitivity reaction (e.g., anaphylaxis or Stevens-Johnson syndrome) to amoxicillin tablets or to other β-lactam antibacterial drugs (e.g., penicillins and cephalosporins).

Adverse Reactions

Amoxicillin may cause severe cutaneous adverse reactions (SCAR), such as Stevens-Johnson syndrome (SJS), toxic epidermal necrolysis (TEN), drug reaction with eosinophilia and systemic symptoms (DRESS), and acute generalized exanthematous pustulosis (AGEP). If patients develop skin rash they should be monitored closely, and amoxicillin discontinued if lesions progress.

Drug Interactions

Co-administration with probenicid is not recommended. (7.1) Concomitant use of amoxicillin and oral anticoagulants may increase the prolongation of prothrombin time. (7.2) Co-administration with allopurinol increases the risk of rash. (7.3) Amoxicillin may reduce the efficacy of oral contraceptives. (7.4)

Storage and Handling

Amoxicillin Tablets, USP contains 500 mg amoxicillin as the trihydrate. 500 mg Tablet Pink colored, capsule shaped, film coated tablets debossed with “A” on one side and “66” on the other side. Bottles of 20 NDC 68071-3872-2 Store at 20° to 25°C (68° to 77°F); excursions permitted to 15° to 30°C (59° to 86°F) [see USP Controlled Room Temperature]. Dispense in a tight container.

How Supplied

Amoxicillin Tablets, USP contains 500 mg amoxicillin as the trihydrate. 500 mg Tablet Pink colored, capsule shaped, film coated tablets debossed with “A” on one side and “66” on the other side. Bottles of 20 NDC 68071-3872-2 Store at 20° to 25°C (68° to 77°F); excursions permitted to 15° to 30°C (59° to 86°F) [see USP Controlled Room Temperature]. Dispense in a tight container.


Medication Information

Warnings and Precautions

Anaphylactic reactions: Serious and occasionally fatal anaphylactic reactions have been reported in patients on penicillin therapy, including amoxicillin. Discontinue amoxicillin if a reaction occurs ( 5.1 ). Severe cutaneous adverse reactions (SCAR): Monitor closely. Discontinue if rash progresses. ( 5.2 ) Drug-induced enterocolitis syndrome (DIES) has been reported with amoxicillin use. If this occurs, discontinue amoxicillin and institute appropriate therapy. ( 5.3 )   Clostridioides difficile -associated diarrhea (CDAD) (ranging from mild diarrhea to fatal colitis): Evaluate if diarrhea occurs. ( 5.4 )

Indications and Usage

Adults and Pediatric Patients Upper Respiratory Tract Infections of the Ear, Nose, and Throat: Amoxicillin tablets are indicated in the treatment of infections due to susceptible (ONLY β-lactamase-negative) isolates of Streptococcus species. (α- and β-hemolytic isolates only), Streptococcus pneumoniae , Staphylococcus spp., or Haemophilus influenzae . Infections of the Genitourinary Tract: Amoxicillin tablets are indicated in the treatment of infections due to susceptible (ONLY β-lactamase–negative) isolates of Escherichia coli, Proteus mirabilis , or Enterococcus faecalis .  Infections of the Skin and Skin Structure: Amoxicillin tablets are indicated in the treatment of infections due to susceptible (ONLY β-lactamase–negative) isolates of Streptococcus spp. (α- and β-hemolytic isolates only), Staphylococcus spp., or E. coli . Infections of the Lower Respiratory Tract: Amoxicillin tablets are indicated in the treatment of infections due to susceptible (ONLY β-lactamase–negative) isolates of Streptococcus spp. (α- and β-hemolytic isolates only), S. pneumoniae, Staphylococcus spp., or H. influenzae .  Adult Patients only Helicobacter pylori Infection and Duodenal Ulcer Disease: Triple therapy for Helicobacter pylori (H. pylori) with clarithromycin and lansoprazole:   Amoxicillin tablets, in combination with clarithromycin plus lansoprazole as triple therapy, are indicated for the treatment of patients with H. pylori infection and duodenal ulcer disease (active or 1-year history of a duodenal ulcer) to eradicate H. pylori . Eradication of H. pylori has been shown to reduce the risk of duodenal ulcer recurrence. Dual therapy for H. pylori with lansoprazole :   Amoxicillin tablets, in combination with lansoprazole delayed-release capsules as dual therapy, are indicated for the treatment of patients with H. pylori infection and duodenal ulcer disease (active or 1-year history of a duodenal ulcer) who are either allergic or intolerant to clarithromycin or in whom resistance to clarithromycin is known or suspected . (See the clarithromycin package insert, MICROBIOLOGY.) Eradication of H. pylori has been shown to reduce the risk of duodenal ulcer recurrence. Usage To reduce the development of drug-resistant bacteria and maintain the effectiveness of amoxicillin tablets and other antibacterial drugs, amoxicillin tablets should be used only to treat infections that are proven or strongly suspected to be caused by bacteria. When culture and susceptibility information are available, they should be considered in selecting or modifying antibacterial therapy. In the absence of such data, local epidemiology and susceptibility patterns may contribute to the empiric selection of therapy.

Dosage and Administration

In Adults, 750 to 1750 mg/day in divided doses every 8 to 12 hours. In Pediatric Patients over 3 Months of Age, 20 to 45 mg/kg/day in divided doses every 8 to 12 hours. Refer to full prescribing information for specific dosing regimens. ( 2.2 , 2.3 ) The upper dose for neonates and infants aged 3 months or younger is 30 mg/kg/day divided every 12 hours. ( 2.3 ) Dosing for H. pylori Infection (in Adults): Triple therapy: 1 gram amoxicillin, 500 mg clarithromycin, and 30 mg lansoprazole, all given twice daily (every 12 hours) for 14 days. Dual therapy: 1 gram amoxicillin and 30 mg lansoprazole, each given three times daily (every 8 hours) for 14 days. ( 2.4 )  Reduce the dose in patients with severe renal impairment (GFR greater than 30 mL/min). ( 2.5 )

Contraindications

Amoxicillin tablets are contraindicated in patients who have experienced a serious hypersensitivity reaction (e.g., anaphylaxis or Stevens-Johnson syndrome) to amoxicillin tablets or to other β-lactam antibacterial drugs (e.g., penicillins and cephalosporins).

Adverse Reactions

Amoxicillin may cause severe cutaneous adverse reactions (SCAR), such as Stevens-Johnson syndrome (SJS), toxic epidermal necrolysis (TEN), drug reaction with eosinophilia and systemic symptoms (DRESS), and acute generalized exanthematous pustulosis (AGEP). If patients develop skin rash they should be monitored closely, and amoxicillin discontinued if lesions progress.

Drug Interactions

Co-administration with probenicid is not recommended. (7.1) Concomitant use of amoxicillin and oral anticoagulants may increase the prolongation of prothrombin time. (7.2) Co-administration with allopurinol increases the risk of rash. (7.3) Amoxicillin may reduce the efficacy of oral contraceptives. (7.4)

Storage and Handling

Amoxicillin Tablets, USP contains 500 mg amoxicillin as the trihydrate. 500 mg Tablet Pink colored, capsule shaped, film coated tablets debossed with “A” on one side and “66” on the other side. Bottles of 20 NDC 68071-3872-2 Store at 20° to 25°C (68° to 77°F); excursions permitted to 15° to 30°C (59° to 86°F) [see USP Controlled Room Temperature]. Dispense in a tight container.

How Supplied

Amoxicillin Tablets, USP contains 500 mg amoxicillin as the trihydrate. 500 mg Tablet Pink colored, capsule shaped, film coated tablets debossed with “A” on one side and “66” on the other side. Bottles of 20 NDC 68071-3872-2 Store at 20° to 25°C (68° to 77°F); excursions permitted to 15° to 30°C (59° to 86°F) [see USP Controlled Room Temperature]. Dispense in a tight container.

Description

Warnings and Precautions, Drug-Induced Enterocolitis Syndrome (DIES) ( 5.3 )                                                               5/2024

Section 43683-2

Warnings and Precautions, Drug-Induced Enterocolitis

Syndrome (DIES) ( 5.3)                                                               5/2024

10 Overdosage


In case of overdosage, discontinue amoxicillin, treat symptomatically, and institute supportive measures as required. A prospective study of 51 pediatric patients at a poison-control center suggested that overdosages of less than 250 mg/kg of amoxicillin are not associated with significant clinical symptoms.



Interstitial nephritis resulting in oliguric renal failure has been reported in a small number of patients after overdosage with amoxicillin 1.



Crystalluria, in some cases leading to renal failure, has also been reported after amoxicillin overdosage in adult and pediatric patients. In case of overdosage, adequate fluid intake and diuresis should be maintained to reduce the risk of amoxicillin crystalluria.



Renal impairment appears to be reversible with cessation of drug administration. High blood levels may occur more readily in patients with impaired renal function because of decreased renal clearance of amoxicillin. Amoxicillin may be removed from circulation by hemodialysis.

15 References
  • Swanson-Biearman B, Dean BS, Lopez G, Krenzelok EP. The effects of penicillin and cephalosporin ingestions in children less than six years of age. Vet Hum Toxicol. 1988; 30: 66-67.
8.1 Pregnancy


Teratogenic Effects :Pregnancy Category B. Reproduction studies have been performed in mice and rats at doses up to 2000 mg/kg (3 and 6 times the 3 g human dose, based on body surface area). There was no evidence of harm to the fetus due to amoxicillin. There are, however, no adequate and well-controlled studies in pregnant women. Because animal reproduction studies are not always predictive of human response, amoxicillin should be used during pregnancy only if clearly needed.

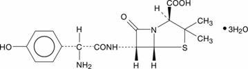
11 Description


Amoxicillin tablets, USP are a semisynthetic antibacterial (amoxicillin), an analog of ampicillin, with a broad spectrum of bactericidal activity against many Gram-positive and Gram-negative microorganisms. Chemically, it is (2 S,5 R,6 R)-6-[( R)-(-)-2-amino-2-( p-hydroxyphenyl) acetamido]-3,3-dimethyl-7-oxo-4-thia-1-azabicyclo[3.2.0]heptane-2-carboxylic acid trihydrate. It may be represented structurally as:





The amoxicillin molecular formula is C 16H 19N 3O 5S 3H 2O, and the molecular weight is 419.45.



Each film coated tablet contains 500 mg or 875 mg amoxicillin USP as the trihydrate. The 500 mg pink colored, capsule shaped, film coated tablets debossed with “A” on one side and “66” on the other side. The 875 mg pink colored, capsule shaped, film coated tablets debossed with “A” on one side and with a score line in between “6” and “7” on the other side. Inactive ingredients: Colloidal silicon dioxide, crospovidone, D&C Red No. 30 aluminum lake, hypromellose, magnesium stearate, microcrystalline cellulose, polyethylene glycol, sodium starch glycolate, and titanium dioxide.

14.1 H. Pylori

Randomized, double-blind clinical studies performed in the United States in patients with H. pyloriand duodenal ulcer disease (defined as an active ulcer or history of an ulcer within 1 year) evaluated the efficacy of lansoprazole in combination with amoxicillin capsules and clarithromycin tablets as triple 14-day therapy, or in combination with amoxicillin capsules as dual 14-day therapy, for the eradication of H. pylori. Based on the results of these studies, the safety and efficacy of 2 different eradication regimens were established: Triple therapy:Amoxicillin 1 gram twice daily/clarithromycin 500 mg twice daily/lansoprazole 30 mg twice daily (see Table 5). Dual therapy:Amoxicillin 1 gram three times daily/lansoprazole 30 mg three times daily (see Table 6). All treatments were for 14 days. H. pylorieradication was defined as 2 negative tests (culture and histology) at 4 to 6 weeks following the end of treatment. Triple therapy was shown to be more effective than all possible dual therapy combinations. Dual therapy was shown to be more effective than both monotherapies. Eradication of H. pylorihas been shown to reduce the risk of duodenal ulcer recurrence.



Table 5. H. pyloriEradication Rates When Amoxicillin is Administered as Part of a Triple Therapy Regimen

Study

Triple Therapy

Triple Therapy

Evaluable Analysis a

[95% Confidence Interval]

(number of patients)

Intent-to-Treat Analysis b

[95% Confidence Interval]

(number of patients)

Study 1

92

[80 to 97.7]

(n equals 48)

86

[73.3 to 93.5]

(n equals 55)

Study 2

86

 [75.7 to 93.6]

(n equals 66)

83

[72 to 90.8]

(n equals 70)

aThis analysis was based on evaluable patients with confirmed duodenal ulcer (active or within 1 year) and H. pyloriinfection at baseline defined as at least 2 of 3 positive endoscopic tests from CLOtest ®, histology, and/or culture. Patients were included in the analysis if they completed the study. Additionally, if patients dropped out of the study due to an adverse event related to the study drug, they were included in the analysis as failures of therapy.

bPatients were included in the analysis if they had documented H. pyloriinfection at baseline as defined above and had a confirmed duodenal ulcer (active or within 1 year). All dropouts were included as failures of therapy.



Table 6. H. pyloriEradication Rates When Amoxicillin is Administered as Part of a Dual Therapy Regimen

Study

Dual Therapy

Dual Therapy

Evaluable Analysis a

[95% Confidence Interval]

(number of patients)

Intent-to-Treat Analysis b

[95% Confidence Interval]

(number of patients)

Study 1

77

[62.5 to 87.2]

(n equals 51)

70

[56.8 to 81.2]

(n equals 60)

Study 2

66

[51.9 to 77.5]

(n equals 58)

61

[48.5 to 72.9]

(n equals 67)

aThis analysis was based on evaluable patients with confirmed duodenal ulcer (active or within 1 year) and H. pyloriinfection at baseline defined as at least 2 of 3 positive endoscopic tests from CLOtest ®, histology, and/or culture. Patients were included in the analysis if they completed the study. Additionally, if patients dropped out of the study due to an adverse event related to the study drug, they were included in the analysis as failures of therapy.

bPatients were included in the analysis if they had documented H. pyloriinfection at baseline as defined above and had a confirmed duodenal ulcer (active or within 1 year). All dropouts were included as failures of therapy.

7.1 Probenecid


Probenecid decreases the renal tubular secretion of amoxicillin. Concurrent use of amoxicillin and probenecid may result in increased and prolonged blood levels of amoxicillin.

7.3 Allopurinol


The concurrent administration of allopurinol and amoxicillin increases the incidence of rashes in patients receiving both drugs as compared to patients receiving amoxicillin alone. It is not known whether this potentiation of rashes is due to allopurinol or the hyperuricemia present in these patients.

12.4 Microbiology

Mechanism of Action



Amoxicillin is similar to penicillin in its bactericidal action against susceptible bacteria during the stage of active multiplication. It acts through the inhibition of cell wall biosynthesis that leads to the death of the bacteria.

                   

Resistance



Resistance to amoxicillin is mediated primarily through enzymes called beta-lactamases that cleave the beta-lactam ring of amoxicillin, rendering it inactive.



Antimicrobial Activity

Amoxicillin has been shown to be active against most isolates of the following microorganisms, both in vitroand in clinical infections [see Indications and Usage (1)]



Gram-Positive Bacteria  

Enterococcus faecalis

Staphylococcusspp.

Streptococcus pneumoniae

Streptococcusspp. (alpha and beta-hemolytic)



Gram-Negative Bacteria
 

Escherichia coli

Haemophilus influenzae

Helicobacter pylori

Proteus mirabilis



Susceptibility Testing:



For specific information regarding susceptibility test interpretive criteria and associated test methods and quality control standards recognized by FDA for this drug, please see: https://www.fda.gov/STIC.

8.4 Pediatric Use

The safety and effectiveness of amoxicillin for the treatment of upper respiratory tract infections, and infections of the genitourinary tract, skin and skin structure and lower respiratory tract have been established in pediatric patients.



The safety and effectiveness of amoxicillin for the treatment of H.Pyloriinfection have not been established in pediatric patients.



Because of incompletely developed renal function in neonates and young infants, the elimination of amoxicillin may be delayed. Dosing of amoxicillin should be modified in pediatric patients  12 weeks or younger (3 months or younger) [see Dosage and Administration (2.3)].

8.5 Geriatric Use


An analysis of clinical studies of amoxicillin was conducted to determine whether subjects aged 65 and over respond differently from younger subjects. These analyses have not identified differences in responses between the elderly and younger patients, but a greater sensitivity of some older individuals cannot be ruled out. 



This drug is known to be substantially excreted by the kidney, and the risk of toxic reactions to this drug may be greater in patients with impaired renal function. Because elderly patients are more likely to have decreased renal function, care should be taken in dose selection, and it may be useful to monitor renal function.

4 Contraindications


Amoxicillin tablets are contraindicated in patients who have experienced a serious hypersensitivity reaction (e.g., anaphylaxis or Stevens-Johnson syndrome) to amoxicillin tablets or to other β-lactam antibacterial drugs (e.g., penicillins and cephalosporins).

6 Adverse Reactions


The following are discussed in more detail in other sections of the labeling:



7 Drug Interactions
  • Co-administration with probenicid is not recommended. (7.1)
  • Concomitant use of amoxicillin and oral anticoagulants may increase the prolongation of prothrombin time. (7.2)
  • Co-administration with allopurinol increases the risk of rash. (7.3)
  • Amoxicillin may reduce the efficacy of oral contraceptives. (7.4)
8.3 Nursing Mothers


Penicillins have been shown to be excreted in human milk. Amoxicillin use by nursing mothers may lead to sensitization of infants. Caution should be exercised when amoxicillin is administered to a nursing woman.

12.3 Pharmacokinetics


Absorption:Amoxicillin is stable in the presence of gastric acid and is rapidly absorbed after oral administration. The effect of food on the absorption of amoxicillin from the tablets and suspension of amoxicillin has been partially investigated; 400 mg and 875 mg formulations have been studied only when administered at the start of a light meal. 



Orally administered doses of 250 mg and 500 mg amoxicillin capsules result in average peak blood levels 1 to 2 hours after administration in the range of 3.5 mcg/mL to 5 mcg/mL and 5.5 mcg/mL to 7.5 mcg/mL, respectively. 



Mean amoxicillin pharmacokinetic parameters from an open, two-part, single-dose crossover bioequivalencestudy in 27 adults comparing 875 mg of amoxicillin with 875 mg of amoxicillin/clavulanate potassiumshowed that the 875 mg tablet of amoxicillin produces an AUC 0-∞of 35.4 ± 8.1 mcg hr/mL and a C maxof 13.8 ± 4.1 mcg/mL. Dosing was at the start of a light meal following an overnight fast.



Orally administered doses of amoxicillin suspension, 125 mg/5 mL and 250 mg/5 mL, result in average peak blood levels 1 to 2 hours after administration in the range of 1.5 mcg/mL to 3 mcg/mL and 3.5 mcg/mL to 5 mcg/mL, respectively. 



Oral administration of single doses of 400 mg chewable tablets and 400 mg/5 mL suspension of amoxicillin to 24 adult volunteers yielded comparable pharmacokinetic data:





Table 4. Mean Pharmacokinetic Parameters of Amoxicillin (400 mg chewable tablets and 400 mg/5 mL suspension) in Healthy Adults
Dose * AUC 0-∞(mcg hr/mL) C max(mcg/mL)
*Administered at the start of a light meal.

Mean values of 24 normal volunteers. Peak concentrations occurred approximately 1 hour after the dose.

 Amoxicillin

Amoxicillin (±S.D.)

Amoxicillin (±S.D.)

 400 mg (5 mL of suspension)

17.1 (3.1)

5.92 (1.62)

 400 mg (1 chewable tablet)

17.9 (2.4)

5.18 (1.64)



Distribution:Amoxicillin diffuses readily into most body tissues and fluids, with the exception of brain and spinal fluid, except when meninges are inflamed. In blood serum, amoxicillin is approximately 20% protein-bound. Following a 1 gram dose, and utilizing a special skin window technique to determine levels of the antibiotic, it was noted that therapeutic levels were found in the interstitial fluid.



Metabolism and Excretion:The half-life of amoxicillin is 61.3 minutes. Approximately 60% of an orally administered dose of amoxicillin is excreted in the urine within 6 to 8 hours. Detectable serum levels are observed up to 8 hours after an orally administered dose of amoxicillin. Since most of the amoxicillin is excreted unchanged in the urine, its excretion can be delayed by concurrent administration of probenecid [see Drug Interactions (7.1)] .

8.2 Labor and Delivery


Oral ampicillin is poorly absorbed during labor. It is not known whether use of amoxicillin in humans during labor or delivery has immediate or delayed adverse effects on the fetus, prolongs the duration of labor, or increases the likelihood of the necessity for an obstetrical intervention.

1 Indications and Usage

Adults and Pediatric Patients

  • Upper Respiratory Tract Infections of the Ear, Nose, and Throat:Amoxicillin tablets are indicated in the treatment of infections due to susceptible (ONLY β-lactamase-negative) isolates of Streptococcusspecies. (α- and β-hemolytic isolates only), Streptococcus pneumoniae, Staphylococcusspp., or Haemophilus influenzae.


  • Infections of the Genitourinary Tract:Amoxicillin tablets are indicated in the treatment of infections due to susceptible (ONLY β-lactamase–negative) isolates of Escherichia coli, Proteus mirabilis, or Enterococcus faecalis


  • Infections of the Skin and Skin Structure:Amoxicillin tablets are indicated in the treatment of infections due to susceptible (ONLY β-lactamase–negative) isolates of Streptococcusspp. (α- and β-hemolytic isolates only), Staphylococcusspp., or E. coli.


  • Infections of the Lower Respiratory Tract:Amoxicillin tablets are indicated in the treatment of infections due to susceptible (ONLY β-lactamase–negative) isolates of Streptococcusspp. (α- and β-hemolytic isolates only), S. pneumoniae, Staphylococcusspp., or H. influenzae


Adult Patients only

  • Helicobacter pylori Infection and Duodenal Ulcer Disease:

Triple therapy for Helicobacter pylori (H. pylori)with clarithromycin and lansoprazole:  

Amoxicillin tablets, in combination with clarithromycin plus lansoprazole as triple therapy, are indicated for the treatment of patients with H. pyloriinfection and duodenal ulcer disease (active or 1-year history of a duodenal ulcer) to eradicate H. pylori. Eradication of H. pylorihas been shown to reduce the risk of duodenal ulcer recurrence.



Dual therapy for H. pyloriwith lansoprazole :  Amoxicillin tablets, in combination with lansoprazole delayed-release capsules as dual therapy, are indicated for the treatment of patients with H. pyloriinfection and duodenal ulcer disease (active or 1-year history of a duodenal ulcer) who are either allergic or intolerant to clarithromycin or in whom resistance to clarithromycin is known or suspected. (See the clarithromycin package insert, MICROBIOLOGY.) Eradication of H. pylorihas been shown to reduce the risk of duodenal ulcer recurrence.



Usage



To reduce the development of drug-resistant bacteria and maintain the effectiveness of amoxicillin tablets and other antibacterial drugs, amoxicillin tablets should be used only to treat infections that are proven or strongly suspected to be caused by bacteria. When culture and susceptibility information are available, they should be considered in selecting or modifying antibacterial therapy. In the absence of such data, local epidemiology and susceptibility patterns may contribute to the empiric selection of therapy.

7.2 Oral Anticoagulants


Abnormal prolongation of prothrombin time (increased international normalized ratio [INR]) has been reported in patients receiving amoxicillin and oral anticoagulants. Appropriate monitoring should be undertaken when anticoagulants are prescribed concurrently. Adjustments in the dose of oral anticoagulants may be necessary to maintain the desired level of anticoagulation.

7.4 Oral Contraceptives


Amoxicillin may affect the intestinal flora, leading to lower estrogen reabsorption and reduced efficacy of combined oral estrogen/progesterone contraceptives.

12.1 Mechanism of Action

Amoxicillin is an antibacterial drug [see Microbiology (12.4)].

2.4 Dosage for H. Pylori

Triple therapy:The recommended adult oral dose is 1 gram amoxicillin, 500 mg clarithromycin, and 30 mg lansoprazole, all given twice daily (every 12 hours) for 14 days.



Dual therapy:The recommended adult oral dose is 1 gram amoxicillin and 30 mg lansoprazole, each given three times daily (every 8 hours) for 14 days.



Please refer to clarithromycin and lansoprazole full prescribing information.

7.5 Other Antibacterials


Chloramphenicol, macrolides, sulfonamides, and tetracyclines may interfere with the bactericidal effects of penicillin. This has been demonstrated in vitro; however, the clinical significance of this interaction is not well documented.

5 Warnings and Precautions
  • Anaphylactic reactions: Serious and occasionally fatal anaphylactic reactions have been reported in patients on penicillin therapy, including amoxicillin. Discontinue amoxicillin if a reaction occurs ( 5.1).
  • Severe cutaneous adverse reactions (SCAR): Monitor closely. Discontinue if rash progresses. ( 5.2)
  • Drug-induced enterocolitis syndrome (DIES) has been reported with amoxicillin use. If this occurs, discontinue amoxicillin and institute appropriate therapy. ( 5.3)
  •   Clostridioides difficile-associated diarrhea (CDAD) (ranging from mild diarrhea to fatal colitis): Evaluate if diarrhea occurs. ( 5.4)
5.1 Anaphylactic Reactions


Serious and occasionally fatal hypersensitivity (anaphylactic) reactions have been reported in patients on penicillin therapy including amoxicillin. Although anaphylaxis is more frequent following parenteral therapy, it has occurred in patients on oral penicillins. These reactions are more likely to occur in individuals with a history of penicillin hypersensitivity and/or a history of sensitivity to multiple allergens. There have been reports of individuals with a history of penicillin hypersensitivity who have experienced severe reactions when treated with cephalosporins. Before initiating therapy with amoxicillin, careful inquiry     should be made regarding previous hypersensitivity reactions to penicillins, cephalosporins, or other allergens. If an allergic reaction occurs, amoxicillin should be discontinued, and appropriate therapy instituted.

2 Dosage and Administration
  • In Adults, 750 to 1750 mg/day in divided doses every 8 to 12 hours.
  • In Pediatric Patients over 3 Months of Age, 20 to 45 mg/kg/day in divided doses every 8 to 12 hours. Refer to full prescribing information for specific dosing regimens. ( 2.2, 2.3)
  • The upper dose for neonates and infants aged 3 months or younger is 30 mg/kg/day divided every 12 hours. ( 2.3)
  • Dosing for H. pyloriInfection (in Adults): Triple therapy: 1 gram amoxicillin, 500 mg clarithromycin, and 30 mg lansoprazole, all given twice daily (every 12 hours) for 14 days. Dual therapy: 1 gram amoxicillin and 30 mg lansoprazole, each given three times daily (every 8 hours) for 14 days. ( 2.4)
  •  Reduce the dose in patients with severe renal impairment (GFR greater than 30 mL/min). ( 2.5)
3 Dosage Forms and Strengths


500 mg Tabletsare pink colored, capsule shaped, film coated tablets debossed with “A” on one side and “66” on the other side.



875 mg Tabletsare pink colored, capsule shaped, film coated tablets debossed with “A” on one side and with a score line in between “6” and “7” on the other side.

5.4 Clostridioides Difficile


Clostridioidesdifficile- associated diarrhea (CDAD) has been reported with use of nearly all antibacterial agents, including amoxicillin, and may range in severity from mild diarrhea to fatal colitis. Treatment with antibacterial agents alters the normal flora of the colon leading to overgrowth of C. difficile.



C. difficile
produces toxins A and B which contribute to the development of CDAD. Hypertoxin-producing strains of C. difficilecause increased morbidity and mortality, as these infections can be refractory to antimicrobial therapy and may require colectomy. CDAD must be considered in all patients who present with diarrhea following antibacterial use. Careful medical history is necessary since CDAD has been reported to occur over 2 months after the administration of antibacterial agents. 



If CDAD is suspected or confirmed, ongoing antibacterial use not directed against C. difficilemay need to be discontinued. Appropriate fluid and electrolyte management, protein supplementation, antibacterial treatment of C. difficile, and surgical evaluation should be instituted as clinically indicated.

6.2 Postmarketing Experience


In addition to adverse events reported from clinical trials, the following events have been identified during postmarketing use of penicillins. Because they are reported voluntarily from a population of unknown size, estimates of frequency cannot be made. These events have been chosen for inclusion due to a combination of their seriousness, frequency of reporting, or potential causal connection to amoxicillin.



  • Infections and Infestations:Mucocutaneous candidiasis.
  • Gastrointestinal:Drug-induced enterocolitis syndrome (DIES), black hairy tongue, and hemorrhagic/pseudomembranous colitis. Onset of pseudomembranous colitis symptoms may occur during or after antibacterial treatment [see Warnings and Precautions (5.4)] .
  • Immune:Hypersensitivity reactions, anaphylactic/anaphylactoid reactions (including shock), angioedema, serum sickness–like reactions (urticaria or skin rash accompanied by arthritis, arthralgia, myalgia, and frequently fever), hypersensitivity vasculitis [see Warnings and Precautions (5.1) ]
  • Skin and Appendages:Rashes, pruritus, urticaria, erythema multiforme, SJS, TEN, DRESS, AGEP, exfoliative dermatitis, and linear IgA bullous dermatosis.
  • Liver:A moderate rise in AST and/or ALT has been noted, but the significance of this finding is unknown. Hepatic dysfunction including cholestatic jaundice, hepatic cholestasis and acute cytolytic hepatitis have been reported.
  • Renal:Crystalluria has been reported [see Overdosage (10) ] .
  • Hemic and Lymphatic Systems:Anemia, including hemolytic anemia, thrombocytopenia, thrombocytopenic purpura, eosinophilia, leukopenia, and agranulocytosis have been reported. These reactions are usually reversible on discontinuation of therapy and are believed to be hypersensitivity phenomena.
  • Central Nervous System:Reversible hyperactivity, agitation, anxiety, insomnia, confusion, convulsions, behavioral changes, aseptic meningitis, and/or dizziness have been reported.
  •   Miscellaneous:Tooth discoloration (brown, yellow, or gray staining) has been reported. Most reports occurred in pediatric patients. Discoloration was reduced or eliminated with brushing or dental cleaning in most cases.


6.1 Clinical Trials Experience


Because clinical trials are conducted under widely varying conditions, adverse reaction rates observed in the clinical trials of a drug cannot be directly compared to rates in the clinical trials of another drug and may not reflect the rates observed in practice. 



The most common adverse reactions (greater than 1%) observed in clinical trials of amoxicillin tablets or oral suspension were diarrhea, rash, vomiting, and nausea. 



Triple therapy:The most frequently reported adverse events for patients who received triple therapy (amoxicillin/clarithromycin/lansoprazole) were diarrhea (7%), headache (6%), and taste perversion (5%). 



Dual therapy:The most frequently reported adverse events for patients who received double therapy amoxicillin/lansoprazole were diarrhea (8%) and headache (7%). For more information on adverse reactions with clarithromycin or lansoprazole, refer to the Adverse Reactions section of their package inserts.

8.6 Dosing in Renal Impairment

Amoxicillin is primarily eliminated by the kidney and dosage adjustment is usually required in patients with severe renal impairment (GFR less than 30 mL/min). See  Dosing in Renal Impairment (2.5) for specific recommendations in patients with renal impairment.

7.6 Effects On Laboratory Tests


High urine concentrations of ampicillin may result in false-positive reactions when testing for the presence of glucose in urine using CLINITEST ®, Benedict’s Solution, or Fehling’s Solution. Since this effect may also occur with amoxicillin, it is recommended that glucose tests based on enzymatic glucose oxidase reactions (such as CLINISTIX ®) be used. 



Following administration of ampicillin or amoxicillin to pregnant women, a transient decrease in plasma concentration of total conjugated estriol, estriol-glucuronide, conjugated estrone, and estradiol has been noted.

17 Patient Counseling Information

Administration Instructions

Advise patients that amoxicillin tablets may be taken every 8 hours or every 12 hours, depending on the dose prescribed.



Allergic Reactions

Counsel patients that amoxicillin tablets contains a penicillin class drug product that can cause allergic reactions in some individuals.



Severe Cutaneous Adverse Reactions (SCAR)

Advise patients about the signs and symptoms of serious skin manifestations. Instruct patients to stop taking amoxicillin tablets immediately and promptly report the first signs or symptoms of skin rash, mucosal lesions, or any other sign of hypersensitivity [see Warnings and Precautions (5.2)] .



Diarrhea

Counsel patients that diarrhea is a common problem caused by antibacterial drugs which usually ends when the antibacterial drug is discontinued. Sometimes after starting treatment with antibacterial drugs, patients can develop watery and bloody stools (with or without stomach cramps and fever) even as late as 2 or more months after having taken their last dose of the antibacterial drug. If this occurs, patients should contact their physician as soon as possible.



Antibacterial Resistance

Patients should be counseled that antibacterial drugs, including amoxicillin tablets, should only be used to treat or prevent bacterial infections. Antibacterial drugs do not treat viral infections (e.g., the common cold). When amoxicillin tablets are prescribed to treat a bacterial infection, patients should be told that although it is common to feel better early in the course of therapy, the medication should be taken exactly as directed. Skipping doses or not completing the full course of therapy may: (1) decrease the effectiveness of the immediate treatment, and (2) increase the likelihood that bacteria will develop resistance and will not be treatable by amoxicillin tablets or other antibacterial drugs in the future.



CLINITEST is a registered trademark of Miles, Inc.

CLINISTIX is a registered trademark of Bayer Corporation.

CLOtest  is a registered trademark of Kimberly-Clark Corporation.



Distributed by:

Aurobindo Pharma USA, Inc.

279 Princeton-Hightstown Road

East Windsor, NJ 08520 



Manufactured by:

Aurobindo Pharma Limited

Hyderabad-500 032, India



Revised: 06/2024

16 How Supplied/storage and Handling

Amoxicillin Tablets, USPcontains 500 mg amoxicillin as the trihydrate.



500 mg Tablet



Pink colored, capsule shaped, film coated tablets debossed with “A” on one side and “66” on the other side.



Bottles of 20 NDC 68071-3872-2





Store at20° to 25°C (68° to 77°F); excursions permitted to 15° to 30°C (59° to 86°F) [see USP Controlled Room Temperature]. Dispense in a tight container.

5.2 Severe Cutaneous Adverse Reactions

Amoxicillin may cause severe cutaneous adverse reactions (SCAR), such as Stevens-Johnson syndrome (SJS), toxic epidermal necrolysis (TEN), drug reaction with eosinophilia and systemic symptoms (DRESS), and acute generalized exanthematous pustulosis (AGEP). If patients develop skin rash they should be monitored closely, and amoxicillin discontinued if lesions progress.

5.5 Development of Drug Resistant Bacteria

Prescribing amoxicillin in the absence of a proven or strongly suspected bacterial infection or prophylactic indication is unlikely to provide benefit to the patient and increases the risk of the development of drug-resistant bacteria.

2.1  Important Administration Instructions

To minimize the potential for gastrointestinal intolerance, amoxicillin tablets should be taken at the start of a meal.

5.3 Drug Induced Enterocolitis Syndrome (dies)

Drug-induced enterocolitis syndrome (DIES) has been reported with amoxicillin use [see Adverse Reactions (6.2)] , with most cases occurring in pediatric patients ≤ 18 years of age. DIES is a non-IgE mediated hypersensitivity reaction characterized by protracted vomiting occurring 1 to 4 hours after drug ingestion in the absence of skin or respiratory symptoms. DIES maybeassociated with pallor, lethargy, hypotension, shock, diarrhea within 24 hours after ingesting amoxicillin, and leukocytosis with neutrophilia. If DIES occurs, discontinue amoxicillin and institute appropriate therapy.

5.6 skin Rash in Patients With Mononucleosis


A high percentage of patients with mononucleosis who receive amoxicillin develop an erythematous skin rash. Thus, amoxicillin should not be administered to patients with mononucleosis.

13.1 Carcinogenesis, Mutagenesis, Impairment of Fertility


Long-term studies in animals have not been performed to evaluate carcinogenic potential. Studies to detect mutagenic potential of amoxicillin alone have not been conducted; however, the following information is available from tests on a 4:1 mixture of amoxicillin and potassium clavulanate. Amoxicillin and potassium clavulanate was non-mutagenic in the Ames bacterial mutation assay, and the yeast gene conversion assay. Amoxicillin and potassium clavulanate was weakly positive in the mouse lymphoma assay, but the trend toward increased mutation frequencies in this assay occurred at doses that were also associated with decreased cell survival. Amoxicillin and potassium clavulanate was negative in the mouse micronucleus test and in the dominant lethal assay in mice. Potassium clavulanate alone was tested in the Ames bacterial mutation assay and in the mouse micronucleus test and was negative in each of these assays. In a multi-generation reproduction study in rats, no impairment of fertility or other adverse reproductive effects were seen at doses up to 500 mg/kg (approximately 2 times the 3 g human dose based on body surface area).

Package Label Principal Display Panel 500 Mg (20 Tablets Bottle)

2.3 Dosage in Pediatric Patients Aged Less Than 12 Weeks (3 Months)
  • It is recommended that there be at least 10 days’ treatment for any infection caused by Streptococcus pyogenesto prevent the occurrence of acute rheumatic fever.
  • Due to incompletely developed renal function affecting elimination of amoxicillin in this age group, the recommended upper dose of amoxicillin tablets is 30 mg/kg/day divided every 12 hours. There are currently no dosing recommendations for pediatric patients with impaired renal function.
  • Treatment should be continued for a minimum of 48 to 72 hours beyond the time that the patient becomes asymptomatic, or evidence of bacterial eradication has been obtained.
2.2 Dosage for Adults and Pediatric Patients Aged 3 Months (12 Weeks) and Older
  • Treatment should be continued for a minimum of 48 to 72 hours beyond the time that the patient becomes asymptomatic, or evidence of bacterial eradication has been obtained.
  • It is recommended that there be at least 10 days’ treatment for any infection caused by Streptococcus pyogenesto prevent the occurrence of acute rheumatic fever.
  • In some infections, therapy may be required for several weeks. It may be necessary to continue clinical and/or bacteriological follow-up for several months after cessation of therapy.

Table 1. Dosage Recommendations for Adult and Pediatric Patients Aged 3 Months (12 weeks) and Older

Infection

Severity a

Recommended Dosage for Adults and Pediatric Patients Aged 3 Months and Older and Weight Greater than 40 kg

Recommended Dosage for Pediatric Patients Aged 3 Months and Older and Weight Less than 40 kg

Ear/Nose/Throat

Skin/Skin Structure

Genitourinary Tract

Mild/Moderate

500 mg every 12 hours or

250 mg every 8 hours

25 mg/kg/day in divided doses every 12 hours

or

20 mg/kg/day in divided doses every 8 hours

Severe

875 mg every 12 hours or

500 mg every 8 hours

45 mg/kg/day in divided doses every 12 hours

or

40 mg/kg/day in divided doses every 8 hours

Lower Respiratory Tract

Mild/Moderate or Severe

875 mg every 12 hours or

500 mg every 8 hours

45 mg/kg/day in divided doses every 12 hours

or

40 mg/kg/day in divided doses every 8 hours

aDosage for infections caused by bacteria that are intermediate in their susceptibility to amoxicillin should follow the recommendations for severe infections.

2.5 Dosage in Renal Impairment for Adults and Pediatric Patients Aged 3 Months and Older and Weight Greater Than 40 Kg
  • Patients with impaired renal function do not generally require a reduction in dose unless the impairment is severe. Renal impairment patients with a glomerular filtration rate of less than 30 mL/min should NOTreceive the 875 mg dose. See dosage regimens in patients with severe renal impairment provided in Table 2.


Table 2. Dosing in Patients with Severe Renal Impairment

Patients with Renal Impairment

Dosage Regimen

GFR 10 to 30 mL/min

500 mg or 250 mg every 12 hours, depending on the severity of the infection

GFR less than 10 mL/min

500 mg or 250 mg every 24 hours, depending on

severity of the infection

Hemodialysis

500 mg or 250 mg every 24 hours, depending on severity of the infection

Administer an additional dose both during and at the end of dialysis


Structured Label Content

Section 43683-2 (43683-2)

Warnings and Precautions, Drug-Induced Enterocolitis

Syndrome (DIES) ( 5.3)                                                               5/2024

10 Overdosage (10 OVERDOSAGE)


In case of overdosage, discontinue amoxicillin, treat symptomatically, and institute supportive measures as required. A prospective study of 51 pediatric patients at a poison-control center suggested that overdosages of less than 250 mg/kg of amoxicillin are not associated with significant clinical symptoms.



Interstitial nephritis resulting in oliguric renal failure has been reported in a small number of patients after overdosage with amoxicillin 1.



Crystalluria, in some cases leading to renal failure, has also been reported after amoxicillin overdosage in adult and pediatric patients. In case of overdosage, adequate fluid intake and diuresis should be maintained to reduce the risk of amoxicillin crystalluria.



Renal impairment appears to be reversible with cessation of drug administration. High blood levels may occur more readily in patients with impaired renal function because of decreased renal clearance of amoxicillin. Amoxicillin may be removed from circulation by hemodialysis.

15 References (15 REFERENCES)
  • Swanson-Biearman B, Dean BS, Lopez G, Krenzelok EP. The effects of penicillin and cephalosporin ingestions in children less than six years of age. Vet Hum Toxicol. 1988; 30: 66-67.
8.1 Pregnancy


Teratogenic Effects :Pregnancy Category B. Reproduction studies have been performed in mice and rats at doses up to 2000 mg/kg (3 and 6 times the 3 g human dose, based on body surface area). There was no evidence of harm to the fetus due to amoxicillin. There are, however, no adequate and well-controlled studies in pregnant women. Because animal reproduction studies are not always predictive of human response, amoxicillin should be used during pregnancy only if clearly needed.

11 Description (11 DESCRIPTION)


Amoxicillin tablets, USP are a semisynthetic antibacterial (amoxicillin), an analog of ampicillin, with a broad spectrum of bactericidal activity against many Gram-positive and Gram-negative microorganisms. Chemically, it is (2 S,5 R,6 R)-6-[( R)-(-)-2-amino-2-( p-hydroxyphenyl) acetamido]-3,3-dimethyl-7-oxo-4-thia-1-azabicyclo[3.2.0]heptane-2-carboxylic acid trihydrate. It may be represented structurally as:





The amoxicillin molecular formula is C 16H 19N 3O 5S 3H 2O, and the molecular weight is 419.45.



Each film coated tablet contains 500 mg or 875 mg amoxicillin USP as the trihydrate. The 500 mg pink colored, capsule shaped, film coated tablets debossed with “A” on one side and “66” on the other side. The 875 mg pink colored, capsule shaped, film coated tablets debossed with “A” on one side and with a score line in between “6” and “7” on the other side. Inactive ingredients: Colloidal silicon dioxide, crospovidone, D&C Red No. 30 aluminum lake, hypromellose, magnesium stearate, microcrystalline cellulose, polyethylene glycol, sodium starch glycolate, and titanium dioxide.

14.1 H. Pylori (14.1 H. pylori)

Randomized, double-blind clinical studies performed in the United States in patients with H. pyloriand duodenal ulcer disease (defined as an active ulcer or history of an ulcer within 1 year) evaluated the efficacy of lansoprazole in combination with amoxicillin capsules and clarithromycin tablets as triple 14-day therapy, or in combination with amoxicillin capsules as dual 14-day therapy, for the eradication of H. pylori. Based on the results of these studies, the safety and efficacy of 2 different eradication regimens were established: Triple therapy:Amoxicillin 1 gram twice daily/clarithromycin 500 mg twice daily/lansoprazole 30 mg twice daily (see Table 5). Dual therapy:Amoxicillin 1 gram three times daily/lansoprazole 30 mg three times daily (see Table 6). All treatments were for 14 days. H. pylorieradication was defined as 2 negative tests (culture and histology) at 4 to 6 weeks following the end of treatment. Triple therapy was shown to be more effective than all possible dual therapy combinations. Dual therapy was shown to be more effective than both monotherapies. Eradication of H. pylorihas been shown to reduce the risk of duodenal ulcer recurrence.



Table 5. H. pyloriEradication Rates When Amoxicillin is Administered as Part of a Triple Therapy Regimen

Study

Triple Therapy

Triple Therapy

Evaluable Analysis a

[95% Confidence Interval]

(number of patients)

Intent-to-Treat Analysis b

[95% Confidence Interval]

(number of patients)

Study 1

92

[80 to 97.7]

(n equals 48)

86

[73.3 to 93.5]

(n equals 55)

Study 2

86

 [75.7 to 93.6]

(n equals 66)

83

[72 to 90.8]

(n equals 70)

aThis analysis was based on evaluable patients with confirmed duodenal ulcer (active or within 1 year) and H. pyloriinfection at baseline defined as at least 2 of 3 positive endoscopic tests from CLOtest ®, histology, and/or culture. Patients were included in the analysis if they completed the study. Additionally, if patients dropped out of the study due to an adverse event related to the study drug, they were included in the analysis as failures of therapy.

bPatients were included in the analysis if they had documented H. pyloriinfection at baseline as defined above and had a confirmed duodenal ulcer (active or within 1 year). All dropouts were included as failures of therapy.



Table 6. H. pyloriEradication Rates When Amoxicillin is Administered as Part of a Dual Therapy Regimen

Study

Dual Therapy

Dual Therapy

Evaluable Analysis a

[95% Confidence Interval]

(number of patients)

Intent-to-Treat Analysis b

[95% Confidence Interval]

(number of patients)

Study 1

77

[62.5 to 87.2]

(n equals 51)

70

[56.8 to 81.2]

(n equals 60)

Study 2

66

[51.9 to 77.5]

(n equals 58)

61

[48.5 to 72.9]

(n equals 67)

aThis analysis was based on evaluable patients with confirmed duodenal ulcer (active or within 1 year) and H. pyloriinfection at baseline defined as at least 2 of 3 positive endoscopic tests from CLOtest ®, histology, and/or culture. Patients were included in the analysis if they completed the study. Additionally, if patients dropped out of the study due to an adverse event related to the study drug, they were included in the analysis as failures of therapy.

bPatients were included in the analysis if they had documented H. pyloriinfection at baseline as defined above and had a confirmed duodenal ulcer (active or within 1 year). All dropouts were included as failures of therapy.

7.1 Probenecid


Probenecid decreases the renal tubular secretion of amoxicillin. Concurrent use of amoxicillin and probenecid may result in increased and prolonged blood levels of amoxicillin.

7.3 Allopurinol


The concurrent administration of allopurinol and amoxicillin increases the incidence of rashes in patients receiving both drugs as compared to patients receiving amoxicillin alone. It is not known whether this potentiation of rashes is due to allopurinol or the hyperuricemia present in these patients.

12.4 Microbiology

Mechanism of Action



Amoxicillin is similar to penicillin in its bactericidal action against susceptible bacteria during the stage of active multiplication. It acts through the inhibition of cell wall biosynthesis that leads to the death of the bacteria.

                   

Resistance



Resistance to amoxicillin is mediated primarily through enzymes called beta-lactamases that cleave the beta-lactam ring of amoxicillin, rendering it inactive.



Antimicrobial Activity

Amoxicillin has been shown to be active against most isolates of the following microorganisms, both in vitroand in clinical infections [see Indications and Usage (1)]



Gram-Positive Bacteria  

Enterococcus faecalis

Staphylococcusspp.

Streptococcus pneumoniae

Streptococcusspp. (alpha and beta-hemolytic)



Gram-Negative Bacteria
 

Escherichia coli

Haemophilus influenzae

Helicobacter pylori

Proteus mirabilis



Susceptibility Testing:



For specific information regarding susceptibility test interpretive criteria and associated test methods and quality control standards recognized by FDA for this drug, please see: https://www.fda.gov/STIC.

8.4 Pediatric Use

The safety and effectiveness of amoxicillin for the treatment of upper respiratory tract infections, and infections of the genitourinary tract, skin and skin structure and lower respiratory tract have been established in pediatric patients.



The safety and effectiveness of amoxicillin for the treatment of H.Pyloriinfection have not been established in pediatric patients.



Because of incompletely developed renal function in neonates and young infants, the elimination of amoxicillin may be delayed. Dosing of amoxicillin should be modified in pediatric patients  12 weeks or younger (3 months or younger) [see Dosage and Administration (2.3)].

8.5 Geriatric Use


An analysis of clinical studies of amoxicillin was conducted to determine whether subjects aged 65 and over respond differently from younger subjects. These analyses have not identified differences in responses between the elderly and younger patients, but a greater sensitivity of some older individuals cannot be ruled out. 



This drug is known to be substantially excreted by the kidney, and the risk of toxic reactions to this drug may be greater in patients with impaired renal function. Because elderly patients are more likely to have decreased renal function, care should be taken in dose selection, and it may be useful to monitor renal function.

4 Contraindications (4 CONTRAINDICATIONS)


Amoxicillin tablets are contraindicated in patients who have experienced a serious hypersensitivity reaction (e.g., anaphylaxis or Stevens-Johnson syndrome) to amoxicillin tablets or to other β-lactam antibacterial drugs (e.g., penicillins and cephalosporins).

6 Adverse Reactions (6 ADVERSE REACTIONS)


The following are discussed in more detail in other sections of the labeling:



7 Drug Interactions (7 DRUG INTERACTIONS)
  • Co-administration with probenicid is not recommended. (7.1)
  • Concomitant use of amoxicillin and oral anticoagulants may increase the prolongation of prothrombin time. (7.2)
  • Co-administration with allopurinol increases the risk of rash. (7.3)
  • Amoxicillin may reduce the efficacy of oral contraceptives. (7.4)
8.3 Nursing Mothers


Penicillins have been shown to be excreted in human milk. Amoxicillin use by nursing mothers may lead to sensitization of infants. Caution should be exercised when amoxicillin is administered to a nursing woman.

12.3 Pharmacokinetics


Absorption:Amoxicillin is stable in the presence of gastric acid and is rapidly absorbed after oral administration. The effect of food on the absorption of amoxicillin from the tablets and suspension of amoxicillin has been partially investigated; 400 mg and 875 mg formulations have been studied only when administered at the start of a light meal. 



Orally administered doses of 250 mg and 500 mg amoxicillin capsules result in average peak blood levels 1 to 2 hours after administration in the range of 3.5 mcg/mL to 5 mcg/mL and 5.5 mcg/mL to 7.5 mcg/mL, respectively. 



Mean amoxicillin pharmacokinetic parameters from an open, two-part, single-dose crossover bioequivalencestudy in 27 adults comparing 875 mg of amoxicillin with 875 mg of amoxicillin/clavulanate potassiumshowed that the 875 mg tablet of amoxicillin produces an AUC 0-∞of 35.4 ± 8.1 mcg hr/mL and a C maxof 13.8 ± 4.1 mcg/mL. Dosing was at the start of a light meal following an overnight fast.



Orally administered doses of amoxicillin suspension, 125 mg/5 mL and 250 mg/5 mL, result in average peak blood levels 1 to 2 hours after administration in the range of 1.5 mcg/mL to 3 mcg/mL and 3.5 mcg/mL to 5 mcg/mL, respectively. 



Oral administration of single doses of 400 mg chewable tablets and 400 mg/5 mL suspension of amoxicillin to 24 adult volunteers yielded comparable pharmacokinetic data:





Table 4. Mean Pharmacokinetic Parameters of Amoxicillin (400 mg chewable tablets and 400 mg/5 mL suspension) in Healthy Adults
Dose * AUC 0-∞(mcg hr/mL) C max(mcg/mL)
*Administered at the start of a light meal.

Mean values of 24 normal volunteers. Peak concentrations occurred approximately 1 hour after the dose.

 Amoxicillin

Amoxicillin (±S.D.)

Amoxicillin (±S.D.)

 400 mg (5 mL of suspension)

17.1 (3.1)

5.92 (1.62)

 400 mg (1 chewable tablet)

17.9 (2.4)

5.18 (1.64)



Distribution:Amoxicillin diffuses readily into most body tissues and fluids, with the exception of brain and spinal fluid, except when meninges are inflamed. In blood serum, amoxicillin is approximately 20% protein-bound. Following a 1 gram dose, and utilizing a special skin window technique to determine levels of the antibiotic, it was noted that therapeutic levels were found in the interstitial fluid.



Metabolism and Excretion:The half-life of amoxicillin is 61.3 minutes. Approximately 60% of an orally administered dose of amoxicillin is excreted in the urine within 6 to 8 hours. Detectable serum levels are observed up to 8 hours after an orally administered dose of amoxicillin. Since most of the amoxicillin is excreted unchanged in the urine, its excretion can be delayed by concurrent administration of probenecid [see Drug Interactions (7.1)] .

8.2 Labor and Delivery


Oral ampicillin is poorly absorbed during labor. It is not known whether use of amoxicillin in humans during labor or delivery has immediate or delayed adverse effects on the fetus, prolongs the duration of labor, or increases the likelihood of the necessity for an obstetrical intervention.

1 Indications and Usage (1 INDICATIONS AND USAGE)

Adults and Pediatric Patients

  • Upper Respiratory Tract Infections of the Ear, Nose, and Throat:Amoxicillin tablets are indicated in the treatment of infections due to susceptible (ONLY β-lactamase-negative) isolates of Streptococcusspecies. (α- and β-hemolytic isolates only), Streptococcus pneumoniae, Staphylococcusspp., or Haemophilus influenzae.


  • Infections of the Genitourinary Tract:Amoxicillin tablets are indicated in the treatment of infections due to susceptible (ONLY β-lactamase–negative) isolates of Escherichia coli, Proteus mirabilis, or Enterococcus faecalis


  • Infections of the Skin and Skin Structure:Amoxicillin tablets are indicated in the treatment of infections due to susceptible (ONLY β-lactamase–negative) isolates of Streptococcusspp. (α- and β-hemolytic isolates only), Staphylococcusspp., or E. coli.


  • Infections of the Lower Respiratory Tract:Amoxicillin tablets are indicated in the treatment of infections due to susceptible (ONLY β-lactamase–negative) isolates of Streptococcusspp. (α- and β-hemolytic isolates only), S. pneumoniae, Staphylococcusspp., or H. influenzae


Adult Patients only

  • Helicobacter pylori Infection and Duodenal Ulcer Disease:

Triple therapy for Helicobacter pylori (H. pylori)with clarithromycin and lansoprazole:  

Amoxicillin tablets, in combination with clarithromycin plus lansoprazole as triple therapy, are indicated for the treatment of patients with H. pyloriinfection and duodenal ulcer disease (active or 1-year history of a duodenal ulcer) to eradicate H. pylori. Eradication of H. pylorihas been shown to reduce the risk of duodenal ulcer recurrence.



Dual therapy for H. pyloriwith lansoprazole :  Amoxicillin tablets, in combination with lansoprazole delayed-release capsules as dual therapy, are indicated for the treatment of patients with H. pyloriinfection and duodenal ulcer disease (active or 1-year history of a duodenal ulcer) who are either allergic or intolerant to clarithromycin or in whom resistance to clarithromycin is known or suspected. (See the clarithromycin package insert, MICROBIOLOGY.) Eradication of H. pylorihas been shown to reduce the risk of duodenal ulcer recurrence.



Usage



To reduce the development of drug-resistant bacteria and maintain the effectiveness of amoxicillin tablets and other antibacterial drugs, amoxicillin tablets should be used only to treat infections that are proven or strongly suspected to be caused by bacteria. When culture and susceptibility information are available, they should be considered in selecting or modifying antibacterial therapy. In the absence of such data, local epidemiology and susceptibility patterns may contribute to the empiric selection of therapy.

7.2 Oral Anticoagulants


Abnormal prolongation of prothrombin time (increased international normalized ratio [INR]) has been reported in patients receiving amoxicillin and oral anticoagulants. Appropriate monitoring should be undertaken when anticoagulants are prescribed concurrently. Adjustments in the dose of oral anticoagulants may be necessary to maintain the desired level of anticoagulation.

7.4 Oral Contraceptives


Amoxicillin may affect the intestinal flora, leading to lower estrogen reabsorption and reduced efficacy of combined oral estrogen/progesterone contraceptives.

12.1 Mechanism of Action

Amoxicillin is an antibacterial drug [see Microbiology (12.4)].

2.4 Dosage for H. Pylori (2.4 Dosage for H. pylori)

Triple therapy:The recommended adult oral dose is 1 gram amoxicillin, 500 mg clarithromycin, and 30 mg lansoprazole, all given twice daily (every 12 hours) for 14 days.



Dual therapy:The recommended adult oral dose is 1 gram amoxicillin and 30 mg lansoprazole, each given three times daily (every 8 hours) for 14 days.



Please refer to clarithromycin and lansoprazole full prescribing information.

7.5 Other Antibacterials


Chloramphenicol, macrolides, sulfonamides, and tetracyclines may interfere with the bactericidal effects of penicillin. This has been demonstrated in vitro; however, the clinical significance of this interaction is not well documented.

5 Warnings and Precautions (5 WARNINGS AND PRECAUTIONS)
  • Anaphylactic reactions: Serious and occasionally fatal anaphylactic reactions have been reported in patients on penicillin therapy, including amoxicillin. Discontinue amoxicillin if a reaction occurs ( 5.1).
  • Severe cutaneous adverse reactions (SCAR): Monitor closely. Discontinue if rash progresses. ( 5.2)
  • Drug-induced enterocolitis syndrome (DIES) has been reported with amoxicillin use. If this occurs, discontinue amoxicillin and institute appropriate therapy. ( 5.3)
  •   Clostridioides difficile-associated diarrhea (CDAD) (ranging from mild diarrhea to fatal colitis): Evaluate if diarrhea occurs. ( 5.4)
5.1 Anaphylactic Reactions


Serious and occasionally fatal hypersensitivity (anaphylactic) reactions have been reported in patients on penicillin therapy including amoxicillin. Although anaphylaxis is more frequent following parenteral therapy, it has occurred in patients on oral penicillins. These reactions are more likely to occur in individuals with a history of penicillin hypersensitivity and/or a history of sensitivity to multiple allergens. There have been reports of individuals with a history of penicillin hypersensitivity who have experienced severe reactions when treated with cephalosporins. Before initiating therapy with amoxicillin, careful inquiry     should be made regarding previous hypersensitivity reactions to penicillins, cephalosporins, or other allergens. If an allergic reaction occurs, amoxicillin should be discontinued, and appropriate therapy instituted.

2 Dosage and Administration (2 DOSAGE AND ADMINISTRATION)
  • In Adults, 750 to 1750 mg/day in divided doses every 8 to 12 hours.
  • In Pediatric Patients over 3 Months of Age, 20 to 45 mg/kg/day in divided doses every 8 to 12 hours. Refer to full prescribing information for specific dosing regimens. ( 2.2, 2.3)
  • The upper dose for neonates and infants aged 3 months or younger is 30 mg/kg/day divided every 12 hours. ( 2.3)
  • Dosing for H. pyloriInfection (in Adults): Triple therapy: 1 gram amoxicillin, 500 mg clarithromycin, and 30 mg lansoprazole, all given twice daily (every 12 hours) for 14 days. Dual therapy: 1 gram amoxicillin and 30 mg lansoprazole, each given three times daily (every 8 hours) for 14 days. ( 2.4)
  •  Reduce the dose in patients with severe renal impairment (GFR greater than 30 mL/min). ( 2.5)
3 Dosage Forms and Strengths (3 DOSAGE FORMS AND STRENGTHS)


500 mg Tabletsare pink colored, capsule shaped, film coated tablets debossed with “A” on one side and “66” on the other side.



875 mg Tabletsare pink colored, capsule shaped, film coated tablets debossed with “A” on one side and with a score line in between “6” and “7” on the other side.

5.4 Clostridioides Difficile (5.4 Clostridioides difficile)


Clostridioidesdifficile- associated diarrhea (CDAD) has been reported with use of nearly all antibacterial agents, including amoxicillin, and may range in severity from mild diarrhea to fatal colitis. Treatment with antibacterial agents alters the normal flora of the colon leading to overgrowth of C. difficile.



C. difficile
produces toxins A and B which contribute to the development of CDAD. Hypertoxin-producing strains of C. difficilecause increased morbidity and mortality, as these infections can be refractory to antimicrobial therapy and may require colectomy. CDAD must be considered in all patients who present with diarrhea following antibacterial use. Careful medical history is necessary since CDAD has been reported to occur over 2 months after the administration of antibacterial agents. 



If CDAD is suspected or confirmed, ongoing antibacterial use not directed against C. difficilemay need to be discontinued. Appropriate fluid and electrolyte management, protein supplementation, antibacterial treatment of C. difficile, and surgical evaluation should be instituted as clinically indicated.

6.2 Postmarketing Experience


In addition to adverse events reported from clinical trials, the following events have been identified during postmarketing use of penicillins. Because they are reported voluntarily from a population of unknown size, estimates of frequency cannot be made. These events have been chosen for inclusion due to a combination of their seriousness, frequency of reporting, or potential causal connection to amoxicillin.



  • Infections and Infestations:Mucocutaneous candidiasis.
  • Gastrointestinal:Drug-induced enterocolitis syndrome (DIES), black hairy tongue, and hemorrhagic/pseudomembranous colitis. Onset of pseudomembranous colitis symptoms may occur during or after antibacterial treatment [see Warnings and Precautions (5.4)] .
  • Immune:Hypersensitivity reactions, anaphylactic/anaphylactoid reactions (including shock), angioedema, serum sickness–like reactions (urticaria or skin rash accompanied by arthritis, arthralgia, myalgia, and frequently fever), hypersensitivity vasculitis [see Warnings and Precautions (5.1) ]
  • Skin and Appendages:Rashes, pruritus, urticaria, erythema multiforme, SJS, TEN, DRESS, AGEP, exfoliative dermatitis, and linear IgA bullous dermatosis.
  • Liver:A moderate rise in AST and/or ALT has been noted, but the significance of this finding is unknown. Hepatic dysfunction including cholestatic jaundice, hepatic cholestasis and acute cytolytic hepatitis have been reported.
  • Renal:Crystalluria has been reported [see Overdosage (10) ] .
  • Hemic and Lymphatic Systems:Anemia, including hemolytic anemia, thrombocytopenia, thrombocytopenic purpura, eosinophilia, leukopenia, and agranulocytosis have been reported. These reactions are usually reversible on discontinuation of therapy and are believed to be hypersensitivity phenomena.
  • Central Nervous System:Reversible hyperactivity, agitation, anxiety, insomnia, confusion, convulsions, behavioral changes, aseptic meningitis, and/or dizziness have been reported.
  •   Miscellaneous:Tooth discoloration (brown, yellow, or gray staining) has been reported. Most reports occurred in pediatric patients. Discoloration was reduced or eliminated with brushing or dental cleaning in most cases.


6.1 Clinical Trials Experience


Because clinical trials are conducted under widely varying conditions, adverse reaction rates observed in the clinical trials of a drug cannot be directly compared to rates in the clinical trials of another drug and may not reflect the rates observed in practice. 



The most common adverse reactions (greater than 1%) observed in clinical trials of amoxicillin tablets or oral suspension were diarrhea, rash, vomiting, and nausea. 



Triple therapy:The most frequently reported adverse events for patients who received triple therapy (amoxicillin/clarithromycin/lansoprazole) were diarrhea (7%), headache (6%), and taste perversion (5%). 



Dual therapy:The most frequently reported adverse events for patients who received double therapy amoxicillin/lansoprazole were diarrhea (8%) and headache (7%). For more information on adverse reactions with clarithromycin or lansoprazole, refer to the Adverse Reactions section of their package inserts.

8.6 Dosing in Renal Impairment

Amoxicillin is primarily eliminated by the kidney and dosage adjustment is usually required in patients with severe renal impairment (GFR less than 30 mL/min). See  Dosing in Renal Impairment (2.5) for specific recommendations in patients with renal impairment.

7.6 Effects On Laboratory Tests (7.6 Effects on Laboratory Tests)


High urine concentrations of ampicillin may result in false-positive reactions when testing for the presence of glucose in urine using CLINITEST ®, Benedict’s Solution, or Fehling’s Solution. Since this effect may also occur with amoxicillin, it is recommended that glucose tests based on enzymatic glucose oxidase reactions (such as CLINISTIX ®) be used. 



Following administration of ampicillin or amoxicillin to pregnant women, a transient decrease in plasma concentration of total conjugated estriol, estriol-glucuronide, conjugated estrone, and estradiol has been noted.

17 Patient Counseling Information (17 PATIENT COUNSELING INFORMATION)

Administration Instructions

Advise patients that amoxicillin tablets may be taken every 8 hours or every 12 hours, depending on the dose prescribed.



Allergic Reactions

Counsel patients that amoxicillin tablets contains a penicillin class drug product that can cause allergic reactions in some individuals.



Severe Cutaneous Adverse Reactions (SCAR)

Advise patients about the signs and symptoms of serious skin manifestations. Instruct patients to stop taking amoxicillin tablets immediately and promptly report the first signs or symptoms of skin rash, mucosal lesions, or any other sign of hypersensitivity [see Warnings and Precautions (5.2)] .



Diarrhea

Counsel patients that diarrhea is a common problem caused by antibacterial drugs which usually ends when the antibacterial drug is discontinued. Sometimes after starting treatment with antibacterial drugs, patients can develop watery and bloody stools (with or without stomach cramps and fever) even as late as 2 or more months after having taken their last dose of the antibacterial drug. If this occurs, patients should contact their physician as soon as possible.



Antibacterial Resistance

Patients should be counseled that antibacterial drugs, including amoxicillin tablets, should only be used to treat or prevent bacterial infections. Antibacterial drugs do not treat viral infections (e.g., the common cold). When amoxicillin tablets are prescribed to treat a bacterial infection, patients should be told that although it is common to feel better early in the course of therapy, the medication should be taken exactly as directed. Skipping doses or not completing the full course of therapy may: (1) decrease the effectiveness of the immediate treatment, and (2) increase the likelihood that bacteria will develop resistance and will not be treatable by amoxicillin tablets or other antibacterial drugs in the future.



CLINITEST is a registered trademark of Miles, Inc.

CLINISTIX is a registered trademark of Bayer Corporation.

CLOtest  is a registered trademark of Kimberly-Clark Corporation.



Distributed by:

Aurobindo Pharma USA, Inc.

279 Princeton-Hightstown Road

East Windsor, NJ 08520 



Manufactured by:

Aurobindo Pharma Limited

Hyderabad-500 032, India



Revised: 06/2024

16 How Supplied/storage and Handling (16 HOW SUPPLIED/STORAGE AND HANDLING)

Amoxicillin Tablets, USPcontains 500 mg amoxicillin as the trihydrate.



500 mg Tablet



Pink colored, capsule shaped, film coated tablets debossed with “A” on one side and “66” on the other side.



Bottles of 20 NDC 68071-3872-2





Store at20° to 25°C (68° to 77°F); excursions permitted to 15° to 30°C (59° to 86°F) [see USP Controlled Room Temperature]. Dispense in a tight container.

5.2 Severe Cutaneous Adverse Reactions

Amoxicillin may cause severe cutaneous adverse reactions (SCAR), such as Stevens-Johnson syndrome (SJS), toxic epidermal necrolysis (TEN), drug reaction with eosinophilia and systemic symptoms (DRESS), and acute generalized exanthematous pustulosis (AGEP). If patients develop skin rash they should be monitored closely, and amoxicillin discontinued if lesions progress.

5.5 Development of Drug Resistant Bacteria (5.5 Development of Drug-Resistant Bacteria)

Prescribing amoxicillin in the absence of a proven or strongly suspected bacterial infection or prophylactic indication is unlikely to provide benefit to the patient and increases the risk of the development of drug-resistant bacteria.

2.1  Important Administration Instructions

To minimize the potential for gastrointestinal intolerance, amoxicillin tablets should be taken at the start of a meal.

5.3 Drug Induced Enterocolitis Syndrome (dies) (5.3 Drug-Induced Enterocolitis Syndrome (DIES))

Drug-induced enterocolitis syndrome (DIES) has been reported with amoxicillin use [see Adverse Reactions (6.2)] , with most cases occurring in pediatric patients ≤ 18 years of age. DIES is a non-IgE mediated hypersensitivity reaction characterized by protracted vomiting occurring 1 to 4 hours after drug ingestion in the absence of skin or respiratory symptoms. DIES maybeassociated with pallor, lethargy, hypotension, shock, diarrhea within 24 hours after ingesting amoxicillin, and leukocytosis with neutrophilia. If DIES occurs, discontinue amoxicillin and institute appropriate therapy.

5.6 skin Rash in Patients With Mononucleosis (5.6 Skin Rash in Patients with Mononucleosis)


A high percentage of patients with mononucleosis who receive amoxicillin develop an erythematous skin rash. Thus, amoxicillin should not be administered to patients with mononucleosis.

13.1 Carcinogenesis, Mutagenesis, Impairment of Fertility


Long-term studies in animals have not been performed to evaluate carcinogenic potential. Studies to detect mutagenic potential of amoxicillin alone have not been conducted; however, the following information is available from tests on a 4:1 mixture of amoxicillin and potassium clavulanate. Amoxicillin and potassium clavulanate was non-mutagenic in the Ames bacterial mutation assay, and the yeast gene conversion assay. Amoxicillin and potassium clavulanate was weakly positive in the mouse lymphoma assay, but the trend toward increased mutation frequencies in this assay occurred at doses that were also associated with decreased cell survival. Amoxicillin and potassium clavulanate was negative in the mouse micronucleus test and in the dominant lethal assay in mice. Potassium clavulanate alone was tested in the Ames bacterial mutation assay and in the mouse micronucleus test and was negative in each of these assays. In a multi-generation reproduction study in rats, no impairment of fertility or other adverse reproductive effects were seen at doses up to 500 mg/kg (approximately 2 times the 3 g human dose based on body surface area).

Package Label Principal Display Panel 500 Mg (20 Tablets Bottle) (PACKAGE LABEL-PRINCIPAL DISPLAY PANEL - 500 mg (20 Tablets Bottle))

2.3 Dosage in Pediatric Patients Aged Less Than 12 Weeks (3 Months) (2.3 Dosage in Pediatric Patients Aged Less than 12 Weeks (3 months))
  • It is recommended that there be at least 10 days’ treatment for any infection caused by Streptococcus pyogenesto prevent the occurrence of acute rheumatic fever.
  • Due to incompletely developed renal function affecting elimination of amoxicillin in this age group, the recommended upper dose of amoxicillin tablets is 30 mg/kg/day divided every 12 hours. There are currently no dosing recommendations for pediatric patients with impaired renal function.
  • Treatment should be continued for a minimum of 48 to 72 hours beyond the time that the patient becomes asymptomatic, or evidence of bacterial eradication has been obtained.
2.2 Dosage for Adults and Pediatric Patients Aged 3 Months (12 Weeks) and Older (2.2 Dosage for Adults and Pediatric Patients Aged 3 Months (12 weeks) and Older)
  • Treatment should be continued for a minimum of 48 to 72 hours beyond the time that the patient becomes asymptomatic, or evidence of bacterial eradication has been obtained.
  • It is recommended that there be at least 10 days’ treatment for any infection caused by Streptococcus pyogenesto prevent the occurrence of acute rheumatic fever.
  • In some infections, therapy may be required for several weeks. It may be necessary to continue clinical and/or bacteriological follow-up for several months after cessation of therapy.

Table 1. Dosage Recommendations for Adult and Pediatric Patients Aged 3 Months (12 weeks) and Older

Infection

Severity a

Recommended Dosage for Adults and Pediatric Patients Aged 3 Months and Older and Weight Greater than 40 kg

Recommended Dosage for Pediatric Patients Aged 3 Months and Older and Weight Less than 40 kg

Ear/Nose/Throat

Skin/Skin Structure

Genitourinary Tract

Mild/Moderate

500 mg every 12 hours or

250 mg every 8 hours

25 mg/kg/day in divided doses every 12 hours

or

20 mg/kg/day in divided doses every 8 hours

Severe

875 mg every 12 hours or

500 mg every 8 hours

45 mg/kg/day in divided doses every 12 hours

or

40 mg/kg/day in divided doses every 8 hours

Lower Respiratory Tract

Mild/Moderate or Severe

875 mg every 12 hours or

500 mg every 8 hours

45 mg/kg/day in divided doses every 12 hours

or

40 mg/kg/day in divided doses every 8 hours

aDosage for infections caused by bacteria that are intermediate in their susceptibility to amoxicillin should follow the recommendations for severe infections.

2.5 Dosage in Renal Impairment for Adults and Pediatric Patients Aged 3 Months and Older and Weight Greater Than 40 Kg (2.5 Dosage in Renal Impairment for Adults and Pediatric Patients Aged 3 Months and Older and Weight Greater than 40 kg)
  • Patients with impaired renal function do not generally require a reduction in dose unless the impairment is severe. Renal impairment patients with a glomerular filtration rate of less than 30 mL/min should NOTreceive the 875 mg dose. See dosage regimens in patients with severe renal impairment provided in Table 2.


Table 2. Dosing in Patients with Severe Renal Impairment

Patients with Renal Impairment

Dosage Regimen

GFR 10 to 30 mL/min

500 mg or 250 mg every 12 hours, depending on the severity of the infection

GFR less than 10 mL/min

500 mg or 250 mg every 24 hours, depending on

severity of the infection

Hemodialysis

500 mg or 250 mg every 24 hours, depending on severity of the infection

Administer an additional dose both during and at the end of dialysis


Advanced Ingredient Data


Raw Label Data

All Sections (JSON)