balziva®

balziva®
SPL v15
SPL
SPL Set ID 36a282d2-7285-442b-9574-dfce2d9456f1
Route
oral
Published
Effective Date 2021-12-31
Document Type 34391-3 HUMAN PRESCRIPTION DRUG LABEL

Drug Facts

Composition & Product

Active Ingredients
norethindrone (0.4 mg) ethinyl estradiol (0.035 mg)
Inactive Ingredients
anhydrous lactose dibasic calcium phosphate dihydrate fd&c yellow no. 6 lactose monohydrate magnesium stearate povidone k30 sodium starch glycolate type a potato starch, corn

Identifiers & Packaging

Pill Appearance
Imprint: b;944 Shape: round Color: orange Color: white Size: 6 mm Score: 1
Marketing Status
anda active Since 2006-10-16

Indications and Usage

Oral contraceptives are indicated for the prevention of pregnancy in women who elect to use this product as a method of contraception. Oral contraceptives are highly effective. Table 1 lists the typical accidental pregnancy rates for users of combination oral contraceptives and other methods of contraception. The efficacy of these contraceptive methods, except sterilization, depends upon the reliability with which they are used. Correct and consistent use of methods can result in lower failure rates. TABLE 1: LOWEST EXPECTED AND TYPICAL FAILURE RATES DURING THE FIRST YEAR OF CONTINUOUS USE OF A METHOD % of Women Experiencing an Accidental Pregnancy in the First Year of Continuous Use Method Lowest Expected a Typical b (No contraception) (85) (85) Oral contraceptives combined 0.1 3 c progestin only 0.5 3 c Diaphragm with spermicidal cream or jelly 6 18 Spermicides alone (foam, creams, jellies and vaginal suppositories) 3 21 Vaginal sponge nulliparous 6 18 multiparous 9 28 IUD 0.8 to 2 3 d Condom without spermicides 2 12 Periodic abstinence (all methods) 1 to 9 20 Injectable progestogen 0.3 to 0.4 0.3 to 0.4 Implants 6 capsules 0.04 0.04 2 rods 0.03 0.03 Female sterilization 0.2 0.4 Male sterilization 0.1 0.15 Reproduced with permission of the Population Council from J. Trussell, et. al: Contraceptive failure in the United States: An update. Studies in Family Planning, 21(1), January-February 1990. a) The authors’ best guess of the percentage of women expected to experience an accidental pregnancy among couples who initiate a method (not necessarily for the first time) and who use it consistently and correctly during the first year if they do not stop for any reason other than pregnancy. b) This term represents “typical” couples who initiate use of a method (not necessarily for the first time), who experience an accidental pregnancy during the first year if they do not stop use for any reason other than pregnancy. c) Combined typical rate for both combined and progestin only. d) Combined typical rate for both medicated and nonmedicated IUD.

Dosage and Administration

The following is a summary of the instructions given to the patient in the “HOW TO TAKE THE PILL” section of the DETAILED PATIENT LABELING . The patient is given instructions in five (5) categories: 1. IMPORTANT POINTS TO REMEMBER: The patient is told (a) that she should take one pill every day at the same time, (b) many women have spotting or light bleeding or gastric distress during the first one to three cycles, (c) missing pills can also cause spotting or light bleeding, (d) she should use a back-up method for contraception if she has vomiting or diarrhea or takes some concomitant medications, and/or if she has trouble remembering the pill, (e) if she has any other questions, she should consult her physician. 2. BEFORE SHE STARTS TAKING HER PILLS: She should decide what time of day she wishes to take the pill, check whether her pill pack has 28 pills, and note the order in which she should take the pills (diagrammatic drawings of the pill pack are included in the patient insert). 3. WHEN SHE SHOULD START THE FIRST PACK: The Day-One start is listed as the first choice and the Sunday start (the Sunday after her period starts) is given as the second choice. If she uses the Sunday start she should use a back-up method in the first cycle if she has intercourse before she has taken seven pills. 4. WHAT TO DO DURING THE CYCLE: The patient is advised to take one pill at the same time every day until the pack is empty. If she is on the 28 day regimen, she should start the next pack the day after the last inactive tablet and not wait any days between packs. 5. WHAT TO DO IF SHE MISSES A PILL OR PILLS: The patient is given instructions about what she should do if she misses one, two or more than two pills at varying times in her cycle for both the Day-One and the Sunday start. The patient is warned that she may become pregnant if she has unprotected intercourse in the seven days after missing pills. To avoid this, she must use another birth control method such as condom, foam, or sponge in these seven days.

Contraindications

Balziva is contraindicated in females who are known to have or develop the following conditions: Thrombophlebitis or thromboembolic disorders A past history of deep vein thrombophlebitis or thromboembolic disorders Cerebrovascular or coronary artery disease Current diagnosis of, or history of, breast cancer, which may be hormone-sensitive Carcinoma of the endometrium or other known or suspected estrogen-dependent neoplasia Undiagnosed abnormal genital bleeding Cholestatic jaundice of pregnancy or jaundice with prior pill use Hepatic adenomas or carcinomas Known or suspected pregnancy Are receiving Hepatitis C drug combinations containing ombitasvir/paritaprevir/ritonavir, with or without dasabuvir, due to the potential for ALT elevations (see WARNINGS, Risk of Liver Enzyme Elevations with Concomitant Hepatitis C Treatment).

Adverse Reactions

Post Marketing Experience: Five studies that compared breast cancer risk between ever-users (current or past use) of COCs and never-users of COCs reported no association between ever use of COCs and breast cancer risk, with effect estimates ranging from 0.90 - 1.12 ( Figure 2 ). Three studies compared breast cancer risk between current or recent COC users (<6 months since last use) and never users of COCs ( Figure 2 ). One of these studies reported no association between breast cancer risk and COC use. The other two studies found an increased relative risk of 1.19 - 1.33 with current or recent use. Both of these studies found an increased risk of breast cancer with current use of longer duration, with relative risks ranging from 1.03 with less than one year of COC use to approximately 1.4 with more than 8-10 years of COC use. FIGURE 2: RISK OF BREAST CANCER WITH COMBINED ORAL CONTRACEPTIVE USE RR = relative risk; OR = odds ratio; HR = hazard ratio. “ever COC” are females with current or past COC use; “never COC use” are females that never used COCs. An increased risk of the following serious adverse reactions has been associated with the use of oral contraceptives (see WARNINGS section): Thrombophlebitis Arterial thromboembolism Pulmonary embolism Myocardial infarction Cerebral hemorrhage Cerebral thrombosis Hypertension Gallbladder disease Hepatic adenomas or benign liver tumors There is evidence of an association between the following conditions and the use of oral contraceptives, although additional confirmatory studies are needed: Mesenteric thrombosis Retinal thrombosis The following adverse reactions have been reported in patients receiving oral contraceptives and are believed to be drug-related: Nausea Vomiting Gastrointestinal symptoms (such as abdominal cramps and bloating) Breakthrough bleeding Spotting Change in menstrual flow Amenorrhea Temporary infertility after discontinuation of treatment Edema Melasma which may persist Breast changes: tenderness, enlargement, and secretion Change in weight (increase or decrease) Change in cervical ectropion and secretion Possible diminution in lactation when given immediately postpartum Cholestatic jaundice Migraine Rash (allergic) Mental depression Reduced tolerance to carbohydrates Vaginal candidiasis Change in corneal curvature (steepening) Intolerance to contact lenses The following adverse reactions have been reported in users of oral contraceptives, and the association has been neither confirmed nor refuted: Premenstrual syndrome Cataracts Changes in appetite Cystitis-like syndrome Headache Nervousness Dizziness Hirsutism Loss of scalp hair Erythema multiforme Erythema nodosum Hemorrhagic eruption Vaginitis Porphyria Impaired renal function Hemolytic uremic syndrome Budd-Chiari syndrome Acne Changes in libido Colitis

Drug Interactions

Reduced efficacy and increased incidence of breakthrough bleeding and menstrual irregularities have been associated with concomitant use of rifampin. A similar association, though less marked, has been suggested with barbiturates, phenylbutazone, phenytoin sodium, and possibly with griseofulvin, ampicillin, and tetracyclines. Concomitant Use with HCV Combination Therapy – Liver Enzyme Elevation Do not co-administer Balziva with HCV drug combinations containing ombitasvir/paritaprevir/ritonavir, with or without dasabuvir, due to potential for ALT elevations (see WARNINGS, Risk of Liver Enzyme Elevations with Concomitant Hepatitis C Treatment ).

How Supplied

Balziva ® 28 Day [norethindrone (0.4 mg) and ethinyl estradiol (0.035 mg) tablets USP] are packaged in cartons of six blister cards (NDC 0555‐9034‐58). Each card contains 21 light peach, round, flat-faced, beveled-edge, unscored tablets, debossed with stylized b on one side and 735 on the other side, and 7 white, round, flat-faced, beveled-edge, unscored inert tablets, debossed with stylized b on one side and 944 on the other side. Store at 20° to 25°C (68° to 77°F) [See USP Controlled Room Temperature]. References are available upon request. KEEP THIS AND ALL MEDICATIONS OUT OF THE REACH OF CHILDREN. TEVA PHARMACEUTICALS USA, INC. North Wales, PA 19454 Rev. C 12/2021 BRIEF SUMMARY PATIENT PACKAGE INSERT This product (like all oral contraceptives) is intended to prevent pregnancy. It does not protect against HIV infection (AIDS) and other sexually transmitted diseases. Oral contraceptives, also known as “birth control pills” or “the pill,” are taken to prevent pregnancy and when taken correctly, have a failure rate of about 1% per year when used without missing any pills. The typical failure rate of large numbers of pill users is less than 3% per year when women who miss pills are included. Oral contraceptive use is associated with certain serious diseases that can be life-threatening or may cause temporary or permanent disability. The risks associated with taking oral contraceptives increase significantly if you: Smoke Have high blood pressure, diabetes, high cholesterol Have or have had clotting disorders, heart attack, stroke, angina pectoris, cancer of the breast or sex organs, jaundice or malignant or benign liver tumors. You should not take the pill if you suspect you are pregnant or have unexplained vaginal bleeding. Cigarette smoking increases the risk of serious cardiovascular side effects from oral contraceptive use. This risk increases with age and with heavy smoking (15 or more cigarettes per day) and is quite marked in women over 35 years of age. Women who use oral contraceptives should be strongly advised not to smoke. Most side effects of the pill are not serious. The most common side effects are nausea, vomiting, bleeding between menstrual periods, weight gain, breast tenderness, and difficulty wearing contact lenses. These side effects, especially nausea and vomiting, may subside within the first three months of use. The serious side effects of the pill occur very infrequently, especially if you are in good health and are young. However, you should know that the following medical conditions have been associated with or made worse by the pill: Blood clots in the legs (thrombophlebitis), lungs (pulmonary embolism), stoppage or rupture of a blood vessel in the brain (stroke), blockage of blood vessels in the heart (heart attack or angina pectoris), or other organs of the body. As mentioned above, smoking increases the risk of heart attacks and strokes and subsequent serious medical consequences. Liver tumors, which may rupture and cause severe bleeding. A possible but not definite association has been found with the pill and liver cancer. However, liver cancers are extremely rare. The chance of developing liver cancer from using the pill is thus even rarer. High blood pressure, although blood pressure usually returns to normal when the pill is stopped. The symptoms associated with these serious side effects are discussed in the detailed leaflet given to you with your supply of pills. Notify your doctor or healthcare provider if you notice any unusual physical disturbances while taking the pill. In addition, drugs such as rifampin, as well as some anticonvulsants and some antibiotics may decrease oral contraceptive effectiveness. There may be slight increases in the risk of breast cancer among current users of hormonal birth control pills with longer duration of use of 8 years or more. Taking the pill provides some important noncontraceptive effects. These include less painful menstruation, less menstrual blood loss and anemia, fewer pelvic infections, and fewer cancers of the ovary and the lining of the uterus. Be sure to discuss any medical condition you may have with your healthcare provider. Your healthcare provider will take a medical and family history before prescribing oral contraceptives and will examine you. The physical examination may be delayed to another time if you request it and the healthcare provider believes that it is a good medical practice to postpone it. You should be reexamined at least once a year while taking oral contraceptives. The detailed patient labeling gives you further information which you should read and discuss with your healthcare professional. DOSAGE AND ADMINISTRATION HOW TO TAKE THE PILL The instructions given in the COMBINATION DETAILED PATIENT LABELING AND BRIEF SUMMARY insert are included inside each foil pouch. The instructions include the directions on starting the first pack on Day-One (first choice) of her period and the Sunday start (Sunday after period starts). The patient is advised that, if she used the Sunday start, she should use a back-up method in the first cycle if she has intercourse before she has taken seven pills. The patient is also instructed as to what she should do if she misses a pill or pills. The patient is warned that she may become pregnant if she misses a pill or pills and that she should use a back-up method of birth control in the event she has intercourse any time during the seven day period following the missed pill or pills. Instructions on how to use the blister card are included in the BRIEF SUMMARY PATIENT PACKAGE INSERT .

Description

Patients should be counseled that this product does not protect against HIV infection (AIDS) and other sexually transmitted diseases.


Medication Information

Recent Major Changes

Cigarette smoking increases the risk of serious cardiovascular side effects from oral contraceptive use. This risk increases with age and with heavy smoking (15 or more cigarettes per day) and is quite marked in women over 35 years of age. Women who use oral contraceptives should be strongly advised not to smoke.

Warnings

The use of oral contraceptives is associated with increased risk of several serious conditions including myocardial infarction, thromboembolism, stroke, hepatic neoplasia, and gallbladder disease, although the risk of serious morbidity or mortality is very small in healthy women without underlying risk factors. The risk of morbidity and mortality increases significantly in the presence of other underlying risk factors such as hypertension, hyperlipidemias, obesity and diabetes.

Practitioners prescribing oral contraceptives should be familiar with the following information relating to these risks.

The information contained in this package insert is principally based on studies carried out in patients who used oral contraceptives with higher formulations of estrogens and progestogens than those in common use today. The effect of long-term use of the oral contraceptives with lower formulations of both estrogens and progestogens remains to be determined.

Throughout this labeling, epidemiological studies reported are of two types: retrospective or case control studies and prospective or cohort studies. Case control studies provide a measure of the relative risk of a disease, namely, a ratio of the incidence of a disease among oral contraceptive users to that among nonusers. The relative risk does not provide information on the actual clinical occurrence of a disease. Cohort studies provide a measure of attributable risk, which is the difference in the incidence of disease between oral contraceptive users and nonusers. The attributable risk does provide information about the actual occurrence of a disease in the population*. For further information, the reader is referred to a text on epidemiological methods.

*Adapted from Stadel BB: Oral contraceptives and cardiovascular disease. N Engl J Med, 1981; 305: 612-618, 672-677; with author’s permission.

Indications and Usage

Oral contraceptives are indicated for the prevention of pregnancy in women who elect to use this product as a method of contraception.

Oral contraceptives are highly effective. Table 1 lists the typical accidental pregnancy rates for users of combination oral contraceptives and other methods of contraception. The efficacy of these contraceptive methods, except sterilization, depends upon the reliability with which they are used. Correct and consistent use of methods can result in lower failure rates.

TABLE 1: LOWEST EXPECTED AND TYPICAL FAILURE RATES DURING THE FIRST YEAR OF CONTINUOUS USE OF A METHOD % of Women Experiencing an Accidental Pregnancy in the First Year of Continuous Use

Method

Lowest

Expecteda

Typicalb

(No contraception)

(85)

(85)

Oral contraceptives

combined

0.1

3c

progestin only

0.5

3 c

Diaphragm with spermicidal cream or jelly

6

18

Spermicides alone (foam, creams, jellies and

vaginal suppositories)

3

21

Vaginal sponge

nulliparous

6

18

multiparous

9

28

IUD

0.8 to 2

3 d

Condom without spermicides

2

12

Periodic abstinence (all methods)

1 to 9

20

Injectable progestogen

0.3 to 0.4

0.3 to 0.4

Implants

6 capsules

0.04

0.04

2 rods

0.03

0.03

Female sterilization

0.2

0.4

Male sterilization

0.1

0.15

Reproduced with permission of the Population Council from J. Trussell, et. al: Contraceptive failure in the United States: An update. Studies in Family Planning, 21(1), January-February 1990.

a) The authors’ best guess of the percentage of women expected to experience an accidental pregnancy among couples who initiate a method (not necessarily for the first time) and who use it consistently and correctly during the first year if they do not stop for any reason other than pregnancy.

b) This term represents “typical” couples who initiate use of a method (not necessarily for the first time), who experience an accidental pregnancy during the first year if they do not stop use for any reason other than pregnancy.

c) Combined typical rate for both combined and progestin only.

d) Combined typical rate for both medicated and nonmedicated IUD.

Dosage and Administration

The following is a summary of the instructions given to the patient in the “HOW TO TAKE THE PILL” section of the DETAILED PATIENT LABELING.

The patient is given instructions in five (5) categories:

1. IMPORTANT POINTS TO REMEMBER: The patient is told (a) that she should take one pill every day at the same time, (b) many women have spotting or light bleeding or gastric distress during the first one to three cycles, (c) missing pills can also cause spotting or light bleeding, (d) she should use a back-up method for contraception if she has vomiting or diarrhea or takes some concomitant medications, and/or if she has trouble remembering the pill, (e) if she has any other questions, she should consult her physician.

2. BEFORE SHE STARTS TAKING HER PILLS: She should decide what time of day she wishes to take the pill, check whether her pill pack has 28 pills, and note the order in which she should take the pills (diagrammatic drawings of the pill pack are included in the patient insert).

3. WHEN SHE SHOULD START THE FIRST PACK: The Day-One start is listed as the first choice and the Sunday start (the Sunday after her period starts) is given as the second choice. If she uses the Sunday start she should use a back-up method in the first cycle if she has intercourse before she has taken seven pills.

4. WHAT TO DO DURING THE CYCLE: The patient is advised to take one pill at the same time every day until the pack is empty. If she is on the 28 day regimen, she should start the next pack the day after the last inactive tablet and not wait any days between packs.

5. WHAT TO DO IF SHE MISSES A PILL OR PILLS: The patient is given instructions about what she should do if she misses one, two or more than two pills at varying times in her cycle for both the Day-One and the Sunday start. The patient is warned that she may become pregnant if she has unprotected intercourse in the seven days after missing pills. To avoid this, she must use another birth control method such as condom, foam, or sponge in these seven days.

Contraindications

Balziva is contraindicated in females who are known to have or develop the following conditions:

  • Thrombophlebitis or thromboembolic disorders
  • A past history of deep vein thrombophlebitis or thromboembolic disorders
  • Cerebrovascular or coronary artery disease
  • Current diagnosis of, or history of, breast cancer, which may be hormone-sensitive
  • Carcinoma of the endometrium or other known or suspected estrogen-dependent neoplasia
  • Undiagnosed abnormal genital bleeding
  • Cholestatic jaundice of pregnancy or jaundice with prior pill use
  • Hepatic adenomas or carcinomas
  • Known or suspected pregnancy
  • Are receiving Hepatitis C drug combinations containing ombitasvir/paritaprevir/ritonavir, with or without dasabuvir, due to the potential for ALT elevations (see WARNINGS, Risk of Liver Enzyme Elevations with Concomitant Hepatitis C Treatment).
Adverse Reactions

Post Marketing Experience:

Five studies that compared breast cancer risk between ever-users (current or past use) of COCs and never-users of COCs reported no association between ever use of COCs and breast cancer risk, with effect estimates ranging from 0.90 - 1.12 (Figure 2).

Three studies compared breast cancer risk between current or recent COC users (<6 months since last use) and never users of COCs (Figure 2). One of these studies reported no association between breast cancer risk and COC use. The other two studies found an increased relative risk of 1.19 - 1.33 with current or recent use. Both of these studies found an increased risk of breast cancer with current use of longer duration, with relative risks ranging from 1.03 with less than one year of COC use to approximately 1.4 with more than 8-10 years of COC use.

FIGURE 2: RISK OF BREAST CANCER WITH COMBINED ORAL CONTRACEPTIVE USE

RR = relative risk; OR = odds ratio; HR = hazard ratio. “ever COC” are females with current or past COC use; “never COC use” are females that never used COCs.

An increased risk of the following serious adverse reactions has been associated with the use of oral contraceptives (see WARNINGS section):

  • Thrombophlebitis
  • Arterial thromboembolism
  • Pulmonary embolism
  • Myocardial infarction
  • Cerebral hemorrhage
  • Cerebral thrombosis
  • Hypertension
  • Gallbladder disease
  • Hepatic adenomas or benign liver tumors

There is evidence of an association between the following conditions and the use of oral contraceptives, although additional confirmatory studies are needed:

  • Mesenteric thrombosis
  • Retinal thrombosis

The following adverse reactions have been reported in patients receiving oral contraceptives and are believed to be drug-related:

  • Nausea
  • Vomiting
  • Gastrointestinal symptoms (such as abdominal cramps and bloating)
  • Breakthrough bleeding
  • Spotting
  • Change in menstrual flow
  • Amenorrhea
  • Temporary infertility after discontinuation of treatment
  • Edema
  • Melasma which may persist
  • Breast changes: tenderness, enlargement, and secretion
  • Change in weight (increase or decrease)
  • Change in cervical ectropion and secretion
  • Possible diminution in lactation when given immediately postpartum
  • Cholestatic jaundice
  • Migraine
  • Rash (allergic)
  • Mental depression
  • Reduced tolerance to carbohydrates
  • Vaginal candidiasis
  • Change in corneal curvature (steepening)
  • Intolerance to contact lenses

The following adverse reactions have been reported in users of oral contraceptives, and the association has been neither confirmed nor refuted:

  • Premenstrual syndrome
  • Cataracts
  • Changes in appetite
  • Cystitis-like syndrome
  • Headache
  • Nervousness
  • Dizziness
  • Hirsutism
  • Loss of scalp hair
  • Erythema multiforme
  • Erythema nodosum
  • Hemorrhagic eruption
  • Vaginitis
  • Porphyria
  • Impaired renal function
  • Hemolytic uremic syndrome
  • Budd-Chiari syndrome
  • Acne
  • Changes in libido
  • Colitis
Drug Interactions

Reduced efficacy and increased incidence of breakthrough bleeding and menstrual irregularities have been associated with concomitant use of rifampin. A similar association, though less marked, has been suggested with barbiturates, phenylbutazone, phenytoin sodium, and possibly with griseofulvin, ampicillin, and tetracyclines. Concomitant Use with HCV Combination Therapy – Liver Enzyme Elevation Do not co-administer Balziva with HCV drug combinations containing ombitasvir/paritaprevir/ritonavir, with or without dasabuvir, due to potential for ALT elevations (see WARNINGS, Risk of Liver Enzyme Elevations with Concomitant Hepatitis C Treatment ).

How Supplied

Balziva® 28 Day [norethindrone (0.4 mg) and ethinyl estradiol (0.035 mg) tablets USP] are packaged in cartons of six blister cards (NDC 0555‐9034‐58). Each card contains 21 light peach, round, flat-faced, beveled-edge, unscored tablets, debossed with stylized b on one side and 735 on the other side, and 7 white, round, flat-faced, beveled-edge, unscored inert tablets, debossed with stylized b on one side and 944 on the other side.

Store at 20° to 25°C (68° to 77°F) [See USP Controlled Room Temperature].

References are available upon request.

KEEP THIS AND ALL MEDICATIONS OUT OF THE REACH OF CHILDREN.

TEVA PHARMACEUTICALS USA, INC.

North Wales, PA 19454

Rev. C 12/2021

BRIEF SUMMARY PATIENT PACKAGE INSERT

This product (like all oral contraceptives) is intended to prevent pregnancy. It does not protect against HIV infection (AIDS) and other sexually transmitted diseases.

Oral contraceptives, also known as “birth control pills” or “the pill,” are taken to prevent pregnancy and when taken correctly, have a failure rate of about 1% per year when used without missing any pills. The typical failure rate of large numbers of pill users is less than 3% per year when women who miss pills are included.

Oral contraceptive use is associated with certain serious diseases that can be life-threatening or may cause temporary or permanent disability. The risks associated with taking oral contraceptives increase significantly if you:

  • Smoke
  • Have high blood pressure, diabetes, high cholesterol
  • Have or have had clotting disorders, heart attack, stroke, angina pectoris, cancer of the breast or sex organs, jaundice or malignant or benign liver tumors.

You should not take the pill if you suspect you are pregnant or have unexplained vaginal bleeding.

Cigarette smoking increases the risk of serious cardiovascular side effects from oral contraceptive use. This risk increases with age and with heavy smoking (15 or more cigarettes per day) and is quite marked in women over 35 years of age. Women who use oral contraceptives should be strongly advised not to smoke.

Most side effects of the pill are not serious. The most common side effects are nausea, vomiting, bleeding between menstrual periods, weight gain, breast tenderness, and difficulty wearing contact lenses. These side effects, especially nausea and vomiting, may subside within the first three months of use.

The serious side effects of the pill occur very infrequently, especially if you are in good health and are young. However, you should know that the following medical conditions have been associated with or made worse by the pill:

  • Blood clots in the legs (thrombophlebitis), lungs (pulmonary embolism), stoppage or rupture of a blood vessel in the brain (stroke), blockage of blood vessels in the heart (heart attack or angina pectoris), or other organs of the body. As mentioned above, smoking increases the risk of heart attacks and strokes and subsequent serious medical consequences.
  • Liver tumors, which may rupture and cause severe bleeding. A possible but not definite association has been found with the pill and liver cancer. However, liver cancers are extremely rare. The chance of developing liver cancer from using the pill is thus even rarer.
  • High blood pressure, although blood pressure usually returns to normal when the pill is stopped.

The symptoms associated with these serious side effects are discussed in the detailed leaflet given to you with your supply of pills. Notify your doctor or healthcare provider if you notice any unusual physical disturbances while taking the pill. In addition, drugs such as rifampin, as well as some anticonvulsants and some antibiotics may decrease oral contraceptive effectiveness.

There may be slight increases in the risk of breast cancer among current users of hormonal birth control pills with longer duration of use of 8 years or more.

Taking the pill provides some important noncontraceptive effects. These include less painful menstruation, less menstrual blood loss and anemia, fewer pelvic infections, and fewer cancers of the ovary and the lining of the uterus.

Be sure to discuss any medical condition you may have with your healthcare provider. Your healthcare provider will take a medical and family history before prescribing oral contraceptives and will examine you. The physical examination may be delayed to another time if you request it and the healthcare provider believes that it is a good medical practice to postpone it. You should be reexamined at least once a year while taking oral contraceptives. The detailed patient labeling gives you further information which you should read and discuss with your healthcare professional.

DOSAGE AND ADMINISTRATION

HOW TO TAKE THE PILL

The instructions given in the COMBINATION DETAILED PATIENT LABELING AND BRIEF SUMMARY insert are included inside each foil pouch. The instructions include the directions on starting the first pack on Day-One (first choice) of her period and the Sunday start (Sunday after period starts). The patient is advised that, if she used the Sunday start, she should use a back-up method in the first cycle if she has intercourse before she has taken seven pills. The patient is also instructed as to what she should do if she misses a pill or pills. The patient is warned that she may become pregnant if she misses a pill or pills and that she should use a back-up method of birth control in the event she has intercourse any time during the seven day period following the missed pill or pills.

Instructions on how to use the blister card are included in the BRIEF SUMMARY PATIENT PACKAGE INSERT.

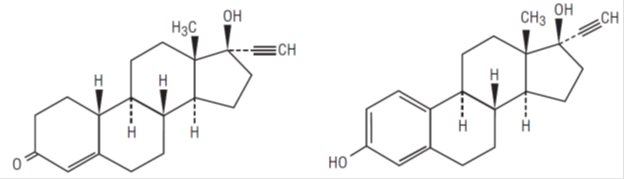
Description

Balziva® 28 Day (norethindrone and ethinyl estradiol tablets USP) provide a continuous regimen for oral contraception derived from 21 light peach tablets composed of norethindrone, USP and ethinyl estradiol, USP to be followed by 7 white tablets of inert ingredients. The structural formulas are:

Norethindrone, USP Ethinyl Estradiol, USP

C20H26O2 M.W. 298.42 C20H24O2 M.W. 296.40

The light peach active tablets each contain 0.4 mg norethindrone, USP and 0.035 mg ethinyl estradiol, USP, and contain the following inactive ingredients: anhydrous lactose, dibasic calcium phosphate, FD&C yellow no. 6 aluminum lake, lactose monohydrate, magnesium stearate, povidone and sodium starch glycolate. The white tablets contain only inert ingredients as follows: lactose monohydrate, magnesium stearate, and pregelatinized corn starch.

Section 42229-5

Patients should be counseled that this product does not protect against HIV infection (AIDS) and other sexually transmitted diseases.

Overdosage

Serious ill effects have not been reported following acute ingestion of large doses of oral contraceptives by young children. Overdosage may cause nausea, and withdrawal bleeding may occur in females.

11. Headache

The onset or exacerbation of migraine or development of headache with a new pattern which is recurrent, persistent or severe requires discontinuation of oral contraceptives and evaluation of the cause.

14. Pediatric Use

Safety and efficacy of Balziva® have been established in women of reproductive age. Safety and efficacy are expected to be the same in postpubertal adolescents under the age of 16 years and in users ages 16 years and older. Use of this product before menarche is not indicated.

4. Liver Function

If jaundice develops in any woman receiving such drugs, the medication should be discontinued. Steroid hormones may be poorly metabolized in patients with impaired liver function.

6. Ocular Lesions

There have been clinical case reports of retinal thrombosis associated with the use of oral contraceptives. Oral contraceptives should be discontinued if there is unexplained partial or complete loss of vision; onset of proptosis or diplopia; papilledema; or retinal vascular lesions. Appropriate diagnostic and therapeutic measures should be undertaken immediately.

7. Contact Lenses

Contact lens wearers who develop visual changes or changes in lens tolerance should be assessed by an ophthalmologist.

10. Carcinogenesis

See WARNINGS section.

3. Lipid Disorders

Women who are being treated for hyperlipidemias should be followed closely if they elect to use oral contraceptives. Some progestogens may elevate LDL levels and may render the control of hyperlipidemias more difficult.

5. Fluid Retention

Oral contraceptives may cause some degree of fluid retention. They should be prescribed with caution, and only with careful monitoring, in patients with conditions which might be aggravated by fluid retention.

B. Thromboembolism

An increased risk of thromboembolic and thrombotic disease associated with the use of oral contraceptives is well established. Case control studies have found the relative risk of users compared to non-users to be 3 for the first episode of superficial venous thrombosis, 4 to 11 for deep vein thrombosis or pulmonary embolism, and 1.5 to 6 for women with predisposing conditions for venous thromboembolic disease. Cohort studies have shown the relative risk to be somewhat lower, about 3 for new cases and about 4.5 for new cases requiring hospitalization. The risk of thromboembolic disease due to oral contraceptives is not related to length of use and disappears after pill use is stopped.

A two- to four-fold increase in relative risk of postoperative thromboembolic complications has been reported with the use of oral contraceptives. The relative risk of venous thrombosis in women who have predisposing conditions is twice that of women without such medical conditions. If feasible, oral contraceptives should be discontinued at least four weeks prior to and for two weeks after elective surgery of a type associated with an increase in risk of thromboembolism and during and following prolonged immobilization. Since the immediate postpartum period is also associated with an increased risk of thromboembolism, oral contraceptives should be started no earlier than four to six weeks after delivery in women who elect not to breastfeed.

12. Nursing Mothers

Small amounts of oral contraceptive steroids have been identified in the milk of nursing mothers and a few adverse effects on the child have been reported, including jaundice and breast enlargement. In addition, oral contraceptives given in the postpartum period may interfere with lactation by decreasing the quantity and quality of breast milk. If possible, the nursing mother should be advised not to use oral contraceptives but to use other forms of contraception until she has completely weaned her child.

4. Hepatic Neoplasia

Benign hepatic adenomas are associated with oral contraceptive use, although their occurrence is rare in the United States. Indirect calculations have estimated the attributable risk to be in the range of 3.3 cases/100,000 for users, a risk that increases after four or more years of use. Rupture of hepatic adenomas may cause death through intra-abdominal hemorrhage.

Studies from Britain have shown an increased risk of developing hepatocellular carcinoma in long-term (>8 years) oral contraceptive users. However, these cancers are extremely rare in the U.S. and the attributable risk (the excess incidence) of liver cancers in oral contraceptive users approaches less than one per million users.

8. Drug Interactions

Reduced efficacy and increased incidence of breakthrough bleeding and menstrual irregularities have been associated with concomitant use of rifampin. A similar association, though less marked, has been suggested with barbiturates, phenylbutazone, phenytoin sodium, and possibly with griseofulvin, ampicillin, and tetracyclines.

Concomitant Use with HCV Combination Therapy – Liver Enzyme Elevation

Do not co-administer Balziva with HCV drug combinations containing ombitasvir/paritaprevir/ritonavir, with or without dasabuvir, due to potential for ALT elevations (see WARNINGS, Risk of Liver Enzyme Elevations with Concomitant Hepatitis C Treatment).

Pregnancy Category X

See CONTRAINDICATIONS and WARNINGS sections.

Clinical Pharmacology

Combination oral contraceptives act by suppression of gonadotropins. Although the primary mechanism of this action is inhibition of ovulation, other alterations include changes in the cervical mucus (which increase the difficulty of sperm entry into the uterus) and the endometrium (which reduce the likelihood of implantation).

6. Emotional Disorders

Women with a history of depression should be carefully observed and the drug discontinued if depression recurs to a serious degree.

Patients becoming significantly depressed while taking oral contraceptives should stop the medication and use an alternate method of contraception in an attempt to determine whether the symptom is drug related.

8. Gallbladder Disease

Earlier studies have reported an increased lifetime relative risk of gallbladder surgery in users of oral contraceptives and estrogens. More recent studies, however, have shown that the relative risk of developing gallbladder disease among oral contraceptive users may be minimal.

The recent findings of minimal risk may be related to the use of oral contraceptive formulations containing lower hormonal doses of estrogens and progestogens.

E. Persistence of Risk

There are two studies which have shown persistence of risk of vascular disease for ever-users of oral contraceptives. In a study in the United States, the risk of developing myocardial infarction after discontinuing oral contraceptives persists for at least 9 years for women 40 to 49 years old who had used oral contraceptives for five or more years, but this increased risk was not demonstrated in other age groups. In another study in Great Britain, the risk of developing cerebrovascular disease persisted for at least six years after discontinuation of oral contraceptives, although excess risk was very small. However, both studies were performed with oral contraceptive formulations containing 50 micrograms or higher of estrogens.

3. malignant Neoplasms

Breast Cancer

Balziva is contraindicated in females who currently have or have had breast cancer because breast cancer may be hormonally sensitive (see CONTRAINDICATIONS).

Epidemiology studies have not found a consistent association between use of combined oral contraceptives (COCs) and breast cancer risk. Studies do not show an association between ever (current or past) use of COCs and risk of breast cancer. However, some studies report a small increase in the risk of breast cancer among current or recent users (<6 months since last use) and current users with longer duration of COC use (see POSTMARKETING EXPERIENCE).

Cervical Cancer

Some studies suggest that oral contraceptive use has been associated with an increase in the risk of cervical intraepithelial neoplasia in some populations of women.

However, there continues to be controversy about the extent to which such findings may be due to differences in sexual behavior and other factors.

In spite of many studies of the relationship between oral contraceptive use and breast cancer and cervical cancers, a cause-and-effect relationship has not been established.

A. Myocardial Infarction

An increased risk of myocardial infarction has been attributed to oral contraceptive use. This risk is primarily in smokers or women with other underlying risk factors for coronary artery disease such as hypertension, hypercholesterolemia, morbid obesity, and diabetes. The relative risk of heart attack for current oral contraceptive users has been estimated to be two to six. The risk is very low under the age of 30.

Smoking in combination with oral contraceptive use has been shown to contribute substantially to the incidence of myocardial infarctions in women in their mid-thirties or older, with smoking accounting for the majority of excess cases. Mortality rates associated with circulatory disease have been shown to increase substantially in smokers over the age of 35 and nonsmokers over the age of 40 (Figure 1) among women who use oral contraceptives.

FIGURE 1: CIRCULATORY DISEASE MORTALITY RATES PER 100,000 WOMAN-YEARS BY AGE, SMOKING STATUS AND ORAL CONTRACEPTIVE USE

Layde PM, Beral V: Further analyses of mortality in oral contraceptive users: Royal College of General Practitioners’ oral contraception study. (Table 5) Lancet 1981;1:541-546.

Oral contraceptives may compound the effects of well-known risk factors, such as hypertension, diabetes, hyperlipidemias, age and obesity. In particular, some progestogens are known to decrease HDL cholesterol and cause glucose intolerance, while estrogens may create a state of hyperinsulinism. Oral contraceptives have been shown to increase blood pressure among users (see section 10 in WARNINGS ). Such increases in risk factors have been associated with an increased risk of heart disease and the risk increases with the number of risk factors present. Oral contraceptives must be used with caution in women with cardiovascular disease risk factors.

Detailed Patient Labeling

This product (like all oral contraceptives) is intended to prevent pregnancy. It does not protect against HIV infection (AIDS) and other sexually transmitted diseases.

INTRODUCTION

Any woman who considers using oral contraceptives (the “birth control pill” or the “pill”) should understand the benefits and risks of using this form of birth control.

Although the oral contraceptives have important advantages over other methods of contraception, they have certain risks that no other method has and some of these risks may continue after you have stopped using the oral contraceptive. This brochure will give you much of the information you will need to make this decision and will also help you determine if you are at risk of developing any of the serious side effects of the pill. It will tell you how to use the pill properly so that it will be as effective as possible. However, this brochure is not a replacement for a careful discussion between you and your healthcare professional.

You should discuss the information provided in this brochure with him or her, both when you first start taking the pill and during your revisits. You should also follow your healthcare professional’s advice with regard to regular check-ups while you are on the pill.

EFFECTIVENESS OF ORAL CONTRACEPTIVES

Oral contraceptives or “birth control pills” or “the pill” are used to prevent pregnancy and are more effective than other nonsurgical methods of birth control. The chance of becoming pregnant is less than 1% (1 pregnancy per 100 women per year of use) when the pills are used correctly and no pills are missed. Typical failure rates are actually 3% per year. The chance of becoming pregnant increases with each missed pill during a menstrual cycle.

In comparison, typical accidental pregnancy rates for other nonsurgical methods of birth control during the first year of use are as follows:

IUD: 3%

Diaphragm with spermicides: 18%

Spermicides alone: 21%

Vaginal Sponge: 18% to 28%

Condom alone: 12%

Periodic abstinence: 20%

Injectable progestogen: 0.3% to 0.4%

Implants: 0.03% to 0.04%

No methods: 85%

WHO SHOULD NOT TAKE ORAL CONTRACEPTIVES

10. Elevated Blood Pressure

An increase in blood pressure has been reported in women taking oral contraceptives and this increase is more likely in older oral contraceptive users and with continued use. Data from the Royal College of General Practitioners and subsequent randomized trials have shown that the incidence of hypertension increases with increasing concentrations of progestogens.

Women with a history of hypertension or hypertension-related diseases, or renal disease should be encouraged to use another method of contraception. If women elect to use oral contraceptives, they should be monitored closely and if significant elevation of blood pressure occurs, oral contraceptives should be discontinued. For most women, elevated blood pressure will return to normal after stopping oral contraceptives, and there is no difference in the occurrence of hypertension among ever- and never-users.

12. Bleeding Irregularities

Breakthrough bleeding and spotting are sometimes encountered in patients on oral contraceptives, especially during the first three months of use. Nonhormonal causes should be considered and adequate diagnostic measures taken to rule out malignancy or pregnancy in the event of breakthrough bleeding, as in the case of any abnormal vaginal bleeding. If pathology has been excluded, time or a change to another formulation may solve the problem. In the event of amenorrhea, pregnancy should be ruled out.

Women with a history of oligomenorrhea or secondary amenorrhea or young women without regular cycles prior to taking oral contraceptives may again have irregular bleeding or amenorrhea after discontinuation of oral contraceptives.

Information for the Patient

See patient labeling printed below.

C. Cerebrovascular Diseases

Oral contraceptives have been shown to increase both the relative and attributable risk of cerebrovascular events (thrombotic and hemorrhagic strokes); although, in general, the risk is greatest among older (>35 years), hypertensive women who also smoke. Hypertension was found to be a risk factor for both users and non-users, for both types of strokes, while smoking interacted to increase the risk for hemorrhagic strokes.

In a large study, the relative risk of thrombotic strokes has been shown to range from 3 for normotensive users to 14 for users with severe hypertension. The relative risk of hemorrhagic stroke is reported to be 1.2 for nonsmokers who used oral contraceptives, 2.6 for smokers who did not use oral contraceptives, 7.6 for smokers who used oral contraceptives, 1.8 for normotensive users and 25.7 for users with severe hypertension. The attributable risk is also greater in older women.

13. Vomiting And/or Diarrhea

Although a cause-and-effect relationship has not been clearly established, several cases of oral contraceptive failure have been reported in association with vomiting and/or diarrhea. If significant gastrointestinal disturbance occurs in any woman receiving contraceptive steroids, the use of a back-up method of contraception for the remainder of that cycle is recommended.

1. Sexually Transmitted Diseases

Patients should be counseled that this product does not protect against HIV infection (AIDS) and other sexually transmitted diseases.

Noncontraceptive Health Benefits

The following noncontraceptive health benefits related to the use of oral contraceptives are supported by epidemiological studies which largely utilized oral contraceptive formulations containing estrogen doses exceeding 0.035 mg of ethinyl estradiol or 0.05 mg of mestranol.

Effects on menses:

  • Increased menstrual cycle regularity
  • Decreased blood loss and decreased incidence of iron deficiency anemia
  • Decreased incidence of dysmenorrhea

Effects related to inhibition of ovulation:

  • Decreased incidence of functional ovarian cysts
  • Decreased incidence of ectopic pregnancies

Effects from long-term use:

  • Decreased incidence of fibroadenomas and fibrocystic disease of the breast
  • Decreased incidence of acute pelvic inflammatory disease
  • Decreased incidence of endometrial cancer
  • Decreased incidence of ovarian cancer
2. Physical Examination and Follow Up

It is good medical practice for all women to have annual history and physical examinations, including women using oral contraceptives. The physical examination, however, may be deferred until after initiation of oral contraceptives if requested by the woman and judged appropriate by the clinician. The physical examination should include special reference to blood pressure, breasts, abdomen and pelvic organs, including cervical cytology, and relevant laboratory tests. In case of undiagnosed, persistent or recurrent abnormal vaginal bleeding, appropriate measures should be conducted to rule out malignancy. Women with a strong family history of breast cancer or who have breast nodules should be monitored with particular care.

9. Interactions With Laboratory Tests

Certain endocrine and liver function tests and blood components may be affected by oral contraceptives:

  • Increased prothrombin and factors VII, VIII, IX, and X; decreased antithrombin 3; increased norepinephrine-induced platelet aggregability.
  • Increased thyroid-binding globulin (TBG) leading to increased circulating total thyroid hormone, as measured by protein-bound iodine (PBI), T4 by column or by radioimmunoassay. Free T3 resin uptake is decreased, reflecting the elevated TBG; free T4 concentration is unaltered.
  • Other binding proteins may be elevated in serum.
  • Sex-binding globulins are increased and result in elevated levels of total circulating sex steroids and corticoids; however, free or biologically active levels remain unchanged.
  • Triglycerides may be increased.
  • Glucose tolerance may be decreased.
  • Serum folate levels may be depressed by oral contraceptive therapy. This may be of clinical significance if a woman becomes pregnant shortly after discontinuing oral contraceptives
Package/label Display Panel, Part 1 of 2

NDC 0555-9034-58

6 Blister Card Dispensers, 28 Tablets Each

Balziva®

(norethidrone and

ethinyl estradiol tablets USP)

0.4 mg/0.035 mg

Usual Dosage: One tablet daily for 28 consecutive days per menstrual

cycle in the following order: 21 light peach tablets followed by 7 white

tablets as prescribed.

See enclosed package insert for full prescribing information.

Pharmacist: Each foil pouch contains one combination "Detailed

Patient Labeling / Brief Summary Insert," which is to be provided to

the patient with each prescription.

Rx only

SHAPING

WOMEN'S HEALTH®

Package/label Display Panel, Part 2 of 2
9. Carbohydrate and Lipid Metabolic Effects

Oral contraceptives have been shown to cause glucose intolerance in a significant percentage of users. Oral contraceptives containing greater than 75 micrograms of estrogens cause hyperinsulinism, while lower doses of estrogen cause less glucose intolerance. Progestogens increase insulin secretion and create insulin resistance, this effect varying with different progestational agents.

However, in the nondiabetic woman, oral contraceptives appear to have no effect on fasting blood glucose. Because of these demonstrated effects, prediabetic and diabetic women should be carefully observed while taking oral contraceptives.

A small proportion of women will have persistent hypertriglyceridemia while on the pill. As discussed earlier (see WARNINGS , 1a and 1d), changes in serum triglycerides and lipoprotein levels have been reported in oral contraceptive users.

2. Estimates of Mortality From Contraceptive Use

One study gathered data from a variety of sources which have estimated the mortality rate associated with different methods of contraception at different ages (Table 2).

TABLE 2: ANNUAL NUMBER OF BIRTH-RELATED OR METHOD-RELATED DEATHS ASSOCIATED WITH CONTROL OF FERTILITY PER 100,000 NONSTERILE WOMEN, BY FERTILITY CONTROL METHOD ACCORDING TO AGE

AGE

Method of control and outcome

15 to 19

20 to 24

25 to 29

30 to 34

35 to 39

40 to 44

No fertility control methods a

7

7.4

9.1

14.8

25.7

28.2

Oral contraceptives nonsmoker b

0.3

0.5

0.9

1.9

13.8

31.6

Oral contraceptives smoker b

2.2

3.4

6.6

13.5

51.1

117.2

IUD b

0.8

0.8

1

1

1.4

1.4

Condom a

1.1

1.6

0.7

0.2

0.3

0.4

Diaphragm/spermicide a

1.9

1.2

1.2

1.3

2.2

2.8

Periodic abstinence a

2.5

1.6

1.6

1.7

2.9

3.6

Ory HW: Mortality associated with fertility and fertility control: 1983. Fam Plann Perspect 1983; 15:50-56.

a) Deaths are birth related.

b) Deaths are method related.

These estimates include the combined risk of death associated with contraceptive methods plus the risk attributable to pregnancy in the event of method failure. Each method of contraception has its specific benefits and risk. The study concluded that with the exception of oral contraceptive users 35 and older who smoke and 40 and older who do not smoke, mortality associated with all methods of birth control is low and below that associated with childbirth.

The observation of a possible increase in risk of mortality with age for oral contraceptive users is based on data gathered in the 1970’s–but not reported until 1983. However, current clinical practice involves the use of lower estrogen dose formulations combined with careful restriction of oral contraceptive use to women who do not have the various risk factors listed in this labeling.

Because of these changes in practice and, also, because of some limited new data which suggest that the risk of cardiovascular disease with the use of oral contraceptives may now be less than previously observed (Porter JB, Hunter J, Jick H, et al. Oral contraceptives and nonfatal vascular disease. Obstet Gynecol 1985;66:1-4 and Porter JB, Jick H, Walker AM. Mortality among oral contraceptive users. Obstet Gynecol 1987;70:29-32), the Fertility and Maternal Health Drugs Advisory Committee was asked to review the topic in 1989. The Committee concluded that although cardiovascular disease risk may be increased with oral contraceptive use after age 40 in healthy nonsmoking women (even with the newer low-dose formulations), there are greater potential health risks associated with pregnancy in older women and with the alternative surgical and medical procedures which may be necessary if such women do not have access to effective and acceptable means of contraception.

Therefore, the Committee recommended that the benefits of oral contraceptive use by healthy nonsmoking women over 40 may outweigh the possible risks. Of course, older women, as all women who take oral contraceptives, should take the lowest possible dose formulation that is effective.

1. Thromboembolic Disorders and Other Vascular Problems

The physician should be alert to the earliest manifestations of thromboembolic thrombotic disorders as discussed below. Should any of these occur or be suspected the drug should be discontinued immediately.

7. Oral Contraceptive Use Before Or During Early Pregnancy

Extensive epidemiological studies have revealed no increased risk of birth defects in women who have used oral contraceptives prior to pregnancy. Studies also do not suggest a teratogenic effect, particularly in so far as cardiac anomalies and limb reduction defects are concerned, when taken inadvertently during early pregnancy.

The administration of oral contraceptives to induce withdrawal bleeding should not be used as a test for pregnancy. Oral contraceptives should not be used during pregnancy to treat threatened or habitual abortion.

It is recommended that for any patient who has missed two consecutive periods, pregnancy should be ruled out before continuing oral contraceptive use. If the patient has not adhered to the prescribed schedule, the possibility of pregnancy should be considered at the time of the first missed period. Oral contraceptive use should be discontinued if pregnancy is confirmed.

D. Dose Related Risk of Vascular Disease From Oral Contraceptives

A positive association has been observed between the amount of estrogen and progestogen in oral contraceptives and the risk of vascular disease. A decline in serum high density lipoproteins (HDL) has been reported with many progestational agents. A decline in serum high density lipoproteins has been associated with an increased incidence of ischemic heart disease. Because estrogens increase HDL cholesterol, the net effect of an oral contraceptive depends on a balance achieved between doses of estrogen and progestogen and the nature and absolute amount of progestogens used in the contraceptive. The amount of both hormones should be considered in the choice of an oral contraceptive.

Minimizing exposure to estrogen and progestogen is in keeping with good principles of therapeutics. For any particular estrogen/progestogen combination, the dosage regimen prescribed should be one which contains the least amount of estrogen and progestogen that is compatible with a low failure rate and the needs of the individual patient. New acceptors of oral contraceptive agents should be started on preparations containing 0.05 mg or less of estrogen.

5. Risk of Liver Enzyme Elevations With Concomitant Hepatitis C Treatment

During clinical trials with the Hepatitis C combination drug regimen that contains ombitasvir/paritaprevir/ritonavir, with or without dasabuvir, ALT elevations greater than 5 times the upper limit of normal (ULN), including some cases greater than 20 times the ULN, were significantly more frequent in women using ethinyl estradiol-containing medications such as COCs. Discontinue Balziva prior to starting therapy with the combination drug regimen ombitasvir/paritaprevir/ritonavir, with or without dasabuvir (see CONTRAINDICATIONS). Balziva can be restarted approximately 2 weeks following completion of treatment with the combination drug regimen.


Structured Label Content

Recent Major Changes (34066-1)

Cigarette smoking increases the risk of serious cardiovascular side effects from oral contraceptive use. This risk increases with age and with heavy smoking (15 or more cigarettes per day) and is quite marked in women over 35 years of age. Women who use oral contraceptives should be strongly advised not to smoke.

Warnings (WARNINGS)

The use of oral contraceptives is associated with increased risk of several serious conditions including myocardial infarction, thromboembolism, stroke, hepatic neoplasia, and gallbladder disease, although the risk of serious morbidity or mortality is very small in healthy women without underlying risk factors. The risk of morbidity and mortality increases significantly in the presence of other underlying risk factors such as hypertension, hyperlipidemias, obesity and diabetes.

Practitioners prescribing oral contraceptives should be familiar with the following information relating to these risks.

The information contained in this package insert is principally based on studies carried out in patients who used oral contraceptives with higher formulations of estrogens and progestogens than those in common use today. The effect of long-term use of the oral contraceptives with lower formulations of both estrogens and progestogens remains to be determined.

Throughout this labeling, epidemiological studies reported are of two types: retrospective or case control studies and prospective or cohort studies. Case control studies provide a measure of the relative risk of a disease, namely, a ratio of the incidence of a disease among oral contraceptive users to that among nonusers. The relative risk does not provide information on the actual clinical occurrence of a disease. Cohort studies provide a measure of attributable risk, which is the difference in the incidence of disease between oral contraceptive users and nonusers. The attributable risk does provide information about the actual occurrence of a disease in the population*. For further information, the reader is referred to a text on epidemiological methods.

*Adapted from Stadel BB: Oral contraceptives and cardiovascular disease. N Engl J Med, 1981; 305: 612-618, 672-677; with author’s permission.

Indications and Usage (INDICATIONS AND USAGE)

Oral contraceptives are indicated for the prevention of pregnancy in women who elect to use this product as a method of contraception.

Oral contraceptives are highly effective. Table 1 lists the typical accidental pregnancy rates for users of combination oral contraceptives and other methods of contraception. The efficacy of these contraceptive methods, except sterilization, depends upon the reliability with which they are used. Correct and consistent use of methods can result in lower failure rates.

TABLE 1: LOWEST EXPECTED AND TYPICAL FAILURE RATES DURING THE FIRST YEAR OF CONTINUOUS USE OF A METHOD % of Women Experiencing an Accidental Pregnancy in the First Year of Continuous Use

Method

Lowest

Expecteda

Typicalb

(No contraception)

(85)

(85)

Oral contraceptives

combined

0.1

3c

progestin only

0.5

3 c

Diaphragm with spermicidal cream or jelly

6

18

Spermicides alone (foam, creams, jellies and

vaginal suppositories)

3

21

Vaginal sponge

nulliparous

6

18

multiparous

9

28

IUD

0.8 to 2

3 d

Condom without spermicides

2

12

Periodic abstinence (all methods)

1 to 9

20

Injectable progestogen

0.3 to 0.4

0.3 to 0.4

Implants

6 capsules

0.04

0.04

2 rods

0.03

0.03

Female sterilization

0.2

0.4

Male sterilization

0.1

0.15

Reproduced with permission of the Population Council from J. Trussell, et. al: Contraceptive failure in the United States: An update. Studies in Family Planning, 21(1), January-February 1990.

a) The authors’ best guess of the percentage of women expected to experience an accidental pregnancy among couples who initiate a method (not necessarily for the first time) and who use it consistently and correctly during the first year if they do not stop for any reason other than pregnancy.

b) This term represents “typical” couples who initiate use of a method (not necessarily for the first time), who experience an accidental pregnancy during the first year if they do not stop use for any reason other than pregnancy.

c) Combined typical rate for both combined and progestin only.

d) Combined typical rate for both medicated and nonmedicated IUD.

Dosage and Administration (DOSAGE AND ADMINISTRATION)

The following is a summary of the instructions given to the patient in the “HOW TO TAKE THE PILL” section of the DETAILED PATIENT LABELING.

The patient is given instructions in five (5) categories:

1. IMPORTANT POINTS TO REMEMBER: The patient is told (a) that she should take one pill every day at the same time, (b) many women have spotting or light bleeding or gastric distress during the first one to three cycles, (c) missing pills can also cause spotting or light bleeding, (d) she should use a back-up method for contraception if she has vomiting or diarrhea or takes some concomitant medications, and/or if she has trouble remembering the pill, (e) if she has any other questions, she should consult her physician.

2. BEFORE SHE STARTS TAKING HER PILLS: She should decide what time of day she wishes to take the pill, check whether her pill pack has 28 pills, and note the order in which she should take the pills (diagrammatic drawings of the pill pack are included in the patient insert).

3. WHEN SHE SHOULD START THE FIRST PACK: The Day-One start is listed as the first choice and the Sunday start (the Sunday after her period starts) is given as the second choice. If she uses the Sunday start she should use a back-up method in the first cycle if she has intercourse before she has taken seven pills.

4. WHAT TO DO DURING THE CYCLE: The patient is advised to take one pill at the same time every day until the pack is empty. If she is on the 28 day regimen, she should start the next pack the day after the last inactive tablet and not wait any days between packs.

5. WHAT TO DO IF SHE MISSES A PILL OR PILLS: The patient is given instructions about what she should do if she misses one, two or more than two pills at varying times in her cycle for both the Day-One and the Sunday start. The patient is warned that she may become pregnant if she has unprotected intercourse in the seven days after missing pills. To avoid this, she must use another birth control method such as condom, foam, or sponge in these seven days.

Contraindications (CONTRAINDICATIONS)

Balziva is contraindicated in females who are known to have or develop the following conditions:

  • Thrombophlebitis or thromboembolic disorders
  • A past history of deep vein thrombophlebitis or thromboembolic disorders
  • Cerebrovascular or coronary artery disease
  • Current diagnosis of, or history of, breast cancer, which may be hormone-sensitive
  • Carcinoma of the endometrium or other known or suspected estrogen-dependent neoplasia
  • Undiagnosed abnormal genital bleeding
  • Cholestatic jaundice of pregnancy or jaundice with prior pill use
  • Hepatic adenomas or carcinomas
  • Known or suspected pregnancy
  • Are receiving Hepatitis C drug combinations containing ombitasvir/paritaprevir/ritonavir, with or without dasabuvir, due to the potential for ALT elevations (see WARNINGS, Risk of Liver Enzyme Elevations with Concomitant Hepatitis C Treatment).
Adverse Reactions (ADVERSE REACTIONS)

Post Marketing Experience:

Five studies that compared breast cancer risk between ever-users (current or past use) of COCs and never-users of COCs reported no association between ever use of COCs and breast cancer risk, with effect estimates ranging from 0.90 - 1.12 (Figure 2).

Three studies compared breast cancer risk between current or recent COC users (<6 months since last use) and never users of COCs (Figure 2). One of these studies reported no association between breast cancer risk and COC use. The other two studies found an increased relative risk of 1.19 - 1.33 with current or recent use. Both of these studies found an increased risk of breast cancer with current use of longer duration, with relative risks ranging from 1.03 with less than one year of COC use to approximately 1.4 with more than 8-10 years of COC use.

FIGURE 2: RISK OF BREAST CANCER WITH COMBINED ORAL CONTRACEPTIVE USE

RR = relative risk; OR = odds ratio; HR = hazard ratio. “ever COC” are females with current or past COC use; “never COC use” are females that never used COCs.

An increased risk of the following serious adverse reactions has been associated with the use of oral contraceptives (see WARNINGS section):

  • Thrombophlebitis
  • Arterial thromboembolism
  • Pulmonary embolism
  • Myocardial infarction
  • Cerebral hemorrhage
  • Cerebral thrombosis
  • Hypertension
  • Gallbladder disease
  • Hepatic adenomas or benign liver tumors

There is evidence of an association between the following conditions and the use of oral contraceptives, although additional confirmatory studies are needed:

  • Mesenteric thrombosis
  • Retinal thrombosis

The following adverse reactions have been reported in patients receiving oral contraceptives and are believed to be drug-related:

  • Nausea
  • Vomiting
  • Gastrointestinal symptoms (such as abdominal cramps and bloating)
  • Breakthrough bleeding
  • Spotting
  • Change in menstrual flow
  • Amenorrhea
  • Temporary infertility after discontinuation of treatment
  • Edema
  • Melasma which may persist
  • Breast changes: tenderness, enlargement, and secretion
  • Change in weight (increase or decrease)
  • Change in cervical ectropion and secretion
  • Possible diminution in lactation when given immediately postpartum
  • Cholestatic jaundice
  • Migraine
  • Rash (allergic)
  • Mental depression
  • Reduced tolerance to carbohydrates
  • Vaginal candidiasis
  • Change in corneal curvature (steepening)
  • Intolerance to contact lenses

The following adverse reactions have been reported in users of oral contraceptives, and the association has been neither confirmed nor refuted:

  • Premenstrual syndrome
  • Cataracts
  • Changes in appetite
  • Cystitis-like syndrome
  • Headache
  • Nervousness
  • Dizziness
  • Hirsutism
  • Loss of scalp hair
  • Erythema multiforme
  • Erythema nodosum
  • Hemorrhagic eruption
  • Vaginitis
  • Porphyria
  • Impaired renal function
  • Hemolytic uremic syndrome
  • Budd-Chiari syndrome
  • Acne
  • Changes in libido
  • Colitis
How Supplied (HOW SUPPLIED)

Balziva® 28 Day [norethindrone (0.4 mg) and ethinyl estradiol (0.035 mg) tablets USP] are packaged in cartons of six blister cards (NDC 0555‐9034‐58). Each card contains 21 light peach, round, flat-faced, beveled-edge, unscored tablets, debossed with stylized b on one side and 735 on the other side, and 7 white, round, flat-faced, beveled-edge, unscored inert tablets, debossed with stylized b on one side and 944 on the other side.

Store at 20° to 25°C (68° to 77°F) [See USP Controlled Room Temperature].

References are available upon request.

KEEP THIS AND ALL MEDICATIONS OUT OF THE REACH OF CHILDREN.

TEVA PHARMACEUTICALS USA, INC.

North Wales, PA 19454

Rev. C 12/2021

BRIEF SUMMARY PATIENT PACKAGE INSERT

This product (like all oral contraceptives) is intended to prevent pregnancy. It does not protect against HIV infection (AIDS) and other sexually transmitted diseases.

Oral contraceptives, also known as “birth control pills” or “the pill,” are taken to prevent pregnancy and when taken correctly, have a failure rate of about 1% per year when used without missing any pills. The typical failure rate of large numbers of pill users is less than 3% per year when women who miss pills are included.

Oral contraceptive use is associated with certain serious diseases that can be life-threatening or may cause temporary or permanent disability. The risks associated with taking oral contraceptives increase significantly if you:

  • Smoke
  • Have high blood pressure, diabetes, high cholesterol
  • Have or have had clotting disorders, heart attack, stroke, angina pectoris, cancer of the breast or sex organs, jaundice or malignant or benign liver tumors.

You should not take the pill if you suspect you are pregnant or have unexplained vaginal bleeding.

Cigarette smoking increases the risk of serious cardiovascular side effects from oral contraceptive use. This risk increases with age and with heavy smoking (15 or more cigarettes per day) and is quite marked in women over 35 years of age. Women who use oral contraceptives should be strongly advised not to smoke.

Most side effects of the pill are not serious. The most common side effects are nausea, vomiting, bleeding between menstrual periods, weight gain, breast tenderness, and difficulty wearing contact lenses. These side effects, especially nausea and vomiting, may subside within the first three months of use.

The serious side effects of the pill occur very infrequently, especially if you are in good health and are young. However, you should know that the following medical conditions have been associated with or made worse by the pill:

  • Blood clots in the legs (thrombophlebitis), lungs (pulmonary embolism), stoppage or rupture of a blood vessel in the brain (stroke), blockage of blood vessels in the heart (heart attack or angina pectoris), or other organs of the body. As mentioned above, smoking increases the risk of heart attacks and strokes and subsequent serious medical consequences.
  • Liver tumors, which may rupture and cause severe bleeding. A possible but not definite association has been found with the pill and liver cancer. However, liver cancers are extremely rare. The chance of developing liver cancer from using the pill is thus even rarer.
  • High blood pressure, although blood pressure usually returns to normal when the pill is stopped.

The symptoms associated with these serious side effects are discussed in the detailed leaflet given to you with your supply of pills. Notify your doctor or healthcare provider if you notice any unusual physical disturbances while taking the pill. In addition, drugs such as rifampin, as well as some anticonvulsants and some antibiotics may decrease oral contraceptive effectiveness.

There may be slight increases in the risk of breast cancer among current users of hormonal birth control pills with longer duration of use of 8 years or more.

Taking the pill provides some important noncontraceptive effects. These include less painful menstruation, less menstrual blood loss and anemia, fewer pelvic infections, and fewer cancers of the ovary and the lining of the uterus.

Be sure to discuss any medical condition you may have with your healthcare provider. Your healthcare provider will take a medical and family history before prescribing oral contraceptives and will examine you. The physical examination may be delayed to another time if you request it and the healthcare provider believes that it is a good medical practice to postpone it. You should be reexamined at least once a year while taking oral contraceptives. The detailed patient labeling gives you further information which you should read and discuss with your healthcare professional.

DOSAGE AND ADMINISTRATION

HOW TO TAKE THE PILL

The instructions given in the COMBINATION DETAILED PATIENT LABELING AND BRIEF SUMMARY insert are included inside each foil pouch. The instructions include the directions on starting the first pack on Day-One (first choice) of her period and the Sunday start (Sunday after period starts). The patient is advised that, if she used the Sunday start, she should use a back-up method in the first cycle if she has intercourse before she has taken seven pills. The patient is also instructed as to what she should do if she misses a pill or pills. The patient is warned that she may become pregnant if she misses a pill or pills and that she should use a back-up method of birth control in the event she has intercourse any time during the seven day period following the missed pill or pills.

Instructions on how to use the blister card are included in the BRIEF SUMMARY PATIENT PACKAGE INSERT.

Description (DESCRIPTION)

Balziva® 28 Day (norethindrone and ethinyl estradiol tablets USP) provide a continuous regimen for oral contraception derived from 21 light peach tablets composed of norethindrone, USP and ethinyl estradiol, USP to be followed by 7 white tablets of inert ingredients. The structural formulas are:

Norethindrone, USP Ethinyl Estradiol, USP

C20H26O2 M.W. 298.42 C20H24O2 M.W. 296.40

The light peach active tablets each contain 0.4 mg norethindrone, USP and 0.035 mg ethinyl estradiol, USP, and contain the following inactive ingredients: anhydrous lactose, dibasic calcium phosphate, FD&C yellow no. 6 aluminum lake, lactose monohydrate, magnesium stearate, povidone and sodium starch glycolate. The white tablets contain only inert ingredients as follows: lactose monohydrate, magnesium stearate, and pregelatinized corn starch.

Section 42229-5 (42229-5)

Patients should be counseled that this product does not protect against HIV infection (AIDS) and other sexually transmitted diseases.

Overdosage (OVERDOSAGE)

Serious ill effects have not been reported following acute ingestion of large doses of oral contraceptives by young children. Overdosage may cause nausea, and withdrawal bleeding may occur in females.

11. Headache

The onset or exacerbation of migraine or development of headache with a new pattern which is recurrent, persistent or severe requires discontinuation of oral contraceptives and evaluation of the cause.

14. Pediatric Use

Safety and efficacy of Balziva® have been established in women of reproductive age. Safety and efficacy are expected to be the same in postpubertal adolescents under the age of 16 years and in users ages 16 years and older. Use of this product before menarche is not indicated.

4. Liver Function

If jaundice develops in any woman receiving such drugs, the medication should be discontinued. Steroid hormones may be poorly metabolized in patients with impaired liver function.

6. Ocular Lesions

There have been clinical case reports of retinal thrombosis associated with the use of oral contraceptives. Oral contraceptives should be discontinued if there is unexplained partial or complete loss of vision; onset of proptosis or diplopia; papilledema; or retinal vascular lesions. Appropriate diagnostic and therapeutic measures should be undertaken immediately.

7. Contact Lenses

Contact lens wearers who develop visual changes or changes in lens tolerance should be assessed by an ophthalmologist.

10. Carcinogenesis

See WARNINGS section.

3. Lipid Disorders

Women who are being treated for hyperlipidemias should be followed closely if they elect to use oral contraceptives. Some progestogens may elevate LDL levels and may render the control of hyperlipidemias more difficult.

5. Fluid Retention

Oral contraceptives may cause some degree of fluid retention. They should be prescribed with caution, and only with careful monitoring, in patients with conditions which might be aggravated by fluid retention.

B. Thromboembolism (b. Thromboembolism)

An increased risk of thromboembolic and thrombotic disease associated with the use of oral contraceptives is well established. Case control studies have found the relative risk of users compared to non-users to be 3 for the first episode of superficial venous thrombosis, 4 to 11 for deep vein thrombosis or pulmonary embolism, and 1.5 to 6 for women with predisposing conditions for venous thromboembolic disease. Cohort studies have shown the relative risk to be somewhat lower, about 3 for new cases and about 4.5 for new cases requiring hospitalization. The risk of thromboembolic disease due to oral contraceptives is not related to length of use and disappears after pill use is stopped.

A two- to four-fold increase in relative risk of postoperative thromboembolic complications has been reported with the use of oral contraceptives. The relative risk of venous thrombosis in women who have predisposing conditions is twice that of women without such medical conditions. If feasible, oral contraceptives should be discontinued at least four weeks prior to and for two weeks after elective surgery of a type associated with an increase in risk of thromboembolism and during and following prolonged immobilization. Since the immediate postpartum period is also associated with an increased risk of thromboembolism, oral contraceptives should be started no earlier than four to six weeks after delivery in women who elect not to breastfeed.

12. Nursing Mothers

Small amounts of oral contraceptive steroids have been identified in the milk of nursing mothers and a few adverse effects on the child have been reported, including jaundice and breast enlargement. In addition, oral contraceptives given in the postpartum period may interfere with lactation by decreasing the quantity and quality of breast milk. If possible, the nursing mother should be advised not to use oral contraceptives but to use other forms of contraception until she has completely weaned her child.

4. Hepatic Neoplasia

Benign hepatic adenomas are associated with oral contraceptive use, although their occurrence is rare in the United States. Indirect calculations have estimated the attributable risk to be in the range of 3.3 cases/100,000 for users, a risk that increases after four or more years of use. Rupture of hepatic adenomas may cause death through intra-abdominal hemorrhage.

Studies from Britain have shown an increased risk of developing hepatocellular carcinoma in long-term (>8 years) oral contraceptive users. However, these cancers are extremely rare in the U.S. and the attributable risk (the excess incidence) of liver cancers in oral contraceptive users approaches less than one per million users.

8. Drug Interactions

Reduced efficacy and increased incidence of breakthrough bleeding and menstrual irregularities have been associated with concomitant use of rifampin. A similar association, though less marked, has been suggested with barbiturates, phenylbutazone, phenytoin sodium, and possibly with griseofulvin, ampicillin, and tetracyclines.

Concomitant Use with HCV Combination Therapy – Liver Enzyme Elevation

Do not co-administer Balziva with HCV drug combinations containing ombitasvir/paritaprevir/ritonavir, with or without dasabuvir, due to potential for ALT elevations (see WARNINGS, Risk of Liver Enzyme Elevations with Concomitant Hepatitis C Treatment).

Pregnancy Category X

See CONTRAINDICATIONS and WARNINGS sections.

Clinical Pharmacology (CLINICAL PHARMACOLOGY)

Combination oral contraceptives act by suppression of gonadotropins. Although the primary mechanism of this action is inhibition of ovulation, other alterations include changes in the cervical mucus (which increase the difficulty of sperm entry into the uterus) and the endometrium (which reduce the likelihood of implantation).

6. Emotional Disorders

Women with a history of depression should be carefully observed and the drug discontinued if depression recurs to a serious degree.

Patients becoming significantly depressed while taking oral contraceptives should stop the medication and use an alternate method of contraception in an attempt to determine whether the symptom is drug related.

8. Gallbladder Disease

Earlier studies have reported an increased lifetime relative risk of gallbladder surgery in users of oral contraceptives and estrogens. More recent studies, however, have shown that the relative risk of developing gallbladder disease among oral contraceptive users may be minimal.

The recent findings of minimal risk may be related to the use of oral contraceptive formulations containing lower hormonal doses of estrogens and progestogens.

E. Persistence of Risk (e. Persistence of Risk)

There are two studies which have shown persistence of risk of vascular disease for ever-users of oral contraceptives. In a study in the United States, the risk of developing myocardial infarction after discontinuing oral contraceptives persists for at least 9 years for women 40 to 49 years old who had used oral contraceptives for five or more years, but this increased risk was not demonstrated in other age groups. In another study in Great Britain, the risk of developing cerebrovascular disease persisted for at least six years after discontinuation of oral contraceptives, although excess risk was very small. However, both studies were performed with oral contraceptive formulations containing 50 micrograms or higher of estrogens.

3. malignant Neoplasms (3. Malignant Neoplasms)

Breast Cancer

Balziva is contraindicated in females who currently have or have had breast cancer because breast cancer may be hormonally sensitive (see CONTRAINDICATIONS).

Epidemiology studies have not found a consistent association between use of combined oral contraceptives (COCs) and breast cancer risk. Studies do not show an association between ever (current or past) use of COCs and risk of breast cancer. However, some studies report a small increase in the risk of breast cancer among current or recent users (<6 months since last use) and current users with longer duration of COC use (see POSTMARKETING EXPERIENCE).

Cervical Cancer

Some studies suggest that oral contraceptive use has been associated with an increase in the risk of cervical intraepithelial neoplasia in some populations of women.

However, there continues to be controversy about the extent to which such findings may be due to differences in sexual behavior and other factors.

In spite of many studies of the relationship between oral contraceptive use and breast cancer and cervical cancers, a cause-and-effect relationship has not been established.

A. Myocardial Infarction (a. Myocardial Infarction)

An increased risk of myocardial infarction has been attributed to oral contraceptive use. This risk is primarily in smokers or women with other underlying risk factors for coronary artery disease such as hypertension, hypercholesterolemia, morbid obesity, and diabetes. The relative risk of heart attack for current oral contraceptive users has been estimated to be two to six. The risk is very low under the age of 30.

Smoking in combination with oral contraceptive use has been shown to contribute substantially to the incidence of myocardial infarctions in women in their mid-thirties or older, with smoking accounting for the majority of excess cases. Mortality rates associated with circulatory disease have been shown to increase substantially in smokers over the age of 35 and nonsmokers over the age of 40 (Figure 1) among women who use oral contraceptives.

FIGURE 1: CIRCULATORY DISEASE MORTALITY RATES PER 100,000 WOMAN-YEARS BY AGE, SMOKING STATUS AND ORAL CONTRACEPTIVE USE

Layde PM, Beral V: Further analyses of mortality in oral contraceptive users: Royal College of General Practitioners’ oral contraception study. (Table 5) Lancet 1981;1:541-546.

Oral contraceptives may compound the effects of well-known risk factors, such as hypertension, diabetes, hyperlipidemias, age and obesity. In particular, some progestogens are known to decrease HDL cholesterol and cause glucose intolerance, while estrogens may create a state of hyperinsulinism. Oral contraceptives have been shown to increase blood pressure among users (see section 10 in WARNINGS ). Such increases in risk factors have been associated with an increased risk of heart disease and the risk increases with the number of risk factors present. Oral contraceptives must be used with caution in women with cardiovascular disease risk factors.

Detailed Patient Labeling (DETAILED PATIENT LABELING)

This product (like all oral contraceptives) is intended to prevent pregnancy. It does not protect against HIV infection (AIDS) and other sexually transmitted diseases.

INTRODUCTION

Any woman who considers using oral contraceptives (the “birth control pill” or the “pill”) should understand the benefits and risks of using this form of birth control.

Although the oral contraceptives have important advantages over other methods of contraception, they have certain risks that no other method has and some of these risks may continue after you have stopped using the oral contraceptive. This brochure will give you much of the information you will need to make this decision and will also help you determine if you are at risk of developing any of the serious side effects of the pill. It will tell you how to use the pill properly so that it will be as effective as possible. However, this brochure is not a replacement for a careful discussion between you and your healthcare professional.

You should discuss the information provided in this brochure with him or her, both when you first start taking the pill and during your revisits. You should also follow your healthcare professional’s advice with regard to regular check-ups while you are on the pill.

EFFECTIVENESS OF ORAL CONTRACEPTIVES

Oral contraceptives or “birth control pills” or “the pill” are used to prevent pregnancy and are more effective than other nonsurgical methods of birth control. The chance of becoming pregnant is less than 1% (1 pregnancy per 100 women per year of use) when the pills are used correctly and no pills are missed. Typical failure rates are actually 3% per year. The chance of becoming pregnant increases with each missed pill during a menstrual cycle.

In comparison, typical accidental pregnancy rates for other nonsurgical methods of birth control during the first year of use are as follows:

IUD: 3%

Diaphragm with spermicides: 18%

Spermicides alone: 21%

Vaginal Sponge: 18% to 28%

Condom alone: 12%

Periodic abstinence: 20%

Injectable progestogen: 0.3% to 0.4%

Implants: 0.03% to 0.04%

No methods: 85%

WHO SHOULD NOT TAKE ORAL CONTRACEPTIVES

10. Elevated Blood Pressure

An increase in blood pressure has been reported in women taking oral contraceptives and this increase is more likely in older oral contraceptive users and with continued use. Data from the Royal College of General Practitioners and subsequent randomized trials have shown that the incidence of hypertension increases with increasing concentrations of progestogens.

Women with a history of hypertension or hypertension-related diseases, or renal disease should be encouraged to use another method of contraception. If women elect to use oral contraceptives, they should be monitored closely and if significant elevation of blood pressure occurs, oral contraceptives should be discontinued. For most women, elevated blood pressure will return to normal after stopping oral contraceptives, and there is no difference in the occurrence of hypertension among ever- and never-users.

12. Bleeding Irregularities

Breakthrough bleeding and spotting are sometimes encountered in patients on oral contraceptives, especially during the first three months of use. Nonhormonal causes should be considered and adequate diagnostic measures taken to rule out malignancy or pregnancy in the event of breakthrough bleeding, as in the case of any abnormal vaginal bleeding. If pathology has been excluded, time or a change to another formulation may solve the problem. In the event of amenorrhea, pregnancy should be ruled out.

Women with a history of oligomenorrhea or secondary amenorrhea or young women without regular cycles prior to taking oral contraceptives may again have irregular bleeding or amenorrhea after discontinuation of oral contraceptives.

Information for the Patient (INFORMATION FOR THE PATIENT)

See patient labeling printed below.

C. Cerebrovascular Diseases (c. Cerebrovascular Diseases)

Oral contraceptives have been shown to increase both the relative and attributable risk of cerebrovascular events (thrombotic and hemorrhagic strokes); although, in general, the risk is greatest among older (>35 years), hypertensive women who also smoke. Hypertension was found to be a risk factor for both users and non-users, for both types of strokes, while smoking interacted to increase the risk for hemorrhagic strokes.

In a large study, the relative risk of thrombotic strokes has been shown to range from 3 for normotensive users to 14 for users with severe hypertension. The relative risk of hemorrhagic stroke is reported to be 1.2 for nonsmokers who used oral contraceptives, 2.6 for smokers who did not use oral contraceptives, 7.6 for smokers who used oral contraceptives, 1.8 for normotensive users and 25.7 for users with severe hypertension. The attributable risk is also greater in older women.

13. Vomiting And/or Diarrhea (13. Vomiting and/or Diarrhea)

Although a cause-and-effect relationship has not been clearly established, several cases of oral contraceptive failure have been reported in association with vomiting and/or diarrhea. If significant gastrointestinal disturbance occurs in any woman receiving contraceptive steroids, the use of a back-up method of contraception for the remainder of that cycle is recommended.

1. Sexually Transmitted Diseases (1. Sexually-Transmitted Diseases)

Patients should be counseled that this product does not protect against HIV infection (AIDS) and other sexually transmitted diseases.

Noncontraceptive Health Benefits (NONCONTRACEPTIVE HEALTH BENEFITS)

The following noncontraceptive health benefits related to the use of oral contraceptives are supported by epidemiological studies which largely utilized oral contraceptive formulations containing estrogen doses exceeding 0.035 mg of ethinyl estradiol or 0.05 mg of mestranol.

Effects on menses:

  • Increased menstrual cycle regularity
  • Decreased blood loss and decreased incidence of iron deficiency anemia
  • Decreased incidence of dysmenorrhea

Effects related to inhibition of ovulation:

  • Decreased incidence of functional ovarian cysts
  • Decreased incidence of ectopic pregnancies

Effects from long-term use:

  • Decreased incidence of fibroadenomas and fibrocystic disease of the breast
  • Decreased incidence of acute pelvic inflammatory disease
  • Decreased incidence of endometrial cancer
  • Decreased incidence of ovarian cancer
2. Physical Examination and Follow Up (2. Physical Examination and Follow-Up)

It is good medical practice for all women to have annual history and physical examinations, including women using oral contraceptives. The physical examination, however, may be deferred until after initiation of oral contraceptives if requested by the woman and judged appropriate by the clinician. The physical examination should include special reference to blood pressure, breasts, abdomen and pelvic organs, including cervical cytology, and relevant laboratory tests. In case of undiagnosed, persistent or recurrent abnormal vaginal bleeding, appropriate measures should be conducted to rule out malignancy. Women with a strong family history of breast cancer or who have breast nodules should be monitored with particular care.

9. Interactions With Laboratory Tests (9. Interactions with Laboratory Tests)

Certain endocrine and liver function tests and blood components may be affected by oral contraceptives:

  • Increased prothrombin and factors VII, VIII, IX, and X; decreased antithrombin 3; increased norepinephrine-induced platelet aggregability.
  • Increased thyroid-binding globulin (TBG) leading to increased circulating total thyroid hormone, as measured by protein-bound iodine (PBI), T4 by column or by radioimmunoassay. Free T3 resin uptake is decreased, reflecting the elevated TBG; free T4 concentration is unaltered.
  • Other binding proteins may be elevated in serum.
  • Sex-binding globulins are increased and result in elevated levels of total circulating sex steroids and corticoids; however, free or biologically active levels remain unchanged.
  • Triglycerides may be increased.
  • Glucose tolerance may be decreased.
  • Serum folate levels may be depressed by oral contraceptive therapy. This may be of clinical significance if a woman becomes pregnant shortly after discontinuing oral contraceptives
Package/label Display Panel, Part 1 of 2 (Package/Label Display Panel, Part 1 of 2)

NDC 0555-9034-58

6 Blister Card Dispensers, 28 Tablets Each

Balziva®

(norethidrone and

ethinyl estradiol tablets USP)

0.4 mg/0.035 mg

Usual Dosage: One tablet daily for 28 consecutive days per menstrual

cycle in the following order: 21 light peach tablets followed by 7 white

tablets as prescribed.

See enclosed package insert for full prescribing information.

Pharmacist: Each foil pouch contains one combination "Detailed

Patient Labeling / Brief Summary Insert," which is to be provided to

the patient with each prescription.

Rx only

SHAPING

WOMEN'S HEALTH®

Package/label Display Panel, Part 2 of 2 (Package/Label Display Panel, Part 2 of 2)
9. Carbohydrate and Lipid Metabolic Effects

Oral contraceptives have been shown to cause glucose intolerance in a significant percentage of users. Oral contraceptives containing greater than 75 micrograms of estrogens cause hyperinsulinism, while lower doses of estrogen cause less glucose intolerance. Progestogens increase insulin secretion and create insulin resistance, this effect varying with different progestational agents.

However, in the nondiabetic woman, oral contraceptives appear to have no effect on fasting blood glucose. Because of these demonstrated effects, prediabetic and diabetic women should be carefully observed while taking oral contraceptives.

A small proportion of women will have persistent hypertriglyceridemia while on the pill. As discussed earlier (see WARNINGS , 1a and 1d), changes in serum triglycerides and lipoprotein levels have been reported in oral contraceptive users.

2. Estimates of Mortality From Contraceptive Use (2. Estimates of Mortality from Contraceptive Use)

One study gathered data from a variety of sources which have estimated the mortality rate associated with different methods of contraception at different ages (Table 2).

TABLE 2: ANNUAL NUMBER OF BIRTH-RELATED OR METHOD-RELATED DEATHS ASSOCIATED WITH CONTROL OF FERTILITY PER 100,000 NONSTERILE WOMEN, BY FERTILITY CONTROL METHOD ACCORDING TO AGE

AGE

Method of control and outcome

15 to 19

20 to 24

25 to 29

30 to 34

35 to 39

40 to 44

No fertility control methods a

7

7.4

9.1

14.8

25.7

28.2

Oral contraceptives nonsmoker b

0.3

0.5

0.9

1.9

13.8

31.6

Oral contraceptives smoker b

2.2

3.4

6.6

13.5

51.1

117.2

IUD b

0.8

0.8

1

1

1.4

1.4

Condom a

1.1

1.6

0.7

0.2

0.3

0.4

Diaphragm/spermicide a

1.9

1.2

1.2

1.3

2.2

2.8

Periodic abstinence a

2.5

1.6

1.6

1.7

2.9

3.6

Ory HW: Mortality associated with fertility and fertility control: 1983. Fam Plann Perspect 1983; 15:50-56.

a) Deaths are birth related.

b) Deaths are method related.

These estimates include the combined risk of death associated with contraceptive methods plus the risk attributable to pregnancy in the event of method failure. Each method of contraception has its specific benefits and risk. The study concluded that with the exception of oral contraceptive users 35 and older who smoke and 40 and older who do not smoke, mortality associated with all methods of birth control is low and below that associated with childbirth.

The observation of a possible increase in risk of mortality with age for oral contraceptive users is based on data gathered in the 1970’s–but not reported until 1983. However, current clinical practice involves the use of lower estrogen dose formulations combined with careful restriction of oral contraceptive use to women who do not have the various risk factors listed in this labeling.

Because of these changes in practice and, also, because of some limited new data which suggest that the risk of cardiovascular disease with the use of oral contraceptives may now be less than previously observed (Porter JB, Hunter J, Jick H, et al. Oral contraceptives and nonfatal vascular disease. Obstet Gynecol 1985;66:1-4 and Porter JB, Jick H, Walker AM. Mortality among oral contraceptive users. Obstet Gynecol 1987;70:29-32), the Fertility and Maternal Health Drugs Advisory Committee was asked to review the topic in 1989. The Committee concluded that although cardiovascular disease risk may be increased with oral contraceptive use after age 40 in healthy nonsmoking women (even with the newer low-dose formulations), there are greater potential health risks associated with pregnancy in older women and with the alternative surgical and medical procedures which may be necessary if such women do not have access to effective and acceptable means of contraception.

Therefore, the Committee recommended that the benefits of oral contraceptive use by healthy nonsmoking women over 40 may outweigh the possible risks. Of course, older women, as all women who take oral contraceptives, should take the lowest possible dose formulation that is effective.

1. Thromboembolic Disorders and Other Vascular Problems

The physician should be alert to the earliest manifestations of thromboembolic thrombotic disorders as discussed below. Should any of these occur or be suspected the drug should be discontinued immediately.

7. Oral Contraceptive Use Before Or During Early Pregnancy (7. Oral Contraceptive Use Before or During Early Pregnancy)

Extensive epidemiological studies have revealed no increased risk of birth defects in women who have used oral contraceptives prior to pregnancy. Studies also do not suggest a teratogenic effect, particularly in so far as cardiac anomalies and limb reduction defects are concerned, when taken inadvertently during early pregnancy.

The administration of oral contraceptives to induce withdrawal bleeding should not be used as a test for pregnancy. Oral contraceptives should not be used during pregnancy to treat threatened or habitual abortion.

It is recommended that for any patient who has missed two consecutive periods, pregnancy should be ruled out before continuing oral contraceptive use. If the patient has not adhered to the prescribed schedule, the possibility of pregnancy should be considered at the time of the first missed period. Oral contraceptive use should be discontinued if pregnancy is confirmed.

D. Dose Related Risk of Vascular Disease From Oral Contraceptives (d. Dose-Related Risk of Vascular Disease from Oral Contraceptives)

A positive association has been observed between the amount of estrogen and progestogen in oral contraceptives and the risk of vascular disease. A decline in serum high density lipoproteins (HDL) has been reported with many progestational agents. A decline in serum high density lipoproteins has been associated with an increased incidence of ischemic heart disease. Because estrogens increase HDL cholesterol, the net effect of an oral contraceptive depends on a balance achieved between doses of estrogen and progestogen and the nature and absolute amount of progestogens used in the contraceptive. The amount of both hormones should be considered in the choice of an oral contraceptive.

Minimizing exposure to estrogen and progestogen is in keeping with good principles of therapeutics. For any particular estrogen/progestogen combination, the dosage regimen prescribed should be one which contains the least amount of estrogen and progestogen that is compatible with a low failure rate and the needs of the individual patient. New acceptors of oral contraceptive agents should be started on preparations containing 0.05 mg or less of estrogen.

5. Risk of Liver Enzyme Elevations With Concomitant Hepatitis C Treatment (5. Risk of Liver Enzyme Elevations with Concomitant Hepatitis C Treatment)

During clinical trials with the Hepatitis C combination drug regimen that contains ombitasvir/paritaprevir/ritonavir, with or without dasabuvir, ALT elevations greater than 5 times the upper limit of normal (ULN), including some cases greater than 20 times the ULN, were significantly more frequent in women using ethinyl estradiol-containing medications such as COCs. Discontinue Balziva prior to starting therapy with the combination drug regimen ombitasvir/paritaprevir/ritonavir, with or without dasabuvir (see CONTRAINDICATIONS). Balziva can be restarted approximately 2 weeks following completion of treatment with the combination drug regimen.


Advanced Ingredient Data


Raw Label Data

All Sections (JSON)