These Highlights Do Not Include All The Information Needed To Use Cellcept®

these highlights do not include all the information needed to use cellcept®
SPL v50
SPL
SPL Set ID 37241e87-4af4-4dc3-a1aa-ea6f20d8dc40
Routes
oral intravenous
Published
Effective Date 2025-05-19
Document Type 34391-3 HUMAN PRESCRIPTION DRUG LABEL

Drug Facts

Composition & Product

Active Ingredients
mycophenolic acid (500 mg)
Inactive Ingredients
microcrystalline cellulose povidone k90 croscarmellose sodium magnesium stearate hypromellose, unspecified hydroxypropyl cellulose, unspecified titanium dioxide polyethylene glycol 400 ferrosoferric oxide fd&c blue no. 2 ferric oxide red talc ammonia shellac starch, corn gelatin, unspecified ferric oxide yellow silicon dioxide sodium lauryl sulfate potassium hydroxide polysorbate 80 anhydrous citric acid alcohol water hydrochloric acid sodium hydroxide aspartame methylparaben trisodium citrate dihydrate sorbitol soybean lecithin xanthan gum

Identifiers & Packaging

Pill Appearance
Imprint: CellCept;250;Roche Shape: oval Shape: capsule Color: purple Color: blue Color: brown Size: 18 mm Size: 19 mm Score: 1
Marketing Status
nda active Since 1998-10-01

Indications and Usage

CELLCEPT [mycophenolate mofetil (MMF)] is indicated for the prophylaxis of organ rejection, in adult and pediatric recipients 3 months of age and older of allogeneic kidney [see Clinical Studies (14.1) ], heart [see Clinical Studies (14.2) ] or liver transplants [see Clinical Studies (14.3) ] , in combination with other immunosuppressants.

Dosage and Administration

ADULTS DOSAGE Kidney Transplant 1 g twice daily, orally or intravenously (IV) over no less than 2 h ( 2.2 ) Heart Transplant 1.5 g twice daily orally or IV, over no less than 2 h ( 2.3 ) Liver Transplant 1.5 g twice daily orally or 1g twice daily IV over no less than 2 h ( 2.4 ) PEDIATRICS Kidney Transplant 600 mg/m 2 orally twice daily, up to maximum of 2 g daily ( 2.2 ) Heart Transplant 600 mg/m 2 orally twice daily (starting dose) up to a maximum of 900 mg/m 2 twice daily (3 g or 15 mL of oral suspension) ( 2.3 ) Liver Transplant 600 mg/m 2 orally twice daily (starting dose) up to a maximum of 900 mg/m 2 twice daily (3 g or 15 mL of oral suspension) ( 2.4 ) CELLCEPT Intravenous is an alternative when patients cannot tolerate oral medication. Administer within 24 hours following transplantation, until patients can tolerate oral medication, up to 14 days. ( 2.1 ) Reduce or interrupt dosing in the event of neutropenia. ( 2.5 ) See full prescribing information (FPI) for: adjustments for renal impairment and neutropenia ( 2.5 ), preparation of oral suspension and IV solution. ( 2.6 )

Contraindications

CELLCEPT is contraindicated in patients with a history of hypersensitivity, including anaphylaxis, to mycophenolate mofetil (MMF), mycophenolic acid (MPA) or any component of the drug product [see Warnings and Precautions (5.8) ] . CELLCEPT Intravenous is contraindicated in patients who are allergic to Polysorbate 80 (TWEEN).

Warnings and Precautions

Blood Dyscrasias (Neutropenia, Red Blood Cell Aplasia): Monitor with blood tests; consider treatment interruption or dose reduction. ( 5.4 ) Gastrointestinal Complications: Monitor for complications such as bleeding, ulceration and perforations, particularly in patients with underlying gastrointestinal disorders. ( 5.5 ) Hypoxanthine-Guanine Phosphoribosyl-Transferase Deficiency: Avoid use of CELLCEPT. ( 5.6 ) Acute Inflammatory Syndrome Associated with Mycophenolate Products: Monitor for this paradoxical inflammatory reaction. ( 5.7 ) Hypersensitivity Reactions: Discontinue CELLCEPT; treat and monitor until signs and symptoms resolve. ( 5.8 ) Immunizations: Avoid live attenuated vaccines. ( 5.9 ) Local Reactions with Rapid Intravenous Administration: CELLCEPT Intravenous must not be administered by rapid or bolus intravenous injection. ( 5.10 ) Phenylketonurics: Oral suspension contains aspartame. ( 5.11 ) Blood Donation: Avoid during therapy and for 6 weeks thereafter. ( 5.12 ) Semen Donation: Avoid during therapy and for 90 days thereafter. ( 5.13 ) Potential Impairment on Driving and Use of Machinery: CELLCEPT may affect ability to drive or operate machinery. ( 5.15 )

Adverse Reactions

The following adverse reactions are discussed in greater detail in other sections of the label: Embryofetal Toxicity [see Warnings and Precautions (5.1) ] Lymphomas and Other Malignancies [see Warnings and Precautions 5.2) ] Serious Infections [see Warnings and Precautions (5.3) ] Blood Dyscrasias: Neutropenia, Pure Red Cell Aplasia [see Warnings and Precautions (5.4) ] Gastrointestinal Complications [see Warnings and Precautions (5.5) ] Acute Inflammatory Syndrome Associated with Mycophenolate Products [see Warnings and Precautions (5.7) ] Hypersensitivity Reactions [see Warnings and Precautions (5.8) ]

Drug Interactions

See FPI for drugs that may interfere with systemic exposure and reduce CELLCEPT efficacy: antacids with magnesium or aluminum hydroxide, proton pump inhibitors, drugs that interfere with enterohepatic recirculation, telmisartan, calcium-free phosphate binders. ( 7.1 ) CELLCEPT may reduce effectiveness of oral contraceptives. Use of additional barrier contraceptive methods is recommended. ( 7.2 ) See FPI for other important drug interactions. ( 7 )

Description

Use during pregnancy is associated with increased risks of first trimester pregnancy loss and congenital malformations. Avoid if safer treatment options are available. Females of reproductive potential must be counseled regarding pregnancy prevention and planning [see Warnings and Precautions (5.1) , Use in Special Populations (8.1 , 8.3) ] . Increased risk of development of lymphoma and other malignancies, particularly of the skin [see Warnings and Precautions (5.2) ] . Increased susceptibility to bacterial, viral, fungal and protozoal infections, including opportunistic infections and viral reactivation of hepatitis B and C, which may lead to hospitalizations and fatal outcomes [see Warnings and Precautions (5.3) ] .


Medication Information

Warnings and Precautions

Blood Dyscrasias (Neutropenia, Red Blood Cell Aplasia): Monitor with blood tests; consider treatment interruption or dose reduction. ( 5.4 ) Gastrointestinal Complications: Monitor for complications such as bleeding, ulceration and perforations, particularly in patients with underlying gastrointestinal disorders. ( 5.5 ) Hypoxanthine-Guanine Phosphoribosyl-Transferase Deficiency: Avoid use of CELLCEPT. ( 5.6 ) Acute Inflammatory Syndrome Associated with Mycophenolate Products: Monitor for this paradoxical inflammatory reaction. ( 5.7 ) Hypersensitivity Reactions: Discontinue CELLCEPT; treat and monitor until signs and symptoms resolve. ( 5.8 ) Immunizations: Avoid live attenuated vaccines. ( 5.9 ) Local Reactions with Rapid Intravenous Administration: CELLCEPT Intravenous must not be administered by rapid or bolus intravenous injection. ( 5.10 ) Phenylketonurics: Oral suspension contains aspartame. ( 5.11 ) Blood Donation: Avoid during therapy and for 6 weeks thereafter. ( 5.12 ) Semen Donation: Avoid during therapy and for 90 days thereafter. ( 5.13 ) Potential Impairment on Driving and Use of Machinery: CELLCEPT may affect ability to drive or operate machinery. ( 5.15 )

Indications and Usage

CELLCEPT [mycophenolate mofetil (MMF)] is indicated for the prophylaxis of organ rejection, in adult and pediatric recipients 3 months of age and older of allogeneic kidney [see Clinical Studies (14.1) ], heart [see Clinical Studies (14.2) ] or liver transplants [see Clinical Studies (14.3) ] , in combination with other immunosuppressants.

Dosage and Administration

ADULTS DOSAGE Kidney Transplant 1 g twice daily, orally or intravenously (IV) over no less than 2 h ( 2.2 ) Heart Transplant 1.5 g twice daily orally or IV, over no less than 2 h ( 2.3 ) Liver Transplant 1.5 g twice daily orally or 1g twice daily IV over no less than 2 h ( 2.4 ) PEDIATRICS Kidney Transplant 600 mg/m 2 orally twice daily, up to maximum of 2 g daily ( 2.2 ) Heart Transplant 600 mg/m 2 orally twice daily (starting dose) up to a maximum of 900 mg/m 2 twice daily (3 g or 15 mL of oral suspension) ( 2.3 ) Liver Transplant 600 mg/m 2 orally twice daily (starting dose) up to a maximum of 900 mg/m 2 twice daily (3 g or 15 mL of oral suspension) ( 2.4 ) CELLCEPT Intravenous is an alternative when patients cannot tolerate oral medication. Administer within 24 hours following transplantation, until patients can tolerate oral medication, up to 14 days. ( 2.1 ) Reduce or interrupt dosing in the event of neutropenia. ( 2.5 ) See full prescribing information (FPI) for: adjustments for renal impairment and neutropenia ( 2.5 ), preparation of oral suspension and IV solution. ( 2.6 )

Contraindications

CELLCEPT is contraindicated in patients with a history of hypersensitivity, including anaphylaxis, to mycophenolate mofetil (MMF), mycophenolic acid (MPA) or any component of the drug product [see Warnings and Precautions (5.8) ] . CELLCEPT Intravenous is contraindicated in patients who are allergic to Polysorbate 80 (TWEEN).

Adverse Reactions

The following adverse reactions are discussed in greater detail in other sections of the label: Embryofetal Toxicity [see Warnings and Precautions (5.1) ] Lymphomas and Other Malignancies [see Warnings and Precautions 5.2) ] Serious Infections [see Warnings and Precautions (5.3) ] Blood Dyscrasias: Neutropenia, Pure Red Cell Aplasia [see Warnings and Precautions (5.4) ] Gastrointestinal Complications [see Warnings and Precautions (5.5) ] Acute Inflammatory Syndrome Associated with Mycophenolate Products [see Warnings and Precautions (5.7) ] Hypersensitivity Reactions [see Warnings and Precautions (5.8) ]

Drug Interactions

See FPI for drugs that may interfere with systemic exposure and reduce CELLCEPT efficacy: antacids with magnesium or aluminum hydroxide, proton pump inhibitors, drugs that interfere with enterohepatic recirculation, telmisartan, calcium-free phosphate binders. ( 7.1 ) CELLCEPT may reduce effectiveness of oral contraceptives. Use of additional barrier contraceptive methods is recommended. ( 7.2 ) See FPI for other important drug interactions. ( 7 )

Description

Use during pregnancy is associated with increased risks of first trimester pregnancy loss and congenital malformations. Avoid if safer treatment options are available. Females of reproductive potential must be counseled regarding pregnancy prevention and planning [see Warnings and Precautions (5.1) , Use in Special Populations (8.1 , 8.3) ] . Increased risk of development of lymphoma and other malignancies, particularly of the skin [see Warnings and Precautions (5.2) ] . Increased susceptibility to bacterial, viral, fungal and protozoal infections, including opportunistic infections and viral reactivation of hepatitis B and C, which may lead to hospitalizations and fatal outcomes [see Warnings and Precautions (5.3) ] .

Section 42229-5

CELLCEPT Capsules, Tablets and Oral Suspension

CELLCEPT oral dosage forms (capsules, tablets or oral suspension) should not be used interchangeably with mycophenolic acid delayed-release tablets without supervision of a physician with experience in immunosuppressive therapy because the rates of absorption following the administration of CELLCEPT oral dosage forms and mycophenolic acid delayed-release tablets are not equivalent.

CELLCEPT tablets should not be crushed and CELLCEPT capsules should not be opened or crushed. Patients should avoid inhalation or contact of the skin or mucous membranes with the powder contained in CELLCEPT capsules and oral suspension. If such contact occurs, they must wash the area of contact thoroughly with soap and water. In case of ocular contact, rinse eyes with plain water.

The initial oral dose of CELLCEPT should be given as soon as possible following kidney, heart or liver transplant. It is recommended that CELLCEPT be administered on an empty stomach. In stable transplant patients, however, CELLCEPT may be administered with food if necessary [see Clinical Pharmacology (12.3)]. Once reconstituted, CELLCEPT Oral Suspension must not be mixed with any liquids prior to dose administration. If needed, CELLCEPT Oral Suspension can be administered via a nasogastric tube with a minimum size of 8 French (minimum 1.7 mm interior diameter).

Patients should be instructed to take a missed dose as soon as they remember, except if it is closer than 2 hours to the next scheduled dose; in this case, they should continue to take CELLCEPT at the usual times.

Section 42231-1
This Medication Guide has been approved by the U.S. Food and Drug Administration. Revised: May 2025
MEDICATION GUIDE
CELLCEPT® [SEL-sept]

(mycophenolate mofetil capsules)

(mycophenolate mofetil tablets)
CELLCEPT® [SEL-sept]

(mycophenolate mofetil for oral suspension)
CELLCEPT® [SEL-sept]

(mycophenolate mofetil for injection)
Read the Medication Guide that comes with CELLCEPT before you start taking it and each time you refill your prescription. There may be new information. This Medication Guide does not take the place of talking with your doctor about your medical condition or treatment.
What is the most important information I should know about CELLCEPT?

CELLCEPT can cause serious side effects, including:

Increased risk of loss of a pregnancy (miscarriage) and higher risk of birth defects.
Females who take CELLCEPT during pregnancy have a higher risk of miscarriage during the first 3 months (first trimester), and a higher risk that their baby will be born with birth defects.
  • If you are a female who can become pregnant, your doctor must talk with you about acceptable birth control methods (contraceptive counseling) to use while taking CELLCEPT. You should have 1 pregnancy test immediately before starting CELLCEPT and another pregnancy test 8 to 10 days later. Pregnancy tests should be repeated during routine follow-up visits with your doctor. Talk to your doctor about the results of all of your pregnancy tests.

    You must use acceptable birth control during your entire CELLCEPT treatment and for 6 weeks after stopping CELLCEPT, unless at any time you choose to avoid sexual intercourse (abstinence) with a man completely. CELLCEPT decreases blood levels of the hormones in birth control pills that you take by mouth. Birth control pills may not work as well while you take CELLCEPT, and you could become pregnant. If you take birth control pills while using CELLCEPT you must also use another form of birth control. Talk to your doctor about other birth control methods that you can use while taking CELLCEPT.
  • If you are a sexually active male whose female partner can become pregnant while you are taking CELLCEPT, use effective contraception during treatment and for at least 90 days after stopping CELLCEPT.
  • If you plan to become pregnant, talk with your doctor. Your doctor will decide if other medicines to prevent rejection may be right for you.
  • If you become pregnant while taking CELLCEPT, do not stop taking CELLCEPT. Call your doctor right away. You and your doctor may decide that other medicines to prevent rejection may be right for you. You and your doctor should report your pregnancy to the Mycophenolate Pregnancy Registry either:
    • By phone at 1-800-617-8191 or
    • By visiting the REMS website at: www.mycophenolateREMS.com
    The purpose of this registry is to gather information about the health of you and your baby.
Increased risk of getting certain cancers. People who take CELLCEPT have a higher risk of getting lymphoma, and other cancers, especially skin cancer. Tell your doctor if you have:
  • unexplained fever, prolonged tiredness, weight loss or lymph node swelling
  • a brown or black skin lesion with uneven borders, or one part of the lesion does not look like the other
  • a change in the size and color of a mole
  • a new skin lesion or bump
  • any other changes to your health
Increased risk of getting serious infections. CELLCEPT weakens the body's immune system and affects your ability to fight infections. Serious infections can happen with CELLCEPT and can lead to hospitalizations and death. These serious infections can include:
  • Viral infections. Certain viruses can live in your body and cause active infections when your immune system is weak. Viral infections that can happen with CELLCEPT include:
    • Shingles, other herpes infections, and cytomegalovirus (CMV). CMV can cause serious tissue and blood infections.
    • BK virus. BK virus can affect how your kidney works and cause your transplanted kidney to fail.
    • Hepatitis B and C viruses. Hepatitis viruses can affect how your liver works. Talk to your doctor about how hepatitis viruses may affect you.
    • COVID-19
  • A brain infection called Progressive Multifocal Leukoencephalopathy (PML). In some patients, CELLCEPT may cause an infection of the brain that may cause death. You are at risk for this brain infection because you have a weakened immune system. Call your doctor right away if you have any of the following symptoms:
  • weakness on one side of the body
  • you do not care about things you usually care about (apathy)
  • you are confused or have problems thinking
  • you cannot control your muscles
Call your doctor right away if you have any of the following signs and symptoms of infection:
  • temperature of 100.5°F or greater
  • cold symptoms, such as a runny nose or sore throat
  • flu symptoms, such as an upset stomach, stomach pain, vomiting or diarrhea
  • earache or headache
  • pain during urination
  • white patches in the mouth or throat
  • unexpected bruising or bleeding
  • cuts, scrapes or incisions that are red, warm and oozing pus
See "What are the possible side effects of CELLCEPT?" for information about other serious side effects.
What is CELLCEPT?
  • CELLCEPT is a prescription medicine to prevent rejection (antirejection medicine) in people who have received a kidney, heart or liver transplant. Rejection is when the body's immune system perceives the new organ as a "foreign" threat and attacks it.
  • CELLCEPT is used with other medicines containing cyclosporine and corticosteroids.
Who should not take CELLCEPT?

Do not take CELLCEPT if you have a history of allergic reactions to mycophenolate mofetil or any of the ingredients in CELLCEPT.
See the end of this Medication Guide for a complete list of ingredients in CELLCEPT.
What should I tell my doctor before taking CELLCEPT?

Tell your doctor about all of your medical conditions, including if you:
  • have any digestive problems, such as ulcers.
  • have Phenylketonuria (PKU). CELLCEPT oral suspension contains aspartame (a source of phenylalanine).
  • have Lesch-Nyhan syndrome, Kelley-Seegmiller syndrome, or another rare inherited deficiency hypoxanthine-guanine phosphoribosyl-transferase (HGPRT). You should not take CELLCEPT if you have one of these disorders.
  • plan to receive any vaccines. People taking CELLCEPT should not receive live vaccines. Some vaccines may not work as well during treatment with CELLCEPT.
  • are pregnant or plan to become pregnant. See "What is the most important information I should know about CELLCEPT?"
  • are breastfeeding or plan to breastfeed. It is not known if CELLCEPT passes into breast milk. You and your doctor will decide if you will take CELLCEPT or breastfeed.
Tell your healthcare provider about all the medicines you take, including prescription and over-the-counter medicines, vitamins and herbal supplements. Some medicines may affect the way CELLCEPT works, and CELLCEPT may affect how some medicines work.

Especially tell your doctor if you take:
  • birth control pills (oral contraceptives). See "What is the most important information I should know about CELLCEPT?"
  • sevelamer (Renagel®, Renvela™). These products should be taken at least 2 hours after taking CELLCEPT.
  • acyclovir (Zovirax®), valacyclovir (Valtrex®), ganciclovir (CYTOVENE®-IV, Vitrasert®), valganciclovir (VALCYTE®).
  • rifampin (Rifater®, Rifamate®, Rimactane®, Rifadin®).
  • antacids that contain magnesium and aluminum (CELLCEPT and the antacid should not be taken at the same time).
  • proton pump inhibitors (PPIs) (Prevacid®, Protonix®).
  • sulfamethoxazole/trimethoprim (BACTRIM™, BACTRIM DS™).
  • norfloxacin (Noroxin®) and metronidazole (Flagyl®, Flagyl® ER, Flagyl® IV, Metro IV, Helidac®, Pylera™).
  • ciprofloxacin (Cipro®, Cipro® XR, Ciloxan®, Proquin® XR) and amoxicillin plus clavulanic acid (Augmentin®, Augmentin XR™).
  • azathioprine (Azasan®, Imuran®).
  • cholestyramine (Questran Light®, Questran®, Locholest Light, Locholest, Prevalite®).
Know the medicines you take. Keep a list of them to show to your doctor or nurse and pharmacist when you get a new medicine. Do not take any new medicine without talking with your doctor.
How should I take CELLCEPT?
  • Take CELLCEPT exactly as prescribed.
  • Do not stop taking CELLCEPT or change the dose unless your doctor tells you to.
  • If you miss a dose of CELLCEPT, or you are not sure when you took your last dose, take your prescribed dose of CELLCEPT as soon as you remember. If your next dose is less than 2 hours away, skip the missed dose and take your next dose at your normal scheduled time. Do not take 2 doses at the same time. Call your doctor if you are not sure what to do.
  • Take CELLCEPT capsules, tablets and oral suspension on an empty stomach, unless your doctor tells you otherwise. Do not crush CELLCEPT tablets.
  • Do not open or crush CELLCEPT capsules.
  • If you are not able to swallow CELLCEPT tablets or capsules, your doctor may prescribe CELLCEPT Oral Suspension. This is a liquid form of CELLCEPT. Your pharmacist will mix the medicine before you pick it up from a pharmacy.
  • Do not mix CELLCEPT Oral Suspension with any other medicine. CELLCEPT Oral Suspension should not be mixed with any type of liquids before taking the dose. See the Instructions for Use at the end of this Medication Guide for detailed instructions about how to take CELLCEPT Oral Suspension the right way.
  • Do not breathe in (inhale) or let CELLCEPT powder or oral suspension come in contact with your skin or mucous membranes.
    • If you accidentally get the powder or oral suspension on the skin, wash the area well with soap and water.
    • If you accidentally get the powder or oral suspension in your eyes or other mucous membranes, flush with plain water.
  • If you take too much CELLCEPT, call your doctor or the poison control center right away.
What should I avoid while taking CELLCEPT?
  • Avoid becoming pregnant. (See "What is the most important information I should know about CELLCEPT?").
  • Limit the amount of time you spend in sunlight. Avoid using tanning beds or sunlamps. People who take CELLCEPT have a higher risk of getting skin cancer (See "What is the most important information I should know about CELLCEPT?"). Wear protective clothing when you are in the sun and use a broad-spectrum sunscreen with a high protection factor. This is especially important if your skin is very fair or if you have a family history of skin cancer.
  • You should not donate blood while taking CELLCEPT and for at least 6 weeks after stopping CELLCEPT.
  • You should not donate sperm while taking CELLCEPT and for 90 days after stopping CELLCEPT.
  • CELLCEPT may influence your ability to drive and use machines (See " What are the possible side effects of CELLCEPT? ". If you experience drowsiness, confusion, dizziness, tremor, or low blood pressure during treatment with CELLCEPT, you should be cautious about driving or using heavy machines.
What are the possible side effects of CELLCEPT?

CELLCEPT may cause serious side effects, including:
  • See "What is the most important information I should know about CELLCEPT?"
  • Low blood cell counts. People taking high doses of CELLCEPT each day may have a decrease in blood counts, including:
    • white blood cells, especially neutrophils. Neutrophils fight against bacterial infections. You have a higher chance of getting an infection when your white blood cell count is low. This is most common from 1 month to 6 months after your transplant.
    • red blood cells. Red blood cells carry oxygen to your body tissues. You have a higher chance of getting severe anemia when your red blood cell count is low.
    • platelets. Platelets help with blood clotting.
    Your doctor will do blood tests before you start taking CELLCEPT and during treatment with CELLCEPT to check your blood cell counts. Tell your doctor right away if you have any signs of infection (See "What is the most important information I should know about CELLCEPT?"), including any unexpected bruising or bleeding. Also, tell your doctor if you have unusual tiredness, lack of energy, dizziness or fainting.
  • Stomach problems. Stomach problems including intestinal bleeding, a tear in your intestinal wall (perforation) or stomach ulcers can happen in people who take CELLCEPT. Bleeding can be severe and you may have to be hospitalized for treatment. Call your doctor right away if you have sudden or severe stomach-area pain or stomach-area pain that does not go away, or if you have diarrhea.
  • Inflammatory reactions. Some people taking CELLCEPT may have an inflammatory reaction with fever, joint stiffness, joint pain, and muscle pain. Some of these reactions may require hospitalization. This reaction could happen within weeks to months after your treatment with CELLCEPT starts or if your dose is increased. Call your doctor right away if you experience these symptoms.
  • Allergic (hypersensitivity) reactions. Allergic reactions, including a severe allergic reaction called anaphylaxis, can happen after taking CELLCEPT. Stop taking CELLCEPT and get emergency medical help right away if you have any of the following symptoms of an allergic reaction:
  • swelling of the face, lips, tongue, or throat
  • rash, hives, or itching
  • fainting, dizziness, feeling lightheaded
  • trouble breathing or swallowing
  • fast heartbeat
  • chest pain
The most common side effects of CELLCEPT include:
  • diarrhea
  • blood problems including low white and red blood cell counts
  • infections
  • blood pressure problems
  • fast heartbeat
  • swelling of the lower legs, ankles and feet
  • changes in laboratory blood levels, including high levels of blood sugar (hyperglycemia)
  • stomach problems including diarrhea, constipation, nausea and vomiting
  • rash
  • nervous system problems such as headache, dizziness and tremor
Side effects that can happen more often in children than in adults taking CELLCEPT include:
  • stomach area pain
  • fever
  • infection
  • pain
  • blood infection (sepsis)
  • diarrhea
  • vomiting
  • sore throat
  • colds (respiratory tract infections)
  • high blood pressure
  • low white blood cell count
  • low red blood cell count
These are not all of the possible side effects of CELLCEPT. Tell your doctor about any side effect that bothers you or that does not go away.

Call your doctor for medical advice about side effects. You may report side effects to FDA at 1-800-FDA-1088.

You may also report side effects to Genentech at 1-888-835-2555.
How should I store CELLCEPT?
  • Store CELLCEPT capsules and tablets at room temperature between 59°F to 86°F (15°C to 30°C).
  • Keep CELLCEPT tablets in the light resistant container that it comes in.
  • Store CELLCEPT Oral Suspension at room temperature between 59°F to 86°F (15°C to 30°C), for up to 60 days. You can also store CELLCEPT Oral Suspension in the refrigerator between 36°F to 46°F (2°C to 8°C). Do not freeze.
Keep CELLCEPT and all medicines out of the reach of children.
General information about the safe and effective use of CELLCEPT.

Medicines are sometimes prescribed for purposes other than those listed in a Medication Guide. Do not use CELLCEPT for a condition for which it was not prescribed. Do not give CELLCEPT to other people, even if they have the same symptoms that you have. It may harm them.

This Medication Guide summarizes the most important information about CELLCEPT. If you would like more information, talk with your doctor. You can ask your doctor or pharmacist about CELLCEPT that is written for health professionals.
What are the ingredients in CELLCEPT?

Active ingredient:
mycophenolate mofetil

Inactive ingredients:

CELLCEPT 250 mg capsules:
croscarmellose sodium, magnesium stearate, povidone (K-90) and pregelatinized starch. The capsule shells contain black iron oxide, FD&C blue #2, gelatin, red iron oxide, silicon dioxide, sodium lauryl sulfate, titanium dioxide, and yellow iron oxide.

CELLCEPT 500 mg tablets: croscarmellose sodium, FD&C blue #2 aluminum lake, hydroxypropyl cellulose, hydroxypropyl methylcellulose, magnesium stearate, microcrystalline cellulose, polyethylene glycol 400, povidone (K-90), red iron oxide, and titanium dioxide.

CELLCEPT Oral Suspension: aspartame, citric acid anhydrous, colloidal silicon dioxide, methylparaben, mixed fruit flavor, sodium citrate dihydrate, sorbitol, soybean lecithin, and xanthan gum.

CELLCEPT Intravenous: polysorbate 80, and citric acid. Sodium hydroxide and hydrochloric acid may have been used in the manufacture of CELLCEPT Intravenous to adjust the pH.

Distributed by:

Genentech USA, Inc.

A Member of the Roche Group

1 DNA Way

South San Francisco, CA 94080-4990

CELLCEPT and VALCYTE are registered trademarks of Hoffmann-La Roche Inc.

© 2025 Genentech, Inc. All rights reserved.

For more information, call 1-888-835-2555 or visit www.gene.com/gene/products/information/CELLCEPT.
Section 43683-2
Warnings and Precautions (5.8) 05/2025
10 Overdosage

Possible signs and symptoms of acute overdose include hematological abnormalities such as leukopenia and neutropenia, and gastrointestinal symptoms such as abdominal pain, diarrhea, nausea, vomiting, and dyspepsia.

The experience with overdose of CELLCEPT in humans is limited. The reported effects associated with overdose fall within the known safety profile of the drug. The highest dose administered to kidney transplant patients in clinical trials has been 4 g/day. In limited experience with heart and liver transplant patients in clinical trials, the highest doses used were 4 g/day or 5 g/day. At doses of 4 g/day or 5 g/day, there appears to be a higher rate, compared to the use of 3 g/day or less, of gastrointestinal intolerance (nausea, vomiting, and/or diarrhea), and occasional hematologic abnormalities, particularly neutropenia [see Warnings and Precautions (5.4)].

15 References

1. "OSHA Hazardous Drugs." OSHA. http://www.osha.gov/SLTC/hazardousdrugs/index.html

11 Description

CELLCEPT (mycophenolate mofetil) is an antimetabolite immunosuppressant. It is the 2-morpholinoethyl ester of mycophenolic acid (MPA), an immunosuppressive agent; inosine monophosphate dehydrogenase (IMPDH) inhibitor.

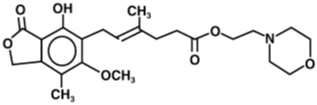
The chemical name for mycophenolate mofetil (MMF) is 2-morpholinoethyl (E)-6-(1,3-dihydro-4-hydroxy-6-methoxy-7-methyl-3-oxo-5-isobenzofuranyl)-4-methyl-4-hexenoate. It has an empirical formula of C23H31NO7, a molecular weight of 433.50, and the following structural formula:

MMF is a white to off-white crystalline powder. It is slightly soluble in water (43 µg/mL at pH 7.4); the solubility increases in acidic medium (4.27 mg/mL at pH 3.6). It is freely soluble in acetone, soluble in methanol, and sparingly soluble in ethanol. The apparent partition coefficient in 1-octanol/water (pH 7.4) buffer solution is 238. The pKa values for MMF are 5.6 for the morpholino group and 8.5 for the phenolic group.

MMF hydrochloride has a solubility of 65.8 mg/mL in 5% Dextrose Injection USP (D5W). The pH of the reconstituted solution is 2.4 to 4.1.

CELLCEPT is available for oral administration as capsules containing 250 mg of MMF, tablets containing 500 mg of MMF, and as a powder for oral suspension which, when reconstituted, contains 200 mg/mL of MMF.

Inactive ingredients in CELLCEPT 250 mg capsules include croscarmellose sodium, magnesium stearate, povidone (K-90) and pregelatinized starch. The capsule shells contain black iron oxide, FD&C blue #2, gelatin, red iron oxide, silicon dioxide, sodium lauryl sulfate, titanium dioxide, and yellow iron oxide.

Inactive ingredients in CELLCEPT 500 mg tablets include croscarmellose sodium, magnesium stearate, microcrystalline cellulose, povidone (K-90), and Opadry® lavender Y-5R-10272-A (hydroxypropyl methylcellulose, hydroxypropyl cellulose, titanium dioxide, polyethylene glycol 400, FD&C Blue No. 2 aluminum lake [indigo carmine aluminum lake], and red iron oxide).

Inactive ingredients in CELLCEPT Oral Suspension include aspartame, citric acid anhydrous, colloidal silicon dioxide, methylparaben, mixed fruit flavor, sodium citrate dihydrate, sorbitol, soybean lecithin, and xanthan gum.

CELLCEPT Intravenous is the hydrochloride salt of MMF. The chemical name for the hydrochloride salt of MMF is 2-morpholinoethyl (E)-6-(1,3-dihydro-4-hydroxy-6-methoxy-7-methyl-3-oxo-5-isobenzofuranyl)-4-methyl-4-hexenoate hydrochloride. It has an empirical formula of C23H31NO7 HCl and a molecular weight of 469.96.

CELLCEPT Intravenous is available as a sterile white to off-white lyophilized powder in single-dose vials containing MMF hydrochloride for administration by intravenous infusion only. Each vial contains 500 mg of mycophenolate mofetil equivalent to 542 mg of mycophenolate mofetil hydrochloride. The inactive ingredients are polysorbate 80, 25 mg, and citric acid, 5 mg. Sodium hydroxide or hydrochloric acid may have been used in the manufacture of CELLCEPT Intravenous to adjust the pH. Reconstitution and dilution with 5% Dextrose Injection USP yields a slightly yellow solution of MMF, 6 mg/mL [see Dosage and Administration (2.6)].

5.9 Immunizations

During treatment with CELLCEPT, the use of live attenuated vaccines should be avoided (e.g., intranasal influenza, measles, mumps, rubella, oral polio, BCG, yellow fever, varicella, and TY21a typhoid vaccines) and patients should be advised that vaccinations may be less effective. Advise patients to discuss with the physician before seeking any immunizations.

8.4 Pediatric Use

Safety and effectiveness have been established in pediatric patients 3 months and older for the prophylaxis of organ rejection of allogenic kidney, heart or liver transplants.

8.5 Geriatric Use

Clinical studies of CELLCEPT did not include sufficient numbers of subjects aged 65 and over to determine whether they respond differently from younger subjects. Other reported clinical experience has not identified differences in responses between geriatric and younger patients. In general, dose selection for a geriatric patient should take into consideration the presence of decreased hepatic, renal or cardiac function and of concomitant drug therapies [see Adverse Reactions (6.1), Drug Interactions (7)].

17.8 Immunizations

Inform patients that CELLCEPT can interfere with the usual response to immunizations. Before seeking vaccines on their own, advise patients to discuss first with their physician [see Warnings and Precautions (5.9)].

17.11semen Donation

Advise males of childbearing potential not to donate semen during therapy and for 90 days following discontinuation of CELLCEPT [see Warnings and Precautions (5.13)].

4 Contraindications

CELLCEPT is contraindicated in patients with a history of hypersensitivity, including anaphylaxis, to mycophenolate mofetil (MMF), mycophenolic acid (MPA) or any component of the drug product [see Warnings and Precautions (5.8)]. CELLCEPT Intravenous is contraindicated in patients who are allergic to Polysorbate 80 (TWEEN).

5.12 Blood Donation

Patients should not donate blood during therapy and for at least 6 weeks following discontinuation of CELLCEPT because their blood or blood products might be administered to a female of reproductive potential or a pregnant woman.

5.13 Semen Donation

Based on animal data, men should not donate semen during therapy and for 90 days following discontinuation of CELLCEPT [see Use In Specific Populations (8.3)].

6 Adverse Reactions

The following adverse reactions are discussed in greater detail in other sections of the label:

7 Drug Interactions
  • See FPI for drugs that may interfere with systemic exposure and reduce CELLCEPT efficacy: antacids with magnesium or aluminum hydroxide, proton pump inhibitors, drugs that interfere with enterohepatic recirculation, telmisartan, calcium-free phosphate binders. (7.1)
  • CELLCEPT may reduce effectiveness of oral contraceptives. Use of additional barrier contraceptive methods is recommended. (7.2)
  • See FPI for other important drug interactions. (7)
17.10 Blood Donation

Advise patients not to donate blood during therapy and for at least 6 weeks following discontinuation of CELLCEPT [see Warnings and Precautions (5.12)].

Instructions for Use

Read this Instructions for Use before you take or give CELLCEPT for the first time and each time you get a refill. There may be new information. This information does not take the place of talking to your healthcare provider about your medical condition or treatment.

Important:

  • Always use the oral dispenser provided with CELLCEPT Oral Suspension to make sure you measure the right amount of medicine. If your CELLCEPT Oral Suspension does not come with the oral dispenser, contact your pharmacist.
  • Call your pharmacist if your oral dispenser is lost or damaged.
  • Your pharmacist will write the expiration date on your CELLCEPT Oral Suspension bottle label. Do not use CELLCEPT after the expiration date.
  • Ask your doctor or pharmacist if you have any questions or are unsure about how to take or give the right amount of medicine.
  • The CELLCEPT Oral Suspension should not be mixed with any type of liquids before taking or giving the dose.
  • Do not let the CELLCEPT Oral Suspension come in contact with the skin. If this happens, wash the skin well with soap and water. If the CELLCEPT Oral Suspension gets in the eyes, rinse the eyes with plain water.
  • If you spill any CELLCEPT Oral Suspension, wipe it up using paper towels wet with water. Put the child-resistant bottle cap back on the bottle and wipe the outside of the bottle with wet paper towels.

Supplies needed to take or give a dose of CELLCEPT Oral Suspension:

To take or give a dose of CELLCEPT Oral Suspension, you will need the bottle of medicine and the oral dispenser provided with the medicine (See Figure 1 ). Your pharmacist will insert the bottle adapter in the CELLCEPT Oral Suspension bottle. Do not remove the bottle adapter from the bottle.

Figure 1

Taking or giving a dose of CELLCEPT Oral Suspension:

Step 1: With the child-resistant cap on the bottle, shake the bottle well for about 5 seconds before each use.
Step 2: Open the bottle by firmly pressing down on the child-resistant bottle cap and turning it to the left (counter-clockwise). Do not throw away the child-resistant bottle cap.
Step 3: Place the bottle on a flat surface. Before inserting the tip of the oral dispenser into the bottle adapter, push the plunger completely down toward the tip of the oral dispenser. Use 1 hand to hold the bottle upright. Insert the oral dispenser tip firmly into the opening of the bottle adapter.
Step 4: Carefully turn the bottle upside down with the oral dispenser tip in place. Slowly pull the plunger down to withdraw your prescribed dose. Do not pull the plunger out of the oral dispenser (See Figure 2 ).

Step 5: Leave the oral dispenser tip in the bottle and turn the bottle to an upright position. Slowly remove the oral dispenser tip from the bottle.

If there are air bubbles in the oral dispenser or if you have withdrawn the wrong dose, insert the oral dispenser tip back into the bottle adapter while the bottle is in an upright position. Push the plunger gently all the way up so the CELLCEPT Oral Suspension flows back into the bottle. Repeat Step 4.
Step 6: Place the tip of the oral dispenser in the mouth directed towards the cheek and slowly push the plunger down until the oral dispenser is empty.
Step 7: Put the child-resistant bottle cap back on the bottle and turn the cap to the right (clockwise) to close the bottle. Keep the bottle tightly closed after each use.
Step 8: Rinse the oral dispenser under running tap water after each use:
  • Remove the plunger from the oral dispenser.
  • Rinse the oral dispenser and plunger with water only and let them air dry on a paper towel.
  • When the oral dispenser and plunger are dry, put the plunger back in the oral dispenser for the next use. Do not throw away the oral dispenser. Store the oral dispenser in a clean, dry place.
  • Do not boil the oral dispenser. Do not use solvent-containing wipes to clean the oral dispenser. Do not use cloths or wipes to dry the oral dispenser.

How should I store CELLCEPT Oral Suspension?

  • Store the CELLCEPT Oral Suspension at room temperature between 59°F to 86°F (15°C to 30°C), for up to 60 days. You can also store the CELLCEPT Oral Suspension in the refrigerator between 36°F to 46°F (2°C to 8°C). )
  • Do not freeze.

Keep CELLCEPT Oral Suspension and all medicines out of the reach of children.

Distributed by:

Genentech USA, Inc.

A Member of the Roche Group

1 DNA Way

South San Francisco, CA 94080-4990

©2022 Genentech, Inc. All rights reserved.

This Instructions for Use has been approved by the U.S. Food and Drug Administration.

Revised: August 2022

12.2 Pharmacodynamics

There is a lack of information regarding the pharmacodynamic effects of MMF.

17.4 Blood Dyscrasias

Inform patients that they are at increased risk for developing blood adverse effects such as anemia or low white blood cells. Advise patients to immediately contact their healthcare provider if they experience any evidence of infection, unexpected bruising, or bleeding, or any other manifestation of bone marrow suppression [see Warnings and Precautions (5.4)].

5.3 Serious Infections

Patients receiving immunosuppressants, including CELLCEPT, are at increased risk of developing bacterial, fungal, protozoal and new or reactivated viral infections, including opportunistic infections. The risk increases with the total immunosuppressive load. These infections may lead to serious outcomes, including hospitalizations and death [see Adverse Reactions (6.1, 6.2)].

Serious viral infections reported include:

  • Polyomavirus-associated nephropathy (PVAN), especially due to BK virus infection
  • JC virus-associated progressive multifocal leukoencephalopathy (PML), and
  • Cytomegalovirus (CMV) infections: CMV seronegative transplant patients who receive an organ from a CMV seropositive donor are at highest risk of CMV viremia and CMV disease.
  • Viral reactivation in patients infected with Hepatitis B and C
  • COVID-19

Consider dose reduction or discontinuation of CELLCEPT in patients who develop new infections or reactivate viral infections, weighing the risk that reduced immunosuppression represents to the functioning allograft.

PVAN, especially due to BK virus infection, is associated with serious outcomes, including deteriorating renal function and renal graft loss [see Adverse Reactions (6.2)]. Patient monitoring may help detect patients at risk for PVAN.

PML, which is sometimes fatal, commonly presents with hemiparesis, apathy, confusion, cognitive deficiencies, and ataxia [see Adverse Reactions (6.2)]. In immunosuppressed patients, physicians should consider PML in the differential diagnosis in patients reporting neurological symptoms.

The risk of CMV viremia and CMV disease is highest among transplant recipients seronegative for CMV at time of transplant who receive a graft from a CMV seropositive donor. Therapeutic approaches to limiting CMV disease exist and should be routinely provided. Patient monitoring may help detect patients at risk for CMV disease.

Viral reactivation has been reported in patients infected with HBV or HCV. Monitoring infected patients for clinical and laboratory signs of active HBV or HCV infection is recommended.

1 Indications and Usage

CELLCEPT [mycophenolate mofetil (MMF)] is indicated for the prophylaxis of organ rejection, in adult and pediatric recipients 3 months of age and older of allogeneic kidney [see Clinical Studies (14.1)], heart [see Clinical Studies (14.2)] or liver transplants [see Clinical Studies (14.3)], in combination with other immunosuppressants.

12.1 Mechanism of Action

Mycophenolate mofetil (MMF) is absorbed following oral administration and hydrolyzed to mycophenolic acid (MPA), the active metabolite. MPA is a selective uncompetitive inhibitor of the two isoforms (type I and type II) of inosine monophosphate dehydrogenase (IMPDH) leading to inhibition of the de novo pathway of guanosine nucleotide synthesis and blocks DNA synthesis. The mechanism of action of MPA is multifaceted and includes effects on cellular checkpoints responsible for metabolic programming of lymphocytes. MPA shifts transcriptional activities in lymphocytes from a proliferative state to catabolic processes. In vitro studies suggest that MPA modulates transcriptional activities in human CD4+ T-lymphocytes by suppressing the Akt/mTOR and STAT5 pathways that are relevant to metabolism and survival, leading to an anergic state of T-cells whereby the cells become less responsive to antigenic stimulation. Additionally, MPA enhanced the expression of negative co-stimulators such as CD70, PD-1, CTLA-4, and transcription factor FoxP3 as well as decreased the expression of positive co-stimulators CD27 and CD28.

MPA decreases proliferative responses of T- and B-lymphocytes to both mitogenic and allo-antigenic stimulation, antibody responses, as well as the production of cytokines from lymphocytes and monocytes such as GM-CSF, IFN-ɣ, IL-17, and TNF-α. Additionally, MPA prevents the glycosylation of lymphocyte and monocyte glycoproteins that are involved in intercellular adhesion to endothelial cells and may inhibit recruitment of leukocytes into sites of inflammation and graft rejection.

Overall, the effect of MPA is cytostatic and reversible.

5.1 Embryofetal Toxicity

Use of MMF during pregnancy is associated with an increased risk of first trimester pregnancy loss and an increased risk of congenital malformations, especially external ear and other facial abnormalities including cleft lip and palate, and anomalies of the distal limbs, heart, esophagus, kidney and nervous system. Females of reproductive potential must be made aware of these risks and must be counseled regarding pregnancy prevention and planning. Avoid use of MMF during pregnancy if safer treatment options are available [see Use in Specific Populations (8.1, 8.3)].

14.2 Heart Transplantation

A double-blind, randomized, comparative, parallel-group, multicenter study in primary de novo heart transplant recipients was performed at centers in the United States (20), in Canada (1), in Europe (5) and in Australia (2). The total number of patients enrolled (ITT population) was 650; 72 never received study drug and 578 received study drug (Safety Population). Patients received CELLCEPT 1.5 g twice daily (n=289) or AZA 1.5 to 3 mg/kg/day (n=289), in combination with cyclosporine (Sandimmune® or Neoral®) and corticosteroids as maintenance immunosuppressive therapy. The two primary efficacy endpoints were: (1) the proportion of patients who, after transplantation, had at least one endomyocardial biopsy-proven rejection with hemodynamic compromise, or were re-transplanted or died, within the first 6 months, and (2) the proportion of patients who died or were re-transplanted during the first 12 months following transplantation. Patients who prematurely discontinued treatment were followed for the occurrence of allograft rejection for up to 6 months and for the occurrence of death for 1 year.

The analyses of the endpoints showed:

  • Rejection: No difference was established between CELLCEPT and AZA with respect to biopsy-proven rejection with hemodynamic compromise.
  • Survival: CELLCEPT was shown to be at least as effective as AZA in preventing death or re-transplantation at 1 year (see Table 15 ).
Table 15 De Novo Heart Transplantation Study Rejection at 6 Months/Death or Re-transplantation at 1 Year
All Patients (ITT) Treated Patients
AZA

N = 323
CELLCEPT

N = 327
AZA

N = 289
CELLCEPT

N = 289
Biopsy-proven rejection with hemodynamic compromise at 6 months
Hemodynamic compromise occurred if any of the following criteria were met: pulmonary capillary wedge pressure ≥20 mm or a 25% increase; cardiac index <2.0 L/min/m2 or a 25% decrease; ejection fraction ≤30%; pulmonary artery oxygen saturation ≤60% or a 25% decrease; presence of new S3 gallop; fractional shortening was ≤20% or a 25% decrease; inotropic support required to manage the clinical condition.
121 (38%) 120 (37%) 100 (35%) 92 (32%)
Death or re-transplantation at 1 year 49 (15.2%) 42 (12.8%) 33 (11.4%) 18 (6.2%)
14.3 Liver Transplantation

A double-blind, randomized, comparative, parallel-group, multicenter study in primary hepatic transplant recipients was performed at centers in the United States (16), in Canada (2), in Europe (4) and in Australia (1). The total number of patients enrolled was 565. Per protocol, patients received CELLCEPT 1 g twice daily intravenously for up to 14 days followed by CELLCEPT 1.5 g twice daily orally or AZA 1 to 2 mg/kg/day intravenously followed by AZA 1 to 2 mg/kg/day orally, in combination with cyclosporine (Neoral®) and corticosteroids as maintenance immunosuppressive therapy. The actual median oral dose of AZA on study was 1.5 mg/kg/day (range of 0.3 to 3.8 mg/kg/day) initially and 1.26 mg/kg/day (range of 0.3 to 3.8 mg/kg/day) at 12 months. The two primary endpoints were: (1) the proportion of patients who experienced, in the first 6 months post-transplantation, one or more episodes of biopsy-proven and treated rejection or death or re-transplantation, and (2) the proportion of patients who experienced graft loss (death or re-transplantation) during the first 12 months post-transplantation. Patients who prematurely discontinued treatment were followed for the occurrence of allograft rejection and for the occurrence of graft loss (death or re-transplantation) for 1 year.

In combination with corticosteroids and cyclosporine, CELLCEPT demonstrated a lower rate of acute rejection at 6 months and a similar rate of death or re-transplantation at 1 year compared to AZA ( Table 16 ).

Table 16 De Novo Liver Transplantation Study Rejection at 6 Months/Death or Retransplantation at 1 Year
AZA

N = 287
CELLCEPT

N = 278
Biopsy-proven, treated rejection at 6 months (includes death or re-transplantation) 137 (47.7%) 107 (38.5%)
Death or re-transplantation at 1 year 42 (14.6%) 41 (14.7%)
16.1 Handling and Disposal

Mycophenolate mofetil (MMF) has demonstrated teratogenic effects in humans [see Warnings and Precautions (5.1) and Use in Specific Populations (8.1)]. CELLCEPT tablets should not be crushed and CELLCEPT capsules should not be opened or crushed. Wearing disposable gloves is recommended during reconstitution and when wiping the outer surface of the bottle/cap and the table after reconstitution. Avoid inhalation or direct contact with skin or mucous membranes of the powder contained in CELLCEPT capsules, CELLCEPT Oral Suspension (before or after constitution), or CELLCEPT Intravenous (during or after preparation) [see Dosage and Administration (2.6)]. Follow applicable special handling and disposal procedures 1.

5 Warnings and Precautions
  • Blood Dyscrasias (Neutropenia, Red Blood Cell Aplasia): Monitor with blood tests; consider treatment interruption or dose reduction. (5.4)
  • Gastrointestinal Complications: Monitor for complications such as bleeding, ulceration and perforations, particularly in patients with underlying gastrointestinal disorders. (5.5)
  • Hypoxanthine-Guanine Phosphoribosyl-Transferase Deficiency: Avoid use of CELLCEPT. (5.6)
  • Acute Inflammatory Syndrome Associated with Mycophenolate Products: Monitor for this paradoxical inflammatory reaction. (5.7)
  • Hypersensitivity Reactions: Discontinue CELLCEPT; treat and monitor until signs and symptoms resolve. (5.8)
  • Immunizations: Avoid live attenuated vaccines. (5.9)
  • Local Reactions with Rapid Intravenous Administration: CELLCEPT Intravenous must not be administered by rapid or bolus intravenous injection. (5.10)
  • Phenylketonurics: Oral suspension contains aspartame. (5.11)
  • Blood Donation: Avoid during therapy and for 6 weeks thereafter. (5.12)
  • Semen Donation: Avoid during therapy and for 90 days thereafter. (5.13)
  • Potential Impairment on Driving and Use of Machinery: CELLCEPT may affect ability to drive or operate machinery. (5.15)
2 Dosage and Administration
ADULTS DOSAGE
Kidney Transplant 1 g twice daily, orally or intravenously (IV) over no less than 2 h (2.2)
Heart Transplant 1.5 g twice daily orally or IV, over no less than 2 h (2.3)
Liver Transplant 1.5 g twice daily orally or 1g twice daily IV over no less than 2 h (2.4)
PEDIATRICS
Kidney Transplant 600 mg/m2 orally twice daily, up to maximum of 2 g daily (2.2)
Heart Transplant 600 mg/m2 orally twice daily (starting dose) up to a maximum of 900 mg/m2 twice daily (3 g or 15 mL of oral suspension) (2.3)
Liver Transplant 600 mg/m2 orally twice daily (starting dose) up to a maximum of 900 mg/m2 twice daily (3 g or 15 mL of oral suspension) (2.4)
  • CELLCEPT Intravenous is an alternative when patients cannot tolerate oral medication. Administer within 24 hours following transplantation, until patients can tolerate oral medication, up to 14 days. (2.1)
  • Reduce or interrupt dosing in the event of neutropenia. (2.5)
  • See full prescribing information (FPI) for: adjustments for renal impairment and neutropenia (2.5), preparation of oral suspension and IV solution. (2.6)
3 Dosage Forms and Strengths

CELLCEPT is available in the following dosage forms and strengths:

Capsules 250 mg mycophenolate mofetil, two-piece hard gelatin capsules, blue-brown, "CELLCEPT 250" printed in black on the blue cap and "Roche" on the brown body
Tablets 500 mg mycophenolate mofetil, lavender-colored, caplet-shaped, film-coated tablets engraved with "CELLCEPT 500" on one side and "Roche" on the other
For oral suspension 35 g mycophenolate mofetil white to off-white powder for reconstitution (200 mg/mL upon reconstitution)
For injection 500 mg mycophenolate mofetil white to off-white lyophilized powder, in a single-dose vial for reconstitution
6.2 Postmarketing Experience

The following adverse reactions have been identified during post-approval use of CELLCEPT. Because these reactions are reported voluntarily from a population of uncertain size, it is not always possible to reliably estimate their frequency or establish a causal relationship to drug exposure:

  • Embryo-Fetal Toxicity: Congenital malformations and spontaneous abortions, mainly in the first trimester, have been reported following exposure to mycophenolate mofetil (MMF) in combination with other immunosuppressants during pregnancy [see Warnings and Precautions (5.1), and Use in Specific Populations (8.1), (8.3)]. Congenital malformations include:
    • -
      Facial malformations: cleft lip, cleft palate, micrognathia, hypertelorism of the orbits
    • -
      Abnormalities of the ear and eye: abnormally formed or absent external/middle ear, coloboma, microphthalmos
    • -
      Malformations of the fingers: polydactyly, syndactyly, brachydactyly
    • -
      Cardiac abnormalities: atrial and ventricular septal defects
    • -
      Esophageal malformations: esophageal atresia
    • -
      Nervous system malformations: such as spina bifida.
  • Cardiovascular: Venous thrombosis has been reported in patients treated with CELLCEPT administered intravenously.
  • Digestive: Colitis, pancreatitis
  • Hematologic and Lymphatic: Bone marrow failure, cases of pure red cell aplasia (PRCA) and hypogammaglobulinemia have been reported in patients treated with CELLCEPT in combination with other immunosuppressive agents [see Warnings and Precautions (5.4)].
  • Immune: Hypersensitivity reactions, including anaphylaxis and angioedema [see Warnings and Precautions (5.8)], hypogammaglobinemia.
  • Infections: Meningitis, infectious endocarditis, tuberculosis, atypical mycobacterial infection, progressive multifocal leukoencephalopathy, BK virus infection, viral reactivation of hepatitis B and hepatitis C, protozoal infections [see Warnings and Precautions (5.3)].
  • Respiratory: Bronchiectasis, interstitial lung disease, fatal pulmonary fibrosis, have been reported rarely and should be considered in the differential diagnosis of pulmonary symptoms ranging from dyspnea to respiratory failure in post-transplant patients receiving CELLCEPT.
  • Vascular: Lymphocele
8 Use in Specific Populations
  • Male Patients: Sexually active male patients and/or their female partners are recommended to use effective contraception during treatment of the male patient and for at least 90 days after cessation of treatment (8.3)
5.8 Hypersensitivity Reactions

Postmarketing cases of hypersensitivity reactions, including angioedema and anaphylaxis, have been reported with CELLCEPT. These reactions generally occurred within hours to the next day after initiating CELLCEPT. If signs or symptoms of hypersensitivity reaction occur, discontinue CELLCEPT; treat and monitor until symptoms resolve [see Contraindications (4)].

6.1 Clinical Trials Experience

Because clinical trials are conducted under widely varying conditions, adverse reaction rates observed in the clinical trials of a drug cannot be directly compared to rates in the clinical trials of another drug and may not reflect the rates observed in practice.

An estimated total of 1557 adult patients received CELLCEPT during pivotal clinical trials in the prevention of acute organ rejection. Of these, 991 were included in the three renal studies, 277 were included in one hepatic study, and 289 were included in one cardiac study. Patients in all study arms also received cyclosporine and corticosteroids.

The data described below primarily derive from five randomized, active-controlled double-blind 12-month trials of CELLCEPT in de novo kidney (3) heart (1) and liver (1) transplant patients [see Clinical Studies (14.1, 14.2, and 14.3)].

17.7 Hypersensitivity Reactions

Inform patients of the potential risk of hypersensitivity reactions. Advise patients to stop taking CELLCEPT and seek immediate medical attention if signs or symptoms of hypersensitivity reaction occur (such as swelling of face, lips, tongue, or throat; difficulty breathing or swallowing) [see Warnings and Precautions (5.8)].

17.6 Acute Inflammatory Syndrome

Inform patients that acute inflammatory reactions have been reported in some patients who received CELLCEPT. Some reactions were severe, requiring hospitalization. Advise patients to contact their physician if they develop fever, joint stiffness, joint pain or muscle pains [see Warnings and Precautions (5.7)].

17.9 Administration Instructions
  • Advise patients not to crush CELLCEPT tablets and not to open CELLCEPT capsules.
  • Advise patients to avoid inhalation or contact of the skin or mucous membranes with the powder contained in CELLCEPT capsules and with the oral suspension. If such contact occurs, they must wash the area of contact thoroughly with soap and water. In case of ocular contact, rinse eyes with plain water.
  • Advise patients to take a missed dose as soon as they remember, except if it is closer than 2 hours to the next scheduled dose; in this case they should continue to take CELLCEPT at the usual times.
5.5 Gastrointestinal Complications

Gastrointestinal bleeding requiring hospitalization, ulceration and perforations were observed in clinical trials. Physicians should be aware of these serious adverse effects particularly when administering CELLCEPT to patients with a gastrointestinal disease.

5.2 Lymphoma and Other Malignancies

Patients receiving immunosuppressants, including CELLCEPT, are at increased risk of developing lymphomas and other malignancies, particularly of the skin [see Adverse Reactions (6.1)]. The risk appears to be related to the intensity and duration of immunosuppression rather than to the use of any specific agent. For patients with increased risk for skin cancer, exposure to sunlight and UV light should be limited by wearing protective clothing and using a broad-spectrum sunscreen with a high protection factor.

Post-transplant lymphoproliferative disorder (PTLD) developed in 0.4% to 1% of patients receiving CELLCEPT (2 g or 3 g) with other immunosuppressive agents in controlled clinical trials of kidney, heart and liver transplant patients [see Adverse Reactions (6.1)]. The majority of PTLD cases appear to be related to Epstein Barr Virus (EBV) infection. The risk of PTLD appears greatest in those individuals who are EBV seronegative, a population which includes many young children. In pediatric patients, no other malignancies besides PTLD were observed in clinical trials [see Adverse Reactions (6.1)].

7.1 Effect of Other Drugs On Cellcept
Table 7 Drug Interactions with CELLCEPT that Affect Mycophenolic Acid (MPA) Exposure
Antacids with Magnesium or Aluminum Hydroxide
Clinical Impact Concomitant use with an antacid containing magnesium or aluminum hydroxide decreases MPA systemic exposure [see Clinical Pharmacology (12.3)], which may reduce CELLCEPT efficacy.
Prevention or Management Administer magnesium or aluminum hydroxide containing antacids at least 2h after CELLCEPT administration.
Proton Pump Inhibitors (PPIs)
Clinical Impact Concomitant use with PPIs decreases MPA systemic exposure [see Clinical Pharmacology (12.3)], which may reduce CELLCEPT efficacy.
Prevention or Management Monitor patients for alterations in efficacy when PPIs are co-administered with CELLCEPT.
Examples Lansoprazole, pantoprazole
Drugs that Interfere with Enterohepatic Recirculation
Clinical Impact Concomitant use with drugs that directly interfere with enterohepatic recirculation, or indirectly interfere with enterohepatic recirculation by altering the gastrointestinal flora, can decrease MPA systemic exposure [see Clinical Pharmacology (12.3)], which may reduce CELLCEPT efficacy.
Prevention or Management Monitor patients for alterations in efficacy or CELLCEPT related adverse reactions when these drugs are co-administered with CELLCEPT.
Examples Cyclosporine A, trimethoprim/sulfamethoxazole, bile acid sequestrants (cholestyramine), rifampin as well as aminoglycoside, cephalosporin, fluoroquinolone and penicillin classes of antimicrobials
Drugs Modulating Glucuronidation
Clinical Impact Concomitant use with drugs inducing glucuronidation decreases MPA systemic exposure, potentially reducing CELLCEPT efficacy, while use with drugs inhibiting glucuronidation increases MPA systemic exposure [see Clinical Pharmacology (12.3)], which may increase the risk of CELLCEPT related adverse reactions.
Prevention or Management Monitor patients for alterations in efficacy or CELLCEPT related adverse reactions when these drugs are co-administered with CELLCEPT.
Examples Telmisartan (induces glucuronidation); isavuconazole (inhibits glucuronidation).
Calcium Free Phosphate Binders
Clinical Impact Concomitant use with calcium free phosphate binders decrease MPA systemic exposure [see Clinical Pharmacology (12.3)], which may reduce CELLCEPT efficacy.
Prevention or Management Administer calcium free phosphate binders at least 2 hours after CELLCEPT.
Examples Sevelamer
7.2 Effect of Cellcept On Other Drugs
Table 8 Drug Interactions with CELLCEPT that Affect Other Drugs
Drugs that Undergo Renal Tubular Secretion
Clinical Impact When concomitantly used with CELLCEPT, its metabolite MPAG, may compete with drugs eliminated by renal tubular secretion which may increase plasma concentrations and/or adverse reactions associated with these drugs.
Prevention or Management Monitor for drug-related adverse reactions in patients with renal impairment.
Examples Acyclovir, ganciclovir, probenecid, valacyclovir, valganciclovir
Combination Oral Contraceptives
Clinical Impact Concomitant use with CELLCEPT decreased the systemic exposure to levonorgestrel, but did not affect the systemic exposure to ethinylestradiol [see Clinical Pharmacology (12.3)], which may result in reduced combination oral contraceptive effectiveness.
Prevention or Management Use additional barrier contraceptive methods.
17.3 Increased Risk of Serious Infections

Inform patients that they are at increased risk of developing a variety of infections due to immunosuppression. Instruct them to contact their physician if they develop any of the signs and symptoms of infection explained in the Medication Guide [see Warnings and Precautions (5.3)].

17.5 Gastrointestinal Tract Complications

Inform patients that CELLCEPT can cause gastrointestinal tract complications including bleeding, intestinal perforations, and gastric or duodenal ulcers. Advise the patient to contact their healthcare provider if they have symptoms of gastrointestinal bleeding, or sudden onset or persistent abdominal pain [see Warnings and Precautions (5.5)].

2.1 Important Administration Instructions

CELLCEPT should not be used without the supervision of a physician with experience in immunosuppressive therapy.

5.11 Risks in Patients With Phenylketonuria

Phenylalanine can be harmful to patients with phenylketonuria (PKU). CELLCEPT Oral Suspension contains aspartame, a source of phenylalanine (0.56 mg phenylalanine/mL suspension). Before prescribing CELLCEPT Oral Suspension to a patient with PKU, consider the combined daily amount of phenylalanine from all sources, including CELLCEPT.

Principal Display Panel 500 Mg Vial Carton

NDC 0004-0298-09

CellCept® Intravenous

(mycophenolate mofetil for injection)

500 mg

FOR INTRAVENOUS INFUSION ONLY.

Each single-dose vial contains the equivalent of 500 mg mycophenolate mofetil (equivalent to 542 mg of

mycophenolate mofetil hydrochloride), 25 mg polysorbate 80 and 5 mg citric acid. Sodium hydroxide or

hydrochloric acid may have been used to adjust pH.

Attention Pharmacist: Dispense the accompanying Medication Guide to each patient. For additional

Medication Guides, call 1-800-617-8191 or visit www.gene.com/gene/products/information/cellcept.

Rx only

4 Single-Dose Vials

Genentech

10215811

8.3 Females and Males of Reproductive Potential

Females of reproductive potential must be made aware of the increased risk of first trimester pregnancy loss and congenital malformations and must be counseled regarding pregnancy prevention and planning.

Principal Display Panel 200 Mg/ml Bottle Carton

NDC 0004-0261-29

CellCept®

Oral Suspension


(mycophenolate

mofetil for oral

suspension)

200 mg/mL

Each mL contains 200 mg mycophenolate

mofetil after constitution.

Attention Pharmacist: Dispense the accompanying

Medication Guide to each patient. For additional

Medication Guides, call 1-800-617-8191 or visit

www.gene.com/gene/products/information/cellcept.

Rx only

Genentech

10225425

17.2 Development of Lymphoma and Other Malignancies
  • Inform patients that they are at increased risk of developing lymphomas and other malignancies, particularly of the skin, due to immunosuppression [see Warnings and Precautions (5.2)].
  • Advise patients to limit exposure to sunlight and ultraviolet (UV) light by wearing protective clothing and use of broad-spectrum sunscreen with high protection factor.
16.3 Cellcept (mycophenolate Mofetil Tablets) 500 Mg
Tablets

Lavender-colored, caplet-shaped, film-coated tablets engraved with "CELLCEPT 500" on one side and "Roche" on the other
Sizes
Bottle of 100 NDC 0004-0260-01
Bottle of 500 NDC 0004-0260-43
Storage and Dispensing Information:
  • Store at 25°C (77°F); excursions permitted to 15°C to 30°C (59°F to 86°F).
  • Dispense in light-resistant containers, such as the manufacturer's original containers.
16.2 Cellcept (mycophenolate Mofetil Capsules) 250 Mg
Capsules

Blue-brown, two-piece hard gelatin capsules, printed in black with "CELLCEPT 250" on the blue cap and "Roche" on the brown body.
Sizes
Bottle of 100 NDC 0004-0259-01
Bottle of 500 NDC 0004-0259-43
Storage

Store at 25°C (77°F); excursions permitted to 15°C to 30°C (59°F to 86°F)
Principal Display Panel 500 Mg Tablet Bottle Carton

NDC 0004-0260-43

CellCept®

(mycophenolate

mofetil tablets)

500 mg

Each tablet contains

500 mg mycophenolate mofetil.

Rx only

Attention Pharmacist: Dispense the

accompanying Medication Guide to each

patient. For additional Medication Guides call

1-800-617-8191 or visit www.gene.com/gene/

products/information/cellcept.

500 tablets

Genentech

10235320

17.12 Potential to Impair Driving and Use of Machinery

Advise patients that CELLCEPT can affect the ability to drive or operate machines. Patients should avoid driving or operating machines if they experience somnolence, confusion, dizziness, tremor or hypotension during treatment with CELLCEPT [see Warnings and Precautions (5.15)].

Principal Display Panel 250 Mg Capsule Bottle Carton

NDC 0004-0259-43

CellCept®

(mycophenolate

mofetil capsules)

250 mg

Each capsule contains

250 mg mycophenolate mofetil.

Rx only

Attention Pharmacist: Dispense the

accompanying Medication Guide to each

patient. For additional Medication Guides call

1-800-617-8191 or visit www.gene.com/gene/

products/information/cellcept.

500 capsules

Genentech

10235316

13.1 Carcinogenesis, Mutagenesis, Impairment of Fertility

In a 104-week oral carcinogenicity study in mice, MMF in daily doses up to 180 mg/kg was not tumorigenic. The highest dose tested was 0.2 times the recommended clinical dose (2 g/day) in renal transplant patients and 0.15 times the recommended clinical dose (3 g/day) in cardiac transplant patients when corrected for differences in body surface area (BSA). In a 104-week oral carcinogenicity study in rats, MMF in daily doses up to 15 mg/kg was not tumorigenic. The highest dose was 0.035 times the recommended clinical dose in kidney transplant patients and 0.025 times the recommended clinical dose in heart transplant patients when corrected for BSA. While these animal doses were lower than those given to patients, they were maximal in those species and were considered adequate to evaluate the potential for human risk [see Warnings and Precautions (5.2)].

The genotoxic potential of MMF was determined in five assays. MMF was genotoxic in the mouse lymphoma/thymidine kinase assay and the in vivo mouse micronucleus assay. MMF was not genotoxic in the bacterial mutation assay, the yeast mitotic gene conversion assay or the Chinese hamster ovary cell chromosomal aberration assay.

MMF had no effect on fertility of male rats at oral doses up to 20 mg/kg/day. This dose represents 0.05 times the recommended clinical dose in renal transplant patients and 0.03 times the recommended clinical dose in cardiac transplant patients when corrected for BSA. In a female fertility and reproduction study conducted in rats, oral doses of 4.5 mg/kg/day caused malformations (principally of the head and eyes) in the first generation offspring in the absence of maternal toxicity. This dose was 0.01 times the recommended clinical dose in renal transplant patients and 0.005 times the recommended clinical dose in cardiac transplant patients when corrected for BSA. No effects on fertility or reproductive parameters were evident in the dams or in the subsequent generation.

5.10 Local Reactions With Rapid Intravenous Administration

CELLCEPT Intravenous solution must not be administered by rapid or bolus intravenous injection as rapid infusion increases the risk of local adverse reactions such as phlebitis and thrombosis [see Adverse Reactions (6.1)].

16.5 Cellcept Intravenous (mycophenolate Mofetil for Injection)
For injection: 500 mg mycophenolate mofetil in a 20 mL sterile single-dose vial cartons of 4 vials
Cartons of 4 single-dose vials NDC 0004-0298-09
Storage
  • Store powder and reconstituted infusion solution at 25°C (77°F); excursions permitted to 15°C to 30°C (59°F to 86°F).
5.15 Potential Impairment of Ability to Drive Or Operate Machinery

CELLCEPT may impact the ability to drive and use machines. Patients should avoid driving or using machines if they experience somnolence, confusion, dizziness, tremor, or hypotension during treatment with CELLCEPT [see Adverse Reactions (6.1)].

5.4 Blood Dyscrasias: Neutropenia and Pure Red Cell Aplasia (prca)

Severe neutropenia [absolute neutrophil count (ANC) <0.5 × 103/µL] developed in transplant patients receiving CELLCEPT 3 g daily [see Adverse Reactions (6.1)]. Patients receiving CELLCEPT should be monitored for neutropenia. Neutropenia has been observed most frequently in the period from 31 to 180 days post-transplant in patients treated for prevention of kidney, heart and liver rejection. The development of neutropenia may be related to CELLCEPT itself, concomitant medications, viral infections, or a combination of these causes. If neutropenia develops (ANC <1.3 × 103/µL), dosing with CELLCEPT should be interrupted or the dose reduced, appropriate diagnostic tests performed, and the patient managed appropriately [see Dosage and Administration (2.5)].

Patients receiving CELLCEPT should be instructed to report immediately any evidence of infection, unexpected bruising, bleeding or any other manifestation of bone marrow depression.

Consider monitoring with complete blood counts weekly for the first month, twice monthly for the second and third months, and monthly for the remainder of the first year.

Cases of pure red cell aplasia (PRCA) have been reported in patients treated with CELLCEPT in combination with other immunosuppressive agents. In some cases, PRCA was found to be reversible with dose reduction or cessation of CELLCEPT therapy. In transplant patients, however, reduced immunosuppression may place the graft at risk.

Warning: Embryofetal Toxicity, Malignancies and Serious Infections
  • Use during pregnancy is associated with increased risks of first trimester pregnancy loss and congenital malformations. Avoid if safer treatment options are available. Females of reproductive potential must be counseled regarding pregnancy prevention and planning [see Warnings and Precautions (5.1), Use in Special Populations (8.1, 8.3)].
  • Increased risk of development of lymphoma and other malignancies, particularly of the skin [see Warnings and Precautions (5.2)].
  • Increased susceptibility to bacterial, viral, fungal and protozoal infections, including opportunistic infections and viral reactivation of hepatitis B and C, which may lead to hospitalizations and fatal outcomes [see Warnings and Precautions (5.3)].
5.7 Acute Inflammatory Syndrome Associated With Mycophenolate Products

Acute inflammatory syndrome (AIS) has been reported with the use of MMF and mycophenolate products, and some cases have resulted in hospitalization. AIS is a paradoxical pro-inflammatory reaction characterized by fever, arthralgias, arthritis, muscle pain and elevated inflammatory markers including, C-reactive protein and erythrocyte sedimentation rate, without evidence of infection or underlying disease recurrence. Symptoms occur within weeks to months of initiation of treatment or a dose increase. After discontinuation, improvement of symptoms and inflammatory markers are usually observed within 24 to 48 hours.

Monitor patients for symptoms and laboratory parameters of AIS when starting treatment with mycophenolate products or when increasing the dosage. Discontinue treatment and consider other treatment alternatives based on the risk and benefit for the patient.

16.4 Cellcept Oral Suspension (mycophenolate Mofetil), for Oral Suspension
For oral suspension: 35 g mycophenolate mofetil, white to off-white powder blend for constitution to a white to off-white mixed-fruit flavor suspension
225 mL bottle with bottle adapter and 2 oral dispensers NDC 0004-0261-29
Storage
  • Store dry powder at 25°C (77°F); excursions permitted to 15°C to 30°C (59°F to 86°F).
  • Store constituted suspension at 25°C (77°F); excursions permitted to 15°C to 30°C (59°F to 86°F) for up to 60 days. Storage in a refrigerator at 2°C to 8°C (36°F to 46°F) is acceptable. Do not freeze.
5.14 Effect of Concomitant Medications On Mycophenolic Acid Concentrations

A variety of drugs have potential to alter systemic MPA exposure when co-administered with CELLCEPT. Therefore, determination of MPA concentrations in plasma before and after making any changes to immunosuppressive therapy, or when adding or discontinuing concomitant medications, may be appropriate to ensure MPA concentrations remain stable.

5.6 Patients With Hypoxanthine Guanine Phosphoribosyl Transferase Deficiency (hgprt)

CELLCEPT is an inosine monophosphate dehydrogenase (IMPDH) inhibitor; therefore it should be avoided in patients with hereditary deficiencies of hypoxanthine-guanine phosphoribosyl-transferase (HGPRT) such as Lesch-Nyhan and Kelley-Seegmiller syndromes because it may cause an exacerbation of disease symptoms characterized by the overproduction and accumulation of uric acid leading to symptoms associated with gout such as acute arthritis, tophi, nephrolithiasis or urolithiasis and renal disease including renal failure.


Structured Label Content

Section 42229-5 (42229-5)

CELLCEPT Capsules, Tablets and Oral Suspension

CELLCEPT oral dosage forms (capsules, tablets or oral suspension) should not be used interchangeably with mycophenolic acid delayed-release tablets without supervision of a physician with experience in immunosuppressive therapy because the rates of absorption following the administration of CELLCEPT oral dosage forms and mycophenolic acid delayed-release tablets are not equivalent.

CELLCEPT tablets should not be crushed and CELLCEPT capsules should not be opened or crushed. Patients should avoid inhalation or contact of the skin or mucous membranes with the powder contained in CELLCEPT capsules and oral suspension. If such contact occurs, they must wash the area of contact thoroughly with soap and water. In case of ocular contact, rinse eyes with plain water.

The initial oral dose of CELLCEPT should be given as soon as possible following kidney, heart or liver transplant. It is recommended that CELLCEPT be administered on an empty stomach. In stable transplant patients, however, CELLCEPT may be administered with food if necessary [see Clinical Pharmacology (12.3)]. Once reconstituted, CELLCEPT Oral Suspension must not be mixed with any liquids prior to dose administration. If needed, CELLCEPT Oral Suspension can be administered via a nasogastric tube with a minimum size of 8 French (minimum 1.7 mm interior diameter).

Patients should be instructed to take a missed dose as soon as they remember, except if it is closer than 2 hours to the next scheduled dose; in this case, they should continue to take CELLCEPT at the usual times.

Section 42231-1 (42231-1)
This Medication Guide has been approved by the U.S. Food and Drug Administration. Revised: May 2025
MEDICATION GUIDE
CELLCEPT® [SEL-sept]

(mycophenolate mofetil capsules)

(mycophenolate mofetil tablets)
CELLCEPT® [SEL-sept]

(mycophenolate mofetil for oral suspension)
CELLCEPT® [SEL-sept]

(mycophenolate mofetil for injection)
Read the Medication Guide that comes with CELLCEPT before you start taking it and each time you refill your prescription. There may be new information. This Medication Guide does not take the place of talking with your doctor about your medical condition or treatment.
What is the most important information I should know about CELLCEPT?

CELLCEPT can cause serious side effects, including:

Increased risk of loss of a pregnancy (miscarriage) and higher risk of birth defects.
Females who take CELLCEPT during pregnancy have a higher risk of miscarriage during the first 3 months (first trimester), and a higher risk that their baby will be born with birth defects.
  • If you are a female who can become pregnant, your doctor must talk with you about acceptable birth control methods (contraceptive counseling) to use while taking CELLCEPT. You should have 1 pregnancy test immediately before starting CELLCEPT and another pregnancy test 8 to 10 days later. Pregnancy tests should be repeated during routine follow-up visits with your doctor. Talk to your doctor about the results of all of your pregnancy tests.

    You must use acceptable birth control during your entire CELLCEPT treatment and for 6 weeks after stopping CELLCEPT, unless at any time you choose to avoid sexual intercourse (abstinence) with a man completely. CELLCEPT decreases blood levels of the hormones in birth control pills that you take by mouth. Birth control pills may not work as well while you take CELLCEPT, and you could become pregnant. If you take birth control pills while using CELLCEPT you must also use another form of birth control. Talk to your doctor about other birth control methods that you can use while taking CELLCEPT.
  • If you are a sexually active male whose female partner can become pregnant while you are taking CELLCEPT, use effective contraception during treatment and for at least 90 days after stopping CELLCEPT.
  • If you plan to become pregnant, talk with your doctor. Your doctor will decide if other medicines to prevent rejection may be right for you.
  • If you become pregnant while taking CELLCEPT, do not stop taking CELLCEPT. Call your doctor right away. You and your doctor may decide that other medicines to prevent rejection may be right for you. You and your doctor should report your pregnancy to the Mycophenolate Pregnancy Registry either:
    • By phone at 1-800-617-8191 or
    • By visiting the REMS website at: www.mycophenolateREMS.com
    The purpose of this registry is to gather information about the health of you and your baby.
Increased risk of getting certain cancers. People who take CELLCEPT have a higher risk of getting lymphoma, and other cancers, especially skin cancer. Tell your doctor if you have:
  • unexplained fever, prolonged tiredness, weight loss or lymph node swelling
  • a brown or black skin lesion with uneven borders, or one part of the lesion does not look like the other
  • a change in the size and color of a mole
  • a new skin lesion or bump
  • any other changes to your health
Increased risk of getting serious infections. CELLCEPT weakens the body's immune system and affects your ability to fight infections. Serious infections can happen with CELLCEPT and can lead to hospitalizations and death. These serious infections can include:
  • Viral infections. Certain viruses can live in your body and cause active infections when your immune system is weak. Viral infections that can happen with CELLCEPT include:
    • Shingles, other herpes infections, and cytomegalovirus (CMV). CMV can cause serious tissue and blood infections.
    • BK virus. BK virus can affect how your kidney works and cause your transplanted kidney to fail.
    • Hepatitis B and C viruses. Hepatitis viruses can affect how your liver works. Talk to your doctor about how hepatitis viruses may affect you.
    • COVID-19
  • A brain infection called Progressive Multifocal Leukoencephalopathy (PML). In some patients, CELLCEPT may cause an infection of the brain that may cause death. You are at risk for this brain infection because you have a weakened immune system. Call your doctor right away if you have any of the following symptoms:
  • weakness on one side of the body
  • you do not care about things you usually care about (apathy)
  • you are confused or have problems thinking
  • you cannot control your muscles
Call your doctor right away if you have any of the following signs and symptoms of infection:
  • temperature of 100.5°F or greater
  • cold symptoms, such as a runny nose or sore throat
  • flu symptoms, such as an upset stomach, stomach pain, vomiting or diarrhea
  • earache or headache
  • pain during urination
  • white patches in the mouth or throat
  • unexpected bruising or bleeding
  • cuts, scrapes or incisions that are red, warm and oozing pus
See "What are the possible side effects of CELLCEPT?" for information about other serious side effects.
What is CELLCEPT?
  • CELLCEPT is a prescription medicine to prevent rejection (antirejection medicine) in people who have received a kidney, heart or liver transplant. Rejection is when the body's immune system perceives the new organ as a "foreign" threat and attacks it.
  • CELLCEPT is used with other medicines containing cyclosporine and corticosteroids.
Who should not take CELLCEPT?

Do not take CELLCEPT if you have a history of allergic reactions to mycophenolate mofetil or any of the ingredients in CELLCEPT.
See the end of this Medication Guide for a complete list of ingredients in CELLCEPT.
What should I tell my doctor before taking CELLCEPT?

Tell your doctor about all of your medical conditions, including if you:
  • have any digestive problems, such as ulcers.
  • have Phenylketonuria (PKU). CELLCEPT oral suspension contains aspartame (a source of phenylalanine).
  • have Lesch-Nyhan syndrome, Kelley-Seegmiller syndrome, or another rare inherited deficiency hypoxanthine-guanine phosphoribosyl-transferase (HGPRT). You should not take CELLCEPT if you have one of these disorders.
  • plan to receive any vaccines. People taking CELLCEPT should not receive live vaccines. Some vaccines may not work as well during treatment with CELLCEPT.
  • are pregnant or plan to become pregnant. See "What is the most important information I should know about CELLCEPT?"
  • are breastfeeding or plan to breastfeed. It is not known if CELLCEPT passes into breast milk. You and your doctor will decide if you will take CELLCEPT or breastfeed.
Tell your healthcare provider about all the medicines you take, including prescription and over-the-counter medicines, vitamins and herbal supplements. Some medicines may affect the way CELLCEPT works, and CELLCEPT may affect how some medicines work.

Especially tell your doctor if you take:
  • birth control pills (oral contraceptives). See "What is the most important information I should know about CELLCEPT?"
  • sevelamer (Renagel®, Renvela™). These products should be taken at least 2 hours after taking CELLCEPT.
  • acyclovir (Zovirax®), valacyclovir (Valtrex®), ganciclovir (CYTOVENE®-IV, Vitrasert®), valganciclovir (VALCYTE®).
  • rifampin (Rifater®, Rifamate®, Rimactane®, Rifadin®).
  • antacids that contain magnesium and aluminum (CELLCEPT and the antacid should not be taken at the same time).
  • proton pump inhibitors (PPIs) (Prevacid®, Protonix®).
  • sulfamethoxazole/trimethoprim (BACTRIM™, BACTRIM DS™).
  • norfloxacin (Noroxin®) and metronidazole (Flagyl®, Flagyl® ER, Flagyl® IV, Metro IV, Helidac®, Pylera™).
  • ciprofloxacin (Cipro®, Cipro® XR, Ciloxan®, Proquin® XR) and amoxicillin plus clavulanic acid (Augmentin®, Augmentin XR™).
  • azathioprine (Azasan®, Imuran®).
  • cholestyramine (Questran Light®, Questran®, Locholest Light, Locholest, Prevalite®).
Know the medicines you take. Keep a list of them to show to your doctor or nurse and pharmacist when you get a new medicine. Do not take any new medicine without talking with your doctor.
How should I take CELLCEPT?
  • Take CELLCEPT exactly as prescribed.
  • Do not stop taking CELLCEPT or change the dose unless your doctor tells you to.
  • If you miss a dose of CELLCEPT, or you are not sure when you took your last dose, take your prescribed dose of CELLCEPT as soon as you remember. If your next dose is less than 2 hours away, skip the missed dose and take your next dose at your normal scheduled time. Do not take 2 doses at the same time. Call your doctor if you are not sure what to do.
  • Take CELLCEPT capsules, tablets and oral suspension on an empty stomach, unless your doctor tells you otherwise. Do not crush CELLCEPT tablets.
  • Do not open or crush CELLCEPT capsules.
  • If you are not able to swallow CELLCEPT tablets or capsules, your doctor may prescribe CELLCEPT Oral Suspension. This is a liquid form of CELLCEPT. Your pharmacist will mix the medicine before you pick it up from a pharmacy.
  • Do not mix CELLCEPT Oral Suspension with any other medicine. CELLCEPT Oral Suspension should not be mixed with any type of liquids before taking the dose. See the Instructions for Use at the end of this Medication Guide for detailed instructions about how to take CELLCEPT Oral Suspension the right way.
  • Do not breathe in (inhale) or let CELLCEPT powder or oral suspension come in contact with your skin or mucous membranes.
    • If you accidentally get the powder or oral suspension on the skin, wash the area well with soap and water.
    • If you accidentally get the powder or oral suspension in your eyes or other mucous membranes, flush with plain water.
  • If you take too much CELLCEPT, call your doctor or the poison control center right away.
What should I avoid while taking CELLCEPT?
  • Avoid becoming pregnant. (See "What is the most important information I should know about CELLCEPT?").
  • Limit the amount of time you spend in sunlight. Avoid using tanning beds or sunlamps. People who take CELLCEPT have a higher risk of getting skin cancer (See "What is the most important information I should know about CELLCEPT?"). Wear protective clothing when you are in the sun and use a broad-spectrum sunscreen with a high protection factor. This is especially important if your skin is very fair or if you have a family history of skin cancer.
  • You should not donate blood while taking CELLCEPT and for at least 6 weeks after stopping CELLCEPT.
  • You should not donate sperm while taking CELLCEPT and for 90 days after stopping CELLCEPT.
  • CELLCEPT may influence your ability to drive and use machines (See " What are the possible side effects of CELLCEPT? ". If you experience drowsiness, confusion, dizziness, tremor, or low blood pressure during treatment with CELLCEPT, you should be cautious about driving or using heavy machines.
What are the possible side effects of CELLCEPT?

CELLCEPT may cause serious side effects, including:
  • See "What is the most important information I should know about CELLCEPT?"
  • Low blood cell counts. People taking high doses of CELLCEPT each day may have a decrease in blood counts, including:
    • white blood cells, especially neutrophils. Neutrophils fight against bacterial infections. You have a higher chance of getting an infection when your white blood cell count is low. This is most common from 1 month to 6 months after your transplant.
    • red blood cells. Red blood cells carry oxygen to your body tissues. You have a higher chance of getting severe anemia when your red blood cell count is low.
    • platelets. Platelets help with blood clotting.
    Your doctor will do blood tests before you start taking CELLCEPT and during treatment with CELLCEPT to check your blood cell counts. Tell your doctor right away if you have any signs of infection (See "What is the most important information I should know about CELLCEPT?"), including any unexpected bruising or bleeding. Also, tell your doctor if you have unusual tiredness, lack of energy, dizziness or fainting.
  • Stomach problems. Stomach problems including intestinal bleeding, a tear in your intestinal wall (perforation) or stomach ulcers can happen in people who take CELLCEPT. Bleeding can be severe and you may have to be hospitalized for treatment. Call your doctor right away if you have sudden or severe stomach-area pain or stomach-area pain that does not go away, or if you have diarrhea.
  • Inflammatory reactions. Some people taking CELLCEPT may have an inflammatory reaction with fever, joint stiffness, joint pain, and muscle pain. Some of these reactions may require hospitalization. This reaction could happen within weeks to months after your treatment with CELLCEPT starts or if your dose is increased. Call your doctor right away if you experience these symptoms.
  • Allergic (hypersensitivity) reactions. Allergic reactions, including a severe allergic reaction called anaphylaxis, can happen after taking CELLCEPT. Stop taking CELLCEPT and get emergency medical help right away if you have any of the following symptoms of an allergic reaction:
  • swelling of the face, lips, tongue, or throat
  • rash, hives, or itching
  • fainting, dizziness, feeling lightheaded
  • trouble breathing or swallowing
  • fast heartbeat
  • chest pain
The most common side effects of CELLCEPT include:
  • diarrhea
  • blood problems including low white and red blood cell counts
  • infections
  • blood pressure problems
  • fast heartbeat
  • swelling of the lower legs, ankles and feet
  • changes in laboratory blood levels, including high levels of blood sugar (hyperglycemia)
  • stomach problems including diarrhea, constipation, nausea and vomiting
  • rash
  • nervous system problems such as headache, dizziness and tremor
Side effects that can happen more often in children than in adults taking CELLCEPT include:
  • stomach area pain
  • fever
  • infection
  • pain
  • blood infection (sepsis)
  • diarrhea
  • vomiting
  • sore throat
  • colds (respiratory tract infections)
  • high blood pressure
  • low white blood cell count
  • low red blood cell count
These are not all of the possible side effects of CELLCEPT. Tell your doctor about any side effect that bothers you or that does not go away.

Call your doctor for medical advice about side effects. You may report side effects to FDA at 1-800-FDA-1088.

You may also report side effects to Genentech at 1-888-835-2555.
How should I store CELLCEPT?
  • Store CELLCEPT capsules and tablets at room temperature between 59°F to 86°F (15°C to 30°C).
  • Keep CELLCEPT tablets in the light resistant container that it comes in.
  • Store CELLCEPT Oral Suspension at room temperature between 59°F to 86°F (15°C to 30°C), for up to 60 days. You can also store CELLCEPT Oral Suspension in the refrigerator between 36°F to 46°F (2°C to 8°C). Do not freeze.
Keep CELLCEPT and all medicines out of the reach of children.
General information about the safe and effective use of CELLCEPT.

Medicines are sometimes prescribed for purposes other than those listed in a Medication Guide. Do not use CELLCEPT for a condition for which it was not prescribed. Do not give CELLCEPT to other people, even if they have the same symptoms that you have. It may harm them.

This Medication Guide summarizes the most important information about CELLCEPT. If you would like more information, talk with your doctor. You can ask your doctor or pharmacist about CELLCEPT that is written for health professionals.
What are the ingredients in CELLCEPT?

Active ingredient:
mycophenolate mofetil

Inactive ingredients:

CELLCEPT 250 mg capsules:
croscarmellose sodium, magnesium stearate, povidone (K-90) and pregelatinized starch. The capsule shells contain black iron oxide, FD&C blue #2, gelatin, red iron oxide, silicon dioxide, sodium lauryl sulfate, titanium dioxide, and yellow iron oxide.

CELLCEPT 500 mg tablets: croscarmellose sodium, FD&C blue #2 aluminum lake, hydroxypropyl cellulose, hydroxypropyl methylcellulose, magnesium stearate, microcrystalline cellulose, polyethylene glycol 400, povidone (K-90), red iron oxide, and titanium dioxide.

CELLCEPT Oral Suspension: aspartame, citric acid anhydrous, colloidal silicon dioxide, methylparaben, mixed fruit flavor, sodium citrate dihydrate, sorbitol, soybean lecithin, and xanthan gum.

CELLCEPT Intravenous: polysorbate 80, and citric acid. Sodium hydroxide and hydrochloric acid may have been used in the manufacture of CELLCEPT Intravenous to adjust the pH.

Distributed by:

Genentech USA, Inc.

A Member of the Roche Group

1 DNA Way

South San Francisco, CA 94080-4990

CELLCEPT and VALCYTE are registered trademarks of Hoffmann-La Roche Inc.

© 2025 Genentech, Inc. All rights reserved.

For more information, call 1-888-835-2555 or visit www.gene.com/gene/products/information/CELLCEPT.
Section 43683-2 (43683-2)
Warnings and Precautions (5.8) 05/2025
10 Overdosage (10 OVERDOSAGE)

Possible signs and symptoms of acute overdose include hematological abnormalities such as leukopenia and neutropenia, and gastrointestinal symptoms such as abdominal pain, diarrhea, nausea, vomiting, and dyspepsia.

The experience with overdose of CELLCEPT in humans is limited. The reported effects associated with overdose fall within the known safety profile of the drug. The highest dose administered to kidney transplant patients in clinical trials has been 4 g/day. In limited experience with heart and liver transplant patients in clinical trials, the highest doses used were 4 g/day or 5 g/day. At doses of 4 g/day or 5 g/day, there appears to be a higher rate, compared to the use of 3 g/day or less, of gastrointestinal intolerance (nausea, vomiting, and/or diarrhea), and occasional hematologic abnormalities, particularly neutropenia [see Warnings and Precautions (5.4)].

15 References (15 REFERENCES)

1. "OSHA Hazardous Drugs." OSHA. http://www.osha.gov/SLTC/hazardousdrugs/index.html

11 Description (11 DESCRIPTION)

CELLCEPT (mycophenolate mofetil) is an antimetabolite immunosuppressant. It is the 2-morpholinoethyl ester of mycophenolic acid (MPA), an immunosuppressive agent; inosine monophosphate dehydrogenase (IMPDH) inhibitor.

The chemical name for mycophenolate mofetil (MMF) is 2-morpholinoethyl (E)-6-(1,3-dihydro-4-hydroxy-6-methoxy-7-methyl-3-oxo-5-isobenzofuranyl)-4-methyl-4-hexenoate. It has an empirical formula of C23H31NO7, a molecular weight of 433.50, and the following structural formula:

MMF is a white to off-white crystalline powder. It is slightly soluble in water (43 µg/mL at pH 7.4); the solubility increases in acidic medium (4.27 mg/mL at pH 3.6). It is freely soluble in acetone, soluble in methanol, and sparingly soluble in ethanol. The apparent partition coefficient in 1-octanol/water (pH 7.4) buffer solution is 238. The pKa values for MMF are 5.6 for the morpholino group and 8.5 for the phenolic group.

MMF hydrochloride has a solubility of 65.8 mg/mL in 5% Dextrose Injection USP (D5W). The pH of the reconstituted solution is 2.4 to 4.1.

CELLCEPT is available for oral administration as capsules containing 250 mg of MMF, tablets containing 500 mg of MMF, and as a powder for oral suspension which, when reconstituted, contains 200 mg/mL of MMF.

Inactive ingredients in CELLCEPT 250 mg capsules include croscarmellose sodium, magnesium stearate, povidone (K-90) and pregelatinized starch. The capsule shells contain black iron oxide, FD&C blue #2, gelatin, red iron oxide, silicon dioxide, sodium lauryl sulfate, titanium dioxide, and yellow iron oxide.

Inactive ingredients in CELLCEPT 500 mg tablets include croscarmellose sodium, magnesium stearate, microcrystalline cellulose, povidone (K-90), and Opadry® lavender Y-5R-10272-A (hydroxypropyl methylcellulose, hydroxypropyl cellulose, titanium dioxide, polyethylene glycol 400, FD&C Blue No. 2 aluminum lake [indigo carmine aluminum lake], and red iron oxide).

Inactive ingredients in CELLCEPT Oral Suspension include aspartame, citric acid anhydrous, colloidal silicon dioxide, methylparaben, mixed fruit flavor, sodium citrate dihydrate, sorbitol, soybean lecithin, and xanthan gum.

CELLCEPT Intravenous is the hydrochloride salt of MMF. The chemical name for the hydrochloride salt of MMF is 2-morpholinoethyl (E)-6-(1,3-dihydro-4-hydroxy-6-methoxy-7-methyl-3-oxo-5-isobenzofuranyl)-4-methyl-4-hexenoate hydrochloride. It has an empirical formula of C23H31NO7 HCl and a molecular weight of 469.96.

CELLCEPT Intravenous is available as a sterile white to off-white lyophilized powder in single-dose vials containing MMF hydrochloride for administration by intravenous infusion only. Each vial contains 500 mg of mycophenolate mofetil equivalent to 542 mg of mycophenolate mofetil hydrochloride. The inactive ingredients are polysorbate 80, 25 mg, and citric acid, 5 mg. Sodium hydroxide or hydrochloric acid may have been used in the manufacture of CELLCEPT Intravenous to adjust the pH. Reconstitution and dilution with 5% Dextrose Injection USP yields a slightly yellow solution of MMF, 6 mg/mL [see Dosage and Administration (2.6)].

5.9 Immunizations

During treatment with CELLCEPT, the use of live attenuated vaccines should be avoided (e.g., intranasal influenza, measles, mumps, rubella, oral polio, BCG, yellow fever, varicella, and TY21a typhoid vaccines) and patients should be advised that vaccinations may be less effective. Advise patients to discuss with the physician before seeking any immunizations.

8.4 Pediatric Use

Safety and effectiveness have been established in pediatric patients 3 months and older for the prophylaxis of organ rejection of allogenic kidney, heart or liver transplants.

8.5 Geriatric Use

Clinical studies of CELLCEPT did not include sufficient numbers of subjects aged 65 and over to determine whether they respond differently from younger subjects. Other reported clinical experience has not identified differences in responses between geriatric and younger patients. In general, dose selection for a geriatric patient should take into consideration the presence of decreased hepatic, renal or cardiac function and of concomitant drug therapies [see Adverse Reactions (6.1), Drug Interactions (7)].

17.8 Immunizations

Inform patients that CELLCEPT can interfere with the usual response to immunizations. Before seeking vaccines on their own, advise patients to discuss first with their physician [see Warnings and Precautions (5.9)].

17.11semen Donation (17.11Semen Donation)

Advise males of childbearing potential not to donate semen during therapy and for 90 days following discontinuation of CELLCEPT [see Warnings and Precautions (5.13)].

4 Contraindications (4 CONTRAINDICATIONS)

CELLCEPT is contraindicated in patients with a history of hypersensitivity, including anaphylaxis, to mycophenolate mofetil (MMF), mycophenolic acid (MPA) or any component of the drug product [see Warnings and Precautions (5.8)]. CELLCEPT Intravenous is contraindicated in patients who are allergic to Polysorbate 80 (TWEEN).

5.12 Blood Donation

Patients should not donate blood during therapy and for at least 6 weeks following discontinuation of CELLCEPT because their blood or blood products might be administered to a female of reproductive potential or a pregnant woman.

5.13 Semen Donation

Based on animal data, men should not donate semen during therapy and for 90 days following discontinuation of CELLCEPT [see Use In Specific Populations (8.3)].

6 Adverse Reactions (6 ADVERSE REACTIONS)

The following adverse reactions are discussed in greater detail in other sections of the label:

7 Drug Interactions (7 DRUG INTERACTIONS)
  • See FPI for drugs that may interfere with systemic exposure and reduce CELLCEPT efficacy: antacids with magnesium or aluminum hydroxide, proton pump inhibitors, drugs that interfere with enterohepatic recirculation, telmisartan, calcium-free phosphate binders. (7.1)
  • CELLCEPT may reduce effectiveness of oral contraceptives. Use of additional barrier contraceptive methods is recommended. (7.2)
  • See FPI for other important drug interactions. (7)
17.10 Blood Donation

Advise patients not to donate blood during therapy and for at least 6 weeks following discontinuation of CELLCEPT [see Warnings and Precautions (5.12)].

Instructions for Use

Read this Instructions for Use before you take or give CELLCEPT for the first time and each time you get a refill. There may be new information. This information does not take the place of talking to your healthcare provider about your medical condition or treatment.

Important:

  • Always use the oral dispenser provided with CELLCEPT Oral Suspension to make sure you measure the right amount of medicine. If your CELLCEPT Oral Suspension does not come with the oral dispenser, contact your pharmacist.
  • Call your pharmacist if your oral dispenser is lost or damaged.
  • Your pharmacist will write the expiration date on your CELLCEPT Oral Suspension bottle label. Do not use CELLCEPT after the expiration date.
  • Ask your doctor or pharmacist if you have any questions or are unsure about how to take or give the right amount of medicine.
  • The CELLCEPT Oral Suspension should not be mixed with any type of liquids before taking or giving the dose.
  • Do not let the CELLCEPT Oral Suspension come in contact with the skin. If this happens, wash the skin well with soap and water. If the CELLCEPT Oral Suspension gets in the eyes, rinse the eyes with plain water.
  • If you spill any CELLCEPT Oral Suspension, wipe it up using paper towels wet with water. Put the child-resistant bottle cap back on the bottle and wipe the outside of the bottle with wet paper towels.

Supplies needed to take or give a dose of CELLCEPT Oral Suspension:

To take or give a dose of CELLCEPT Oral Suspension, you will need the bottle of medicine and the oral dispenser provided with the medicine (See Figure 1 ). Your pharmacist will insert the bottle adapter in the CELLCEPT Oral Suspension bottle. Do not remove the bottle adapter from the bottle.

Figure 1

Taking or giving a dose of CELLCEPT Oral Suspension:

Step 1: With the child-resistant cap on the bottle, shake the bottle well for about 5 seconds before each use.
Step 2: Open the bottle by firmly pressing down on the child-resistant bottle cap and turning it to the left (counter-clockwise). Do not throw away the child-resistant bottle cap.
Step 3: Place the bottle on a flat surface. Before inserting the tip of the oral dispenser into the bottle adapter, push the plunger completely down toward the tip of the oral dispenser. Use 1 hand to hold the bottle upright. Insert the oral dispenser tip firmly into the opening of the bottle adapter.
Step 4: Carefully turn the bottle upside down with the oral dispenser tip in place. Slowly pull the plunger down to withdraw your prescribed dose. Do not pull the plunger out of the oral dispenser (See Figure 2 ).

Step 5: Leave the oral dispenser tip in the bottle and turn the bottle to an upright position. Slowly remove the oral dispenser tip from the bottle.

If there are air bubbles in the oral dispenser or if you have withdrawn the wrong dose, insert the oral dispenser tip back into the bottle adapter while the bottle is in an upright position. Push the plunger gently all the way up so the CELLCEPT Oral Suspension flows back into the bottle. Repeat Step 4.
Step 6: Place the tip of the oral dispenser in the mouth directed towards the cheek and slowly push the plunger down until the oral dispenser is empty.
Step 7: Put the child-resistant bottle cap back on the bottle and turn the cap to the right (clockwise) to close the bottle. Keep the bottle tightly closed after each use.
Step 8: Rinse the oral dispenser under running tap water after each use:
  • Remove the plunger from the oral dispenser.
  • Rinse the oral dispenser and plunger with water only and let them air dry on a paper towel.
  • When the oral dispenser and plunger are dry, put the plunger back in the oral dispenser for the next use. Do not throw away the oral dispenser. Store the oral dispenser in a clean, dry place.
  • Do not boil the oral dispenser. Do not use solvent-containing wipes to clean the oral dispenser. Do not use cloths or wipes to dry the oral dispenser.

How should I store CELLCEPT Oral Suspension?

  • Store the CELLCEPT Oral Suspension at room temperature between 59°F to 86°F (15°C to 30°C), for up to 60 days. You can also store the CELLCEPT Oral Suspension in the refrigerator between 36°F to 46°F (2°C to 8°C). )
  • Do not freeze.

Keep CELLCEPT Oral Suspension and all medicines out of the reach of children.

Distributed by:

Genentech USA, Inc.

A Member of the Roche Group

1 DNA Way

South San Francisco, CA 94080-4990

©2022 Genentech, Inc. All rights reserved.

This Instructions for Use has been approved by the U.S. Food and Drug Administration.

Revised: August 2022

12.2 Pharmacodynamics

There is a lack of information regarding the pharmacodynamic effects of MMF.

17.4 Blood Dyscrasias

Inform patients that they are at increased risk for developing blood adverse effects such as anemia or low white blood cells. Advise patients to immediately contact their healthcare provider if they experience any evidence of infection, unexpected bruising, or bleeding, or any other manifestation of bone marrow suppression [see Warnings and Precautions (5.4)].

5.3 Serious Infections

Patients receiving immunosuppressants, including CELLCEPT, are at increased risk of developing bacterial, fungal, protozoal and new or reactivated viral infections, including opportunistic infections. The risk increases with the total immunosuppressive load. These infections may lead to serious outcomes, including hospitalizations and death [see Adverse Reactions (6.1, 6.2)].

Serious viral infections reported include:

  • Polyomavirus-associated nephropathy (PVAN), especially due to BK virus infection
  • JC virus-associated progressive multifocal leukoencephalopathy (PML), and
  • Cytomegalovirus (CMV) infections: CMV seronegative transplant patients who receive an organ from a CMV seropositive donor are at highest risk of CMV viremia and CMV disease.
  • Viral reactivation in patients infected with Hepatitis B and C
  • COVID-19

Consider dose reduction or discontinuation of CELLCEPT in patients who develop new infections or reactivate viral infections, weighing the risk that reduced immunosuppression represents to the functioning allograft.

PVAN, especially due to BK virus infection, is associated with serious outcomes, including deteriorating renal function and renal graft loss [see Adverse Reactions (6.2)]. Patient monitoring may help detect patients at risk for PVAN.

PML, which is sometimes fatal, commonly presents with hemiparesis, apathy, confusion, cognitive deficiencies, and ataxia [see Adverse Reactions (6.2)]. In immunosuppressed patients, physicians should consider PML in the differential diagnosis in patients reporting neurological symptoms.

The risk of CMV viremia and CMV disease is highest among transplant recipients seronegative for CMV at time of transplant who receive a graft from a CMV seropositive donor. Therapeutic approaches to limiting CMV disease exist and should be routinely provided. Patient monitoring may help detect patients at risk for CMV disease.

Viral reactivation has been reported in patients infected with HBV or HCV. Monitoring infected patients for clinical and laboratory signs of active HBV or HCV infection is recommended.

1 Indications and Usage (1 INDICATIONS AND USAGE)

CELLCEPT [mycophenolate mofetil (MMF)] is indicated for the prophylaxis of organ rejection, in adult and pediatric recipients 3 months of age and older of allogeneic kidney [see Clinical Studies (14.1)], heart [see Clinical Studies (14.2)] or liver transplants [see Clinical Studies (14.3)], in combination with other immunosuppressants.

12.1 Mechanism of Action

Mycophenolate mofetil (MMF) is absorbed following oral administration and hydrolyzed to mycophenolic acid (MPA), the active metabolite. MPA is a selective uncompetitive inhibitor of the two isoforms (type I and type II) of inosine monophosphate dehydrogenase (IMPDH) leading to inhibition of the de novo pathway of guanosine nucleotide synthesis and blocks DNA synthesis. The mechanism of action of MPA is multifaceted and includes effects on cellular checkpoints responsible for metabolic programming of lymphocytes. MPA shifts transcriptional activities in lymphocytes from a proliferative state to catabolic processes. In vitro studies suggest that MPA modulates transcriptional activities in human CD4+ T-lymphocytes by suppressing the Akt/mTOR and STAT5 pathways that are relevant to metabolism and survival, leading to an anergic state of T-cells whereby the cells become less responsive to antigenic stimulation. Additionally, MPA enhanced the expression of negative co-stimulators such as CD70, PD-1, CTLA-4, and transcription factor FoxP3 as well as decreased the expression of positive co-stimulators CD27 and CD28.

MPA decreases proliferative responses of T- and B-lymphocytes to both mitogenic and allo-antigenic stimulation, antibody responses, as well as the production of cytokines from lymphocytes and monocytes such as GM-CSF, IFN-ɣ, IL-17, and TNF-α. Additionally, MPA prevents the glycosylation of lymphocyte and monocyte glycoproteins that are involved in intercellular adhesion to endothelial cells and may inhibit recruitment of leukocytes into sites of inflammation and graft rejection.

Overall, the effect of MPA is cytostatic and reversible.

5.1 Embryofetal Toxicity

Use of MMF during pregnancy is associated with an increased risk of first trimester pregnancy loss and an increased risk of congenital malformations, especially external ear and other facial abnormalities including cleft lip and palate, and anomalies of the distal limbs, heart, esophagus, kidney and nervous system. Females of reproductive potential must be made aware of these risks and must be counseled regarding pregnancy prevention and planning. Avoid use of MMF during pregnancy if safer treatment options are available [see Use in Specific Populations (8.1, 8.3)].

14.2 Heart Transplantation

A double-blind, randomized, comparative, parallel-group, multicenter study in primary de novo heart transplant recipients was performed at centers in the United States (20), in Canada (1), in Europe (5) and in Australia (2). The total number of patients enrolled (ITT population) was 650; 72 never received study drug and 578 received study drug (Safety Population). Patients received CELLCEPT 1.5 g twice daily (n=289) or AZA 1.5 to 3 mg/kg/day (n=289), in combination with cyclosporine (Sandimmune® or Neoral®) and corticosteroids as maintenance immunosuppressive therapy. The two primary efficacy endpoints were: (1) the proportion of patients who, after transplantation, had at least one endomyocardial biopsy-proven rejection with hemodynamic compromise, or were re-transplanted or died, within the first 6 months, and (2) the proportion of patients who died or were re-transplanted during the first 12 months following transplantation. Patients who prematurely discontinued treatment were followed for the occurrence of allograft rejection for up to 6 months and for the occurrence of death for 1 year.

The analyses of the endpoints showed:

  • Rejection: No difference was established between CELLCEPT and AZA with respect to biopsy-proven rejection with hemodynamic compromise.
  • Survival: CELLCEPT was shown to be at least as effective as AZA in preventing death or re-transplantation at 1 year (see Table 15 ).
Table 15 De Novo Heart Transplantation Study Rejection at 6 Months/Death or Re-transplantation at 1 Year
All Patients (ITT) Treated Patients
AZA

N = 323
CELLCEPT

N = 327
AZA

N = 289
CELLCEPT

N = 289
Biopsy-proven rejection with hemodynamic compromise at 6 months
Hemodynamic compromise occurred if any of the following criteria were met: pulmonary capillary wedge pressure ≥20 mm or a 25% increase; cardiac index <2.0 L/min/m2 or a 25% decrease; ejection fraction ≤30%; pulmonary artery oxygen saturation ≤60% or a 25% decrease; presence of new S3 gallop; fractional shortening was ≤20% or a 25% decrease; inotropic support required to manage the clinical condition.
121 (38%) 120 (37%) 100 (35%) 92 (32%)
Death or re-transplantation at 1 year 49 (15.2%) 42 (12.8%) 33 (11.4%) 18 (6.2%)
14.3 Liver Transplantation

A double-blind, randomized, comparative, parallel-group, multicenter study in primary hepatic transplant recipients was performed at centers in the United States (16), in Canada (2), in Europe (4) and in Australia (1). The total number of patients enrolled was 565. Per protocol, patients received CELLCEPT 1 g twice daily intravenously for up to 14 days followed by CELLCEPT 1.5 g twice daily orally or AZA 1 to 2 mg/kg/day intravenously followed by AZA 1 to 2 mg/kg/day orally, in combination with cyclosporine (Neoral®) and corticosteroids as maintenance immunosuppressive therapy. The actual median oral dose of AZA on study was 1.5 mg/kg/day (range of 0.3 to 3.8 mg/kg/day) initially and 1.26 mg/kg/day (range of 0.3 to 3.8 mg/kg/day) at 12 months. The two primary endpoints were: (1) the proportion of patients who experienced, in the first 6 months post-transplantation, one or more episodes of biopsy-proven and treated rejection or death or re-transplantation, and (2) the proportion of patients who experienced graft loss (death or re-transplantation) during the first 12 months post-transplantation. Patients who prematurely discontinued treatment were followed for the occurrence of allograft rejection and for the occurrence of graft loss (death or re-transplantation) for 1 year.

In combination with corticosteroids and cyclosporine, CELLCEPT demonstrated a lower rate of acute rejection at 6 months and a similar rate of death or re-transplantation at 1 year compared to AZA ( Table 16 ).

Table 16 De Novo Liver Transplantation Study Rejection at 6 Months/Death or Retransplantation at 1 Year
AZA

N = 287
CELLCEPT

N = 278
Biopsy-proven, treated rejection at 6 months (includes death or re-transplantation) 137 (47.7%) 107 (38.5%)
Death or re-transplantation at 1 year 42 (14.6%) 41 (14.7%)
16.1 Handling and Disposal

Mycophenolate mofetil (MMF) has demonstrated teratogenic effects in humans [see Warnings and Precautions (5.1) and Use in Specific Populations (8.1)]. CELLCEPT tablets should not be crushed and CELLCEPT capsules should not be opened or crushed. Wearing disposable gloves is recommended during reconstitution and when wiping the outer surface of the bottle/cap and the table after reconstitution. Avoid inhalation or direct contact with skin or mucous membranes of the powder contained in CELLCEPT capsules, CELLCEPT Oral Suspension (before or after constitution), or CELLCEPT Intravenous (during or after preparation) [see Dosage and Administration (2.6)]. Follow applicable special handling and disposal procedures 1.

5 Warnings and Precautions (5 WARNINGS AND PRECAUTIONS)
  • Blood Dyscrasias (Neutropenia, Red Blood Cell Aplasia): Monitor with blood tests; consider treatment interruption or dose reduction. (5.4)
  • Gastrointestinal Complications: Monitor for complications such as bleeding, ulceration and perforations, particularly in patients with underlying gastrointestinal disorders. (5.5)
  • Hypoxanthine-Guanine Phosphoribosyl-Transferase Deficiency: Avoid use of CELLCEPT. (5.6)
  • Acute Inflammatory Syndrome Associated with Mycophenolate Products: Monitor for this paradoxical inflammatory reaction. (5.7)
  • Hypersensitivity Reactions: Discontinue CELLCEPT; treat and monitor until signs and symptoms resolve. (5.8)
  • Immunizations: Avoid live attenuated vaccines. (5.9)
  • Local Reactions with Rapid Intravenous Administration: CELLCEPT Intravenous must not be administered by rapid or bolus intravenous injection. (5.10)
  • Phenylketonurics: Oral suspension contains aspartame. (5.11)
  • Blood Donation: Avoid during therapy and for 6 weeks thereafter. (5.12)
  • Semen Donation: Avoid during therapy and for 90 days thereafter. (5.13)
  • Potential Impairment on Driving and Use of Machinery: CELLCEPT may affect ability to drive or operate machinery. (5.15)
2 Dosage and Administration (2 DOSAGE AND ADMINISTRATION)
ADULTS DOSAGE
Kidney Transplant 1 g twice daily, orally or intravenously (IV) over no less than 2 h (2.2)
Heart Transplant 1.5 g twice daily orally or IV, over no less than 2 h (2.3)
Liver Transplant 1.5 g twice daily orally or 1g twice daily IV over no less than 2 h (2.4)
PEDIATRICS
Kidney Transplant 600 mg/m2 orally twice daily, up to maximum of 2 g daily (2.2)
Heart Transplant 600 mg/m2 orally twice daily (starting dose) up to a maximum of 900 mg/m2 twice daily (3 g or 15 mL of oral suspension) (2.3)
Liver Transplant 600 mg/m2 orally twice daily (starting dose) up to a maximum of 900 mg/m2 twice daily (3 g or 15 mL of oral suspension) (2.4)
  • CELLCEPT Intravenous is an alternative when patients cannot tolerate oral medication. Administer within 24 hours following transplantation, until patients can tolerate oral medication, up to 14 days. (2.1)
  • Reduce or interrupt dosing in the event of neutropenia. (2.5)
  • See full prescribing information (FPI) for: adjustments for renal impairment and neutropenia (2.5), preparation of oral suspension and IV solution. (2.6)
3 Dosage Forms and Strengths (3 DOSAGE FORMS AND STRENGTHS)

CELLCEPT is available in the following dosage forms and strengths:

Capsules 250 mg mycophenolate mofetil, two-piece hard gelatin capsules, blue-brown, "CELLCEPT 250" printed in black on the blue cap and "Roche" on the brown body
Tablets 500 mg mycophenolate mofetil, lavender-colored, caplet-shaped, film-coated tablets engraved with "CELLCEPT 500" on one side and "Roche" on the other
For oral suspension 35 g mycophenolate mofetil white to off-white powder for reconstitution (200 mg/mL upon reconstitution)
For injection 500 mg mycophenolate mofetil white to off-white lyophilized powder, in a single-dose vial for reconstitution
6.2 Postmarketing Experience

The following adverse reactions have been identified during post-approval use of CELLCEPT. Because these reactions are reported voluntarily from a population of uncertain size, it is not always possible to reliably estimate their frequency or establish a causal relationship to drug exposure:

  • Embryo-Fetal Toxicity: Congenital malformations and spontaneous abortions, mainly in the first trimester, have been reported following exposure to mycophenolate mofetil (MMF) in combination with other immunosuppressants during pregnancy [see Warnings and Precautions (5.1), and Use in Specific Populations (8.1), (8.3)]. Congenital malformations include:
    • -
      Facial malformations: cleft lip, cleft palate, micrognathia, hypertelorism of the orbits
    • -
      Abnormalities of the ear and eye: abnormally formed or absent external/middle ear, coloboma, microphthalmos
    • -
      Malformations of the fingers: polydactyly, syndactyly, brachydactyly
    • -
      Cardiac abnormalities: atrial and ventricular septal defects
    • -
      Esophageal malformations: esophageal atresia
    • -
      Nervous system malformations: such as spina bifida.
  • Cardiovascular: Venous thrombosis has been reported in patients treated with CELLCEPT administered intravenously.
  • Digestive: Colitis, pancreatitis
  • Hematologic and Lymphatic: Bone marrow failure, cases of pure red cell aplasia (PRCA) and hypogammaglobulinemia have been reported in patients treated with CELLCEPT in combination with other immunosuppressive agents [see Warnings and Precautions (5.4)].
  • Immune: Hypersensitivity reactions, including anaphylaxis and angioedema [see Warnings and Precautions (5.8)], hypogammaglobinemia.
  • Infections: Meningitis, infectious endocarditis, tuberculosis, atypical mycobacterial infection, progressive multifocal leukoencephalopathy, BK virus infection, viral reactivation of hepatitis B and hepatitis C, protozoal infections [see Warnings and Precautions (5.3)].
  • Respiratory: Bronchiectasis, interstitial lung disease, fatal pulmonary fibrosis, have been reported rarely and should be considered in the differential diagnosis of pulmonary symptoms ranging from dyspnea to respiratory failure in post-transplant patients receiving CELLCEPT.
  • Vascular: Lymphocele
8 Use in Specific Populations (8 USE IN SPECIFIC POPULATIONS)
  • Male Patients: Sexually active male patients and/or their female partners are recommended to use effective contraception during treatment of the male patient and for at least 90 days after cessation of treatment (8.3)
5.8 Hypersensitivity Reactions

Postmarketing cases of hypersensitivity reactions, including angioedema and anaphylaxis, have been reported with CELLCEPT. These reactions generally occurred within hours to the next day after initiating CELLCEPT. If signs or symptoms of hypersensitivity reaction occur, discontinue CELLCEPT; treat and monitor until symptoms resolve [see Contraindications (4)].

6.1 Clinical Trials Experience

Because clinical trials are conducted under widely varying conditions, adverse reaction rates observed in the clinical trials of a drug cannot be directly compared to rates in the clinical trials of another drug and may not reflect the rates observed in practice.

An estimated total of 1557 adult patients received CELLCEPT during pivotal clinical trials in the prevention of acute organ rejection. Of these, 991 were included in the three renal studies, 277 were included in one hepatic study, and 289 were included in one cardiac study. Patients in all study arms also received cyclosporine and corticosteroids.

The data described below primarily derive from five randomized, active-controlled double-blind 12-month trials of CELLCEPT in de novo kidney (3) heart (1) and liver (1) transplant patients [see Clinical Studies (14.1, 14.2, and 14.3)].

17.7 Hypersensitivity Reactions

Inform patients of the potential risk of hypersensitivity reactions. Advise patients to stop taking CELLCEPT and seek immediate medical attention if signs or symptoms of hypersensitivity reaction occur (such as swelling of face, lips, tongue, or throat; difficulty breathing or swallowing) [see Warnings and Precautions (5.8)].

17.6 Acute Inflammatory Syndrome

Inform patients that acute inflammatory reactions have been reported in some patients who received CELLCEPT. Some reactions were severe, requiring hospitalization. Advise patients to contact their physician if they develop fever, joint stiffness, joint pain or muscle pains [see Warnings and Precautions (5.7)].

17.9 Administration Instructions
  • Advise patients not to crush CELLCEPT tablets and not to open CELLCEPT capsules.
  • Advise patients to avoid inhalation or contact of the skin or mucous membranes with the powder contained in CELLCEPT capsules and with the oral suspension. If such contact occurs, they must wash the area of contact thoroughly with soap and water. In case of ocular contact, rinse eyes with plain water.
  • Advise patients to take a missed dose as soon as they remember, except if it is closer than 2 hours to the next scheduled dose; in this case they should continue to take CELLCEPT at the usual times.
5.5 Gastrointestinal Complications

Gastrointestinal bleeding requiring hospitalization, ulceration and perforations were observed in clinical trials. Physicians should be aware of these serious adverse effects particularly when administering CELLCEPT to patients with a gastrointestinal disease.

5.2 Lymphoma and Other Malignancies

Patients receiving immunosuppressants, including CELLCEPT, are at increased risk of developing lymphomas and other malignancies, particularly of the skin [see Adverse Reactions (6.1)]. The risk appears to be related to the intensity and duration of immunosuppression rather than to the use of any specific agent. For patients with increased risk for skin cancer, exposure to sunlight and UV light should be limited by wearing protective clothing and using a broad-spectrum sunscreen with a high protection factor.

Post-transplant lymphoproliferative disorder (PTLD) developed in 0.4% to 1% of patients receiving CELLCEPT (2 g or 3 g) with other immunosuppressive agents in controlled clinical trials of kidney, heart and liver transplant patients [see Adverse Reactions (6.1)]. The majority of PTLD cases appear to be related to Epstein Barr Virus (EBV) infection. The risk of PTLD appears greatest in those individuals who are EBV seronegative, a population which includes many young children. In pediatric patients, no other malignancies besides PTLD were observed in clinical trials [see Adverse Reactions (6.1)].

7.1 Effect of Other Drugs On Cellcept (7.1 Effect of Other Drugs on CELLCEPT)
Table 7 Drug Interactions with CELLCEPT that Affect Mycophenolic Acid (MPA) Exposure
Antacids with Magnesium or Aluminum Hydroxide
Clinical Impact Concomitant use with an antacid containing magnesium or aluminum hydroxide decreases MPA systemic exposure [see Clinical Pharmacology (12.3)], which may reduce CELLCEPT efficacy.
Prevention or Management Administer magnesium or aluminum hydroxide containing antacids at least 2h after CELLCEPT administration.
Proton Pump Inhibitors (PPIs)
Clinical Impact Concomitant use with PPIs decreases MPA systemic exposure [see Clinical Pharmacology (12.3)], which may reduce CELLCEPT efficacy.
Prevention or Management Monitor patients for alterations in efficacy when PPIs are co-administered with CELLCEPT.
Examples Lansoprazole, pantoprazole
Drugs that Interfere with Enterohepatic Recirculation
Clinical Impact Concomitant use with drugs that directly interfere with enterohepatic recirculation, or indirectly interfere with enterohepatic recirculation by altering the gastrointestinal flora, can decrease MPA systemic exposure [see Clinical Pharmacology (12.3)], which may reduce CELLCEPT efficacy.
Prevention or Management Monitor patients for alterations in efficacy or CELLCEPT related adverse reactions when these drugs are co-administered with CELLCEPT.
Examples Cyclosporine A, trimethoprim/sulfamethoxazole, bile acid sequestrants (cholestyramine), rifampin as well as aminoglycoside, cephalosporin, fluoroquinolone and penicillin classes of antimicrobials
Drugs Modulating Glucuronidation
Clinical Impact Concomitant use with drugs inducing glucuronidation decreases MPA systemic exposure, potentially reducing CELLCEPT efficacy, while use with drugs inhibiting glucuronidation increases MPA systemic exposure [see Clinical Pharmacology (12.3)], which may increase the risk of CELLCEPT related adverse reactions.
Prevention or Management Monitor patients for alterations in efficacy or CELLCEPT related adverse reactions when these drugs are co-administered with CELLCEPT.
Examples Telmisartan (induces glucuronidation); isavuconazole (inhibits glucuronidation).
Calcium Free Phosphate Binders
Clinical Impact Concomitant use with calcium free phosphate binders decrease MPA systemic exposure [see Clinical Pharmacology (12.3)], which may reduce CELLCEPT efficacy.
Prevention or Management Administer calcium free phosphate binders at least 2 hours after CELLCEPT.
Examples Sevelamer
7.2 Effect of Cellcept On Other Drugs (7.2 Effect of CELLCEPT on Other Drugs)
Table 8 Drug Interactions with CELLCEPT that Affect Other Drugs
Drugs that Undergo Renal Tubular Secretion
Clinical Impact When concomitantly used with CELLCEPT, its metabolite MPAG, may compete with drugs eliminated by renal tubular secretion which may increase plasma concentrations and/or adverse reactions associated with these drugs.
Prevention or Management Monitor for drug-related adverse reactions in patients with renal impairment.
Examples Acyclovir, ganciclovir, probenecid, valacyclovir, valganciclovir
Combination Oral Contraceptives
Clinical Impact Concomitant use with CELLCEPT decreased the systemic exposure to levonorgestrel, but did not affect the systemic exposure to ethinylestradiol [see Clinical Pharmacology (12.3)], which may result in reduced combination oral contraceptive effectiveness.
Prevention or Management Use additional barrier contraceptive methods.
17.3 Increased Risk of Serious Infections

Inform patients that they are at increased risk of developing a variety of infections due to immunosuppression. Instruct them to contact their physician if they develop any of the signs and symptoms of infection explained in the Medication Guide [see Warnings and Precautions (5.3)].

17.5 Gastrointestinal Tract Complications

Inform patients that CELLCEPT can cause gastrointestinal tract complications including bleeding, intestinal perforations, and gastric or duodenal ulcers. Advise the patient to contact their healthcare provider if they have symptoms of gastrointestinal bleeding, or sudden onset or persistent abdominal pain [see Warnings and Precautions (5.5)].

2.1 Important Administration Instructions

CELLCEPT should not be used without the supervision of a physician with experience in immunosuppressive therapy.

5.11 Risks in Patients With Phenylketonuria (5.11 Risks in Patients with Phenylketonuria)

Phenylalanine can be harmful to patients with phenylketonuria (PKU). CELLCEPT Oral Suspension contains aspartame, a source of phenylalanine (0.56 mg phenylalanine/mL suspension). Before prescribing CELLCEPT Oral Suspension to a patient with PKU, consider the combined daily amount of phenylalanine from all sources, including CELLCEPT.

Principal Display Panel 500 Mg Vial Carton (PRINCIPAL DISPLAY PANEL - 500 mg Vial Carton)

NDC 0004-0298-09

CellCept® Intravenous

(mycophenolate mofetil for injection)

500 mg

FOR INTRAVENOUS INFUSION ONLY.

Each single-dose vial contains the equivalent of 500 mg mycophenolate mofetil (equivalent to 542 mg of

mycophenolate mofetil hydrochloride), 25 mg polysorbate 80 and 5 mg citric acid. Sodium hydroxide or

hydrochloric acid may have been used to adjust pH.

Attention Pharmacist: Dispense the accompanying Medication Guide to each patient. For additional

Medication Guides, call 1-800-617-8191 or visit www.gene.com/gene/products/information/cellcept.

Rx only

4 Single-Dose Vials

Genentech

10215811

8.3 Females and Males of Reproductive Potential

Females of reproductive potential must be made aware of the increased risk of first trimester pregnancy loss and congenital malformations and must be counseled regarding pregnancy prevention and planning.

Principal Display Panel 200 Mg/ml Bottle Carton (PRINCIPAL DISPLAY PANEL - 200 mg/mL Bottle Carton)

NDC 0004-0261-29

CellCept®

Oral Suspension


(mycophenolate

mofetil for oral

suspension)

200 mg/mL

Each mL contains 200 mg mycophenolate

mofetil after constitution.

Attention Pharmacist: Dispense the accompanying

Medication Guide to each patient. For additional

Medication Guides, call 1-800-617-8191 or visit

www.gene.com/gene/products/information/cellcept.

Rx only

Genentech

10225425

17.2 Development of Lymphoma and Other Malignancies
  • Inform patients that they are at increased risk of developing lymphomas and other malignancies, particularly of the skin, due to immunosuppression [see Warnings and Precautions (5.2)].
  • Advise patients to limit exposure to sunlight and ultraviolet (UV) light by wearing protective clothing and use of broad-spectrum sunscreen with high protection factor.
16.3 Cellcept (mycophenolate Mofetil Tablets) 500 Mg (16.3 CELLCEPT (mycophenolate mofetil tablets) 500 mg)
Tablets

Lavender-colored, caplet-shaped, film-coated tablets engraved with "CELLCEPT 500" on one side and "Roche" on the other
Sizes
Bottle of 100 NDC 0004-0260-01
Bottle of 500 NDC 0004-0260-43
Storage and Dispensing Information:
  • Store at 25°C (77°F); excursions permitted to 15°C to 30°C (59°F to 86°F).
  • Dispense in light-resistant containers, such as the manufacturer's original containers.
16.2 Cellcept (mycophenolate Mofetil Capsules) 250 Mg (16.2 CELLCEPT (mycophenolate mofetil capsules) 250 mg)
Capsules

Blue-brown, two-piece hard gelatin capsules, printed in black with "CELLCEPT 250" on the blue cap and "Roche" on the brown body.
Sizes
Bottle of 100 NDC 0004-0259-01
Bottle of 500 NDC 0004-0259-43
Storage

Store at 25°C (77°F); excursions permitted to 15°C to 30°C (59°F to 86°F)
Principal Display Panel 500 Mg Tablet Bottle Carton (PRINCIPAL DISPLAY PANEL - 500 mg Tablet Bottle Carton)

NDC 0004-0260-43

CellCept®

(mycophenolate

mofetil tablets)

500 mg

Each tablet contains

500 mg mycophenolate mofetil.

Rx only

Attention Pharmacist: Dispense the

accompanying Medication Guide to each

patient. For additional Medication Guides call

1-800-617-8191 or visit www.gene.com/gene/

products/information/cellcept.

500 tablets

Genentech

10235320

17.12 Potential to Impair Driving and Use of Machinery

Advise patients that CELLCEPT can affect the ability to drive or operate machines. Patients should avoid driving or operating machines if they experience somnolence, confusion, dizziness, tremor or hypotension during treatment with CELLCEPT [see Warnings and Precautions (5.15)].

Principal Display Panel 250 Mg Capsule Bottle Carton (PRINCIPAL DISPLAY PANEL - 250 mg Capsule Bottle Carton)

NDC 0004-0259-43

CellCept®

(mycophenolate

mofetil capsules)

250 mg

Each capsule contains

250 mg mycophenolate mofetil.

Rx only

Attention Pharmacist: Dispense the

accompanying Medication Guide to each

patient. For additional Medication Guides call

1-800-617-8191 or visit www.gene.com/gene/

products/information/cellcept.

500 capsules

Genentech

10235316

13.1 Carcinogenesis, Mutagenesis, Impairment of Fertility

In a 104-week oral carcinogenicity study in mice, MMF in daily doses up to 180 mg/kg was not tumorigenic. The highest dose tested was 0.2 times the recommended clinical dose (2 g/day) in renal transplant patients and 0.15 times the recommended clinical dose (3 g/day) in cardiac transplant patients when corrected for differences in body surface area (BSA). In a 104-week oral carcinogenicity study in rats, MMF in daily doses up to 15 mg/kg was not tumorigenic. The highest dose was 0.035 times the recommended clinical dose in kidney transplant patients and 0.025 times the recommended clinical dose in heart transplant patients when corrected for BSA. While these animal doses were lower than those given to patients, they were maximal in those species and were considered adequate to evaluate the potential for human risk [see Warnings and Precautions (5.2)].

The genotoxic potential of MMF was determined in five assays. MMF was genotoxic in the mouse lymphoma/thymidine kinase assay and the in vivo mouse micronucleus assay. MMF was not genotoxic in the bacterial mutation assay, the yeast mitotic gene conversion assay or the Chinese hamster ovary cell chromosomal aberration assay.

MMF had no effect on fertility of male rats at oral doses up to 20 mg/kg/day. This dose represents 0.05 times the recommended clinical dose in renal transplant patients and 0.03 times the recommended clinical dose in cardiac transplant patients when corrected for BSA. In a female fertility and reproduction study conducted in rats, oral doses of 4.5 mg/kg/day caused malformations (principally of the head and eyes) in the first generation offspring in the absence of maternal toxicity. This dose was 0.01 times the recommended clinical dose in renal transplant patients and 0.005 times the recommended clinical dose in cardiac transplant patients when corrected for BSA. No effects on fertility or reproductive parameters were evident in the dams or in the subsequent generation.

5.10 Local Reactions With Rapid Intravenous Administration (5.10 Local Reactions with Rapid Intravenous Administration)

CELLCEPT Intravenous solution must not be administered by rapid or bolus intravenous injection as rapid infusion increases the risk of local adverse reactions such as phlebitis and thrombosis [see Adverse Reactions (6.1)].

16.5 Cellcept Intravenous (mycophenolate Mofetil for Injection) (16.5 CELLCEPT Intravenous (mycophenolate mofetil for injection))
For injection: 500 mg mycophenolate mofetil in a 20 mL sterile single-dose vial cartons of 4 vials
Cartons of 4 single-dose vials NDC 0004-0298-09
Storage
  • Store powder and reconstituted infusion solution at 25°C (77°F); excursions permitted to 15°C to 30°C (59°F to 86°F).
5.15 Potential Impairment of Ability to Drive Or Operate Machinery (5.15 Potential Impairment of Ability to Drive or Operate Machinery)

CELLCEPT may impact the ability to drive and use machines. Patients should avoid driving or using machines if they experience somnolence, confusion, dizziness, tremor, or hypotension during treatment with CELLCEPT [see Adverse Reactions (6.1)].

5.4 Blood Dyscrasias: Neutropenia and Pure Red Cell Aplasia (prca) (5.4 Blood Dyscrasias: Neutropenia and Pure Red Cell Aplasia (PRCA))

Severe neutropenia [absolute neutrophil count (ANC) <0.5 × 103/µL] developed in transplant patients receiving CELLCEPT 3 g daily [see Adverse Reactions (6.1)]. Patients receiving CELLCEPT should be monitored for neutropenia. Neutropenia has been observed most frequently in the period from 31 to 180 days post-transplant in patients treated for prevention of kidney, heart and liver rejection. The development of neutropenia may be related to CELLCEPT itself, concomitant medications, viral infections, or a combination of these causes. If neutropenia develops (ANC <1.3 × 103/µL), dosing with CELLCEPT should be interrupted or the dose reduced, appropriate diagnostic tests performed, and the patient managed appropriately [see Dosage and Administration (2.5)].

Patients receiving CELLCEPT should be instructed to report immediately any evidence of infection, unexpected bruising, bleeding or any other manifestation of bone marrow depression.

Consider monitoring with complete blood counts weekly for the first month, twice monthly for the second and third months, and monthly for the remainder of the first year.

Cases of pure red cell aplasia (PRCA) have been reported in patients treated with CELLCEPT in combination with other immunosuppressive agents. In some cases, PRCA was found to be reversible with dose reduction or cessation of CELLCEPT therapy. In transplant patients, however, reduced immunosuppression may place the graft at risk.

Warning: Embryofetal Toxicity, Malignancies and Serious Infections (WARNING: EMBRYOFETAL TOXICITY, MALIGNANCIES and SERIOUS INFECTIONS)
  • Use during pregnancy is associated with increased risks of first trimester pregnancy loss and congenital malformations. Avoid if safer treatment options are available. Females of reproductive potential must be counseled regarding pregnancy prevention and planning [see Warnings and Precautions (5.1), Use in Special Populations (8.1, 8.3)].
  • Increased risk of development of lymphoma and other malignancies, particularly of the skin [see Warnings and Precautions (5.2)].
  • Increased susceptibility to bacterial, viral, fungal and protozoal infections, including opportunistic infections and viral reactivation of hepatitis B and C, which may lead to hospitalizations and fatal outcomes [see Warnings and Precautions (5.3)].
5.7 Acute Inflammatory Syndrome Associated With Mycophenolate Products (5.7 Acute Inflammatory Syndrome Associated with Mycophenolate Products)

Acute inflammatory syndrome (AIS) has been reported with the use of MMF and mycophenolate products, and some cases have resulted in hospitalization. AIS is a paradoxical pro-inflammatory reaction characterized by fever, arthralgias, arthritis, muscle pain and elevated inflammatory markers including, C-reactive protein and erythrocyte sedimentation rate, without evidence of infection or underlying disease recurrence. Symptoms occur within weeks to months of initiation of treatment or a dose increase. After discontinuation, improvement of symptoms and inflammatory markers are usually observed within 24 to 48 hours.

Monitor patients for symptoms and laboratory parameters of AIS when starting treatment with mycophenolate products or when increasing the dosage. Discontinue treatment and consider other treatment alternatives based on the risk and benefit for the patient.

16.4 Cellcept Oral Suspension (mycophenolate Mofetil), for Oral Suspension (16.4 CELLCEPT Oral Suspension (mycophenolate mofetil), for oral suspension)
For oral suspension: 35 g mycophenolate mofetil, white to off-white powder blend for constitution to a white to off-white mixed-fruit flavor suspension
225 mL bottle with bottle adapter and 2 oral dispensers NDC 0004-0261-29
Storage
  • Store dry powder at 25°C (77°F); excursions permitted to 15°C to 30°C (59°F to 86°F).
  • Store constituted suspension at 25°C (77°F); excursions permitted to 15°C to 30°C (59°F to 86°F) for up to 60 days. Storage in a refrigerator at 2°C to 8°C (36°F to 46°F) is acceptable. Do not freeze.
5.14 Effect of Concomitant Medications On Mycophenolic Acid Concentrations (5.14 Effect of Concomitant Medications on Mycophenolic Acid Concentrations)

A variety of drugs have potential to alter systemic MPA exposure when co-administered with CELLCEPT. Therefore, determination of MPA concentrations in plasma before and after making any changes to immunosuppressive therapy, or when adding or discontinuing concomitant medications, may be appropriate to ensure MPA concentrations remain stable.

5.6 Patients With Hypoxanthine Guanine Phosphoribosyl Transferase Deficiency (hgprt) (5.6 Patients with Hypoxanthine-Guanine Phosphoribosyl-Transferase Deficiency (HGPRT))

CELLCEPT is an inosine monophosphate dehydrogenase (IMPDH) inhibitor; therefore it should be avoided in patients with hereditary deficiencies of hypoxanthine-guanine phosphoribosyl-transferase (HGPRT) such as Lesch-Nyhan and Kelley-Seegmiller syndromes because it may cause an exacerbation of disease symptoms characterized by the overproduction and accumulation of uric acid leading to symptoms associated with gout such as acute arthritis, tophi, nephrolithiasis or urolithiasis and renal disease including renal failure.


Advanced Ingredient Data


Raw Label Data

All Sections (JSON)