50% Dextrose Injection, Usp

50% Dextrose Injection, Usp
SPL v2
SPL
SPL Set ID 3842a9c0-8b15-1c94-e063-6394a90ae120
Route
INTRAVENOUS
Published
Effective Date 2024-07-23
Document Type 34391-3 HUMAN PRESCRIPTION DRUG LABEL

Drug Facts

Composition & Product

Active Ingredients
Anhydrous Dextrose (25 g)
Inactive Ingredients
Water Sodium Hydroxide Hydrochloric Acid

Identifiers & Packaging

Marketing Status
NDA Active Since 2005-12-02

Description

NOTE: This solution is hypertonic - See WARNINGS and PRECAUTIONS . LifeShield ® Abboject ® Syringe Abboject ® Syringe Fliptop Container Ansyr ® II Plastic Syringe Rx only

Indications and Usage

50% Dextrose Injection is indicated in the treatment of insulin hypoglycemia (hyperinsulinemia or insulin shock) to restore blood glucose levels. The solution is also indicated, after dilution, for intravenous infusion as a source of carbohydrate calories in patients whose oral intake is restricted or inadequate to maintain nutritional requirements. Slow infusion of hypertonic solutions is essential to ensure proper utilization of dextrose and avoid production of hyperglycemia.

Contraindications

A concentrated dextrose solution should not be used when intracranial or intraspinal hemorrhage is present, nor in the presence of delirium tremens if the patient is already dehydrated. Dextrose injection without electrolytes should not be administered simultaneously with blood through the same infusion set because of the possibility that pseudoagglutination of red cells may occur.

Adverse Reactions

Hyperosmolar syndrome, resulting from excessively rapid administration of concentrated dextrose may cause mental confusion and/or loss of consciousness. Reactions which may occur because of the solution or the technique of administration include febrile response, infection at the site of injection, venous thrombosis or phlebitis extending from the site of injection, extravasation and hypervolemia. If an adverse reaction does occur, discontinue the infusion, evaluate the patient, institute appropriate therapeutic countermeasures and save the remainder of the fluid for examination if deemed necessary.

How Supplied

50% Dextrose Injection, USP is supplied in single-dose containers as follows: NDC 84549-517-16 1 - 50 mL Ansyr ®II Plastic Syringe with syringe and barrel detached 25 g/50 mL (0.5 g/mL)


Medication Information

Indications and Usage

50% Dextrose Injection is indicated in the treatment of insulin hypoglycemia (hyperinsulinemia or insulin shock) to restore blood glucose levels.

The solution is also indicated, after dilution, for intravenous infusion as a source of carbohydrate calories in patients whose oral intake is restricted or inadequate to maintain nutritional requirements. Slow infusion of hypertonic solutions is essential to ensure proper utilization of dextrose and avoid production of hyperglycemia.

Contraindications

A concentrated dextrose solution should not be used when intracranial or intraspinal hemorrhage is present, nor in the presence of delirium tremens if the patient is already dehydrated.

Dextrose injection without electrolytes should not be administered simultaneously with blood through the same infusion set because of the possibility that pseudoagglutination of red cells may occur.

Adverse Reactions

Hyperosmolar syndrome, resulting from excessively rapid administration of concentrated dextrose may cause mental confusion and/or loss of consciousness.

Reactions which may occur because of the solution or the technique of administration include febrile response, infection at the site of injection, venous thrombosis or phlebitis extending from the site of injection, extravasation and hypervolemia.

If an adverse reaction does occur, discontinue the infusion, evaluate the patient, institute appropriate therapeutic countermeasures and save the remainder of the fluid for examination if deemed necessary.

How Supplied

50% Dextrose Injection, USP is supplied in single-dose containers as follows:

NDC 84549-517-16

1 - 50 mL Ansyr ®II Plastic Syringe with syringe and barrel detached

25 g/50 mL (0.5 g/mL)

Description

50% Dextrose Injection, USP is a sterile, nonpyrogenic, hypertonic solution of dextrose in water for injection for intravenous injection as a fluid and nutrient replenisher.

Each mL of fluid contains 0.5 g dextrose, hydrous which delivers 3.4 kcal/gram. The solution has an osmolarity of 2.53 mOsmol/mL (calc.), pH 3.2 to 6.5 and may contain sodium hydroxide and/or hydrochloric acid for pH adjustment.

The solution contains no bacteriostat, antimicrobial agent or added buffer (except for pH adjustment) and is intended only for use as a single-dose injection. When smaller doses are required, the unused portion should be discarded with the entire unit.

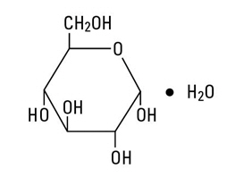
Dextrose, USP is chemically designated C 6H 12O 6∙ H 2O (D-glucose monohydrate), a hexose sugar freely soluble in water.

Dextrose, hydrous has the following structural formula:

Water for Injection, USP is chemically designated H 2O.

The syringe is molded from a specially formulated polypropylene. Water permeates from inside the container at an extremely slow rate which will have an insignificant effect on solution concentration over the expected shelf life. Solutions in contact with the plastic container may leach out certain chemical components from the plastic in very small amounts; however, biological testing was supportive of the safety of the syringe material.

Section 42229-5

NOTE: This solution is hypertonic - See WARNINGSand PRECAUTIONS.

LifeShield ®Abboject ®Syringe

Abboject ®Syringe

Fliptop Container

Ansyr ® II Plastic Syringe

Rx only

Section 44425-7

Exposure of pharmaceutical products to heat should be minimized. Avoid excessive heat. Protect from freezing. Store at 20 to 25°C (68 to 77°F). [See USP Controlled Room Temperature.]

Warnings

50% Dextrose Injection is hypertonic and may cause phlebitis and thrombosis at the site of injection.

Significant hyperglycemia and possible hyperosmolar syndrome may result from too rapid administration. The physician should be aware of the symptoms of hyperosmolar syndrome, such as mental confusion and loss of consciousness, especially in patients with chronic uremia and those with known carbohydrate intolerance.

The intravenous administration of this solution can cause fluid and/or solute overloading resulting in dilution of serum electrolyte concentrations, overhydration, congested states or pulmonary edema.

Additives may be incompatible. Consult with pharmacist if available. When introducing additives, use aseptic technique, mix thoroughly and do not store.

Overdosage

In the event of overhydration or solute overload during therapy, re-evaluate the patient and institute appropriate corrective measures. See WARNINGS and PRECAUTIONS .

Pregnancy:

Animal reproduction studies have not been conducted with dextrose. It is also not known whether dextrose can cause fetal harm when administered to a pregnant woman or can affect reproduction capacity. Dextrose should be given to a pregnant woman only if clearly needed.

Precautions

Do not use unless the solution is clear and seal is intact. Discard unused portion.

Electrolyte deficits, particularly in serum potassium and phosphate, may occur during prolonged use of concentrated dextrose solutions. Blood electrolyte monitoring is essential and fluid and electrolyte imbalances should be corrected. Essential vitamins and minerals also should be provided as needed.

To minimize hyperglycemia and consequent glycosuria, it is desirable to monitor blood and urine glucose and if necessary, add insulin.

When a concentrated dextrose infusion is abruptly withdrawn, it is advisable to follow with the administration of 5% or 10% dextrose injection to avoid rebound hypoglycemia.

Solutions containing dextrose should be used with caution in patients with known subclinical or overt diabetes mellitus.

Care should be exercised to ensure that the needle is well within the lumen of the vein and that extravasation does not occur. If thrombosis should occur during administration, the injection should be stopped and corrective measures instituted.

Concentrated dextrose solutions should not be administered subcutaneously or intramuscularly.

Nursing Mothers

It is not known whether this drug is excreted in human milk. Because many drugs are excreted in human milk, caution should be exercised when 50% Dextrose Injection, USP is administered to a nursing mother.

Clinical Pharmacology

When administered intravenously this solution restores blood glucose levels in hypoglycemia and provides a source of carbohydrate calories.

Carbohydrate in the form of dextrose may aid in minimizing liver glycogen depletion and exerts a protein-sparing action. Dextrose injection undergoes oxidation to carbon dioxide and water.

Water is an essential constituent of all body tissues and accounts for approximately 70% of total body weight. Average normal adult requirement ranges from two to three liters (1.0 to 1.5 liters each for insensible water loss by perspiration and urine production).

Water balance is maintained by various regulatory mechanisms. Water distribution depends primarily on the concentration of electrolytes in the body compartments and sodium (Na +) plays a major role in maintaining physiologic equilibrium.

For Central Venous Administration:

Concentrated dextrose should be administered via central vein only after suitable dilution.

For Peripheral Vein Administration:

The solution should be given slowly, preferably through a small-bore needle into a large vein, to minimize venous irritation.

Principal Display Panel 50 Ml Syringe Label

Carcinogenesis, Mutagenesis, Impairment of Fertility:

Studies with solutions in polypropylene syringes have not been performed to evaluate carcinogenic potential, mutagenic potential or effects on fertility.


Structured Label Content

Section 42229-5 (42229-5)

NOTE: This solution is hypertonic - See WARNINGSand PRECAUTIONS.

LifeShield ®Abboject ®Syringe

Abboject ®Syringe

Fliptop Container

Ansyr ® II Plastic Syringe

Rx only

Section 44425-7 (44425-7)

Exposure of pharmaceutical products to heat should be minimized. Avoid excessive heat. Protect from freezing. Store at 20 to 25°C (68 to 77°F). [See USP Controlled Room Temperature.]

Warnings (WARNINGS)

50% Dextrose Injection is hypertonic and may cause phlebitis and thrombosis at the site of injection.

Significant hyperglycemia and possible hyperosmolar syndrome may result from too rapid administration. The physician should be aware of the symptoms of hyperosmolar syndrome, such as mental confusion and loss of consciousness, especially in patients with chronic uremia and those with known carbohydrate intolerance.

The intravenous administration of this solution can cause fluid and/or solute overloading resulting in dilution of serum electrolyte concentrations, overhydration, congested states or pulmonary edema.

Additives may be incompatible. Consult with pharmacist if available. When introducing additives, use aseptic technique, mix thoroughly and do not store.

Overdosage (OVERDOSAGE)

In the event of overhydration or solute overload during therapy, re-evaluate the patient and institute appropriate corrective measures. See WARNINGS and PRECAUTIONS .

Pregnancy:

Animal reproduction studies have not been conducted with dextrose. It is also not known whether dextrose can cause fetal harm when administered to a pregnant woman or can affect reproduction capacity. Dextrose should be given to a pregnant woman only if clearly needed.

Description (DESCRIPTION)

50% Dextrose Injection, USP is a sterile, nonpyrogenic, hypertonic solution of dextrose in water for injection for intravenous injection as a fluid and nutrient replenisher.

Each mL of fluid contains 0.5 g dextrose, hydrous which delivers 3.4 kcal/gram. The solution has an osmolarity of 2.53 mOsmol/mL (calc.), pH 3.2 to 6.5 and may contain sodium hydroxide and/or hydrochloric acid for pH adjustment.

The solution contains no bacteriostat, antimicrobial agent or added buffer (except for pH adjustment) and is intended only for use as a single-dose injection. When smaller doses are required, the unused portion should be discarded with the entire unit.

Dextrose, USP is chemically designated C 6H 12O 6∙ H 2O (D-glucose monohydrate), a hexose sugar freely soluble in water.

Dextrose, hydrous has the following structural formula:

Water for Injection, USP is chemically designated H 2O.

The syringe is molded from a specially formulated polypropylene. Water permeates from inside the container at an extremely slow rate which will have an insignificant effect on solution concentration over the expected shelf life. Solutions in contact with the plastic container may leach out certain chemical components from the plastic in very small amounts; however, biological testing was supportive of the safety of the syringe material.

Precautions (PRECAUTIONS)

Do not use unless the solution is clear and seal is intact. Discard unused portion.

Electrolyte deficits, particularly in serum potassium and phosphate, may occur during prolonged use of concentrated dextrose solutions. Blood electrolyte monitoring is essential and fluid and electrolyte imbalances should be corrected. Essential vitamins and minerals also should be provided as needed.

To minimize hyperglycemia and consequent glycosuria, it is desirable to monitor blood and urine glucose and if necessary, add insulin.

When a concentrated dextrose infusion is abruptly withdrawn, it is advisable to follow with the administration of 5% or 10% dextrose injection to avoid rebound hypoglycemia.

Solutions containing dextrose should be used with caution in patients with known subclinical or overt diabetes mellitus.

Care should be exercised to ensure that the needle is well within the lumen of the vein and that extravasation does not occur. If thrombosis should occur during administration, the injection should be stopped and corrective measures instituted.

Concentrated dextrose solutions should not be administered subcutaneously or intramuscularly.

How Supplied (HOW SUPPLIED)

50% Dextrose Injection, USP is supplied in single-dose containers as follows:

NDC 84549-517-16

1 - 50 mL Ansyr ®II Plastic Syringe with syringe and barrel detached

25 g/50 mL (0.5 g/mL)

Nursing Mothers

It is not known whether this drug is excreted in human milk. Because many drugs are excreted in human milk, caution should be exercised when 50% Dextrose Injection, USP is administered to a nursing mother.

Adverse Reactions (ADVERSE REACTIONS)

Hyperosmolar syndrome, resulting from excessively rapid administration of concentrated dextrose may cause mental confusion and/or loss of consciousness.

Reactions which may occur because of the solution or the technique of administration include febrile response, infection at the site of injection, venous thrombosis or phlebitis extending from the site of injection, extravasation and hypervolemia.

If an adverse reaction does occur, discontinue the infusion, evaluate the patient, institute appropriate therapeutic countermeasures and save the remainder of the fluid for examination if deemed necessary.

Contraindications (CONTRAINDICATIONS)

A concentrated dextrose solution should not be used when intracranial or intraspinal hemorrhage is present, nor in the presence of delirium tremens if the patient is already dehydrated.

Dextrose injection without electrolytes should not be administered simultaneously with blood through the same infusion set because of the possibility that pseudoagglutination of red cells may occur.

Clinical Pharmacology (CLINICAL PHARMACOLOGY)

When administered intravenously this solution restores blood glucose levels in hypoglycemia and provides a source of carbohydrate calories.

Carbohydrate in the form of dextrose may aid in minimizing liver glycogen depletion and exerts a protein-sparing action. Dextrose injection undergoes oxidation to carbon dioxide and water.

Water is an essential constituent of all body tissues and accounts for approximately 70% of total body weight. Average normal adult requirement ranges from two to three liters (1.0 to 1.5 liters each for insensible water loss by perspiration and urine production).

Water balance is maintained by various regulatory mechanisms. Water distribution depends primarily on the concentration of electrolytes in the body compartments and sodium (Na +) plays a major role in maintaining physiologic equilibrium.

Indications and Usage (INDICATIONS AND USAGE)

50% Dextrose Injection is indicated in the treatment of insulin hypoglycemia (hyperinsulinemia or insulin shock) to restore blood glucose levels.

The solution is also indicated, after dilution, for intravenous infusion as a source of carbohydrate calories in patients whose oral intake is restricted or inadequate to maintain nutritional requirements. Slow infusion of hypertonic solutions is essential to ensure proper utilization of dextrose and avoid production of hyperglycemia.

For Central Venous Administration: (For central venous administration:)

Concentrated dextrose should be administered via central vein only after suitable dilution.

For Peripheral Vein Administration: (For peripheral vein administration:)

The solution should be given slowly, preferably through a small-bore needle into a large vein, to minimize venous irritation.

Principal Display Panel 50 Ml Syringe Label (PRINCIPAL DISPLAY PANEL - 50 mL Syringe Label)

Carcinogenesis, Mutagenesis, Impairment of Fertility:

Studies with solutions in polypropylene syringes have not been performed to evaluate carcinogenic potential, mutagenic potential or effects on fertility.


Advanced Ingredient Data


Raw Label Data

All Sections (JSON)