these Highlights Do Not Include All The Information Needed To Use Xelpros Safely And Effectively. See Full Prescribing Information For Xelpros.

 these Highlights Do Not Include All The Information Needed To Use Xelpros Safely And Effectively. See Full Prescribing Information For Xelpros.
SPL v11
SPL
SPL Set ID 34ad5cf6-4df0-4104-bddd-4c7631133ded
Routes
OPHTHALMIC TOPICAL
Published
Effective Date 2022-06-10
Document Type 34391-3 HUMAN PRESCRIPTION DRUG LABEL

Drug Facts

Composition & Product

Active Ingredients
Latanoprost Acid (0.05 mg)
Inactive Ingredients
Potassium Sorbate Boric Acid Edetate Disodium Castor Oil Polyoxyl 15 Hydroxystearate Propylene Glycol Sodium Borate Hydrochloric Acid Sodium Hydroxide Water

Identifiers & Packaging

Marketing Status
NDA Active Since 2018-09-12

Description

XELPROS (latanoprost ophthalmic emulsion) 0.005% is indicated for the reduction of elevated intraocular pressure (IOP) in patients with open-angle glaucoma or ocular hypertension.

Indications and Usage

XELPROS (latanoprost ophthalmic emulsion) 0.005% is indicated for the reduction of elevated intraocular pressure (IOP) in patients with open-angle glaucoma or ocular hypertension.

Adverse Reactions

Most common ocular adverse reactions (incidence ≥5%) for XELPROS are: eye pain/stinging, ocular hyperemia, conjunctival hyperemia, eye discharge, growth of eyelashes, and eyelash thickening. ( 6.1 ) To report SUSPECTED ADVERSE REACTIONS, contact Sun Pharmaceutical Industries, Inc. at 1-800-818-4555 or FDA at 1-800-FDA-1088 or  www.fda.gov/medwatch.


Medication Information

Indications and Usage

XELPROS (latanoprost ophthalmic emulsion) 0.005% is indicated for the reduction of elevated intraocular pressure (IOP) in patients with open-angle glaucoma or ocular hypertension.

Adverse Reactions

Most common ocular adverse reactions (incidence ≥5%) for XELPROS are: eye pain/stinging, ocular hyperemia, conjunctival hyperemia, eye discharge, growth of eyelashes, and eyelash thickening. ( 6.1 ) To report SUSPECTED ADVERSE REACTIONS, contact Sun Pharmaceutical Industries, Inc. at 1-800-818-4555 or FDA at 1-800-FDA-1088 or  www.fda.gov/medwatch.

Description

XELPROS (latanoprost ophthalmic emulsion) 0.005% is indicated for the reduction of elevated intraocular pressure (IOP) in patients with open-angle glaucoma or ocular hypertension.

2

The recommended dosage is one drop in the affected eye(s) once daily in the evening. If one dose is missed, treatment should continue with the next dose as normal.

The dosage of XELPROS should not exceed once daily; the combined use of two or more prostaglandins, or prostaglandin analogs including XELPROS is not recommended. It has been shown that administration of these prostaglandin drug products more than once daily may decrease the intraocular pressure (IOP) lowering effect or cause paradoxical elevations in IOP.

Reduction of the intraocular pressure starts approximately 3 to 4 hours after administration and the maximum effect is reached after 8 to 12 hours.

XELPROS may be used concomitantly with other topical ophthalmic drug products to lower intraocular pressure. If more than one topical ophthalmic drug is being used, the drugs should be administered at least five (5) minutes apart. Contact lenses should be removed prior to the administration of XELPROS, and may be reinserted 15 minutes after administration.

3

Ophthalmic emulsion containing latanoprost 50 mcg/mL (0.005%).

4

Known hypersensitivity to latanoprost, or any other ingredients in this product.

5
  • Pigmentation: Pigmentation of the iris, periorbital tissue (eyelid) and eyelashes can occur. Iris pigmentation likely to be permanent. (5.1)
  • Eyelash Changes: Gradual change to eyelashes including increased length, thickness and number of lashes. Usually reversible. (5.2)
7

In vitro studies have shown that precipitation occurs when eye drops containing thimerosal are mixed with XELPROS. If such drugs are used, they should be administered at least five (5) minutes apart.

The combined use of two or more prostaglandins, or prostaglandin analogs including XELPROS is not recommended. It has been shown that administration of these prostaglandin drug products more than once daily may decrease the IOP lowering effect or cause paradoxical elevations in IOP.

10

Intravenous infusion of up to 3 mcg/kg of latanoprost in healthy volunteers produced mean plasma concentrations 200 times higher than during clinical treatment with XELPROS and no adverse reactions were observed. Intravenous dosages of 5.5 to 10 mcg/kg caused abdominal pain, dizziness, fatigue, hot flashes, nausea, and sweating.

If overdosage with XELPROS occurs, treatment should be symptomatic.

11

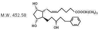
Latanoprost is a prostaglandin F analogue. Its chemical name is isopropyl-(Z)-7[(1R,2R,3R,5S)3,5-dihydroxy-2-[(3R)-3-hydroxy-5-phenylpentyl]cyclopentyl]-5-heptenoate. Its molecular formula is C26H40O5 and its chemical structure is:

Latanoprost is a pale yellow to yellow viscous oil that is very soluble in acetonitrile and freely soluble in acetone, ethanol, ethyl acetate, isopropanol, methanol, and octanol. It is practically insoluble in water.

XELPROS (latanoprost ophthalmic emulsion) 0.005% is a sterile, isotonic, buffered aqueous emulsion of latanoprost with a pH approximately 7.0 and an osmolality of approximately 375mOsmol/kg. Each mL of XELPROS contains 50 micrograms of latanoprost. Potassium sorbate 0.47% is added as a preservative. The inactive ingredients are: castor oil, sodium borate, boric acid, propylene glycol, edetate disodium, polyoxyl 15 hydroxystearate, sodium hydroxide, hydrochloric acid, and water for injection. One drop contains approximately 1.5 mcg of latanoprost.

16

XELPROS (latanoprost ophthalmic emulsion) is supplied as an off-white to pale yellow, translucent, isotonic, sterile, buffered emulsion of latanoprost 0.005% (50 mcg/mL). It is supplied as a 2.5 mL emulsion filled in a 5-mL clear low density polyethylene bottle with a clear low density polyethylene dropper tip, and a turquoise high density polyethylene pilfer-proof cap. Each mL contains 50 mcg of latanoprost.

 2.5 mL fill, 0.005% (50 mcg/mL)

 Package of 1 bottle NDC 47335-317-90

 Multi-Pack of 3 bottles NDC 47335-317-92

Storage: Protect from light. Store at 2°C to 25°C (36°F to 77°F). During shipment to the patient, the bottle may be maintained at temperatures up to 40°C (104°F) for a period not exceeding 8 days. After opening, XELPROS can be used until the expiration date stamped on bottle and then discarded.

5.1

Topical latanoprost ophthalmic products, including XELPROS, have been reported to cause changes to pigmented tissues. The most frequently reported changes have been increased pigmentation of the iris, periorbital tissue (eyelid) and eyelashes. Pigmentation is expected to increase as long as latanoprost is administered.

The pigmentation change is due to increased melanin content in the melanocytes rather than to an increase in the number of melanocytes. After discontinuation of latanoprost, pigmentation of the iris is likely to be permanent, while pigmentation of the periorbital tissue and eyelash changes have been reported to be reversible in some patients. Patients who receive treatment should be informed of the possibility of increased pigmentation. The long-term effects of increased pigmentation are not known.

Iris color change may not be noticeable for several months to years. Typically, the brown pigmentation around the pupil spreads concentrically towards the periphery of the iris and the entire iris or parts of the iris become more brownish. Neither nevi nor freckles of the iris appear to be affected by treatment. While treatment with XELPROS can be continued in patients who develop noticeably increased iris pigmentation, these patients should be examined regularly.

5.2

Latanoprost ophthalmic products, including XELPROS, may gradually change eyelashes and vellus hair in the treated eye; these changes include increased length, thickness, pigmentation, the number of lashes or hairs, and misdirected growth of eyelashes. Eyelash changes are usually reversible upon discontinuation of treatment.

5.3

XELPROS should be used with caution in patients with a history of intraocular inflammation (iritis/uveitis) and should generally not be used in patients with active intraocular inflammation because inflammation may be exacerbated.

5.4

Macular edema, including cystoid macular edema, has been reported during treatment with latanoprost ophthalmic products, including XELPROS. XELPROS should be used with caution in aphakic patients, in pseudophakic patients with a torn posterior lens capsule, or in patients with known risk factors for macular edema.

5.5

Reactivation of herpes simplex keratitis has been reported during treatment with latanoprost. XELPROS should be used with caution in patients with a history of herpetic keratitis. XELPROS should be avoided in cases of active herpes simplex keratitis because inflammation may be exacerbated.

5.6

There have been reports of bacterial keratitis associated with the use of multiple-dose containers of topical ophthalmic products. These containers had been inadvertently contaminated by patients who, in most cases, had a concurrent corneal disease or a disruption of the ocular epithelial surface.

5.7

Contact lenses should be removed prior to the administration of XELPROS and may be reinserted 15 minutes after administration.

8.1

Risk Summary

There are no adequate and well-controlled studies of XELPROS ophthalmic emulsion in pregnant women to inform drug-associated risks.

In animal reproduction studies, intravenous (IV) administration of latanoprost to pregnant rabbits and rats throughout the period of organogenesis produced malformations, embryofetal lethality and spontaneous abortion at clinically relevant doses [see Data ].

The background risk of major birth defects and miscarriage for the indicated population is unknown. However, the background risk in the U.S. general population of major birth defects is 2 to 4%, and of miscarriage is 15 to 20% of clinically recognized pregnancies.

Data

Animal Data

Embryofetal studies were conducted in pregnant rabbits administered latanoprost daily by IV injection on gestation days 6 through 18, to target the period of organogenesis. A no observed adverse effect level (NOAEL) was not established for rabbit developmental toxicity. Post-implantation loss due to late resorption was shown as doses ≥ 0.2 mcg/kg/day (equivalent to 1.3 times the maximum recommended human ophthalmic dose [RHOD], on a mg/m2 basis, assuming 100% absorption). Spina bifida and abortion occurred at 5 mcg/kg/day (equivalent to 32 times the maximum RHOD). Total litter loss due to early resorption was observed at doses ≥ 50 mcg/kg/day (324 times the maximum RHOD). Transient signs of maternal toxicity were observed after IV dosing (increased breathing, muscle tremors, slight motor incoordination) at 300 mcg/kg/day (1946 times the maximum RHOD). No maternal toxicity was observed at doses up to 50 mcg/kg/day.

Embryofetal studies were conducted in pregnant rats administered latanoprost daily by IV injection on gestation days 6 through 15, to target the period of organogenesis. A NOAEL for rat developmental toxicity was not established. Cleft palate was observed at 1 mcg/kg (equivalent to 3.2 times the maximum RHOD, on a mg/m2 basis, assuming 100% absorption). Brain porencephalic cyst(s) were observed ≥50 mcg/kg (162 times the maximum RHOD). Skeletal anomalies were observed at 250 mcg/kg (811 times the maximum RHOD). No maternal toxicity was detectable at 250 mcg/kg/day.

Prenatal and postnatal development was assessed in rats. Pregnant rats were administered latanoprost daily by IV injection from gestation day 15, through delivery, until weaning (lactation Day 21). No adverse effects on rat offspring were observed at doses up to 10 mcg/kg/day (32 times the maximum RHOD, on a mg/m2 basis, assuming 100% absorption). At 100 mcg/kg/day (324 times the maximum RHOD), maternal deaths and pup mortality occurred.

8.2

Risk Summary

It is not known whether this drug or its metabolites are excreted in human milk. Because many drugs are excreted in human milk, caution should be exercised when XELPROS is administered to a nursing woman.

The developmental and health benefits of breastfeeding should be considered along with the mother’s clinical need for XELPROS and any potential adverse effects on the breastfed child from XELPROS.

8.4

Safety and effectiveness in pediatric patients have not been established.

8.5

No overall differences in safety or effectiveness have been observed between elderly and younger patients.

12.1

Latanoprost is a prostaglandin F analogue that is believed to reduce the intraocular pressure (IOP) by increasing the outflow of aqueous humor. Studies in animals and man suggest that the main mechanism of action is increased uveoscleral outflow. Elevated IOP represents a major risk factor for glaucomatous field loss. The higher the level of IOP, the greater the likelihood of optic nerve damage and visual field loss.

12.2

Reduction of the IOP in man starts about 3-4 hours after administration and maximum effect is reached after 8-12 hours. IOP reduction is present for at least 24 hours.

12.3

Absorption

Latanoprost is absorbed through the cornea where the isopropyl ester prodrug is hydrolyzed to the acid form to become biologically active.

Distribution

The distribution volume in humans is 0.16 ± 0.02 L/kg. The acid of latanoprost can be measured in aqueous humor during the first 4 hours, and in plasma only during the first hour after local administration. Studies in man indicate that the peak concentration in the aqueous humor is reached about 2 hours after topical administration.

Elimination

Metabolism

Latanoprost, an isopropyl ester prodrug, is hydrolyzed by esterases in the cornea to the biologically active acid. The active acid of latanoprost reaching the systemic circulation is primarily metabolized by the liver to the 1,2-dinor and 1,2,3,4- tetranor metabolites via fatty acid β-oxidation.

Excretion

The elimination of the acid of latanoprost from human plasma is rapid (t1/2 =17 min) after both intravenous and topical administration. Systemic clearance is approximately 7 mL/min/kg. Following hepatic β-oxidation, the metabolites are mainly eliminated via the kidneys. Approximately 88% and 98% of the administered dose are recovered in the urine after topical and intravenous dosing, respectively.

13.1

Carcinogenesis

Latanoprost was not carcinogenic in either mice or rats when administered by oral gavage at doses of up to 170 mcg/kg/day (approximately 2,800 times the recommended maximum human dose) for up to 20 and 24 months, respectively.

Mutagenesis

Latanoprost was not mutagenic in bacteria, in mouse lymphoma, or in mouse micronucleus tests. Chromosome aberrations were observed in vitro with human lymphocytes. Additional in vitro and in vivo studies on unscheduled DNA synthesis in rats were negative.

Impairment of Fertility

Latanoprost has not been found to have any effect on male or female fertility in rat studies at IV doses up to 250 mcg/kg/day (811 times the maximum RHOD, on a mg/m2 basis, assuming 100% absorption).

14.1

In randomized, controlled clinical trials of patients with open angle glaucoma or ocular hypertension with mean baseline IOP of 23 - 26 mmHg, the mean IOP-lowering effect of XELPROS administered once daily in the evening was up to 6 - 8 mmHg.

6 Adverse Reactions

Most common ocular adverse reactions (incidence ≥5%) for XELPROS are: eye pain/stinging, ocular hyperemia, conjunctival hyperemia, eye discharge, growth of eyelashes, and eyelash thickening. ( 6.1 )



To report SUSPECTED ADVERSE REACTIONS, contact Sun Pharmaceutical Industries, Inc. at 1-800-818-4555 or FDA at 1-800-FDA-1088 or  www.fda.gov/medwatch.

1 Indications and Usage

XELPROS (latanoprost ophthalmic emulsion) 0.005% is indicated for the reduction of elevated intraocular pressure (IOP) in patients with open-angle glaucoma or ocular hypertension.

Principal Display Panel

6.2 Postmarketing Experience

The following reactions have been identified during postmarketing use of topical latanoprost products in clinical practice. Because they are reported voluntarily from a population of unknown size, it is not always possible to reliably estimate their frequency or establish a causal relationship to drug exposure.

The reactions, which have been chosen for inclusion due to either their seriousness, frequency of reporting, possible causal connection to latanoprost ophthalmic emulsion or a combination of these factors, include:

  • Nervous System Disorders: Dizziness, headache, toxic epidermal necrolysis
  • Eye Disorders: Corneal edema and erosions; intraocular inflammation (iritis/uveitis); macular edema, including cystoid macular edema; trichiasis; periorbital and lid changes resulting in deepening of the eyelid sulcus; iris cyst; eyelid skin darkening; localized skin reaction on the eyelids; conjunctivitis; pseudopemphigoid of the ocular conjunctiva
  • Respiratory, Thoracic and Mediastinal Disorders: Asthma and exacerbation of asthma; dyspnea
  • Gastrointestinal Disorders: Nausea; vomiting
  • Skin and Subcutaneous Tissue Disorders: Pruritus
  • Infections and Infestations: Herpes keratitis
  • Cardiac Disorders: Angina; palpitations; angina unstable
  • General Disorders and Administration Site Conditions: Chest pain
6.1 Clinical Trials Experience

Because clinical trials are conducted under widely varying conditions, adverse reaction rates observed in the clinical studies of a drug cannot be directly compared to rates in the clinical studies of another drug and may not reflect the rates observed in clinical practice.

Across multiple clinical trials conducted with XELPROS (latanoprost ophthalmic emulsion) 0.005%, the most frequently reported ocular adverse reactions were eye pain/stinging upon instillation and ocular hyperemia, reported in 55% and 41% of XELPROS treated patients, respectively (Table 1). Less than 1% of patients discontinued therapy because of intolerance to the eye pain/stinging or to the ocular hyperemia.

Table 1. Ocular Adverse Reactions Reported by ≥ 1% of Subjects Receiving XELPROS

System Organ Class/

Preferred Term

XELPROS

(N = 448)

Eye disorders

325 (73%)

Eye pain / stinging

246 (55%)

Ocular hyperemia

185 (41%)

Conjunctival hyperemia

65 (15%)

Eye discharge

53 (12%)

Growth of eyelashes

47 (11%)

Eyelash thickening

35 (8%)

Ocular Itching

20 (5%)

Visual acuity reduced

16 (4%)

Dry eye

13 (3%)

Erythema of eyelid

14 (3%)

Foreign body sensation in eyes

9 (2%)

Eyelid edema

7 (2%)

Punctate keratitis

6 (1%)

Eyelash discoloration

5 (1%)

Conjunctival edema

5 (1%)

17 Patient Counseling Information

Potential for Pigmentation

Advise patients about the potential for increased brown pigmentation of the iris, which may be permanent. Patients should also be informed about the possibility of eyelid skin darkening, which may be reversible after discontinuation of XELPROS [see Warnings and Precautions ( 5.1 )].

Potential for Eyelash Changes

Inform patients of the possibility of eyelash and vellus hair changes in the treated eye during treatment with latanoprost ophthalmic emulsion. These changes may result in a disparity between eyes in length, thickness, pigmentation, number of eyelashes or vellus hairs, and/or direction of eyelash growth. Eyelash changes are usually reversible upon discontinuation of treatment.

Handling the Container

Instruct patients to avoid allowing the tip of the dispensing container to contact the eye or surrounding structures because this could cause the tip to become contaminated by common bacteria known to cause ocular infections. Serious damage to the eye and subsequent loss of vision may result from using contaminated emulsions [see Warnings and Precautions ( 5.6 )].

When to Seek Physician Advice

Advise patients that if they develop an intercurrent ocular condition (e.g., trauma or infection) or have ocular surgery, or develop any ocular reactions, particularly conjunctivitis and eyelid reactions, they should immediately seek their physician’s advice concerning the continued use of the multiple-dose container.

Contact Lens Use

Advise patients that contact lenses should be removed prior to administration of the emulsion. Lenses may be reinserted 15 minutes following administration of XELPROS.

Use with Other Ophthalmic Drugs

Advise patients that if more than one topical ophthalmic drug is being used, the drugs should be administered at least five (5) minutes apart.

If a Dose is Missed

Advise patients that if one dose is missed, treatment should continue with the next dose as normal.

Manufactured by:

Sun Pharmaceutical Industries Limited

Halol-Baroda Highway,

Halol- 389-350, Gujarat, India.

Distributed by:

Sun Pharmaceutical Industries, Inc.

Cranbury, NJ 08512

5XXXXXX

ISS. 09/2024


Structured Label Content

2

The recommended dosage is one drop in the affected eye(s) once daily in the evening. If one dose is missed, treatment should continue with the next dose as normal.

The dosage of XELPROS should not exceed once daily; the combined use of two or more prostaglandins, or prostaglandin analogs including XELPROS is not recommended. It has been shown that administration of these prostaglandin drug products more than once daily may decrease the intraocular pressure (IOP) lowering effect or cause paradoxical elevations in IOP.

Reduction of the intraocular pressure starts approximately 3 to 4 hours after administration and the maximum effect is reached after 8 to 12 hours.

XELPROS may be used concomitantly with other topical ophthalmic drug products to lower intraocular pressure. If more than one topical ophthalmic drug is being used, the drugs should be administered at least five (5) minutes apart. Contact lenses should be removed prior to the administration of XELPROS, and may be reinserted 15 minutes after administration.

3

Ophthalmic emulsion containing latanoprost 50 mcg/mL (0.005%).

4

Known hypersensitivity to latanoprost, or any other ingredients in this product.

5
  • Pigmentation: Pigmentation of the iris, periorbital tissue (eyelid) and eyelashes can occur. Iris pigmentation likely to be permanent. (5.1)
  • Eyelash Changes: Gradual change to eyelashes including increased length, thickness and number of lashes. Usually reversible. (5.2)
7

In vitro studies have shown that precipitation occurs when eye drops containing thimerosal are mixed with XELPROS. If such drugs are used, they should be administered at least five (5) minutes apart.

The combined use of two or more prostaglandins, or prostaglandin analogs including XELPROS is not recommended. It has been shown that administration of these prostaglandin drug products more than once daily may decrease the IOP lowering effect or cause paradoxical elevations in IOP.

10

Intravenous infusion of up to 3 mcg/kg of latanoprost in healthy volunteers produced mean plasma concentrations 200 times higher than during clinical treatment with XELPROS and no adverse reactions were observed. Intravenous dosages of 5.5 to 10 mcg/kg caused abdominal pain, dizziness, fatigue, hot flashes, nausea, and sweating.

If overdosage with XELPROS occurs, treatment should be symptomatic.

11

Latanoprost is a prostaglandin F analogue. Its chemical name is isopropyl-(Z)-7[(1R,2R,3R,5S)3,5-dihydroxy-2-[(3R)-3-hydroxy-5-phenylpentyl]cyclopentyl]-5-heptenoate. Its molecular formula is C26H40O5 and its chemical structure is:

Latanoprost is a pale yellow to yellow viscous oil that is very soluble in acetonitrile and freely soluble in acetone, ethanol, ethyl acetate, isopropanol, methanol, and octanol. It is practically insoluble in water.

XELPROS (latanoprost ophthalmic emulsion) 0.005% is a sterile, isotonic, buffered aqueous emulsion of latanoprost with a pH approximately 7.0 and an osmolality of approximately 375mOsmol/kg. Each mL of XELPROS contains 50 micrograms of latanoprost. Potassium sorbate 0.47% is added as a preservative. The inactive ingredients are: castor oil, sodium borate, boric acid, propylene glycol, edetate disodium, polyoxyl 15 hydroxystearate, sodium hydroxide, hydrochloric acid, and water for injection. One drop contains approximately 1.5 mcg of latanoprost.

16

XELPROS (latanoprost ophthalmic emulsion) is supplied as an off-white to pale yellow, translucent, isotonic, sterile, buffered emulsion of latanoprost 0.005% (50 mcg/mL). It is supplied as a 2.5 mL emulsion filled in a 5-mL clear low density polyethylene bottle with a clear low density polyethylene dropper tip, and a turquoise high density polyethylene pilfer-proof cap. Each mL contains 50 mcg of latanoprost.

 2.5 mL fill, 0.005% (50 mcg/mL)

 Package of 1 bottle NDC 47335-317-90

 Multi-Pack of 3 bottles NDC 47335-317-92

Storage: Protect from light. Store at 2°C to 25°C (36°F to 77°F). During shipment to the patient, the bottle may be maintained at temperatures up to 40°C (104°F) for a period not exceeding 8 days. After opening, XELPROS can be used until the expiration date stamped on bottle and then discarded.

5.1

Topical latanoprost ophthalmic products, including XELPROS, have been reported to cause changes to pigmented tissues. The most frequently reported changes have been increased pigmentation of the iris, periorbital tissue (eyelid) and eyelashes. Pigmentation is expected to increase as long as latanoprost is administered.

The pigmentation change is due to increased melanin content in the melanocytes rather than to an increase in the number of melanocytes. After discontinuation of latanoprost, pigmentation of the iris is likely to be permanent, while pigmentation of the periorbital tissue and eyelash changes have been reported to be reversible in some patients. Patients who receive treatment should be informed of the possibility of increased pigmentation. The long-term effects of increased pigmentation are not known.

Iris color change may not be noticeable for several months to years. Typically, the brown pigmentation around the pupil spreads concentrically towards the periphery of the iris and the entire iris or parts of the iris become more brownish. Neither nevi nor freckles of the iris appear to be affected by treatment. While treatment with XELPROS can be continued in patients who develop noticeably increased iris pigmentation, these patients should be examined regularly.

5.2

Latanoprost ophthalmic products, including XELPROS, may gradually change eyelashes and vellus hair in the treated eye; these changes include increased length, thickness, pigmentation, the number of lashes or hairs, and misdirected growth of eyelashes. Eyelash changes are usually reversible upon discontinuation of treatment.

5.3

XELPROS should be used with caution in patients with a history of intraocular inflammation (iritis/uveitis) and should generally not be used in patients with active intraocular inflammation because inflammation may be exacerbated.

5.4

Macular edema, including cystoid macular edema, has been reported during treatment with latanoprost ophthalmic products, including XELPROS. XELPROS should be used with caution in aphakic patients, in pseudophakic patients with a torn posterior lens capsule, or in patients with known risk factors for macular edema.

5.5

Reactivation of herpes simplex keratitis has been reported during treatment with latanoprost. XELPROS should be used with caution in patients with a history of herpetic keratitis. XELPROS should be avoided in cases of active herpes simplex keratitis because inflammation may be exacerbated.

5.6

There have been reports of bacterial keratitis associated with the use of multiple-dose containers of topical ophthalmic products. These containers had been inadvertently contaminated by patients who, in most cases, had a concurrent corneal disease or a disruption of the ocular epithelial surface.

5.7

Contact lenses should be removed prior to the administration of XELPROS and may be reinserted 15 minutes after administration.

8.1

Risk Summary

There are no adequate and well-controlled studies of XELPROS ophthalmic emulsion in pregnant women to inform drug-associated risks.

In animal reproduction studies, intravenous (IV) administration of latanoprost to pregnant rabbits and rats throughout the period of organogenesis produced malformations, embryofetal lethality and spontaneous abortion at clinically relevant doses [see Data ].

The background risk of major birth defects and miscarriage for the indicated population is unknown. However, the background risk in the U.S. general population of major birth defects is 2 to 4%, and of miscarriage is 15 to 20% of clinically recognized pregnancies.

Data

Animal Data

Embryofetal studies were conducted in pregnant rabbits administered latanoprost daily by IV injection on gestation days 6 through 18, to target the period of organogenesis. A no observed adverse effect level (NOAEL) was not established for rabbit developmental toxicity. Post-implantation loss due to late resorption was shown as doses ≥ 0.2 mcg/kg/day (equivalent to 1.3 times the maximum recommended human ophthalmic dose [RHOD], on a mg/m2 basis, assuming 100% absorption). Spina bifida and abortion occurred at 5 mcg/kg/day (equivalent to 32 times the maximum RHOD). Total litter loss due to early resorption was observed at doses ≥ 50 mcg/kg/day (324 times the maximum RHOD). Transient signs of maternal toxicity were observed after IV dosing (increased breathing, muscle tremors, slight motor incoordination) at 300 mcg/kg/day (1946 times the maximum RHOD). No maternal toxicity was observed at doses up to 50 mcg/kg/day.

Embryofetal studies were conducted in pregnant rats administered latanoprost daily by IV injection on gestation days 6 through 15, to target the period of organogenesis. A NOAEL for rat developmental toxicity was not established. Cleft palate was observed at 1 mcg/kg (equivalent to 3.2 times the maximum RHOD, on a mg/m2 basis, assuming 100% absorption). Brain porencephalic cyst(s) were observed ≥50 mcg/kg (162 times the maximum RHOD). Skeletal anomalies were observed at 250 mcg/kg (811 times the maximum RHOD). No maternal toxicity was detectable at 250 mcg/kg/day.

Prenatal and postnatal development was assessed in rats. Pregnant rats were administered latanoprost daily by IV injection from gestation day 15, through delivery, until weaning (lactation Day 21). No adverse effects on rat offspring were observed at doses up to 10 mcg/kg/day (32 times the maximum RHOD, on a mg/m2 basis, assuming 100% absorption). At 100 mcg/kg/day (324 times the maximum RHOD), maternal deaths and pup mortality occurred.

8.2

Risk Summary

It is not known whether this drug or its metabolites are excreted in human milk. Because many drugs are excreted in human milk, caution should be exercised when XELPROS is administered to a nursing woman.

The developmental and health benefits of breastfeeding should be considered along with the mother’s clinical need for XELPROS and any potential adverse effects on the breastfed child from XELPROS.

8.4

Safety and effectiveness in pediatric patients have not been established.

8.5

No overall differences in safety or effectiveness have been observed between elderly and younger patients.

12.1

Latanoprost is a prostaglandin F analogue that is believed to reduce the intraocular pressure (IOP) by increasing the outflow of aqueous humor. Studies in animals and man suggest that the main mechanism of action is increased uveoscleral outflow. Elevated IOP represents a major risk factor for glaucomatous field loss. The higher the level of IOP, the greater the likelihood of optic nerve damage and visual field loss.

12.2

Reduction of the IOP in man starts about 3-4 hours after administration and maximum effect is reached after 8-12 hours. IOP reduction is present for at least 24 hours.

12.3

Absorption

Latanoprost is absorbed through the cornea where the isopropyl ester prodrug is hydrolyzed to the acid form to become biologically active.

Distribution

The distribution volume in humans is 0.16 ± 0.02 L/kg. The acid of latanoprost can be measured in aqueous humor during the first 4 hours, and in plasma only during the first hour after local administration. Studies in man indicate that the peak concentration in the aqueous humor is reached about 2 hours after topical administration.

Elimination

Metabolism

Latanoprost, an isopropyl ester prodrug, is hydrolyzed by esterases in the cornea to the biologically active acid. The active acid of latanoprost reaching the systemic circulation is primarily metabolized by the liver to the 1,2-dinor and 1,2,3,4- tetranor metabolites via fatty acid β-oxidation.

Excretion

The elimination of the acid of latanoprost from human plasma is rapid (t1/2 =17 min) after both intravenous and topical administration. Systemic clearance is approximately 7 mL/min/kg. Following hepatic β-oxidation, the metabolites are mainly eliminated via the kidneys. Approximately 88% and 98% of the administered dose are recovered in the urine after topical and intravenous dosing, respectively.

13.1

Carcinogenesis

Latanoprost was not carcinogenic in either mice or rats when administered by oral gavage at doses of up to 170 mcg/kg/day (approximately 2,800 times the recommended maximum human dose) for up to 20 and 24 months, respectively.

Mutagenesis

Latanoprost was not mutagenic in bacteria, in mouse lymphoma, or in mouse micronucleus tests. Chromosome aberrations were observed in vitro with human lymphocytes. Additional in vitro and in vivo studies on unscheduled DNA synthesis in rats were negative.

Impairment of Fertility

Latanoprost has not been found to have any effect on male or female fertility in rat studies at IV doses up to 250 mcg/kg/day (811 times the maximum RHOD, on a mg/m2 basis, assuming 100% absorption).

14.1

In randomized, controlled clinical trials of patients with open angle glaucoma or ocular hypertension with mean baseline IOP of 23 - 26 mmHg, the mean IOP-lowering effect of XELPROS administered once daily in the evening was up to 6 - 8 mmHg.

6 Adverse Reactions (6 ADVERSE REACTIONS)

Most common ocular adverse reactions (incidence ≥5%) for XELPROS are: eye pain/stinging, ocular hyperemia, conjunctival hyperemia, eye discharge, growth of eyelashes, and eyelash thickening. ( 6.1 )



To report SUSPECTED ADVERSE REACTIONS, contact Sun Pharmaceutical Industries, Inc. at 1-800-818-4555 or FDA at 1-800-FDA-1088 or  www.fda.gov/medwatch.

1 Indications and Usage (1 INDICATIONS AND USAGE)

XELPROS (latanoprost ophthalmic emulsion) 0.005% is indicated for the reduction of elevated intraocular pressure (IOP) in patients with open-angle glaucoma or ocular hypertension.

Principal Display Panel (PRINCIPAL DISPLAY PANEL)

6.2 Postmarketing Experience

The following reactions have been identified during postmarketing use of topical latanoprost products in clinical practice. Because they are reported voluntarily from a population of unknown size, it is not always possible to reliably estimate their frequency or establish a causal relationship to drug exposure.

The reactions, which have been chosen for inclusion due to either their seriousness, frequency of reporting, possible causal connection to latanoprost ophthalmic emulsion or a combination of these factors, include:

  • Nervous System Disorders: Dizziness, headache, toxic epidermal necrolysis
  • Eye Disorders: Corneal edema and erosions; intraocular inflammation (iritis/uveitis); macular edema, including cystoid macular edema; trichiasis; periorbital and lid changes resulting in deepening of the eyelid sulcus; iris cyst; eyelid skin darkening; localized skin reaction on the eyelids; conjunctivitis; pseudopemphigoid of the ocular conjunctiva
  • Respiratory, Thoracic and Mediastinal Disorders: Asthma and exacerbation of asthma; dyspnea
  • Gastrointestinal Disorders: Nausea; vomiting
  • Skin and Subcutaneous Tissue Disorders: Pruritus
  • Infections and Infestations: Herpes keratitis
  • Cardiac Disorders: Angina; palpitations; angina unstable
  • General Disorders and Administration Site Conditions: Chest pain
6.1 Clinical Trials Experience

Because clinical trials are conducted under widely varying conditions, adverse reaction rates observed in the clinical studies of a drug cannot be directly compared to rates in the clinical studies of another drug and may not reflect the rates observed in clinical practice.

Across multiple clinical trials conducted with XELPROS (latanoprost ophthalmic emulsion) 0.005%, the most frequently reported ocular adverse reactions were eye pain/stinging upon instillation and ocular hyperemia, reported in 55% and 41% of XELPROS treated patients, respectively (Table 1). Less than 1% of patients discontinued therapy because of intolerance to the eye pain/stinging or to the ocular hyperemia.

Table 1. Ocular Adverse Reactions Reported by ≥ 1% of Subjects Receiving XELPROS

System Organ Class/

Preferred Term

XELPROS

(N = 448)

Eye disorders

325 (73%)

Eye pain / stinging

246 (55%)

Ocular hyperemia

185 (41%)

Conjunctival hyperemia

65 (15%)

Eye discharge

53 (12%)

Growth of eyelashes

47 (11%)

Eyelash thickening

35 (8%)

Ocular Itching

20 (5%)

Visual acuity reduced

16 (4%)

Dry eye

13 (3%)

Erythema of eyelid

14 (3%)

Foreign body sensation in eyes

9 (2%)

Eyelid edema

7 (2%)

Punctate keratitis

6 (1%)

Eyelash discoloration

5 (1%)

Conjunctival edema

5 (1%)

17 Patient Counseling Information (17 PATIENT COUNSELING INFORMATION)

Potential for Pigmentation

Advise patients about the potential for increased brown pigmentation of the iris, which may be permanent. Patients should also be informed about the possibility of eyelid skin darkening, which may be reversible after discontinuation of XELPROS [see Warnings and Precautions ( 5.1 )].

Potential for Eyelash Changes

Inform patients of the possibility of eyelash and vellus hair changes in the treated eye during treatment with latanoprost ophthalmic emulsion. These changes may result in a disparity between eyes in length, thickness, pigmentation, number of eyelashes or vellus hairs, and/or direction of eyelash growth. Eyelash changes are usually reversible upon discontinuation of treatment.

Handling the Container

Instruct patients to avoid allowing the tip of the dispensing container to contact the eye or surrounding structures because this could cause the tip to become contaminated by common bacteria known to cause ocular infections. Serious damage to the eye and subsequent loss of vision may result from using contaminated emulsions [see Warnings and Precautions ( 5.6 )].

When to Seek Physician Advice

Advise patients that if they develop an intercurrent ocular condition (e.g., trauma or infection) or have ocular surgery, or develop any ocular reactions, particularly conjunctivitis and eyelid reactions, they should immediately seek their physician’s advice concerning the continued use of the multiple-dose container.

Contact Lens Use

Advise patients that contact lenses should be removed prior to administration of the emulsion. Lenses may be reinserted 15 minutes following administration of XELPROS.

Use with Other Ophthalmic Drugs

Advise patients that if more than one topical ophthalmic drug is being used, the drugs should be administered at least five (5) minutes apart.

If a Dose is Missed

Advise patients that if one dose is missed, treatment should continue with the next dose as normal.

Manufactured by:

Sun Pharmaceutical Industries Limited

Halol-Baroda Highway,

Halol- 389-350, Gujarat, India.

Distributed by:

Sun Pharmaceutical Industries, Inc.

Cranbury, NJ 08512

5XXXXXX

ISS. 09/2024


Advanced Ingredient Data


Raw Label Data

All Sections (JSON)