levalbuterol tartrate hfa inhalation aerosol, for oral inhalation use

levalbuterol tartrate hfa inhalation aerosol, for oral inhalation use
SPL v1
SPL
SPL Set ID 37c9c12a-db54-1fd6-e063-6394a90afb92
Route
oral
Published
Effective Date 2023-07-01
Document Type 34391-3 HUMAN PRESCRIPTION DRUG LABEL

Drug Facts

Composition & Product

Active Ingredients
levalbuterol (45 ug)
Inactive Ingredients
norflurane alcohol oleic acid

Identifiers & Packaging

Marketing Status
nda authorized generic active Since 2016-10-03

How Supplied

Levalbuterol tartrate HFA inhalation aerosol is supplied as a pressurized aluminum canister in a box:  NDC 0591-2927-54: Canister labeled with a net weight of 15 grams containing 200 metered actuations (or inhalations) Each canister is fitted with a dose indicator and is supplied with a blue plastic actuator mouthpiece, a red mouthpiece cap, and patient’s instructions. Shake well before using .  Store between 20° and 25°C (68° and 77°F; see USP controlled room temperature).  Protect from freezing temperatures and direct sunlight.  Store inhaler with the actuator mouthpiece down. Contents under pressure Do not puncture or incinerate.  Do not store near heat or open flame. Exposure to temperatures above 120°F may cause bursting.  Never throw container into fire or incinerator. Keep out of reach of children. The blue actuator supplied with Levalbuterol tartrate HFA inhalation aerosol should not be used with any other product canisters.  Actuators from other products should not be used with a Levalbuterol tartrate HFA inhalation aerosol canister.  The correct amount of medication in each actuation cannot be assured after 200 actuations, even though the canister is not completely empty.  When the dose indicator display window shows a red zone, approximately 20 inhalations are left, and a refill is required.  The canister should be discarded when the dose indicator display window shows zero, indicating that 200 actuations have been used.

Storage and Handling

Levalbuterol tartrate HFA inhalation aerosol is supplied as a pressurized aluminum canister in a box:  NDC 0591-2927-54: Canister labeled with a net weight of 15 grams containing 200 metered actuations (or inhalations) Each canister is fitted with a dose indicator and is supplied with a blue plastic actuator mouthpiece, a red mouthpiece cap, and patient’s instructions. Shake well before using .  Store between 20° and 25°C (68° and 77°F; see USP controlled room temperature).  Protect from freezing temperatures and direct sunlight.  Store inhaler with the actuator mouthpiece down. Contents under pressure Do not puncture or incinerate.  Do not store near heat or open flame. Exposure to temperatures above 120°F may cause bursting.  Never throw container into fire or incinerator. Keep out of reach of children. The blue actuator supplied with Levalbuterol tartrate HFA inhalation aerosol should not be used with any other product canisters.  Actuators from other products should not be used with a Levalbuterol tartrate HFA inhalation aerosol canister.  The correct amount of medication in each actuation cannot be assured after 200 actuations, even though the canister is not completely empty.  When the dose indicator display window shows a red zone, approximately 20 inhalations are left, and a refill is required.  The canister should be discarded when the dose indicator display window shows zero, indicating that 200 actuations have been used.

Description

Risk Summary There are no adequate and well-controlled studies of Levalbuterol tartrate HFA inhalation aerosol in pregnant women.  There are clinical considerations with the use of Levalbuterol tartrate HFA inhalation aerosol in pregnant women [see Clinical Considerations] . Following oral administration of levalbuterol HCl to pregnant rabbits, there was no evidence of teratogenicity at doses up to 25 mg/kg/day [approximately 750 times the maximum recommended human daily inhalation dose (MRHDID) of levalbuterol tartrate for adults on a mg/m 2 basis]; however, racemic albuterol sulfate was teratogenic in mice (cleft palate) and rabbits (cranioschisis) at doses slightly higher than the human therapeutic range ( see Data ). The estimated background risk of major birth defects and miscarriage for the indicated population(s) are unknown. In the U.S. general population, the estimated risk of major birth defects and miscarriage in clinically recognized pregnancies is 2 to 4% and 15 to 20%, respectively. Clinical Considerations Disease-Associated Maternal and/or Embryo/Fetal Risk In women with poorly or moderately controlled asthma, there is an increased risk of preeclampsia in the mother and prematurity, low birth weight, and small for gestational age in the neonate. Pregnant women should be closely monitored and medication adjusted as necessary to maintain optimal control.   Labor or Delivery Because of the potential for beta-adrenergic agonists to interfere with uterine contractility, the use of Levalbuterol tartrate HFA inhalation aerosol for the treatment of bronchospasm during labor should be restricted to those patients in whom the benefits clearly outweigh the risk. Levalbuterol tartrate HFA inhalation aerosol has not been approved for the management of preterm labor.  The benefit:risk ratio when levalbuterol tartrate is administered for tocolysis has not been established.  Serious adverse reactions, including maternal pulmonary edema, have been reported during or following treatment of premature labor with beta 2 -agonists, including racemic albuterol. Data   Animal Data The oral administration of levalbuterol HCl to pregnant New Zealand White rabbits during the period of organogenesis found no evidence of teratogenicity at doses up to 25 mg/kg/day (approximately 750 times the MRHDID of levalbuterol tartrate for adults on a mg/m 2 basis). In a rat developmental study, a racemic albuterol sulfate (comprising approximately 50% levalbuterol)/HFA-134a formulation administered by inhalation did not produce any teratogenic effects at exposures approximately 160 times the MRHDID (on a mg/m 2 basis at a maternal dose of 10.5 mg/kg) . However, other developmental studies with the racemic albuterol sulfate, did result in teratogenic effects in mice and rabbits at doses slightly higher than the human therapeutic range. In a rabbit development study, orally administered albuterol sulfate induced cranioschisis in 7 of 19 fetuses (37%) at approximately 1500 times the MRHDID (on a mg/m 2 basis at a maternal dose of 50 mg/kg).  In a mouse developmental study, subcutaneously administered albuterol sulfate produced cleft palate formation in 5 of 111 (4.5%) fetuses at an exposure approximately 2 times MRHDID for adults (on a mg/m 2 basis at a maternal dose of 0.25 mg/kg/day) and in 10 of 108 (9.3%) fetuses at approximately 20 times MRHDID (on a mg/m 2 basis at a maternal dose of 2.5 mg/kg/day).  Similar effects were not observed at approximately 0.2 times MRHDID of levalbuterol tartrate for adults on a mg/m 2 basis (i.e., less than the therapeutic dose).  Cleft palate also occurred in 22 of 72 (30.5%) fetuses from females treated subcutaneously with isoproterenol (positive control).


Medication Information

Storage and Handling

Levalbuterol tartrate HFA inhalation aerosol is supplied as a pressurized aluminum canister in a box:  NDC 0591-2927-54: Canister labeled with a net weight of 15 grams containing 200 metered actuations (or inhalations) Each canister is fitted with a dose indicator and is supplied with a blue plastic actuator mouthpiece, a red mouthpiece cap, and patient’s instructions. Shake well before using .  Store between 20° and 25°C (68° and 77°F; see USP controlled room temperature).  Protect from freezing temperatures and direct sunlight.  Store inhaler with the actuator mouthpiece down. Contents under pressure Do not puncture or incinerate.  Do not store near heat or open flame. Exposure to temperatures above 120°F may cause bursting.  Never throw container into fire or incinerator. Keep out of reach of children. The blue actuator supplied with Levalbuterol tartrate HFA inhalation aerosol should not be used with any other product canisters.  Actuators from other products should not be used with a Levalbuterol tartrate HFA inhalation aerosol canister.  The correct amount of medication in each actuation cannot be assured after 200 actuations, even though the canister is not completely empty.  When the dose indicator display window shows a red zone, approximately 20 inhalations are left, and a refill is required.  The canister should be discarded when the dose indicator display window shows zero, indicating that 200 actuations have been used.

How Supplied

Levalbuterol tartrate HFA inhalation aerosol is supplied as a pressurized aluminum canister in a box:  NDC 0591-2927-54: Canister labeled with a net weight of 15 grams containing 200 metered actuations (or inhalations) Each canister is fitted with a dose indicator and is supplied with a blue plastic actuator mouthpiece, a red mouthpiece cap, and patient’s instructions. Shake well before using .  Store between 20° and 25°C (68° and 77°F; see USP controlled room temperature).  Protect from freezing temperatures and direct sunlight.  Store inhaler with the actuator mouthpiece down. Contents under pressure Do not puncture or incinerate.  Do not store near heat or open flame. Exposure to temperatures above 120°F may cause bursting.  Never throw container into fire or incinerator. Keep out of reach of children. The blue actuator supplied with Levalbuterol tartrate HFA inhalation aerosol should not be used with any other product canisters.  Actuators from other products should not be used with a Levalbuterol tartrate HFA inhalation aerosol canister.  The correct amount of medication in each actuation cannot be assured after 200 actuations, even though the canister is not completely empty.  When the dose indicator display window shows a red zone, approximately 20 inhalations are left, and a refill is required.  The canister should be discarded when the dose indicator display window shows zero, indicating that 200 actuations have been used.

Description

Risk Summary There are no adequate and well-controlled studies of Levalbuterol tartrate HFA inhalation aerosol in pregnant women.  There are clinical considerations with the use of Levalbuterol tartrate HFA inhalation aerosol in pregnant women [see Clinical Considerations] . Following oral administration of levalbuterol HCl to pregnant rabbits, there was no evidence of teratogenicity at doses up to 25 mg/kg/day [approximately 750 times the maximum recommended human daily inhalation dose (MRHDID) of levalbuterol tartrate for adults on a mg/m 2 basis]; however, racemic albuterol sulfate was teratogenic in mice (cleft palate) and rabbits (cranioschisis) at doses slightly higher than the human therapeutic range ( see Data ). The estimated background risk of major birth defects and miscarriage for the indicated population(s) are unknown. In the U.S. general population, the estimated risk of major birth defects and miscarriage in clinically recognized pregnancies is 2 to 4% and 15 to 20%, respectively. Clinical Considerations Disease-Associated Maternal and/or Embryo/Fetal Risk In women with poorly or moderately controlled asthma, there is an increased risk of preeclampsia in the mother and prematurity, low birth weight, and small for gestational age in the neonate. Pregnant women should be closely monitored and medication adjusted as necessary to maintain optimal control.   Labor or Delivery Because of the potential for beta-adrenergic agonists to interfere with uterine contractility, the use of Levalbuterol tartrate HFA inhalation aerosol for the treatment of bronchospasm during labor should be restricted to those patients in whom the benefits clearly outweigh the risk. Levalbuterol tartrate HFA inhalation aerosol has not been approved for the management of preterm labor.  The benefit:risk ratio when levalbuterol tartrate is administered for tocolysis has not been established.  Serious adverse reactions, including maternal pulmonary edema, have been reported during or following treatment of premature labor with beta 2 -agonists, including racemic albuterol. Data   Animal Data The oral administration of levalbuterol HCl to pregnant New Zealand White rabbits during the period of organogenesis found no evidence of teratogenicity at doses up to 25 mg/kg/day (approximately 750 times the MRHDID of levalbuterol tartrate for adults on a mg/m 2 basis). In a rat developmental study, a racemic albuterol sulfate (comprising approximately 50% levalbuterol)/HFA-134a formulation administered by inhalation did not produce any teratogenic effects at exposures approximately 160 times the MRHDID (on a mg/m 2 basis at a maternal dose of 10.5 mg/kg) . However, other developmental studies with the racemic albuterol sulfate, did result in teratogenic effects in mice and rabbits at doses slightly higher than the human therapeutic range. In a rabbit development study, orally administered albuterol sulfate induced cranioschisis in 7 of 19 fetuses (37%) at approximately 1500 times the MRHDID (on a mg/m 2 basis at a maternal dose of 50 mg/kg).  In a mouse developmental study, subcutaneously administered albuterol sulfate produced cleft palate formation in 5 of 111 (4.5%) fetuses at an exposure approximately 2 times MRHDID for adults (on a mg/m 2 basis at a maternal dose of 0.25 mg/kg/day) and in 10 of 108 (9.3%) fetuses at approximately 20 times MRHDID (on a mg/m 2 basis at a maternal dose of 2.5 mg/kg/day).  Similar effects were not observed at approximately 0.2 times MRHDID of levalbuterol tartrate for adults on a mg/m 2 basis (i.e., less than the therapeutic dose).  Cleft palate also occurred in 22 of 72 (30.5%) fetuses from females treated subcutaneously with isoproterenol (positive control).

Section 42230-3

PATIENT INFORMATION

Levalbuterol tartrate HFA inhalation aerosol, 

for oral inhalation use

What is Levalbuterol tartrate HFA inhalation aerosol?

• Levalbuterol tartrate HFA inhalation aerosol is an inhaled prescription medicine used for the treatment or prevention of asthma in people 4 years of age and older.

• Levalbuterol tartrate HFA inhalation aerosol has not been shown to be safe and effective in children younger than 4 years of age.

Do not use Levalbuterol tartrate HFA inhalation aerosol if you:

• are allergic to levalbuterol, racemic albuterol or any of the ingredients in Levalbuterol tartrate HFA inhalation aerosol. See the end of this Patient Information leaflet for a complete list of ingredients in Levalbuterol tartrate HFA inhalation aerosol.

Before you use Levalbuterol tartrate HFA inhalation aerosol, tell your doctor about all of your medical conditions, including if you:

  • have heart problems.
  • have high blood pressure.
  • have seizures.
  • have diabetes.
  • have thyroid problems.
  • are pregnant or plan to become pregnant. It is not known if Levalbuterol tartrate HFA inhalation aerosol will harm your unborn baby. Talk to your doctor if you are pregnant or plan to become pregnant.
  • are breastfeeding or plan to breastfeed. It is not known if Levalbuterol tartrate HFA inhalation aerosol passes into your breast milk. Talk to your doctor about the best way to feed your baby if you use Levalbuterol tartrate HFA inhalation aerosol.

Tell your doctor about all the medicines you take, including prescription and over-the-counter medicines, vitamins, and herbal supplements. Levalbuterol tartrate HFA inhalation aerosol may affect the way other medicines work, and other medicines may affect how Levalbuterol tartrate HFA inhalation aerosol works.

Especially tell your doctor if you take:

  • other inhaled medicines or asthma medicines
  • heart medicines
  • medicines that increase urination (diuretics)
  • antidepressants
  • medicine to treat chronic obstructive pulmonary disease (COPD). Ask your doctor or pharmacist for a list of these medicines if you are not sure.

Know the medicines you take. Keep a list of them to show your doctor and pharmacist when you get a new medicine.

How should I use Levalbuterol tartrate HFA inhalation aerosol?

  • Read the step-by-step Instructions for Use for Levalbuterol tartrate HFA inhalation aerosol at the end of this Patient Information leaflet.
  • Levalbuterol tartrate HFA inhalation aerosol is for oral inhalation use only.
  • Use Levalbuterol tartrate HFA inhalation aerosol exactly as your doctor tells you to. Do not change your dose without talking to your doctor first.
  • Your doctor will tell you how many times and when to use your Levalbuterol tartrate HFA inhalation aerosol.
  • An adult should help a child use Levalbuterol tartrate HFA inhalation aerosol. Your doctor should show you how your child should use Levalbuterol tartrate HFA inhalation aerosol.
  • Do not use your Levalbuterol tartrate HFA inhalation aerosol more often than your doctor tells you to.
  • Get medical help right away if Levalbuterol tartrate HFA inhalation aerosol:

    • does not work as well for your asthma symptoms

    • your asthma symptoms get worse

    • you need to use your Levalbuterol tartrate HFA inhalation aerosol more often than usual
  • While you are using Levalbuterol tartrate HFA inhalation aerosol, do not use other inhaled medicines and asthma medicines unless your doctor tells you to.

What are the possible side effects of Levalbuterol tartrate HFA inhalation aerosol?

Levalbuterol tartrate HFA inhalation aerosol can cause serious side effects including:

  • sudden shortness of breath (bronchospasm). Sudden shortness of breath can happen right away after using Levalbuterol tartrate HFA inhalation aerosol.
  • worsening asthma.
  • heart problems.
  • death. If you use too much Levalbuterol tartrate HFA inhalation aerosol you can have heart or lung problems that can lead to death.
  • serious allergic reactions. Call your doctor and stop using Levalbuterol tartrate HFA inhalation aerosol right away if you have any symptoms of an allergic reaction such as:

    • swelling of the face, throat or tongue        • rash

    • hives        • breathing problems
  • low potassium levels in your blood.

Call your doctor or go to the nearest hospital emergency room right away if you have any of the serious side effects listed above or if you have worsening lung symptoms.

The most common side effects of Levalbuterol tartrate HFA inhalation aerosol include:

  • accidental injury
  • bronchitis
  • dizziness
  • pain
  • sore throat
  • runny nose
  • vomiting
  • palpitations
  • chest pain
  • fast heart rate
  • tremors
  • nervousness

These are not all the possible side effects of Levalbuterol tartrate HFA inhalation aerosol.

Call your doctor for medical advice about side effects. You may report side effects to FDA at 1-800-FDA-1088. You may also report side effects by calling 1-800-399-2561.

How should I store Levalbuterol tartrate HFA inhalation aerosol?

  • Store Levalbuterol tartrate HFA inhalation aerosol at room temperature between 68°F to 77°F (20°C to 25°C).
  • Do not use or store Levalbuterol tartrate HFA inhalation aerosol inhaler near heat or open flame.
  • Do not freeze Levalbuterol tartrate HFA inhalation aerosol.
  • Keep Levalbuterol tartrate HFA inhalation aerosol out of direct sunlight.
  • Do not put a hole in the Levalbuterol tartrate HFA inhalation aerosol canister.
  • Store Levalbuterol tartrate HFA inhalation aerosol with the mouthpiece down.
  • Throw away Levalbuterol tartrate HFA inhalation aerosol when the dose indicator display window reaches zero “0”, showing that all 200 sprays (actuations) have been used.
  • Do not throw Levalbuterol tartrate HFA inhalation aerosol inhaler into a fire or an incinerator.

Keep Levalbuterol tartrate HFA inhalation aerosol and all medicines out of the reach of children.

General information about the safe and effective use of Levalbuterol tartrate HFA inhalation aerosol

Medicines are sometimes prescribed for purposes other than those listed in a Patient Information leaflet. Do not use Levalbuterol tartrate HFA inhalation aerosol for a condition for which it was not prescribed. Do not give Levalbuterol tartrate HFA inhalation aerosol to other people, even if they have the same symptoms that you have. It may harm them.

You can ask your pharmacist or doctor for information about Levalbuterol tartrate HFA inhalation aerosol that is written for health professionals .

What are the ingredients in Levalbuterol tartrate HFA inhalation aerosol?

Active ingredient:levalbuterol tartrate

Inactive ingredients:propellant HFA-134a, Dehydrated Alcohol USP, Oleic Acid NF

Section 59845-8

Instructions for Use

Levalbuterol tartrate HFA inhalation aerosol,

for oral inhalation use

 

Important Information:

  • For oral inhalation use only
  • Use Levalbuterol tartrate HFA inhalation aerosol exactly as your doctor tells you to.
  • If you have any questions about the use of your inhaler, ask your doctor or pharmacist.

The parts of your Levalbuterol tartrate   HFA inhalation aerosol   inhaler(see Figure 1) :

 

  • Levalbuterol tartrate HFA inhalation aerosol comes as a canister that fits into an actuator with a dose indicator.
    • Do notuse the Levalbuterol tartrate HFA inhalation aerosol actuator with a canister of medicine from any other inhaler.
    • Do notuse the Levalbuterol tartrate HFA inhalation aerosol canister with an actuator from any other inhaler.
  • The dose indicator display window will show you how many sprays of medicine you have left in your inhaler. A spray of medicine is released each time you press down on the center of the dose indicator.



  • It is important that you pay attention to the number of sprays left in your Levalbuterol tartrate HFA inhalation aerosol inhaler by reading the dose indicator. You should also keep track of the number of sprays used from your inhaler.

Each canister of Levalbuterol tartrate HFA inhalation aerosol contains enough medicine for you to spray your medicine 200 times (See Figure 2a).

  • The pointer will be pointing between 180 and 200 after you take 10 sprays. This means that there are 190 sprays of medicine left in the canister ( See Figure 2b).
  • The pointer will be pointing to 180 after you take 10 more sprays. This means that there are 180 sprays of medicine left in the canister ( See Figure 2c).
  • The dose indicator display window will continue to move after every 10 sprays. The number on the dose indicator display window will continue to change after every 20 sprays.

  • The dose indicator display window will change to red, as shown in the shaded area, when there are only 20 sprays of medicine left in your inhaler ( See Figure 2d). You should refill your prescription or ask your doctor if you need another prescription for Levalbuterol tartrate HFA inhalation aerosol.
  • When the number in the dose indicator display window reaches zero “0”, this means that 200 sprays of medicine have been used. Throw away your Levalbuterol tartrate HFA inhalation aerosol inhaler.

Note: Do notplace the canister under water to find out the amount of medicine left in the canister.

Preparing your Levalbuterol tartrate HFA inhalation aerosol inhaler for use:

  • Your Levalbuterol tartrate HFA inhalation aerosol inhaler should be at room temperature before you use it.
  • Shake the inhaler well before each use.

Priming your Levalbuterol tartrate HFA inhalation aerosol inhaler:

Before you use Levalbuterol tartrate HFA inhalation aerosol for the first time or if you have not taken your medicine for 3 days in a row, you must prime the inhaler.

  • Look at the dose indicator on top of the inhaler. Make sure that the pointer on the dose indicator is pointing to the “200” inhalation mark before you use your Levalbuterol tartrate HFA inhalation aerosol inhaler for the first time.
  • Take the cap off the mouthpiece of the actuator ( See Figure 3). Check inside the mouthpiece for objects before use.

  • Hold the inhaler in the upright position away from the face and shake the inhaler well ( See Figure 4)



  • Press down fully on the center of the dose indicator to release a spray of medicine from the mouthpiece ( See Figure 5). You may hear a soft click from the dose indicator as it counts down during use.
  • Avoid spraying in your eyes.
  • Repeat the priming steps  3 more times( See Figure 4 and Figure 5) to finish priming the inhaler.
  • After priming 4 times the first time you use your Levalbuterol tartrate HFA inhalation aerosol inhaler, the dose indicator should be pointing to “200” and your inhaler is now ready to use.

If you do not use your Levalbuterol tartrate HFA inhalation aerosol inhaler for more than 3 days, you will need to prime the inhaler again  before use.

Using your Levalbuterol tartrate HFA inhalation aerosol inhaler:

Step 1: Take the cap off the mouthpiece of the actuator( See Figure 3). Check inside the mouthpiece for objects. Make sure the canister fits firmly in the actuator.

Step 2: Shake the inhaler well for 5 secondsbefore use.

Step 3:Hold the inhaler upright with the mouthpiece pointing towards you. Before you put the mouthpiece in your mouth, breathe out through your mouthand push out as much air from your lungs as you can ( See Figure 6).

Step 4:Put the mouthpiece in your mouth and close your lips around it.

Step 5:While breathing in deeply and slowly, press down on the center of the targeting rings ( See Figure 7) until a spray of medicine has been released. Then stop pressing the dose indicator.

Step 6:When you have finished breathing in, remove the mouthpiece from your mouth. Close your mouth and hold your breath for 10 seconds if possible. Then breathe out gently.

Step 7:Wait about 1 minute, then shake the inhaler well. Repeat steps 3 through 6to take your second spray of Levalbuterol tartrate HFA inhalation aerosol.

Step 8:Put the cap back on the mouthpiece right away after use.

Make sure the cap snaps firmly into place.

Cleaning your Levalbuterol tartrate HFA inhalation aerosol inhaler:

 

Clean the inhaler 1 time each week.It is very important to keep the actuator clean so that medicine will not build up and block the spray from the mouthpiece ( See Figure 8).

To clean the actuator:

Step 1:Take the canister out of the actuator ( See Figure 9). Do notclean the canister or let it get wet.

Step 2:Take the cap off the mouthpiece.

Step 3:Hold the actuator under the faucet and run warm water through it for at least 30 seconds. Turn the actuator upside down and rinse the actuator again through the mouthpiece for at least 30 seconds ( See Figure 10).

Step 4:Shake off as much water from the actuator as you can.

Step 5:Look inside the actuator and mouthpiece to make sure any medicine build-up has been completely washed away.  Medicine build-up is more likely to happen if the actuator is not allowed to air-dry completely.

Step 6:Let the actuator air-dry overnight. Do notput the canister back into the actuator if it is still wet.

Step 7:When the actuator is dry, put the canister back in the actuator and put the cap back on the mouthpiece.  Make sure to firmly press the canister down in the actuator.

Note:If your actuator becomes blocked, it means that little or no medicine is coming out of the mouthpiece ( See Figure 11). Repeat Steps 1 through 7above in the section “ To clean the actuator”.

If you need to use your inhaler before the plastic actuator is completely dry:

  • Shake off as much water from the actuator as you can.
  • Put the canister back into the actuator and shake the inhaler well.
  • To remove most of the water from your inhaler, press down on the center of the targeting rings 2 times to release a total of 2 sprays into the air away from your face.
  • Take your prescribed dose of medicine.
  • Repeat Steps 1 through 7above in the section “ To clean the actuator”.

How should I store Levalbuterol tartrate HFA inhalation aerosol?

  • Store Levalbuterol tartrate HFA inhalation aerosol at room temperature between 68°F to 77°F (20°C to 25°C).
  • Do not use or store Levalbuterol tartrate HFA inhalation aerosol inhaler near heat or open flame. Temperatures above 120°F may cause the canister to burst.
  • Do not freeze Levalbuterol tartrate HFA inhalation aerosol
  • Keep Levalbuterol tartrate HFA inhalation aerosol out of direct sunlight.
  • Do not put a hole in the Levalbuterol tartrate HFA inhalation aerosol canister.
  • Store Levalbuterol tartrate HFA inhalation aerosol with the mouthpiece down.
  • Throw away Levalbuterol tartrate HFA inhalation aerosol when the dose indicator display window reaches zero “0”, showing that all 200 sprays (actuations) have been used.
  • Do not throw Levalbuterol tartrate HFA inhalation aerosol inhaler into a fire or incinerator.

Keep Levalbuterol tartrate HFA inhalation aerosol and all medicines out of the reach of children.

This Patient Information and Instructions for Use has been approved by the U.S. Food and Drug Administration.

Manufactured for:

Teva Pharmaceuticals

Parsippany, NJ 07054

© 2017 All rights reserved.

To report adverse events, call 1-800-399-2561.

Revised July 2023

10118-02

10 Overdosage

The expected symptoms with overdosage are those of excessive beta-adrenergic receptor stimulation and/or occurrence or exaggeration of any of the symptoms listed under Adverse Reactions (6) , e.g., seizures, angina, hypertension or hypotension, tachycardia with rates up to 200 beats/minute, arrhythmias, nervousness, headache, tremor, dry mouth, palpitation, nausea, dizziness, fatigue, malaise, and sleeplessness. Hypokalemia also may occur. As with all sympathomimetic medications, cardiac arrest and even death may be associated with the abuse of Levalbuterol tartrate HFA inhalation aerosol. Treatment consists of discontinuation of Levalbuterol tartrate HFA inhalation aerosol together with appropriate symptomatic therapy. The judicious use of a cardioselective beta-receptor blocker may be considered, bearing in mind that such medication can produce bronchospasm. There is insufficient evidence to determine if dialysis is beneficial for overdosage of Levalbuterol tartrate HFA inhalation aerosol.

8.1 Pregnancy

Risk Summary

There are no adequate and well-controlled studies of Levalbuterol tartrate HFA inhalation aerosol in pregnant women.  There are clinical considerations with the use of Levalbuterol tartrate HFA inhalation aerosol in pregnant women [see Clinical Considerations].

Following oral administration of levalbuterol HCl to pregnant rabbits, there was no evidence of teratogenicity at doses up to 25 mg/kg/day [approximately 750 times the maximum recommended human daily inhalation dose (MRHDID) of levalbuterol tartrate for adults on a mg/m 2basis]; however, racemic albuterol sulfate was teratogenic in mice (cleft palate) and rabbits (cranioschisis) at doses slightly higher than the human therapeutic range ( see Data).

The estimated background risk of major birth defects and miscarriage for the indicated population(s) are unknown. In the U.S. general population, the estimated risk of major birth defects and miscarriage in clinically recognized pregnancies is 2 to 4% and 15 to 20%, respectively.

Clinical Considerations

Disease-Associated Maternal and/or Embryo/Fetal Risk

In women with poorly or moderately controlled asthma, there is an increased risk of preeclampsia in the mother and prematurity, low birth weight, and small for gestational age in the neonate. Pregnant women should be closely monitored and medication adjusted as necessary to maintain optimal control.

 

Labor or Delivery

Because of the potential for beta-adrenergic agonists to interfere with uterine contractility, the use of Levalbuterol tartrate HFA inhalation aerosol for the treatment of bronchospasm during labor should be restricted to those patients in whom the benefits clearly outweigh the risk.

Levalbuterol tartrate HFA inhalation aerosol has not been approved for the management of preterm labor.  The benefit:risk ratio when levalbuterol tartrate is administered for tocolysis has not been established.  Serious adverse reactions, including maternal pulmonary edema, have been reported during or following treatment of premature labor with beta 2-agonists, including racemic albuterol.

Data

 

Animal Data

The oral administration of levalbuterol HCl to pregnant New Zealand White rabbits during the period of organogenesis found no evidence of teratogenicity at doses up to 25 mg/kg/day (approximately 750 times the MRHDID of levalbuterol tartrate for adults on a mg/m 2basis). In a rat developmental study, a racemic albuterol sulfate (comprising approximately 50% levalbuterol)/HFA-134a formulation administered by inhalation did not produce any teratogenic effects at exposures approximately 160 times the MRHDID (on a mg/m 2basis at a maternal dose of 10.5 mg/kg) .

However, other developmental studies with the racemic albuterol sulfate, did result in teratogenic effects in mice and rabbits at doses slightly higher than the human therapeutic range. In a rabbit development study, orally administered albuterol sulfate induced cranioschisis in 7 of 19 fetuses (37%) at approximately 1500 times the MRHDID (on a mg/m 2basis at a maternal dose of 50 mg/kg).  In a mouse developmental study, subcutaneously administered albuterol sulfate produced cleft palate formation in 5 of 111 (4.5%) fetuses at an exposure approximately 2 times MRHDID for adults (on a mg/m 2basis at a maternal dose of 0.25 mg/kg/day) and in 10 of 108 (9.3%) fetuses at approximately 20 times MRHDID (on a mg/m 2basis at a maternal dose of 2.5 mg/kg/day).  Similar effects were not observed at approximately 0.2 times MRHDID of levalbuterol tartrate for adults on a mg/m 2basis (i.e., less than the therapeutic dose).  Cleft palate also occurred in 22 of 72 (30.5%) fetuses from females treated subcutaneously with isoproterenol (positive control).

8.2 Lactation

Risk Summary

There are no available data on the presence of levalbuterol in human milk, the effects on the breastfed child, or the effects on milk production.

The developmental and health benefits of breastfeeding should be considered along with the mother’s clinical need for Levalbuterol tartrate HFA inhalation aerosol and any potential adverse effects on the breastfed child from Levalbuterol tartrate HFA inhalation aerosol or from the underlying maternal condition.

11 Description

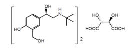
The active component of Levalbuterol tartrate HFA inhalation aerosol is levalbuterol tartrate, the (R)-enantiomer of albuterol. Levalbuterol tartrate is a relatively selective beta 2-adrenergic receptor agonist [see Clinical Pharmacology (12) ]. Levalbuterol tartrate has the chemical name (R)-α 1-[[(1,1-dimethylethyl)amino]methyl]-4-hydroxy-1,3-benzenedimethanol L-tartrate (2:1 salt), and it has the following chemical structure:

The molecular weight of levalbuterol tartrate is 628.71, and its empirical formula is (C 13H 21NO 3) 2· C 4H 6O 6. It is a white to light-yellow solid, freely soluble in water and very slightly soluble in ethanol.

Levalbuterol tartrate is the generic name for (R)-albuterol tartrate in the United States. Levalbuterol tartrate HFA inhalation aerosol is a pressurized metered-dose aerosol inhaler (MDI) fitted with a dose indicator, which produces an aerosol for oral inhalation. It contains a suspension of micronized levalbuterol tartrate, propellant HFA-134a (1,1,1,2-tetrafluoroethane), Dehydrated Alcohol USP, and Oleic Acid NF.

After priming with 4 actuations, each actuation of the inhaler delivers 67.8 mcg of levalbuterol tartrate (equivalent to 51.6 mcg of levalbuterol free base) from the valve and 59 mcg of levalbuterol tartrate (equivalent to 45 mcg of levalbuterol free base) from the actuator mouthpiece. Each 15 g canister provides 200 actuations (or inhalations).

8.4 Pediatric Use

Pediatric Patients 4 Years of Age and Older

The safety and efficacy of Levalbuterol tartrate HFA inhalation aerosol have been established in pediatric patients 4 years of age and older in an adequate and well-controlled clinical trial [see Adverse Reactions (6) and Clinical Studies (14) ].

Pediatric Patients less than 4 Years of Age

Levalbuterol tartrate HFA inhalation aerosol is not indicated for pediatric patients less than 4 years of age. A clinical trial in pediatric patients below the age of 4 years showed no statistical significant difference between treatment groups in the primary efficacy endpoint. There was an increased incidence of asthma-related adverse reactions reported in pediatric patients below the age of 4 years treated with Levalbuterol tartrate HFA inhalation aerosol compared to placebo.

Levalbuterol tartrate HFA inhalation aerosol was evaluated in one 4-week, multicenter, randomized, modified-blind, placebo-controlled, parallel group trial of 196 pediatric patients ages birth to < 4 years of age with asthma or reactive airway disease (68 patients birth to < 2 years of age and 128 patients 2 to < 4 years of age). Levalbuterol tartrate HFA inhalation aerosol 45 mcg (N=23), Levalbuterol tartrate HFA inhalation aerosol 90 mcg (N=42), levalbuterol inhalation solution 0.31 mg (N=63), and placebo HFA (N=68) were administered three times daily. Levalbuterol tartrate HFA inhalation aerosol or placebo HFA was delivered with the Monaghan AeroChamber MAX™ Valved Holding Chamber with mask. The primary efficacy endpoint was the mean change in Pediatric Asthma Caregiver Assessment (PACA) total score from baseline over the 4 week treatment period. There was no statistical difference in the change in PACA total score between Levalbuterol tartrate HFA inhalation aerosol and placebo. Regarding safety, an increased number of treatment-emergent asthma-related adverse reactions were reported in Levalbuterol tartrate HFA inhalation aerosol-treated patients. Eight subjects reported asthma-related adverse reactions for Levalbuterol tartrate HFA inhalation aerosol compared to 3 subjects for placebo. There was one subject that discontinued treatment due to asthma in the Levalbuterol tartrate HFA inhalation aerosol group compared to zero subjects in the placebo group (Table 3). Other adverse reactions were consistent with those observed in the clinical trial population of patients 4 years of age and older [see   Adverse Reactions (6.1) ].

Table 3: Asthma-related Adverse Reactions in a 4-Week Clinical Trial in Children Birth to <4 Years of Age*
   Levalbuterol

tartrate HFA

inhalation aerosol

45-90 mcg

(n=65)
 Levalbuterol

inhalation solution

0.31 mg

(n=63)
 Placebo

(n=68)
 Asthma-related adverse reactions*, n (%)  8 (12%)  6 (10%)  3 (4%)
 Treatment discontinuations due to asthma, n (%)  1 (2%)  2 (3%)  0
 *This table includes the following Preferred Terms (whether considered by the investigator to be related or unrelated to drug): asthma, cough, hypoxia, status asthmaticus, tachypnea
8.5 Geriatric Use

Clinical studies of Levalbuterol tartrate HFA inhalation aerosol did not include sufficient numbers of subjects aged 65 and older to determine whether they respond differently from younger subjects. Other reported clinical experience has not identified differences in responses between the elderly and younger patients. In general, dose selection for an elderly patient should be cautious, usually starting at the low end of the dosing range, reflecting the greater frequency of decreased hepatic, renal, or cardiac function, and of concomitant diseases or other drug therapy.

8.6 Renal Impairment

Albuterol is known to be substantially excreted by the kidney, and the risk of toxic reactions may be greater in patients with impaired renal function. Because elderly patients are more likely to have decreased renal function, care should be taken in dose selection, and it may be useful to monitor renal function.

12.2 Pharmacokinetics

A population pharmacokinetic model was developed using plasma concentrations of (R)-albuterol obtained from 632 asthmatic patients aged 4 to 81 years in three large trials. For adolescent and adult patients 12 years and older, following 90 mcg dose of Levalbuterol tartrate HFA inhalation aerosol, yielded mean peak plasma concentrations (C max) and systemic exposure (AUC 0-6) of approximately 199 pg/mL and 695 pg•h/mL, respectively, compared to approximately 238 pg/mL and 798 pg•h/mL, respectively, following 180 mcg dose of Racemic Albuterol HFA metered-dose inhaler. For pediatric patients from 4 to 11 years of age, following 90 mcg dose of Levalbuterol tartrate HFA inhalation aerosol, yielded C maxand AUC 0-6of approximately 163 pg/mL and 579 pg•h/mL, respectively, compared to approximately 238 pg/mL and 828 pg•h/mL, respectively, following 180 mcg dose of Racemic Albuterol HFA metered-dose inhaler.

These pharmacokinetic data indicate that mean exposure to (R)-albuterol was 13% to 16% less in adult and 30% to 32% less in pediatric patients given Levalbuterol tartrate HFA inhalation aerosol as compared to those given a comparable dose of racemic albuterol. When compared to adult patients, pediatric patients given 90 mcg of levalbuterol have a 17% lower mean exposure to (R)-albuterol.

Metabolism and Elimination

Information available in the published literature suggests that the primary enzyme responsible for the metabolism of albuterol enantiomers in humans is SULT1A3 (sulfotransferase). When racemic albuterol was administered either intravenously or via inhalation after oral charcoal administration, there was a 3- to 4-fold difference in the area under the concentration-time curves between the (R)- and (S)-albuterol enantiomers, with (S)-albuterol concentrations being consistently higher. However, without charcoal pretreatment, after either oral or inhalation administration the differences were 8- to 24-fold, suggesting that (R)-albuterol is preferentially metabolized in the gastrointestinal tract, presumably by SULT1A3.

The primary route of elimination of albuterol enantiomers is through renal excretion (80% to 100%) of either the parent compound or the primary metabolite. Less than 20% of the drug is detected in the feces. Following intravenous administration of racemic albuterol, between 25% and 46% of the (R)-albuterol fraction of the dose was excreted as unchanged (R)-albuterol in the urine.

Special Populations

Hepatic Impairment

The effect of hepatic impairment on the pharmacokinetics of Levalbuterol tartrate HFA inhalation aerosol has not been evaluated.

Renal Impairment

The effect of renal impairment on the pharmacokinetics of racemic albuterol was evaluated in 5 subjects with creatinine clearance of 7 to 53 mL/min, and the results were compared with those from healthy volunteers. Renal disease had no effect on the half-life, but there was a 67% decline in racemic albuterol clearance. Caution should be used when administering high doses of Levalbuterol tartrate HFA inhalation aerosol to patients with renal impairment [see Use in Specific Populations (8.6)] .

12.1 Mechanism of Action

Activation of beta 2-adrenergic receptors on airway smooth muscle leads to the activation of adenylate cyclase and to an increase in the intracellular concentration of cyclic-3', 5'-adenosine monophosphate (cyclic AMP). The increase in cyclic AMP is associated with the activation of protein kinase A, which in turn, inhibits the phosphorylation of myosin and lowers intracellular ionic calcium concentrations, resulting in muscle relaxation. Levalbuterol relaxes the smooth muscles of all airways, from the trachea to the terminal bronchioles. Increased cyclic AMP concentrations are also associated with the inhibition of the release of mediators from mast cells in the airways. Levalbuterol acts as a functional antagonist to relax the airway irrespective of the spasmogen involved, thus protecting against all bronchoconstrictor challenges. While it is recognized that beta 2-adrenergic receptors are the predominant receptors on bronchial smooth muscle, data indicate that there are beta-receptors in the human heart, 10% to 50% of which are beta 2-adrenergic receptors. The precise function of these receptors has not been established [see Warnings and Precautions (5) ]. However, all beta-adrenergic agonist drugs can produce a significant cardiovascular effect in some patients, as measured by pulse rate, blood pressure, symptoms, and/or electrocardiographic changes.

17 Patient Counseling Information

Advise the patient to read the FDA-approved patient labeling( Patient Informationand Instructions for Use).

Patients should be given the following information:

Frequency of Use

The action of Levalbuterol tartrate HFA inhalation aerosol should last for 4 to 6 hours. Do not use Levalbuterol tartrate HFA inhalation aerosol more frequently than recommended. Instruct patients to not increase the dose or frequency of doses of Levalbuterol tartrate HFA inhalation aerosol without consulting their physician. If patients find that treatment with Levalbuterol tartrate HFA inhalation aerosol becomes less effective for symptomatic relief, symptoms become worse, or they need to use the product more frequently than usual, they should seek medical attention immediately.

Priming, Cleaning and Storage

Priming: SHAKE WELL BEFORE USING. Patients should be instructed that priming Levalbuterol tartrate HFA inhalation aerosol is essential to ensure appropriate levalbuterol content in each actuation. Patients should prime Levalbuterol tartrate HFA inhalation aerosol before using for the first time and in cases where the inhaler has not been used for more than 3 days by releasing 4 test sprays into the air, away from the face.

Cleaning : To ensure proper dosing and prevent actuator orifice blockage, instruct patients to wash the actuator in warm water and air-dry thoroughly at least once a week. Patients should be informed that detailed cleaning instructions are included in the FDA-approved patient labeling.

Storage : Store canister between 20° and 25°C (68° and 77°F). Protect from freezing temperatures and direct sunlight.

Paradoxical Bronchospasm

Inform patients that Levalbuterol tartrate HFA inhalation aerosol can produce paradoxical bronchospasm. Instruct patients to discontinue Levalbuterol tartrate HFA inhalation aerosol if paradoxical bronchospasm occurs.

Concomitant Drug Use

While patients are using Levalbuterol tartrate HFA inhalation aerosol, other inhaled drugs and asthma medications should be taken only as directed by the physician.

Common Adverse Reactions

Common adverse effects of treatment with inhaled beta-agonists include palpitations, chest pain, rapid heart rate, tremor, and nervousness.

Pregnancy

Patients who are pregnant or nursing should contact their physicians about the use of Levalbuterol tartrate HFA inhalation aerosol.

General Information on Use

Effective and safe use of Levalbuterol tartrate HFA inhalation aerosol includes an understanding of the way that it should be administered.

Shake the inhaler well immediately before each use.

Use Levalbuterol tartrate HFA inhalation aerosol only with the actuator supplied with the product.  When the dose indicator display window shows a red zone, approximately 20 inhalations are left, and a refill is required. Discard the inhaler when the dose indicator display window shows zero, indicating that 200 sprays have been used.   Never immerse the canister in water to determine how full the canister is (“float test”).

In general, the technique for administering Levalbuterol tartrate HFA inhalation aerosol to children is similar to that for adults.  Children should use Levalbuterol tartrate HFA inhalation aerosol under adult supervision, as instructed by the patient’s physician [advise the patient to read the FDA-approved patient labeling– ( Patient Informationand Instructions for Use)].

Manufactured for:

Teva Pharmaceuticals

Parsippany, NJ 07054

© 2017 All rights reserved.

To report adverse events, call 1-800-399-2561

Revised July 2023

10118-02

16 How Supplied/storage and Handling

Levalbuterol tartrate HFA inhalation aerosol is supplied as a pressurized aluminum canister in a box: 

  • NDC 0591-2927-54: Canister labeled with a net weight of 15 grams containing 200 metered actuations (or inhalations)

Each canister is fitted with a dose indicator and is supplied with a blue plastic actuator mouthpiece, a red mouthpiece cap, and patient’s instructions.

Shake well before using.  Store between 20° and 25°C (68° and 77°F; see USP controlled room temperature).  Protect from freezing temperatures and direct sunlight.  Store inhaler with the actuator mouthpiece down.

Contents under pressure

Do not puncture or incinerate.  Do not store near heat or open flame. Exposure to temperatures above 120°F may cause bursting.  Never throw container into fire or incinerator. Keep out of reach of children.

The blue actuator supplied with Levalbuterol tartrate HFA inhalation aerosol should not be used with any other product canisters.  Actuators from other products should not be used with a Levalbuterol tartrate HFA inhalation aerosol canister.  The correct amount of medication in each actuation cannot be assured after 200 actuations, even though the canister is not completely empty.  When the dose indicator display window shows a red zone, approximately 20 inhalations are left, and a refill is required.  The canister should be discarded when the dose indicator display window shows zero, indicating that 200 actuations have been used.

Package Label.principal Display Panel

NDC 0591-2927-54

Levalbuterol

tartrate HFA

45 mcg/actuation

200 Metered Inhalations

FOR ORAL INHALATION WITH 

XOPENEX-HFA ® ACTUATOR ONLY

Shake well before using.

Rx only

Net Contents: 15g

14.1 Bronchospasm Associated With Asthma

Adults and Adolescent Patients 12 Years of Age and Older

The efficacy and safety of Levalbuterol tartrate HFA inhalation aerosol were established in two 8-week, multicenter, randomized, double-blind, active- and placebo-controlled trials in 748 adults and adolescents with asthma between the ages of 12 and 81 years. In these two trials, Levalbuterol tartrate HFA inhalation aerosol (403 patients) was compared to an HFA-134a placebo MDI (166 patients), and the trials included a marketed albuterol HFA-134a MDI (179 patients) as an active control. Serial forced expiratory volume in 1 second (FEV 1) measurements demonstrated that 90 mcg (2 inhalations) of Levalbuterol tartrate HFA inhalation aerosol produced significantly greater improvement in FEV 1over the pretreatment value than placebo. The results from one of the trials are shown in Figure 1 as the mean percent change in FEV 1from test-day baseline at Day 1 (n=445) and Day 56 (n=387). The results from the second trial were similar.

Figure 1: Percent Change in FEV 1 from Test-Day Baseline in Adults and Adolescents Aged 12 to 81 Years at Day 1 and Day 56

For Levalbuterol tartrate HFA inhalation aerosol on Day 1, the median time to onset of a 15% increase in FEV 1ranged from 5.5 to 10.2 minutes and the median time to peak effect ranged from 76 to 78 minutes. In the responder population, on Day 1 the median duration of effect as measured by a 15% increase in FEV 1was 3 to 4 hours, with duration of effect in some patients of up to 6 hours.

Pediatric Patients 4 to 11 Years of Age

The efficacy and safety of Levalbuterol tartrate HFA inhalation aerosol in children were established in a 4-week, multicenter, randomized, double-blind, active- and placebo-controlled trial in 150 pediatric patients with asthma between the ages of 4 and 11 years. In this trial, Levalbuterol tartrate HFA inhalation aerosol (76 patients) was compared to a placebo HFA-134a MDI (35 patients), and the trial included a marketed albuterol HFA-134a MDI (39 patients) as an active control. Serial FEV 1measurements demonstrated that 90 mcg (2 inhalations) of Levalbuterol tartrate HFA inhalation aerosol produced significantly greater improvement in FEV 1over the pretreatment value than placebo and were consistent with the efficacy findings in the adult studies.

For Levalbuterol tartrate HFA inhalation aerosol, on Day 1 the median time to onset of a 15% increase in FEV 1was 4.5 minutes and the median time to peak effect was 77 minutes. In the responder population, the median duration of effect as measured by a 15% increase in FEV 1was 3 hours, with a duration of effect in some pediatric patients of up to 6 hours.

13.2 Animal Toxicology And/or Pharmacology

Propellant HFA-134a

In animals and humans, propellant HFA-134a was found to be rapidly absorbed and rapidly eliminated, with an elimination half-life of 3 to 27 minutes in animals and 5 to 7 minutes in humans. Time to maximum plasma concentration (t max) and mean residence time are both extremely short, leading to a transient appearance of HFA-134a in the blood with no evidence of accumulation. Based on studies in animals, the propellant HFA-134a had no detectable toxicological activity at amounts less than 380 times the maximum human exposure based on comparisons of AUC values. The toxicological effects observed at these very high doses included ataxia, tremors, dyspnea, or salivation, similar to effects produced by the structurally-related chlorofluorocarbons (CFCs) used in metered-dose inhalers, that were extensively used in the past.

13.1 Carcinogenesis, Mutagenesis, Impairment of Fertility

Although there have been no carcinogenesis studies with levalbuterol tartrate, racemic albuterol sulfate has been evaluated for its carcinogenic potential.

In a 2-year study in Sprague-Dawley rats, dietary administration of racemic albuterol sulfate resulted in a significant dose-related increase in the incidence of benign leiomyomas of the mesovarium at doses of 2 mg/kg/day and greater (approximately 30 times the MRHDID) of levalbuterol tartrate for adults and approximately 15 times the MRHDID of levalbuterol tartrate for children on a mg/m 2basis).  In an 18‑month study in CD-1 mice and a 22-month study in the golden hamster, dietary administration of racemic albuterol sulfate showed no evidence of tumorigenicity.  Dietary doses in CD-1 mice were up to 500 mg/kg/day (approximately 3800 times the MRHDID of levalbuterol tartrate for adults and approximately 1800 times the MRHDID of levalbuterol tartrate for children on a mg/m 2basis) and doses in the golden hamster study were up to 50 mg/kg/day (approximately 500 times the MRHDID of levalbuterol tartrate for adults on a mg/m 2basis and approximately 240 times the MRHDID of levalbuterol tartrate for children on a mg/m 2basis).

Levalbuterol HCl was not mutagenic in the Ames test or the CHO/HPRT Mammalian Forward Gene Mutation Assay.  Levalbuterol HCl was not clastogenic in the in vivomicronucleus test in mouse bone marrow.  Racemic albuterol sulfate was not clastogenic in an in vitrochromosomal aberration assay in CHO cell cultures.

No fertility studies have been conducted with levalbuterol tartrate.  Reproduction studies in rats using racemic albuterol sulfate demonstrated no evidence of impaired fertility at oral doses up to 50 mg/kg/day (approximately 750 times the MRHDID of levalbuterol tartrate for adults on a mg/m 2basis).


Structured Label Content

Section 42230-3 (42230-3)

PATIENT INFORMATION

Levalbuterol tartrate HFA inhalation aerosol, 

for oral inhalation use

What is Levalbuterol tartrate HFA inhalation aerosol?

• Levalbuterol tartrate HFA inhalation aerosol is an inhaled prescription medicine used for the treatment or prevention of asthma in people 4 years of age and older.

• Levalbuterol tartrate HFA inhalation aerosol has not been shown to be safe and effective in children younger than 4 years of age.

Do not use Levalbuterol tartrate HFA inhalation aerosol if you:

• are allergic to levalbuterol, racemic albuterol or any of the ingredients in Levalbuterol tartrate HFA inhalation aerosol. See the end of this Patient Information leaflet for a complete list of ingredients in Levalbuterol tartrate HFA inhalation aerosol.

Before you use Levalbuterol tartrate HFA inhalation aerosol, tell your doctor about all of your medical conditions, including if you:

  • have heart problems.
  • have high blood pressure.
  • have seizures.
  • have diabetes.
  • have thyroid problems.
  • are pregnant or plan to become pregnant. It is not known if Levalbuterol tartrate HFA inhalation aerosol will harm your unborn baby. Talk to your doctor if you are pregnant or plan to become pregnant.
  • are breastfeeding or plan to breastfeed. It is not known if Levalbuterol tartrate HFA inhalation aerosol passes into your breast milk. Talk to your doctor about the best way to feed your baby if you use Levalbuterol tartrate HFA inhalation aerosol.

Tell your doctor about all the medicines you take, including prescription and over-the-counter medicines, vitamins, and herbal supplements. Levalbuterol tartrate HFA inhalation aerosol may affect the way other medicines work, and other medicines may affect how Levalbuterol tartrate HFA inhalation aerosol works.

Especially tell your doctor if you take:

  • other inhaled medicines or asthma medicines
  • heart medicines
  • medicines that increase urination (diuretics)
  • antidepressants
  • medicine to treat chronic obstructive pulmonary disease (COPD). Ask your doctor or pharmacist for a list of these medicines if you are not sure.

Know the medicines you take. Keep a list of them to show your doctor and pharmacist when you get a new medicine.

How should I use Levalbuterol tartrate HFA inhalation aerosol?

  • Read the step-by-step Instructions for Use for Levalbuterol tartrate HFA inhalation aerosol at the end of this Patient Information leaflet.
  • Levalbuterol tartrate HFA inhalation aerosol is for oral inhalation use only.
  • Use Levalbuterol tartrate HFA inhalation aerosol exactly as your doctor tells you to. Do not change your dose without talking to your doctor first.
  • Your doctor will tell you how many times and when to use your Levalbuterol tartrate HFA inhalation aerosol.
  • An adult should help a child use Levalbuterol tartrate HFA inhalation aerosol. Your doctor should show you how your child should use Levalbuterol tartrate HFA inhalation aerosol.
  • Do not use your Levalbuterol tartrate HFA inhalation aerosol more often than your doctor tells you to.
  • Get medical help right away if Levalbuterol tartrate HFA inhalation aerosol:

    • does not work as well for your asthma symptoms

    • your asthma symptoms get worse

    • you need to use your Levalbuterol tartrate HFA inhalation aerosol more often than usual
  • While you are using Levalbuterol tartrate HFA inhalation aerosol, do not use other inhaled medicines and asthma medicines unless your doctor tells you to.

What are the possible side effects of Levalbuterol tartrate HFA inhalation aerosol?

Levalbuterol tartrate HFA inhalation aerosol can cause serious side effects including:

  • sudden shortness of breath (bronchospasm). Sudden shortness of breath can happen right away after using Levalbuterol tartrate HFA inhalation aerosol.
  • worsening asthma.
  • heart problems.
  • death. If you use too much Levalbuterol tartrate HFA inhalation aerosol you can have heart or lung problems that can lead to death.
  • serious allergic reactions. Call your doctor and stop using Levalbuterol tartrate HFA inhalation aerosol right away if you have any symptoms of an allergic reaction such as:

    • swelling of the face, throat or tongue        • rash

    • hives        • breathing problems
  • low potassium levels in your blood.

Call your doctor or go to the nearest hospital emergency room right away if you have any of the serious side effects listed above or if you have worsening lung symptoms.

The most common side effects of Levalbuterol tartrate HFA inhalation aerosol include:

  • accidental injury
  • bronchitis
  • dizziness
  • pain
  • sore throat
  • runny nose
  • vomiting
  • palpitations
  • chest pain
  • fast heart rate
  • tremors
  • nervousness

These are not all the possible side effects of Levalbuterol tartrate HFA inhalation aerosol.

Call your doctor for medical advice about side effects. You may report side effects to FDA at 1-800-FDA-1088. You may also report side effects by calling 1-800-399-2561.

How should I store Levalbuterol tartrate HFA inhalation aerosol?

  • Store Levalbuterol tartrate HFA inhalation aerosol at room temperature between 68°F to 77°F (20°C to 25°C).
  • Do not use or store Levalbuterol tartrate HFA inhalation aerosol inhaler near heat or open flame.
  • Do not freeze Levalbuterol tartrate HFA inhalation aerosol.
  • Keep Levalbuterol tartrate HFA inhalation aerosol out of direct sunlight.
  • Do not put a hole in the Levalbuterol tartrate HFA inhalation aerosol canister.
  • Store Levalbuterol tartrate HFA inhalation aerosol with the mouthpiece down.
  • Throw away Levalbuterol tartrate HFA inhalation aerosol when the dose indicator display window reaches zero “0”, showing that all 200 sprays (actuations) have been used.
  • Do not throw Levalbuterol tartrate HFA inhalation aerosol inhaler into a fire or an incinerator.

Keep Levalbuterol tartrate HFA inhalation aerosol and all medicines out of the reach of children.

General information about the safe and effective use of Levalbuterol tartrate HFA inhalation aerosol

Medicines are sometimes prescribed for purposes other than those listed in a Patient Information leaflet. Do not use Levalbuterol tartrate HFA inhalation aerosol for a condition for which it was not prescribed. Do not give Levalbuterol tartrate HFA inhalation aerosol to other people, even if they have the same symptoms that you have. It may harm them.

You can ask your pharmacist or doctor for information about Levalbuterol tartrate HFA inhalation aerosol that is written for health professionals .

What are the ingredients in Levalbuterol tartrate HFA inhalation aerosol?

Active ingredient:levalbuterol tartrate

Inactive ingredients:propellant HFA-134a, Dehydrated Alcohol USP, Oleic Acid NF

Section 59845-8 (59845-8)

Instructions for Use

Levalbuterol tartrate HFA inhalation aerosol,

for oral inhalation use

 

Important Information:

  • For oral inhalation use only
  • Use Levalbuterol tartrate HFA inhalation aerosol exactly as your doctor tells you to.
  • If you have any questions about the use of your inhaler, ask your doctor or pharmacist.

The parts of your Levalbuterol tartrate   HFA inhalation aerosol   inhaler(see Figure 1) :

 

  • Levalbuterol tartrate HFA inhalation aerosol comes as a canister that fits into an actuator with a dose indicator.
    • Do notuse the Levalbuterol tartrate HFA inhalation aerosol actuator with a canister of medicine from any other inhaler.
    • Do notuse the Levalbuterol tartrate HFA inhalation aerosol canister with an actuator from any other inhaler.
  • The dose indicator display window will show you how many sprays of medicine you have left in your inhaler. A spray of medicine is released each time you press down on the center of the dose indicator.



  • It is important that you pay attention to the number of sprays left in your Levalbuterol tartrate HFA inhalation aerosol inhaler by reading the dose indicator. You should also keep track of the number of sprays used from your inhaler.

Each canister of Levalbuterol tartrate HFA inhalation aerosol contains enough medicine for you to spray your medicine 200 times (See Figure 2a).

  • The pointer will be pointing between 180 and 200 after you take 10 sprays. This means that there are 190 sprays of medicine left in the canister ( See Figure 2b).
  • The pointer will be pointing to 180 after you take 10 more sprays. This means that there are 180 sprays of medicine left in the canister ( See Figure 2c).
  • The dose indicator display window will continue to move after every 10 sprays. The number on the dose indicator display window will continue to change after every 20 sprays.

  • The dose indicator display window will change to red, as shown in the shaded area, when there are only 20 sprays of medicine left in your inhaler ( See Figure 2d). You should refill your prescription or ask your doctor if you need another prescription for Levalbuterol tartrate HFA inhalation aerosol.
  • When the number in the dose indicator display window reaches zero “0”, this means that 200 sprays of medicine have been used. Throw away your Levalbuterol tartrate HFA inhalation aerosol inhaler.

Note: Do notplace the canister under water to find out the amount of medicine left in the canister.

Preparing your Levalbuterol tartrate HFA inhalation aerosol inhaler for use:

  • Your Levalbuterol tartrate HFA inhalation aerosol inhaler should be at room temperature before you use it.
  • Shake the inhaler well before each use.

Priming your Levalbuterol tartrate HFA inhalation aerosol inhaler:

Before you use Levalbuterol tartrate HFA inhalation aerosol for the first time or if you have not taken your medicine for 3 days in a row, you must prime the inhaler.

  • Look at the dose indicator on top of the inhaler. Make sure that the pointer on the dose indicator is pointing to the “200” inhalation mark before you use your Levalbuterol tartrate HFA inhalation aerosol inhaler for the first time.
  • Take the cap off the mouthpiece of the actuator ( See Figure 3). Check inside the mouthpiece for objects before use.

  • Hold the inhaler in the upright position away from the face and shake the inhaler well ( See Figure 4)



  • Press down fully on the center of the dose indicator to release a spray of medicine from the mouthpiece ( See Figure 5). You may hear a soft click from the dose indicator as it counts down during use.
  • Avoid spraying in your eyes.
  • Repeat the priming steps  3 more times( See Figure 4 and Figure 5) to finish priming the inhaler.
  • After priming 4 times the first time you use your Levalbuterol tartrate HFA inhalation aerosol inhaler, the dose indicator should be pointing to “200” and your inhaler is now ready to use.

If you do not use your Levalbuterol tartrate HFA inhalation aerosol inhaler for more than 3 days, you will need to prime the inhaler again  before use.

Using your Levalbuterol tartrate HFA inhalation aerosol inhaler:

Step 1: Take the cap off the mouthpiece of the actuator( See Figure 3). Check inside the mouthpiece for objects. Make sure the canister fits firmly in the actuator.

Step 2: Shake the inhaler well for 5 secondsbefore use.

Step 3:Hold the inhaler upright with the mouthpiece pointing towards you. Before you put the mouthpiece in your mouth, breathe out through your mouthand push out as much air from your lungs as you can ( See Figure 6).

Step 4:Put the mouthpiece in your mouth and close your lips around it.

Step 5:While breathing in deeply and slowly, press down on the center of the targeting rings ( See Figure 7) until a spray of medicine has been released. Then stop pressing the dose indicator.

Step 6:When you have finished breathing in, remove the mouthpiece from your mouth. Close your mouth and hold your breath for 10 seconds if possible. Then breathe out gently.

Step 7:Wait about 1 minute, then shake the inhaler well. Repeat steps 3 through 6to take your second spray of Levalbuterol tartrate HFA inhalation aerosol.

Step 8:Put the cap back on the mouthpiece right away after use.

Make sure the cap snaps firmly into place.

Cleaning your Levalbuterol tartrate HFA inhalation aerosol inhaler:

 

Clean the inhaler 1 time each week.It is very important to keep the actuator clean so that medicine will not build up and block the spray from the mouthpiece ( See Figure 8).

To clean the actuator:

Step 1:Take the canister out of the actuator ( See Figure 9). Do notclean the canister or let it get wet.

Step 2:Take the cap off the mouthpiece.

Step 3:Hold the actuator under the faucet and run warm water through it for at least 30 seconds. Turn the actuator upside down and rinse the actuator again through the mouthpiece for at least 30 seconds ( See Figure 10).

Step 4:Shake off as much water from the actuator as you can.

Step 5:Look inside the actuator and mouthpiece to make sure any medicine build-up has been completely washed away.  Medicine build-up is more likely to happen if the actuator is not allowed to air-dry completely.

Step 6:Let the actuator air-dry overnight. Do notput the canister back into the actuator if it is still wet.

Step 7:When the actuator is dry, put the canister back in the actuator and put the cap back on the mouthpiece.  Make sure to firmly press the canister down in the actuator.

Note:If your actuator becomes blocked, it means that little or no medicine is coming out of the mouthpiece ( See Figure 11). Repeat Steps 1 through 7above in the section “ To clean the actuator”.

If you need to use your inhaler before the plastic actuator is completely dry:

  • Shake off as much water from the actuator as you can.
  • Put the canister back into the actuator and shake the inhaler well.
  • To remove most of the water from your inhaler, press down on the center of the targeting rings 2 times to release a total of 2 sprays into the air away from your face.
  • Take your prescribed dose of medicine.
  • Repeat Steps 1 through 7above in the section “ To clean the actuator”.

How should I store Levalbuterol tartrate HFA inhalation aerosol?

  • Store Levalbuterol tartrate HFA inhalation aerosol at room temperature between 68°F to 77°F (20°C to 25°C).
  • Do not use or store Levalbuterol tartrate HFA inhalation aerosol inhaler near heat or open flame. Temperatures above 120°F may cause the canister to burst.
  • Do not freeze Levalbuterol tartrate HFA inhalation aerosol
  • Keep Levalbuterol tartrate HFA inhalation aerosol out of direct sunlight.
  • Do not put a hole in the Levalbuterol tartrate HFA inhalation aerosol canister.
  • Store Levalbuterol tartrate HFA inhalation aerosol with the mouthpiece down.
  • Throw away Levalbuterol tartrate HFA inhalation aerosol when the dose indicator display window reaches zero “0”, showing that all 200 sprays (actuations) have been used.
  • Do not throw Levalbuterol tartrate HFA inhalation aerosol inhaler into a fire or incinerator.

Keep Levalbuterol tartrate HFA inhalation aerosol and all medicines out of the reach of children.

This Patient Information and Instructions for Use has been approved by the U.S. Food and Drug Administration.

Manufactured for:

Teva Pharmaceuticals

Parsippany, NJ 07054

© 2017 All rights reserved.

To report adverse events, call 1-800-399-2561.

Revised July 2023

10118-02

10 Overdosage (10 OVERDOSAGE)

The expected symptoms with overdosage are those of excessive beta-adrenergic receptor stimulation and/or occurrence or exaggeration of any of the symptoms listed under Adverse Reactions (6) , e.g., seizures, angina, hypertension or hypotension, tachycardia with rates up to 200 beats/minute, arrhythmias, nervousness, headache, tremor, dry mouth, palpitation, nausea, dizziness, fatigue, malaise, and sleeplessness. Hypokalemia also may occur. As with all sympathomimetic medications, cardiac arrest and even death may be associated with the abuse of Levalbuterol tartrate HFA inhalation aerosol. Treatment consists of discontinuation of Levalbuterol tartrate HFA inhalation aerosol together with appropriate symptomatic therapy. The judicious use of a cardioselective beta-receptor blocker may be considered, bearing in mind that such medication can produce bronchospasm. There is insufficient evidence to determine if dialysis is beneficial for overdosage of Levalbuterol tartrate HFA inhalation aerosol.

8.1 Pregnancy

Risk Summary

There are no adequate and well-controlled studies of Levalbuterol tartrate HFA inhalation aerosol in pregnant women.  There are clinical considerations with the use of Levalbuterol tartrate HFA inhalation aerosol in pregnant women [see Clinical Considerations].

Following oral administration of levalbuterol HCl to pregnant rabbits, there was no evidence of teratogenicity at doses up to 25 mg/kg/day [approximately 750 times the maximum recommended human daily inhalation dose (MRHDID) of levalbuterol tartrate for adults on a mg/m 2basis]; however, racemic albuterol sulfate was teratogenic in mice (cleft palate) and rabbits (cranioschisis) at doses slightly higher than the human therapeutic range ( see Data).

The estimated background risk of major birth defects and miscarriage for the indicated population(s) are unknown. In the U.S. general population, the estimated risk of major birth defects and miscarriage in clinically recognized pregnancies is 2 to 4% and 15 to 20%, respectively.

Clinical Considerations

Disease-Associated Maternal and/or Embryo/Fetal Risk

In women with poorly or moderately controlled asthma, there is an increased risk of preeclampsia in the mother and prematurity, low birth weight, and small for gestational age in the neonate. Pregnant women should be closely monitored and medication adjusted as necessary to maintain optimal control.

 

Labor or Delivery

Because of the potential for beta-adrenergic agonists to interfere with uterine contractility, the use of Levalbuterol tartrate HFA inhalation aerosol for the treatment of bronchospasm during labor should be restricted to those patients in whom the benefits clearly outweigh the risk.

Levalbuterol tartrate HFA inhalation aerosol has not been approved for the management of preterm labor.  The benefit:risk ratio when levalbuterol tartrate is administered for tocolysis has not been established.  Serious adverse reactions, including maternal pulmonary edema, have been reported during or following treatment of premature labor with beta 2-agonists, including racemic albuterol.

Data

 

Animal Data

The oral administration of levalbuterol HCl to pregnant New Zealand White rabbits during the period of organogenesis found no evidence of teratogenicity at doses up to 25 mg/kg/day (approximately 750 times the MRHDID of levalbuterol tartrate for adults on a mg/m 2basis). In a rat developmental study, a racemic albuterol sulfate (comprising approximately 50% levalbuterol)/HFA-134a formulation administered by inhalation did not produce any teratogenic effects at exposures approximately 160 times the MRHDID (on a mg/m 2basis at a maternal dose of 10.5 mg/kg) .

However, other developmental studies with the racemic albuterol sulfate, did result in teratogenic effects in mice and rabbits at doses slightly higher than the human therapeutic range. In a rabbit development study, orally administered albuterol sulfate induced cranioschisis in 7 of 19 fetuses (37%) at approximately 1500 times the MRHDID (on a mg/m 2basis at a maternal dose of 50 mg/kg).  In a mouse developmental study, subcutaneously administered albuterol sulfate produced cleft palate formation in 5 of 111 (4.5%) fetuses at an exposure approximately 2 times MRHDID for adults (on a mg/m 2basis at a maternal dose of 0.25 mg/kg/day) and in 10 of 108 (9.3%) fetuses at approximately 20 times MRHDID (on a mg/m 2basis at a maternal dose of 2.5 mg/kg/day).  Similar effects were not observed at approximately 0.2 times MRHDID of levalbuterol tartrate for adults on a mg/m 2basis (i.e., less than the therapeutic dose).  Cleft palate also occurred in 22 of 72 (30.5%) fetuses from females treated subcutaneously with isoproterenol (positive control).

8.2 Lactation

Risk Summary

There are no available data on the presence of levalbuterol in human milk, the effects on the breastfed child, or the effects on milk production.

The developmental and health benefits of breastfeeding should be considered along with the mother’s clinical need for Levalbuterol tartrate HFA inhalation aerosol and any potential adverse effects on the breastfed child from Levalbuterol tartrate HFA inhalation aerosol or from the underlying maternal condition.

11 Description (11 DESCRIPTION)

The active component of Levalbuterol tartrate HFA inhalation aerosol is levalbuterol tartrate, the (R)-enantiomer of albuterol. Levalbuterol tartrate is a relatively selective beta 2-adrenergic receptor agonist [see Clinical Pharmacology (12) ]. Levalbuterol tartrate has the chemical name (R)-α 1-[[(1,1-dimethylethyl)amino]methyl]-4-hydroxy-1,3-benzenedimethanol L-tartrate (2:1 salt), and it has the following chemical structure:

The molecular weight of levalbuterol tartrate is 628.71, and its empirical formula is (C 13H 21NO 3) 2· C 4H 6O 6. It is a white to light-yellow solid, freely soluble in water and very slightly soluble in ethanol.

Levalbuterol tartrate is the generic name for (R)-albuterol tartrate in the United States. Levalbuterol tartrate HFA inhalation aerosol is a pressurized metered-dose aerosol inhaler (MDI) fitted with a dose indicator, which produces an aerosol for oral inhalation. It contains a suspension of micronized levalbuterol tartrate, propellant HFA-134a (1,1,1,2-tetrafluoroethane), Dehydrated Alcohol USP, and Oleic Acid NF.

After priming with 4 actuations, each actuation of the inhaler delivers 67.8 mcg of levalbuterol tartrate (equivalent to 51.6 mcg of levalbuterol free base) from the valve and 59 mcg of levalbuterol tartrate (equivalent to 45 mcg of levalbuterol free base) from the actuator mouthpiece. Each 15 g canister provides 200 actuations (or inhalations).

8.4 Pediatric Use

Pediatric Patients 4 Years of Age and Older

The safety and efficacy of Levalbuterol tartrate HFA inhalation aerosol have been established in pediatric patients 4 years of age and older in an adequate and well-controlled clinical trial [see Adverse Reactions (6) and Clinical Studies (14) ].

Pediatric Patients less than 4 Years of Age

Levalbuterol tartrate HFA inhalation aerosol is not indicated for pediatric patients less than 4 years of age. A clinical trial in pediatric patients below the age of 4 years showed no statistical significant difference between treatment groups in the primary efficacy endpoint. There was an increased incidence of asthma-related adverse reactions reported in pediatric patients below the age of 4 years treated with Levalbuterol tartrate HFA inhalation aerosol compared to placebo.

Levalbuterol tartrate HFA inhalation aerosol was evaluated in one 4-week, multicenter, randomized, modified-blind, placebo-controlled, parallel group trial of 196 pediatric patients ages birth to < 4 years of age with asthma or reactive airway disease (68 patients birth to < 2 years of age and 128 patients 2 to < 4 years of age). Levalbuterol tartrate HFA inhalation aerosol 45 mcg (N=23), Levalbuterol tartrate HFA inhalation aerosol 90 mcg (N=42), levalbuterol inhalation solution 0.31 mg (N=63), and placebo HFA (N=68) were administered three times daily. Levalbuterol tartrate HFA inhalation aerosol or placebo HFA was delivered with the Monaghan AeroChamber MAX™ Valved Holding Chamber with mask. The primary efficacy endpoint was the mean change in Pediatric Asthma Caregiver Assessment (PACA) total score from baseline over the 4 week treatment period. There was no statistical difference in the change in PACA total score between Levalbuterol tartrate HFA inhalation aerosol and placebo. Regarding safety, an increased number of treatment-emergent asthma-related adverse reactions were reported in Levalbuterol tartrate HFA inhalation aerosol-treated patients. Eight subjects reported asthma-related adverse reactions for Levalbuterol tartrate HFA inhalation aerosol compared to 3 subjects for placebo. There was one subject that discontinued treatment due to asthma in the Levalbuterol tartrate HFA inhalation aerosol group compared to zero subjects in the placebo group (Table 3). Other adverse reactions were consistent with those observed in the clinical trial population of patients 4 years of age and older [see   Adverse Reactions (6.1) ].

Table 3: Asthma-related Adverse Reactions in a 4-Week Clinical Trial in Children Birth to <4 Years of Age*
   Levalbuterol

tartrate HFA

inhalation aerosol

45-90 mcg

(n=65)
 Levalbuterol

inhalation solution

0.31 mg

(n=63)
 Placebo

(n=68)
 Asthma-related adverse reactions*, n (%)  8 (12%)  6 (10%)  3 (4%)
 Treatment discontinuations due to asthma, n (%)  1 (2%)  2 (3%)  0
 *This table includes the following Preferred Terms (whether considered by the investigator to be related or unrelated to drug): asthma, cough, hypoxia, status asthmaticus, tachypnea
8.5 Geriatric Use

Clinical studies of Levalbuterol tartrate HFA inhalation aerosol did not include sufficient numbers of subjects aged 65 and older to determine whether they respond differently from younger subjects. Other reported clinical experience has not identified differences in responses between the elderly and younger patients. In general, dose selection for an elderly patient should be cautious, usually starting at the low end of the dosing range, reflecting the greater frequency of decreased hepatic, renal, or cardiac function, and of concomitant diseases or other drug therapy.

8.6 Renal Impairment

Albuterol is known to be substantially excreted by the kidney, and the risk of toxic reactions may be greater in patients with impaired renal function. Because elderly patients are more likely to have decreased renal function, care should be taken in dose selection, and it may be useful to monitor renal function.

12.2 Pharmacokinetics

A population pharmacokinetic model was developed using plasma concentrations of (R)-albuterol obtained from 632 asthmatic patients aged 4 to 81 years in three large trials. For adolescent and adult patients 12 years and older, following 90 mcg dose of Levalbuterol tartrate HFA inhalation aerosol, yielded mean peak plasma concentrations (C max) and systemic exposure (AUC 0-6) of approximately 199 pg/mL and 695 pg•h/mL, respectively, compared to approximately 238 pg/mL and 798 pg•h/mL, respectively, following 180 mcg dose of Racemic Albuterol HFA metered-dose inhaler. For pediatric patients from 4 to 11 years of age, following 90 mcg dose of Levalbuterol tartrate HFA inhalation aerosol, yielded C maxand AUC 0-6of approximately 163 pg/mL and 579 pg•h/mL, respectively, compared to approximately 238 pg/mL and 828 pg•h/mL, respectively, following 180 mcg dose of Racemic Albuterol HFA metered-dose inhaler.

These pharmacokinetic data indicate that mean exposure to (R)-albuterol was 13% to 16% less in adult and 30% to 32% less in pediatric patients given Levalbuterol tartrate HFA inhalation aerosol as compared to those given a comparable dose of racemic albuterol. When compared to adult patients, pediatric patients given 90 mcg of levalbuterol have a 17% lower mean exposure to (R)-albuterol.

Metabolism and Elimination

Information available in the published literature suggests that the primary enzyme responsible for the metabolism of albuterol enantiomers in humans is SULT1A3 (sulfotransferase). When racemic albuterol was administered either intravenously or via inhalation after oral charcoal administration, there was a 3- to 4-fold difference in the area under the concentration-time curves between the (R)- and (S)-albuterol enantiomers, with (S)-albuterol concentrations being consistently higher. However, without charcoal pretreatment, after either oral or inhalation administration the differences were 8- to 24-fold, suggesting that (R)-albuterol is preferentially metabolized in the gastrointestinal tract, presumably by SULT1A3.

The primary route of elimination of albuterol enantiomers is through renal excretion (80% to 100%) of either the parent compound or the primary metabolite. Less than 20% of the drug is detected in the feces. Following intravenous administration of racemic albuterol, between 25% and 46% of the (R)-albuterol fraction of the dose was excreted as unchanged (R)-albuterol in the urine.

Special Populations

Hepatic Impairment

The effect of hepatic impairment on the pharmacokinetics of Levalbuterol tartrate HFA inhalation aerosol has not been evaluated.

Renal Impairment

The effect of renal impairment on the pharmacokinetics of racemic albuterol was evaluated in 5 subjects with creatinine clearance of 7 to 53 mL/min, and the results were compared with those from healthy volunteers. Renal disease had no effect on the half-life, but there was a 67% decline in racemic albuterol clearance. Caution should be used when administering high doses of Levalbuterol tartrate HFA inhalation aerosol to patients with renal impairment [see Use in Specific Populations (8.6)] .

12.1 Mechanism of Action

Activation of beta 2-adrenergic receptors on airway smooth muscle leads to the activation of adenylate cyclase and to an increase in the intracellular concentration of cyclic-3', 5'-adenosine monophosphate (cyclic AMP). The increase in cyclic AMP is associated with the activation of protein kinase A, which in turn, inhibits the phosphorylation of myosin and lowers intracellular ionic calcium concentrations, resulting in muscle relaxation. Levalbuterol relaxes the smooth muscles of all airways, from the trachea to the terminal bronchioles. Increased cyclic AMP concentrations are also associated with the inhibition of the release of mediators from mast cells in the airways. Levalbuterol acts as a functional antagonist to relax the airway irrespective of the spasmogen involved, thus protecting against all bronchoconstrictor challenges. While it is recognized that beta 2-adrenergic receptors are the predominant receptors on bronchial smooth muscle, data indicate that there are beta-receptors in the human heart, 10% to 50% of which are beta 2-adrenergic receptors. The precise function of these receptors has not been established [see Warnings and Precautions (5) ]. However, all beta-adrenergic agonist drugs can produce a significant cardiovascular effect in some patients, as measured by pulse rate, blood pressure, symptoms, and/or electrocardiographic changes.

17 Patient Counseling Information (17 PATIENT COUNSELING INFORMATION)

Advise the patient to read the FDA-approved patient labeling( Patient Informationand Instructions for Use).

Patients should be given the following information:

Frequency of Use

The action of Levalbuterol tartrate HFA inhalation aerosol should last for 4 to 6 hours. Do not use Levalbuterol tartrate HFA inhalation aerosol more frequently than recommended. Instruct patients to not increase the dose or frequency of doses of Levalbuterol tartrate HFA inhalation aerosol without consulting their physician. If patients find that treatment with Levalbuterol tartrate HFA inhalation aerosol becomes less effective for symptomatic relief, symptoms become worse, or they need to use the product more frequently than usual, they should seek medical attention immediately.

Priming, Cleaning and Storage

Priming: SHAKE WELL BEFORE USING. Patients should be instructed that priming Levalbuterol tartrate HFA inhalation aerosol is essential to ensure appropriate levalbuterol content in each actuation. Patients should prime Levalbuterol tartrate HFA inhalation aerosol before using for the first time and in cases where the inhaler has not been used for more than 3 days by releasing 4 test sprays into the air, away from the face.

Cleaning : To ensure proper dosing and prevent actuator orifice blockage, instruct patients to wash the actuator in warm water and air-dry thoroughly at least once a week. Patients should be informed that detailed cleaning instructions are included in the FDA-approved patient labeling.

Storage : Store canister between 20° and 25°C (68° and 77°F). Protect from freezing temperatures and direct sunlight.

Paradoxical Bronchospasm

Inform patients that Levalbuterol tartrate HFA inhalation aerosol can produce paradoxical bronchospasm. Instruct patients to discontinue Levalbuterol tartrate HFA inhalation aerosol if paradoxical bronchospasm occurs.

Concomitant Drug Use

While patients are using Levalbuterol tartrate HFA inhalation aerosol, other inhaled drugs and asthma medications should be taken only as directed by the physician.

Common Adverse Reactions

Common adverse effects of treatment with inhaled beta-agonists include palpitations, chest pain, rapid heart rate, tremor, and nervousness.

Pregnancy

Patients who are pregnant or nursing should contact their physicians about the use of Levalbuterol tartrate HFA inhalation aerosol.

General Information on Use

Effective and safe use of Levalbuterol tartrate HFA inhalation aerosol includes an understanding of the way that it should be administered.

Shake the inhaler well immediately before each use.

Use Levalbuterol tartrate HFA inhalation aerosol only with the actuator supplied with the product.  When the dose indicator display window shows a red zone, approximately 20 inhalations are left, and a refill is required. Discard the inhaler when the dose indicator display window shows zero, indicating that 200 sprays have been used.   Never immerse the canister in water to determine how full the canister is (“float test”).

In general, the technique for administering Levalbuterol tartrate HFA inhalation aerosol to children is similar to that for adults.  Children should use Levalbuterol tartrate HFA inhalation aerosol under adult supervision, as instructed by the patient’s physician [advise the patient to read the FDA-approved patient labeling– ( Patient Informationand Instructions for Use)].

Manufactured for:

Teva Pharmaceuticals

Parsippany, NJ 07054

© 2017 All rights reserved.

To report adverse events, call 1-800-399-2561

Revised July 2023

10118-02

16 How Supplied/storage and Handling (16 HOW SUPPLIED/STORAGE AND HANDLING)

Levalbuterol tartrate HFA inhalation aerosol is supplied as a pressurized aluminum canister in a box: 

  • NDC 0591-2927-54: Canister labeled with a net weight of 15 grams containing 200 metered actuations (or inhalations)

Each canister is fitted with a dose indicator and is supplied with a blue plastic actuator mouthpiece, a red mouthpiece cap, and patient’s instructions.

Shake well before using.  Store between 20° and 25°C (68° and 77°F; see USP controlled room temperature).  Protect from freezing temperatures and direct sunlight.  Store inhaler with the actuator mouthpiece down.

Contents under pressure

Do not puncture or incinerate.  Do not store near heat or open flame. Exposure to temperatures above 120°F may cause bursting.  Never throw container into fire or incinerator. Keep out of reach of children.

The blue actuator supplied with Levalbuterol tartrate HFA inhalation aerosol should not be used with any other product canisters.  Actuators from other products should not be used with a Levalbuterol tartrate HFA inhalation aerosol canister.  The correct amount of medication in each actuation cannot be assured after 200 actuations, even though the canister is not completely empty.  When the dose indicator display window shows a red zone, approximately 20 inhalations are left, and a refill is required.  The canister should be discarded when the dose indicator display window shows zero, indicating that 200 actuations have been used.

Package Label.principal Display Panel (PACKAGE LABEL.PRINCIPAL DISPLAY PANEL)

NDC 0591-2927-54

Levalbuterol

tartrate HFA

45 mcg/actuation

200 Metered Inhalations

FOR ORAL INHALATION WITH 

XOPENEX-HFA ® ACTUATOR ONLY

Shake well before using.

Rx only

Net Contents: 15g

14.1 Bronchospasm Associated With Asthma (14.1 Bronchospasm Associated with Asthma)

Adults and Adolescent Patients 12 Years of Age and Older

The efficacy and safety of Levalbuterol tartrate HFA inhalation aerosol were established in two 8-week, multicenter, randomized, double-blind, active- and placebo-controlled trials in 748 adults and adolescents with asthma between the ages of 12 and 81 years. In these two trials, Levalbuterol tartrate HFA inhalation aerosol (403 patients) was compared to an HFA-134a placebo MDI (166 patients), and the trials included a marketed albuterol HFA-134a MDI (179 patients) as an active control. Serial forced expiratory volume in 1 second (FEV 1) measurements demonstrated that 90 mcg (2 inhalations) of Levalbuterol tartrate HFA inhalation aerosol produced significantly greater improvement in FEV 1over the pretreatment value than placebo. The results from one of the trials are shown in Figure 1 as the mean percent change in FEV 1from test-day baseline at Day 1 (n=445) and Day 56 (n=387). The results from the second trial were similar.

Figure 1: Percent Change in FEV 1 from Test-Day Baseline in Adults and Adolescents Aged 12 to 81 Years at Day 1 and Day 56

For Levalbuterol tartrate HFA inhalation aerosol on Day 1, the median time to onset of a 15% increase in FEV 1ranged from 5.5 to 10.2 minutes and the median time to peak effect ranged from 76 to 78 minutes. In the responder population, on Day 1 the median duration of effect as measured by a 15% increase in FEV 1was 3 to 4 hours, with duration of effect in some patients of up to 6 hours.

Pediatric Patients 4 to 11 Years of Age

The efficacy and safety of Levalbuterol tartrate HFA inhalation aerosol in children were established in a 4-week, multicenter, randomized, double-blind, active- and placebo-controlled trial in 150 pediatric patients with asthma between the ages of 4 and 11 years. In this trial, Levalbuterol tartrate HFA inhalation aerosol (76 patients) was compared to a placebo HFA-134a MDI (35 patients), and the trial included a marketed albuterol HFA-134a MDI (39 patients) as an active control. Serial FEV 1measurements demonstrated that 90 mcg (2 inhalations) of Levalbuterol tartrate HFA inhalation aerosol produced significantly greater improvement in FEV 1over the pretreatment value than placebo and were consistent with the efficacy findings in the adult studies.

For Levalbuterol tartrate HFA inhalation aerosol, on Day 1 the median time to onset of a 15% increase in FEV 1was 4.5 minutes and the median time to peak effect was 77 minutes. In the responder population, the median duration of effect as measured by a 15% increase in FEV 1was 3 hours, with a duration of effect in some pediatric patients of up to 6 hours.

13.2 Animal Toxicology And/or Pharmacology (13.2 Animal Toxicology and/or Pharmacology)

Propellant HFA-134a

In animals and humans, propellant HFA-134a was found to be rapidly absorbed and rapidly eliminated, with an elimination half-life of 3 to 27 minutes in animals and 5 to 7 minutes in humans. Time to maximum plasma concentration (t max) and mean residence time are both extremely short, leading to a transient appearance of HFA-134a in the blood with no evidence of accumulation. Based on studies in animals, the propellant HFA-134a had no detectable toxicological activity at amounts less than 380 times the maximum human exposure based on comparisons of AUC values. The toxicological effects observed at these very high doses included ataxia, tremors, dyspnea, or salivation, similar to effects produced by the structurally-related chlorofluorocarbons (CFCs) used in metered-dose inhalers, that were extensively used in the past.

13.1 Carcinogenesis, Mutagenesis, Impairment of Fertility

Although there have been no carcinogenesis studies with levalbuterol tartrate, racemic albuterol sulfate has been evaluated for its carcinogenic potential.

In a 2-year study in Sprague-Dawley rats, dietary administration of racemic albuterol sulfate resulted in a significant dose-related increase in the incidence of benign leiomyomas of the mesovarium at doses of 2 mg/kg/day and greater (approximately 30 times the MRHDID) of levalbuterol tartrate for adults and approximately 15 times the MRHDID of levalbuterol tartrate for children on a mg/m 2basis).  In an 18‑month study in CD-1 mice and a 22-month study in the golden hamster, dietary administration of racemic albuterol sulfate showed no evidence of tumorigenicity.  Dietary doses in CD-1 mice were up to 500 mg/kg/day (approximately 3800 times the MRHDID of levalbuterol tartrate for adults and approximately 1800 times the MRHDID of levalbuterol tartrate for children on a mg/m 2basis) and doses in the golden hamster study were up to 50 mg/kg/day (approximately 500 times the MRHDID of levalbuterol tartrate for adults on a mg/m 2basis and approximately 240 times the MRHDID of levalbuterol tartrate for children on a mg/m 2basis).

Levalbuterol HCl was not mutagenic in the Ames test or the CHO/HPRT Mammalian Forward Gene Mutation Assay.  Levalbuterol HCl was not clastogenic in the in vivomicronucleus test in mouse bone marrow.  Racemic albuterol sulfate was not clastogenic in an in vitrochromosomal aberration assay in CHO cell cultures.

No fertility studies have been conducted with levalbuterol tartrate.  Reproduction studies in rats using racemic albuterol sulfate demonstrated no evidence of impaired fertility at oral doses up to 50 mg/kg/day (approximately 750 times the MRHDID of levalbuterol tartrate for adults on a mg/m 2basis).


Advanced Ingredient Data


Raw Label Data

All Sections (JSON)