These Highlights Do Not Include All The Information Needed To Use Estradiol Gel Safely And Effectively. See Full Prescribing Information For Estradiol Gel.

These Highlights Do Not Include All The Information Needed To Use Estradiol Gel Safely And Effectively. See Full Prescribing Information For Estradiol Gel.
SPL v1
SPL
SPL Set ID 3518120e-cc44-4d70-8a20-0ef2dce9a3c6
Route
TOPICAL
Published
Effective Date 2024-10-28
Document Type 34391-3 Human Prescription Drug Label

Drug Facts

Composition & Product

Active Ingredients
Estradiol (0.75 mg)
Inactive Ingredients
Water Alcohol Trolamine Carbomer Homopolymer Type B

Identifiers & Packaging

Marketing Status
ANDA Active Since 2024-10-23

Description

Warnings and Precautions, Malignant Neoplasm (5.2)                                              12/2023

Warnings and Precautions

Estrogens increase the risk of gallbladder disease (5.4) Discontinue estrogen if severe hypercalcemia, loss of vision, severe hypertriglyceridemia or cholestatic jaundice occurs (5.5, 5.6, 5.9, 5.10) Monitor thyroid function in women on thyroid replacement therapy (5.11, 5.20)

Boxed Warning
WARNING: ENDOMETRIAL CANCER, CARDIOVASCULAR DISORDERS, PROBABLE DEMENTIA and BREAST CANCER Estrogen-Alone Therapy Endometrial Cancer There is an increased risk of endometrial cancer in a woman with a uterus who uses unopposed estrogens. Adding a progestogen to estrogen therapy has been shown to reduce the risk of endometrial hyperplasia, which may be a precursor to endometrial cancer. Perform adequate diagnostic measures, including directed or random endometrial sampling when indicated, to rule out malignancy in postmenopausal women with undiagnosed, persistent, or recurring abnormal genital bleeding [see Warnings and Precautions (5.2)]. Cardiovascular Disorders and Probable Dementia The Women's Health Initiative (WHI) estrogen-alone substudy reported increased risks of stroke and deep vein thrombosis (DVT) in postmenopausal women (50 to 79 years of age) during 7.1 years of treatment with daily oral conjugated estrogens (CE) [0.625 mg]-alone, relative to placebo [see Warnings and Precautions (5.1), and Clinical Studies (14.3)].   The WHI Memory Study (WHIMS) estrogen-alone ancillary study of WHI reported an increased risk of developing probable dementia in postmenopausal women 65 years of age or older during 5.2 years of treatment with daily CE (0.625 mg)-alone, relative to placebo. It is unknown whether this finding applies to younger postmenopausal women [see Warnings and Precautions (5.3), Use in Specific Populations (8.5), and Clinical Studies (14.4)] . Do not use estrogen-alone therapy for the prevention of cardiovascular disease or dementia [see Warnings and Precautions (5.1, 5.3), and Clinical Studies (14.3, 14.4). Only daily oral 0.625 mg CE was studied in the estrogen-alone substudy of the WHI. Therefore, the relevance of the WHI findings regarding adverse cardiovascular events and dementia to lower CE doses, other routes of administration, or other estrogen-alone products is not known. Without such data, it is not possible to definitively exclude these risks or determine the extent of these risks for other products. Discuss with your patient the benefits and risks of estrogen-alone therapy, taking into account her individual risk profile. Prescribe estrogens with or without progestogens at the lowest effective doses and for the shortest duration consistent with treatment goals and risks for the individual woman. Estrogen Plus Progestin Therapy Cardiovascular Disorders and Probable Dementia The WHI estrogen plus progestin substudy reported increased risks of pulmonary embolism (PE), DVT,  stroke and myocardial infarction (MI) in postmenopausal women (50 to 79 years of age) during 5.6 years of treatment with daily oral CE (0.625 mg) combined with medroxyprogesterone acetate (MPA) [2.5 mg], relative to placebo [see Warnings and Precautions (5.1), and Clinical Studies (14.3)]. The WHIMS estrogen plus progestin ancillary study of WHI reported an increased risk of developing probable dementia in postmenopausal women 65 years of age or older during 4 years of treatment with daily CE (0.625 mg) combined with MPA (2.5 mg), relative to placebo. It is unknown whether this finding applies to younger postmenopausal women [see Warnings and Precautions (5.3), Use in Specific Populations (8.5), and Clinical Studies (14.4)]. Do not use estrogen plus progestogen therapy for the prevention of cardiovascular disease or dementia [see Warnings and Precautions (5.1, 5.3), and Clinical Studies (14.3, 14.4)] . Breast Cancer The WHI estrogen plus progestin substudy also demonstrated an increased risk of invasive breast cancer [see Warnings and Precautions (5.2), and Clinical Studies (14.4)] .   Only daily oral 0.625 mg CE and 2.5 mg MPA were studied in the estrogen plus progestin substudy of the WHI. Therefore, the relevance of the WHI findings regarding adverse cardiovascular events, dementia and breast cancer to lower CE plus other MPA doses, other routes of administration, or other estrogen plus progestogen products is not known. Without such data, it is not possible to definitively exclude these risks or determine the extent of these risks for other products. Discuss with your patient the benefits and risks of estrogen plus progestogen  therapy, taking into account her individual risk profile.   Prescribe estrogens with or without progestogens at the lowest effective doses and for the shortest duration consistent with treatment goals and risks for the individual woman.
Contraindications

Estradiol gel is contraindicated in women with any of the following conditions: Undiagnosed abnormal genital bleeding [see Warning and Precautions (5.2)]. Breast cancer or a history of breast cancer [see Warning and Precautions (5.2)]. Estrogen-dependent neoplasia [see Warning and Precautions (5.2)]. Active DVT, PE, or history of these conditions [see Warning and Precautions (5.1)]. Active arterial thromboembolic disease (for example, stroke or MI), or a history of these conditions [see Warning and Precautions (5.1)]. Known anaphylactic reaction, angioedema, or hypersensitivity to estradiol gel Hepatic impairment or disease Protein C, protein S, or antithrombin deficiency, or other known thrombophilic disorders

Adverse Reactions

The following serious adverse reactions are discussed elsewhere in the labeling: Cardiovascular Disorders [see Boxed Warning, and Warnings and Precautions (5.1)] Malignant Neoplasms [see Boxed Warning, and Warnings and Precautions (5.2)]

Drug Interactions

In vitro and in vivo studies have shown that estrogens are metabolized partially by cytochrome P450 3A4 (CYP3A4). Therefore, inducers or inhibitors of CYP3A4 may affect estrogen drug metabolism. Inducers of CYP3A4, such as St. John’s wort ( Hypericum perforatum ) preparations, phenobarbital, carbamazepine, and rifampin, may reduce plasma concentrations of estrogens, possibly resulting in a decrease in therapeutic effects and/or changes in the uterine bleeding profile. Inhibitors of CYP3A4 such as erythromycin, clarithromycin, ketoconazole, itraconazole, ritonavir, and grapefruit juice may increase plasma concentrations of estrogen and may result in adverse reactions.

Storage and Handling

Keep this and all medication out of the reach of children. Store at 20° to 25°C (68° to 77°F); excursions permitted to 15° to 30°C (59° to 86°F) [See USP Controlled Room Temperature].

How Supplied

Estradiol gel is a clear, colorless, hydroalcoholic gel containing 0.06 percent estradiol, supplied in a non-aerosol, metered-dose pump. The pump consists of an LDPE inner liner encased in rigid plastic with a resealable polypropylene cap. Estradiol gel is available in a 50-gram (1.75 oz) size. Each individually packaged 50-gram pump contains 50 grams of gel and can deliver 30 metered 1.25-g doses. NDC: 70954-646-10                           50-gram pump

Patient Information

Estradiol ( ES-tra-DYE-ol) Gel, 0.06% Read this Patient Information before you start using estradiol gel and each time you get a refill. There may be new information. This information does not take the place of talking to your healthcare provider about your menopausal symptoms or your treatment. What is the most important information I should know about estradiol gel (an estrogen hormone)? Using estrogen-alone may increase your chance of getting cancer of the uterus (womb). Report any unusual vaginal bleeding right away while you are using estradiol gel. Vaginal bleeding after menopause may be a warning sign of cancer of the uterus (womb). Your healthcare provider should check any unusual vaginal bleeding to find out the cause. Do not use estrogen-alone to prevent heart disease, heart attacks, strokes or dementia (decline in brain function). Using estrogen-alone may increase your chances of getting strokes and blood clots. Using estrogen-alone may increase your chance of getting dementia, based on a study of women 65 years of age and older. Do not use estrogens with progestogens to prevent heart disease, heart attack, strokes or dementia. Using estrogens with progestogens may increase your chances of getting heart attacks, strokes, breast cancer, or blood clots. Using estrogens with progestogens may increase your chance of getting dementia, based on a study of women 65 years of age and older. Only one estrogen-alone product and dose have been shown to increase your chances of getting strokes, blood clots, and dementia. Only one estrogen with progestogen product and dose have been shown to increase your chances of getting heart attacks, strokes, breast cancer, blood clots, and dementia. Because other products and doses have not been studied in the same way, it is not known how the use of estradiol gel will affect your chances of these conditions. You and your healthcare provider should talk regularly about whether you still need treatment with estradiol gel. What is estradiol gel? Estradiol gel is a prescription medicine gel that contains estradiol (an estrogen hormone). What is estradiol gel used for? Estradiol gel is used after menopause to: Reduce moderate to severe hot flashes     Estrogens are hormones made by a woman’s ovaries. The ovaries normally stop making estrogens when a woman is between 45 and 55 years old. This drop in body estrogen levels causes the “change of life” or menopause (the end of monthly menstrual periods).  Sometimes, both ovaries are removed during an operation before natural menopause takes place. The sudden drop in estrogen levels causes “surgical menopause.”  When the estrogen levels begin dropping, some women develop very uncomfortable symptoms, such as feelings of warmth in the face, neck, and chest, or sudden intense feelings of heat and sweating (“hot flashes” or “hot flushes”). In some women, the symptoms are mild, and they will not need to use estrogens. In other women, symptoms can be more severe. Treat moderate to severe menopausal changes in and around the vagina You and your healthcare provider should talk regularly about whether you still need treatment with estradiol gel to control these problems. If you use estradiol gel only to treat your menopausal changes in and around your vagina, talk with your healthcare provider about whether a topical vaginal product would be better for you.   Who should not use estradiol gel? Do not start using estradiol gel if you: have unusual vaginal bleeding Vaginal bleeding after menopause may be a warning sign of cancer of the uterus (womb). Your healthcare provider should check any unusual vaginal bleeding to find out the cause. have been diagnosed with a bleeding disorder currently have or have had certain cancers Estrogens may increase the chance of getting certain types of cancer, including cancer of the breast or uterus. If you have or have had cancer, talk with your healthcare provider about whether you should use estradiol gel. had a stroke or heart attack currently have or have had blood clots currently have or have had liver problems are allergic to estradiol gel or any of its ingredients See the list of ingredients in estradiol gel at the end of this leaflet. Before you use estradiol gel, tell your healthcare provider about all of your medical conditions, including if you: have any unusual vaginal bleeding Vaginal bleeding after menopause may be a warning sign of cancer of the uterus (womb). Your healthcare provider should check any unusual vaginal bleeding to find out the cause. have any other medical conditions that may become worse while you are using estradiol gel Your healthcare provider may need to check you more carefully if you have certain conditions, such as asthma (wheezing), epilepsy (seizures), diabetes, migraine, endometriosis, lupus, angioedema (swelling of face and tongue), problems with your heart, liver, thyroid, kidneys, or high calcium levels in your blood . are going to have surgery or will be on bed rest Your healthcare provider will let you know if you need to stop using estradiol gel. are pregnant or think you may be pregnant Estradiol gel is not for pregnant women. are breastfeeding The hormone in estradiol gel can pass into your breast milk. Tell your healthcare provider about all the medicines you take, including prescription and over-the-counter medicines, vitamins, and herbal supplements. Some medicines may affect how estradiol gel works. Estradiol gel may also affect how your other medicines work. Keep a list of your medicines and show it to your healthcare provider and pharmacist when you get a new medicine. How should I use estradiol gel? For detailed instructions, see the step-by-step instructions for using estradiol gel at the end of this Patient Information. Use estradiol gel exactly as your healthcare provider tells you to use it. Estradiol gel is for skin use only. Estradiol gel contains alcohol, which is flammable. Avoid fire, flame or smoking until estradiol gel has dried. You and your healthcare provider should talk regularly (for example, every 3 to 6 months) about the dose you are using and whether you still need treatment with estradiol gel. What are the possible side effects of estradiol gel? Side effects are grouped by how serious they are and how often they happen when you are treated. Serious, but less common side effects include: heart attack high levels of fat (triglycerides) in your blood stroke liver problems blood clots changes in your thyroid hormone levels breast cancer fluid retention cancer of the lining of the uterus (womb) cancer changes of endometriosis cancer of the ovary enlargement of benign tumors of the uterus (“fibroids”) dementia high or low blood calcium worsening of swelling of face and tongue (angioedema) in women with a history of angioedema gallbladder disease visual abnormalities high blood pressure changes in laboratory test results such as bleeding time and high blood sugar Call your healthcare provider right away if you get any of the following warning signs or any other unusual symptoms that concern you: new breast lumps unusual vaginal bleeding changes in vision or speech sudden new severe headaches severe pains in your chest or legs with or without shortness of breath, weakness and fatigue swelling of face, lips, and tongue with or without red, itchy bumps Common side effects of estradiol gel include: hair loss headache fluid retention breast tenderness or pain vaginal yeast infection stomach or abdominal cramps, bloating nausea and vomiting These are not all of the possible side effects of estradiol gel. For more information, ask your healthcare provider or pharmacist. Tell your healthcare provider if you have any side effects that bother you or do not go away. You may report side effects to FDA at 1-800-FDA-1088 or to ANI Pharmaceuticals, Inc. at 1-855-204-1431. What can I do to lower my chances of a serious side effect with estradiol gel? Talk with your healthcare provider regularly about whether you should continue using estradiol gel. If you have a uterus, talk with your healthcare provider about whether the addition of a progestogen is right for you. In general, the addition of a progestogen is recommended for women with a uterus to reduce the chance of getting cancer of the uterus (womb). See your healthcare provider right away if you get vaginal bleeding while using estradiol gel. Have a pelvic exam, breast exam and mammogram (breast x-ray) every year unless your healthcare provider tells you something else. If members of your family have had breast cancer or if you have ever had breast lumps or an abnormal mammogram (breast x-ray), you may need to have breast exams more often.  If you have high blood pressure, high cholesterol (fat in the blood), diabetes, are overweight, or if you use tobacco, you may have higher chances of getting heart disease. Ask your healthcare provider for ways to lower your chances of getting heart disease. How should I store estradiol gel? Store estradiol gel at room temperature between 68°F to 77°F (20°C to 25°C). Keep estradiol gel and all medicines out of the reach of children. General information about the safe and effective use of estradiol gel Medicines are sometimes prescribed for conditions that are not mentioned in Patient Information leaflets. Do not use estradiol gel for conditions for which it was not prescribed. Do not give estradiol gel to other people, even if they have the same symptoms you have. It may harm them. You can ask your healthcare provider or pharmacist for information about estradiol gel that is written for health professionals. For more information, call ANI Pharmaceuticals, Inc. at 1-855-204-1431. What are the ingredients in estradiol gel? Active ingredient: estradiol Inactive ingredients: purified water, alcohol (46%), triethanolamine, and carbomer 974P.


Medication Information

Boxed Warning

WARNING: ENDOMETRIAL CANCER, CARDIOVASCULAR DISORDERS, PROBABLE DEMENTIA and BREAST CANCER



Estrogen-Alone Therapy

Endometrial Cancer

There is an increased risk of endometrial cancer in a woman with a uterus who uses unopposed estrogens. Adding a progestogen to estrogen therapy has been shown to reduce the risk of endometrial hyperplasia, which may be a precursor to endometrial cancer. Perform adequate diagnostic measures, including directed or random endometrial sampling when indicated, to rule out malignancy in postmenopausal women with undiagnosed, persistent, or recurring abnormal genital bleeding [see Warnings and Precautions (5.2)].



Cardiovascular Disorders and Probable Dementia

The Women's Health Initiative (WHI) estrogen-alone substudy reported increased risks of stroke and deep vein thrombosis (DVT) in postmenopausal women (50 to 79 years of age) during 7.1 years of treatment with daily oral conjugated estrogens (CE) [0.625 mg]-alone, relative to placebo [see Warnings and Precautions (5.1), and Clinical Studies (14.3)].

 

The WHI Memory Study (WHIMS) estrogen-alone ancillary study of WHI reported an increased risk of developing probable dementia in postmenopausal women 65 years of age or older during 5.2 years of treatment with daily CE (0.625 mg)-alone, relative to placebo. It is unknown whether this finding applies to younger postmenopausal women [see Warnings and Precautions (5.3), Use in Specific Populations (8.5), and Clinical Studies (14.4)].



Do not use estrogen-alone therapy for the prevention of cardiovascular disease or dementia [see Warnings and Precautions (5.1, 5.3), and Clinical Studies (14.3, 14.4).



Only daily oral 0.625 mg CE was studied in the estrogen-alone substudy of the WHI. Therefore, the relevance of the WHI findings regarding adverse cardiovascular events and dementia to lower CE doses, other routes of administration, or other estrogen-alone products is not known. Without such data, it is not possible to definitively exclude these risks or determine the extent of these risks for other products. Discuss with your patient the benefits and risks of estrogen-alone therapy, taking into account her individual risk profile.



Prescribe estrogens with or without progestogens at the lowest effective doses and for the shortest duration consistent with treatment goals and risks for the individual woman.



Estrogen Plus Progestin Therapy

Cardiovascular Disorders and Probable Dementia

The WHI estrogen plus progestin substudy reported increased risks of pulmonary embolism (PE), DVT, stroke and myocardial infarction (MI) in postmenopausal women (50 to 79 years of age) during 5.6 years of treatment with daily oral CE (0.625 mg) combined with medroxyprogesterone acetate (MPA) [2.5 mg], relative to placebo [see Warnings and Precautions (5.1), and Clinical Studies (14.3)].



The WHIMS estrogen plus progestin ancillary study of WHI reported an increased risk of developing probable dementia in postmenopausal women 65 years of age or older during 4 years of treatment with daily CE (0.625 mg) combined with MPA (2.5 mg), relative to placebo. It is unknown whether this finding applies to younger postmenopausal women [see Warnings and Precautions (5.3), Use in Specific Populations (8.5), and Clinical Studies (14.4)].



Do not use estrogen plus progestogen therapy for the prevention of cardiovascular disease or dementia [see Warnings and Precautions (5.1, 5.3), and Clinical Studies (14.3, 14.4)].



Breast Cancer

The WHI estrogen plus progestin substudy also demonstrated an increased risk of invasive breast cancer [see Warnings and Precautions (5.2), and Clinical Studies (14.4)].

 

Only daily oral 0.625 mg CE and 2.5 mg MPA were studied in the estrogen plus progestin substudy of the WHI. Therefore, the relevance of the WHI findings regarding adverse cardiovascular events, dementia and breast cancer to lower CE plus other MPA doses, other routes of administration, or other estrogen plus progestogen products is not known. Without such data, it is not possible to definitively exclude these risks or determine the extent of these risks for other products. Discuss with your patient the benefits and risks of estrogen plus progestogen therapy, taking into account her individual risk profile.

 

Prescribe estrogens with or without progestogens at the lowest effective doses and for the shortest duration consistent with treatment goals and risks for the individual woman.

Warnings and Precautions

Estrogens increase the risk of gallbladder disease (5.4) Discontinue estrogen if severe hypercalcemia, loss of vision, severe hypertriglyceridemia or cholestatic jaundice occurs (5.5, 5.6, 5.9, 5.10) Monitor thyroid function in women on thyroid replacement therapy (5.11, 5.20)

Contraindications

Estradiol gel is contraindicated in women with any of the following conditions: Undiagnosed abnormal genital bleeding [see Warning and Precautions (5.2)]. Breast cancer or a history of breast cancer [see Warning and Precautions (5.2)]. Estrogen-dependent neoplasia [see Warning and Precautions (5.2)]. Active DVT, PE, or history of these conditions [see Warning and Precautions (5.1)]. Active arterial thromboembolic disease (for example, stroke or MI), or a history of these conditions [see Warning and Precautions (5.1)]. Known anaphylactic reaction, angioedema, or hypersensitivity to estradiol gel Hepatic impairment or disease Protein C, protein S, or antithrombin deficiency, or other known thrombophilic disorders

Adverse Reactions

The following serious adverse reactions are discussed elsewhere in the labeling: Cardiovascular Disorders [see Boxed Warning, and Warnings and Precautions (5.1)] Malignant Neoplasms [see Boxed Warning, and Warnings and Precautions (5.2)]

Drug Interactions

In vitro and in vivo studies have shown that estrogens are metabolized partially by cytochrome P450 3A4 (CYP3A4). Therefore, inducers or inhibitors of CYP3A4 may affect estrogen drug metabolism. Inducers of CYP3A4, such as St. John’s wort ( Hypericum perforatum ) preparations, phenobarbital, carbamazepine, and rifampin, may reduce plasma concentrations of estrogens, possibly resulting in a decrease in therapeutic effects and/or changes in the uterine bleeding profile. Inhibitors of CYP3A4 such as erythromycin, clarithromycin, ketoconazole, itraconazole, ritonavir, and grapefruit juice may increase plasma concentrations of estrogen and may result in adverse reactions.

Storage and Handling

Keep this and all medication out of the reach of children. Store at 20° to 25°C (68° to 77°F); excursions permitted to 15° to 30°C (59° to 86°F) [See USP Controlled Room Temperature].

How Supplied

Estradiol gel is a clear, colorless, hydroalcoholic gel containing 0.06 percent estradiol, supplied in a non-aerosol, metered-dose pump. The pump consists of an LDPE inner liner encased in rigid plastic with a resealable polypropylene cap. Estradiol gel is available in a 50-gram (1.75 oz) size. Each individually packaged 50-gram pump contains 50 grams of gel and can deliver 30 metered 1.25-g doses. NDC: 70954-646-10                           50-gram pump

Patient Information

Estradiol ( ES-tra-DYE-ol)

Gel, 0.06%



Read this Patient Information before you start using estradiol gel and each time you get a refill. There may be new information. This information does not take the place of talking to your healthcare provider about your menopausal symptoms or your treatment.



What is the most important information I should know about estradiol gel (an estrogen hormone)?

  • Using estrogen-alone may increase your chance of getting cancer of the uterus (womb). Report any unusual vaginal bleeding right away while you are using estradiol gel. Vaginal bleeding after menopause may be a warning sign of cancer of the uterus (womb). Your healthcare provider should check any unusual vaginal bleeding to find out the cause.
  • Do not use estrogen-alone to prevent heart disease, heart attacks, strokes or dementia (decline in brain function).
  • Using estrogen-alone may increase your chances of getting strokes and blood clots.
  • Using estrogen-alone may increase your chance of getting dementia, based on a study of women 65 years of age and older.
  • Do not use estrogens with progestogens to prevent heart disease, heart attack, strokes or dementia.
  • Using estrogens with progestogens may increase your chances of getting heart attacks, strokes, breast cancer, or blood clots.
  • Using estrogens with progestogens may increase your chance of getting dementia, based on a study of women 65 years of age and older.
  • Only one estrogen-alone product and dose have been shown to increase your chances of getting strokes, blood clots, and dementia. Only one estrogen with progestogen product and dose have been shown to increase your chances of getting heart attacks, strokes, breast cancer, blood clots, and dementia. Because other products and doses have not been studied in the same way, it is not known how the use of estradiol gel will affect your chances of these conditions. You and your healthcare provider should talk regularly about whether you still need treatment with estradiol gel.


What is estradiol gel?

Estradiol gel is a prescription medicine gel that contains estradiol (an estrogen hormone).



What is estradiol gel used for?

Estradiol gel is used after menopause to:

  • Reduce moderate to severe hot flashes

 

 Estrogens are hormones made by a woman’s ovaries. The ovaries normally stop making estrogens when a woman is between 45 and 55 years old. This drop in body estrogen levels causes the “change of life” or menopause (the end of monthly menstrual periods).



 Sometimes, both ovaries are removed during an operation before natural menopause takes place. The sudden drop in estrogen levels causes “surgical menopause.”



 When the estrogen levels begin dropping, some women develop very uncomfortable symptoms, such as feelings of warmth in the face, neck, and chest, or sudden intense feelings of heat and sweating (“hot flashes” or “hot flushes”). In some women, the symptoms are mild, and they will not need to use estrogens. In other women, symptoms can be more severe.



  • Treat moderate to severe menopausal changes in and around the vagina

You and your healthcare provider should talk regularly about whether you still need treatment with estradiol gel to control these problems. If you use estradiol gel only to treat your menopausal changes in and around your vagina, talk with your healthcare provider about whether a topical vaginal product would be better for you.

 

Who should not use estradiol gel?

Do not start using estradiol gel if you:

  • have unusual vaginal bleeding

Vaginal bleeding after menopause may be a warning sign of cancer of the uterus (womb). Your healthcare provider should check any unusual vaginal bleeding to find out the cause.

  • have been diagnosed with a bleeding disorder
  • currently have or have had certain cancers

Estrogens may increase the chance of getting certain types of cancer, including cancer of the breast or uterus. If you have or have had cancer, talk with your healthcare provider about whether you should use estradiol gel.

  • had a stroke or heart attack
  • currently have or have had blood clots
  • currently have or have had liver problems
  • are allergic to estradiol gel or any of its ingredients

See the list of ingredients in estradiol gel at the end of this leaflet.



Before you use estradiol gel, tell your healthcare provider about all of your medical conditions, including if you:

  • have any unusual vaginal bleeding

Vaginal bleeding after menopause may be a warning sign of cancer of the uterus (womb). Your healthcare provider should check any unusual vaginal bleeding to find out the cause.



  • have any other medical conditions that may become worse while you are using estradiol gel

Your healthcare provider may need to check you more carefully if you have certain conditions, such as asthma (wheezing), epilepsy (seizures), diabetes, migraine, endometriosis, lupus, angioedema (swelling of face and tongue), problems with your heart, liver, thyroid, kidneys, or high calcium levels in your blood.



  • are going to have surgery or will be on bed rest

Your healthcare provider will let you know if you need to stop using estradiol gel.



  • are pregnant or think you may be pregnant

Estradiol gel is not for pregnant women.



  • are breastfeeding

The hormone in estradiol gel can pass into your breast milk.



Tell your healthcare provider about all the medicines you take, including prescription and over-the-counter medicines, vitamins, and herbal supplements. Some medicines may affect how estradiol gel works. Estradiol gel may also affect how your other medicines work. Keep a list of your medicines and show it to your healthcare provider and pharmacist when you get a new medicine.



How should I use estradiol gel?

For detailed instructions, see the step-by-step instructions for using estradiol gel at the end of this Patient Information.

  • Use estradiol gel exactly as your healthcare provider tells you to use it.
  • Estradiol gel is for skin use only.
  • Estradiol gel contains alcohol, which is flammable. Avoid fire, flame or smoking until estradiol gel has dried.
  • You and your healthcare provider should talk regularly (for example, every 3 to 6 months) about the dose you are using and whether you still need treatment with estradiol gel.


What are the possible side effects of estradiol gel?

Side effects are grouped by how serious they are and how often they happen when you are treated.



Serious, but less common side effects include:

  • heart attack
  • high levels of fat (triglycerides) in your blood
  • stroke
  • liver problems
  • blood clots
  • changes in your thyroid hormone levels
  • breast cancer
  • fluid retention
  • cancer of the lining of the uterus (womb)
  • cancer changes of endometriosis
  • cancer of the ovary
  • enlargement of benign tumors of the uterus (“fibroids”)
  • dementia
  • high or low blood calcium
  • worsening of swelling of face and tongue (angioedema) in women with a history of angioedema
  • gallbladder disease
  • visual abnormalities
  • high blood pressure
  • changes in laboratory test results such as bleeding time and high blood sugar


Call your healthcare provider right away if you get any of the following warning signs or any other unusual symptoms that concern you:

  • new breast lumps
  • unusual vaginal bleeding
  • changes in vision or speech
  • sudden new severe headaches
  • severe pains in your chest or legs with or without shortness of breath, weakness and fatigue
  • swelling of face, lips, and tongue with or without red, itchy bumps


Common side effects of estradiol gel include:

  • hair loss
  • headache
  • fluid retention
  • breast tenderness or pain
  • vaginal yeast infection
  • stomach or abdominal cramps, bloating
  • nausea and vomiting


These are not all of the possible side effects of estradiol gel. For more information, ask your healthcare provider or pharmacist. Tell your healthcare provider if you have any side effects that bother you or do not go away. You may report side effects to FDA at 1-800-FDA-1088 or to ANI Pharmaceuticals, Inc. at 1-855-204-1431.



What can I do to lower my chances of a serious side effect with estradiol gel?

  • Talk with your healthcare provider regularly about whether you should continue using estradiol gel.
  • If you have a uterus, talk with your healthcare provider about whether the addition of a progestogen is right for you.
  • In general, the addition of a progestogen is recommended for women with a uterus to reduce the chance of getting cancer of the uterus (womb).
  • See your healthcare provider right away if you get vaginal bleeding while using estradiol gel.
  • Have a pelvic exam, breast exam and mammogram (breast x-ray) every year unless your healthcare provider tells you something else.
  • If members of your family have had breast cancer or if you have ever had breast lumps or an abnormal mammogram (breast x-ray), you may need to have breast exams more often.
  •  If you have high blood pressure, high cholesterol (fat in the blood), diabetes, are overweight, or if you use tobacco, you may have higher chances of getting heart disease.


Ask your healthcare provider for ways to lower your chances of getting heart disease.



How should I store estradiol gel?

  • Store estradiol gel at room temperature between 68°F to 77°F (20°C to 25°C).

Keep estradiol gel and all medicines out of the reach of children.



General information about the safe and effective use of estradiol gel

Medicines are sometimes prescribed for conditions that are not mentioned in Patient Information leaflets. Do not use estradiol gel for conditions for which it was not prescribed. Do not give estradiol gel to other people, even if they have the same symptoms you have. It may harm them.



You can ask your healthcare provider or pharmacist for information about estradiol gel that is written for health professionals.



For more information, call ANI Pharmaceuticals, Inc. at 1-855-204-1431.



What are the ingredients in estradiol gel?

Active ingredient: estradiol

Inactive ingredients: purified water, alcohol (46%), triethanolamine, and carbomer 974P.

Description

Warnings and Precautions, Malignant Neoplasm (5.2)                                              12/2023

Section 43683-2

Warnings and Precautions, Malignant Neoplasm (5.2)                                              12/2023

10 Overdosage

Overdosage of estrogen may cause nausea, vomiting, breast tenderness, abdominal pain, drowsiness and fatigue, and withdrawal bleeding may occur in women. Treatment of overdose consists of discontinuation of estradiol geltherapy with institution of appropriate symptomatic care.

15 References
  • Rossouw JE, et al. Postmenopausal Hormone Therapy and Risk of Cardiovascular Disease by Age and Years Since Menopause. JAMA. 2007;297:1465-1477.
  • Hsia J, et al. Conjugated Equine Estrogens and Coronary Heart Disease. Arch Int Med. 2006;166:357-365.
  • Curb JD, et al. Venous Thrombosis and Conjugated Equine Estrogen in Women Without a Uterus. Arch Int Med. 2006;166:772-780.
  • Cushman M, et al. Estrogen Plus Progestin and Risk of Venous Thrombosis. JAMA. 2004;292:1573-1580.
  • Stefanick ML, et al. Effects of Conjugated Equine Estrogens on Breast Cancer and Mammography Screening in Postmenopausal Women With Hysterectomy. JAMA. 2006;295:1647-1657.
  • Chlebowski RT, et al. Influence of Estrogen Plus Progestin on Breast Cancer and Mammography in Healthy Postmenopausal Women. JAMA. 2003;289:3234-3253.
  • Anderson GL, et al. Effects of Estrogen Plus Progestin on Gynecologic Cancers and Associated Diagnostic Procedures. JAMA. 2003;290:1739-1748.
  • Shumaker SA, et al. Conjugated Equine Estrogens and Incidence of Probable Dementia and Mild Cognitive Impairment in Postmenopausal Women. JAMA. 2004;291:2947-2958.
  • Jackson RD, et al. Effects of Conjugated Equine Estrogen on Risk of Fractures and BMD in Postmenopausal Women With Hysterectomy: Results From the Women's Health Initiative Randomized Trial. J Bone Miner Res. 2006;21:817-828.
  • Hendrix SL, et al. Effects of Conjugated Equine Estrogen on Stroke in the Women's Health Initiative. Circulation. 2006;113:2425-2434.
8.1 Pregnancy

Risk Summary

Estradiol gelis not indicated for use in pregnancy. There are no data with the use of estradiol gelin pregnant women, however, epidemiologic studies and meta-analysis have not found an increased risk of genital or non-genital birth defects (including cardiac anomalities and limb-reduction defects) following exposure to combined hormonal contraceptives (estrogens and progestins) before conception or during early pregnancy.



In the U.S. general population, the estimated background rate of major birth defects and miscarriage in clinically recognized pregnancies is 2% to 4% and 15% to 20%, respectively.

8.3 Lactation

Estrogens are present in human milk and can reduce milk production in breast-feeding women. This reduction can occur at any time but is less likely to occur once breast-feeding is well established. The development and health benefits of breastfeeding should be considered along with the mother’s clinical need for estradiol geland any potential adverse effects on the breastfed child from estradiol gelor from the underlying maternal condition.

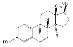
11 Description

Estradiol gel contains 0.06 percent estradiol in an absorptive hydroalcoholic gel base for topical application. It is a clear, colorless hydroalcoholic gel. One pump depression of estradiol geldelivers 1.25 g of gel containing 0.75 mg estradiol.



Estradiol is a white crystalline powder, chemically described as estra-1,3,5(10)-triene-3,17β-diol. It has an empirical formula of C18H24O2 and molecular weight of 272.39. The structural formula is:

The active component of the gel is estradiol. The remaining components of the gel (purified water, alcohol (46%), triethanolamine and carbomer 974P) are pharmacologically inactive.

16.1 How Supplied

Estradiol gel is a clear, colorless, hydroalcoholic gel containing 0.06 percent estradiol, supplied in a non-aerosol, metered-dose pump. The pump consists of an LDPE inner liner encased in rigid plastic with a resealable polypropylene cap. Estradiol gel is available in a 50-gram (1.75 oz) size. Each individually packaged 50-gram pump contains 50 grams of gel and can deliver 30 metered 1.25-g doses.



NDC: 70954-646-10                           50-gram pump

5.13 Hypocalcemia

Estrogen-induced hypocalcemia may occur in women with hypoparathyroidism. Consider whether the benefits of estrogen therapy, including estradiol gel, outweigh the risks in women.

5.5 Hypercalcemia

Estrogen administration may lead to severe hypercalcemia in women with breast cancer and bone metastases. Discontinue estrogens, including estradiol gelif hypercalcemia occurs, and take appropriate measures to reduce the serum calcium level.

8.4 Pediatric Use

Estradiol gelis not indicated for use in pediatric patients. Clinical studies have not been conducted in the pediatric population.

8.5 Geriatric Use

There have not been sufficient numbers of geriatric women involved in clinical studies utilizing estradiol gelto determine whether those over 65 years of age differ from younger subjects in their response to estradiol gel.



The Women’s Health Initiative Studies

In the WHI estrogen-alone substudy (daily CE [0.625 mg]-alone versus placebo), there was a higher relative risk of stroke in women greater than 65 years of age [see Warnings and Precautions (5.1) and Clinical Studies (14.3)].



In the WHI estrogen plus progestin substudy (daily CE [0.625 mg] plus MPA [2.5 mg] versus placebo), there was a higher relative risk of nonfatal stroke and invasive breast cancer in women greater than 65 years of age [see Warnings and Precautions (5.1) and Clinical Studies (14.3)].



The Women’s Health Initiative Memory Study

In the WHIMS ancillary studies of postmenopausal women 65 to 79 years of age, there was an increased risk of developing probable dementia in women receiving estrogen-alone or estrogen plus progestin when compared to placebo [see Warnings and Precautions (5.3), and Clinical Studies (14.4)].



Since both ancillary studies were conducted in women 65 to 79 years of age, it is unknown whether these findings apply to younger postmenopausal women8 [see Warnings and Precautions (5.3), and Clinical Studies (14.4)].

4 Contraindications

Estradiol gelis contraindicated in women with any of the following conditions:

  • Undiagnosed abnormal genital bleeding [see Warning and Precautions (5.2)].
  • Breast cancer or a history of breast cancer [see Warning and Precautions (5.2)].
  • Estrogen-dependent neoplasia [see Warning and Precautions (5.2)].
  • Active DVT, PE, or history of these conditions [see Warning and Precautions (5.1)].
  • Active arterial thromboembolic disease (for example, stroke or MI), or a history of these conditions [see Warning and Precautions (5.1)].
  • Known anaphylactic reaction, angioedema, or hypersensitivity to estradiol gel
  • Hepatic impairment or disease
  • Protein C, protein S, or antithrombin deficiency, or other known thrombophilic disorders
6 Adverse Reactions

The following serious adverse reactions are discussed elsewhere in the labeling:

  • Cardiovascular Disorders [see Boxed Warning, and Warnings and Precautions (5.1)]
  • Malignant Neoplasms [see Boxed Warning, and Warnings and Precautions (5.2)]
7 Drug Interactions

In vitro and in vivo studies have shown that estrogens are metabolized partially by cytochrome P450 3A4 (CYP3A4). Therefore, inducers or inhibitors of CYP3A4 may affect estrogen drug metabolism. Inducers of CYP3A4, such as St. John’s wort (Hypericum perforatum) preparations, phenobarbital, carbamazepine, and rifampin, may reduce plasma concentrations of estrogens, possibly resulting in a decrease in therapeutic effects and/or changes in the uterine bleeding profile. Inhibitors of CYP3A4 such as erythromycin, clarithromycin, ketoconazole, itraconazole, ritonavir, and grapefruit juice may increase plasma concentrations of estrogen and may result in adverse reactions.

5.12 Fluid Retention

Estrogens may cause some degree of fluid retention. Monitor any woman with a condition(s) that might predispose her to fluid retention, such as cardiac or renal impairment., Discontinue estrogen-alone therapy, including estradiol gel, with evidence of medically concerning fluid retention.

Instructions for Use

Estradiol ( ES-tra-DYE-ol)

Gel, 0.06%



Read this Instructions for Use before you start using estradiol gel and each time you get a refill. There may be new information. This information does not take the place of talking to your healthcare provider about your menopausal symptoms or your treatment.



You will need the following supplies to use estradiol gel: See Figure A.

Figure A



Estradiol gel is supplied in a metered-dose pump that delivers a measured amount of estradiol to your skin each time you press the pump.



Estradiol gel is available in a 50-gram canister.



Step 1. Priming the estradiol gel pump

  • Before using the estradiol gel pump for the first time, the pump must be primed. The estradiol gel canister contains enough medicine to allow you to prime the pump before you use it for the first time.
  • Remove the large cap from the canister. See Figure B.

Figure B



  • Slowly push the pump all the way down 5 times. Do not use any estradiol gel that came out while priming. Wash it down the sink to avoid accidental exposure to others.
  • After priming, the estradiol gel pump is ready to use. One complete press of the pump will give the same amount of estradiol gel each time.


 Step 2. Applying estradiol gel to your skin

  • Do not allow other people to apply estradiol gel to your skin for you.
  • Apply estradiol gel to clean, dry, unbroken skin.
  • Apply estradiol gel after your bath or shower. If you go swimming, try to leave as much time as possible between using your estradiol gel and going swimming.
  • Remove the small cover on the tip of the pump if you have not done so already. See Figure C. 

Figure C

 

  •  To use estradiol gel, press the estradiol gel pump firmly and fully 1 time into the palm of your hand.   See Figure D.

 

Figure D

 

  • Using your hand, apply estradiol gel to the skin of your other arm. See Figure E. Spread the gel as thinly as possible over the entire area on the inside and outside of your arm from your wrist to your shoulder. See Figure F.

                                           

Figure E                                                                                 Figure F

 



  • Do not apply estradiol gel directly to your breasts or in and around your vagina.
  • Do not massage or rub in estradiol gel. Allow the gel to dry for 5 minutes before you get dressed.


 Step 3. After you use estradiol gel

  • Place the small cap back on the tip of the pump. Place the large cap over the top of the canister.
  • Wash your hands right away with soap and water after applying estradiol gel. This will lower the chance that the medicine will spread from your hands to other people.
  • Do not allow others to make contact with the area of skin where you applied the gel for at least 1 hour after application.
  • Estradiol gel is flammable until dry. Let estradiol gel dry before smoking or going near an open flame.


 Step 4. Throwing away used estradiol gel canisters

  • The estradiol gel 50-gram canister contains enough medicine to allow for priming your canister with up to 5 full pump depressions and delivery of 30 daily doses. After you have first primed your canister and used 30 doses, you will need to throw away the canister. Do not use the canister for more than 30 doses even though the canister may not be completely empty. You may not get the correct dose.


This Patient Information and Instructions for Use has been approved by the U.S. Food and Drug Administration.



Trademarks are the property of their respective owners.



Distributed by:

ANI Pharmaceuticals, Inc.

Baudette, MN 56623



LB4567-02

Revised: 02/2024

1 Indications & Usage

Estradiol gel0.06% is an estrogen indicated for:

  • Treatment of moderate to severe vasomotor symptoms due to menopause (1.1)
  • Treatment of moderate to severe symptoms of vulvar and vaginal atrophy due to menopause (1.2)
12.2 Pharmacodynamics

Generally, a serum estrogen concentration does not predict an individual woman’s therapeutic response to estradiol gel nor her risk for adverse outcomes. Likewise, exposure comparisons across different estrogen products to infer efficacy or safety for the individual woman may not be valid.

12.3 Pharmacokinetics

Absorption

Estradiol is transported across intact skin and into the systemic circulation by a passive diffusion process. The rate of diffusion across the stratum corneum is the rate-limiting factor. When estradiol gel is applied to the skin, it dries in 2 to 5 minutes.



Estradiol gel 1.25 g (containing 0.75 mg of estradiol) was administered to 24 postmenopausal women once daily on the posterior surface of 1 arm from wrist to shoulder for 14 consecutive days. Mean maximal serum concentrations of estradiol and estrone on Day 14 were 46.4 pg/mL and 64.2 pg/mL, respectively. The time-averaged serum estradiol and estrone concentrations over the 24-hour dose interval after administration of 1.25 g estradiol gel on Day 14 are 28.3 pg/mL and 48.6 pg/mL, respectively. Mean concentration-time profiles for unadjusted estradiol and estrone on Day 14 are shown in Figure 1.



FIGURE 1

Mean Serum Concentration-time Profiles for Unadjusted Estradiol and Estrone After Multiple-dose Applications of 1.25 g Estradiol Gel 0.06% for 14 Days

The serum concentrations of estradiol following 2.5 g estradiol gel applications (1.25 g on each arm from wrist to shoulder) appeared to reach steady state after the third daily application.



Distribution

The distribution of exogenous estrogens is similar to that of endogenous estrogens. Estrogens are widely distributed in the body and are generally found in higher concentrations in the sex hormone target organs. Estrogens circulate in blood largely bound to SHBG and albumin.



Metabolism

Exogenous estrogens are metabolized in the same manner as endogenous estrogens. Circulating estrogens exist in a dynamic equilibrium of metabolic interconversions. These transformations take place mainly in the liver. Estradiol is converted reversibly to estrone, and both can be converted to estriol, which is a major urinary metabolite. Estrogens also undergo enterohepatic recirculation via sulfate and glucuronide conjugation in the liver, biliary secretion of conjugates into the intestine, and hydrolysis in the intestine followed by reabsorption. In postmenopausal women, a significant proportion of the circulating estrogens exist as sulfate conjugates, especially estrone sulfate, which serves as a circulating reservoir for the formation of more active estrogens. Although the clinical significance has not been determined, estradiol from estradiol gel does not go through first-pass liver metabolism.



Excretion

Estradiol, estrone, and estriol are excreted in the urine along with glucuronide and sulfate conjugates.



The apparent terminal exponential half-life for estradiol was about 36 hours following administration of 1.25 g estradiol gel.



Effect of Application Site Washing

The effect of application site washing on the serum concentrations of estradiol was determined in 24 healthy postmenopausal women who applied 1.25 g of estradiol gel once daily for 14 consecutive days. Site washing 1 hour after the application resulted in a 22 percent mean decrease in average 24-hour serum concentrations of estradiol.



Potential for Estradiol Transfer

The effect of estradiol transfer was evaluated in 24 healthy postmenopausal women who topically applied 1.25 g of estradiol gel once daily on the posterior surface of 1 arm from wrist to shoulder for a period of 14 consecutive days. On each day, 1 hour after gel application, a cohort of 24 non-dosed healthy postmenopausal females directly contacted the dosed cohort at the site of gel application for 15 minutes. No change in endogenous mean serum concentrations of estradiol was observed in the non-dosed cohort after direct skin-to-skin contact with subjects administered estradiol gel.



Effect of Moisturizer Lotion/Sunscreen on Estradiol Absorption

The effect of sunscreen and moisturizer lotion on estradiol absorption from 0.06% estradiol topical gel was evaluated in a randomized, open-label, three-period crossover study in 42 healthy postmenopausal women. The study results showed that repeated daily application of sunscreen for 7 days at 1 hour after the administration of 0.06% estradiol topical gel decreased the mean AUC0-24h and Cmax of estradiol by 16%. Repeated daily application of moisturizer lotion for 7 days at 1 hour after the administration of 0.06% estradiol topical gel increased the mean AUC0-24h and Cmax of estradiol by 38% and 73%, respectively.



The effect of daily application of sunscreen/moisturizer lotion on estradiol absorption, when sunscreen/moisturizer lotion is applied before administration of 0.06% estradiol topical gel, was not studied.

5.19 Laboratory Tests

Serum follicle stimulating hormone (FSH) and estradiol levels have not been shown to be useful in the management of postmenopausal women with moderate to severe vasomotor symptoms and moderate to severe symptoms of vulvar and vaginal atrophy.

5.3 Probable Dementia

In the WHI Memory Study (WHIMS) estrogen-alone ancillary study, a population of 2,947 hysterectomized women 65 to 79 years of age was randomized to daily CE (0.625 mg)-alone or placebo.



After an average follow-up of 5.2 years, 28 women in the estrogen-alone group and 19 women in the placebo group were diagnosed with probable dementia. The relative risk of probable dementia for CE-alone versus placebo was 1.49 (95 percent CI, 0.83-2.66). The absolute risk of probable dementia for CE-alone versus placebo was 37 versus 25 cases per 10,000 women-years8 [see Use in Specific Populations (8.5), and Clinical Studies (14.4)].



In the WHIMS estrogen plus progestin ancillary study, a population of 4,532 postmenopausal women 65 to 79 years of age was randomized to daily CE (0.625 mg) plus MPA (2.5 mg) or placebo. After an average follow-up of 4 years, 40 women in the CE plus MPA group and 21 women in the placebo group were diagnosed with probable dementia. The relative risk of probable dementia for CE plus MPA versus placebo was 2.05 (95 percent CI, 1.21-3.48). The absolute risk of probable dementia for CE plus MPA versus placebo was 45 versus 22 cases per 10,000 women-years8 [see Use in Specific Populations (8.5), and Clinical Studies (14.4)].



When data from the two populations in the WHIMS estrogen-alone and estrogen plus progestin ancillary studies were pooled as planned in the WHIMS protocol, the reported overall relative risk for probable dementia was 1.76 (95 percent CI, 1.19-2.60). Since both ancillary studies were conducted in women 65 to 79 years of age, it is unknown whether these findings apply to younger postmenopausal women [see Use in Specific Populations (8.5), and Clinical Studies (14.4)].

5.2 Malignant Neoplasms

Endometrial Cancer

An increased risk of endometrial cancer has been reported with the use of unopposed estrogen therapy in women with a uterus. The reported endometrial cancer risk among unopposed estrogen users is about 2-to 12-fold greater than in nonusers, and appears dependent on duration of treatment and on estrogen dose. Most studies show no significant increased risk associated with use of estrogens for less than 1 year. The greatest risk appears to be associated with prolonged use, with increased risks of 15-to 24-fold for 5 to 10 years or more, and this risk has been shown to persist for at least 8 to 15 years after estrogen therapy is discontinued.



Clinical surveillance of all women using estrogen-alone or estrogen plus progestin therapy is important. Perform adequate diagnostic measures, including directed or random endometrial sampling when indicated, to rule out malignancy in postmenopausal women with undiagnosed persistent or recurring abnormal genital bleeding with unknown etiology.



There is no evidence that the use of natural estrogens results in a different endometrial risk profile than synthetic estrogens of equivalent estrogen dose. Adding a progestogen to estrogen therapy in postmenopausal women has been shown to reduce the risk of endometrial hyperplasia, which may be a precursor to endometrial cancer.



Breast Cancer

The WHI substudy of daily CE (0.625 mg)-alone provided information about breast cancer in estrogen-alone users. In the WHI estrogen-alone substudy, after an average follow-up of 7.1 years, daily CE (0.625 mg)-alone was not associated with an increased risk of invasive breast cancer [relative risk (RR) 0.8]) 5 compared to placebo [see Clinical Studies (14.3)].



After a mean follow-up of 5.6 years, the WHI substudy of daily CE (0.625 mg) plus MPA (2.5 mg) reported an increased risk of invasive breast cancer in women who took daily CE plus MPA compared to placebo.



In this substudy, prior use of estrogen-alone or estrogen plus progestin therapy was reported by 26 percent of the women. The relative risk of invasive breast cancer was 1.24, and the absolute risk was 41 versus 33 cases per 10,000 women-years, for CE plus MPA compared with placebo [see Clinical Studies (14.3)]. Among women who reported prior use of hormone therapy, the relative risk of invasive breast cancer was 1.86, and the absolute risk was 46 versus 25 cases per 10,000 women-years, for CE plus MPA compared with placebo. Among women who reported no prior use of hormone therapy, the relative risk of invasive breast cancer was 1.09, and the absolute risk was 40 versus 36 cases per 10,000 women-years for CE plus MPA compared with placebo. In the same substudy, invasive breast cancers were larger, were more likely to be node positive, and were diagnosed at a more advanced stage in the CE (0.625 mg) plus MPA (2.5 mg) group compared with the placebo group. Metastatic disease was rare, with no apparent difference between the two groups. Other prognostic factors, such as histologic subtype, grade and hormone receptor status did not differ between the groups6 [see Clinical Studies (14.3)].



Consistent with the WHI clinical trials, observational studies have also reported an increased risk of breast cancer with estrogen plus progestin therapy, and a smaller increased risk for estrogen-alone therapy, after several years of use. One large meta-analysis of prospective cohort studies reported increased risks that were dependent upon duration of use and could last up to >10 years after discontinuation of estrogen plus progestin therapy and estrogen-alone therapy. Extension of the WHI trials also demonstrated increased breast cancer risk associated with estrogen plus progestin therapy. Observational studies also suggest that the risk of breast cancer was greater, and became apparent earlier, with estrogen plus progestin therapy as compared to estrogen-alone therapy. These studies have not generally found significant variation in the risk of breast cancer among different estrogen plus progestin combinations, doses, or routes of administration.



The use of estrogen-alone and estrogen plus progestin therapy has been reported to result in an increase in abnormal mammograms requiring further evaluation.



Have all women receive yearly breast examinations by a healthcare provider and perform monthly breast self-examinations. In addition, base the scheduling of mammography examinations on patient age, risk factors, and prior mammogram results.



Ovarian Cancer

The CE plus MPA substudy of WHI reported that estrogen plus progestin increased the risk of ovarian cancer. After an average follow-up of 5.6 years, the relative risk for CE plus MPA versus placebo was 1.58 (95 percent CI, 0.77-3.24), but it was not statistically significant. The absolute risk for CE plus MPA versus placebo was 4 versus 3 cases per 10,000 women-years.7



A meta-analysis of 17 prospective and 35 retrospective epidemiology studies found that women who used hormonal therapy for menopausal symptoms had an increased risk for ovarian cancer. The primary analysis, using case-control comparisons, included 12,110 cancer cases from the 17 prospective studies. The relative risks associated with current use of hormonal therapy was 1.41 (95% confidence interval [CI] 1.32 to 1.50); there was no difference in the risk estimates by duration of the exposure (less than 5 years [median of 3 years] vs. greater than 5 years [median 10 years] of use before the cancer diagnosis). The relative risk associated with combined current and recent use (discontinued use within 5 years before cancer diagnosis) was 1.37 (95% CI 1.27 – 1.48), and the elevated risk was significant for both estrogen-alone and estrogen plus progestin products. The exact duration of hormone therapy use associated with an increased risk of ovarian cancer, however, is unknown.

5.4 Gallbladder Disease

A 2-to 4-fold increase in the risk of gallbladder disease requiring surgery in postmenopausal women receiving estrogens has been reported.

12.1 Mechanism of Action

Endogenous estrogens are largely responsible for the development and maintenance of the female reproductive system and secondary sexual characteristics. Although circulating estrogens exist in a dynamic equilibrium of metabolic interconversions, estradiol is the principal intracellular human estrogen and is substantially more potent than its metabolites, estrone and estriol, at the receptor level.



The primary source of estrogen in normally cycling adult women is the ovarian follicle, which secretes 70 to 500 mcg of estradiol daily, depending on the phase of the menstrual cycle. After menopause, most endogenous estrogen is produced by conversion of androstenedione, secreted by the adrenal cortex, to estrone in the peripheral tissues. Thus, estrone and the sulfate-conjugated form, estrone sulfate, are the most abundant circulating estrogens in postmenopausal women.



Estrogens act through binding to nuclear receptors in estrogen-responsive tissues. To date, 2 estrogen receptors have been identified. These vary in proportion from tissue to tissue.



Circulating estrogens modulate the pituitary secretion of the gonadotropins, luteinizing hormone (LH) and FSH through a negative feedback mechanism. Estrogens act to reduce the elevated levels of these hormones seen in postmenopausal women.

5.6 Visual Abnormalities

Retinal vascular thrombosis has been reported in women receiving estrogens. Discontinue estradiol gelpending examination if there is sudden partial or complete loss of vision or a sudden onset of proptosis, diplopia, or migraine. Permanently discontinue estrogens, including estradiol gel if examination reveals papilledema or retinal vascular lesions.

16.2 Storage and Handling

Keep this and all medication out of the reach of children.

Store at 20° to 25°C (68° to 77°F); excursions permitted to 15° to 30°C (59° to 86°F) [See USP Controlled Room Temperature].

2 Dosage & Administration

Generally, when estrogen is prescribed for a postmenopausal woman with a uterus, consider addition of a progestogen to reduce the risk of endometrial cancer. Generally, a woman without a uterus does not need to use a progestogen in addition to her estrogen therapy. In some cases, however, hysterectomized women with a history of endometriosis may need a progestogen [see Warnings and Precautions (5.2, 5.14)].



Use estrogen-alone, or in combination with a progestogen at the lowest effective dose and for the shortest duration consistent with treatment goals and risks for the individual woman. Reevaluate postmenopausal women periodically as clinically appropriate to determine if treatment is still necessary.

3 Dosage Forms & Strengths

Estradiol gel0.06% is an estradiol transdermal gel. One pump depression delivers 1.25 g of gel that contains 0.75 mg estradiol.

5 Warnings and Precautions
  • Estrogens increase the risk of gallbladder disease (5.4)
  • Discontinue estrogen if severe hypercalcemia, loss of vision, severe hypertriglyceridemia or cholestatic jaundice occurs (5.5, 5.6, 5.9, 5.10)
  • Monitor thyroid function in women on thyroid replacement therapy (5.11, 5.20)
5.15 Hereditary Angioedema

Exogenous estrogens may exacerbate symptoms of angioedema in women with hereditary angioedema. Consider whether the benefits of estrogen therapy, including estradiol gel, outweigh the risks in such women.

5.8 Elevated Blood Pressure

In a small number of case reports, substantial increases in blood pressure have been attributed to idiosyncratic reactions to estrogens. In a large, randomized, placebo-controlled clinical trial, a generalized effect of estrogens on blood pressure was not seen.

5.1 Cardiovascular Disorders

Increased risks of stroke and DVT are reported with estrogen-alone therapy. Increased risks of PE, DVT, stroke and MI are reported with estrogen plus progestin therapy. Immediately discontinue estrogen with or without progestogen if any of these occur or are suspected.



Manage appropriately any risk factors for arterial vascular disease (for example, hypertension, diabetes mellitus, tobacco use, hypercholesterolemia, and obesity) and/or venous thromboembolism (VTE) (for example, personal history or family history of VTE, obesity, and systemic lupus erythematosus).



Stroke

The WHI estrogen-alone substudy reported a statistically significant increased risk of stroke in women 50 to 79 years of age receiving daily CE (0.625 mg)-alone compared to women in the same age group receiving placebo (45 versus 33 per 10,000 women-years, respectively). The increase in risk was demonstrated in year 1 and persisted [see Clinical Studies (14.3)]. Immediately discontinue estrogen-alone therapy if a stroke occurs or is suspected.



Subgroup analysis of women 50 to 59 years of age suggest no increased risk of stroke for those women receiving CE (0.625 mg)-alone versus those receiving placebo (18 versus 21 per 10,000 women-years).1



The WHI estrogen plus progestin substudy reported a statistically significant increased risk of stroke in women 50 to 79 years of age receiving daily CE (0.625 mg) plus MPA (2.5 mg) compared to women in the same age group receiving placebo (33 versus 25 per 10,000 women-years) [see Clinical Studies (14.3)]. The increase in risk was demonstrated after the first year and persisted.1 Immediately discontinue estrogen with or without progestogen therapy if a stroke occurs or is suspected.



Coronary Heart Disease

The WHI estrogen-alone substudy reported no overall effect on coronary heart disease (CHD) events (defined as nonfatal MI, silent MI, or CHD death) in women receiving estrogen-alone compared to placebo2 [see Clinical Studies (14.3)].



Subgroup analyses of women 50 to 59 years of age, who were less than 10 years since menopause, suggest a reduction (not statistically significant) of CHD events in those women receiving CE (0.625 mg)-alone compared to placebo) (8 versus 16 per 10,000 women-years).1



The WHI estrogen plus progestin substudy reported an increased risk (not statistically significant) of CHD events in those women receiving daily CE (0.625 mg) plus MPA (2.5 mg) compared to women receiving placebo (41 versus 34 per 10,000 women-years).1 An increase in relative risk was demonstrated in year 1, and a trend toward decreasing relative risk was reported in years 2 through 5 [see Clinical Studies (14.3)].



In postmenopausal women with documented heart disease (n = 2,763, average 66.7 years of age), in a controlled clinical trial of secondary prevention of cardiovascular disease (Heart and Estrogen/Progestin Replacement Study; HERS), treatment with daily CE (0.625 mg) plus MPA (2.5 mg) demonstrated no cardiovascular benefit. During an average follow-up of 4.1 years, treatment with CE plus MPA did not reduce the overall rate of CHD events in postmenopausal women with established CHD. There were more CHD events in the CE plus MPA-treated group than in the placebo group in year 1, but not during the subsequent years. Two thousand, three hundred twenty-one (2,321) women from the original HERS trial agreed to participate in an open-label extension of the original HERS, HERS II. Average follow-up in HERS II was an additional 2.7 years, for a total of 6.8 years overall. Rates of CHD events were comparable among women in the CE plus MPA group and the placebo group in HERS, HERS II, and overall.



Venous Thromboembolism

In the WHI estrogen-alone substudy, the risk of VTE (DVT and PE) was increased for women receiving daily CE (0.625 mg)-alone compared to placebo (30 versus 22 per 10,000 women-years), although only the increased risk of DVT reached statistical significance (23 versus 15 per 10,000 women-years). The increase in VTE risk was demonstrated during the first 2 years3 [see Clinical Studies (14.3)]. Immediately discontinue estrogen-alone therapy if a VTE occurs or is suspected.



The WHI estrogen plus progestin substudy reported a statistically significant 2-fold greater rate of VTE in women receiving daily CE (0.625 mg) plus MPA (2.5 mg) compared to women receiving placebo (35 versus 17 per 10,000 women-years). Statistically significant increases in risk for both DVT (26 versus 13 per 10,000 women-years) and PE (18 versus 8 per 10,000 women-years) were also demonstrated. The increase in VTE risk was demonstrated during the first year and persisted4 [see Clinical Studies (14.3)]. Immediately discontinue estrogen plus progestogen therapy if a VTE occurs or is suspected.



If feasible, discontinue estrogens at least 4 to 6 weeks before any surgery of the type associated with an increased risk of thromboembolism, or during periods of prolonged immobilization.

6.2 Postmarketing Experience

The following adverse reactions have been identified during post-approval use of estradiol gel. Because these reactions are reported voluntarily from a population of uncertain size, it is not always possible to reliably estimate their frequency or establish a causal relationship to drug exposure.



Genitourinary system

Endometrial cancer



Breast

Pain; tenderness; breast cancer



Cardiovascular

Deep vein thrombosis; myocardial ischemia; phlebitis



Gastrointestinal

Nausea; abdominal distension; diarrhea; stomach discomfort



Skin

Alopecia; rash; pruritus; application site: dryness, pain, discoloration, reaction, rash



Eyes

Retinal vein occlusion



Central nervous system

Headache; dizziness; insomnia; hypoesthesia; meningioma; aphasia; bradyphrenia; paresthesia

 

Miscellaneous

Drug ineffective; hot flush; arthralgia; night sweats; drug effect decreased; pain in extremity; fatigue; weight increased; pain; hypersensitivity; dyspnea; malignant mesenchymoma; angioedema; hepatitis acute; face edema; accidental exposure; myoclonus; gait disturbance; flushing

6.1 Clinical Trials Experience

Because clinical trials are conducted under widely varying conditions, adverse reaction rates observed in the clinical trials of a drug cannot be directly compared to rates in the clinical trials of another drug and may not reflect the rates observed in clinical practice.



Estradiol gelwas studied in 2 well-controlled, 12-week clinical trials. Incidence of adverse drug reactions ≥5 percent for 1.25 g estradiol gel0.06% and placebo is given in Table 1.



TABLE 1

Incidence of Adverse Drug Reactions ≥5 Percent Occurrence in the Estradiol Gel Treatment Group for the Intent-to-Treat Safety Population in 2 Well-controlled Clinical Studies (Expressed as Percent of Treatment Group)

Body System/ Adverse Drug Reactions

Estradiol gel 0.06%

1.25 g /day

(n=168)

Placebo

(n=73)

BODY AS A WHOLE

Headache

9.5

2.7

DIGESTIVE SYSTEM

Flatulence

5.4

4.1

UROGENITAL SYSTEM

Breast pain

10.7

8.2



In 2 controlled clinical trials, application site reactions were reported by 0.6 percent of patients who received 1.25 g of estradiol gel. Other skin reactions, such as pruritus and rash, were also noted.

17 Patient Counseling Information

Advise women to read the FDA-approved patient labeling (Patient Information and Instructions for Use)



Vaginal Bleeding

Inform postmenopausal women to report any vaginal bleeding to their healthcare provider as soon as possible [see Warnings and Precautions (5.2)].



Possible Serious Adverse Reactions with Estrogen-Alone Therapy

Inform postmenopausal women of the possible serious adverse reactions of estrogen-alone therapy including Cardiovascular Disorders, Malignant Neoplasms, and Probable Dementia [see Warnings and Precautions (5.1, 5.2, 5.3).



Possible Common Adverse Reactions with Estrogen-Alone Therapy

Inform postmenopausal women of possible less serious but common adverse reactions of estrogen-alone therapy such as headache, breast pain and tenderness, nausea, and vomiting.



Trademarks are the property of their respective owners.



Distributed by:

ANI Pharmaceuticals, Inc.

Baudette, MN 56623



LB4567-02

Revised: 02/2024

5.14 Exacerbation of Endometriosis

A few cases of malignant transformation of residual endometrial implants have been reported in women treated post-hysterectomy with estrogen-alone therapy. Consider the addition of progestogen therapy for women known to have residual endometriosis post-hysterectomy.

5.11 Exacerbation of Hypothyroidism

Estrogen administration leads to increased thyroid-binding globulin (TBG) levels. Women with normal thyroid function can compensate for the increased TBG by making more thyroid hormone, thus maintaining free T4 and T3 serum concentrations in the normal range. Women dependent on thyroid hormone replacement therapy who are also receiving estrogens may require increased doses of their thyroid replacement therapy. Monitor thyroid function in these women during treatment with estradiol gelto maintain their free thyroid hormone levels in an acceptable range.

5.18 Moisturizer Lotion Application

Use of moisturizing lotion one hour after application of estradiol gelsignificantly increased estradiol absorption [see Clinical Pharmacology (12.3)].

5.16 Exacerbation of Other Conditions

Estrogen therapy, including estradiol gel, may cause an exacerbation of asthma, diabetes mellitus, epilepsy, migraine, porphyria, systemic lupus erythematosus, and hepatic hemangiomas. Consider whether the benefits of estrogen therapy outweigh the risks in women with such conditions.

Package Label.principal Display Panel

Estradiol gel, 0.06%

NDC: 70954-646-10                           50-gram pump

Carton label



Container label



5.20 Drug Laboratory Test Interactions
  • Accelerated prothrombin time, partial thromboplastin time, and platelet aggregation time; increased platelet count; increased factors II, VII antigen, VIII antigen, VIII coagulant activity, IX, X, XII, VII-X complex, II-VII-X complex, and beta-thromboglobulin; decreased levels of antifactor Xa and antithrombin III, decreased antithrombin III activity; increased levels of fibrinogen and fibrinogen activity; increased plasminogen antigen and activity.
  • Increased thyroid-binding globulin (TBG) levels leading to increased circulating total thyroid hormone levels, as measured by protein-bound iodine (PBI), T4 levels (by column or by radioimmunoassay) or T3 levels by radioimmunoassay. T3 resin uptake is decreased, reflecting the elevated TBG. Free T4 and T3 concentrations are unaltered. Women on thyroid-replacement therapy may require higher doses of thyroid hormone.
  • Other binding proteins may be elevated in serum (for example, corticosteroid-binding globulin [CBG], sex hormone-binding globulin [SHBG]), leading to increased total circulating corticosteroids and sex steroids, respectively. Free hormone concentrations, such as testosterone and estradiol, may be decreased. Other plasma proteins may be increased (angiotensinogen/renin substrate, alpha-1-antitrypsin, ceruloplasmin).
  • Increased plasma high-density lipoprotein (HDL) and HDL2 cholesterol subfraction concentrations, reduced low-density lipoprotein (LDL) cholesterol concentration, increased triglyceride levels.
  • Impaired glucose tolerance.
14.3 Women’s Health Initiative Studies

The WHI enrolled approximately 27,000 predominantly healthy postmenopausal women in two substudies to assess the risks and benefits of daily oral CE (0.625 mg)-alone or in combination with MPA (2.5 mg) compared to placebo in the prevention of certain chronic diseases. The primary endpoint was the incidence of CHD (defined as nonfatal MI, silent MI, and CHD death), with invasive breast cancer as the primary adverse outcome. A “global index” included the earliest occurrence of CHD, invasive breast cancer, stroke, PE, endometrial cancer (only in the CE plus MPA substudy), colorectal cancer, hip fracture, or death due to other causes. These substudies did not evaluate the effects of CE-alone or CE plus MPA on menopausal symptoms.



WHI Estrogen-Alone Substudy

The WHI estrogen-alone substudy was stopped early because an increased risk of stroke was observed, and it was deemed that no further information would be obtained regarding the risks and benefits of estrogen-alone in predetermined primary endpoints. Results of the estrogen-alone substudy, which included 10,739 women (average 63 years of age, range 50-79; 75.3 percent White, 15.1 percent Black, 6.1 percent Hispanic, 3.6 percent Other), after an average follow-up of 7.1 years are presented in Table 3.



TABLE 3

Relative and Absolute Risk Seen in the Estrogen-Alone Substudy of WHIa

Event

Relative Risk CE vs. Placebo

(95% nCIb)

CE

n = 5,310

Placebo

n = 5,429

 

 

Absolute Risk per 10,000

Women-Years

CHD eventsc

0.95 (0.78-1.16)

54

57

Non-fatal MIc

0.91 (0.73-1.14)

40

43

CHD deathc

1.01 (0.71-1.43)

16

16

All strokesc

1.33 (1.05-1.68)

45

33

Ischemic strokec

1.55 (1.19-2.01)

38

25

Deep vein thrombosisc,d

1.47 (1.06-2.06)

23

15

Pulmonary embolismc

1.37 (0.90-2.07)

14

10

Invasive breast cancerc

0.80 (0.62-1.04)

28

34

Colorectal cancerc

1.08 (0.75-1.55)

17

16

Hip fracturec

0.65 (0.45-0.94)

12

19

Vertebral fracturesc,d

0.64 (0.44-0.93)

11

18

Lower arm/wrist fracturesc,d

0.58 (0.47-0.72)

35

59

Total fracturesc,d

0.71 (0.64-0.80)

144

197

Death due to other causese,f

1.08 (0.88-1.32)

53

50

Overall mortalityc,d

1.04 (0.88-1.22)

79

75

Global indexg

1.02 (0.92-1.13)

206

201

a Adapted from numerous WHI publications. WHI publications can be viewed at www.nhlbi.nih.gov/whi.

b Nominal confidence intervals unadjusted for multiple looks and multiple comparisons.

c Results are based on centrally adjudicated data for an average follow-up of 7.1 years.

d Not included in “global index”.

e Results are based on an average follow-up of 6.8 years.

f All deaths, except from breast or colorectal cancer, definite or probable CHD, PE or cerebrovascular disease.

g A subset of the events was combined in a "global index," defined as the earliest occurrence of CHD events, invasive breast cancer, stroke, pulmonary embolism, endometrial cancer, colorectal cancer, hip fracture, or death due to other causes.



For those outcomes included in the WHI “global index” that reached statistical significance, the absolute excess risk per 10,000 women-years in the group treated with CE-alone was 12 more strokes, while the absolute risk reduction per 10,000 women-years was 7 fewer hip fractures.9 The absolute excess risk of events included in the "global index" was a non-significant 5 events per 10,000 women-years. There was no difference between the groups in terms of all-cause mortality.



No overall difference for primary CHD events (nonfatal MI, silent MI, and CHD death) and invasive breast cancer in women receiving CE-alone compared with placebo was reported in final centrally adjudicated results from the estrogen-alone substudy, after an average follow-up of 7.1 years. See Table 3.



Centrally adjudicated results for stroke events from the estrogen-alone substudy, after an average follow-up of 7.1 years, reported no significant difference in the distribution of stroke subtype or severity, including fatal strokes, in women receiving CE-alone compared to placebo. Estrogen-alone therapy increased the risk of ischemic stroke, and this excess risk was present in all subgroups of women examined.10



Timing of initiation of estrogen-alone therapy relative to the start of menopause may affect the overall risk benefit profile. The WHI estrogen-alone substudy stratified by age showed in women 50 to 59 years of age a non-significant trend toward reduced risk for CHD [hazard ratio (HR) 0.63 (95 percent CI, 0.36-1.09)] and overall mortality [HR 0.71 (95 percent CI, 0.46-1.11)].

 

WHI Estrogen Plus Progestin Substudy

The WHI estrogen plus progestin substudy was stopped early. According to the predefined stopping rule, after an average follow-up of 5.6 years of treatment, the increased risk of invasive breast cancer and cardiovascular events exceeded the specified benefits included in the “global index.” The absolute excess risk of events included in the “global index” was 19 per 10,000 women-years.



For those outcomes included in the WHI “global index” that reached statistical significance after 5.6 years of follow-up, the absolute excess risks per 10,000 women-years in the group treated with CE plus MPA were 7 more CHD events, 8 more strokes, 10 more PEs, and 8 more invasive breast cancers, while the absolute risk reduction per 10,000 women-years were 6 fewer colorectal cancers and 5 fewer hip fractures.



Results of the CE plus MPA substudy, which included 16,608 women (average 63 years of age, range 50-79; 83.9 percent White, 6.8 percent Black, 5.4 percent Hispanic, 3.9 percent Other), are presented in Table 4. These results reflect centrally adjudicated data after an average follow-up of 5.6 years.



TABLE 4

Relative and Absolute Risk Seen in the Estrogen Plus Progestin Substudy of WHI at an Average of 5.6 Yearsa,b

Event

Relative Risk

CE/MPA vs. Placebo

 

(95% nCIc)

CE/MPA

n = 8,506

Placebo

n = 8,102

Absolute Risk per 10,000

Women-Years

CHD events

Non-fatal MI

CHD death

1.23 (0.99-1.53)

1.28 (1.00-1.63)

1.10 (0.70-1.75)

41

31

8

34

25

8

All strokes

Ischemic stroke

1.31 (1.03-1.68)

1.44 (1.09-1.90)

33

26

25

18

Deep vein thrombosisd

1.95 (1.43-2.67)

26

13

Pulmonary embolism

2.13 (1.45-3.11)

18

8

Invasive breast cancere

1.24 (1.01-1.54)

41

33

Colorectal cancer

0.61 (0.42-0.87)

10

16

Endometrial cancerd

0.81 (0.48-1.36)

6

7

Cervical cancerd

1.44 (0.47-4.42)

2

1

Hip fracture

0.67 (0.47-0.96)

11

16

Vertebral fracturesd

0.65 (0.46-0.92)

11

17

Lower arm/wrist fracturesd

0.71 (0.59-0.85)

44

62

Total fractures

0.76 (0.69-0.83)

152

199

Overall mortalityf

1.00 (0.83-1.19)

52

52

Global Indexg

1.13 (1.02-1.25)

184

165

a Adapted from numerous WHI publications. WHI publications can be viewed at www.nhlbi.nih.gov/whi.

b Results are based on centrally adjudicated data.

c Nominal confidence intervals unadjusted for multiple looks and multiple comparisons.

d Not included in “global index”.

e Includes metastatic and non-metastatic breast cancer, with the exception of in-situ breast cancer.

f All deaths, except from breast or colorectal cancer, definite or probable CHD, PE or cerebrovascular disease.

g A subset of the events was combined in a "global index," defined as the earliest occurrence of CHD events, invasive breast cancer, stroke, pulmonary embolism, endometrial cancer, colorectal cancer, hip fracture, or death due to other causes.



Timing of initiation of estrogen plus progestin therapy relative to the start of menopause may affect the overall risk benefit profile. The WHI estrogen plus progestin substudy stratified by age showed in women 50 to 59 years of age a non-significant trend toward reduced risk for overall mortality [HR 0.69 (95 percent CI, 0.441.07)].

5.9 Exacerbation of Hypertriglyceridemia

In women with pre-existing hypertriglyceridemia, estrogen therapy may be associated with elevations of plasma triglycerides leading to pancreatitis. Discontinue estradiol gelif pancreatitis occurs.

5.17 Alcohol Based Products Are Flammable

Avoid fire, flame, or smoking until estradiol gelhas dried.

14.4 Women's Health Initiative Memory Study

The WHIMS estrogen-alone ancillary study of WHI enrolled 2,947 predominantly healthy hysterectomized postmenopausal women 65 years of age and older (45 percent were 65 to 69 years of age, 36 percent were 70 to 74 years of age, and 19 percent were 75 years of age and older) to evaluate the effects of daily CE (0.625 mg)-alone on the incidence of probable dementia (primary outcome) compared to placebo.



After an average follow-up of 5.2 years, the relative risk of probable dementia for CE-alone versus placebo was 1.49 (95 percent CI, 0.83-2.66). The absolute risk of probable dementia for CE-alone versus placebo was 37 versus 25 cases per 10,000 women-years. Probable dementia as defined in the study included Alzheimer’s disease (AD), vascular dementia (VaD) and mixed type (having features of both AD and VaD). The most common classification of probable dementia in the treatment group and the placebo group was AD. Since the ancillary study was conducted in women 65 to 79 years of age, it is unknown whether these findings apply to younger postmenopausal women [see Warnings and Precautions (5.3), and Use in Specific Populations (8.5)].



The WHIMS estrogen plus progestin ancillary study enrolled 4,532 predominantly healthy postmenopausal women 65 years of age and older (47 percent were 65 to 69 years of age, 35 percent were 70 to 74 years of age, and 18 percent were 75 years of age and older) to evaluate the effects of daily CE (0.625 mg) plus MPA (2.5 mg) on the incidence of probable dementia (primary outcome) compared to placebo.



After an average follow-up of 4 years, the relative risk of probable dementia for CE plus MPA versus placebo was 2.05 (95 percent CI, 1.21-3.48). The absolute risk of probable dementia for CE plus MPA versus placebo was 45 versus 22 cases per 10,000 women-years. Probable dementia as defined in the study included AD, VaD and mixed type (having features of both AD and VaD). The most common classification of probable dementia in the treatment group and the placebo group was AD. Since the ancillary study was conducted in women 65 to 79 years of age, it is unknown whether these findings apply to younger postmenopausal women [see Warnings and Precautions (5.3), and Use in Specific Populations (8.5)].



When data from the two populations were pooled as planned in the WHIMS protocol, the reported overall relative risk for probable dementia was 1.76 (95 percent CI, 1.19-2.60). Differences between groups became apparent in the first year of treatment. It is unknown whether these findings apply to younger postmenopausal women [see Warnings and Precautions (5.3), and Use in Specific Populations (8.5)].

14.1 Effects On Vasomotor Symptoms in Postmenopausal Women

In a placebo-controlled study, 145 postmenopausal women between 29 and 67 years of age (81.4 percent were White) were randomly assigned to receive 1.25 g of estradiol gel (containing 0.75 mg of estradiol) or placebo gel for 12 weeks. Efficacy was assessed at 4 and 12 weeks of treatment. A statistically significant reduction in the frequency and severity of moderate to severe hot flushes was shown at Weeks 4 and 12. (See Table 2)



TABLE 2

Mean Change from Baseline in the Number and Severity of Hot Flushes per Day, ITT Population, LOCF

 

Number of Hot Flushes/Day

(Moderate to Severe)

Severity Score/Day

(Mild, Moderate, Severe)

Placebo

n=73

Estradiol Gel 0.06%

1.25 g

n=72

Placebo

n=73

Estradiol Gel 0.06%

1.25 g

n=72

Baseline

Mean (SD)

11.01 (5.66)

10.33 (3.07)

2.30 (0.24)

2.36 (0.29)

Week 4*

Mean (SD)

Mean change from baseline (SD)

Diff. vs placebo

P value

 

5.95 (5.17)

-5.06 (4.91)

 

4.43 (4.13)

-5.91 (3.68)

0.85

0.019

 

2.00 (0.63)

-0.31 (0.62)

 

1.73 (0.73)

-0.63 (0.71)

0.32

0.005

Week 12*

Mean (SD)

Mean change from baseline (SD)

Diff. vs placebo

P value

 

5.17 (6.52)

-5.84 (4.52)

 

2.79 (3.70)

-7.55 (3.52)

1.71

0.043

 

1.76 (0.84)

-0.54 (0.84)

 

1.33 (0.97)

-1.03 (0.94)

0.49

<0.001

* Primary timepoint.

P values from Elteren’s nonparametric test.

‡ Statistically significantly different from placebo.

13.1 Carcinogenesis & Mutagenesis & Impairment of Fertility

Long-term, continuous administration of natural and synthetic estrogens in certain animal species increases the frequency of carcinomas of the breast, uterus, cervix, vagina, testis, and liver.

14.2 Effects On Vulvar and Vaginal Atrophy in Postmenopausal Women

Results of the vaginal wall cytology showed a significant (P≤0.001) increase from baseline in the percent of superficial epithelial cells at Week 12 for 1.25 g estradiol gel. In contrast, no significant change from baseline was observed in the placebo group.

5.10 Hepatic Impairment And/or Past History of Cholestatic Jaundice

Estrogens may be poorly metabolized in women with hepatic impairment. Exercise caution in any woman with a history of cholestatic jaundice associated with past estrogen use or with pregnancy. In the case of recurrence of cholestatic jaundice, discontinue estradiol gel.

5.7 Addition of A Progestogen When A Woman Has Not Had A Hysterectomy

Studies of the addition of a progestogen for 10 or more days of a cycle of estrogen administration, or daily with estrogen in a continuous regimen, have reported a lowered incidence of endometrial hyperplasia than would be induced by estrogen treatment alone. Endometrial hyperplasia may be a precursor to endometrial cancer.



There are, however, possible risks that may be associated with the use of progestogens with estrogens compared to estrogen-alone regimens. These include an increased risk of breast cancer.

1.1 Treatment of Moderate to Severe Vasomotor Symptoms Due to Menopause

.

2.1 Treatment of Moderate to Severe Vasomotor Symptoms Due to Menopause

Estradiol gel0.06% 1.25 g per day is the single approved dose for the treatment of moderate to severe vasomotor symptoms due to menopause. The lowest effective dose of estradiol gel0.06% for this indication has not been determined.



Before using the canister for the first time, it must be primed. Remove the large canister cover, and fully depress the pump 5 times. Discard the unused gel by thoroughly rinsing down the sink or placing it in the household trash. After priming, the pump is ready to use.



The recommended area of application is the arm. Apply a thin layer over the entire arm on the inside and outside from wrist to shoulder.

1.2 Treatment of Moderate to Severe Symptoms of Vulvar and Vaginal Atrophy Due to Menopause

Limitation of Use

When prescribing solely for the treatment of moderate to severe symptoms of vulvar and vaginal atrophy due to menopause, first consider the use of topical vaginal products.

2.2 Treatment of Moderate to Severe Symptoms of Vulvar and Vaginal Atrophy Due to Menopause

Estradiol gel0.06% 1.25 g per day is the single approved dose for the treatment of moderate to severe symptoms of vulvar and vaginal atrophy due to menopause. The lowest effective dose of estradiol gel0.06% for this indication has not been determined. When prescribing solely for the treatment of moderate to severe symptoms of vulvar and vaginal atrophy, first consider the use of topical vaginal products.



Before using the canister for the first time, it must be primed. Remove the large canister cover, and fully depress the pump 5 times. Discard the unused gel by thoroughly rinsing down the sink or placing it in the household trash. After priming, the pump is ready to use.



The recommended area of application is the arm. Apply a thin layer over the entire arm on the inside and outside from wrist to shoulder.


Structured Label Content

Section 43683-2 (43683-2)

Warnings and Precautions, Malignant Neoplasm (5.2)                                              12/2023

10 Overdosage (10 OVERDOSAGE)

Overdosage of estrogen may cause nausea, vomiting, breast tenderness, abdominal pain, drowsiness and fatigue, and withdrawal bleeding may occur in women. Treatment of overdose consists of discontinuation of estradiol geltherapy with institution of appropriate symptomatic care.

15 References (15 REFERENCES)
  • Rossouw JE, et al. Postmenopausal Hormone Therapy and Risk of Cardiovascular Disease by Age and Years Since Menopause. JAMA. 2007;297:1465-1477.
  • Hsia J, et al. Conjugated Equine Estrogens and Coronary Heart Disease. Arch Int Med. 2006;166:357-365.
  • Curb JD, et al. Venous Thrombosis and Conjugated Equine Estrogen in Women Without a Uterus. Arch Int Med. 2006;166:772-780.
  • Cushman M, et al. Estrogen Plus Progestin and Risk of Venous Thrombosis. JAMA. 2004;292:1573-1580.
  • Stefanick ML, et al. Effects of Conjugated Equine Estrogens on Breast Cancer and Mammography Screening in Postmenopausal Women With Hysterectomy. JAMA. 2006;295:1647-1657.
  • Chlebowski RT, et al. Influence of Estrogen Plus Progestin on Breast Cancer and Mammography in Healthy Postmenopausal Women. JAMA. 2003;289:3234-3253.
  • Anderson GL, et al. Effects of Estrogen Plus Progestin on Gynecologic Cancers and Associated Diagnostic Procedures. JAMA. 2003;290:1739-1748.
  • Shumaker SA, et al. Conjugated Equine Estrogens and Incidence of Probable Dementia and Mild Cognitive Impairment in Postmenopausal Women. JAMA. 2004;291:2947-2958.
  • Jackson RD, et al. Effects of Conjugated Equine Estrogen on Risk of Fractures and BMD in Postmenopausal Women With Hysterectomy: Results From the Women's Health Initiative Randomized Trial. J Bone Miner Res. 2006;21:817-828.
  • Hendrix SL, et al. Effects of Conjugated Equine Estrogen on Stroke in the Women's Health Initiative. Circulation. 2006;113:2425-2434.
8.1 Pregnancy

Risk Summary

Estradiol gelis not indicated for use in pregnancy. There are no data with the use of estradiol gelin pregnant women, however, epidemiologic studies and meta-analysis have not found an increased risk of genital or non-genital birth defects (including cardiac anomalities and limb-reduction defects) following exposure to combined hormonal contraceptives (estrogens and progestins) before conception or during early pregnancy.



In the U.S. general population, the estimated background rate of major birth defects and miscarriage in clinically recognized pregnancies is 2% to 4% and 15% to 20%, respectively.

8.3 Lactation

Estrogens are present in human milk and can reduce milk production in breast-feeding women. This reduction can occur at any time but is less likely to occur once breast-feeding is well established. The development and health benefits of breastfeeding should be considered along with the mother’s clinical need for estradiol geland any potential adverse effects on the breastfed child from estradiol gelor from the underlying maternal condition.

Boxed Warning (BOXED WARNING)

WARNING: ENDOMETRIAL CANCER, CARDIOVASCULAR DISORDERS, PROBABLE DEMENTIA and BREAST CANCER



Estrogen-Alone Therapy

Endometrial Cancer

There is an increased risk of endometrial cancer in a woman with a uterus who uses unopposed estrogens. Adding a progestogen to estrogen therapy has been shown to reduce the risk of endometrial hyperplasia, which may be a precursor to endometrial cancer. Perform adequate diagnostic measures, including directed or random endometrial sampling when indicated, to rule out malignancy in postmenopausal women with undiagnosed, persistent, or recurring abnormal genital bleeding [see Warnings and Precautions (5.2)].



Cardiovascular Disorders and Probable Dementia

The Women's Health Initiative (WHI) estrogen-alone substudy reported increased risks of stroke and deep vein thrombosis (DVT) in postmenopausal women (50 to 79 years of age) during 7.1 years of treatment with daily oral conjugated estrogens (CE) [0.625 mg]-alone, relative to placebo [see Warnings and Precautions (5.1), and Clinical Studies (14.3)].

 

The WHI Memory Study (WHIMS) estrogen-alone ancillary study of WHI reported an increased risk of developing probable dementia in postmenopausal women 65 years of age or older during 5.2 years of treatment with daily CE (0.625 mg)-alone, relative to placebo. It is unknown whether this finding applies to younger postmenopausal women [see Warnings and Precautions (5.3), Use in Specific Populations (8.5), and Clinical Studies (14.4)].



Do not use estrogen-alone therapy for the prevention of cardiovascular disease or dementia [see Warnings and Precautions (5.1, 5.3), and Clinical Studies (14.3, 14.4).



Only daily oral 0.625 mg CE was studied in the estrogen-alone substudy of the WHI. Therefore, the relevance of the WHI findings regarding adverse cardiovascular events and dementia to lower CE doses, other routes of administration, or other estrogen-alone products is not known. Without such data, it is not possible to definitively exclude these risks or determine the extent of these risks for other products. Discuss with your patient the benefits and risks of estrogen-alone therapy, taking into account her individual risk profile.



Prescribe estrogens with or without progestogens at the lowest effective doses and for the shortest duration consistent with treatment goals and risks for the individual woman.



Estrogen Plus Progestin Therapy

Cardiovascular Disorders and Probable Dementia

The WHI estrogen plus progestin substudy reported increased risks of pulmonary embolism (PE), DVT, stroke and myocardial infarction (MI) in postmenopausal women (50 to 79 years of age) during 5.6 years of treatment with daily oral CE (0.625 mg) combined with medroxyprogesterone acetate (MPA) [2.5 mg], relative to placebo [see Warnings and Precautions (5.1), and Clinical Studies (14.3)].



The WHIMS estrogen plus progestin ancillary study of WHI reported an increased risk of developing probable dementia in postmenopausal women 65 years of age or older during 4 years of treatment with daily CE (0.625 mg) combined with MPA (2.5 mg), relative to placebo. It is unknown whether this finding applies to younger postmenopausal women [see Warnings and Precautions (5.3), Use in Specific Populations (8.5), and Clinical Studies (14.4)].



Do not use estrogen plus progestogen therapy for the prevention of cardiovascular disease or dementia [see Warnings and Precautions (5.1, 5.3), and Clinical Studies (14.3, 14.4)].



Breast Cancer

The WHI estrogen plus progestin substudy also demonstrated an increased risk of invasive breast cancer [see Warnings and Precautions (5.2), and Clinical Studies (14.4)].

 

Only daily oral 0.625 mg CE and 2.5 mg MPA were studied in the estrogen plus progestin substudy of the WHI. Therefore, the relevance of the WHI findings regarding adverse cardiovascular events, dementia and breast cancer to lower CE plus other MPA doses, other routes of administration, or other estrogen plus progestogen products is not known. Without such data, it is not possible to definitively exclude these risks or determine the extent of these risks for other products. Discuss with your patient the benefits and risks of estrogen plus progestogen therapy, taking into account her individual risk profile.

 

Prescribe estrogens with or without progestogens at the lowest effective doses and for the shortest duration consistent with treatment goals and risks for the individual woman.

11 Description (11 DESCRIPTION)

Estradiol gel contains 0.06 percent estradiol in an absorptive hydroalcoholic gel base for topical application. It is a clear, colorless hydroalcoholic gel. One pump depression of estradiol geldelivers 1.25 g of gel containing 0.75 mg estradiol.



Estradiol is a white crystalline powder, chemically described as estra-1,3,5(10)-triene-3,17β-diol. It has an empirical formula of C18H24O2 and molecular weight of 272.39. The structural formula is:

The active component of the gel is estradiol. The remaining components of the gel (purified water, alcohol (46%), triethanolamine and carbomer 974P) are pharmacologically inactive.

16.1 How Supplied

Estradiol gel is a clear, colorless, hydroalcoholic gel containing 0.06 percent estradiol, supplied in a non-aerosol, metered-dose pump. The pump consists of an LDPE inner liner encased in rigid plastic with a resealable polypropylene cap. Estradiol gel is available in a 50-gram (1.75 oz) size. Each individually packaged 50-gram pump contains 50 grams of gel and can deliver 30 metered 1.25-g doses.



NDC: 70954-646-10                           50-gram pump

5.13 Hypocalcemia

Estrogen-induced hypocalcemia may occur in women with hypoparathyroidism. Consider whether the benefits of estrogen therapy, including estradiol gel, outweigh the risks in women.

5.5 Hypercalcemia

Estrogen administration may lead to severe hypercalcemia in women with breast cancer and bone metastases. Discontinue estrogens, including estradiol gelif hypercalcemia occurs, and take appropriate measures to reduce the serum calcium level.

8.4 Pediatric Use

Estradiol gelis not indicated for use in pediatric patients. Clinical studies have not been conducted in the pediatric population.

8.5 Geriatric Use

There have not been sufficient numbers of geriatric women involved in clinical studies utilizing estradiol gelto determine whether those over 65 years of age differ from younger subjects in their response to estradiol gel.



The Women’s Health Initiative Studies

In the WHI estrogen-alone substudy (daily CE [0.625 mg]-alone versus placebo), there was a higher relative risk of stroke in women greater than 65 years of age [see Warnings and Precautions (5.1) and Clinical Studies (14.3)].



In the WHI estrogen plus progestin substudy (daily CE [0.625 mg] plus MPA [2.5 mg] versus placebo), there was a higher relative risk of nonfatal stroke and invasive breast cancer in women greater than 65 years of age [see Warnings and Precautions (5.1) and Clinical Studies (14.3)].



The Women’s Health Initiative Memory Study

In the WHIMS ancillary studies of postmenopausal women 65 to 79 years of age, there was an increased risk of developing probable dementia in women receiving estrogen-alone or estrogen plus progestin when compared to placebo [see Warnings and Precautions (5.3), and Clinical Studies (14.4)].



Since both ancillary studies were conducted in women 65 to 79 years of age, it is unknown whether these findings apply to younger postmenopausal women8 [see Warnings and Precautions (5.3), and Clinical Studies (14.4)].

4 Contraindications (4 CONTRAINDICATIONS)

Estradiol gelis contraindicated in women with any of the following conditions:

  • Undiagnosed abnormal genital bleeding [see Warning and Precautions (5.2)].
  • Breast cancer or a history of breast cancer [see Warning and Precautions (5.2)].
  • Estrogen-dependent neoplasia [see Warning and Precautions (5.2)].
  • Active DVT, PE, or history of these conditions [see Warning and Precautions (5.1)].
  • Active arterial thromboembolic disease (for example, stroke or MI), or a history of these conditions [see Warning and Precautions (5.1)].
  • Known anaphylactic reaction, angioedema, or hypersensitivity to estradiol gel
  • Hepatic impairment or disease
  • Protein C, protein S, or antithrombin deficiency, or other known thrombophilic disorders
6 Adverse Reactions (6 ADVERSE REACTIONS)

The following serious adverse reactions are discussed elsewhere in the labeling:

  • Cardiovascular Disorders [see Boxed Warning, and Warnings and Precautions (5.1)]
  • Malignant Neoplasms [see Boxed Warning, and Warnings and Precautions (5.2)]
7 Drug Interactions (7 DRUG INTERACTIONS)

In vitro and in vivo studies have shown that estrogens are metabolized partially by cytochrome P450 3A4 (CYP3A4). Therefore, inducers or inhibitors of CYP3A4 may affect estrogen drug metabolism. Inducers of CYP3A4, such as St. John’s wort (Hypericum perforatum) preparations, phenobarbital, carbamazepine, and rifampin, may reduce plasma concentrations of estrogens, possibly resulting in a decrease in therapeutic effects and/or changes in the uterine bleeding profile. Inhibitors of CYP3A4 such as erythromycin, clarithromycin, ketoconazole, itraconazole, ritonavir, and grapefruit juice may increase plasma concentrations of estrogen and may result in adverse reactions.

Patient Information

Estradiol ( ES-tra-DYE-ol)

Gel, 0.06%



Read this Patient Information before you start using estradiol gel and each time you get a refill. There may be new information. This information does not take the place of talking to your healthcare provider about your menopausal symptoms or your treatment.



What is the most important information I should know about estradiol gel (an estrogen hormone)?

  • Using estrogen-alone may increase your chance of getting cancer of the uterus (womb). Report any unusual vaginal bleeding right away while you are using estradiol gel. Vaginal bleeding after menopause may be a warning sign of cancer of the uterus (womb). Your healthcare provider should check any unusual vaginal bleeding to find out the cause.
  • Do not use estrogen-alone to prevent heart disease, heart attacks, strokes or dementia (decline in brain function).
  • Using estrogen-alone may increase your chances of getting strokes and blood clots.
  • Using estrogen-alone may increase your chance of getting dementia, based on a study of women 65 years of age and older.
  • Do not use estrogens with progestogens to prevent heart disease, heart attack, strokes or dementia.
  • Using estrogens with progestogens may increase your chances of getting heart attacks, strokes, breast cancer, or blood clots.
  • Using estrogens with progestogens may increase your chance of getting dementia, based on a study of women 65 years of age and older.
  • Only one estrogen-alone product and dose have been shown to increase your chances of getting strokes, blood clots, and dementia. Only one estrogen with progestogen product and dose have been shown to increase your chances of getting heart attacks, strokes, breast cancer, blood clots, and dementia. Because other products and doses have not been studied in the same way, it is not known how the use of estradiol gel will affect your chances of these conditions. You and your healthcare provider should talk regularly about whether you still need treatment with estradiol gel.


What is estradiol gel?

Estradiol gel is a prescription medicine gel that contains estradiol (an estrogen hormone).



What is estradiol gel used for?

Estradiol gel is used after menopause to:

  • Reduce moderate to severe hot flashes

 

 Estrogens are hormones made by a woman’s ovaries. The ovaries normally stop making estrogens when a woman is between 45 and 55 years old. This drop in body estrogen levels causes the “change of life” or menopause (the end of monthly menstrual periods).



 Sometimes, both ovaries are removed during an operation before natural menopause takes place. The sudden drop in estrogen levels causes “surgical menopause.”



 When the estrogen levels begin dropping, some women develop very uncomfortable symptoms, such as feelings of warmth in the face, neck, and chest, or sudden intense feelings of heat and sweating (“hot flashes” or “hot flushes”). In some women, the symptoms are mild, and they will not need to use estrogens. In other women, symptoms can be more severe.



  • Treat moderate to severe menopausal changes in and around the vagina

You and your healthcare provider should talk regularly about whether you still need treatment with estradiol gel to control these problems. If you use estradiol gel only to treat your menopausal changes in and around your vagina, talk with your healthcare provider about whether a topical vaginal product would be better for you.

 

Who should not use estradiol gel?

Do not start using estradiol gel if you:

  • have unusual vaginal bleeding

Vaginal bleeding after menopause may be a warning sign of cancer of the uterus (womb). Your healthcare provider should check any unusual vaginal bleeding to find out the cause.

  • have been diagnosed with a bleeding disorder
  • currently have or have had certain cancers

Estrogens may increase the chance of getting certain types of cancer, including cancer of the breast or uterus. If you have or have had cancer, talk with your healthcare provider about whether you should use estradiol gel.

  • had a stroke or heart attack
  • currently have or have had blood clots
  • currently have or have had liver problems
  • are allergic to estradiol gel or any of its ingredients

See the list of ingredients in estradiol gel at the end of this leaflet.



Before you use estradiol gel, tell your healthcare provider about all of your medical conditions, including if you:

  • have any unusual vaginal bleeding

Vaginal bleeding after menopause may be a warning sign of cancer of the uterus (womb). Your healthcare provider should check any unusual vaginal bleeding to find out the cause.



  • have any other medical conditions that may become worse while you are using estradiol gel

Your healthcare provider may need to check you more carefully if you have certain conditions, such as asthma (wheezing), epilepsy (seizures), diabetes, migraine, endometriosis, lupus, angioedema (swelling of face and tongue), problems with your heart, liver, thyroid, kidneys, or high calcium levels in your blood.



  • are going to have surgery or will be on bed rest

Your healthcare provider will let you know if you need to stop using estradiol gel.



  • are pregnant or think you may be pregnant

Estradiol gel is not for pregnant women.



  • are breastfeeding

The hormone in estradiol gel can pass into your breast milk.



Tell your healthcare provider about all the medicines you take, including prescription and over-the-counter medicines, vitamins, and herbal supplements. Some medicines may affect how estradiol gel works. Estradiol gel may also affect how your other medicines work. Keep a list of your medicines and show it to your healthcare provider and pharmacist when you get a new medicine.



How should I use estradiol gel?

For detailed instructions, see the step-by-step instructions for using estradiol gel at the end of this Patient Information.

  • Use estradiol gel exactly as your healthcare provider tells you to use it.
  • Estradiol gel is for skin use only.
  • Estradiol gel contains alcohol, which is flammable. Avoid fire, flame or smoking until estradiol gel has dried.
  • You and your healthcare provider should talk regularly (for example, every 3 to 6 months) about the dose you are using and whether you still need treatment with estradiol gel.


What are the possible side effects of estradiol gel?

Side effects are grouped by how serious they are and how often they happen when you are treated.



Serious, but less common side effects include:

  • heart attack
  • high levels of fat (triglycerides) in your blood
  • stroke
  • liver problems
  • blood clots
  • changes in your thyroid hormone levels
  • breast cancer
  • fluid retention
  • cancer of the lining of the uterus (womb)
  • cancer changes of endometriosis
  • cancer of the ovary
  • enlargement of benign tumors of the uterus (“fibroids”)
  • dementia
  • high or low blood calcium
  • worsening of swelling of face and tongue (angioedema) in women with a history of angioedema
  • gallbladder disease
  • visual abnormalities
  • high blood pressure
  • changes in laboratory test results such as bleeding time and high blood sugar


Call your healthcare provider right away if you get any of the following warning signs or any other unusual symptoms that concern you:

  • new breast lumps
  • unusual vaginal bleeding
  • changes in vision or speech
  • sudden new severe headaches
  • severe pains in your chest or legs with or without shortness of breath, weakness and fatigue
  • swelling of face, lips, and tongue with or without red, itchy bumps


Common side effects of estradiol gel include:

  • hair loss
  • headache
  • fluid retention
  • breast tenderness or pain
  • vaginal yeast infection
  • stomach or abdominal cramps, bloating
  • nausea and vomiting


These are not all of the possible side effects of estradiol gel. For more information, ask your healthcare provider or pharmacist. Tell your healthcare provider if you have any side effects that bother you or do not go away. You may report side effects to FDA at 1-800-FDA-1088 or to ANI Pharmaceuticals, Inc. at 1-855-204-1431.



What can I do to lower my chances of a serious side effect with estradiol gel?

  • Talk with your healthcare provider regularly about whether you should continue using estradiol gel.
  • If you have a uterus, talk with your healthcare provider about whether the addition of a progestogen is right for you.
  • In general, the addition of a progestogen is recommended for women with a uterus to reduce the chance of getting cancer of the uterus (womb).
  • See your healthcare provider right away if you get vaginal bleeding while using estradiol gel.
  • Have a pelvic exam, breast exam and mammogram (breast x-ray) every year unless your healthcare provider tells you something else.
  • If members of your family have had breast cancer or if you have ever had breast lumps or an abnormal mammogram (breast x-ray), you may need to have breast exams more often.
  •  If you have high blood pressure, high cholesterol (fat in the blood), diabetes, are overweight, or if you use tobacco, you may have higher chances of getting heart disease.


Ask your healthcare provider for ways to lower your chances of getting heart disease.



How should I store estradiol gel?

  • Store estradiol gel at room temperature between 68°F to 77°F (20°C to 25°C).

Keep estradiol gel and all medicines out of the reach of children.



General information about the safe and effective use of estradiol gel

Medicines are sometimes prescribed for conditions that are not mentioned in Patient Information leaflets. Do not use estradiol gel for conditions for which it was not prescribed. Do not give estradiol gel to other people, even if they have the same symptoms you have. It may harm them.



You can ask your healthcare provider or pharmacist for information about estradiol gel that is written for health professionals.



For more information, call ANI Pharmaceuticals, Inc. at 1-855-204-1431.



What are the ingredients in estradiol gel?

Active ingredient: estradiol

Inactive ingredients: purified water, alcohol (46%), triethanolamine, and carbomer 974P.

5.12 Fluid Retention

Estrogens may cause some degree of fluid retention. Monitor any woman with a condition(s) that might predispose her to fluid retention, such as cardiac or renal impairment., Discontinue estrogen-alone therapy, including estradiol gel, with evidence of medically concerning fluid retention.

Instructions for Use

Estradiol ( ES-tra-DYE-ol)

Gel, 0.06%



Read this Instructions for Use before you start using estradiol gel and each time you get a refill. There may be new information. This information does not take the place of talking to your healthcare provider about your menopausal symptoms or your treatment.



You will need the following supplies to use estradiol gel: See Figure A.

Figure A



Estradiol gel is supplied in a metered-dose pump that delivers a measured amount of estradiol to your skin each time you press the pump.



Estradiol gel is available in a 50-gram canister.



Step 1. Priming the estradiol gel pump

  • Before using the estradiol gel pump for the first time, the pump must be primed. The estradiol gel canister contains enough medicine to allow you to prime the pump before you use it for the first time.
  • Remove the large cap from the canister. See Figure B.

Figure B



  • Slowly push the pump all the way down 5 times. Do not use any estradiol gel that came out while priming. Wash it down the sink to avoid accidental exposure to others.
  • After priming, the estradiol gel pump is ready to use. One complete press of the pump will give the same amount of estradiol gel each time.


 Step 2. Applying estradiol gel to your skin

  • Do not allow other people to apply estradiol gel to your skin for you.
  • Apply estradiol gel to clean, dry, unbroken skin.
  • Apply estradiol gel after your bath or shower. If you go swimming, try to leave as much time as possible between using your estradiol gel and going swimming.
  • Remove the small cover on the tip of the pump if you have not done so already. See Figure C. 

Figure C

 

  •  To use estradiol gel, press the estradiol gel pump firmly and fully 1 time into the palm of your hand.   See Figure D.

 

Figure D

 

  • Using your hand, apply estradiol gel to the skin of your other arm. See Figure E. Spread the gel as thinly as possible over the entire area on the inside and outside of your arm from your wrist to your shoulder. See Figure F.

                                           

Figure E                                                                                 Figure F

 



  • Do not apply estradiol gel directly to your breasts or in and around your vagina.
  • Do not massage or rub in estradiol gel. Allow the gel to dry for 5 minutes before you get dressed.


 Step 3. After you use estradiol gel

  • Place the small cap back on the tip of the pump. Place the large cap over the top of the canister.
  • Wash your hands right away with soap and water after applying estradiol gel. This will lower the chance that the medicine will spread from your hands to other people.
  • Do not allow others to make contact with the area of skin where you applied the gel for at least 1 hour after application.
  • Estradiol gel is flammable until dry. Let estradiol gel dry before smoking or going near an open flame.


 Step 4. Throwing away used estradiol gel canisters

  • The estradiol gel 50-gram canister contains enough medicine to allow for priming your canister with up to 5 full pump depressions and delivery of 30 daily doses. After you have first primed your canister and used 30 doses, you will need to throw away the canister. Do not use the canister for more than 30 doses even though the canister may not be completely empty. You may not get the correct dose.


This Patient Information and Instructions for Use has been approved by the U.S. Food and Drug Administration.



Trademarks are the property of their respective owners.



Distributed by:

ANI Pharmaceuticals, Inc.

Baudette, MN 56623



LB4567-02

Revised: 02/2024

1 Indications & Usage (1 INDICATIONS & USAGE)

Estradiol gel0.06% is an estrogen indicated for:

  • Treatment of moderate to severe vasomotor symptoms due to menopause (1.1)
  • Treatment of moderate to severe symptoms of vulvar and vaginal atrophy due to menopause (1.2)
12.2 Pharmacodynamics

Generally, a serum estrogen concentration does not predict an individual woman’s therapeutic response to estradiol gel nor her risk for adverse outcomes. Likewise, exposure comparisons across different estrogen products to infer efficacy or safety for the individual woman may not be valid.

12.3 Pharmacokinetics

Absorption

Estradiol is transported across intact skin and into the systemic circulation by a passive diffusion process. The rate of diffusion across the stratum corneum is the rate-limiting factor. When estradiol gel is applied to the skin, it dries in 2 to 5 minutes.



Estradiol gel 1.25 g (containing 0.75 mg of estradiol) was administered to 24 postmenopausal women once daily on the posterior surface of 1 arm from wrist to shoulder for 14 consecutive days. Mean maximal serum concentrations of estradiol and estrone on Day 14 were 46.4 pg/mL and 64.2 pg/mL, respectively. The time-averaged serum estradiol and estrone concentrations over the 24-hour dose interval after administration of 1.25 g estradiol gel on Day 14 are 28.3 pg/mL and 48.6 pg/mL, respectively. Mean concentration-time profiles for unadjusted estradiol and estrone on Day 14 are shown in Figure 1.



FIGURE 1

Mean Serum Concentration-time Profiles for Unadjusted Estradiol and Estrone After Multiple-dose Applications of 1.25 g Estradiol Gel 0.06% for 14 Days

The serum concentrations of estradiol following 2.5 g estradiol gel applications (1.25 g on each arm from wrist to shoulder) appeared to reach steady state after the third daily application.



Distribution

The distribution of exogenous estrogens is similar to that of endogenous estrogens. Estrogens are widely distributed in the body and are generally found in higher concentrations in the sex hormone target organs. Estrogens circulate in blood largely bound to SHBG and albumin.



Metabolism

Exogenous estrogens are metabolized in the same manner as endogenous estrogens. Circulating estrogens exist in a dynamic equilibrium of metabolic interconversions. These transformations take place mainly in the liver. Estradiol is converted reversibly to estrone, and both can be converted to estriol, which is a major urinary metabolite. Estrogens also undergo enterohepatic recirculation via sulfate and glucuronide conjugation in the liver, biliary secretion of conjugates into the intestine, and hydrolysis in the intestine followed by reabsorption. In postmenopausal women, a significant proportion of the circulating estrogens exist as sulfate conjugates, especially estrone sulfate, which serves as a circulating reservoir for the formation of more active estrogens. Although the clinical significance has not been determined, estradiol from estradiol gel does not go through first-pass liver metabolism.



Excretion

Estradiol, estrone, and estriol are excreted in the urine along with glucuronide and sulfate conjugates.



The apparent terminal exponential half-life for estradiol was about 36 hours following administration of 1.25 g estradiol gel.



Effect of Application Site Washing

The effect of application site washing on the serum concentrations of estradiol was determined in 24 healthy postmenopausal women who applied 1.25 g of estradiol gel once daily for 14 consecutive days. Site washing 1 hour after the application resulted in a 22 percent mean decrease in average 24-hour serum concentrations of estradiol.



Potential for Estradiol Transfer

The effect of estradiol transfer was evaluated in 24 healthy postmenopausal women who topically applied 1.25 g of estradiol gel once daily on the posterior surface of 1 arm from wrist to shoulder for a period of 14 consecutive days. On each day, 1 hour after gel application, a cohort of 24 non-dosed healthy postmenopausal females directly contacted the dosed cohort at the site of gel application for 15 minutes. No change in endogenous mean serum concentrations of estradiol was observed in the non-dosed cohort after direct skin-to-skin contact with subjects administered estradiol gel.



Effect of Moisturizer Lotion/Sunscreen on Estradiol Absorption

The effect of sunscreen and moisturizer lotion on estradiol absorption from 0.06% estradiol topical gel was evaluated in a randomized, open-label, three-period crossover study in 42 healthy postmenopausal women. The study results showed that repeated daily application of sunscreen for 7 days at 1 hour after the administration of 0.06% estradiol topical gel decreased the mean AUC0-24h and Cmax of estradiol by 16%. Repeated daily application of moisturizer lotion for 7 days at 1 hour after the administration of 0.06% estradiol topical gel increased the mean AUC0-24h and Cmax of estradiol by 38% and 73%, respectively.



The effect of daily application of sunscreen/moisturizer lotion on estradiol absorption, when sunscreen/moisturizer lotion is applied before administration of 0.06% estradiol topical gel, was not studied.

5.19 Laboratory Tests

Serum follicle stimulating hormone (FSH) and estradiol levels have not been shown to be useful in the management of postmenopausal women with moderate to severe vasomotor symptoms and moderate to severe symptoms of vulvar and vaginal atrophy.

5.3 Probable Dementia

In the WHI Memory Study (WHIMS) estrogen-alone ancillary study, a population of 2,947 hysterectomized women 65 to 79 years of age was randomized to daily CE (0.625 mg)-alone or placebo.



After an average follow-up of 5.2 years, 28 women in the estrogen-alone group and 19 women in the placebo group were diagnosed with probable dementia. The relative risk of probable dementia for CE-alone versus placebo was 1.49 (95 percent CI, 0.83-2.66). The absolute risk of probable dementia for CE-alone versus placebo was 37 versus 25 cases per 10,000 women-years8 [see Use in Specific Populations (8.5), and Clinical Studies (14.4)].



In the WHIMS estrogen plus progestin ancillary study, a population of 4,532 postmenopausal women 65 to 79 years of age was randomized to daily CE (0.625 mg) plus MPA (2.5 mg) or placebo. After an average follow-up of 4 years, 40 women in the CE plus MPA group and 21 women in the placebo group were diagnosed with probable dementia. The relative risk of probable dementia for CE plus MPA versus placebo was 2.05 (95 percent CI, 1.21-3.48). The absolute risk of probable dementia for CE plus MPA versus placebo was 45 versus 22 cases per 10,000 women-years8 [see Use in Specific Populations (8.5), and Clinical Studies (14.4)].



When data from the two populations in the WHIMS estrogen-alone and estrogen plus progestin ancillary studies were pooled as planned in the WHIMS protocol, the reported overall relative risk for probable dementia was 1.76 (95 percent CI, 1.19-2.60). Since both ancillary studies were conducted in women 65 to 79 years of age, it is unknown whether these findings apply to younger postmenopausal women [see Use in Specific Populations (8.5), and Clinical Studies (14.4)].

5.2 Malignant Neoplasms

Endometrial Cancer

An increased risk of endometrial cancer has been reported with the use of unopposed estrogen therapy in women with a uterus. The reported endometrial cancer risk among unopposed estrogen users is about 2-to 12-fold greater than in nonusers, and appears dependent on duration of treatment and on estrogen dose. Most studies show no significant increased risk associated with use of estrogens for less than 1 year. The greatest risk appears to be associated with prolonged use, with increased risks of 15-to 24-fold for 5 to 10 years or more, and this risk has been shown to persist for at least 8 to 15 years after estrogen therapy is discontinued.



Clinical surveillance of all women using estrogen-alone or estrogen plus progestin therapy is important. Perform adequate diagnostic measures, including directed or random endometrial sampling when indicated, to rule out malignancy in postmenopausal women with undiagnosed persistent or recurring abnormal genital bleeding with unknown etiology.



There is no evidence that the use of natural estrogens results in a different endometrial risk profile than synthetic estrogens of equivalent estrogen dose. Adding a progestogen to estrogen therapy in postmenopausal women has been shown to reduce the risk of endometrial hyperplasia, which may be a precursor to endometrial cancer.



Breast Cancer

The WHI substudy of daily CE (0.625 mg)-alone provided information about breast cancer in estrogen-alone users. In the WHI estrogen-alone substudy, after an average follow-up of 7.1 years, daily CE (0.625 mg)-alone was not associated with an increased risk of invasive breast cancer [relative risk (RR) 0.8]) 5 compared to placebo [see Clinical Studies (14.3)].



After a mean follow-up of 5.6 years, the WHI substudy of daily CE (0.625 mg) plus MPA (2.5 mg) reported an increased risk of invasive breast cancer in women who took daily CE plus MPA compared to placebo.



In this substudy, prior use of estrogen-alone or estrogen plus progestin therapy was reported by 26 percent of the women. The relative risk of invasive breast cancer was 1.24, and the absolute risk was 41 versus 33 cases per 10,000 women-years, for CE plus MPA compared with placebo [see Clinical Studies (14.3)]. Among women who reported prior use of hormone therapy, the relative risk of invasive breast cancer was 1.86, and the absolute risk was 46 versus 25 cases per 10,000 women-years, for CE plus MPA compared with placebo. Among women who reported no prior use of hormone therapy, the relative risk of invasive breast cancer was 1.09, and the absolute risk was 40 versus 36 cases per 10,000 women-years for CE plus MPA compared with placebo. In the same substudy, invasive breast cancers were larger, were more likely to be node positive, and were diagnosed at a more advanced stage in the CE (0.625 mg) plus MPA (2.5 mg) group compared with the placebo group. Metastatic disease was rare, with no apparent difference between the two groups. Other prognostic factors, such as histologic subtype, grade and hormone receptor status did not differ between the groups6 [see Clinical Studies (14.3)].



Consistent with the WHI clinical trials, observational studies have also reported an increased risk of breast cancer with estrogen plus progestin therapy, and a smaller increased risk for estrogen-alone therapy, after several years of use. One large meta-analysis of prospective cohort studies reported increased risks that were dependent upon duration of use and could last up to >10 years after discontinuation of estrogen plus progestin therapy and estrogen-alone therapy. Extension of the WHI trials also demonstrated increased breast cancer risk associated with estrogen plus progestin therapy. Observational studies also suggest that the risk of breast cancer was greater, and became apparent earlier, with estrogen plus progestin therapy as compared to estrogen-alone therapy. These studies have not generally found significant variation in the risk of breast cancer among different estrogen plus progestin combinations, doses, or routes of administration.



The use of estrogen-alone and estrogen plus progestin therapy has been reported to result in an increase in abnormal mammograms requiring further evaluation.



Have all women receive yearly breast examinations by a healthcare provider and perform monthly breast self-examinations. In addition, base the scheduling of mammography examinations on patient age, risk factors, and prior mammogram results.



Ovarian Cancer

The CE plus MPA substudy of WHI reported that estrogen plus progestin increased the risk of ovarian cancer. After an average follow-up of 5.6 years, the relative risk for CE plus MPA versus placebo was 1.58 (95 percent CI, 0.77-3.24), but it was not statistically significant. The absolute risk for CE plus MPA versus placebo was 4 versus 3 cases per 10,000 women-years.7



A meta-analysis of 17 prospective and 35 retrospective epidemiology studies found that women who used hormonal therapy for menopausal symptoms had an increased risk for ovarian cancer. The primary analysis, using case-control comparisons, included 12,110 cancer cases from the 17 prospective studies. The relative risks associated with current use of hormonal therapy was 1.41 (95% confidence interval [CI] 1.32 to 1.50); there was no difference in the risk estimates by duration of the exposure (less than 5 years [median of 3 years] vs. greater than 5 years [median 10 years] of use before the cancer diagnosis). The relative risk associated with combined current and recent use (discontinued use within 5 years before cancer diagnosis) was 1.37 (95% CI 1.27 – 1.48), and the elevated risk was significant for both estrogen-alone and estrogen plus progestin products. The exact duration of hormone therapy use associated with an increased risk of ovarian cancer, however, is unknown.

5.4 Gallbladder Disease

A 2-to 4-fold increase in the risk of gallbladder disease requiring surgery in postmenopausal women receiving estrogens has been reported.

12.1 Mechanism of Action

Endogenous estrogens are largely responsible for the development and maintenance of the female reproductive system and secondary sexual characteristics. Although circulating estrogens exist in a dynamic equilibrium of metabolic interconversions, estradiol is the principal intracellular human estrogen and is substantially more potent than its metabolites, estrone and estriol, at the receptor level.



The primary source of estrogen in normally cycling adult women is the ovarian follicle, which secretes 70 to 500 mcg of estradiol daily, depending on the phase of the menstrual cycle. After menopause, most endogenous estrogen is produced by conversion of androstenedione, secreted by the adrenal cortex, to estrone in the peripheral tissues. Thus, estrone and the sulfate-conjugated form, estrone sulfate, are the most abundant circulating estrogens in postmenopausal women.



Estrogens act through binding to nuclear receptors in estrogen-responsive tissues. To date, 2 estrogen receptors have been identified. These vary in proportion from tissue to tissue.



Circulating estrogens modulate the pituitary secretion of the gonadotropins, luteinizing hormone (LH) and FSH through a negative feedback mechanism. Estrogens act to reduce the elevated levels of these hormones seen in postmenopausal women.

5.6 Visual Abnormalities

Retinal vascular thrombosis has been reported in women receiving estrogens. Discontinue estradiol gelpending examination if there is sudden partial or complete loss of vision or a sudden onset of proptosis, diplopia, or migraine. Permanently discontinue estrogens, including estradiol gel if examination reveals papilledema or retinal vascular lesions.

16.2 Storage and Handling

Keep this and all medication out of the reach of children.

Store at 20° to 25°C (68° to 77°F); excursions permitted to 15° to 30°C (59° to 86°F) [See USP Controlled Room Temperature].

2 Dosage & Administration (2 DOSAGE & ADMINISTRATION)

Generally, when estrogen is prescribed for a postmenopausal woman with a uterus, consider addition of a progestogen to reduce the risk of endometrial cancer. Generally, a woman without a uterus does not need to use a progestogen in addition to her estrogen therapy. In some cases, however, hysterectomized women with a history of endometriosis may need a progestogen [see Warnings and Precautions (5.2, 5.14)].



Use estrogen-alone, or in combination with a progestogen at the lowest effective dose and for the shortest duration consistent with treatment goals and risks for the individual woman. Reevaluate postmenopausal women periodically as clinically appropriate to determine if treatment is still necessary.

3 Dosage Forms & Strengths (3 DOSAGE FORMS & STRENGTHS)

Estradiol gel0.06% is an estradiol transdermal gel. One pump depression delivers 1.25 g of gel that contains 0.75 mg estradiol.

5 Warnings and Precautions (5 WARNINGS AND PRECAUTIONS)
  • Estrogens increase the risk of gallbladder disease (5.4)
  • Discontinue estrogen if severe hypercalcemia, loss of vision, severe hypertriglyceridemia or cholestatic jaundice occurs (5.5, 5.6, 5.9, 5.10)
  • Monitor thyroid function in women on thyroid replacement therapy (5.11, 5.20)
5.15 Hereditary Angioedema

Exogenous estrogens may exacerbate symptoms of angioedema in women with hereditary angioedema. Consider whether the benefits of estrogen therapy, including estradiol gel, outweigh the risks in such women.

5.8 Elevated Blood Pressure

In a small number of case reports, substantial increases in blood pressure have been attributed to idiosyncratic reactions to estrogens. In a large, randomized, placebo-controlled clinical trial, a generalized effect of estrogens on blood pressure was not seen.

5.1 Cardiovascular Disorders

Increased risks of stroke and DVT are reported with estrogen-alone therapy. Increased risks of PE, DVT, stroke and MI are reported with estrogen plus progestin therapy. Immediately discontinue estrogen with or without progestogen if any of these occur or are suspected.



Manage appropriately any risk factors for arterial vascular disease (for example, hypertension, diabetes mellitus, tobacco use, hypercholesterolemia, and obesity) and/or venous thromboembolism (VTE) (for example, personal history or family history of VTE, obesity, and systemic lupus erythematosus).



Stroke

The WHI estrogen-alone substudy reported a statistically significant increased risk of stroke in women 50 to 79 years of age receiving daily CE (0.625 mg)-alone compared to women in the same age group receiving placebo (45 versus 33 per 10,000 women-years, respectively). The increase in risk was demonstrated in year 1 and persisted [see Clinical Studies (14.3)]. Immediately discontinue estrogen-alone therapy if a stroke occurs or is suspected.



Subgroup analysis of women 50 to 59 years of age suggest no increased risk of stroke for those women receiving CE (0.625 mg)-alone versus those receiving placebo (18 versus 21 per 10,000 women-years).1



The WHI estrogen plus progestin substudy reported a statistically significant increased risk of stroke in women 50 to 79 years of age receiving daily CE (0.625 mg) plus MPA (2.5 mg) compared to women in the same age group receiving placebo (33 versus 25 per 10,000 women-years) [see Clinical Studies (14.3)]. The increase in risk was demonstrated after the first year and persisted.1 Immediately discontinue estrogen with or without progestogen therapy if a stroke occurs or is suspected.



Coronary Heart Disease

The WHI estrogen-alone substudy reported no overall effect on coronary heart disease (CHD) events (defined as nonfatal MI, silent MI, or CHD death) in women receiving estrogen-alone compared to placebo2 [see Clinical Studies (14.3)].



Subgroup analyses of women 50 to 59 years of age, who were less than 10 years since menopause, suggest a reduction (not statistically significant) of CHD events in those women receiving CE (0.625 mg)-alone compared to placebo) (8 versus 16 per 10,000 women-years).1



The WHI estrogen plus progestin substudy reported an increased risk (not statistically significant) of CHD events in those women receiving daily CE (0.625 mg) plus MPA (2.5 mg) compared to women receiving placebo (41 versus 34 per 10,000 women-years).1 An increase in relative risk was demonstrated in year 1, and a trend toward decreasing relative risk was reported in years 2 through 5 [see Clinical Studies (14.3)].



In postmenopausal women with documented heart disease (n = 2,763, average 66.7 years of age), in a controlled clinical trial of secondary prevention of cardiovascular disease (Heart and Estrogen/Progestin Replacement Study; HERS), treatment with daily CE (0.625 mg) plus MPA (2.5 mg) demonstrated no cardiovascular benefit. During an average follow-up of 4.1 years, treatment with CE plus MPA did not reduce the overall rate of CHD events in postmenopausal women with established CHD. There were more CHD events in the CE plus MPA-treated group than in the placebo group in year 1, but not during the subsequent years. Two thousand, three hundred twenty-one (2,321) women from the original HERS trial agreed to participate in an open-label extension of the original HERS, HERS II. Average follow-up in HERS II was an additional 2.7 years, for a total of 6.8 years overall. Rates of CHD events were comparable among women in the CE plus MPA group and the placebo group in HERS, HERS II, and overall.



Venous Thromboembolism

In the WHI estrogen-alone substudy, the risk of VTE (DVT and PE) was increased for women receiving daily CE (0.625 mg)-alone compared to placebo (30 versus 22 per 10,000 women-years), although only the increased risk of DVT reached statistical significance (23 versus 15 per 10,000 women-years). The increase in VTE risk was demonstrated during the first 2 years3 [see Clinical Studies (14.3)]. Immediately discontinue estrogen-alone therapy if a VTE occurs or is suspected.



The WHI estrogen plus progestin substudy reported a statistically significant 2-fold greater rate of VTE in women receiving daily CE (0.625 mg) plus MPA (2.5 mg) compared to women receiving placebo (35 versus 17 per 10,000 women-years). Statistically significant increases in risk for both DVT (26 versus 13 per 10,000 women-years) and PE (18 versus 8 per 10,000 women-years) were also demonstrated. The increase in VTE risk was demonstrated during the first year and persisted4 [see Clinical Studies (14.3)]. Immediately discontinue estrogen plus progestogen therapy if a VTE occurs or is suspected.



If feasible, discontinue estrogens at least 4 to 6 weeks before any surgery of the type associated with an increased risk of thromboembolism, or during periods of prolonged immobilization.

6.2 Postmarketing Experience

The following adverse reactions have been identified during post-approval use of estradiol gel. Because these reactions are reported voluntarily from a population of uncertain size, it is not always possible to reliably estimate their frequency or establish a causal relationship to drug exposure.



Genitourinary system

Endometrial cancer



Breast

Pain; tenderness; breast cancer



Cardiovascular

Deep vein thrombosis; myocardial ischemia; phlebitis



Gastrointestinal

Nausea; abdominal distension; diarrhea; stomach discomfort



Skin

Alopecia; rash; pruritus; application site: dryness, pain, discoloration, reaction, rash



Eyes

Retinal vein occlusion



Central nervous system

Headache; dizziness; insomnia; hypoesthesia; meningioma; aphasia; bradyphrenia; paresthesia

 

Miscellaneous

Drug ineffective; hot flush; arthralgia; night sweats; drug effect decreased; pain in extremity; fatigue; weight increased; pain; hypersensitivity; dyspnea; malignant mesenchymoma; angioedema; hepatitis acute; face edema; accidental exposure; myoclonus; gait disturbance; flushing

6.1 Clinical Trials Experience

Because clinical trials are conducted under widely varying conditions, adverse reaction rates observed in the clinical trials of a drug cannot be directly compared to rates in the clinical trials of another drug and may not reflect the rates observed in clinical practice.



Estradiol gelwas studied in 2 well-controlled, 12-week clinical trials. Incidence of adverse drug reactions ≥5 percent for 1.25 g estradiol gel0.06% and placebo is given in Table 1.



TABLE 1

Incidence of Adverse Drug Reactions ≥5 Percent Occurrence in the Estradiol Gel Treatment Group for the Intent-to-Treat Safety Population in 2 Well-controlled Clinical Studies (Expressed as Percent of Treatment Group)

Body System/ Adverse Drug Reactions

Estradiol gel 0.06%

1.25 g /day

(n=168)

Placebo

(n=73)

BODY AS A WHOLE

Headache

9.5

2.7

DIGESTIVE SYSTEM

Flatulence

5.4

4.1

UROGENITAL SYSTEM

Breast pain

10.7

8.2



In 2 controlled clinical trials, application site reactions were reported by 0.6 percent of patients who received 1.25 g of estradiol gel. Other skin reactions, such as pruritus and rash, were also noted.

17 Patient Counseling Information (17 PATIENT COUNSELING INFORMATION)

Advise women to read the FDA-approved patient labeling (Patient Information and Instructions for Use)



Vaginal Bleeding

Inform postmenopausal women to report any vaginal bleeding to their healthcare provider as soon as possible [see Warnings and Precautions (5.2)].



Possible Serious Adverse Reactions with Estrogen-Alone Therapy

Inform postmenopausal women of the possible serious adverse reactions of estrogen-alone therapy including Cardiovascular Disorders, Malignant Neoplasms, and Probable Dementia [see Warnings and Precautions (5.1, 5.2, 5.3).



Possible Common Adverse Reactions with Estrogen-Alone Therapy

Inform postmenopausal women of possible less serious but common adverse reactions of estrogen-alone therapy such as headache, breast pain and tenderness, nausea, and vomiting.



Trademarks are the property of their respective owners.



Distributed by:

ANI Pharmaceuticals, Inc.

Baudette, MN 56623



LB4567-02

Revised: 02/2024

5.14 Exacerbation of Endometriosis

A few cases of malignant transformation of residual endometrial implants have been reported in women treated post-hysterectomy with estrogen-alone therapy. Consider the addition of progestogen therapy for women known to have residual endometriosis post-hysterectomy.

5.11 Exacerbation of Hypothyroidism

Estrogen administration leads to increased thyroid-binding globulin (TBG) levels. Women with normal thyroid function can compensate for the increased TBG by making more thyroid hormone, thus maintaining free T4 and T3 serum concentrations in the normal range. Women dependent on thyroid hormone replacement therapy who are also receiving estrogens may require increased doses of their thyroid replacement therapy. Monitor thyroid function in these women during treatment with estradiol gelto maintain their free thyroid hormone levels in an acceptable range.

5.18 Moisturizer Lotion Application

Use of moisturizing lotion one hour after application of estradiol gelsignificantly increased estradiol absorption [see Clinical Pharmacology (12.3)].

5.16 Exacerbation of Other Conditions

Estrogen therapy, including estradiol gel, may cause an exacerbation of asthma, diabetes mellitus, epilepsy, migraine, porphyria, systemic lupus erythematosus, and hepatic hemangiomas. Consider whether the benefits of estrogen therapy outweigh the risks in women with such conditions.

Package Label.principal Display Panel (PACKAGE LABEL.PRINCIPAL DISPLAY PANEL)

Estradiol gel, 0.06%

NDC: 70954-646-10                           50-gram pump

Carton label



Container label



5.20 Drug Laboratory Test Interactions (5.20 Drug-Laboratory Test Interactions)
  • Accelerated prothrombin time, partial thromboplastin time, and platelet aggregation time; increased platelet count; increased factors II, VII antigen, VIII antigen, VIII coagulant activity, IX, X, XII, VII-X complex, II-VII-X complex, and beta-thromboglobulin; decreased levels of antifactor Xa and antithrombin III, decreased antithrombin III activity; increased levels of fibrinogen and fibrinogen activity; increased plasminogen antigen and activity.
  • Increased thyroid-binding globulin (TBG) levels leading to increased circulating total thyroid hormone levels, as measured by protein-bound iodine (PBI), T4 levels (by column or by radioimmunoassay) or T3 levels by radioimmunoassay. T3 resin uptake is decreased, reflecting the elevated TBG. Free T4 and T3 concentrations are unaltered. Women on thyroid-replacement therapy may require higher doses of thyroid hormone.
  • Other binding proteins may be elevated in serum (for example, corticosteroid-binding globulin [CBG], sex hormone-binding globulin [SHBG]), leading to increased total circulating corticosteroids and sex steroids, respectively. Free hormone concentrations, such as testosterone and estradiol, may be decreased. Other plasma proteins may be increased (angiotensinogen/renin substrate, alpha-1-antitrypsin, ceruloplasmin).
  • Increased plasma high-density lipoprotein (HDL) and HDL2 cholesterol subfraction concentrations, reduced low-density lipoprotein (LDL) cholesterol concentration, increased triglyceride levels.
  • Impaired glucose tolerance.
14.3 Women’s Health Initiative Studies

The WHI enrolled approximately 27,000 predominantly healthy postmenopausal women in two substudies to assess the risks and benefits of daily oral CE (0.625 mg)-alone or in combination with MPA (2.5 mg) compared to placebo in the prevention of certain chronic diseases. The primary endpoint was the incidence of CHD (defined as nonfatal MI, silent MI, and CHD death), with invasive breast cancer as the primary adverse outcome. A “global index” included the earliest occurrence of CHD, invasive breast cancer, stroke, PE, endometrial cancer (only in the CE plus MPA substudy), colorectal cancer, hip fracture, or death due to other causes. These substudies did not evaluate the effects of CE-alone or CE plus MPA on menopausal symptoms.



WHI Estrogen-Alone Substudy

The WHI estrogen-alone substudy was stopped early because an increased risk of stroke was observed, and it was deemed that no further information would be obtained regarding the risks and benefits of estrogen-alone in predetermined primary endpoints. Results of the estrogen-alone substudy, which included 10,739 women (average 63 years of age, range 50-79; 75.3 percent White, 15.1 percent Black, 6.1 percent Hispanic, 3.6 percent Other), after an average follow-up of 7.1 years are presented in Table 3.



TABLE 3

Relative and Absolute Risk Seen in the Estrogen-Alone Substudy of WHIa

Event

Relative Risk CE vs. Placebo

(95% nCIb)

CE

n = 5,310

Placebo

n = 5,429

 

 

Absolute Risk per 10,000

Women-Years

CHD eventsc

0.95 (0.78-1.16)

54

57

Non-fatal MIc

0.91 (0.73-1.14)

40

43

CHD deathc

1.01 (0.71-1.43)

16

16

All strokesc

1.33 (1.05-1.68)

45

33

Ischemic strokec

1.55 (1.19-2.01)

38

25

Deep vein thrombosisc,d

1.47 (1.06-2.06)

23

15

Pulmonary embolismc

1.37 (0.90-2.07)

14

10

Invasive breast cancerc

0.80 (0.62-1.04)

28

34

Colorectal cancerc

1.08 (0.75-1.55)

17

16

Hip fracturec

0.65 (0.45-0.94)

12

19

Vertebral fracturesc,d

0.64 (0.44-0.93)

11

18

Lower arm/wrist fracturesc,d

0.58 (0.47-0.72)

35

59

Total fracturesc,d

0.71 (0.64-0.80)

144

197

Death due to other causese,f

1.08 (0.88-1.32)

53

50

Overall mortalityc,d

1.04 (0.88-1.22)

79

75

Global indexg

1.02 (0.92-1.13)

206

201

a Adapted from numerous WHI publications. WHI publications can be viewed at www.nhlbi.nih.gov/whi.

b Nominal confidence intervals unadjusted for multiple looks and multiple comparisons.

c Results are based on centrally adjudicated data for an average follow-up of 7.1 years.

d Not included in “global index”.

e Results are based on an average follow-up of 6.8 years.

f All deaths, except from breast or colorectal cancer, definite or probable CHD, PE or cerebrovascular disease.

g A subset of the events was combined in a "global index," defined as the earliest occurrence of CHD events, invasive breast cancer, stroke, pulmonary embolism, endometrial cancer, colorectal cancer, hip fracture, or death due to other causes.



For those outcomes included in the WHI “global index” that reached statistical significance, the absolute excess risk per 10,000 women-years in the group treated with CE-alone was 12 more strokes, while the absolute risk reduction per 10,000 women-years was 7 fewer hip fractures.9 The absolute excess risk of events included in the "global index" was a non-significant 5 events per 10,000 women-years. There was no difference between the groups in terms of all-cause mortality.



No overall difference for primary CHD events (nonfatal MI, silent MI, and CHD death) and invasive breast cancer in women receiving CE-alone compared with placebo was reported in final centrally adjudicated results from the estrogen-alone substudy, after an average follow-up of 7.1 years. See Table 3.



Centrally adjudicated results for stroke events from the estrogen-alone substudy, after an average follow-up of 7.1 years, reported no significant difference in the distribution of stroke subtype or severity, including fatal strokes, in women receiving CE-alone compared to placebo. Estrogen-alone therapy increased the risk of ischemic stroke, and this excess risk was present in all subgroups of women examined.10



Timing of initiation of estrogen-alone therapy relative to the start of menopause may affect the overall risk benefit profile. The WHI estrogen-alone substudy stratified by age showed in women 50 to 59 years of age a non-significant trend toward reduced risk for CHD [hazard ratio (HR) 0.63 (95 percent CI, 0.36-1.09)] and overall mortality [HR 0.71 (95 percent CI, 0.46-1.11)].

 

WHI Estrogen Plus Progestin Substudy

The WHI estrogen plus progestin substudy was stopped early. According to the predefined stopping rule, after an average follow-up of 5.6 years of treatment, the increased risk of invasive breast cancer and cardiovascular events exceeded the specified benefits included in the “global index.” The absolute excess risk of events included in the “global index” was 19 per 10,000 women-years.



For those outcomes included in the WHI “global index” that reached statistical significance after 5.6 years of follow-up, the absolute excess risks per 10,000 women-years in the group treated with CE plus MPA were 7 more CHD events, 8 more strokes, 10 more PEs, and 8 more invasive breast cancers, while the absolute risk reduction per 10,000 women-years were 6 fewer colorectal cancers and 5 fewer hip fractures.



Results of the CE plus MPA substudy, which included 16,608 women (average 63 years of age, range 50-79; 83.9 percent White, 6.8 percent Black, 5.4 percent Hispanic, 3.9 percent Other), are presented in Table 4. These results reflect centrally adjudicated data after an average follow-up of 5.6 years.



TABLE 4

Relative and Absolute Risk Seen in the Estrogen Plus Progestin Substudy of WHI at an Average of 5.6 Yearsa,b

Event

Relative Risk

CE/MPA vs. Placebo

 

(95% nCIc)

CE/MPA

n = 8,506

Placebo

n = 8,102

Absolute Risk per 10,000

Women-Years

CHD events

Non-fatal MI

CHD death

1.23 (0.99-1.53)

1.28 (1.00-1.63)

1.10 (0.70-1.75)

41

31

8

34

25

8

All strokes

Ischemic stroke

1.31 (1.03-1.68)

1.44 (1.09-1.90)

33

26

25

18

Deep vein thrombosisd

1.95 (1.43-2.67)

26

13

Pulmonary embolism

2.13 (1.45-3.11)

18

8

Invasive breast cancere

1.24 (1.01-1.54)

41

33

Colorectal cancer

0.61 (0.42-0.87)

10

16

Endometrial cancerd

0.81 (0.48-1.36)

6

7

Cervical cancerd

1.44 (0.47-4.42)

2

1

Hip fracture

0.67 (0.47-0.96)

11

16

Vertebral fracturesd

0.65 (0.46-0.92)

11

17

Lower arm/wrist fracturesd

0.71 (0.59-0.85)

44

62

Total fractures

0.76 (0.69-0.83)

152

199

Overall mortalityf

1.00 (0.83-1.19)

52

52

Global Indexg

1.13 (1.02-1.25)

184

165

a Adapted from numerous WHI publications. WHI publications can be viewed at www.nhlbi.nih.gov/whi.

b Results are based on centrally adjudicated data.

c Nominal confidence intervals unadjusted for multiple looks and multiple comparisons.

d Not included in “global index”.

e Includes metastatic and non-metastatic breast cancer, with the exception of in-situ breast cancer.

f All deaths, except from breast or colorectal cancer, definite or probable CHD, PE or cerebrovascular disease.

g A subset of the events was combined in a "global index," defined as the earliest occurrence of CHD events, invasive breast cancer, stroke, pulmonary embolism, endometrial cancer, colorectal cancer, hip fracture, or death due to other causes.



Timing of initiation of estrogen plus progestin therapy relative to the start of menopause may affect the overall risk benefit profile. The WHI estrogen plus progestin substudy stratified by age showed in women 50 to 59 years of age a non-significant trend toward reduced risk for overall mortality [HR 0.69 (95 percent CI, 0.441.07)].

5.9 Exacerbation of Hypertriglyceridemia

In women with pre-existing hypertriglyceridemia, estrogen therapy may be associated with elevations of plasma triglycerides leading to pancreatitis. Discontinue estradiol gelif pancreatitis occurs.

5.17 Alcohol Based Products Are Flammable (5.17 Alcohol-based Products are Flammable)

Avoid fire, flame, or smoking until estradiol gelhas dried.

14.4 Women's Health Initiative Memory Study

The WHIMS estrogen-alone ancillary study of WHI enrolled 2,947 predominantly healthy hysterectomized postmenopausal women 65 years of age and older (45 percent were 65 to 69 years of age, 36 percent were 70 to 74 years of age, and 19 percent were 75 years of age and older) to evaluate the effects of daily CE (0.625 mg)-alone on the incidence of probable dementia (primary outcome) compared to placebo.



After an average follow-up of 5.2 years, the relative risk of probable dementia for CE-alone versus placebo was 1.49 (95 percent CI, 0.83-2.66). The absolute risk of probable dementia for CE-alone versus placebo was 37 versus 25 cases per 10,000 women-years. Probable dementia as defined in the study included Alzheimer’s disease (AD), vascular dementia (VaD) and mixed type (having features of both AD and VaD). The most common classification of probable dementia in the treatment group and the placebo group was AD. Since the ancillary study was conducted in women 65 to 79 years of age, it is unknown whether these findings apply to younger postmenopausal women [see Warnings and Precautions (5.3), and Use in Specific Populations (8.5)].



The WHIMS estrogen plus progestin ancillary study enrolled 4,532 predominantly healthy postmenopausal women 65 years of age and older (47 percent were 65 to 69 years of age, 35 percent were 70 to 74 years of age, and 18 percent were 75 years of age and older) to evaluate the effects of daily CE (0.625 mg) plus MPA (2.5 mg) on the incidence of probable dementia (primary outcome) compared to placebo.



After an average follow-up of 4 years, the relative risk of probable dementia for CE plus MPA versus placebo was 2.05 (95 percent CI, 1.21-3.48). The absolute risk of probable dementia for CE plus MPA versus placebo was 45 versus 22 cases per 10,000 women-years. Probable dementia as defined in the study included AD, VaD and mixed type (having features of both AD and VaD). The most common classification of probable dementia in the treatment group and the placebo group was AD. Since the ancillary study was conducted in women 65 to 79 years of age, it is unknown whether these findings apply to younger postmenopausal women [see Warnings and Precautions (5.3), and Use in Specific Populations (8.5)].



When data from the two populations were pooled as planned in the WHIMS protocol, the reported overall relative risk for probable dementia was 1.76 (95 percent CI, 1.19-2.60). Differences between groups became apparent in the first year of treatment. It is unknown whether these findings apply to younger postmenopausal women [see Warnings and Precautions (5.3), and Use in Specific Populations (8.5)].

14.1 Effects On Vasomotor Symptoms in Postmenopausal Women (14.1 Effects on Vasomotor Symptoms in Postmenopausal Women)

In a placebo-controlled study, 145 postmenopausal women between 29 and 67 years of age (81.4 percent were White) were randomly assigned to receive 1.25 g of estradiol gel (containing 0.75 mg of estradiol) or placebo gel for 12 weeks. Efficacy was assessed at 4 and 12 weeks of treatment. A statistically significant reduction in the frequency and severity of moderate to severe hot flushes was shown at Weeks 4 and 12. (See Table 2)



TABLE 2

Mean Change from Baseline in the Number and Severity of Hot Flushes per Day, ITT Population, LOCF

 

Number of Hot Flushes/Day

(Moderate to Severe)

Severity Score/Day

(Mild, Moderate, Severe)

Placebo

n=73

Estradiol Gel 0.06%

1.25 g

n=72

Placebo

n=73

Estradiol Gel 0.06%

1.25 g

n=72

Baseline

Mean (SD)

11.01 (5.66)

10.33 (3.07)

2.30 (0.24)

2.36 (0.29)

Week 4*

Mean (SD)

Mean change from baseline (SD)

Diff. vs placebo

P value

 

5.95 (5.17)

-5.06 (4.91)

 

4.43 (4.13)

-5.91 (3.68)

0.85

0.019

 

2.00 (0.63)

-0.31 (0.62)

 

1.73 (0.73)

-0.63 (0.71)

0.32

0.005

Week 12*

Mean (SD)

Mean change from baseline (SD)

Diff. vs placebo

P value

 

5.17 (6.52)

-5.84 (4.52)

 

2.79 (3.70)

-7.55 (3.52)

1.71

0.043

 

1.76 (0.84)

-0.54 (0.84)

 

1.33 (0.97)

-1.03 (0.94)

0.49

<0.001

* Primary timepoint.

P values from Elteren’s nonparametric test.

‡ Statistically significantly different from placebo.

13.1 Carcinogenesis & Mutagenesis & Impairment of Fertility (13.1 Carcinogenesis & Mutagenesis & Impairment Of Fertility)

Long-term, continuous administration of natural and synthetic estrogens in certain animal species increases the frequency of carcinomas of the breast, uterus, cervix, vagina, testis, and liver.

14.2 Effects On Vulvar and Vaginal Atrophy in Postmenopausal Women (14.2 Effects on Vulvar and Vaginal Atrophy in Postmenopausal Women)

Results of the vaginal wall cytology showed a significant (P≤0.001) increase from baseline in the percent of superficial epithelial cells at Week 12 for 1.25 g estradiol gel. In contrast, no significant change from baseline was observed in the placebo group.

5.10 Hepatic Impairment And/or Past History of Cholestatic Jaundice (5.10 Hepatic Impairment and/or Past History of Cholestatic Jaundice)

Estrogens may be poorly metabolized in women with hepatic impairment. Exercise caution in any woman with a history of cholestatic jaundice associated with past estrogen use or with pregnancy. In the case of recurrence of cholestatic jaundice, discontinue estradiol gel.

5.7 Addition of A Progestogen When A Woman Has Not Had A Hysterectomy (5.7 Addition of a Progestogen When a Woman Has Not Had a Hysterectomy)

Studies of the addition of a progestogen for 10 or more days of a cycle of estrogen administration, or daily with estrogen in a continuous regimen, have reported a lowered incidence of endometrial hyperplasia than would be induced by estrogen treatment alone. Endometrial hyperplasia may be a precursor to endometrial cancer.



There are, however, possible risks that may be associated with the use of progestogens with estrogens compared to estrogen-alone regimens. These include an increased risk of breast cancer.

1.1 Treatment of Moderate to Severe Vasomotor Symptoms Due to Menopause (1.1 Treatment of Moderate to Severe Vasomotor Symptoms due to Menopause)

.

2.1 Treatment of Moderate to Severe Vasomotor Symptoms Due to Menopause (2.1 Treatment of Moderate to Severe Vasomotor Symptoms due to Menopause)

Estradiol gel0.06% 1.25 g per day is the single approved dose for the treatment of moderate to severe vasomotor symptoms due to menopause. The lowest effective dose of estradiol gel0.06% for this indication has not been determined.



Before using the canister for the first time, it must be primed. Remove the large canister cover, and fully depress the pump 5 times. Discard the unused gel by thoroughly rinsing down the sink or placing it in the household trash. After priming, the pump is ready to use.



The recommended area of application is the arm. Apply a thin layer over the entire arm on the inside and outside from wrist to shoulder.

1.2 Treatment of Moderate to Severe Symptoms of Vulvar and Vaginal Atrophy Due to Menopause (1.2 Treatment of Moderate to Severe Symptoms of Vulvar and Vaginal Atrophy due to Menopause)

Limitation of Use

When prescribing solely for the treatment of moderate to severe symptoms of vulvar and vaginal atrophy due to menopause, first consider the use of topical vaginal products.

2.2 Treatment of Moderate to Severe Symptoms of Vulvar and Vaginal Atrophy Due to Menopause (2.2 Treatment of Moderate to Severe Symptoms of Vulvar and Vaginal Atrophy due to Menopause)

Estradiol gel0.06% 1.25 g per day is the single approved dose for the treatment of moderate to severe symptoms of vulvar and vaginal atrophy due to menopause. The lowest effective dose of estradiol gel0.06% for this indication has not been determined. When prescribing solely for the treatment of moderate to severe symptoms of vulvar and vaginal atrophy, first consider the use of topical vaginal products.



Before using the canister for the first time, it must be primed. Remove the large canister cover, and fully depress the pump 5 times. Discard the unused gel by thoroughly rinsing down the sink or placing it in the household trash. After priming, the pump is ready to use.



The recommended area of application is the arm. Apply a thin layer over the entire arm on the inside and outside from wrist to shoulder.


Advanced Ingredient Data


Raw Label Data

All Sections (JSON)