vancomycin hydrochloride for injection, usp

vancomycin hydrochloride for injection, usp
SPL v3
SPL
SPL Set ID 35ecffbc-77d8-4c0d-9b14-6a3cc442dec6
Route
intravenous
Published
Effective Date 2023-07-13
Document Type 34391-3 Human Prescription Drug Label

Drug Facts

Composition & Product

Active Ingredients
vancomycin (5 g)

Identifiers & Packaging

Marketing Status
anda active Since 2023-06-06

Indications and Usage

Vancomycin Hydrochloride for Injection, USP is indicated for the treatment of serious or severe infections caused by susceptible strains of methicillin-resistant (β-lactam- resistant) staphylococci. It is indicated for penicillin-allergic patients, for patients who cannot receive or who have failed to respond to other drugs, including the penicillins or cephalosporins, and for infections caused by vancomycin-susceptible organisms that are resistant to other antimicrobial drugs. Vancomycin Hydrochloride for Injection, USP is indicated for initial therapy when methicillin-resistant staphylococci are suspected, but after susceptibility data are available, therapy should be adjusted accordingly. Vancomycin Hydrochloride for Injection, USP is effective in the treatment of staphylococcal endocarditis. Its effectiveness has been documented in other infections due to staphylococci, including septicemia, bone infections, lower respiratory tract infections, skin and skin structure infections. When staphylococcal infections are localized and purulent, antibiotics are used as adjuncts to appropriate surgical measures. Vancomycin Hydrochloride for Injection, USP has been reported to be effective alone or in combination with an aminoglycoside for endocarditis caused by S. virdans or S. bovis. For endocarditis caused by enterococci (e.g., E. faecalis ), vancomycin has been reported to be effective only in combination with an aminoglycoside. Vancomycin Hydrochloride for Injection, USP has been reported to be effective for the treatment of diphtheroid endocarditis. Vancomycin Hydrochloride for Injection, USP has been used successfully in combination with either rifampin, an aminoglycoside, or both in early-onset prosthetic valve endocarditis caused by S. epidermidis or diphtheroids. Specimens for bacteriologic cultures should be obtained in order to isolate and identify causative organisms and to determine their susceptibilities to vancomycin. To reduce the development of drug-resistant bacteria and maintain the effectiveness of Vancomycin Hydrochloride for Injection, USP and other antibacterial drugs, Vancomycin Hydrochloride for Injection, USP should be used only to treat or prevent infections that are proven or strongly suspected to be caused by susceptible bacteria. When culture and susceptibility information are available, they should be considered in selecting or modifying antibacterial therapy. In the absence of such data, local epidemiology and susceptibility patterns may contribute to the empiric selection of therapy. The parenteral form of vancomycin hydrochloride may be administered orally for treatment of antibiotic-associated pseudomembranous colitis produced by C. difficile and for staphylococcal enterocolitis. Parenteral administration of vancomycin hydrochloride alone is of unproven benefit for these indications. Vancomycin is not effective by the oral route for other types of infections.

Dosage and Administration

The intent of the pharmacy bulk package for this product is for preparation of solutions for intravenous infusion only.   Infusion-related events are related to both the concentration and the rate of administration of vancomycin. Concentrations of no more than 5 mg/mL and rates of no more than 10 mg/min, are recommended in adults (see also age-specific recommendations). In selected patients in need of fluid restriction, a concentration up to 10 mg/mL may be used; use of such higher concentrations may increase the risk of infusion-related events. An infusion rate of 10 mg/min or less is associated with fewer infusion-related events (see ADVERSE REACTIONS ). Infusion-related events may occur, however, at any rate or concentration. Patients With Normal Renal Function   Adults   The usual daily intravenous dose is 2 g divided either as 500 mg every 6 hours or 1 g every 12 hours. Each dose should be administered at no more than 10 mg/min or over a period of at least 60 minutes, whichever is longer. Other patient factors, such as age or obesity, may call for modification of the usual intravenous daily dose. Pediatric patients   The usual intravenous dosage of vancomycin is 10 mg/kg per dose given every 6 hours. Each dose should be administered over a period of at least 60 minutes. Close monitoring of serum concentrations of vancomycin may be warranted in these patients. Neonates   In pediatric patients up to the age of 1 month, the total daily intravenous dosage may be lower. In neonates, an initial dose of 15 mg/kg is suggested, followed by 10 mg/kg every 12 hours for neonates in the 1st week of life and every 8 hours thereafter up to the age of 1 month. Each dose should be administered over 60 minutes. In premature infants, vancomycin clearance decreases as postconceptional age decreases. Therefore, longer dosing intervals may be necessary in premature infants. Close monitoring of serum concentrations of vancomycin is recommended in these patients. Patients With Impaired Renal Function and Elderly Patients   Dosage adjustment must be made in patients with impaired renal function. In premature infants and the elderly, greater dosage reductions than expected may be necessary because of decreased renal function. Measurement of vancomycin serum concentrations can be helpful in optimizing therapy, especially in seriously ill patients with changing renal function. Vancomycin serum concentrations can be determined by use of microbiologic assay, radioimmunoassay, fluorescence polarization immunoassay, fluorescence immunoassay, or high-pressure liquid chromatography. If creatinine clearance can be measured or estimated accurately, the dosage for most patients with renal impairment can be calculated using the following table. The dosage of vancomycin hydrochloride for injection per day in mg is about 15 times the glomerular filtration rate in mL/min (see following table). DOSAGE TABLE FOR VANCOMYCIN IN PATIENTS WITH IMPAIRED RENAL FUNCTION (Adapted from Moellering et al. 1 ) Creatinine Clearance mL/min Vancomycin Dose mg/24 h 100 1,545 90 1,390 80 1,235 70 1,080 60 925 50 770 40 620 30 465 20 310 10 155 The initial dose should be no less than 15 mg/kg, even in patients with mild to moderate renal insufficiency. The table is not valid for functionally anephric patients. For such patients, an initial dose of 15 mg/kg of body weight should be given to achieve prompt therapeutic serum concentrations. The dose required to maintain stable concentrations is 1.9 mg/kg/24 hr. In patients with marked renal impairment, it may be more convenient to give maintenance doses of 250 to 1,000 mg once every several days rather than administering the drug on a daily basis. In anuria, a dose of 1,000 mg every 7 to 10 days has been recommended. When only serum creatinine is known, the following formula (based on sex, weight and age of the patient) may be used to calculate creatinine clearance. Calculated creatinine clearances (mL/min) are only estimates. The creatinine clearance should be measured promptly. Men: [Weight (kg) x (140 – age in years)] 72 x serum creatinine concentration (mg/dL) Women: 0.85 x above value The serum creatinine must represent a steady state of renal function. Otherwise, the estimated value for creatinine clearance is not valid. Such a calculated clearance is an overestimate of actual clearance in patients with conditions: (1) characterized by decreasing renal function, such as shock, severe heart failure, or oliguria; (2) in which a normal relationship between muscle mass and total body weight is not present, such as in obese patients or those with liver disease, edema, or ascites; and (3) accompanied by debilitation, malnutrition, or inactivity. The safety and efficacy of vancomycin administration by the intrathecal (intralumbar or intraventricular) routes have not been established. Intermittent infusion is the recommended method of administration. Compatibility with Other Drugs and Intravenous Fluids   The following diluents are physically and chemically compatible (with 4 g/L vancomycin hydrochloride): 5% Dextrose Injection, USP 5% Dextrose Injection and 0.9% Sodium Chloride Injection, USP  Lactated Ringer's Injection, USP 5% Dextrose and Lactated Ringer's Injection Normosol®-M and 5% Dextrose 0.9% Sodium Chloride Injection, USP  Isolyte®  E Good professional practice suggests that compounded admixtures should be administered as soon after preparation as is feasible. Vancomycin solution has a low pH and may cause physical instability of other compounds. Mixtures of solutions of vancomycin and beta-lactam antibiotics have been shown to be physically incompatible. The likelihood of precipitation increases with higher concentrations of vancomycin. It is recommended to adequately flush the intravenous lines between the administration of these antibiotics. It is also recommended to dilute solutions of vancomycin to 5 mg/mL or less. Although intravitreal injection is not an approved route of administration for vancomycin, precipitation has been reported after intravitreal injection of vancomycin and ceftazidime for endophthalmitis using different syringes and needles. The precipitates dissolved gradually, with complete clearing of the vitreous cavity over two months and with improvement of visual acuity.   Preparation and Stability   For Administration by Intravenous Drip Refer to Directions for Proper Use of a Pharmacy Bulk Package Bottle.   CAUTION: NOT TO BE DISPENSED AS A UNIT. DIRECTIONS FOR PROPER USE OF PHARMACY BULK PACKAGE a. The container closure may be penetrated only one time after reconstitution, utilizing a suitable sterile dispensing set which a lows measured     distribution of the contents. b. Use of this product is restricted to a suitable work area, such as a laminar flow hood.  c. Once this container closure has been punctured, withdrawal of the contents should be completed without delay. If prompt fluid transfer cannot be     accomplished, discard the contents no later than 4 HOURS after initial closure puncture. This time limit should begin with the introduction of     solvent for diluent into the Pharmacy Bulk Package. Parenteral drug products should be visually inspected for particulate matter and discoloration prior to administration, whenever solution and container permit. Do not add supplementary medication to Vancomycin for Injection, USP.   Preparation and Stability 5 g Pharmacy Bulk Package bottle At the time of use, reconstitute by adding 100 mL of Sterile Water for Injection to the 5 g Pharmacy Bulk Package bottle of dry, sterile vancomycin powder. The resultant solution will contain vancomycin equivalent to 500 mg/10 mL. FURTHER DILUTION IS REQUIRED. Reconstituted solutions of vancomycin (500 mg/10 mL) must be further diluted in at least 100 mL of a suitable infusion solution. Doses of 1 gram/20 mL must be further diluted in at least 200 mL of a suitable infusion solution. The desired dose diluted in this manner should be administered by intermittent intravenous infusion over a period of at least 60 minutes.   10 g Pharmacy Bulk Package bottle At the time of use, reconstitute by adding 95 mL of Sterile Water for Injection, USP to the 10 g bottle of dry, sterile vancomycin powder. The resultant solution will contain vancomycin equivalent to 500 mg/5 mL (1 g/10 mL). AFTER RECONSTITUTION, FURTHER DILUTION IS REQUIRED. Reconstituted solutions of vancomycin (500 mg/5 mL) must be further diluted in at least 100 mL of a suitable infusion solution. For doses of 1 gram (10 mL), at least 200 mL of solution must be used. The desired dose diluted in this manner should be administered by intermittent intravenous infusion over a period of at least 60 minutes. Parenteral drug products should be visually inspected for particulate matter and discoloration prior to administration, whenever solution and container permit.   For Oral Administration Oral vancomycin is used in treating antibiotic-associated pseudomembranous colitis caused by C. difficile and for staphylococcal enterocolitis. Vancomycin is not effective by the oral route for other types of infections. The usual adult total daily dosage is 500 mg to 2 g given in 3 or 4 divided doses for 7 to 10 days. The total daily dose in children is 40 mg/kg of body weight in 3 or 4 divided doses for 7 to 10 days. The total daily dosage should not exceed 2 g. The appropriate dose may be diluted in 1 oz of water and given to the patients to drink. Common flavoring syrups may be added to the solution to improve the taste for oral administration. The diluted solution may be administered via a nasogastric tube.

Contraindications

Vancomycin hydrochloride for injection is contraindicated in patients with known hypersensitivity to this antibiotic.

Adverse Reactions

To report SUSPECTED ADVERSE REACTIONS, contact Gland Pharma at (609) 250-7990 or FDA at 1-800-FDA-1088 or www.fda.gov/medwatch. Infusion-Related Events During or soon after rapid infusion of vancomycin hydrochloride for injection, patients may develop anaphylactoid reactions, including hypotension (see  ANIMAL PHARMACOLOGY ), wheezing, dyspnea, urticaria, or pruritus. Rapid infusion may also cause flushing of the upper body (“red neck”) or pain and muscle spasm of the chest and back. These reactions usually resolve within 20 minutes but may persist for several hours. Such events are infrequent if vancomycin hydrochloride for injection is given by a slow infusion over 60 minutes. In studies of normal volunteers, infusion-related events did not occur when vancomycin hydrochloride for injection was administered at a rate of 10 mg/min or less. Nephrotoxicity Systemic vancomycin exposure may result in acute kidney injury (AKI). The risk of AKI increases as systemic exposure/serum levels increase. Additional risk factors for AKI in patients receiving vancomycin include receipt of concomitant drugs known to be nephrotoxic, in patients with pre-existing renal impairment, or with co-morbidities that predispose to renal impairment. Interstitial nephritis has also been reported in patients receiving vancomycin. Gastrointestinal Onset of pseudomembranous colitis symptoms may occur during or after antibiotic treatment (see  WARNINGS ). Ototoxicity A few dozen cases of hearing loss associated with vancomycin have been reported. Most of these patients had kidney dysfunction or a preexisting hearing loss or were receiving concomitant treatment with an ototoxic drug. Vertigo, dizziness, and tinnitus have been reported rarely. Hematopoietic Reversible neutropenia, usually starting 1 week or more after onset of therapy with vancomycin or after a total dosage of more than 25 g, has been reported for several dozen patients. Neutropenia appears to be promptly reversible when vancomycin is discontinued. Thrombocytopenia has rarely been reported. Although a causal relationship has not been established, reversible agranulocytosis (granulocytes <500/mm 3 ) has been reported rarely. Phlebitis Inflammation at the injection site has been reported. Miscellaneous Patients have been reported to have had anaphylaxis, drug fever, nausea, chills, eosinophilia, rashes including exfoliative dermatitis, Stevens-Johnson syndrome (see  WARNINGS , Severe  Dermatologic Reactions ), and vasculitis in association with the administration of vancomycin. Chemical peritonitis has been reported following intraperitoneal administration (see  PRECAUTIONS ). Post Marketing Reports The following adverse reactions have been identified during post-approval use of vancomycin. Because these reactions are reported voluntarily from a population of uncertain size, it is not possible to reliably estimate their frequency or establish a causal relationship to drug exposure. Skin and Subcutaneous Tissue Disorders   Severe dermatologic reactions such as toxic epidermal necrolysis (TEN), drug reaction with eosinophilia and systemic symptoms (DRESS), acute generalized exanthematous pustulosis (AGEP), and linear IgA bullous dermatosis (LABD) (see  WARNINGS, Severe Dermatologic Reactions ).

Drug Interactions

Concomitant administration of vancomycin and anesthetic agents has been associated with erythema and histamine-like flushing (see Pediatric Use - PRECAUTIONS ) and anaphylactoid reactions (see ADVERSE REACTIONS ). Monitor renal function in patients receiving vancomycin and concurrent and/or sequential systemic or topical use of other potentially, neurotoxic and/or nephrotoxic drugs, such as amphotericin B, aminoglycosides, bacitracin, polymixin B, colistin, viomycin, or cisplatin.

How Supplied

Vancomycin Hydrochloride for Injection, USP, supplied as follows: Unit of Sale    Strength NDC 68083-569-01 Individually Packaged Vancomycin hydrochloride equivalent to 5 grams vancomycin in a Pharmacy Bulk Package Bottle  NDC 68083-570-01 Individually Packaged  Vancomycin hydrochloride equivalent to 10 grams vancomycin in a Pharmacy Bulk Package Bottle Store at 20° to 25°C (68° to 77°F) [see USP Controlled Room Temperature]. The container closure is not made with natural rubber latex.

Storage and Handling

Vancomycin Hydrochloride for Injection, USP, supplied as follows: Unit of Sale    Strength NDC 68083-569-01 Individually Packaged Vancomycin hydrochloride equivalent to 5 grams vancomycin in a Pharmacy Bulk Package Bottle  NDC 68083-570-01 Individually Packaged  Vancomycin hydrochloride equivalent to 10 grams vancomycin in a Pharmacy Bulk Package Bottle Store at 20° to 25°C (68° to 77°F) [see USP Controlled Room Temperature]. The container closure is not made with natural rubber latex.

Description

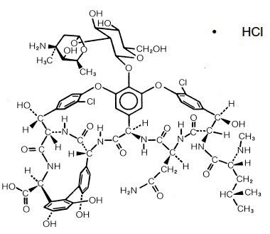
Vancomycin Hydrochloride for Injection, USP, is an off-white to buff-colored lyophilized powder, for preparing intravenous (IV) infusions, in Pharmacy Bulk Package bottles containing the equivalent of 5 g or 10 g vancomycin base. 500 mg of the base are equivalent to 0.34 mmol. When reconstituted with Sterile Water for Injection to a concentration of 50 mg/mL for the 5 g Pharmacy Bulk Package bottle and 100 mg/mL for the 10 g Pharmacy Bulk Package bottle, the pH of the solution is between 2.5 and 4.5. This product is oxygen sensitive. Vancomycin Hydrochloride for Injection, USP should be administered intravenously in diluted solution (see DOSAGE AND ADMINISTRATION ), AFTER RECONSTITUTION FURTHER DILUTION IS REQUIRED BEFORE USE. Vancomycin is a tricyclic glycopeptide antibiotic derived from Amycolatopasis orientalis (formerly Nocardia orientalis). The chemical name for  vancomycin hydrochloride is 3S- [3R*,6S*(S*),7S*,22S*,23R*,26R*,36S*,38aS*]]-3-(2-Amino-2-oxoethyl)-44-[[2-O-(3- amino-2,3,6-trideoxy-3-C-methyl-α-L-lyxo-hexopyranosyl)-ß-D-glucopyranosyl]oxy]-10,19-dichloro- 2,3,4,5,6,7,23,24,25,26,36,37,38,38a-tetradecahydro-7,22,28,30,32- pentahydroxy-6-[[4-methyl- 2-(methylamino)-1-oxopentyl]amino]-2,5,24,38,39- pentaoxo-22H-8,11:18,21-dietheno-23,36-(iminomethano)-13,16:31,35-dimetheno-1H,16H-[1,6,9]oxadiazacyclohexadecino[4,5-m][10,2,16]benzoxadiazacyclotetracosine-26-carboxylic acid, monohydrochloride. The molecular formula is C66H75Cl2N9O24• HCl and the molecular weight is 1,485.74. Vancomycin hydrochloride has the following structural formula: A pharmacy bulk package is a container of a sterile preparation for parenteral use that contains many single doses. The contents of this pharmacy bulk package are intended for  use by a pharmacy admixture service for addition to suitable parenteral fluids in the preparation of admixtures for  intravenous infusion (See DOSAGE AND ADMINISTRATION , Directions for Proper Use of Pharmacy Bulk Package) FURTHER DILUTION IS REQUIRED. NOT FOR DIRECT INFUSION.


Medication Information

Warnings

Infusion Reactions

 

Rapid bolus administration (e.g., over several minutes) may be associated with exaggerated hypotension, including shock and rarely cardiac arrest. Vancomycin hydrochloride for injection should be administered in a diluted solution over a period of not less than 60 minutes to avoid rapid-infusion-related reactions. Stopping the infusion usually results in prompt cessation of these reactions.



Nephrotoxicity

 

Systemic vancomycin exposure may result in acute kidney injury (AKI). The risk of AKI increases as systemic exposure/serum levels increase. Monitor renal function in all patients, especially patients with underlying renal impairment, patients with co-morbidities that predispose to renal impairment, and patients receiving concomitant therapy with a drug known to be nephrotoxic.



Ototoxicity

 

Ototoxicity has occurred in patients receiving vancomycin hydrochloride for injection. It may be transient or permanent. It has been reported mostly in patients who have been given excessive doses, who have an underlying hearing loss, or who are receiving concomitant therapy with another ototoxic agent, such as an aminoglycoside. Vancomycin should be used with caution in patients with renal insufficiency because the risk of toxicity is appreciably increased by high, prolonged blood concentrations.



Dosage of vancomycin hydrochloride for injection must be adjusted for patients with renal dysfunction (see PRECAUTIONS and DOSAGE AND ADMINISTRATION ).



Severe Dermatologic Reactions

 



Severe dermatologic reactions such as toxic epidermal necrolysis (TEN), Stevens- Johnson syndrome (SJS), drug reaction with eosinophilia and systemic symptoms (DRESS), acute generalized exanthematous pustulosis (AGEP), and linear IgA bullous dermatosis (LABD) have been reported in association with the use of vancomycin. Cutaneous signs or symptoms reported include skin rashes, mucosal lesions, and blisters.

Discontinue vancomycin hydrochloride for injection at the first appearance of signs and symptoms of TEN, SJS, DRESS, AGEP, or LABD.



Clostridium Difficile Associated Diarrhea (CDAD)

 

Clostridium difficile associated diarrhea (CDAD) has been reported with use of nearly all antibacterial agents, including vancomycin hydrochloride for injection, and may range in severity from mild diarrhea to fatal colitis. Treatment with antibacterial agents alters the normal flora of the colon leading to overgrowth of C. difficile.



C. difficile produces toxins A and B which contribute to the development of CDAD. Hypertoxin producing strains of C. difficile cause increased morbidity and mortality, as these infections can be refractory to antimicrobial therapy and may require colectomy. CDAD must be considered in all patients who present with diarrhea following antibiotic use. Careful medical history is necessary since CDAD has been reported to occur over two months after the administration of antibacterial agents.



If CDAD is suspected or confirmed, ongoing antibiotic use not directed against C. difficile may need to be discontinued. Appropriate fluid and electrolyte management, protein supplementation, antibiotic treatment of C. difficile, and surgical evaluation should be instituted as clinically indicated.



Hemorrhagic Occlusive Retinal Vasculitis (HORV)

 

Hemorrhagic occlusive retinal vasculitis, including permanent loss of vision, occurred in patients receiving intracameral or intravitreal administration of vancomycin during or after cataract surgery. The safety and efficacy of vancomycin administered by the intracameral or the intravitreal route have not been established by adequate and well controlled trials. Vancomycin is not indicated for the prophylaxis of endophthalmitis.

Indications and Usage


Vancomycin Hydrochloride for Injection, USP is indicated for the treatment of serious or severe infections caused by susceptible strains of methicillin-resistant (β-lactam- resistant) staphylococci. It is indicated for penicillin-allergic patients, for patients who cannot receive or who have failed to respond to other drugs, including the penicillins or cephalosporins, and for infections caused by vancomycin-susceptible organisms that are resistant to other antimicrobial drugs. Vancomycin Hydrochloride for Injection, USP is indicated for initial therapy when methicillin-resistant staphylococci are suspected, but after susceptibility data are available, therapy should be adjusted accordingly.





Vancomycin Hydrochloride for Injection, USP is effective in the treatment of staphylococcal endocarditis. Its effectiveness has been documented in other infections due to staphylococci, including septicemia, bone infections, lower respiratory tract infections, skin and skin structure infections. When staphylococcal infections are localized and purulent, antibiotics are used as adjuncts to appropriate surgical measures.





Vancomycin Hydrochloride for Injection, USP has been reported to be effective alone or in combination with an aminoglycoside for endocarditis caused by S. virdans or S. bovis. For endocarditis caused by enterococci (e.g., E. faecalis), vancomycin has been reported to be effective only in combination with an aminoglycoside.





Vancomycin Hydrochloride for Injection, USP has been reported to be effective for the treatment of diphtheroid endocarditis. Vancomycin Hydrochloride for Injection, USP has been used successfully in combination with either rifampin, an aminoglycoside, or both in early-onset prosthetic valve endocarditis caused by S. epidermidis or diphtheroids.





Specimens for bacteriologic cultures should be obtained in order to isolate and identify causative organisms and to determine their susceptibilities to vancomycin.





To reduce the development of drug-resistant bacteria and maintain the effectiveness of Vancomycin Hydrochloride for Injection, USP and other antibacterial drugs, Vancomycin Hydrochloride for Injection, USP should be used only to treat or prevent infections that are proven or strongly suspected to be caused by susceptible bacteria. When culture and susceptibility information are available, they should be considered in selecting or modifying antibacterial therapy. In the absence of such data, local epidemiology and susceptibility patterns may contribute to the empiric selection of therapy.





The parenteral form of vancomycin hydrochloride may be administered orally for treatment of antibiotic-associated pseudomembranous colitis produced by C. difficile and for staphylococcal enterocolitis. Parenteral administration of vancomycin hydrochloride alone is of unproven benefit for these indications. Vancomycin is not effective by the oral route for other types of infections.



Dosage and Administration


The intent of the pharmacy bulk package for this product is for preparation of solutions for intravenous infusion only.

 

Infusion-related events are related to both the concentration and the rate of administration of vancomycin. Concentrations of no more than 5 mg/mL and rates of no more than 10 mg/min, are recommended in adults (see also age-specific recommendations). In selected patients in need of fluid restriction, a concentration up to 10 mg/mL may be used; use of such higher concentrations may increase the risk of infusion-related events. An infusion rate of 10 mg/min or less is associated with fewer infusion-related events (see ADVERSE REACTIONS ). Infusion-related events may occur, however, at any rate or concentration.





Patients With Normal Renal Function

 

Adults

 

The usual daily intravenous dose is 2 g divided either as 500 mg every 6 hours or 1 g every 12 hours. Each dose should be administered at no more than 10 mg/min or over a period of at least 60 minutes, whichever is longer. Other patient factors, such as age or obesity, may call for modification of the usual intravenous daily dose.





Pediatric patients

 

The usual intravenous dosage of vancomycin is 10 mg/kg per dose given every 6 hours. Each dose should be administered over a period of at least 60 minutes. Close monitoring of serum concentrations of vancomycin may be warranted in these patients.





Neonates

 

In pediatric patients up to the age of 1 month, the total daily intravenous dosage may be lower. In neonates, an initial dose of 15 mg/kg is suggested, followed by 10 mg/kg every 12 hours for neonates in the 1st week of life and every 8 hours thereafter up to the age of 1 month. Each dose should be administered over 60 minutes. In premature infants, vancomycin clearance decreases as postconceptional age decreases. Therefore, longer dosing intervals may be necessary in premature infants. Close monitoring of serum concentrations of vancomycin is recommended in these patients.





Patients With Impaired Renal Function and Elderly Patients

 

Dosage adjustment must be made in patients with impaired renal function. In premature infants and the elderly, greater dosage reductions than expected may be necessary because of decreased renal function. Measurement of vancomycin serum concentrations can be helpful in optimizing therapy, especially in seriously ill patients with changing renal function. Vancomycin serum concentrations can be determined by use of microbiologic assay, radioimmunoassay, fluorescence polarization immunoassay, fluorescence immunoassay, or high-pressure liquid chromatography. If creatinine clearance can be measured or estimated accurately, the dosage for most patients with renal impairment can be calculated using the following table. The dosage of vancomycin hydrochloride for injection per day in mg is about 15 times the glomerular filtration rate in mL/min (see following table).





DOSAGE TABLE FOR VANCOMYCIN

IN PATIENTS WITH IMPAIRED RENAL FUNCTION

(Adapted from Moellering et al.1)

Creatinine Clearance

mL/min

Vancomycin Dose

mg/24 h

100

1,545

90

1,390

80

1,235

70

1,080

60

925

50

770

40

620

30

465

20

310

10

155





The initial dose should be no less than 15 mg/kg, even in patients with mild to moderate renal insufficiency. The table is not valid for functionally anephric patients. For such patients, an initial dose of 15 mg/kg of body weight should be given to achieve prompt therapeutic serum concentrations.

The dose required to maintain stable concentrations is 1.9 mg/kg/24 hr. In patients with marked renal impairment, it may be more convenient to give maintenance doses of 250 to 1,000 mg once every several days rather than administering the drug on a daily basis. In anuria, a dose of 1,000 mg every 7 to 10 days has been recommended. When only serum creatinine is known, the following formula (based on sex, weight and age of the patient) may be used to calculate creatinine clearance. Calculated creatinine clearances (mL/min) are only estimates. The creatinine clearance should be measured promptly.



Men:

[Weight (kg) x (140 – age in years)]

72 x serum creatinine concentration (mg/dL)

Women:

0.85 x above value



The serum creatinine must represent a steady state of renal function. Otherwise, the estimated value for creatinine clearance is not valid. Such a calculated clearance is an overestimate of actual clearance in patients with conditions: (1) characterized by decreasing renal function, such as shock, severe heart failure, or oliguria; (2) in which a normal relationship between muscle mass and total body weight is not present, such as in obese patients or those with liver disease, edema, or ascites; and (3) accompanied by debilitation, malnutrition, or inactivity. The safety and efficacy of vancomycin administration by the intrathecal (intralumbar or intraventricular) routes have not been established. Intermittent infusion is the recommended method of administration.



Compatibility with Other Drugs and Intravenous Fluids

 

The following diluents are physically and chemically compatible (with 4 g/L vancomycin hydrochloride):

5% Dextrose Injection, USP

5% Dextrose Injection and 0.9% Sodium Chloride Injection, USP 

Lactated Ringer's Injection, USP

5% Dextrose and Lactated Ringer's Injection

Normosol®-M and 5% Dextrose

0.9% Sodium Chloride Injection, USP 

Isolyte®  E



Good professional practice suggests that compounded admixtures should be administered as soon after preparation as is feasible.



Vancomycin solution has a low pH and may cause physical instability of other compounds.



Mixtures of solutions of vancomycin and beta-lactam antibiotics have been shown to be physically incompatible. The likelihood of precipitation increases with higher concentrations of vancomycin. It is recommended to adequately flush the intravenous lines between the administration of these antibiotics. It is also recommended to dilute solutions of vancomycin to 5 mg/mL or less.



Although intravitreal injection is not an approved route of administration for vancomycin, precipitation has been reported after intravitreal injection of vancomycin and ceftazidime for endophthalmitis using different syringes and needles. The precipitates dissolved gradually, with complete clearing of the vitreous cavity over two months and with improvement of visual acuity.

 

Preparation and Stability

 

For Administration by Intravenous Drip

Refer to Directions for Proper Use of a Pharmacy Bulk Package Bottle.

 

CAUTION: NOT TO BE DISPENSED AS A UNIT.

DIRECTIONS FOR PROPER USE OF PHARMACY BULK PACKAGE

a. The container closure may be penetrated only one time after reconstitution, utilizing a suitable sterile dispensing set which a lows measured

    distribution of the contents.

b. Use of this product is restricted to a suitable work area, such as a laminar flow hood. 

c. Once this container closure has been punctured, withdrawal of the contents should be completed without delay. If prompt fluid transfer cannot be

    accomplished, discard the contents no later than 4 HOURS after initial closure puncture. This time limit should begin with the introduction of

    solvent for diluent into the Pharmacy Bulk Package.



Parenteral drug products should be visually inspected for particulate matter and discoloration prior to administration, whenever solution and container permit.



Do not add supplementary medication to Vancomycin for Injection, USP.



 

Preparation and Stability



5 g Pharmacy Bulk Package bottle


At the time of use, reconstitute by adding 100 mL of Sterile Water for Injection to the 5 g Pharmacy Bulk Package bottle of dry, sterile vancomycin powder. The resultant solution will contain vancomycin equivalent to 500 mg/10 mL. FURTHER DILUTION IS REQUIRED.





Reconstituted solutions of vancomycin (500 mg/10 mL) must be further diluted in at least 100 mL of a suitable infusion solution. Doses of 1 gram/20 mL must be further diluted in at least 200 mL of a suitable infusion solution. The desired dose diluted in this manner should be administered by intermittent intravenous infusion over a period of at least 60 minutes.





 

10 g Pharmacy Bulk Package bottle

At the time of use, reconstitute by adding 95 mL of Sterile Water for Injection, USP to the 10 g bottle of dry, sterile vancomycin powder. The resultant solution will contain vancomycin equivalent to 500 mg/5 mL (1 g/10 mL). AFTER RECONSTITUTION, FURTHER DILUTION IS REQUIRED.

Reconstituted solutions of vancomycin (500 mg/5 mL) must be further diluted in at least 100 mL of a suitable infusion solution. For doses of 1 gram (10 mL), at least 200 mL of solution must be used. The desired dose diluted in this manner should be administered by intermittent intravenous infusion over a period of at least 60 minutes.



Parenteral drug products should be visually inspected for particulate matter and discoloration prior to administration, whenever solution and container permit.





 

For Oral Administration

Oral vancomycin is used in treating antibiotic-associated pseudomembranous colitis caused by C. difficile and for staphylococcal enterocolitis. Vancomycin is not effective by the oral route for other types of infections. The usual adult total daily dosage is 500 mg to 2 g given in 3 or 4 divided doses for 7 to 10 days. The total daily dose in children is 40 mg/kg of body weight in 3 or 4 divided doses for 7 to 10 days. The total daily dosage should not exceed 2 g. The appropriate dose may be diluted in 1 oz of water and given to the patients to drink. Common flavoring syrups may be added to the solution to improve the taste for oral administration. The diluted solution may be administered via a nasogastric tube.

Contraindications

Vancomycin hydrochloride for injection is contraindicated in patients with known hypersensitivity to this antibiotic.

Adverse Reactions

To report SUSPECTED ADVERSE REACTIONS, contact Gland Pharma at (609) 250-7990 or FDA at 1-800-FDA-1088 or www.fda.gov/medwatch.



Infusion-Related Events

During or soon after rapid infusion of vancomycin hydrochloride for injection, patients may develop anaphylactoid reactions, including hypotension (see  ANIMAL PHARMACOLOGY ), wheezing, dyspnea, urticaria, or pruritus. Rapid infusion may also cause flushing of the upper body (“red neck”) or pain and muscle spasm of the chest and back. These reactions usually resolve within 20 minutes but may persist for several hours. Such events are infrequent if vancomycin hydrochloride for injection is given by a slow infusion over 60 minutes. In studies of normal volunteers, infusion-related events did not occur when vancomycin hydrochloride for injection was administered at a rate of 10 mg/min or less.



Nephrotoxicity

Systemic vancomycin exposure may result in acute kidney injury (AKI). The risk of AKI increases as systemic exposure/serum levels increase. Additional risk factors for AKI in patients receiving vancomycin include receipt of concomitant drugs known to be nephrotoxic, in patients with pre-existing renal impairment, or with co-morbidities that predispose to renal impairment. Interstitial nephritis has also been reported in patients receiving vancomycin.



Gastrointestinal

Onset of pseudomembranous colitis symptoms may occur during or after antibiotic treatment (see  WARNINGS ).



Ototoxicity

A few dozen cases of hearing loss associated with vancomycin have been reported. Most of these patients had kidney dysfunction or a preexisting hearing loss or were receiving concomitant treatment with an ototoxic drug. Vertigo, dizziness, and tinnitus have been reported rarely.





Hematopoietic

Reversible neutropenia, usually starting 1 week or more after onset of therapy with vancomycin or after a total dosage of more than 25 g, has been reported for several dozen patients. Neutropenia appears to be promptly reversible when vancomycin is discontinued. Thrombocytopenia has rarely been reported. Although a causal relationship has not been established, reversible agranulocytosis (granulocytes <500/mm3) has been reported rarely.



Phlebitis

Inflammation at the injection site has been reported.



Miscellaneous

Patients have been reported to have had anaphylaxis, drug fever, nausea, chills, eosinophilia, rashes including exfoliative dermatitis, Stevens-Johnson syndrome (see  WARNINGS, Severe  Dermatologic Reactions), and vasculitis in association with the administration of vancomycin.

Chemical peritonitis has been reported following intraperitoneal administration (see  PRECAUTIONS ).



Post Marketing Reports

The following adverse reactions have been identified during post-approval use of vancomycin. Because these reactions are reported voluntarily from a population of uncertain size, it is not possible to reliably estimate their frequency or establish a causal relationship to drug exposure.

Skin and Subcutaneous Tissue Disorders

 

Severe dermatologic reactions such as toxic epidermal necrolysis (TEN), drug reaction with eosinophilia and systemic symptoms (DRESS), acute generalized exanthematous pustulosis (AGEP), and linear IgA bullous dermatosis (LABD) (see  WARNINGS, Severe Dermatologic Reactions ).

Drug Interactions

Concomitant administration of vancomycin and anesthetic agents has been associated with erythema and histamine-like flushing (see Pediatric Use- PRECAUTIONS ) and anaphylactoid reactions (see ADVERSE REACTIONS ).



Monitor renal function in patients receiving vancomycin and concurrent and/or sequential systemic or topical use of other potentially, neurotoxic and/or nephrotoxic drugs, such as amphotericin B, aminoglycosides, bacitracin, polymixin B, colistin, viomycin, or cisplatin.



Storage and Handling

Vancomycin Hydrochloride for Injection, USP, supplied as follows: Unit of Sale    Strength NDC 68083-569-01 Individually Packaged Vancomycin hydrochloride equivalent to 5 grams vancomycin in a Pharmacy Bulk Package Bottle  NDC 68083-570-01 Individually Packaged  Vancomycin hydrochloride equivalent to 10 grams vancomycin in a Pharmacy Bulk Package Bottle Store at 20° to 25°C (68° to 77°F) [see USP Controlled Room Temperature]. The container closure is not made with natural rubber latex.

How Supplied

Vancomycin Hydrochloride for Injection, USP, supplied as follows: Unit of Sale    Strength NDC 68083-569-01 Individually Packaged Vancomycin hydrochloride equivalent to 5 grams vancomycin in a Pharmacy Bulk Package Bottle  NDC 68083-570-01 Individually Packaged  Vancomycin hydrochloride equivalent to 10 grams vancomycin in a Pharmacy Bulk Package Bottle Store at 20° to 25°C (68° to 77°F) [see USP Controlled Room Temperature]. The container closure is not made with natural rubber latex.

Description

Vancomycin Hydrochloride for Injection, USP, is an off-white to buff-colored lyophilized powder, for preparing intravenous (IV) infusions, in Pharmacy Bulk Package bottles containing the equivalent of 5 g or 10 g vancomycin base. 500 mg of the base are equivalent to 0.34 mmol.



When reconstituted with Sterile Water for Injection to a concentration of 50 mg/mL for the 5 g Pharmacy Bulk Package bottle and 100 mg/mL for the 10 g Pharmacy Bulk Package bottle, the pH of the solution is between 2.5 and 4.5. This product is oxygen sensitive. Vancomycin Hydrochloride for Injection, USP should be administered intravenously in diluted solution (see DOSAGE AND ADMINISTRATION ), AFTER RECONSTITUTION FURTHER DILUTION IS REQUIRED BEFORE USE.



Vancomycin is a tricyclic glycopeptide antibiotic derived from Amycolatopasis orientalis (formerly Nocardia orientalis). The chemical name for  vancomycin hydrochloride is 3S- [3R*,6S*(S*),7S*,22S*,23R*,26R*,36S*,38aS*]]-3-(2-Amino-2-oxoethyl)-44-[[2-O-(3- amino-2,3,6-trideoxy-3-C-methyl-α-L-lyxo-hexopyranosyl)-ß-D-glucopyranosyl]oxy]-10,19-dichloro- 2,3,4,5,6,7,23,24,25,26,36,37,38,38a-tetradecahydro-7,22,28,30,32- pentahydroxy-6-[[4-methyl- 2-(methylamino)-1-oxopentyl]amino]-2,5,24,38,39- pentaoxo-22H-8,11:18,21-dietheno-23,36-(iminomethano)-13,16:31,35-dimetheno-1H,16H-[1,6,9]oxadiazacyclohexadecino[4,5-m][10,2,16]benzoxadiazacyclotetracosine-26-carboxylic acid, monohydrochloride. The molecular formula is C66H75Cl2N9O24• HCl and the molecular weight is 1,485.74. Vancomycin hydrochloride has the following structural formula:



A pharmacy bulk package is a container of a sterile preparation for parenteral use that contains many single doses. The contents of this pharmacy bulk package are intended for  use by a pharmacy admixture service for addition to suitable parenteral fluids in the preparation of admixtures for  intravenous infusion (See DOSAGE AND ADMINISTRATION, Directions for Proper Use of Pharmacy Bulk Package) FURTHER DILUTION IS REQUIRED. NOT FOR DIRECT INFUSION.

Pregnancy

Teratogenic Effects



Animal reproduction studies have not been conducted with vancomycin. It is not known whether vancomycin can affect reproduction capacity. In a controlled clinical study, the potential ototoxic and nephrotoxic effects of vancomycin on infants were evaluated when the drug was administered to pregnant women for serious staphylococcal infections complicating intravenous drug abuse. Vancomycin was found in cord blood. No sensorineural hearing loss or nephrotoxicity attributable to vancomycin was noted. One infant whose mother received vancomycin in the third trimester experienced conductive hearing loss that was not attributed to the administration of vancomycin. Because the number of patients treated in this study was limited and vancomycin was administered only in the second and third trimesters, it is not known whether vancomycin causes fetal harm. Vancomycin should be given to a pregnant woman only if clearly needed.

Overdosage


Supportive care is advised, with maintenance of glomerular filtration. Vancomycin is poorly removed by dialysis. Hemofiltration and hemoperfusion with polysulfone resin have been reported to result in increased vancomycin clearance. The median lethal intravenous dose is 319 mg/kg in rats and 400 mg/kg in mice.





To obtain up-to-date information about the treatment of overdose, a good resource is your certified Regional Poison Control Center. Telephone numbers of certified poison control centers are listed in the Physicians' Desk Reference (PDR). In managing overdosage, consider the possibility of multiple drug overdoses, interaction among drugs, and unusual drug kinetics in your patient.

References

1. Moellering RC, Krogstad DJ, Greenblatt DJ: Vancomycin therapy in patients with impaired renal function: A nomogram for dosage. Ann Inter Med 1981; 94:343.



Manufactured by:

Gland Pharma Limited

Hyderabad, India



Revised date: December 2021



Precautions


Clinically significant serum concentrations have been reported in some patients being treated for active C. difficile-induced pseudomembranous colitis after multiple oral doses of vancomycin.





Prolonged use of vancomycin hydrochloride for injection may result in the overgrowth of nonsusceptible microorganisms. Careful observation of the patient is essential. If superinfection occurs during therapy, appropriate measures should be taken. In rare instances, there have been reports of pseudomembranous colitis due to C. difficile developing in patients who received intravenous vancomycin hydrochloride for injection.





Serial tests of auditory function may be helpful in order to minimize the risk of ototoxicity.





Reversible neutropenia has been reported in patients receiving vancomycin hydrochloride for injection (see  ADVERSE REACTIONS ). Patients who will undergo prolonged therapy with vancomycin hydrochloride for injection or those who are receiving concomitant drugs which may cause neutropenia should have periodic monitoring of the leukocyte count.





Vancomycin hydrochloride for injection is irritating to tissue and must be given by a secure intravenous route of administration. Pain, tenderness, and necrosis occur with intramuscular (IM) injection of vancomycin hydrochloride for injection or with inadvertent extravasation. Thrombophlebitis may occur, the frequency and severity of which can be minimized by administering the drug slowly as a dilute solution (2.5 to 5 g/L) and by rotation of venous access sites.





There have been reports that the frequency of infusion-related events (including hypotension, flushing, erythema, urticaria, and pruritus) increases with the concomitant administration of anesthetic agents. Infusion-related events may be minimized by the administration of vancomycin as a 60-minute infusion prior to anesthetic induction. The safety and efficacy of vancomycin administered by the intrathecal (intralumbar or intraventricular) route or by the intraperitoneal route have not been established by adequate and well controlled trials.





Reports have revealed that administration of sterile vancomycin by the intraperitoneal route during continuous ambulatory peritoneal dialysis (CAPD) has resulted in a syndrome of chemical peritonitis. To date, this syndrome has ranged from cloudy dialysate alone to a cloudy dialysate accompanied by variable degrees of abdominal pain and fever. This syndrome appears to be short-lived after discontinuation of intraperitoneal vancomycin.





Prescribing vancomycin hydrochloride for injection in the absence of a proven or strongly suspected bacterial infection or a prophylactic indication is unlikely to provide benefit to the patient and increases the risk of the development of drug-resistant bacteria.

Microbiology


The bactericidal action of vancomycin results primarily from inhibition of cell-wall biosynthesis. In addition, vancomycin alters bacterial-cell-membrane permeability and RNA synthesis. There is no cross-resistance between vancomycin and other antibiotics. Vancomycin is not active in vitro against gram-negative bacilli, mycobacteria, or fungi.



Synergy

The combination of vancomycin and an aminoglycoside acts synergistically in vitro against many strains of Staphylococcus aureus, Streptococcus bovis, enterococci, and the viridans group streptococci.



Vancomycin has been shown to be active against most strains of the following microorganisms, both in vitro and in clinical infections as described in the INDICATIONS AND USAGE section.



Aerobic gram-positive microorganisms

Diphtheroids

Enterococci (e.g., Enterococcus faecalis)

Staphylococci, including Staphylococcus aureus and Staphylococcus epidermidis

(Including heterogeneous methicillin-resistant strains)

Streptococcus bovis

Viridans group streptococci



The following in vitro data are available, but their clinical significance is unknown . Vancomycin exhibits in vitro MIC's of 1 mcg/mL or less against most (≥ 90%) strains of streptococci listed below and MIC's of 4 mcg/mL or less against most (≥ 90%) strains of other listed microorganisms; however, the safety and effectiveness of vancomycin in treating clinical infections due to these microorganisms have not been established in adequate and we l-controlled clinical trials.



Aerobic gram-positive microorganisms

            Listeria monocytogenes

           Streptococcus pyogenes

           Streptococcus pneumoniae (including penicillin-resistant strains)

           Streptococcus agalactiae


Anaerobic gram-positive microorganisms

            Actinomyces species

            Lactobacillus species


 

Susceptibility Testing

For specific information regarding susceptibility test interpretive criteria and associated test methods and quality control standards recognized by FDA for this drug, please see: https://www.fda.gov/STIC.

Geriatric Use

The natural decrement of glomerular filtration with increasing age may lead to elevated vancomycin serum concentrations if dosage is not adjusted. Vancomycin dosage schedules should be adjusted in elderly patients (see DOSAGE AND ADMINISTRATION ).

Pediatric Use

In pediatric patients, it may be appropriate to confirm desired vancomycin serum concentrations. Concomitant administration of vancomycin and anesthetic agents has been associated with erythema and histamine-like flushing in pediatric patients (see PRECAUTIONS ).

Nursing Mothers


Vancomycin hydrochloride for injection is excreted in human milk. Caution should be exercised when vancomycin hydrochloride for injection is administered to a nursing woman. Because of the potential for adverse events, a decision should be made whether to discontinue nursing or to discontinue the drug, taking into account the importance of the drug to the mother.

Animal Pharmacology


In animal studies, hypotension and bradycardia occurred in dogs receiving an intravenous infusion of vancomycin hydrochloride 25 mg/kg, at a concentration of 25 mg/mL and an infusion rate of 13.3 mL/min.

Clinical Pharmacology

Vancomycin is poorly absorbed after oral administration.





In subjects with normal kidney function, multiple intravenous dosing of 1 g of vancomycin (15 mg/kg) infused over 60 minutes produces mean plasma concentrations of approximately 63 mcg/mL immediately after the completion of infusion, mean plasma concentrations of approximately 23 mcg/mL 2 hours after infusion, and mean plasma concentrations of approximately 8 mcg/mL 11 hours after the end of the infusion. Multiple dosing of 500 mg infused over 30 minutes produces mean plasma concentrations of about 49 mcg/mL at the completion of infusion, mean plasma concentrations of about 19 mcg/mL 2 hours after infusion, and mean plasma concentrations of about 10 mcg/mL 6 hours after infusion. The plasma concentrations during multiple dosing are similar to those after a single dose.



The mean elimination half-life of vancomycin from plasma is 4 to 6 hours in subjects with normal renal function. In the first 24 hours, about 75% of an administered dose of vancomycin is excreted in urine by glomerular filtration. Mean plasma clearance is about 0.058 L/kg/h, and mean renal clearance is about 0.048 L/kg/h. Renal dysfunction slows excretion of vancomycin. In anephric patients, the average half-life of elimination is 7.5 days. The distribution coefficient is from 0.3 to 0.43 L/kg. There is no apparent metabolism of the drug. About 60% of an intraperitoneal dose of vancomycin administered during peritoneal dialysis is absorbed systemically in 6 hours. Serum concentrations of about 10 mcg/mL are achieved by intraperitoneal injection of 30 mg/kg of vancomycin. However, the safety and efficacy of the intraperitoneal use of vancomycin has not been established in adequate and well-controlled trials (see PRECAUTIONS ).





Total systemic and renal clearance of vancomycin may be reduced in the elderly. Vancomycin is approximately 55% serum protein bound as measured by ultrafiltration at vancomycin serum concentrations of 10 to 100 mcg/mL. After intravenous administration of vancomycin, inhibitory concentrations are present in pleural, pericardial, ascitic, and synovial fluids; in urine; in peritoneal dialysis fluid; and in atrial appendage tissue. Vancomycin does not readily diffuse across normal meninges into the spinal fluid; but, when the meninges are inflamed, penetration into the spinal fluid occurs.

Information for Patients


Severe Dermatologic Reactions

 

Advise patients about the signs and symptoms of serious skin manifestations. Instruct patients to stop vancomycin hydrochloride for injection immediately and promptly seek medical attention at the first signs or symptoms of skin rash, mucosal lesions and blisters (see  WARNINGS ).





Patients should be counseled that antibacterial drugs including vancomycin hydrochloride for injection should only be used to treat bacterial infections. They do not treat viral infections (e.g., the common cold). When vancomycin hydrochloride for injection is prescribed to treat a bacterial infection, patients should be told that although it is common to feel better early in the course of therapy, the medication should be taken exactly as directed. Skipping doses or not completing the full course of therapy may (1) decrease the effectiveness of the immediate treatment and (2) increase the likelihood that bacteria will develop resistance and will not be treatable by vancomycin hydrochloride for injection or other antibacterial drugs in the future.





Diarrhea is a common problem caused by antibiotics which usually ends when the antibiotic is discontinued. Sometimes after starting treatment with antibiotics, patients can develop watery and bloody stools (with or without stomach cramps and fever) even as late as two or more months after having taken the last dose of the antibiotic. If this occurs, patients should contact their physician as soon as possible.

How Supplied/storage and Handling

Vancomycin Hydrochloride for Injection, USP, supplied as follows:





Unit of Sale  


 Strength
NDC 68083-569-01

Individually

Packaged
Vancomycin hydrochloride

equivalent to 5 grams

vancomycin in a Pharmacy

Bulk Package Bottle
 NDC 68083-570-01

Individually

Packaged
 Vancomycin hydrochloride

equivalent to 10 grams

vancomycin in a Pharmacy

Bulk Package Bottle

Store at 20° to 25°C (68° to 77°F) [see USP Controlled Room Temperature].

The container closure is not made with natural rubber latex.

Package Label.principal Display Panel

NDC-68083-569-01

Vancomycin

Hydrochloride

for Injection, USP

5 grams*

per Pharmacy Bulk Package

PHARMACY BULK PACKAGE-

NOT FOR DIRECT INFUSION

For Intravenous Infusion.

MUST BE FURTHER DILUTED

BEFORE USE.

Preservative free.

Rx only



NDC-68083-569-01     Rx only

Vancomycin

Hydrochloride

for Injection, USP

5 grams*

per Pharmacy Bulk Package

PHARMACY BULK PACKAGE-

NOT FOR DIRECT INFUSION

*Each bottle contains:

Vancomycin hydrochloride

equivalent to 5 g vancomycin.



Usual adult dosage: 2 g daily, in

divided doses.

IMPORTANT: READ INSERT FOR

PRECAUTIONS AND DIRECTIONS

BEFORE USE.

 

NDC-68083-570-01

Vancomycin

Hydrochloride

for Injection, USP

10 grams*

per Pharmacy Bulk Package

PHARMACY BULK PACKAGE-

NOT FOR DIRECT INFUSION

For Intravenous Infusion.

MUST BE FURTHER DILUTED

BEFORE USE.

Preservative free.

Rx only



NDC-68083-570-01

Vancomycin

Hydrochloride

for Injection, USP

10 grams*

per Pharmacy Bulk Package

PHARMACY BULK PACKAGE -

NOT FOR DIRECT INFUSION

*Each bottle contains:

Vancomycin hydrochloride

equivalent to 10 g vancomycin.

Usual adult dosage:
2 g daily, in

divided doses.

IMPORTANT: READ INSERT FOR

PRECAUTIONS AND DIRECTIONS

BEFORE USE.

 

Carcinogenesis, Mutagenesis, Impairment of Fertility


Although no long-term studies in animals have been performed to evaluate carcinogenic potential, no mutagenic potential of vancomycin hydrochloride for injection was found in standard laboratory tests. No definitive fertility studies have been performed.


Structured Label Content

Warnings (WARNINGS)

Infusion Reactions

 

Rapid bolus administration (e.g., over several minutes) may be associated with exaggerated hypotension, including shock and rarely cardiac arrest. Vancomycin hydrochloride for injection should be administered in a diluted solution over a period of not less than 60 minutes to avoid rapid-infusion-related reactions. Stopping the infusion usually results in prompt cessation of these reactions.



Nephrotoxicity

 

Systemic vancomycin exposure may result in acute kidney injury (AKI). The risk of AKI increases as systemic exposure/serum levels increase. Monitor renal function in all patients, especially patients with underlying renal impairment, patients with co-morbidities that predispose to renal impairment, and patients receiving concomitant therapy with a drug known to be nephrotoxic.



Ototoxicity

 

Ototoxicity has occurred in patients receiving vancomycin hydrochloride for injection. It may be transient or permanent. It has been reported mostly in patients who have been given excessive doses, who have an underlying hearing loss, or who are receiving concomitant therapy with another ototoxic agent, such as an aminoglycoside. Vancomycin should be used with caution in patients with renal insufficiency because the risk of toxicity is appreciably increased by high, prolonged blood concentrations.



Dosage of vancomycin hydrochloride for injection must be adjusted for patients with renal dysfunction (see PRECAUTIONS and DOSAGE AND ADMINISTRATION ).



Severe Dermatologic Reactions

 



Severe dermatologic reactions such as toxic epidermal necrolysis (TEN), Stevens- Johnson syndrome (SJS), drug reaction with eosinophilia and systemic symptoms (DRESS), acute generalized exanthematous pustulosis (AGEP), and linear IgA bullous dermatosis (LABD) have been reported in association with the use of vancomycin. Cutaneous signs or symptoms reported include skin rashes, mucosal lesions, and blisters.

Discontinue vancomycin hydrochloride for injection at the first appearance of signs and symptoms of TEN, SJS, DRESS, AGEP, or LABD.



Clostridium Difficile Associated Diarrhea (CDAD)

 

Clostridium difficile associated diarrhea (CDAD) has been reported with use of nearly all antibacterial agents, including vancomycin hydrochloride for injection, and may range in severity from mild diarrhea to fatal colitis. Treatment with antibacterial agents alters the normal flora of the colon leading to overgrowth of C. difficile.



C. difficile produces toxins A and B which contribute to the development of CDAD. Hypertoxin producing strains of C. difficile cause increased morbidity and mortality, as these infections can be refractory to antimicrobial therapy and may require colectomy. CDAD must be considered in all patients who present with diarrhea following antibiotic use. Careful medical history is necessary since CDAD has been reported to occur over two months after the administration of antibacterial agents.



If CDAD is suspected or confirmed, ongoing antibiotic use not directed against C. difficile may need to be discontinued. Appropriate fluid and electrolyte management, protein supplementation, antibiotic treatment of C. difficile, and surgical evaluation should be instituted as clinically indicated.



Hemorrhagic Occlusive Retinal Vasculitis (HORV)

 

Hemorrhagic occlusive retinal vasculitis, including permanent loss of vision, occurred in patients receiving intracameral or intravitreal administration of vancomycin during or after cataract surgery. The safety and efficacy of vancomycin administered by the intracameral or the intravitreal route have not been established by adequate and well controlled trials. Vancomycin is not indicated for the prophylaxis of endophthalmitis.

Indications and Usage (INDICATIONS AND USAGE)


Vancomycin Hydrochloride for Injection, USP is indicated for the treatment of serious or severe infections caused by susceptible strains of methicillin-resistant (β-lactam- resistant) staphylococci. It is indicated for penicillin-allergic patients, for patients who cannot receive or who have failed to respond to other drugs, including the penicillins or cephalosporins, and for infections caused by vancomycin-susceptible organisms that are resistant to other antimicrobial drugs. Vancomycin Hydrochloride for Injection, USP is indicated for initial therapy when methicillin-resistant staphylococci are suspected, but after susceptibility data are available, therapy should be adjusted accordingly.





Vancomycin Hydrochloride for Injection, USP is effective in the treatment of staphylococcal endocarditis. Its effectiveness has been documented in other infections due to staphylococci, including septicemia, bone infections, lower respiratory tract infections, skin and skin structure infections. When staphylococcal infections are localized and purulent, antibiotics are used as adjuncts to appropriate surgical measures.





Vancomycin Hydrochloride for Injection, USP has been reported to be effective alone or in combination with an aminoglycoside for endocarditis caused by S. virdans or S. bovis. For endocarditis caused by enterococci (e.g., E. faecalis), vancomycin has been reported to be effective only in combination with an aminoglycoside.





Vancomycin Hydrochloride for Injection, USP has been reported to be effective for the treatment of diphtheroid endocarditis. Vancomycin Hydrochloride for Injection, USP has been used successfully in combination with either rifampin, an aminoglycoside, or both in early-onset prosthetic valve endocarditis caused by S. epidermidis or diphtheroids.





Specimens for bacteriologic cultures should be obtained in order to isolate and identify causative organisms and to determine their susceptibilities to vancomycin.





To reduce the development of drug-resistant bacteria and maintain the effectiveness of Vancomycin Hydrochloride for Injection, USP and other antibacterial drugs, Vancomycin Hydrochloride for Injection, USP should be used only to treat or prevent infections that are proven or strongly suspected to be caused by susceptible bacteria. When culture and susceptibility information are available, they should be considered in selecting or modifying antibacterial therapy. In the absence of such data, local epidemiology and susceptibility patterns may contribute to the empiric selection of therapy.





The parenteral form of vancomycin hydrochloride may be administered orally for treatment of antibiotic-associated pseudomembranous colitis produced by C. difficile and for staphylococcal enterocolitis. Parenteral administration of vancomycin hydrochloride alone is of unproven benefit for these indications. Vancomycin is not effective by the oral route for other types of infections.



Dosage and Administration (DOSAGE AND ADMINISTRATION)


The intent of the pharmacy bulk package for this product is for preparation of solutions for intravenous infusion only.

 

Infusion-related events are related to both the concentration and the rate of administration of vancomycin. Concentrations of no more than 5 mg/mL and rates of no more than 10 mg/min, are recommended in adults (see also age-specific recommendations). In selected patients in need of fluid restriction, a concentration up to 10 mg/mL may be used; use of such higher concentrations may increase the risk of infusion-related events. An infusion rate of 10 mg/min or less is associated with fewer infusion-related events (see ADVERSE REACTIONS ). Infusion-related events may occur, however, at any rate or concentration.





Patients With Normal Renal Function

 

Adults

 

The usual daily intravenous dose is 2 g divided either as 500 mg every 6 hours or 1 g every 12 hours. Each dose should be administered at no more than 10 mg/min or over a period of at least 60 minutes, whichever is longer. Other patient factors, such as age or obesity, may call for modification of the usual intravenous daily dose.





Pediatric patients

 

The usual intravenous dosage of vancomycin is 10 mg/kg per dose given every 6 hours. Each dose should be administered over a period of at least 60 minutes. Close monitoring of serum concentrations of vancomycin may be warranted in these patients.





Neonates

 

In pediatric patients up to the age of 1 month, the total daily intravenous dosage may be lower. In neonates, an initial dose of 15 mg/kg is suggested, followed by 10 mg/kg every 12 hours for neonates in the 1st week of life and every 8 hours thereafter up to the age of 1 month. Each dose should be administered over 60 minutes. In premature infants, vancomycin clearance decreases as postconceptional age decreases. Therefore, longer dosing intervals may be necessary in premature infants. Close monitoring of serum concentrations of vancomycin is recommended in these patients.





Patients With Impaired Renal Function and Elderly Patients

 

Dosage adjustment must be made in patients with impaired renal function. In premature infants and the elderly, greater dosage reductions than expected may be necessary because of decreased renal function. Measurement of vancomycin serum concentrations can be helpful in optimizing therapy, especially in seriously ill patients with changing renal function. Vancomycin serum concentrations can be determined by use of microbiologic assay, radioimmunoassay, fluorescence polarization immunoassay, fluorescence immunoassay, or high-pressure liquid chromatography. If creatinine clearance can be measured or estimated accurately, the dosage for most patients with renal impairment can be calculated using the following table. The dosage of vancomycin hydrochloride for injection per day in mg is about 15 times the glomerular filtration rate in mL/min (see following table).





DOSAGE TABLE FOR VANCOMYCIN

IN PATIENTS WITH IMPAIRED RENAL FUNCTION

(Adapted from Moellering et al.1)

Creatinine Clearance

mL/min

Vancomycin Dose

mg/24 h

100

1,545

90

1,390

80

1,235

70

1,080

60

925

50

770

40

620

30

465

20

310

10

155





The initial dose should be no less than 15 mg/kg, even in patients with mild to moderate renal insufficiency. The table is not valid for functionally anephric patients. For such patients, an initial dose of 15 mg/kg of body weight should be given to achieve prompt therapeutic serum concentrations.

The dose required to maintain stable concentrations is 1.9 mg/kg/24 hr. In patients with marked renal impairment, it may be more convenient to give maintenance doses of 250 to 1,000 mg once every several days rather than administering the drug on a daily basis. In anuria, a dose of 1,000 mg every 7 to 10 days has been recommended. When only serum creatinine is known, the following formula (based on sex, weight and age of the patient) may be used to calculate creatinine clearance. Calculated creatinine clearances (mL/min) are only estimates. The creatinine clearance should be measured promptly.



Men:

[Weight (kg) x (140 – age in years)]

72 x serum creatinine concentration (mg/dL)

Women:

0.85 x above value



The serum creatinine must represent a steady state of renal function. Otherwise, the estimated value for creatinine clearance is not valid. Such a calculated clearance is an overestimate of actual clearance in patients with conditions: (1) characterized by decreasing renal function, such as shock, severe heart failure, or oliguria; (2) in which a normal relationship between muscle mass and total body weight is not present, such as in obese patients or those with liver disease, edema, or ascites; and (3) accompanied by debilitation, malnutrition, or inactivity. The safety and efficacy of vancomycin administration by the intrathecal (intralumbar or intraventricular) routes have not been established. Intermittent infusion is the recommended method of administration.



Compatibility with Other Drugs and Intravenous Fluids

 

The following diluents are physically and chemically compatible (with 4 g/L vancomycin hydrochloride):

5% Dextrose Injection, USP

5% Dextrose Injection and 0.9% Sodium Chloride Injection, USP 

Lactated Ringer's Injection, USP

5% Dextrose and Lactated Ringer's Injection

Normosol®-M and 5% Dextrose

0.9% Sodium Chloride Injection, USP 

Isolyte®  E



Good professional practice suggests that compounded admixtures should be administered as soon after preparation as is feasible.



Vancomycin solution has a low pH and may cause physical instability of other compounds.



Mixtures of solutions of vancomycin and beta-lactam antibiotics have been shown to be physically incompatible. The likelihood of precipitation increases with higher concentrations of vancomycin. It is recommended to adequately flush the intravenous lines between the administration of these antibiotics. It is also recommended to dilute solutions of vancomycin to 5 mg/mL or less.



Although intravitreal injection is not an approved route of administration for vancomycin, precipitation has been reported after intravitreal injection of vancomycin and ceftazidime for endophthalmitis using different syringes and needles. The precipitates dissolved gradually, with complete clearing of the vitreous cavity over two months and with improvement of visual acuity.

 

Preparation and Stability

 

For Administration by Intravenous Drip

Refer to Directions for Proper Use of a Pharmacy Bulk Package Bottle.

 

CAUTION: NOT TO BE DISPENSED AS A UNIT.

DIRECTIONS FOR PROPER USE OF PHARMACY BULK PACKAGE

a. The container closure may be penetrated only one time after reconstitution, utilizing a suitable sterile dispensing set which a lows measured

    distribution of the contents.

b. Use of this product is restricted to a suitable work area, such as a laminar flow hood. 

c. Once this container closure has been punctured, withdrawal of the contents should be completed without delay. If prompt fluid transfer cannot be

    accomplished, discard the contents no later than 4 HOURS after initial closure puncture. This time limit should begin with the introduction of

    solvent for diluent into the Pharmacy Bulk Package.



Parenteral drug products should be visually inspected for particulate matter and discoloration prior to administration, whenever solution and container permit.



Do not add supplementary medication to Vancomycin for Injection, USP.



 

Preparation and Stability



5 g Pharmacy Bulk Package bottle


At the time of use, reconstitute by adding 100 mL of Sterile Water for Injection to the 5 g Pharmacy Bulk Package bottle of dry, sterile vancomycin powder. The resultant solution will contain vancomycin equivalent to 500 mg/10 mL. FURTHER DILUTION IS REQUIRED.





Reconstituted solutions of vancomycin (500 mg/10 mL) must be further diluted in at least 100 mL of a suitable infusion solution. Doses of 1 gram/20 mL must be further diluted in at least 200 mL of a suitable infusion solution. The desired dose diluted in this manner should be administered by intermittent intravenous infusion over a period of at least 60 minutes.





 

10 g Pharmacy Bulk Package bottle

At the time of use, reconstitute by adding 95 mL of Sterile Water for Injection, USP to the 10 g bottle of dry, sterile vancomycin powder. The resultant solution will contain vancomycin equivalent to 500 mg/5 mL (1 g/10 mL). AFTER RECONSTITUTION, FURTHER DILUTION IS REQUIRED.

Reconstituted solutions of vancomycin (500 mg/5 mL) must be further diluted in at least 100 mL of a suitable infusion solution. For doses of 1 gram (10 mL), at least 200 mL of solution must be used. The desired dose diluted in this manner should be administered by intermittent intravenous infusion over a period of at least 60 minutes.



Parenteral drug products should be visually inspected for particulate matter and discoloration prior to administration, whenever solution and container permit.





 

For Oral Administration

Oral vancomycin is used in treating antibiotic-associated pseudomembranous colitis caused by C. difficile and for staphylococcal enterocolitis. Vancomycin is not effective by the oral route for other types of infections. The usual adult total daily dosage is 500 mg to 2 g given in 3 or 4 divided doses for 7 to 10 days. The total daily dose in children is 40 mg/kg of body weight in 3 or 4 divided doses for 7 to 10 days. The total daily dosage should not exceed 2 g. The appropriate dose may be diluted in 1 oz of water and given to the patients to drink. Common flavoring syrups may be added to the solution to improve the taste for oral administration. The diluted solution may be administered via a nasogastric tube.

Contraindications (CONTRAINDICATIONS)

Vancomycin hydrochloride for injection is contraindicated in patients with known hypersensitivity to this antibiotic.

Adverse Reactions (ADVERSE REACTIONS)

To report SUSPECTED ADVERSE REACTIONS, contact Gland Pharma at (609) 250-7990 or FDA at 1-800-FDA-1088 or www.fda.gov/medwatch.



Infusion-Related Events

During or soon after rapid infusion of vancomycin hydrochloride for injection, patients may develop anaphylactoid reactions, including hypotension (see  ANIMAL PHARMACOLOGY ), wheezing, dyspnea, urticaria, or pruritus. Rapid infusion may also cause flushing of the upper body (“red neck”) or pain and muscle spasm of the chest and back. These reactions usually resolve within 20 minutes but may persist for several hours. Such events are infrequent if vancomycin hydrochloride for injection is given by a slow infusion over 60 minutes. In studies of normal volunteers, infusion-related events did not occur when vancomycin hydrochloride for injection was administered at a rate of 10 mg/min or less.



Nephrotoxicity

Systemic vancomycin exposure may result in acute kidney injury (AKI). The risk of AKI increases as systemic exposure/serum levels increase. Additional risk factors for AKI in patients receiving vancomycin include receipt of concomitant drugs known to be nephrotoxic, in patients with pre-existing renal impairment, or with co-morbidities that predispose to renal impairment. Interstitial nephritis has also been reported in patients receiving vancomycin.



Gastrointestinal

Onset of pseudomembranous colitis symptoms may occur during or after antibiotic treatment (see  WARNINGS ).



Ototoxicity

A few dozen cases of hearing loss associated with vancomycin have been reported. Most of these patients had kidney dysfunction or a preexisting hearing loss or were receiving concomitant treatment with an ototoxic drug. Vertigo, dizziness, and tinnitus have been reported rarely.





Hematopoietic

Reversible neutropenia, usually starting 1 week or more after onset of therapy with vancomycin or after a total dosage of more than 25 g, has been reported for several dozen patients. Neutropenia appears to be promptly reversible when vancomycin is discontinued. Thrombocytopenia has rarely been reported. Although a causal relationship has not been established, reversible agranulocytosis (granulocytes <500/mm3) has been reported rarely.



Phlebitis

Inflammation at the injection site has been reported.



Miscellaneous

Patients have been reported to have had anaphylaxis, drug fever, nausea, chills, eosinophilia, rashes including exfoliative dermatitis, Stevens-Johnson syndrome (see  WARNINGS, Severe  Dermatologic Reactions), and vasculitis in association with the administration of vancomycin.

Chemical peritonitis has been reported following intraperitoneal administration (see  PRECAUTIONS ).



Post Marketing Reports

The following adverse reactions have been identified during post-approval use of vancomycin. Because these reactions are reported voluntarily from a population of uncertain size, it is not possible to reliably estimate their frequency or establish a causal relationship to drug exposure.

Skin and Subcutaneous Tissue Disorders

 

Severe dermatologic reactions such as toxic epidermal necrolysis (TEN), drug reaction with eosinophilia and systemic symptoms (DRESS), acute generalized exanthematous pustulosis (AGEP), and linear IgA bullous dermatosis (LABD) (see  WARNINGS, Severe Dermatologic Reactions ).

Drug Interactions

Concomitant administration of vancomycin and anesthetic agents has been associated with erythema and histamine-like flushing (see Pediatric Use- PRECAUTIONS ) and anaphylactoid reactions (see ADVERSE REACTIONS ).



Monitor renal function in patients receiving vancomycin and concurrent and/or sequential systemic or topical use of other potentially, neurotoxic and/or nephrotoxic drugs, such as amphotericin B, aminoglycosides, bacitracin, polymixin B, colistin, viomycin, or cisplatin.



Description (DESCRIPTION)

Vancomycin Hydrochloride for Injection, USP, is an off-white to buff-colored lyophilized powder, for preparing intravenous (IV) infusions, in Pharmacy Bulk Package bottles containing the equivalent of 5 g or 10 g vancomycin base. 500 mg of the base are equivalent to 0.34 mmol.



When reconstituted with Sterile Water for Injection to a concentration of 50 mg/mL for the 5 g Pharmacy Bulk Package bottle and 100 mg/mL for the 10 g Pharmacy Bulk Package bottle, the pH of the solution is between 2.5 and 4.5. This product is oxygen sensitive. Vancomycin Hydrochloride for Injection, USP should be administered intravenously in diluted solution (see DOSAGE AND ADMINISTRATION ), AFTER RECONSTITUTION FURTHER DILUTION IS REQUIRED BEFORE USE.



Vancomycin is a tricyclic glycopeptide antibiotic derived from Amycolatopasis orientalis (formerly Nocardia orientalis). The chemical name for  vancomycin hydrochloride is 3S- [3R*,6S*(S*),7S*,22S*,23R*,26R*,36S*,38aS*]]-3-(2-Amino-2-oxoethyl)-44-[[2-O-(3- amino-2,3,6-trideoxy-3-C-methyl-α-L-lyxo-hexopyranosyl)-ß-D-glucopyranosyl]oxy]-10,19-dichloro- 2,3,4,5,6,7,23,24,25,26,36,37,38,38a-tetradecahydro-7,22,28,30,32- pentahydroxy-6-[[4-methyl- 2-(methylamino)-1-oxopentyl]amino]-2,5,24,38,39- pentaoxo-22H-8,11:18,21-dietheno-23,36-(iminomethano)-13,16:31,35-dimetheno-1H,16H-[1,6,9]oxadiazacyclohexadecino[4,5-m][10,2,16]benzoxadiazacyclotetracosine-26-carboxylic acid, monohydrochloride. The molecular formula is C66H75Cl2N9O24• HCl and the molecular weight is 1,485.74. Vancomycin hydrochloride has the following structural formula:



A pharmacy bulk package is a container of a sterile preparation for parenteral use that contains many single doses. The contents of this pharmacy bulk package are intended for  use by a pharmacy admixture service for addition to suitable parenteral fluids in the preparation of admixtures for  intravenous infusion (See DOSAGE AND ADMINISTRATION, Directions for Proper Use of Pharmacy Bulk Package) FURTHER DILUTION IS REQUIRED. NOT FOR DIRECT INFUSION.

Pregnancy

Teratogenic Effects



Animal reproduction studies have not been conducted with vancomycin. It is not known whether vancomycin can affect reproduction capacity. In a controlled clinical study, the potential ototoxic and nephrotoxic effects of vancomycin on infants were evaluated when the drug was administered to pregnant women for serious staphylococcal infections complicating intravenous drug abuse. Vancomycin was found in cord blood. No sensorineural hearing loss or nephrotoxicity attributable to vancomycin was noted. One infant whose mother received vancomycin in the third trimester experienced conductive hearing loss that was not attributed to the administration of vancomycin. Because the number of patients treated in this study was limited and vancomycin was administered only in the second and third trimesters, it is not known whether vancomycin causes fetal harm. Vancomycin should be given to a pregnant woman only if clearly needed.

Overdosage (OVERDOSAGE)


Supportive care is advised, with maintenance of glomerular filtration. Vancomycin is poorly removed by dialysis. Hemofiltration and hemoperfusion with polysulfone resin have been reported to result in increased vancomycin clearance. The median lethal intravenous dose is 319 mg/kg in rats and 400 mg/kg in mice.





To obtain up-to-date information about the treatment of overdose, a good resource is your certified Regional Poison Control Center. Telephone numbers of certified poison control centers are listed in the Physicians' Desk Reference (PDR). In managing overdosage, consider the possibility of multiple drug overdoses, interaction among drugs, and unusual drug kinetics in your patient.

References (REFERENCES)

1. Moellering RC, Krogstad DJ, Greenblatt DJ: Vancomycin therapy in patients with impaired renal function: A nomogram for dosage. Ann Inter Med 1981; 94:343.



Manufactured by:

Gland Pharma Limited

Hyderabad, India



Revised date: December 2021



Precautions (PRECAUTIONS)


Clinically significant serum concentrations have been reported in some patients being treated for active C. difficile-induced pseudomembranous colitis after multiple oral doses of vancomycin.





Prolonged use of vancomycin hydrochloride for injection may result in the overgrowth of nonsusceptible microorganisms. Careful observation of the patient is essential. If superinfection occurs during therapy, appropriate measures should be taken. In rare instances, there have been reports of pseudomembranous colitis due to C. difficile developing in patients who received intravenous vancomycin hydrochloride for injection.





Serial tests of auditory function may be helpful in order to minimize the risk of ototoxicity.





Reversible neutropenia has been reported in patients receiving vancomycin hydrochloride for injection (see  ADVERSE REACTIONS ). Patients who will undergo prolonged therapy with vancomycin hydrochloride for injection or those who are receiving concomitant drugs which may cause neutropenia should have periodic monitoring of the leukocyte count.





Vancomycin hydrochloride for injection is irritating to tissue and must be given by a secure intravenous route of administration. Pain, tenderness, and necrosis occur with intramuscular (IM) injection of vancomycin hydrochloride for injection or with inadvertent extravasation. Thrombophlebitis may occur, the frequency and severity of which can be minimized by administering the drug slowly as a dilute solution (2.5 to 5 g/L) and by rotation of venous access sites.





There have been reports that the frequency of infusion-related events (including hypotension, flushing, erythema, urticaria, and pruritus) increases with the concomitant administration of anesthetic agents. Infusion-related events may be minimized by the administration of vancomycin as a 60-minute infusion prior to anesthetic induction. The safety and efficacy of vancomycin administered by the intrathecal (intralumbar or intraventricular) route or by the intraperitoneal route have not been established by adequate and well controlled trials.





Reports have revealed that administration of sterile vancomycin by the intraperitoneal route during continuous ambulatory peritoneal dialysis (CAPD) has resulted in a syndrome of chemical peritonitis. To date, this syndrome has ranged from cloudy dialysate alone to a cloudy dialysate accompanied by variable degrees of abdominal pain and fever. This syndrome appears to be short-lived after discontinuation of intraperitoneal vancomycin.





Prescribing vancomycin hydrochloride for injection in the absence of a proven or strongly suspected bacterial infection or a prophylactic indication is unlikely to provide benefit to the patient and increases the risk of the development of drug-resistant bacteria.

Microbiology (MICROBIOLOGY)


The bactericidal action of vancomycin results primarily from inhibition of cell-wall biosynthesis. In addition, vancomycin alters bacterial-cell-membrane permeability and RNA synthesis. There is no cross-resistance between vancomycin and other antibiotics. Vancomycin is not active in vitro against gram-negative bacilli, mycobacteria, or fungi.



Synergy

The combination of vancomycin and an aminoglycoside acts synergistically in vitro against many strains of Staphylococcus aureus, Streptococcus bovis, enterococci, and the viridans group streptococci.



Vancomycin has been shown to be active against most strains of the following microorganisms, both in vitro and in clinical infections as described in the INDICATIONS AND USAGE section.



Aerobic gram-positive microorganisms

Diphtheroids

Enterococci (e.g., Enterococcus faecalis)

Staphylococci, including Staphylococcus aureus and Staphylococcus epidermidis

(Including heterogeneous methicillin-resistant strains)

Streptococcus bovis

Viridans group streptococci



The following in vitro data are available, but their clinical significance is unknown . Vancomycin exhibits in vitro MIC's of 1 mcg/mL or less against most (≥ 90%) strains of streptococci listed below and MIC's of 4 mcg/mL or less against most (≥ 90%) strains of other listed microorganisms; however, the safety and effectiveness of vancomycin in treating clinical infections due to these microorganisms have not been established in adequate and we l-controlled clinical trials.



Aerobic gram-positive microorganisms

            Listeria monocytogenes

           Streptococcus pyogenes

           Streptococcus pneumoniae (including penicillin-resistant strains)

           Streptococcus agalactiae


Anaerobic gram-positive microorganisms

            Actinomyces species

            Lactobacillus species


 

Susceptibility Testing

For specific information regarding susceptibility test interpretive criteria and associated test methods and quality control standards recognized by FDA for this drug, please see: https://www.fda.gov/STIC.

Geriatric Use

The natural decrement of glomerular filtration with increasing age may lead to elevated vancomycin serum concentrations if dosage is not adjusted. Vancomycin dosage schedules should be adjusted in elderly patients (see DOSAGE AND ADMINISTRATION ).

Pediatric Use

In pediatric patients, it may be appropriate to confirm desired vancomycin serum concentrations. Concomitant administration of vancomycin and anesthetic agents has been associated with erythema and histamine-like flushing in pediatric patients (see PRECAUTIONS ).

Nursing Mothers


Vancomycin hydrochloride for injection is excreted in human milk. Caution should be exercised when vancomycin hydrochloride for injection is administered to a nursing woman. Because of the potential for adverse events, a decision should be made whether to discontinue nursing or to discontinue the drug, taking into account the importance of the drug to the mother.

Animal Pharmacology (ANIMAL PHARMACOLOGY)


In animal studies, hypotension and bradycardia occurred in dogs receiving an intravenous infusion of vancomycin hydrochloride 25 mg/kg, at a concentration of 25 mg/mL and an infusion rate of 13.3 mL/min.

Clinical Pharmacology (CLINICAL PHARMACOLOGY)

Vancomycin is poorly absorbed after oral administration.





In subjects with normal kidney function, multiple intravenous dosing of 1 g of vancomycin (15 mg/kg) infused over 60 minutes produces mean plasma concentrations of approximately 63 mcg/mL immediately after the completion of infusion, mean plasma concentrations of approximately 23 mcg/mL 2 hours after infusion, and mean plasma concentrations of approximately 8 mcg/mL 11 hours after the end of the infusion. Multiple dosing of 500 mg infused over 30 minutes produces mean plasma concentrations of about 49 mcg/mL at the completion of infusion, mean plasma concentrations of about 19 mcg/mL 2 hours after infusion, and mean plasma concentrations of about 10 mcg/mL 6 hours after infusion. The plasma concentrations during multiple dosing are similar to those after a single dose.



The mean elimination half-life of vancomycin from plasma is 4 to 6 hours in subjects with normal renal function. In the first 24 hours, about 75% of an administered dose of vancomycin is excreted in urine by glomerular filtration. Mean plasma clearance is about 0.058 L/kg/h, and mean renal clearance is about 0.048 L/kg/h. Renal dysfunction slows excretion of vancomycin. In anephric patients, the average half-life of elimination is 7.5 days. The distribution coefficient is from 0.3 to 0.43 L/kg. There is no apparent metabolism of the drug. About 60% of an intraperitoneal dose of vancomycin administered during peritoneal dialysis is absorbed systemically in 6 hours. Serum concentrations of about 10 mcg/mL are achieved by intraperitoneal injection of 30 mg/kg of vancomycin. However, the safety and efficacy of the intraperitoneal use of vancomycin has not been established in adequate and well-controlled trials (see PRECAUTIONS ).





Total systemic and renal clearance of vancomycin may be reduced in the elderly. Vancomycin is approximately 55% serum protein bound as measured by ultrafiltration at vancomycin serum concentrations of 10 to 100 mcg/mL. After intravenous administration of vancomycin, inhibitory concentrations are present in pleural, pericardial, ascitic, and synovial fluids; in urine; in peritoneal dialysis fluid; and in atrial appendage tissue. Vancomycin does not readily diffuse across normal meninges into the spinal fluid; but, when the meninges are inflamed, penetration into the spinal fluid occurs.

Information for Patients


Severe Dermatologic Reactions

 

Advise patients about the signs and symptoms of serious skin manifestations. Instruct patients to stop vancomycin hydrochloride for injection immediately and promptly seek medical attention at the first signs or symptoms of skin rash, mucosal lesions and blisters (see  WARNINGS ).





Patients should be counseled that antibacterial drugs including vancomycin hydrochloride for injection should only be used to treat bacterial infections. They do not treat viral infections (e.g., the common cold). When vancomycin hydrochloride for injection is prescribed to treat a bacterial infection, patients should be told that although it is common to feel better early in the course of therapy, the medication should be taken exactly as directed. Skipping doses or not completing the full course of therapy may (1) decrease the effectiveness of the immediate treatment and (2) increase the likelihood that bacteria will develop resistance and will not be treatable by vancomycin hydrochloride for injection or other antibacterial drugs in the future.





Diarrhea is a common problem caused by antibiotics which usually ends when the antibiotic is discontinued. Sometimes after starting treatment with antibiotics, patients can develop watery and bloody stools (with or without stomach cramps and fever) even as late as two or more months after having taken the last dose of the antibiotic. If this occurs, patients should contact their physician as soon as possible.

How Supplied/storage and Handling (HOW SUPPLIED/STORAGE AND HANDLING)

Vancomycin Hydrochloride for Injection, USP, supplied as follows:





Unit of Sale  


 Strength
NDC 68083-569-01

Individually

Packaged
Vancomycin hydrochloride

equivalent to 5 grams

vancomycin in a Pharmacy

Bulk Package Bottle
 NDC 68083-570-01

Individually

Packaged
 Vancomycin hydrochloride

equivalent to 10 grams

vancomycin in a Pharmacy

Bulk Package Bottle

Store at 20° to 25°C (68° to 77°F) [see USP Controlled Room Temperature].

The container closure is not made with natural rubber latex.

Package Label.principal Display Panel (PACKAGE LABEL.PRINCIPAL DISPLAY PANEL)

NDC-68083-569-01

Vancomycin

Hydrochloride

for Injection, USP

5 grams*

per Pharmacy Bulk Package

PHARMACY BULK PACKAGE-

NOT FOR DIRECT INFUSION

For Intravenous Infusion.

MUST BE FURTHER DILUTED

BEFORE USE.

Preservative free.

Rx only



NDC-68083-569-01     Rx only

Vancomycin

Hydrochloride

for Injection, USP

5 grams*

per Pharmacy Bulk Package

PHARMACY BULK PACKAGE-

NOT FOR DIRECT INFUSION

*Each bottle contains:

Vancomycin hydrochloride

equivalent to 5 g vancomycin.



Usual adult dosage: 2 g daily, in

divided doses.

IMPORTANT: READ INSERT FOR

PRECAUTIONS AND DIRECTIONS

BEFORE USE.

 

NDC-68083-570-01

Vancomycin

Hydrochloride

for Injection, USP

10 grams*

per Pharmacy Bulk Package

PHARMACY BULK PACKAGE-

NOT FOR DIRECT INFUSION

For Intravenous Infusion.

MUST BE FURTHER DILUTED

BEFORE USE.

Preservative free.

Rx only



NDC-68083-570-01

Vancomycin

Hydrochloride

for Injection, USP

10 grams*

per Pharmacy Bulk Package

PHARMACY BULK PACKAGE -

NOT FOR DIRECT INFUSION

*Each bottle contains:

Vancomycin hydrochloride

equivalent to 10 g vancomycin.

Usual adult dosage:
2 g daily, in

divided doses.

IMPORTANT: READ INSERT FOR

PRECAUTIONS AND DIRECTIONS

BEFORE USE.

 

Carcinogenesis, Mutagenesis, Impairment of Fertility


Although no long-term studies in animals have been performed to evaluate carcinogenic potential, no mutagenic potential of vancomycin hydrochloride for injection was found in standard laboratory tests. No definitive fertility studies have been performed.


Advanced Ingredient Data


Raw Label Data

All Sections (JSON)