SPL v10
SPL
SPL Set ID 3831e931-ec0a-11e3-ac10-0800200c9a66
Route
TOPICAL
Published
Effective Date 2025-04-15
Document Type 34391-3 HUMAN PRESCRIPTION DRUG LABEL

Drug Facts

Composition & Product

Active Ingredients
Pramoxine (100 mg) Hydrocortisone
Inactive Ingredients
Propylene Glycol Cetyl Alcohol Peg-100 Stearate Propylparaben Methylparaben Trolamine Water Isobutane Propane Ethylene Distearamide

Identifiers & Packaging

Pill Appearance
Color: white
Marketing Status
ANDA Active Since 2014-08-15

Description

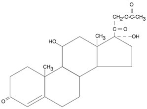
Proctofoam ® HC (hydrocortisone acetate 1% and pramoxine hydrochloride 1%) is a topical aerosol foam for anal use containing hydrocortisone acetate 1% and pramoxine hydrochloride 1% in a hydrophilic base containing cetyl alcohol, emulsifying wax, methylparaben, poly-oxyethylene-10-stearyl ether, propylene glycol, propylparaben, purified water, trolamine and inert propellants: isobutane and propane. Proctofoam ® HC contains a synthetic corticosteroid used as an anti-inflammatory/antipruritic agent and a local anesthetic. Hydrocortisone acetate Molecular weight: 404.50. Solubility of hydrocortisone acetate in water: 1 mg/100 mL. Chemical name: pregn-4-ene-3,20-dione, 21-(acetyloxy)-11,17-dihydroxy-,(11β)-. Pramoxine hydrochloride Molecular weight: 329.86. Pramoxine hydrochloride is freely soluble in water. Chemical name: morpholine, 4-[3-(4-butoxyphenoxy) propyl]-, hydrochloride.

Indications and Usage

Proctofoam ® HC is indicated for the relief of the inflammatory and pruritic manifestations of corticosteroid-responsive dermatoses of the anal region.

Dosage and Administration

Apply to affected area 3 to 4 times daily. Use the applicator supplied for anal administration. For perianal use, transfer a small quantity to a tissue and rub in gently. Directions for Use. 1. Attach Cap: Place cap on top of container. 2. Shake Container: Shake foam container vigorously for 5-10 seconds before each use. Do not remove container cap during use of the product. 3. Attach Applicator: Hold container upright on a level surface and gently place the tip of the applicator onto the nose of the container cap. CONTAINER MUST BE HELD UPRIGHT TO OBTAIN PROPER FLOW OF MEDICATION. 4. Pull Plunger: Pull plunger past the fill line on the applicator barrel. 5. Prime Container: Hold the container and applicator at eye level. Place the index and middle fingers on the container cap flanges and the thumb beneath the container. Support the applicator with your other hand. Prime the container by pressing down firmly on flanges and then release. With initial priming, a burst of air may come out of the container. It usually requires 1-2 pumps for foam to appear. 6. Fill Applicator: To fill applicator barrel, press down firmly on cap flanges, hold for 1-2 seconds, and release. Wait 5-10 seconds to allow foam to expand in applicator barrel. Repeat until foam reaches fill line. It usually requires 3-4 pumps for foam to reach fill line. Remove applicator from container cap. Note: If foam goes beyond fill line, it will continue to expand and flow backwards resulting in foam build-up under cap. 7. Foam Application: Hold applicator firmly by barrel, making sure thumb and middle finger are positioned securely underneath and resting against barrel wings. Place index finger over the plunger. Gently insert tip into anus. Once in place, push plunger to expel foam, then withdraw applicator. CAUTION: Do not insert any part of the aerosol container directly into the anus. Apply to anus only with enclosed applicator. Do not insert any part of the applicator past the anus into rectum. 8. Clean Applicator: After each use, applicator parts should be pulled apart for thorough cleaning with warm water. Since some foam will appear under the cap, the cap and underlying tip should be pulled apart and rinsed to help prevent build-up of foam and possible blockage.

Contraindications

Topical corticosteroid products are contraindicated in those patients with a history of hypersensitivity to any of the components of the preparation.

Adverse Reactions

The following local adverse reactions are reported infrequently with topical corticosteroids, but may occur more frequently with the use of occlusive dressings. These reactions are listed in approximate decreasing order of occurrence: burning, itching, irritation, dryness, folliculitis, hypertrichosis, acneiform eruptions, hypopigmentation, perioral dermatitis, allergic contact dermatitis, maceration of the skin, secondary infection, skin atrophy, striae and miliaria. To report SUSPECTED ADVERSE REACTIONS, contact Meda Pharmaceuticals Inc. at 1-866-210-5948 or FDA at 1-800-FDA-1088 or www.fda.gov/medwatch.

How Supplied

Proctofoam ® HC is supplied in an aerosol container with a special anal applicator. When used correctly, the aerosol container will deliver a minimum of 14 applications. NDC 0037-6822-10     10 g Store upright at controlled room temperature 20°-25°C (68°-77°F). DO NOT REFRIGERATE. Distributed by: Meda Pharmaceuticals Inc. Canonsburg, PA 15317 U.S.A. © 2025 Viatris Inc. PROCTOFOAM is a registered trademark of Alaven Pharmaceutical LLC, a Viatris Company. IN-682210-05 141371-0421


Medication Information

Indications and Usage

Proctofoam® HC is indicated for the relief of the inflammatory and pruritic manifestations of corticosteroid-responsive dermatoses of the anal region.

Dosage and Administration

Apply to affected area 3 to 4 times daily. Use the applicator supplied for anal administration. For perianal use, transfer a small quantity to a tissue and rub in gently.

Directions for Use.

  • 1.
    Attach Cap: Place cap on top of container.
  • 2.
    Shake Container: Shake foam container vigorously for 5-10 seconds before each use. Do not remove container cap during use of the product.
  • 3.
    Attach Applicator: Hold container upright on a level surface and gently place the tip of the applicator onto the nose of the container cap. CONTAINER MUST BE HELD UPRIGHT TO OBTAIN PROPER FLOW OF MEDICATION.
  • 4.
    Pull Plunger: Pull plunger past the fill line on the applicator barrel.
  • 5.
    Prime Container: Hold the container and applicator at eye level. Place the index and middle fingers on the container cap flanges and the thumb beneath the container. Support the applicator with your other hand. Prime the container by pressing down firmly on flanges and then release. With initial priming, a burst of air may come out of the container. It usually requires 1-2 pumps for foam to appear.
  • 6.
    Fill Applicator: To fill applicator barrel, press down firmly on cap flanges, hold for 1-2 seconds, and release. Wait 5-10 seconds to allow foam to expand in applicator barrel. Repeat until foam reaches fill line. It usually requires 3-4 pumps for foam to reach fill line. Remove applicator from container cap. Note: If foam goes beyond fill line, it will continue to expand and flow backwards resulting in foam build-up under cap.
  • 7.
    Foam Application: Hold applicator firmly by barrel, making sure thumb and middle finger are positioned securely underneath and resting against barrel wings. Place index finger over the plunger. Gently insert tip into anus. Once in place, push plunger to expel foam, then withdraw applicator. CAUTION: Do not insert any part of the aerosol container directly into the anus. Apply to anus only with enclosed applicator. Do not insert any part of the applicator past the anus into rectum.
  • 8.
    Clean Applicator: After each use, applicator parts should be pulled apart for thorough cleaning with warm water. Since some foam will appear under the cap, the cap and underlying tip should be pulled apart and rinsed to help prevent build-up of foam and possible blockage.
Contraindications

Topical corticosteroid products are contraindicated in those patients with a history of hypersensitivity to any of the components of the preparation.

Adverse Reactions

The following local adverse reactions are reported infrequently with topical corticosteroids, but may occur more frequently with the use of occlusive dressings. These reactions are listed in approximate decreasing order of occurrence: burning, itching, irritation, dryness, folliculitis, hypertrichosis, acneiform eruptions, hypopigmentation, perioral dermatitis, allergic contact dermatitis, maceration of the skin, secondary infection, skin atrophy, striae and miliaria.

To report SUSPECTED ADVERSE REACTIONS, contact Meda Pharmaceuticals Inc. at 1-866-210-5948 or FDA at 1-800-FDA-1088 or www.fda.gov/medwatch.

How Supplied

Proctofoam® HC is supplied in an aerosol container with a special anal applicator. When used correctly, the aerosol container will deliver a minimum of 14 applications.

NDC 0037-6822-10     10 g

Store upright at controlled room temperature 20°-25°C (68°-77°F). DO NOT REFRIGERATE.

Distributed by:

Meda Pharmaceuticals Inc.

Canonsburg, PA 15317 U.S.A.

© 2025 Viatris Inc.

PROCTOFOAM is a registered trademark of Alaven Pharmaceutical LLC, a Viatris Company.

IN-682210-05

141371-0421

Description

Proctofoam® HC (hydrocortisone acetate 1% and pramoxine hydrochloride 1%) is a topical aerosol foam for anal use containing hydrocortisone acetate 1% and pramoxine hydrochloride 1% in a hydrophilic base containing cetyl alcohol, emulsifying wax, methylparaben, poly-oxyethylene-10-stearyl ether, propylene glycol, propylparaben, purified water, trolamine and inert propellants: isobutane and propane.

Proctofoam® HC contains a synthetic corticosteroid used as an anti-inflammatory/antipruritic agent and a local anesthetic.

Hydrocortisone acetate

Molecular weight: 404.50. Solubility of hydrocortisone acetate in water: 1 mg/100 mL.

Chemical name: pregn-4-ene-3,20-dione, 21-(acetyloxy)-11,17-dihydroxy-,(11β)-.

Pramoxine hydrochloride

Molecular weight: 329.86. Pramoxine hydrochloride is freely soluble in water. Chemical name: morpholine, 4-[3-(4-butoxyphenoxy) propyl]-, hydrochloride.

General

Systemic absorption of topical corticosteroids has produced reversible hypothalamic-pituitary-adrenal (HPA) axis suppression, manifestations of Cushing's syndrome, hyperglycemia, and glucosuria in some patients.

Conditions which augment systemic absorption include the application of the more potent steroids, use over large surface areas, prolonged use, and the addition of occlusive dressings. Therefore, patients receiving a large dose of a potent topical steroid applied to a large surface area or under an occlusive dressing should be evaluated periodically for evidence of HPA axis suppression by using the urinary free cortisol and ACTH stimulation tests. If HPA axis suppression is noted, an attempt should be made to withdraw the drug, to reduce the frequency of application or to substitute a less potent steroid.

Recovery of HPA axis function is generally prompt and complete upon discontinuation of the drug. Infrequently, signs and symptoms of steroid withdrawal may occur, requiring supplemental systemic corticosteroids. Pediatric patients may absorb proportionally larger amounts of topical corticosteroids and thus be more susceptible to systemic toxicity. (see PRECAUTIONS: Pediatric Use.)

If irritation develops, topical corticosteroids should be discontinued and appropriate therapy instituted.

In the presence of dermatological infections, the use of an appropriate antifungal or antibacterial agent should be instituted. If a favorable response does not occur promptly, the corticosteroid should be discontinued until the infection has been adequately controlled.

Warnings

Do not insert any part of the aerosol container directly into the anus. Avoid contact with the eyes. Contents of the container are under pressure. Do not burn or puncture the aerosol container. Do not store at temperatures above 120°F (49°C). If there is no evidence of clinical improvement within two or three weeks after starting Proctofoam® HC therapy, or if the patient's condition worsens, discontinue the drug. Keep this and all medicines out of the reach of children.

Overdosage

Topically applied corticosteroids can be absorbed in sufficient amounts to produce systemic effects. (See PRECAUTIONS.)

Geriatric Use

Reported clinical experience has not identified differences in responses between the elderly and younger patients. In general, dose selection for an elderly patient should be cautious using the least amount compatible with an effective therapeutic regimen and reflecting the greater frequency of decreased hepatic, renal or cardiac function, and of concomitant disease or other drug therapy.

Pediatric Use

Pediatric patients may demonstrate greater susceptibility to topical corticosteroid-induced HPA axis suppression and Cushing's syndrome than mature patients because of a larger skin surface area to body weight ratio.

Hypothalamic-pituitary-adrenal (HPA) axis suppression, Cushing's syndrome, and intracranial hypertension have been reported in pediatric patients receiving topical corticosteroids. Manifestations of adrenal suppression in pediatric patients include linear growth retardation, delayed weight gain, low plasma cortisol levels, and absence of response to ACTH stimulation. Manifestations of intracranial hypertension include bulging fontanelles, headaches, and bilateral papilledema.

Administration of topical corticosteroids to pediatric patients should be limited to the least amount compatible with an effective therapeutic regimen. Chronic corticosteroid therapy may interfere with the growth and development of pediatric patients.

Nursing Mothers

It is not known whether topical administration of corticosteroids could result in sufficient systemic absorption to produce detectable quantities in breast milk. Systemically administered corticosteroids are secreted into breast milk in quantities not likely to have a deleterious effect on the infant. Nevertheless, caution should be exercised when topical corticosteroids are administered to a nursing woman.

Laboratory Tests

The following tests may be helpful in evaluating the HPA axis suppression:

Urinary free cortisol test

ACTH stimulation test

Pharmacokinetics

The extent of percutaneous absorption of topical corticosteroids is determined by many factors including the vehicle, the integrity of the epidermal barrier, and the use of occlusive dressings.

Topical corticosteroids can be absorbed through normal intact skin. Inflammation and/or other disease processes in the skin increase the percutaneous absorption of topical corticosteroids. Occlusive dressings substantially increase the percutaneous absorption of topical corticosteroids. Thus, occlusive dressings may be a valuable therapeutic adjunct for treatment of resistant dermatoses. (See DOSAGE AND ADMINISTRATION.)

Once absorbed through the skin, topical corticosteroids are handled through pharmacokinetic pathways similar to systemically administered corticosteroids. Corticosteroids are bound to plasma proteins in varying degrees. Corticosteroids are metabolized primarily in the liver and are then excreted by the kidneys. Some of the topical corticosteroids and their metabolites are also excreted into the bile.

Teratogenic Effects

Corticosteroids are generally teratogenic in laboratory animals when administered systemically at relatively low dosage levels. The more potent corticosteroids have been shown to be teratogenic after dermal application in laboratory animals. There are no adequate, well-controlled studies of teratogenic effects from topically applied corticosteroids in pregnant women. Therefore, topical corticosteroids should be used during pregnancy only if the potential benefit justifies the potential risk to the fetus. Drugs of this class should not be used extensively on pregnant patients, in large amounts, or for prolonged periods of time.

Patient Instructions

PLEASE READ CAREFULLY BEFORE USING

 

PATIENT INSTRUCTIONS FOR

proctofoam® HC

(hydrocortisone acetate 1% and

pramoxine hydrochloride 1%)

TOPICAL AEROSOL

Keep this insert. It contains

important information about

the use of proctofoam® HC.

 

 

  • 1
    Attach Cap: Place cap on top of container.
  • 2
    Shake Container: Shake foam container vigorously for 5-10 seconds before each use. Do not remove container cap during use of the product.
  • 3
    Attach Applicator: Hold container upright on a level surface and gently place the tip of the applicator onto the nose of the container cap. CONTAINER MUST BE HELD UPRIGHT TO OBTAIN PROPER FLOW OF MEDICATION.
  • 4
    Pull Plunger: Pull plunger past the fill line on the applicator barrel.
  • 5
    Prime Container: Hold the container and applicator at eye level. Place the index and middle fingers on the container cap flanges and the thumb beneath the container. Support the applicator with your other hand. Prime the container by pressing down firmly on flanges and then release. With initial priming, a burst of air may come out of the container. It usually requires 1-2 pumps for foam to appear.
  • 6
    Fill Applicator: To fill applicator barrel, press down firmly on cap flanges, hold for 1-2 seconds, and release. Wait 5-10 seconds to allow foam to expand in applicator barrel. Repeat until foam reaches fill line. It usually requires 3-4 pumps for foam to reach fill line. Remove applicator from container cap. Note: If foam goes beyond fill line, it will continue to expand and flow backwards resulting in foam build-up under cap.
  • 7
    Foam Application: Hold applicator firmly by barrel, making sure thumb and middle finger are positioned securely underneath and resting against barrel wings. Place index finger over the plunger. Gently insert tip into anus. Once in place, push plunger to expel foam, then withdraw applicator. CAUTION: Do not insert any part of the aerosol container directly into the anus. Apply to anus only with enclosed applicator. Do not insert any part of the applicator past the anus into rectum.
  • 8
    Clean Applicator: After each use, applicator parts should be pulled apart for thorough cleaning with warm water. Since some foam will appear under the cap, the cap and underlying tip should be pulled apart and rinsed to help prevent build-up of foam and possible blockage.

IS-682210-05

141370-0423

Distributed by:

Meda Pharmaceuticals Inc.

Canonsburg, PA 15317 U.S.A.

 

PROCTOFOAM is a registered trademark of Alaven Pharmaceutical LLC, a Viatris Company.

 

To report SUSPECTED ADVERSE REACTIONS, contact Meda Pharmaceuticals Inc. at 1-866-210-5948 or FDA at 1-800-FDA-1088 or www.fda.gov/medwatch.

Clinical Pharmacology

Topical corticosteroids share anti-inflammatory, antipruritic and vasoconstrictive actions.

The mechanism of anti-inflammatory activity of the topical corticosteroids is unclear. Various laboratory methods, including vasoconstrictor assays, are used to compare and predict potencies and/or clinical efficacies of the topical corticosteroids. There is some evidence to suggest that a recognizable correlation exists between vasoconstrictor potency and therapeutic efficacy in man.

Pramoxine hydrochloride is a surface or local anesthetic which is not chemically related to the "caine" types of local anesthetics. Its unique chemical structure is likely to minimize the danger of cross-sensitivity reactions in patients allergic to other local anesthetics.

Information for the Patient

Patients using topical corticosteroids should receive the following information and instructions:

  • 1.
    This medication is to be used as directed by the physician. It is for anal or perianal use only. Avoid contact with eyes.
  • 2.
    Be advised not to use this medication for any disorder other than for which it has been prescribed.
  • 3.
    Report any signs of adverse reactions.
Principal Display Panel 10 G

NDC 0037-6822-10

STORE UPRIGHT

proctofoam® HC

(hydrocortisone acetate 1% and

pramoxine hydrochloride 1%)

topical aerosol

Rx Only

10 g net wt

Description

proctofoam® HC (hydrocortisone acetate 1% and

pramoxine hydrochloride 1%) is a topical aerosol foam for

anal use containing hydrocortisone acetate 1% and

pramoxine hydrochloride 1% in a hydrophilic base

containing cetyl alcohol, emulsifying wax, methylparaben

polyoxyethylene-10-stearyl ether, propylene glycol

propylparaben, purified water, trolamine, and inert

propellants: isobutane and propane.

Dosage: Apply to affected areas 3 to 4 times daily. Use

the applicator supplied for anal administration. For

perianal use, transfer a small quantity to a tissue and rub

gently. See patient instructions (inside) for full

directions for use. 
Please see package insert for

complete prescribing information.

Caution: Do not insert any part of the aerosol container

directly into the anus. Apply to anus only with the

enclosed applicator. Do not insert any part of applicator

past the anus into rectum.

WARNINGS: Contents of the container are under

pressure. Do not burn or puncture the aerosol container.

Do not store at temperatures above 120°F (49°C).

KEEP OUT OF REACH OF CHILDREN.

Store upright at controlled room temperature

20° - 25°C (68° - 77°F).

DO NOT REFRIGERATE.

117779-2421     UC-682210-07

Distributed by:

Meda Pharmaceuticals Inc

Canonsburg, PA 15317 U.S.A

©2025 Viatris Inc.

PROCTOFOAM is a registered

trademark of

Alaven Pharmaceutical LLC,

a Viatris company.

Carcinogenesis, Mutagenesis, Impairment of Fertility

Long-term animal studies have not been performed to evaluate the carcinogenic potential or the effect on fertility of topical corticosteroids.

Studies to determine mutagenicity with prednisolone and hydrocortisone have revealed negative results.


Structured Label Content

General

Systemic absorption of topical corticosteroids has produced reversible hypothalamic-pituitary-adrenal (HPA) axis suppression, manifestations of Cushing's syndrome, hyperglycemia, and glucosuria in some patients.

Conditions which augment systemic absorption include the application of the more potent steroids, use over large surface areas, prolonged use, and the addition of occlusive dressings. Therefore, patients receiving a large dose of a potent topical steroid applied to a large surface area or under an occlusive dressing should be evaluated periodically for evidence of HPA axis suppression by using the urinary free cortisol and ACTH stimulation tests. If HPA axis suppression is noted, an attempt should be made to withdraw the drug, to reduce the frequency of application or to substitute a less potent steroid.

Recovery of HPA axis function is generally prompt and complete upon discontinuation of the drug. Infrequently, signs and symptoms of steroid withdrawal may occur, requiring supplemental systemic corticosteroids. Pediatric patients may absorb proportionally larger amounts of topical corticosteroids and thus be more susceptible to systemic toxicity. (see PRECAUTIONS: Pediatric Use.)

If irritation develops, topical corticosteroids should be discontinued and appropriate therapy instituted.

In the presence of dermatological infections, the use of an appropriate antifungal or antibacterial agent should be instituted. If a favorable response does not occur promptly, the corticosteroid should be discontinued until the infection has been adequately controlled.

Warnings (WARNINGS)

Do not insert any part of the aerosol container directly into the anus. Avoid contact with the eyes. Contents of the container are under pressure. Do not burn or puncture the aerosol container. Do not store at temperatures above 120°F (49°C). If there is no evidence of clinical improvement within two or three weeks after starting Proctofoam® HC therapy, or if the patient's condition worsens, discontinue the drug. Keep this and all medicines out of the reach of children.

Overdosage (OVERDOSAGE)

Topically applied corticosteroids can be absorbed in sufficient amounts to produce systemic effects. (See PRECAUTIONS.)

Description (DESCRIPTION)

Proctofoam® HC (hydrocortisone acetate 1% and pramoxine hydrochloride 1%) is a topical aerosol foam for anal use containing hydrocortisone acetate 1% and pramoxine hydrochloride 1% in a hydrophilic base containing cetyl alcohol, emulsifying wax, methylparaben, poly-oxyethylene-10-stearyl ether, propylene glycol, propylparaben, purified water, trolamine and inert propellants: isobutane and propane.

Proctofoam® HC contains a synthetic corticosteroid used as an anti-inflammatory/antipruritic agent and a local anesthetic.

Hydrocortisone acetate

Molecular weight: 404.50. Solubility of hydrocortisone acetate in water: 1 mg/100 mL.

Chemical name: pregn-4-ene-3,20-dione, 21-(acetyloxy)-11,17-dihydroxy-,(11β)-.

Pramoxine hydrochloride

Molecular weight: 329.86. Pramoxine hydrochloride is freely soluble in water. Chemical name: morpholine, 4-[3-(4-butoxyphenoxy) propyl]-, hydrochloride.

How Supplied (HOW SUPPLIED)

Proctofoam® HC is supplied in an aerosol container with a special anal applicator. When used correctly, the aerosol container will deliver a minimum of 14 applications.

NDC 0037-6822-10     10 g

Store upright at controlled room temperature 20°-25°C (68°-77°F). DO NOT REFRIGERATE.

Distributed by:

Meda Pharmaceuticals Inc.

Canonsburg, PA 15317 U.S.A.

© 2025 Viatris Inc.

PROCTOFOAM is a registered trademark of Alaven Pharmaceutical LLC, a Viatris Company.

IN-682210-05

141371-0421

Geriatric Use

Reported clinical experience has not identified differences in responses between the elderly and younger patients. In general, dose selection for an elderly patient should be cautious using the least amount compatible with an effective therapeutic regimen and reflecting the greater frequency of decreased hepatic, renal or cardiac function, and of concomitant disease or other drug therapy.

Pediatric Use

Pediatric patients may demonstrate greater susceptibility to topical corticosteroid-induced HPA axis suppression and Cushing's syndrome than mature patients because of a larger skin surface area to body weight ratio.

Hypothalamic-pituitary-adrenal (HPA) axis suppression, Cushing's syndrome, and intracranial hypertension have been reported in pediatric patients receiving topical corticosteroids. Manifestations of adrenal suppression in pediatric patients include linear growth retardation, delayed weight gain, low plasma cortisol levels, and absence of response to ACTH stimulation. Manifestations of intracranial hypertension include bulging fontanelles, headaches, and bilateral papilledema.

Administration of topical corticosteroids to pediatric patients should be limited to the least amount compatible with an effective therapeutic regimen. Chronic corticosteroid therapy may interfere with the growth and development of pediatric patients.

Nursing Mothers

It is not known whether topical administration of corticosteroids could result in sufficient systemic absorption to produce detectable quantities in breast milk. Systemically administered corticosteroids are secreted into breast milk in quantities not likely to have a deleterious effect on the infant. Nevertheless, caution should be exercised when topical corticosteroids are administered to a nursing woman.

Laboratory Tests

The following tests may be helpful in evaluating the HPA axis suppression:

Urinary free cortisol test

ACTH stimulation test

Pharmacokinetics

The extent of percutaneous absorption of topical corticosteroids is determined by many factors including the vehicle, the integrity of the epidermal barrier, and the use of occlusive dressings.

Topical corticosteroids can be absorbed through normal intact skin. Inflammation and/or other disease processes in the skin increase the percutaneous absorption of topical corticosteroids. Occlusive dressings substantially increase the percutaneous absorption of topical corticosteroids. Thus, occlusive dressings may be a valuable therapeutic adjunct for treatment of resistant dermatoses. (See DOSAGE AND ADMINISTRATION.)

Once absorbed through the skin, topical corticosteroids are handled through pharmacokinetic pathways similar to systemically administered corticosteroids. Corticosteroids are bound to plasma proteins in varying degrees. Corticosteroids are metabolized primarily in the liver and are then excreted by the kidneys. Some of the topical corticosteroids and their metabolites are also excreted into the bile.

Adverse Reactions (ADVERSE REACTIONS)

The following local adverse reactions are reported infrequently with topical corticosteroids, but may occur more frequently with the use of occlusive dressings. These reactions are listed in approximate decreasing order of occurrence: burning, itching, irritation, dryness, folliculitis, hypertrichosis, acneiform eruptions, hypopigmentation, perioral dermatitis, allergic contact dermatitis, maceration of the skin, secondary infection, skin atrophy, striae and miliaria.

To report SUSPECTED ADVERSE REACTIONS, contact Meda Pharmaceuticals Inc. at 1-866-210-5948 or FDA at 1-800-FDA-1088 or www.fda.gov/medwatch.

Contraindications (CONTRAINDICATIONS)

Topical corticosteroid products are contraindicated in those patients with a history of hypersensitivity to any of the components of the preparation.

Teratogenic Effects

Corticosteroids are generally teratogenic in laboratory animals when administered systemically at relatively low dosage levels. The more potent corticosteroids have been shown to be teratogenic after dermal application in laboratory animals. There are no adequate, well-controlled studies of teratogenic effects from topically applied corticosteroids in pregnant women. Therefore, topical corticosteroids should be used during pregnancy only if the potential benefit justifies the potential risk to the fetus. Drugs of this class should not be used extensively on pregnant patients, in large amounts, or for prolonged periods of time.

Patient Instructions

PLEASE READ CAREFULLY BEFORE USING

 

PATIENT INSTRUCTIONS FOR

proctofoam® HC

(hydrocortisone acetate 1% and

pramoxine hydrochloride 1%)

TOPICAL AEROSOL

Keep this insert. It contains

important information about

the use of proctofoam® HC.

 

 

  • 1
    Attach Cap: Place cap on top of container.
  • 2
    Shake Container: Shake foam container vigorously for 5-10 seconds before each use. Do not remove container cap during use of the product.
  • 3
    Attach Applicator: Hold container upright on a level surface and gently place the tip of the applicator onto the nose of the container cap. CONTAINER MUST BE HELD UPRIGHT TO OBTAIN PROPER FLOW OF MEDICATION.
  • 4
    Pull Plunger: Pull plunger past the fill line on the applicator barrel.
  • 5
    Prime Container: Hold the container and applicator at eye level. Place the index and middle fingers on the container cap flanges and the thumb beneath the container. Support the applicator with your other hand. Prime the container by pressing down firmly on flanges and then release. With initial priming, a burst of air may come out of the container. It usually requires 1-2 pumps for foam to appear.
  • 6
    Fill Applicator: To fill applicator barrel, press down firmly on cap flanges, hold for 1-2 seconds, and release. Wait 5-10 seconds to allow foam to expand in applicator barrel. Repeat until foam reaches fill line. It usually requires 3-4 pumps for foam to reach fill line. Remove applicator from container cap. Note: If foam goes beyond fill line, it will continue to expand and flow backwards resulting in foam build-up under cap.
  • 7
    Foam Application: Hold applicator firmly by barrel, making sure thumb and middle finger are positioned securely underneath and resting against barrel wings. Place index finger over the plunger. Gently insert tip into anus. Once in place, push plunger to expel foam, then withdraw applicator. CAUTION: Do not insert any part of the aerosol container directly into the anus. Apply to anus only with enclosed applicator. Do not insert any part of the applicator past the anus into rectum.
  • 8
    Clean Applicator: After each use, applicator parts should be pulled apart for thorough cleaning with warm water. Since some foam will appear under the cap, the cap and underlying tip should be pulled apart and rinsed to help prevent build-up of foam and possible blockage.

IS-682210-05

141370-0423

Distributed by:

Meda Pharmaceuticals Inc.

Canonsburg, PA 15317 U.S.A.

 

PROCTOFOAM is a registered trademark of Alaven Pharmaceutical LLC, a Viatris Company.

 

To report SUSPECTED ADVERSE REACTIONS, contact Meda Pharmaceuticals Inc. at 1-866-210-5948 or FDA at 1-800-FDA-1088 or www.fda.gov/medwatch.

Clinical Pharmacology (CLINICAL PHARMACOLOGY)

Topical corticosteroids share anti-inflammatory, antipruritic and vasoconstrictive actions.

The mechanism of anti-inflammatory activity of the topical corticosteroids is unclear. Various laboratory methods, including vasoconstrictor assays, are used to compare and predict potencies and/or clinical efficacies of the topical corticosteroids. There is some evidence to suggest that a recognizable correlation exists between vasoconstrictor potency and therapeutic efficacy in man.

Pramoxine hydrochloride is a surface or local anesthetic which is not chemically related to the "caine" types of local anesthetics. Its unique chemical structure is likely to minimize the danger of cross-sensitivity reactions in patients allergic to other local anesthetics.

Indications and Usage (INDICATIONS AND USAGE)

Proctofoam® HC is indicated for the relief of the inflammatory and pruritic manifestations of corticosteroid-responsive dermatoses of the anal region.

Dosage and Administration (DOSAGE AND ADMINISTRATION)

Apply to affected area 3 to 4 times daily. Use the applicator supplied for anal administration. For perianal use, transfer a small quantity to a tissue and rub in gently.

Directions for Use.

  • 1.
    Attach Cap: Place cap on top of container.
  • 2.
    Shake Container: Shake foam container vigorously for 5-10 seconds before each use. Do not remove container cap during use of the product.
  • 3.
    Attach Applicator: Hold container upright on a level surface and gently place the tip of the applicator onto the nose of the container cap. CONTAINER MUST BE HELD UPRIGHT TO OBTAIN PROPER FLOW OF MEDICATION.
  • 4.
    Pull Plunger: Pull plunger past the fill line on the applicator barrel.
  • 5.
    Prime Container: Hold the container and applicator at eye level. Place the index and middle fingers on the container cap flanges and the thumb beneath the container. Support the applicator with your other hand. Prime the container by pressing down firmly on flanges and then release. With initial priming, a burst of air may come out of the container. It usually requires 1-2 pumps for foam to appear.
  • 6.
    Fill Applicator: To fill applicator barrel, press down firmly on cap flanges, hold for 1-2 seconds, and release. Wait 5-10 seconds to allow foam to expand in applicator barrel. Repeat until foam reaches fill line. It usually requires 3-4 pumps for foam to reach fill line. Remove applicator from container cap. Note: If foam goes beyond fill line, it will continue to expand and flow backwards resulting in foam build-up under cap.
  • 7.
    Foam Application: Hold applicator firmly by barrel, making sure thumb and middle finger are positioned securely underneath and resting against barrel wings. Place index finger over the plunger. Gently insert tip into anus. Once in place, push plunger to expel foam, then withdraw applicator. CAUTION: Do not insert any part of the aerosol container directly into the anus. Apply to anus only with enclosed applicator. Do not insert any part of the applicator past the anus into rectum.
  • 8.
    Clean Applicator: After each use, applicator parts should be pulled apart for thorough cleaning with warm water. Since some foam will appear under the cap, the cap and underlying tip should be pulled apart and rinsed to help prevent build-up of foam and possible blockage.
Information for the Patient

Patients using topical corticosteroids should receive the following information and instructions:

  • 1.
    This medication is to be used as directed by the physician. It is for anal or perianal use only. Avoid contact with eyes.
  • 2.
    Be advised not to use this medication for any disorder other than for which it has been prescribed.
  • 3.
    Report any signs of adverse reactions.
Principal Display Panel 10 G (PRINCIPAL DISPLAY PANEL - 10 g)

NDC 0037-6822-10

STORE UPRIGHT

proctofoam® HC

(hydrocortisone acetate 1% and

pramoxine hydrochloride 1%)

topical aerosol

Rx Only

10 g net wt

Description

proctofoam® HC (hydrocortisone acetate 1% and

pramoxine hydrochloride 1%) is a topical aerosol foam for

anal use containing hydrocortisone acetate 1% and

pramoxine hydrochloride 1% in a hydrophilic base

containing cetyl alcohol, emulsifying wax, methylparaben

polyoxyethylene-10-stearyl ether, propylene glycol

propylparaben, purified water, trolamine, and inert

propellants: isobutane and propane.

Dosage: Apply to affected areas 3 to 4 times daily. Use

the applicator supplied for anal administration. For

perianal use, transfer a small quantity to a tissue and rub

gently. See patient instructions (inside) for full

directions for use. 
Please see package insert for

complete prescribing information.

Caution: Do not insert any part of the aerosol container

directly into the anus. Apply to anus only with the

enclosed applicator. Do not insert any part of applicator

past the anus into rectum.

WARNINGS: Contents of the container are under

pressure. Do not burn or puncture the aerosol container.

Do not store at temperatures above 120°F (49°C).

KEEP OUT OF REACH OF CHILDREN.

Store upright at controlled room temperature

20° - 25°C (68° - 77°F).

DO NOT REFRIGERATE.

117779-2421     UC-682210-07

Distributed by:

Meda Pharmaceuticals Inc

Canonsburg, PA 15317 U.S.A

©2025 Viatris Inc.

PROCTOFOAM is a registered

trademark of

Alaven Pharmaceutical LLC,

a Viatris company.

Carcinogenesis, Mutagenesis, Impairment of Fertility

Long-term animal studies have not been performed to evaluate the carcinogenic potential or the effect on fertility of topical corticosteroids.

Studies to determine mutagenicity with prednisolone and hydrocortisone have revealed negative results.


Advanced Ingredient Data


Raw Label Data

All Sections (JSON)