These Highlights Do Not Include All The Information Needed To Use Furosemide Injection Safely And Effectively. See Full Prescribing Information For Furosemide Injection.

These Highlights Do Not Include All The Information Needed To Use Furosemide Injection Safely And Effectively. See Full Prescribing Information For Furosemide Injection.
SPL v5
SPL
SPL Set ID 3747bbcd-783d-4baa-bb5b-b6827bf390e3
Routes
INTRAMUSCULAR INTRAVENOUS
Published
Effective Date 2023-11-15
Document Type 34391-3 HUMAN PRESCRIPTION DRUG LABEL

Drug Facts

Composition & Product

Active Ingredients
Furosemide (10 mg)
Inactive Ingredients
Sodium Chloride Sodium Hydroxide Hydrochloric Acid Water

Identifiers & Packaging

Marketing Status
NDA Active Since 2000-07-12

Description

Furosemide Injection is a loop diuretic indicated for: • The treatment of edema associated with heart failure, cirrhosis of the liver, and renal disease ( 1.1 ) • Acute pulmonary edema as adjunctive therapy ( 1.2 )

Indications and Usage

Furosemide Injection is a loop diuretic indicated for: • The treatment of edema associated with heart failure, cirrhosis of the liver, and renal disease ( 1.1 ) • Acute pulmonary edema as adjunctive therapy ( 1.2 )

Dosage and Administration

Edema : • Initial dose is 20 mg to 40 mg once given intramuscularly or intravenously. The intravenous dose should be administered slowly over 1 minute to 2 minutes ( 2.2 ) • If needed, a second dose may be administered 2 hours after the first dose ( 2.2 ) Acute Pulmonary Edema : • Initial dose is 40 mg injected slowly intravenously over 1 minute to 2 minutes ( 2.2 ) • If needed, a second dose is 80 mg injected intravenously slowly in 1 minute to 2 minutes ( 2.2 ) Pediatric Dosage : • The initial dose in pediatric patients is 1 mg/kg body weight once given slowly intramuscularly or intravenously. If needed, dosage may be increased by 1 mg/kg not sooner than 2 hours after the previous dose, until the desired diuretic effect has been obtained. Doses greater than 6 mg/kg body weight are not recommended ( 2.3 )

Warnings and Precautions

• Fluid, Electrolyte, and Metabolic Abnormalities : Monitor serum electrolytes, CO 2 , BUN, creatinine, glucose, and uric acid ( 5.1 ) • Worsening Renal Function : Monitor for dehydration and azotemia. ( 5.2 ) • Ototoxicity: Avoid rapid injection and higher than recommended doses. ( 5.3 , 7.1 ) • Acute Urinary Retention : Monitor patients with symptoms of urinary retention. ( 5.4 )

Contraindications

• Furosemide Injection is contraindicated in patients with anuria. • Furosemide Injection is contraindicated in patients with a history of hypersensitivity to furosemide.

Adverse Reactions

The following adverse reactions are described elsewhere in the labeling: • Fluid, Electrolyte, and Metabolic Abnormalities [see Warnings and Precautions ( 5.1 )] • Ototoxicity [see Warnings and Precautions ( 5.3 )] The following adverse reactions associated with the use of furosemide were identified in clinical studies or postmarketing reports. Because some of these reactions were reported voluntarily from a population of uncertain size, it is not always possible to reliably estimate their frequency or establish a causal relationship to drug exposure. Adverse reactions are categorized below by organ system and listed by decreasing severity. Gastrointestinal System Reactions: pancreatitis, jaundice (intrahepatic cholestatic jaundice), increased liver enzymes, anorexia, oral and gastric irritation, cramping, diarrhea, constipation, nausea, vomiting. Systemic Hypersensitivity Reactions: severe anaphylactic or anaphylactoid reactions (e.g., with shock), systemic vasculitis, interstitial nephritis, necrotizing angiitis. Central Nervous System Reactions: tinnitus and hearing loss, paresthesias, vertigo, dizziness, headache, blurred vision, xanthopsia. Hematologic Reactions: aplastic anemia, thrombocytopenia, agranulocytosis, hemolytic anemia, leukopenia, anemia, eosinophilia. Dermatologic-Hypersensitivity Reactions: toxic epidermal necrolysis, Stevens-Johnson Syndrome, erythema multiforme, drug rash with eosinophilia and systemic symptoms, acute generalized exanthematous pustulosis, exfoliative dermatitis, bullous pemphigoid, purpura, photosensitivity, rash. Cardiovascular Reactions: orthostatic hypotension, increase in cholesterol and triglyceride serum levels. Other Reactions: glycosuria, muscle spasm, weakness, restlessness, urinary bladder spasm, thrombophlebitis, transient injection site pain following intramuscular injection, fever.

Drug Interactions

• Aminoglycoside antibiotics : Increased potential ototoxicity of the antibiotics. Avoid combination ( 7.1 ) • Ethacrynic acid : Risk of ototoxicity. Avoid combination ( 7.1 ) • Salicylates : Risk of salicylate toxicity ( 7.1 ) • Cisplatin and nephrotoxic drugs : Risk of ototoxicity and nephrotoxicity ( 7.1 ) • Lithium : Risk of lithium toxicity ( 7.1 ) • Renin-angiotensin inhibitors : Increased risk of hypotension and renal failure. ( 7.1 ) • Adrenergic blocking drugs: Risk of potentiation ( 7.1 ) • Drugs undergoing renal tubular secretion: Risk of toxicity potentiation ( 7.1 )

Storage and Handling

Store at room temperature 20°C to 25°C (68°F to 77°F); excursions permitted between 15°C and 30°C (59°F and 86°F). [See USP Controlled Room Temperature.] Protect from light. Furosemide Injection, USP is a sterile, colorless solution for injection, available as a single-dose vial that contains 10 mg/mL of furosemide, and is supplied as follows: Product Code Unit of Sale Strength Volume Each PRX28002 NDC 63323-280-16 Unit of 25 20 mg per 2 mL (10 mg per mL) 2 mL fill in a 2 mL amber vial. NDC 63323-280-41 Single Dose Vial PRX28004 NDC 63323-280-26 Unit of 25 40 mg per 4 mL (10 mg per mL) 4 mL fill in a 5 mL amber vial. NDC 63323-280-43 Single Dose Vial PRX28010 NDC 63323-280-36 Unit of 25 100 mg per 10 mL (10 mg per mL) 10 mL fill in a 10 mL amber vial. NDC 63323-280-45 Single Dose Vial Preservative Free. Discard unused portion. Do not use if solution is discolored or contains particulate.

How Supplied

Store at room temperature 20°C to 25°C (68°F to 77°F); excursions permitted between 15°C and 30°C (59°F and 86°F). [See USP Controlled Room Temperature.] Protect from light. Furosemide Injection, USP is a sterile, colorless solution for injection, available as a single-dose vial that contains 10 mg/mL of furosemide, and is supplied as follows: Product Code Unit of Sale Strength Volume Each PRX28002 NDC 63323-280-16 Unit of 25 20 mg per 2 mL (10 mg per mL) 2 mL fill in a 2 mL amber vial. NDC 63323-280-41 Single Dose Vial PRX28004 NDC 63323-280-26 Unit of 25 40 mg per 4 mL (10 mg per mL) 4 mL fill in a 5 mL amber vial. NDC 63323-280-43 Single Dose Vial PRX28010 NDC 63323-280-36 Unit of 25 100 mg per 10 mL (10 mg per mL) 10 mL fill in a 10 mL amber vial. NDC 63323-280-45 Single Dose Vial Preservative Free. Discard unused portion. Do not use if solution is discolored or contains particulate.


Medication Information

Warnings and Precautions

• Fluid, Electrolyte, and Metabolic Abnormalities : Monitor serum electrolytes, CO 2 , BUN, creatinine, glucose, and uric acid ( 5.1 ) • Worsening Renal Function : Monitor for dehydration and azotemia. ( 5.2 ) • Ototoxicity: Avoid rapid injection and higher than recommended doses. ( 5.3 , 7.1 ) • Acute Urinary Retention : Monitor patients with symptoms of urinary retention. ( 5.4 )

Indications and Usage

Furosemide Injection is a loop diuretic indicated for: • The treatment of edema associated with heart failure, cirrhosis of the liver, and renal disease ( 1.1 ) • Acute pulmonary edema as adjunctive therapy ( 1.2 )

Dosage and Administration

Edema : • Initial dose is 20 mg to 40 mg once given intramuscularly or intravenously. The intravenous dose should be administered slowly over 1 minute to 2 minutes ( 2.2 ) • If needed, a second dose may be administered 2 hours after the first dose ( 2.2 ) Acute Pulmonary Edema : • Initial dose is 40 mg injected slowly intravenously over 1 minute to 2 minutes ( 2.2 ) • If needed, a second dose is 80 mg injected intravenously slowly in 1 minute to 2 minutes ( 2.2 ) Pediatric Dosage : • The initial dose in pediatric patients is 1 mg/kg body weight once given slowly intramuscularly or intravenously. If needed, dosage may be increased by 1 mg/kg not sooner than 2 hours after the previous dose, until the desired diuretic effect has been obtained. Doses greater than 6 mg/kg body weight are not recommended ( 2.3 )

Contraindications

• Furosemide Injection is contraindicated in patients with anuria. • Furosemide Injection is contraindicated in patients with a history of hypersensitivity to furosemide.

Adverse Reactions

The following adverse reactions are described elsewhere in the labeling: • Fluid, Electrolyte, and Metabolic Abnormalities [see Warnings and Precautions ( 5.1 )] • Ototoxicity [see Warnings and Precautions ( 5.3 )] The following adverse reactions associated with the use of furosemide were identified in clinical studies or postmarketing reports. Because some of these reactions were reported voluntarily from a population of uncertain size, it is not always possible to reliably estimate their frequency or establish a causal relationship to drug exposure. Adverse reactions are categorized below by organ system and listed by decreasing severity. Gastrointestinal System Reactions: pancreatitis, jaundice (intrahepatic cholestatic jaundice), increased liver enzymes, anorexia, oral and gastric irritation, cramping, diarrhea, constipation, nausea, vomiting. Systemic Hypersensitivity Reactions: severe anaphylactic or anaphylactoid reactions (e.g., with shock), systemic vasculitis, interstitial nephritis, necrotizing angiitis. Central Nervous System Reactions: tinnitus and hearing loss, paresthesias, vertigo, dizziness, headache, blurred vision, xanthopsia. Hematologic Reactions: aplastic anemia, thrombocytopenia, agranulocytosis, hemolytic anemia, leukopenia, anemia, eosinophilia. Dermatologic-Hypersensitivity Reactions: toxic epidermal necrolysis, Stevens-Johnson Syndrome, erythema multiforme, drug rash with eosinophilia and systemic symptoms, acute generalized exanthematous pustulosis, exfoliative dermatitis, bullous pemphigoid, purpura, photosensitivity, rash. Cardiovascular Reactions: orthostatic hypotension, increase in cholesterol and triglyceride serum levels. Other Reactions: glycosuria, muscle spasm, weakness, restlessness, urinary bladder spasm, thrombophlebitis, transient injection site pain following intramuscular injection, fever.

Drug Interactions

• Aminoglycoside antibiotics : Increased potential ototoxicity of the antibiotics. Avoid combination ( 7.1 ) • Ethacrynic acid : Risk of ototoxicity. Avoid combination ( 7.1 ) • Salicylates : Risk of salicylate toxicity ( 7.1 ) • Cisplatin and nephrotoxic drugs : Risk of ototoxicity and nephrotoxicity ( 7.1 ) • Lithium : Risk of lithium toxicity ( 7.1 ) • Renin-angiotensin inhibitors : Increased risk of hypotension and renal failure. ( 7.1 ) • Adrenergic blocking drugs: Risk of potentiation ( 7.1 ) • Drugs undergoing renal tubular secretion: Risk of toxicity potentiation ( 7.1 )

Storage and Handling

Store at room temperature 20°C to 25°C (68°F to 77°F); excursions permitted between 15°C and 30°C (59°F and 86°F). [See USP Controlled Room Temperature.] Protect from light. Furosemide Injection, USP is a sterile, colorless solution for injection, available as a single-dose vial that contains 10 mg/mL of furosemide, and is supplied as follows: Product Code Unit of Sale Strength Volume Each PRX28002 NDC 63323-280-16 Unit of 25 20 mg per 2 mL (10 mg per mL) 2 mL fill in a 2 mL amber vial. NDC 63323-280-41 Single Dose Vial PRX28004 NDC 63323-280-26 Unit of 25 40 mg per 4 mL (10 mg per mL) 4 mL fill in a 5 mL amber vial. NDC 63323-280-43 Single Dose Vial PRX28010 NDC 63323-280-36 Unit of 25 100 mg per 10 mL (10 mg per mL) 10 mL fill in a 10 mL amber vial. NDC 63323-280-45 Single Dose Vial Preservative Free. Discard unused portion. Do not use if solution is discolored or contains particulate.

How Supplied

Store at room temperature 20°C to 25°C (68°F to 77°F); excursions permitted between 15°C and 30°C (59°F and 86°F). [See USP Controlled Room Temperature.] Protect from light. Furosemide Injection, USP is a sterile, colorless solution for injection, available as a single-dose vial that contains 10 mg/mL of furosemide, and is supplied as follows: Product Code Unit of Sale Strength Volume Each PRX28002 NDC 63323-280-16 Unit of 25 20 mg per 2 mL (10 mg per mL) 2 mL fill in a 2 mL amber vial. NDC 63323-280-41 Single Dose Vial PRX28004 NDC 63323-280-26 Unit of 25 40 mg per 4 mL (10 mg per mL) 4 mL fill in a 5 mL amber vial. NDC 63323-280-43 Single Dose Vial PRX28010 NDC 63323-280-36 Unit of 25 100 mg per 10 mL (10 mg per mL) 10 mL fill in a 10 mL amber vial. NDC 63323-280-45 Single Dose Vial Preservative Free. Discard unused portion. Do not use if solution is discolored or contains particulate.

Description

Furosemide Injection is a loop diuretic indicated for: • The treatment of edema associated with heart failure, cirrhosis of the liver, and renal disease ( 1.1 ) • Acute pulmonary edema as adjunctive therapy ( 1.2 )

Data

Animal Data

The effects of furosemide on embryonic and fetal development and on pregnant dams were studied in mice, rats and rabbits.

Furosemide caused unexplained maternal deaths and abortions in the rabbit at the lowest dose of 25 mg/kg (approximately 4 times a human i.v. dose of 80 mg based on BSA and oral bioavailability corrections). In another study, a dose of 50 mg/kg (approximately 7 times a human i.v. dose of 80 mg based on BSA and oral bioavailability corrections) also caused maternal deaths and abortions when administered to rabbits between Days 12 and 17 of gestation. In a third study, none of the pregnant rabbits survived an oral dose of 100 mg/kg. Data from the above studies indicate fetal lethality that can precede maternal deaths.

The results of the mouse study and one of the three rabbit studies also showed an increased incidence and severity of hydronephrosis (distention of the renal pelvis and, in some cases, of the ureters) in fetuses of treated dams as compared with the incidence of fetuses from the control group.

Section 42229-5

Edema

Individualize therapy according to patient response.

The usual initial dose of furosemide is 20 mg to 40 mg given as a single-dose, injected intramuscularly or intravenously. Give the intravenous dose slowly (over 1 minute to 2 minutes). If needed, administer another dose in the same manner 2 hours later or increase the dose. The dose may be raised by 20 mg and administered not sooner than 2 hours after the previous dose until the desired diuretic effect has been obtained. Administer this individually determined single-dose once or twice daily.

If the physician elects to use high-dose parenteral therapy, add the furosemide to either 0.9% Sodium Chloride Injection USP, Lactated Ringer's Injection USP, or Dextrose Injection 5%, USP, after pH has been adjusted to above 5.5, and administer as a controlled intravenous infusion at a rate not greater than 4 mg/min. Furosemide Injection is a buffered alkaline solution with a pH of about 9 and the drug may precipitate at pH values below 7. Care must be taken to ensure that the pH of the prepared infusion solution is in the weakly alkaline to neutral range. Acid solutions, including other parenteral medications (e.g., labetalol, ciprofloxacin, amrinone, milrinone) must not be administered concurrently in the same infusion because they may cause precipitation of the furosemide.

Section 51945-4

PACKAGE LABEL – PRINCIPAL DISPLAY – Furosemide 2 mL Single Dose Vial Label

63323-280-41    PRX28002

Furosemide

Injection, USP

20 mg per 2 mL

(10 mg per mL)

For IM or IV use.

Preservative free.

Discard unused portion.

Protect from light.

2 mL Single Dose Vial    Rx only

1.1 Edema

Furosemide Injection is indicated in adults and pediatric patients for the treatment of edema associated with heart failure, cirrhosis of the liver, and renal disease, including the nephrotic syndrome.

10 Overdosage

The principal signs and symptoms of overdose with furosemide are dehydration, blood volume reduction, hypotension, electrolyte imbalance, hypokalemia and hypochloremic alkalosis, and are extensions of its diuretic action.

The concentration of furosemide in biological fluids associated with toxicity or death is not known.

Treatment of overdosage is supportive and consists of replacement of excessive fluid and electrolyte losses. Serum electrolytes, carbon dioxide level, and blood pressure should be determined frequently. Adequate drainage must be assured in patients with urinary bladder outlet obstruction (such as prostatic hypertrophy).

Hemodialysis does not accelerate furosemide elimination.

8.1 Pregnancy

Risk Summary

Available data from published observational studies, case reports, and postmarketing reports, from decades of use, have not demonstrated a drug-associated risk of major birth defects, miscarriage, or other adverse maternal or fetal outcomes with furosemide use during pregnancy. Untreated congestive heart failure and cirrhosis of the liver can lead to adverse outcomes for the mother and the fetus (see Clinical Considerations).

In animal reproduction studies, furosemide has been shown to cause unexplained maternal deaths and abortions in rabbits when administered orally during organogenesis at 4 times a human i.v. dose of 80 mg based on body surface area (BSA) and oral bioavailability corrections, presumably secondary to volume depletion (see Data).

The estimated background risk for major birth defects and miscarriage for the indicated populations is unknown. All pregnancies have a background risk of birth defect, loss, or other adverse outcomes. In the U.S. general population, the estimated background risk of major birth defects and miscarriage in the clinically recognized pregnancies is 2 to 4% and 15 to 20%, respectively.

11 Description

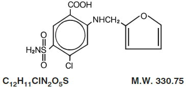
Furosemide is a diuretic which is an anthranilic acid derivative.

Chemically, it is 4-chloro-N-furfuryl-5- sulfamoylanthranilic acid.

Furosemide is a white to slightly yellow, odorless, crystalline powder. Practically insoluble in water; freely soluble in acetone, in dimethylformamide, and in solutions of alkali hydroxides; soluble in methanol; sparingly soluble in alcohol; slightly soluble in ether; very slightly soluble in chloroform. The structural formula is as follows:

Furosemide Injection, USP is a sterile, nonpyrogenic solution of furosemide in Water for Injection prepared with the aid of sodium hydroxide for intramuscular (IM) or intravenous (IV) use. Each mL contains: Furosemide 10 mg; sodium hydroxide 1.6 mg; Water for Injection q.s.; sodium chloride to adjust isotonicity; hydrochloric acid (q.s.) and/or sodium hydroxide (q.s.) to adjust pH between 8.0 and 9.3 if necessary.

5.3 Ototoxicity

Cases of tinnitus and reversible or irreversible hearing impairment and deafness have been reported. Reports usually indicate that furosemide ototoxicity is associated with rapid injection, severe renal impairment, the use of higher than recommended doses, hypoproteinemia or concomitant therapy with aminoglycoside antibiotics, ethacrynic acid, or other ototoxic drugs. If the physician elects to use high-dose parenteral therapy, controlled intravenous infusion is advisable (for adults, an infusion rate not exceeding 4 mg furosemide per minute has been used) [see Drug Interactions (7.1)].

Hearing loss in neonates, including premature neonates has been associated with the use of Furosemide Injection [see Use in Specific Populations (8.4)].

8.4 Pediatric Use

Published reports indicate that premature infants with post conceptual age (gestational plus postnatal) less than 31 weeks receiving doses exceeding 1 mg/kg/24 hours may develop plasma levels which could be associated with potential toxic effects including ototoxicity [see Warnings and Precautions (5.3)].

Furosemide in the first year of life, especially in patients born pre-term, may precipitate nephrocalcinosis/nephrolithiasis [see Warnings and Precautions (5.2)].

8.5 Geriatric Use

Controlled clinical studies of furosemide did not include sufficient numbers of subjects aged 65 and over to determine whether they respond differently from younger subjects. Other reported clinical experience has not identified differences in responses between the elderly and younger patients. In general, dose selection for the elderly patient should be cautious, usually starting at the low end of the dosing range, reflecting the greater frequency of decreased hepatic, renal or cardiac function, and of concomitant disease or other drug therapy.

This drug is known to be substantially excreted by the kidney, and the risk of toxic reactions to this drug may be greater in patients with impaired renal function. Because elderly patients are more likely to have decreased renal function, care should be taken in dose selection and it may be useful to monitor renal function [see Clinical Pharmacology (12.3)].

4 Contraindications
  • Furosemide Injection is contraindicated in patients with anuria.
  • Furosemide Injection is contraindicated in patients with a history of hypersensitivity to furosemide.
6 Adverse Reactions

The following adverse reactions are described elsewhere in the labeling:

  • Fluid, Electrolyte, and Metabolic Abnormalities [see Warnings and Precautions (5.1)]
  • Ototoxicity [see Warnings and Precautions (5.3)]

The following adverse reactions associated with the use of furosemide were identified in clinical studies or postmarketing reports. Because some of these reactions were reported voluntarily from a population of uncertain size, it is not always possible to reliably estimate their frequency or establish a causal relationship to drug exposure.

Adverse reactions are categorized below by organ system and listed by decreasing severity.

Gastrointestinal System Reactions: pancreatitis, jaundice (intrahepatic cholestatic jaundice), increased liver enzymes, anorexia, oral and gastric irritation, cramping, diarrhea, constipation, nausea, vomiting.

Systemic Hypersensitivity Reactions: severe anaphylactic or anaphylactoid reactions (e.g., with shock), systemic vasculitis, interstitial nephritis, necrotizing angiitis.

Central Nervous System Reactions: tinnitus and hearing loss, paresthesias, vertigo, dizziness, headache, blurred vision, xanthopsia.

Hematologic Reactions: aplastic anemia, thrombocytopenia, agranulocytosis, hemolytic anemia, leukopenia, anemia, eosinophilia.

Dermatologic-Hypersensitivity Reactions: toxic epidermal necrolysis, Stevens-Johnson Syndrome, erythema multiforme, drug rash with eosinophilia and systemic symptoms, acute generalized exanthematous pustulosis, exfoliative dermatitis, bullous pemphigoid, purpura, photosensitivity, rash.

Cardiovascular Reactions: orthostatic hypotension, increase in cholesterol and triglyceride serum levels.

Other Reactions: glycosuria, muscle spasm, weakness, restlessness, urinary bladder spasm, thrombophlebitis, transient injection site pain following intramuscular injection, fever.

7 Drug Interactions
  • Aminoglycoside antibiotics: Increased potential ototoxicity of the antibiotics. Avoid combination (7.1)
  • Ethacrynic acid: Risk of ototoxicity. Avoid combination (7.1)
  • Salicylates: Risk of salicylate toxicity (7.1)
  • Cisplatin and nephrotoxic drugs: Risk of ototoxicity and nephrotoxicity (7.1)
  • Lithium: Risk of lithium toxicity (7.1)
  • Renin-angiotensin inhibitors: Increased risk of hypotension and renal failure. (7.1)
  • Adrenergic blocking drugs: Risk of potentiation (7.1)
  • Drugs undergoing renal tubular secretion: Risk of toxicity potentiation (7.1)
12.2 Pharmacodynamics

The onset of diuresis following intravenous administration is within 5 minutes and somewhat later after intramuscular administration. The peak effect occurs within the first half hour. The duration of diuretic effect is approximately 2 hours.

1 Indications and Usage

Furosemide Injection is a loop diuretic indicated for:

  • The treatment of edema associated with heart failure, cirrhosis of the liver, and renal disease (1.1)
  • Acute pulmonary edema as adjunctive therapy (1.2)
Clinical Considerations

Disease-Associated Maternal and/or Embryo/Fetal Risk

Pregnant women with congestive heart failure are at increased risk for pre-term birth. Stroke volume and heart rate increase during pregnancy, increasing cardiac output, especially during the first trimester. Clinical classification of heart disease may worsen with pregnancy and lead to maternal death and/or stillbirth. Closely monitor pregnant patients for destabilization of their heart failure.

Pregnant women with symptomatic cirrhosis generally have poor outcomes including hepatic failure, variceal hemorrhage, pre-term delivery, fetal growth restriction and maternal death. Outcomes are worse with coexisting esophageal varices. Pregnant women with cirrhosis of the liver should be carefully monitored and managed accordingly.

12.1 Mechanism of Action

Furosemide inhibits primarily the reabsorption of sodium and chloride not only in the proximal and distal tubules but also in the loop of Henle. The high degree of efficacy is largely due to this unique site of action. The action on the distal tubule is independent of any inhibitory effect on carbonic anhydrase and aldosterone.

1.2 Acute Pulmonary Edema

Furosemide Injection is indicated as adjunctive therapy in acute pulmonary edema.

2.1 General Considerations

Inspect Furosemide Injection visually for particulate matter and discoloration before administration.

5 Warnings and Precautions
  • Fluid, Electrolyte, and Metabolic Abnormalities: Monitor serum electrolytes, CO2, BUN, creatinine, glucose, and uric acid (5.1)
  • Worsening Renal Function: Monitor for dehydration and azotemia. (5.2)
  • Ototoxicity: Avoid rapid injection and higher than recommended doses. (5.3, 7.1)
  • Acute Urinary Retention: Monitor patients with symptoms of urinary retention. (5.4)
2 Dosage and Administration

Edema:

  • Initial dose is 20 mg to 40 mg once given intramuscularly or intravenously. The intravenous dose should be administered slowly over 1 minute to 2 minutes (2.2)
  • If needed, a second dose may be administered 2 hours after the first dose (2.2)

Acute Pulmonary Edema:

  • Initial dose is 40 mg injected slowly intravenously over 1 minute to 2 minutes (2.2)
  • If needed, a second dose is 80 mg injected intravenously slowly in 1 minute to 2 minutes (2.2)

Pediatric Dosage:

  • The initial dose in pediatric patients is 1 mg/kg body weight once given slowly intramuscularly or intravenously. If needed, dosage may be increased by 1 mg/kg not sooner than 2 hours after the previous dose, until the desired diuretic effect has been obtained. Doses greater than 6 mg/kg body weight are not recommended (2.3)
5.4 Acute Urinary Retention

In patients with severe symptoms of urinary retention (because of bladder emptying disorders, prostatic hyperplasia, urethral narrowing), the administration of furosemide can cause acute urinary retention related to increased production and retention of urine. Thus, these patients require careful monitoring, especially during the initial stages of treatment.

3 Dosage Forms and Strengths

Injection: Furosemide Injection, USP is supplied as a sterile, colorless solution as

  • 20 mg/2 mL (10 mg/mL) in a single-dose vial
  • 40 mg/4 mL (10 mg/mL) in a single-dose vial
  • 100 mg/10 mL (10 mg/mL) in a single-dose vial
5.2 Worsening Renal Function

Furosemide can cause dehydration and azotemia. If increasing azotemia and oliguria occur during treatment of severe progressive renal disease, furosemide should be discontinued [see Clinical Pharmacology (12.3)].

Furosemide use in the first year of life, especially in patients born pre-term, may precipitate nephrocalcinosis/nephrolithiasis. Therefore renal function must be monitored and renal ultrasonography performed in this age group [see Use in Specific Populations (8.4)].

16 How Supplied/storage and Handling

Store at room temperature 20°C to 25°C (68°F to 77°F); excursions permitted between 15°C and 30°C (59°F and 86°F). [See USP Controlled Room Temperature.] Protect from light.

Furosemide Injection, USP is a sterile, colorless solution for injection, available as a single-dose vial that contains 10 mg/mL of furosemide, and is supplied as follows:

Product

Code

Unit of Sale

Strength

Volume

Each

PRX28002

NDC 63323-280-16

Unit of 25

20 mg per 2 mL

(10 mg per mL)

2 mL fill in a 2 mL

amber vial.

NDC 63323-280-41

Single Dose Vial

PRX28004

NDC 63323-280-26

Unit of 25

40 mg per 4 mL

(10 mg per mL)

4 mL fill in a 5 mL

amber vial.

NDC 63323-280-43

Single Dose Vial

PRX28010

NDC 63323-280-36

Unit of 25

100 mg per 10 mL

(10 mg per mL)

10 mL fill in a 10 mL

amber vial.

NDC 63323-280-45

Single Dose Vial

Preservative Free.

Discard unused portion. Do not use if solution is discolored or contains particulate.

7.1 Effects of Furosemide On Other Drugs

Drug/Substance Class or Name

Drug Interaction Effect

Recommendations

Aminoglycoside antibiotics

Furosemide may increase the ototoxic potential of aminoglycoside antibiotics, especially in the presence of impaired renal function [see Warnings and Precautions (5.3)].

Avoid combination except in life-threatening situations.

Ethacrynic acid

Possibility of ototoxicity [see Warnings and Precautions (5.3)].

Avoid concomitant use with ethacrynic acid.

Salicylates

May experience salicylate toxicity at lower doses because of competitive renal excretory sites.

Monitor for symptoms of salicylate toxicity.

Cisplatin









Cisplatin and nephrotoxic drugs

There is a risk of ototoxic effects if cisplatin and furosemide are given concomitantly [see Warnings and Precautions (5.3)].







Nephrotoxicity











Administer furosemide at lower doses and with positive fluid balance when used to achieve forced diuresis during cisplatin treatment. Monitor renal function.

Paralytic agents

Furosemide has a tendency to antagonize the skeletal muscle relaxing effect of tubocurarine and may potentiate the action of succinylcholine.

Monitor for skeletal muscle effect.

Lithium

Furosemide reduces lithium's renal clearance and add a high-risk of lithium toxicity.

Avoid concomitant use with lithium.

Angiotensin converting enzyme inhibitors or angiotensin II receptor blockers

May lead to severe hypotension and deterioration in renal function, including renal failure.

Monitor for changes in blood pressure and renal function and interrupt or reduce the dosage of furosemide, angiotensin converting enzyme inhibitors, or angiotensin receptor blockers if needed.

Antihypertensive drugs

Furosemide may add to or potentiate the therapeutic effect of other antihypertensive drugs.

Monitor for changes in blood pressure and adjust the dose of other antihypertensive drugs if needed.

Adrenergic blocking drugs or peripheral adrenergic

blocking drugs

Potentiation occurs.

Monitor for changes in blood pressure and adjust the dose of adrenergic blocking drugs if needed.

Norepinephrine

Furosemide may decrease arterial responsiveness (vasoconstricting effect) to norepinephrine.

Monitor blood pressure (or mean arterial pressure).

Chloral hydrate

In isolated cases, intravenous administration of furosemide within 24 hours of taking chloral hydrate may lead to flushing, sweating attacks, restlessness, nausea, increase in blood pressure, and tachycardia.

Concomitant use with chloral hydrate is not recommended.

Methotrexate and other drugs undergoing renal tubular secretion

Furosemide may decrease renal elimination of other drugs that undergo tubular secretion.

High-dose treatment of furosemide may result in elevated serum levels of these drugs and may their toxicity.

Monitor serum levels of drugs undergoing renal tubular secretion and adjust the dose if needed.

Cephalosporin

Furosemide can increase the risk of cephalosporin-induced nephrotoxicity even in the setting of minor or transient renal impairment.

Monitor for changes in renal function.

Cyclosporine

Increased risk of gouty arthritis secondary to furosemide-induced hyperuricemia and cyclosporine impairment of renal urate excretion.

Monitor serum urate levels.

Thyroid hormones

High-doses (> 80 mg) of furosemide may inhibit the binding of thyroid hormones to carrier proteins and result in transient increase in free thyroid hormones, followed by an overall decrease in total thyroid hormone levels.

Monitor the total thyroid hormone levels.

7.2 Effects of Other Drugs On Furosemide

Drug/Substance Class or Name

Drug Interaction Effect

Recommendations

Phenytoin

Interferes directly with renal action of furosemide.

Monitor diuretic effects of furosemide and adjust the dose of furosemide if needed.

Methotrexate and other drugs undergoing renal tubular secretion

May reduce the effect of furosemide. High-dose treatment of methotrexate and these other drugs may result in elevated serum

Monitor for enhanced toxicity of furosemide.

levels of furosemide and may potentiate the toxicity of furosemide.

Indomethacin

Coadministration of indomethacin may reduce the natriuretic and antihypertensive effects of furosemide in some patients by inhibiting prostaglandin synthesis. Indomethacin may also affect plasma renin levels, aldosterone excretion, and renin profile evaluation.

Patients receiving both indomethacin and furosemide should be observed closely to determine if the desired diuretic and/or antihypertensive effect of furosemide is achieved.

2.3 Recommended Dosage for Pediatric Patients

The usual initial dose of Furosemide Injection (intravenously or intramuscularly) in pediatric patients is 1 mg/kg body weight administered slowly (over 1 minute to 2 minutes). If the diuretic response to the initial dose is not satisfactory, dosage may be increased by 1 mg/kg not sooner than 2 hours after the previous dose, until the desired diuretic effect has been obtained. Doses greater than 6 mg/kg body weight are not recommended.

The maximum dose for premature infants should not exceed 1 mg/kg/day [see Use in Specific Populations (8.4)].

5.1 Fluid, Electrolyte, and Metabolic Abnormalities

Furosemide may cause fluid, electrolyte, and metabolic abnormalities such as hypovolemia, hypokalemia, azotemia, hyponatremia, hypochloremic alkalosis, hypomagnesemia, hypocalcemia, hyperglycemia, or hyperuricemia, particularly in patients receiving higher doses, patients with inadequate oral electrolyte intake, and in elderly patients. Excessive diuresis may cause dehydration and blood volume reduction with circulatory collapse and possibly vascular thrombosis and embolism, particularly in elderly patients. Serum electrolytes, CO2, BUN, creatinine, glucose, and uric acid should be monitored frequently during furosemide therapy.

In patients with hepatic cirrhosis and ascites, sudden alterations of fluid and electrolyte balance may precipitate hepatic encephalopathy and coma. Treatment in such patients is best initiated in the hospital with small doses and careful monitoring of the patient's clinical status and electrolyte balance.


Structured Label Content

Data

Animal Data

The effects of furosemide on embryonic and fetal development and on pregnant dams were studied in mice, rats and rabbits.

Furosemide caused unexplained maternal deaths and abortions in the rabbit at the lowest dose of 25 mg/kg (approximately 4 times a human i.v. dose of 80 mg based on BSA and oral bioavailability corrections). In another study, a dose of 50 mg/kg (approximately 7 times a human i.v. dose of 80 mg based on BSA and oral bioavailability corrections) also caused maternal deaths and abortions when administered to rabbits between Days 12 and 17 of gestation. In a third study, none of the pregnant rabbits survived an oral dose of 100 mg/kg. Data from the above studies indicate fetal lethality that can precede maternal deaths.

The results of the mouse study and one of the three rabbit studies also showed an increased incidence and severity of hydronephrosis (distention of the renal pelvis and, in some cases, of the ureters) in fetuses of treated dams as compared with the incidence of fetuses from the control group.

Section 42229-5 (42229-5)

Edema

Individualize therapy according to patient response.

The usual initial dose of furosemide is 20 mg to 40 mg given as a single-dose, injected intramuscularly or intravenously. Give the intravenous dose slowly (over 1 minute to 2 minutes). If needed, administer another dose in the same manner 2 hours later or increase the dose. The dose may be raised by 20 mg and administered not sooner than 2 hours after the previous dose until the desired diuretic effect has been obtained. Administer this individually determined single-dose once or twice daily.

If the physician elects to use high-dose parenteral therapy, add the furosemide to either 0.9% Sodium Chloride Injection USP, Lactated Ringer's Injection USP, or Dextrose Injection 5%, USP, after pH has been adjusted to above 5.5, and administer as a controlled intravenous infusion at a rate not greater than 4 mg/min. Furosemide Injection is a buffered alkaline solution with a pH of about 9 and the drug may precipitate at pH values below 7. Care must be taken to ensure that the pH of the prepared infusion solution is in the weakly alkaline to neutral range. Acid solutions, including other parenteral medications (e.g., labetalol, ciprofloxacin, amrinone, milrinone) must not be administered concurrently in the same infusion because they may cause precipitation of the furosemide.

Section 51945-4 (51945-4)

PACKAGE LABEL – PRINCIPAL DISPLAY – Furosemide 2 mL Single Dose Vial Label

63323-280-41    PRX28002

Furosemide

Injection, USP

20 mg per 2 mL

(10 mg per mL)

For IM or IV use.

Preservative free.

Discard unused portion.

Protect from light.

2 mL Single Dose Vial    Rx only

1.1 Edema

Furosemide Injection is indicated in adults and pediatric patients for the treatment of edema associated with heart failure, cirrhosis of the liver, and renal disease, including the nephrotic syndrome.

10 Overdosage (10 OVERDOSAGE)

The principal signs and symptoms of overdose with furosemide are dehydration, blood volume reduction, hypotension, electrolyte imbalance, hypokalemia and hypochloremic alkalosis, and are extensions of its diuretic action.

The concentration of furosemide in biological fluids associated with toxicity or death is not known.

Treatment of overdosage is supportive and consists of replacement of excessive fluid and electrolyte losses. Serum electrolytes, carbon dioxide level, and blood pressure should be determined frequently. Adequate drainage must be assured in patients with urinary bladder outlet obstruction (such as prostatic hypertrophy).

Hemodialysis does not accelerate furosemide elimination.

8.1 Pregnancy

Risk Summary

Available data from published observational studies, case reports, and postmarketing reports, from decades of use, have not demonstrated a drug-associated risk of major birth defects, miscarriage, or other adverse maternal or fetal outcomes with furosemide use during pregnancy. Untreated congestive heart failure and cirrhosis of the liver can lead to adverse outcomes for the mother and the fetus (see Clinical Considerations).

In animal reproduction studies, furosemide has been shown to cause unexplained maternal deaths and abortions in rabbits when administered orally during organogenesis at 4 times a human i.v. dose of 80 mg based on body surface area (BSA) and oral bioavailability corrections, presumably secondary to volume depletion (see Data).

The estimated background risk for major birth defects and miscarriage for the indicated populations is unknown. All pregnancies have a background risk of birth defect, loss, or other adverse outcomes. In the U.S. general population, the estimated background risk of major birth defects and miscarriage in the clinically recognized pregnancies is 2 to 4% and 15 to 20%, respectively.

11 Description (11 DESCRIPTION)

Furosemide is a diuretic which is an anthranilic acid derivative.

Chemically, it is 4-chloro-N-furfuryl-5- sulfamoylanthranilic acid.

Furosemide is a white to slightly yellow, odorless, crystalline powder. Practically insoluble in water; freely soluble in acetone, in dimethylformamide, and in solutions of alkali hydroxides; soluble in methanol; sparingly soluble in alcohol; slightly soluble in ether; very slightly soluble in chloroform. The structural formula is as follows:

Furosemide Injection, USP is a sterile, nonpyrogenic solution of furosemide in Water for Injection prepared with the aid of sodium hydroxide for intramuscular (IM) or intravenous (IV) use. Each mL contains: Furosemide 10 mg; sodium hydroxide 1.6 mg; Water for Injection q.s.; sodium chloride to adjust isotonicity; hydrochloric acid (q.s.) and/or sodium hydroxide (q.s.) to adjust pH between 8.0 and 9.3 if necessary.

5.3 Ototoxicity

Cases of tinnitus and reversible or irreversible hearing impairment and deafness have been reported. Reports usually indicate that furosemide ototoxicity is associated with rapid injection, severe renal impairment, the use of higher than recommended doses, hypoproteinemia or concomitant therapy with aminoglycoside antibiotics, ethacrynic acid, or other ototoxic drugs. If the physician elects to use high-dose parenteral therapy, controlled intravenous infusion is advisable (for adults, an infusion rate not exceeding 4 mg furosemide per minute has been used) [see Drug Interactions (7.1)].

Hearing loss in neonates, including premature neonates has been associated with the use of Furosemide Injection [see Use in Specific Populations (8.4)].

8.4 Pediatric Use

Published reports indicate that premature infants with post conceptual age (gestational plus postnatal) less than 31 weeks receiving doses exceeding 1 mg/kg/24 hours may develop plasma levels which could be associated with potential toxic effects including ototoxicity [see Warnings and Precautions (5.3)].

Furosemide in the first year of life, especially in patients born pre-term, may precipitate nephrocalcinosis/nephrolithiasis [see Warnings and Precautions (5.2)].

8.5 Geriatric Use

Controlled clinical studies of furosemide did not include sufficient numbers of subjects aged 65 and over to determine whether they respond differently from younger subjects. Other reported clinical experience has not identified differences in responses between the elderly and younger patients. In general, dose selection for the elderly patient should be cautious, usually starting at the low end of the dosing range, reflecting the greater frequency of decreased hepatic, renal or cardiac function, and of concomitant disease or other drug therapy.

This drug is known to be substantially excreted by the kidney, and the risk of toxic reactions to this drug may be greater in patients with impaired renal function. Because elderly patients are more likely to have decreased renal function, care should be taken in dose selection and it may be useful to monitor renal function [see Clinical Pharmacology (12.3)].

4 Contraindications (4 CONTRAINDICATIONS)
  • Furosemide Injection is contraindicated in patients with anuria.
  • Furosemide Injection is contraindicated in patients with a history of hypersensitivity to furosemide.
6 Adverse Reactions (6 ADVERSE REACTIONS)

The following adverse reactions are described elsewhere in the labeling:

  • Fluid, Electrolyte, and Metabolic Abnormalities [see Warnings and Precautions (5.1)]
  • Ototoxicity [see Warnings and Precautions (5.3)]

The following adverse reactions associated with the use of furosemide were identified in clinical studies or postmarketing reports. Because some of these reactions were reported voluntarily from a population of uncertain size, it is not always possible to reliably estimate their frequency or establish a causal relationship to drug exposure.

Adverse reactions are categorized below by organ system and listed by decreasing severity.

Gastrointestinal System Reactions: pancreatitis, jaundice (intrahepatic cholestatic jaundice), increased liver enzymes, anorexia, oral and gastric irritation, cramping, diarrhea, constipation, nausea, vomiting.

Systemic Hypersensitivity Reactions: severe anaphylactic or anaphylactoid reactions (e.g., with shock), systemic vasculitis, interstitial nephritis, necrotizing angiitis.

Central Nervous System Reactions: tinnitus and hearing loss, paresthesias, vertigo, dizziness, headache, blurred vision, xanthopsia.

Hematologic Reactions: aplastic anemia, thrombocytopenia, agranulocytosis, hemolytic anemia, leukopenia, anemia, eosinophilia.

Dermatologic-Hypersensitivity Reactions: toxic epidermal necrolysis, Stevens-Johnson Syndrome, erythema multiforme, drug rash with eosinophilia and systemic symptoms, acute generalized exanthematous pustulosis, exfoliative dermatitis, bullous pemphigoid, purpura, photosensitivity, rash.

Cardiovascular Reactions: orthostatic hypotension, increase in cholesterol and triglyceride serum levels.

Other Reactions: glycosuria, muscle spasm, weakness, restlessness, urinary bladder spasm, thrombophlebitis, transient injection site pain following intramuscular injection, fever.

7 Drug Interactions (7 DRUG INTERACTIONS)
  • Aminoglycoside antibiotics: Increased potential ototoxicity of the antibiotics. Avoid combination (7.1)
  • Ethacrynic acid: Risk of ototoxicity. Avoid combination (7.1)
  • Salicylates: Risk of salicylate toxicity (7.1)
  • Cisplatin and nephrotoxic drugs: Risk of ototoxicity and nephrotoxicity (7.1)
  • Lithium: Risk of lithium toxicity (7.1)
  • Renin-angiotensin inhibitors: Increased risk of hypotension and renal failure. (7.1)
  • Adrenergic blocking drugs: Risk of potentiation (7.1)
  • Drugs undergoing renal tubular secretion: Risk of toxicity potentiation (7.1)
12.2 Pharmacodynamics

The onset of diuresis following intravenous administration is within 5 minutes and somewhat later after intramuscular administration. The peak effect occurs within the first half hour. The duration of diuretic effect is approximately 2 hours.

1 Indications and Usage (1 INDICATIONS AND USAGE)

Furosemide Injection is a loop diuretic indicated for:

  • The treatment of edema associated with heart failure, cirrhosis of the liver, and renal disease (1.1)
  • Acute pulmonary edema as adjunctive therapy (1.2)
Clinical Considerations

Disease-Associated Maternal and/or Embryo/Fetal Risk

Pregnant women with congestive heart failure are at increased risk for pre-term birth. Stroke volume and heart rate increase during pregnancy, increasing cardiac output, especially during the first trimester. Clinical classification of heart disease may worsen with pregnancy and lead to maternal death and/or stillbirth. Closely monitor pregnant patients for destabilization of their heart failure.

Pregnant women with symptomatic cirrhosis generally have poor outcomes including hepatic failure, variceal hemorrhage, pre-term delivery, fetal growth restriction and maternal death. Outcomes are worse with coexisting esophageal varices. Pregnant women with cirrhosis of the liver should be carefully monitored and managed accordingly.

12.1 Mechanism of Action

Furosemide inhibits primarily the reabsorption of sodium and chloride not only in the proximal and distal tubules but also in the loop of Henle. The high degree of efficacy is largely due to this unique site of action. The action on the distal tubule is independent of any inhibitory effect on carbonic anhydrase and aldosterone.

1.2 Acute Pulmonary Edema

Furosemide Injection is indicated as adjunctive therapy in acute pulmonary edema.

2.1 General Considerations

Inspect Furosemide Injection visually for particulate matter and discoloration before administration.

5 Warnings and Precautions (5 WARNINGS AND PRECAUTIONS)
  • Fluid, Electrolyte, and Metabolic Abnormalities: Monitor serum electrolytes, CO2, BUN, creatinine, glucose, and uric acid (5.1)
  • Worsening Renal Function: Monitor for dehydration and azotemia. (5.2)
  • Ototoxicity: Avoid rapid injection and higher than recommended doses. (5.3, 7.1)
  • Acute Urinary Retention: Monitor patients with symptoms of urinary retention. (5.4)
2 Dosage and Administration (2 DOSAGE AND ADMINISTRATION)

Edema:

  • Initial dose is 20 mg to 40 mg once given intramuscularly or intravenously. The intravenous dose should be administered slowly over 1 minute to 2 minutes (2.2)
  • If needed, a second dose may be administered 2 hours after the first dose (2.2)

Acute Pulmonary Edema:

  • Initial dose is 40 mg injected slowly intravenously over 1 minute to 2 minutes (2.2)
  • If needed, a second dose is 80 mg injected intravenously slowly in 1 minute to 2 minutes (2.2)

Pediatric Dosage:

  • The initial dose in pediatric patients is 1 mg/kg body weight once given slowly intramuscularly or intravenously. If needed, dosage may be increased by 1 mg/kg not sooner than 2 hours after the previous dose, until the desired diuretic effect has been obtained. Doses greater than 6 mg/kg body weight are not recommended (2.3)
5.4 Acute Urinary Retention

In patients with severe symptoms of urinary retention (because of bladder emptying disorders, prostatic hyperplasia, urethral narrowing), the administration of furosemide can cause acute urinary retention related to increased production and retention of urine. Thus, these patients require careful monitoring, especially during the initial stages of treatment.

3 Dosage Forms and Strengths (3 DOSAGE FORMS AND STRENGTHS)

Injection: Furosemide Injection, USP is supplied as a sterile, colorless solution as

  • 20 mg/2 mL (10 mg/mL) in a single-dose vial
  • 40 mg/4 mL (10 mg/mL) in a single-dose vial
  • 100 mg/10 mL (10 mg/mL) in a single-dose vial
5.2 Worsening Renal Function

Furosemide can cause dehydration and azotemia. If increasing azotemia and oliguria occur during treatment of severe progressive renal disease, furosemide should be discontinued [see Clinical Pharmacology (12.3)].

Furosemide use in the first year of life, especially in patients born pre-term, may precipitate nephrocalcinosis/nephrolithiasis. Therefore renal function must be monitored and renal ultrasonography performed in this age group [see Use in Specific Populations (8.4)].

16 How Supplied/storage and Handling (16 HOW SUPPLIED/STORAGE AND HANDLING)

Store at room temperature 20°C to 25°C (68°F to 77°F); excursions permitted between 15°C and 30°C (59°F and 86°F). [See USP Controlled Room Temperature.] Protect from light.

Furosemide Injection, USP is a sterile, colorless solution for injection, available as a single-dose vial that contains 10 mg/mL of furosemide, and is supplied as follows:

Product

Code

Unit of Sale

Strength

Volume

Each

PRX28002

NDC 63323-280-16

Unit of 25

20 mg per 2 mL

(10 mg per mL)

2 mL fill in a 2 mL

amber vial.

NDC 63323-280-41

Single Dose Vial

PRX28004

NDC 63323-280-26

Unit of 25

40 mg per 4 mL

(10 mg per mL)

4 mL fill in a 5 mL

amber vial.

NDC 63323-280-43

Single Dose Vial

PRX28010

NDC 63323-280-36

Unit of 25

100 mg per 10 mL

(10 mg per mL)

10 mL fill in a 10 mL

amber vial.

NDC 63323-280-45

Single Dose Vial

Preservative Free.

Discard unused portion. Do not use if solution is discolored or contains particulate.

7.1 Effects of Furosemide On Other Drugs (7.1 Effects of Furosemide on Other Drugs)

Drug/Substance Class or Name

Drug Interaction Effect

Recommendations

Aminoglycoside antibiotics

Furosemide may increase the ototoxic potential of aminoglycoside antibiotics, especially in the presence of impaired renal function [see Warnings and Precautions (5.3)].

Avoid combination except in life-threatening situations.

Ethacrynic acid

Possibility of ototoxicity [see Warnings and Precautions (5.3)].

Avoid concomitant use with ethacrynic acid.

Salicylates

May experience salicylate toxicity at lower doses because of competitive renal excretory sites.

Monitor for symptoms of salicylate toxicity.

Cisplatin









Cisplatin and nephrotoxic drugs

There is a risk of ototoxic effects if cisplatin and furosemide are given concomitantly [see Warnings and Precautions (5.3)].







Nephrotoxicity











Administer furosemide at lower doses and with positive fluid balance when used to achieve forced diuresis during cisplatin treatment. Monitor renal function.

Paralytic agents

Furosemide has a tendency to antagonize the skeletal muscle relaxing effect of tubocurarine and may potentiate the action of succinylcholine.

Monitor for skeletal muscle effect.

Lithium

Furosemide reduces lithium's renal clearance and add a high-risk of lithium toxicity.

Avoid concomitant use with lithium.

Angiotensin converting enzyme inhibitors or angiotensin II receptor blockers

May lead to severe hypotension and deterioration in renal function, including renal failure.

Monitor for changes in blood pressure and renal function and interrupt or reduce the dosage of furosemide, angiotensin converting enzyme inhibitors, or angiotensin receptor blockers if needed.

Antihypertensive drugs

Furosemide may add to or potentiate the therapeutic effect of other antihypertensive drugs.

Monitor for changes in blood pressure and adjust the dose of other antihypertensive drugs if needed.

Adrenergic blocking drugs or peripheral adrenergic

blocking drugs

Potentiation occurs.

Monitor for changes in blood pressure and adjust the dose of adrenergic blocking drugs if needed.

Norepinephrine

Furosemide may decrease arterial responsiveness (vasoconstricting effect) to norepinephrine.

Monitor blood pressure (or mean arterial pressure).

Chloral hydrate

In isolated cases, intravenous administration of furosemide within 24 hours of taking chloral hydrate may lead to flushing, sweating attacks, restlessness, nausea, increase in blood pressure, and tachycardia.

Concomitant use with chloral hydrate is not recommended.

Methotrexate and other drugs undergoing renal tubular secretion

Furosemide may decrease renal elimination of other drugs that undergo tubular secretion.

High-dose treatment of furosemide may result in elevated serum levels of these drugs and may their toxicity.

Monitor serum levels of drugs undergoing renal tubular secretion and adjust the dose if needed.

Cephalosporin

Furosemide can increase the risk of cephalosporin-induced nephrotoxicity even in the setting of minor or transient renal impairment.

Monitor for changes in renal function.

Cyclosporine

Increased risk of gouty arthritis secondary to furosemide-induced hyperuricemia and cyclosporine impairment of renal urate excretion.

Monitor serum urate levels.

Thyroid hormones

High-doses (> 80 mg) of furosemide may inhibit the binding of thyroid hormones to carrier proteins and result in transient increase in free thyroid hormones, followed by an overall decrease in total thyroid hormone levels.

Monitor the total thyroid hormone levels.

7.2 Effects of Other Drugs On Furosemide (7.2 Effects of Other Drugs on Furosemide)

Drug/Substance Class or Name

Drug Interaction Effect

Recommendations

Phenytoin

Interferes directly with renal action of furosemide.

Monitor diuretic effects of furosemide and adjust the dose of furosemide if needed.

Methotrexate and other drugs undergoing renal tubular secretion

May reduce the effect of furosemide. High-dose treatment of methotrexate and these other drugs may result in elevated serum

Monitor for enhanced toxicity of furosemide.

levels of furosemide and may potentiate the toxicity of furosemide.

Indomethacin

Coadministration of indomethacin may reduce the natriuretic and antihypertensive effects of furosemide in some patients by inhibiting prostaglandin synthesis. Indomethacin may also affect plasma renin levels, aldosterone excretion, and renin profile evaluation.

Patients receiving both indomethacin and furosemide should be observed closely to determine if the desired diuretic and/or antihypertensive effect of furosemide is achieved.

2.3 Recommended Dosage for Pediatric Patients

The usual initial dose of Furosemide Injection (intravenously or intramuscularly) in pediatric patients is 1 mg/kg body weight administered slowly (over 1 minute to 2 minutes). If the diuretic response to the initial dose is not satisfactory, dosage may be increased by 1 mg/kg not sooner than 2 hours after the previous dose, until the desired diuretic effect has been obtained. Doses greater than 6 mg/kg body weight are not recommended.

The maximum dose for premature infants should not exceed 1 mg/kg/day [see Use in Specific Populations (8.4)].

5.1 Fluid, Electrolyte, and Metabolic Abnormalities

Furosemide may cause fluid, electrolyte, and metabolic abnormalities such as hypovolemia, hypokalemia, azotemia, hyponatremia, hypochloremic alkalosis, hypomagnesemia, hypocalcemia, hyperglycemia, or hyperuricemia, particularly in patients receiving higher doses, patients with inadequate oral electrolyte intake, and in elderly patients. Excessive diuresis may cause dehydration and blood volume reduction with circulatory collapse and possibly vascular thrombosis and embolism, particularly in elderly patients. Serum electrolytes, CO2, BUN, creatinine, glucose, and uric acid should be monitored frequently during furosemide therapy.

In patients with hepatic cirrhosis and ascites, sudden alterations of fluid and electrolyte balance may precipitate hepatic encephalopathy and coma. Treatment in such patients is best initiated in the hospital with small doses and careful monitoring of the patient's clinical status and electrolyte balance.


Advanced Ingredient Data


Raw Label Data

All Sections (JSON)