Viread

these highlights do not include all the information needed to use viread safely and effectively. see full prescribing information for viread.
SPL v31
SPL
SPL Set ID 33fd6418-fbdc-42ca-a50d-ce2a476a5418
Route
oral
Published
Effective Date 2019-04-29
Document Type 34391-3 HUMAN PRESCRIPTION DRUG LABEL

Drug Facts

Composition & Product

Active Ingredients
tenofovir anhydrous (150 mg)
Inactive Ingredients
starch, corn croscarmellose sodium lactose monohydrate microcrystalline cellulose magnesium stearate titanium dioxide triacetin hypromellose 2910 (15000 mpa.s) fd&c blue no. 2 aluminum oxide mannitol hydroxypropyl cellulose (1600000 wamw) silicon dioxide ethylcellulose, unspecified

Identifiers & Packaging

Pill Appearance
Imprint: GILEAD;4331;300 Shape: triangle Shape: round Shape: oval Shape: freeform Color: white Color: blue Size: 9 mm Size: 11 mm Size: 15 mm Size: 17 mm Score: 1
Marketing Status
nda active Since 2012-01-18

Indications and Usage

VIREAD is a nucleotide analog HIV-1 reverse transcriptase inhibitor and an HBV reverse transcriptase inhibitor and is indicated: in combination with other antiretroviral agents for the treatment of HIV-1 infection in adults and pediatric patients 2 years of age and older weighing at least 10 kg. ( 1.1 ) for the treatment of chronic hepatitis B in adults and pediatric patients 2 years and older weighing at least 10 kg. ( 1.2 )

Dosage and Administration

Testing: Prior to or when initiating VIREAD test for hepatitis B virus infection and HIV-1 infection. Prior to initiation and during use of VIREAD, on a clinically appropriate schedule, assess serum creatinine, estimated creatinine clearance, urine glucose, and urine protein in all patients. In patients with chronic kidney disease, also assess serum phosphorous. ( 2.1 ) Recommended tablet dosage in adults and pediatric patients weighing at least 35 kg: One VIREAD 300 mg tablet once daily taken orally without regard to food. ( 2.2 ) Recommended dosage in pediatric patients at least 2 years of age and adults: Tablets: For patients weighing at least 17 kg who can swallow an intact tablet, one VIREAD tablet (150 mg, 200 mg, 250 mg, or 300 mg based on body weight) once daily taken orally without regard to food. ( 2.2 ) Oral powder: For patients weighing at least 10 kg and unable to swallow a tablet, 8 mg per kg VIREAD oral powder (up to a maximum of 300 mg) taken once daily with food. ( 2.3 ) Recommended dosage in renally impaired adult patients: Creatinine clearance (CrCl) 30–49 mL/min: 300 mg every 48 hours. ( 2.4 ) CrCl 10–29 mL/min: 300 mg every 72 to 96 hours. ( 2.4 ) Hemodialysis: 300 mg every 7 days or after approximately 12 hours of dialysis. ( 2.4 )

Contraindications

None.

Warnings and Precautions

New onset or worsening renal impairment: Can include acute renal failure and Fanconi syndrome. Avoid administering VIREAD with concurrent or recent use of nephrotoxic drugs. ( 5.2 ) HIV testing: HIV antibody testing should be offered to all HBV-infected patients before initiating therapy with VIREAD. VIREAD should only be used as part of an appropriate antiretroviral combination regimen in HIV-infected patients with or without HBV coinfection. ( 5.3 ) Immune reconstitution syndrome: May necessitate further evaluation and treatment. ( 5.4 ) Decreases in bone mineral density (BMD): Consider assessment of BMD in patients with a history of pathologic fracture or other risk factors for osteoporosis or bone loss. ( 5.5 ) Lactic acidosis/severe hepatomegaly with steatosis: Discontinue treatment in patients who develop symptoms or laboratory findings suggestive of lactic acidosis or pronounced hepatotoxicity. ( 5.6 )

Adverse Reactions

The concomitant use of VIREAD and other drugs may result in known or potentially significant drug interactions, some of which may lead to possible clinically significant adverse reactions from greater exposures of concomitant drugs [see Drug Interactions (7.2) ]. See Table 12 for steps to prevent or manage these possible and known significant drug interactions, including dosing recommendations. Consider the potential for drug interactions prior to and during therapy with VIREAD; review concomitant medications during therapy with VIREAD; and monitor for adverse reactions associated with the concomitant drugs.

Drug Interactions

The concomitant use of VIREAD and other drugs may result in known or potentially significant drug interactions, some of which may lead to possible clinically significant adverse reactions from greater exposures of concomitant drugs [see Drug Interactions (7.2) ]. See Table 12 for steps to prevent or manage these possible and known significant drug interactions, including dosing recommendations. Consider the potential for drug interactions prior to and during therapy with VIREAD; review concomitant medications during therapy with VIREAD; and monitor for adverse reactions associated with the concomitant drugs.

How Supplied

VIREAD tablets are available in bottles containing 30 tablets with child-resistant closure as follows: 150 mg of TDF (equivalent to 123 mg of tenofovir disoproxil): tablets are triangle-shaped, white, film-coated, and debossed with "GSI" on one side and with "150" on the other side. (NDC 61958-0404-1) 200 mg of TDF (equivalent to 163 mg of tenofovir disoproxil): tablets are round-shaped, white, film-coated, and debossed with "GSI" on one side and with "200" on the other side. (NDC 61958-0405-1) 250 mg of TDF (equivalent to 204 mg of tenofovir disoproxil): tablets are capsule-shaped, white, film-coated and debossed with "GSI" on one side and with "250" on the other side. (NDC 61958-0406-1) 300 mg of TDF (equivalent to 245 mg of tenofovir disoproxil): tablets are almond-shaped, light-blue, film-coated, and debossed with "GILEAD" and "4331" on one side and with "300" on the other side. (NDC 61958-0401-1) VIREAD oral powder consists of white, coated granules containing 40 mg of TDF (equivalent to 33 mg of tenofovir disoproxil) per gram of powder and is available in multi-use bottles containing 60 grams of oral powder, closed with a child-resistant closure, and co-packaged with a dosing scoop. (NDC 61958-0403-1)

Storage and Handling

VIREAD tablets are available in bottles containing 30 tablets with child-resistant closure as follows: 150 mg of TDF (equivalent to 123 mg of tenofovir disoproxil): tablets are triangle-shaped, white, film-coated, and debossed with "GSI" on one side and with "150" on the other side. (NDC 61958-0404-1) 200 mg of TDF (equivalent to 163 mg of tenofovir disoproxil): tablets are round-shaped, white, film-coated, and debossed with "GSI" on one side and with "200" on the other side. (NDC 61958-0405-1) 250 mg of TDF (equivalent to 204 mg of tenofovir disoproxil): tablets are capsule-shaped, white, film-coated and debossed with "GSI" on one side and with "250" on the other side. (NDC 61958-0406-1) 300 mg of TDF (equivalent to 245 mg of tenofovir disoproxil): tablets are almond-shaped, light-blue, film-coated, and debossed with "GILEAD" and "4331" on one side and with "300" on the other side. (NDC 61958-0401-1) VIREAD oral powder consists of white, coated granules containing 40 mg of TDF (equivalent to 33 mg of tenofovir disoproxil) per gram of powder and is available in multi-use bottles containing 60 grams of oral powder, closed with a child-resistant closure, and co-packaged with a dosing scoop. (NDC 61958-0403-1)

Description

Severe acute exacerbations of hepatitis B virus (HBV) have been reported in HBV-infected patients who have discontinued anti-hepatitis B therapy, including VIREAD. Hepatic function should be monitored closely with both clinical and laboratory follow-up for at least several months in HBV-infected patients who discontinue anti-hepatitis B therapy, including VIREAD. If appropriate, resumption of anti-hepatitis B therapy may be warranted [see Warnings and Precautions (5.1) ] .


Medication Information

Warnings and Precautions

New onset or worsening renal impairment: Can include acute renal failure and Fanconi syndrome. Avoid administering VIREAD with concurrent or recent use of nephrotoxic drugs. ( 5.2 ) HIV testing: HIV antibody testing should be offered to all HBV-infected patients before initiating therapy with VIREAD. VIREAD should only be used as part of an appropriate antiretroviral combination regimen in HIV-infected patients with or without HBV coinfection. ( 5.3 ) Immune reconstitution syndrome: May necessitate further evaluation and treatment. ( 5.4 ) Decreases in bone mineral density (BMD): Consider assessment of BMD in patients with a history of pathologic fracture or other risk factors for osteoporosis or bone loss. ( 5.5 ) Lactic acidosis/severe hepatomegaly with steatosis: Discontinue treatment in patients who develop symptoms or laboratory findings suggestive of lactic acidosis or pronounced hepatotoxicity. ( 5.6 )

Indications and Usage

VIREAD is a nucleotide analog HIV-1 reverse transcriptase inhibitor and an HBV reverse transcriptase inhibitor and is indicated: in combination with other antiretroviral agents for the treatment of HIV-1 infection in adults and pediatric patients 2 years of age and older weighing at least 10 kg. ( 1.1 ) for the treatment of chronic hepatitis B in adults and pediatric patients 2 years and older weighing at least 10 kg. ( 1.2 )

Dosage and Administration

Testing: Prior to or when initiating VIREAD test for hepatitis B virus infection and HIV-1 infection. Prior to initiation and during use of VIREAD, on a clinically appropriate schedule, assess serum creatinine, estimated creatinine clearance, urine glucose, and urine protein in all patients. In patients with chronic kidney disease, also assess serum phosphorous. ( 2.1 ) Recommended tablet dosage in adults and pediatric patients weighing at least 35 kg: One VIREAD 300 mg tablet once daily taken orally without regard to food. ( 2.2 ) Recommended dosage in pediatric patients at least 2 years of age and adults: Tablets: For patients weighing at least 17 kg who can swallow an intact tablet, one VIREAD tablet (150 mg, 200 mg, 250 mg, or 300 mg based on body weight) once daily taken orally without regard to food. ( 2.2 ) Oral powder: For patients weighing at least 10 kg and unable to swallow a tablet, 8 mg per kg VIREAD oral powder (up to a maximum of 300 mg) taken once daily with food. ( 2.3 ) Recommended dosage in renally impaired adult patients: Creatinine clearance (CrCl) 30–49 mL/min: 300 mg every 48 hours. ( 2.4 ) CrCl 10–29 mL/min: 300 mg every 72 to 96 hours. ( 2.4 ) Hemodialysis: 300 mg every 7 days or after approximately 12 hours of dialysis. ( 2.4 )

Contraindications

None.

Adverse Reactions

The concomitant use of VIREAD and other drugs may result in known or potentially significant drug interactions, some of which may lead to possible clinically significant adverse reactions from greater exposures of concomitant drugs [see Drug Interactions (7.2) ]. See Table 12 for steps to prevent or manage these possible and known significant drug interactions, including dosing recommendations. Consider the potential for drug interactions prior to and during therapy with VIREAD; review concomitant medications during therapy with VIREAD; and monitor for adverse reactions associated with the concomitant drugs.

Drug Interactions

The concomitant use of VIREAD and other drugs may result in known or potentially significant drug interactions, some of which may lead to possible clinically significant adverse reactions from greater exposures of concomitant drugs [see Drug Interactions (7.2) ]. See Table 12 for steps to prevent or manage these possible and known significant drug interactions, including dosing recommendations. Consider the potential for drug interactions prior to and during therapy with VIREAD; review concomitant medications during therapy with VIREAD; and monitor for adverse reactions associated with the concomitant drugs.

Storage and Handling

VIREAD tablets are available in bottles containing 30 tablets with child-resistant closure as follows: 150 mg of TDF (equivalent to 123 mg of tenofovir disoproxil): tablets are triangle-shaped, white, film-coated, and debossed with "GSI" on one side and with "150" on the other side. (NDC 61958-0404-1) 200 mg of TDF (equivalent to 163 mg of tenofovir disoproxil): tablets are round-shaped, white, film-coated, and debossed with "GSI" on one side and with "200" on the other side. (NDC 61958-0405-1) 250 mg of TDF (equivalent to 204 mg of tenofovir disoproxil): tablets are capsule-shaped, white, film-coated and debossed with "GSI" on one side and with "250" on the other side. (NDC 61958-0406-1) 300 mg of TDF (equivalent to 245 mg of tenofovir disoproxil): tablets are almond-shaped, light-blue, film-coated, and debossed with "GILEAD" and "4331" on one side and with "300" on the other side. (NDC 61958-0401-1) VIREAD oral powder consists of white, coated granules containing 40 mg of TDF (equivalent to 33 mg of tenofovir disoproxil) per gram of powder and is available in multi-use bottles containing 60 grams of oral powder, closed with a child-resistant closure, and co-packaged with a dosing scoop. (NDC 61958-0403-1)

How Supplied

VIREAD tablets are available in bottles containing 30 tablets with child-resistant closure as follows: 150 mg of TDF (equivalent to 123 mg of tenofovir disoproxil): tablets are triangle-shaped, white, film-coated, and debossed with "GSI" on one side and with "150" on the other side. (NDC 61958-0404-1) 200 mg of TDF (equivalent to 163 mg of tenofovir disoproxil): tablets are round-shaped, white, film-coated, and debossed with "GSI" on one side and with "200" on the other side. (NDC 61958-0405-1) 250 mg of TDF (equivalent to 204 mg of tenofovir disoproxil): tablets are capsule-shaped, white, film-coated and debossed with "GSI" on one side and with "250" on the other side. (NDC 61958-0406-1) 300 mg of TDF (equivalent to 245 mg of tenofovir disoproxil): tablets are almond-shaped, light-blue, film-coated, and debossed with "GILEAD" and "4331" on one side and with "300" on the other side. (NDC 61958-0401-1) VIREAD oral powder consists of white, coated granules containing 40 mg of TDF (equivalent to 33 mg of tenofovir disoproxil) per gram of powder and is available in multi-use bottles containing 60 grams of oral powder, closed with a child-resistant closure, and co-packaged with a dosing scoop. (NDC 61958-0403-1)

Description

Severe acute exacerbations of hepatitis B virus (HBV) have been reported in HBV-infected patients who have discontinued anti-hepatitis B therapy, including VIREAD. Hepatic function should be monitored closely with both clinical and laboratory follow-up for at least several months in HBV-infected patients who discontinue anti-hepatitis B therapy, including VIREAD. If appropriate, resumption of anti-hepatitis B therapy may be warranted [see Warnings and Precautions (5.1) ] .

Section 42229-5

Bone Mineral Density

In clinical trials in HIV-1 infected adults, VIREAD was associated with slightly greater decreases in bone mineral density (BMD) and increases in biochemical markers of bone metabolism, suggesting increased bone turnover relative to comparators [see Adverse Reactions (6.1)]. Serum parathyroid hormone levels and 1,25 Vitamin D levels were also higher in subjects receiving VIREAD.

Clinical trials evaluating VIREAD in pediatric subjects were conducted. Under normal circumstances, BMD increases rapidly in pediatric patients. In HIV-1 infected subjects 2 years to less than 18 years of age, bone effects were similar to those observed in adult subjects and suggest increased bone turnover. Total body BMD gain was less in the VIREAD-treated HIV-1 infected pediatric subjects as compared to the control groups. Similar trends were observed in chronic HBV-infected pediatric subjects 2 years to less than 18 years of age. In all pediatric trials, normal skeletal growth (height) was not affected for the duration of the clinical trials [see Adverse Reactions (6.1)].

The effects of VIREAD-associated changes in BMD and biochemical markers on long-term bone health and future fracture risk in adults and pediatric subjects 2 years and older are unknown. The long-term effect of lower spine and total body BMD on skeletal growth in pediatric patients, and in particular, the effects of long-duration exposure in younger children is unknown.

Although the effect of supplementation with calcium and vitamin D was not studied, such supplementation may be beneficial. Assessment of BMD should be considered for adult and pediatric patients who have a history of pathologic bone fracture or other risk factors for osteoporosis or bone loss. If bone abnormalities are suspected, appropriate consultation should be obtained.

Section 42230-3
This Patient Information has been approved by the U.S. Food and Drug Administration. Revised: April 2019

Patient Information

VIREAD® (VEER-ee-ad)

(tenofovir disoproxil fumarate)

tablets

VIREAD® (VEER-ee-ad)

(tenofovir disoproxil fumarate)

oral powder

Read this Patient Information before you start taking VIREAD and each time you get a refill. There may be new information. This information does not take the place of talking with your healthcare provider about your medical condition or treatment.

What is the most important information I should know about VIREAD?

VIREAD can cause serious side effects, including:

  • Worsening of Hepatitis B virus infection (HBV). Your healthcare provider will test you for HBV and HIV before starting treatment with VIREAD. If you have HBV infection and take VIREAD your HBV may get worse (flare-up) if you stop taking VIREAD. A "flare-up" is when your HBV infection suddenly returns in a worse way than before.
    • Do not run out of VIREAD. Refill your prescription or talk to your healthcare provider before your VIREAD is all gone.
    • Do not stop taking VIREAD without first talking to your healthcare provider.
    • If you stop taking VIREAD, your healthcare provider will need to check your health often and do blood tests regularly to check your HBV infection. Tell your healthcare provider about any new or unusual symptoms you may have after you stop taking VIREAD.

For more information about side effects, see "What are the possible side effects of VIREAD?"

What is VIREAD?

VIREAD is a prescription medicine that is used to:

  • treat HIV-1 infection when used with other anti-HIV-1 medicines in adults and children 2 years of age and older who weigh at least 22 pounds (10 kg). HIV is the virus that causes AIDS (Acquired Immune Deficiency Syndrome).
  • treat HBV infection in adults and children 2 years of age and older who weigh at least 22 pounds (10 kg). It is not known if VIREAD is safe and effective in children under 2 years of age.

What should I tell my healthcare provider before taking VIREAD?

Before you take VIREAD, tell your healthcare provider about all of your medical conditions, including if you:

  • have liver problems, including HBV infection
  • have kidney problems or receive kidney dialysis treatment
  • have bone problems
  • have HIV infection
  • are pregnant or plan to become pregnant. Tell your healthcare provider if you become pregnant during treatment with VIREAD.

    Pregnancy Registry. There is a pregnancy registry for women who take VIREAD during pregnancy. The purpose of this registry is to collect information about the health of you and your baby. Talk to your healthcare provider about how you can take part in this registry.
  • are breastfeeding or plan to breastfeed. VIREAD can pass to your baby in your breast milk.
    • Do not breastfeed if you have HIV-1 because of the risk of passing HIV-1 to your baby.
    • If you take VIREAD for treatment of HBV infection, talk with your healthcare provider about the best way to feed your baby.

Tell your healthcare provider about all the medicines you take, including prescription and non-prescription medicines, vitamins, and herbal supplements.

Some medicines may interact with VIREAD. Keep a list of your medicines and show it to your healthcare provider and pharmacist when you get a new medicine.

  • You can ask your healthcare provider or pharmacist for a list of medicines that interact with VIREAD.
  • Do not start a new medicine without telling your healthcare provider. Your healthcare provider can tell you if it is safe to take VIREAD with other medicines.

How should I take VIREAD?

  • Take VIREAD exactly as your healthcare provider tells you to take it.
  • Do not change your dose or stop taking VIREAD without first talking with your healthcare provider. Stay under a healthcare provider's care when taking VIREAD.
  • Take VIREAD at the same time every day.
  • For adults and children 2 years of age and older who weigh at least 77 pounds (35 kg), the usual dose of VIREAD is one 300 mg tablet each day.
  • For children 2 years of age and older who weigh between 37 pounds (17 kg) and 77 pounds (35 kg), your healthcare provider will prescribe the right dose of VIREAD tablets based on your child's body weight.
  • Adults and children 2 years of age and older who weigh at least 22 pounds (10 kg) and who are unable to swallow VIREAD tablets whole, may take VIREAD powder. Your healthcare provider will prescribe the right dose of VIREAD powder based on your or your child's body weight.
  • Tell your healthcare provider if you or your child has problems with swallowing tablets.
  • If your healthcare provider prescribes VIREAD powder for you or your child, see the "Instructions for Use " that comes with your VIREAD powder for information about the right way to measure and take VIREAD powder.
  • Take VIREAD tablets by mouth, with or without food.
  • Do not miss a dose of VIREAD. Missing a dose lowers the amount of medicine in your blood. Refill your VIREAD prescription before you run out of medicine.
  • If you take too much VIREAD, call your local poison control center or go right away to the nearest hospital emergency room.

What are the possible side effects of VIREAD?

VIREAD may cause serious side effects, including:

  • See "What is the most important information I should know about VIREAD?"
  • New or worse kidney problems, including kidney failure. Your healthcare provider should do blood and urine tests to check your kidneys before you start and during treatment with VIREAD. Your healthcare provider may tell you to take VIREAD less often, or to stop taking VIREAD if you get new or worse kidney problems.
  • Changes in your immune system (Immune Reconstitution Syndrome) can happen when an HIV-1 infected person starts taking HIV medicines. Your immune system may get stronger and begin to fight infections that have been hidden in your body for a long time. Tell your healthcare provider right away if you start having new symptoms after starting your VIREAD for the treatment of HIV-1 infection.
  • Bone problems can happen in some children or adults who take VIREAD. Bone problems include bone pain, or softening or thinning of bones, which may lead to fractures. Your healthcare provider may need to do tests to check your bones or your child's bones.
  • Too much lactic acid in your blood (lactic acidosis). Too much lactic acid is a serious but rare medical emergency that can lead to death. Tell your healthcare provider right away if you get these symptoms: weakness or being more tired than usual, unusual muscle pain, being short of breath or fast breathing, stomach pain with nausea and vomiting, cold or blue hands and feet, feel dizzy or lightheaded, or a fast or abnormal heartbeat.
  • Severe liver problems. In rare cases, severe liver problems can happen that can lead to death. Tell your healthcare provider right away if you get these symptoms: skin or the white part of your eyes turns yellow, dark "tea-colored" urine, light-colored stools, loss of appetite for several days or longer, nausea, or stomach-area pain.

The most common side effects in all people taking VIREAD are:

  • nausea
  • rash
  • diarrhea
  • headache
  • pain
  • depression
  • weakness

In some people with advanced HBV-infection, other common side effects may include:

  • fever
  • itching
  • vomiting
  • stomach-area pain
  • dizziness
  • sleeping problems

These are not all the possible side effects of VIREAD.

Call your doctor for medical advice about side effects. You may report side effects to FDA at 1-800-FDA-1088.

How should I store VIREAD?

  • Store VIREAD tablets or powder at room temperature between 68°F to 77°F (20°C to 25°C).
  • Keep VIREAD in the original container.
  • Keep the bottle tightly closed.
  • Do not use VIREAD if the seal over the bottle opening is broken or missing.

Keep VIREAD and all medicines out of the reach of children.

General information about the safe and effective use of VIREAD.

Medicines are sometimes prescribed for purposes other than those listed in a Patient Information leaflet. Do not use VIREAD for a condition for which it was not prescribed. Do not give VIREAD to other people, even if they have the same condition you have. It may harm them. You can ask your pharmacist or healthcare provider for information about VIREAD that is written for health professionals.

A vaccine is available to protect people at risk for becoming infected with HBV. You can ask your healthcare provider for information about this vaccine.

What are the ingredients in VIREAD?

Active ingredient: tenofovir disoproxil fumarate

Inactive ingredients:

VIREAD tablets: croscarmellose sodium, lactose monohydrate, magnesium stearate, microcrystalline cellulose, and pregelatinized starch.

VIREAD powder: mannitol, hydroxypropyl cellulose, ethylcellulose, and silicon dioxide.

Tablet coating:

VIREAD tablets 300 mg: Opadry II Y-30-10671-A, which contains FD&C blue #2 aluminum lake, hypromellose 2910, lactose monohydrate, titanium dioxide, and triacetin.

VIREAD tablets 150, 200, and 250 mg: Opadry II 32K-18425, which contains hypromellose 2910, lactose monohydrate, titanium dioxide, and triacetin.

Manufactured for and distributed by: Gilead Sciences, Inc. Foster City, CA 94404

VIREAD is a trademark of Gilead Sciences, Inc., or its related companies. All other trademarks referenced herein are the property of their respective owners.

© 2019 Gilead Sciences, Inc. All rights reserved. 21356-GS-041

For more information, go to www.viread.com or call Gilead Sciences, Inc. at 1-800-GILEAD-5 (1-800-445-3235).

Section 43683-2
Indications and Usage, Chronic Hepatitis B (1.2) 12/2018
Dosage and Administration (2.1, 2.2, 2.3, 2.4) 12/2018
Warnings and Precautions (5.1, 5.2, 5.5, 5.7) 12/2018
Early Virologic Failure Removed 12/2018
Section 44425-7

Store VIREAD tablets and oral powder at 25 °C (77 °F), excursions permitted to 15–30 °C (59–86 °F) (see USP Controlled Room Temperature).

  • Keep container tightly closed.
  • Dispense only in original container.
  • Do not use if seal over bottle opening is broken or missing.
10 Overdosage

If overdose occurs, the patient must be monitored for evidence of toxicity, and standard supportive treatment applied as necessary.

Tenofovir is efficiently removed by hemodialysis with an extraction coefficient of approximately 54%. Following a single 300 mg dose of VIREAD, a four-hour hemodialysis session removed approximately 10% of the administered tenofovir dose.

11 Description

VIREAD is the brand name for tenofovir disoproxil fumarate (TDF) (a prodrug of tenofovir) which is a fumaric acid salt of bis-isopropoxycarbonyloxymethyl ester derivative of tenofovir. TDF is converted in vivo to tenofovir, an acyclic nucleoside phosphonate (nucleotide) analog of adenosine 5'-monophosphate. Tenofovir exhibits activity against HIV-1 reverse transcriptase.

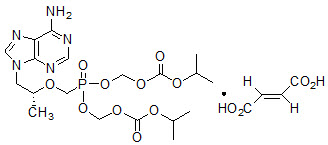
The chemical name of TDF is 9-[(R)-2-[[bis[[(isopropoxycarbonyl)oxy]methoxy]phosphinyl]methoxy]propyl]adenine fumarate (1:1). It has a molecular formula of C19H30N5O10P ∙ C4H4O4 and a molecular weight of 635.52. It has the following structural formula:

Tenofovir disoproxil fumarate is a white to off-white crystalline powder with a solubility of 13.4 mg/mL in distilled water at 25 °C. It has an octanol/phosphate buffer (pH 6.5) partition coefficient (log p) of 1.25 at 25 °C.

VIREAD is available as tablets or as an oral powder.

VIREAD tablets are for oral administration and are available in the following strengths: 150 mg, 200 mg, 250 mg, and 300 mg of TDF (equivalent to 123 mg, 163 mg, 204 mg, and 245 mg of tenofovir disoproxil, respectively).

All strengths of VIREAD tablets contain the following inactive ingredients: croscarmellose sodium, lactose monohydrate, magnesium stearate, microcrystalline cellulose, and pregelatinized starch. The 300 mg strength tablets are coated with Opadry II Y-30-10671-A, which contains FD&C blue #2 aluminum lake, hypromellose 2910, lactose monohydrate, titanium dioxide, and triacetin. The 150 mg, 200 mg, and 250 mg strength tablets are coated with Opadry II 32K-18425, which contains hypromellose 2910, lactose monohydrate, titanium dioxide, and triacetin.

VIREAD oral powder is available for oral administration as white, taste-masked, coated granules containing 40 mg of TDF per gram of oral powder (equivalent to 33 mg of tenofovir disoproxil). The oral powder contains the following inactive ingredients: mannitol, hydroxypropyl cellulose, ethylcellulose, and silicon dioxide.

In this insert, all dosages are expressed in terms of TDF except where otherwise noted.

8.5 Geriatric Use

Clinical trials of VIREAD did not include sufficient numbers of subjects aged 65 and over to determine whether they respond differently from younger subjects. In general, dose selection for the elderly patient should be cautious, keeping in mind the greater frequency of decreased hepatic, renal, or cardiac function, and of concomitant disease or other drug therapy.

1.1 Hiv 1 Infection

VIREAD is indicated in combination with other antiretroviral agents for the treatment of human immunodeficiency virus type 1 (HIV-1) infection in adults and pediatric patients 2 years of age and older weighing at least 10 kg.

4 Contraindications

None.

6 Adverse Reactions

The following adverse reactions are discussed in other sections of the labeling:

7 Drug Interactions
  • Tenofovir disoproxil fumarate increases didanosine concentrations. Dose reduction and close monitoring for didanosine toxicity are warranted. (7.2)
  • Coadministration decreases atazanavir concentrations. When coadministered with VIREAD, use atazanavir given with ritonavir. (7.2)
  • Coadministration of VIREAD with certain HIV-1 protease inhibitors or certain drugs to treat HCV increases tenofovir concentrations. Monitor for evidence of tenofovir toxicity. (7.2)
  • Consult Full Prescribing Information prior to and during treatment for important drug interactions. (7.2)
8.6 Renal Impairment

The dosing interval for VIREAD should be modified in adult patients with estimated creatinine clearance below 50 mL/min or in patients with end stage renal disease requiring dialysis [see Dosage and Administration (2.4) and Clinical Pharmacology (12.3)].

Instructions for Use

VIREAD® (VEER-ee-ad)

(tenofovir disoproxil fumarate)

powder

for oral use

Read the Patient Information that comes with VIREAD powder for important information about VIREAD.

Read this Instructions for Use before you give VIREAD for the first time. Be sure you understand and follow the instructions. If you have any questions, ask your healthcare provider or pharmacist.

Important information

  • VIREAD powder comes in a box that has a bottle of VIREAD and a dosing scoop (see Figure A).
    Figure A
  • Only use the dosing scoop to measure VIREAD powder.
  • Only mix VIREAD powder with soft foods that can be swallowed without chewing. Examples of soft foods you can use are: applesauce, baby food, or yogurt.
  • Do not mix VIREAD powder with liquid. The powder may float to the top even after stirring.
  • Give the entire dose right away after mixing to avoid a bad taste.

How do I prepare and give a dose of VIREAD powder?

  • Wash your hands well with soap and water, and dry them.
  • Measure ¼ to ½ cup of soft food such as applesauce, baby food, or yogurt into a cup or bowl.
  • To open a new bottle of powder, press down on the bottle lid and turn to remove (see picture on the top of the bottle cap). Peel off the foil.
  • Measure the number of scoops prescribed by your healthcare provider.
    • For each full scoop prescribed:
      • Fill the dosing scoop to the top.
      • Use the flat edge of clean knife to make the powder even with the top of the scoop (see Figure B).
        Figure B
    • For ½ scoop:
      • Fill the dosing scoop up to the "½ line" on the side (see Figure C).
        Figure C
  • Sprinkle the VIREAD powder on the soft food. Stir with a spoon until well mixed. Give the entire dose right away after mixing to avoid a bad taste.
  • Close the bottle of VIREAD tightly.
  • Wash and dry the dosing scoop. Do not store the dosing scoop in the bottle.

How should I store VIREAD powder?

  • Store VIREAD powder at room temperature between 68 °F to 77 °F (20 °C to 25 °C).
  • Keep VIREAD powder in the original container.
  • Keep the bottle tightly closed.
  • Do not use VIREAD powder if the seal over the bottle opening is broken or missing.

Keep VIREAD and all medicines out of the reach of children.

This Instructions for Use has been approved by the U.S. Food and Drug Administration.

12.3 Pharmacokinetics

The pharmacokinetics of TDF have been evaluated in healthy volunteers and HIV-1 infected individuals. Tenofovir pharmacokinetics are similar between these populations.

1 Indications and Usage

VIREAD is a nucleotide analog HIV-1 reverse transcriptase inhibitor and an HBV reverse transcriptase inhibitor and is indicated:

  • in combination with other antiretroviral agents for the treatment of HIV-1 infection in adults and pediatric patients 2 years of age and older weighing at least 10 kg. (1.1)
  • for the treatment of chronic hepatitis B in adults and pediatric patients 2 years and older weighing at least 10 kg. (1.2)
1.2 Chronic Hepatitis B

VIREAD is indicated for the treatment of chronic hepatitis B virus (HBV) in adults and pediatric patients 2 years of age and older weighing at least 10 kg.

12.1 Mechanism of Action

Tenofovir disoproxil fumarate is an antiviral drug [see Microbiology (12.4)].

5 Warnings and Precautions
  • New onset or worsening renal impairment: Can include acute renal failure and Fanconi syndrome. Avoid administering VIREAD with concurrent or recent use of nephrotoxic drugs. (5.2)
  • HIV testing: HIV antibody testing should be offered to all HBV-infected patients before initiating therapy with VIREAD. VIREAD should only be used as part of an appropriate antiretroviral combination regimen in HIV-infected patients with or without HBV coinfection. (5.3)
  • Immune reconstitution syndrome: May necessitate further evaluation and treatment. (5.4)
  • Decreases in bone mineral density (BMD): Consider assessment of BMD in patients with a history of pathologic fracture or other risk factors for osteoporosis or bone loss. (5.5)
  • Lactic acidosis/severe hepatomegaly with steatosis: Discontinue treatment in patients who develop symptoms or laboratory findings suggestive of lactic acidosis or pronounced hepatotoxicity. (5.6)
2 Dosage and Administration
  • Testing: Prior to or when initiating VIREAD test for hepatitis B virus infection and HIV-1 infection. Prior to initiation and during use of VIREAD, on a clinically appropriate schedule, assess serum creatinine, estimated creatinine clearance, urine glucose, and urine protein in all patients. In patients with chronic kidney disease, also assess serum phosphorous. (2.1)
  • Recommended tablet dosage in adults and pediatric patients weighing at least 35 kg: One VIREAD 300 mg tablet once daily taken orally without regard to food. (2.2)
  • Recommended dosage in pediatric patients at least 2 years of age and adults:
    • Tablets: For patients weighing at least 17 kg who can swallow an intact tablet, one VIREAD tablet (150 mg, 200 mg, 250 mg, or 300 mg based on body weight) once daily taken orally without regard to food. (2.2)
    • Oral powder: For patients weighing at least 10 kg and unable to swallow a tablet, 8 mg per kg VIREAD oral powder (up to a maximum of 300 mg) taken once daily with food. (2.3)
  • Recommended dosage in renally impaired adult patients:
    • Creatinine clearance (CrCl) 30–49 mL/min: 300 mg every 48 hours. (2.4)
    • CrCl 10–29 mL/min: 300 mg every 72 to 96 hours. (2.4)
    • Hemodialysis: 300 mg every 7 days or after approximately 12 hours of dialysis. (2.4)
3 Dosage Forms and Strengths

VIREAD is available as tablets in four dose strengths or as an oral powder.

  • 150 mg Tablets: 150 mg of tenofovir disoproxil fumarate (TDF) (equivalent to 123 mg of tenofovir disoproxil): triangle shaped, white, film coated, debossed with "GSI" on one side and with "150" on the other side.
  • 200 mg Tablets: 200 mg of TDF (equivalent to 163 mg of tenofovir disoproxil): round shaped, white, film coated, debossed with "GSI" on one side and with "200" on the other side.
  • 250 mg Tablets: 250 mg of TDF (equivalent to 204 mg of tenofovir disoproxil): capsule shaped, white, film coated, debossed with "GSI" on one side and with "250" on the other side.
  • 300 mg Tablets: 300 mg of TDF (equivalent to 245 mg of tenofovir disoproxil): almond shaped, light blue, film coated, debossed with "GILEAD" and "4331" on one side and with "300" on the other side.
  • Oral Powder: white, taste-masked, coated granules containing 40 mg of TDF (equivalent to 33 mg of tenofovir disoproxil) per level scoop. Each level scoop contains 1 gram of oral powder.
6.2 Postmarketing Experience

The following adverse reactions have been identified during postapproval use of VIREAD. Because postmarketing reactions are reported voluntarily from a population of uncertain size, it is not always possible to reliably estimate their frequency or establish a causal relationship to drug exposure.

Immune System Disorders

allergic reaction, including angioedema

Metabolism and Nutrition Disorders

lactic acidosis, hypokalemia, hypophosphatemia

Respiratory, Thoracic, and Mediastinal Disorders

dyspnea

Gastrointestinal Disorders

pancreatitis, increased amylase, abdominal pain

Hepatobiliary Disorders

hepatic steatosis, hepatitis, increased liver enzymes (most commonly AST, ALT gamma GT)

Skin and Subcutaneous Tissue Disorders

rash

Musculoskeletal and Connective Tissue Disorders

rhabdomyolysis, osteomalacia (manifested as bone pain and which may contribute to fractures), muscular weakness, myopathy

Renal and Urinary Disorders

acute renal failure, renal failure, acute tubular necrosis, Fanconi syndrome, proximal renal tubulopathy, interstitial nephritis (including acute cases), nephrogenic diabetes insipidus, renal insufficiency, increased creatinine, proteinuria, polyuria

General Disorders and Administration Site Conditions

asthenia

The following adverse reactions, listed under the body system headings above, may occur as a consequence of proximal renal tubulopathy: rhabdomyolysis, osteomalacia, hypokalemia, muscular weakness, myopathy, hypophosphatemia.

8 Use in Specific Populations

Lactation: Breastfeeding in HIV-1 infected mothers is not recommended due to the potential for HIV-1 transmission. (8.2)

6.1 Clinical Trials Experience

Because clinical trials are conducted under widely varying conditions, adverse reaction rates observed in the clinical trials of a drug cannot be directly compared to rates in the clinical trials of another drug and may not reflect the rates observed in practice.

14.1 Overview of Clinical Trials

The efficacy and safety of VIREAD in adults and pediatric subjects were evaluated in the trials summarized in Table 19.

Table 19 Trials Conducted with VIREAD in Adults and Pediatric Subjects for HIV-1 Treatment and Chronic HBV Treatment
Trial Population Study Arms (N)
Randomized and dosed.
Timepoint

(Week)
Trial 903
Randomized, double-blind, active-controlled trial.


(NCT00158821)
HIV-1 treatment-naïve adults VIREAD+lamivudine+efavirenz (299)

stavudine+lamivudine+efavirenz (301)
144
Trial 934
Randomized, open-label active-controlled trial.


(NCT00112047)
emtricitabine+VIREAD+efavirenz (257)

zidovudine/lamivudine+efavirenz (254)
144
Trial 907
Randomized, double-blind, placebo-controlled trial.


(NCT00002450)
HIV-1 treatment-experienced adults VIREAD (368)

Placebo (182)
24
Trial 0102


(NCT00117676)
HBeAg-negative adults with chronic HBV VIREAD (250)

HEPSERA (125)
48
Trial 0103


(NCT00116805)
HBeAg-positive adults with chronic HBV VIREAD (176)

HEPSERA (90)
48
Trial 121


(NCT00737568)
Adults with lamivudine-resistant chronic HBV VIREAD (141) 96
Trial 0108


(NCT00298363)
Adults with chronic HBV and decompensated liver disease VIREAD (45) 48
Trial 352


(NCT00528957)
HIV-1 treatment experienced pediatric subjects 2 years to <12 years VIREAD (44)

stavudine or zidovudine (48)
48
Trial 321


(NCT00352053)
HIV-1 treatment-experienced pediatric subjects 12 years to <18 years VIREAD (45)

Placebo (42)
48
Trial 115


(NCT00734162)
Pediatric subjects 12 years to <18 years with chronic HBV VIREAD (52)

Placebo (54)
72
Trial 144


(NCT01651403)
Pediatric subjects 2 years to <12 years with chronic HBV VIREAD (60)

Placebo (29)
48
17 Patient Counseling Information

Advise the patient to read the FDA-approved patient labeling (Patient Information and Instructions for Use).

5.4 Immune Reconstitution Syndrome

Immune reconstitution syndrome has been reported in HIV-1 infected patients treated with combination antiretroviral therapy, including VIREAD. During the initial phase of combination antiretroviral treatment, HIV-1 infected patients whose immune system responds may develop an inflammatory response to indolent or residual opportunistic infections (such as Mycobacterium avium infection, cytomegalovirus, Pneumocystis jirovecii pneumonia [PCP], or tuberculosis), which may necessitate further evaluation and treatment.

Autoimmune disorders (such as Graves' disease, polymyositis, and Guillain-Barré syndrome) have also been reported to occur in the setting of immune reconstitution; however, the time to onset is more variable, and can occur many months after initiation of treatment.

7.1 Drugs Affecting Renal Function

Tenofovir is primarily eliminated by the kidneys [see Clinical Pharmacology (12.3)]. Coadministration of VIREAD with drugs that are eliminated by active tubular secretion may increase concentrations of tenofovir and/or the coadministered drug. Some examples include, but are not limited to, acyclovir, cidofovir, ganciclovir, valacyclovir, valganciclovir, aminoglycosides (e.g., gentamicin), and high-dose or multiple NSAIDs [see Warnings and Precautions (5.2)]. Drugs that decrease renal function may increase concentrations of tenofovir.

In the treatment of chronic hepatitis B, VIREAD should not be administered in combination with HEPSERA (adefovir dipivoxil).

16 How Supplied/storage and Handling

VIREAD tablets are available in bottles containing 30 tablets with child-resistant closure as follows:

  • 150 mg of TDF (equivalent to 123 mg of tenofovir disoproxil): tablets are triangle-shaped, white, film-coated, and debossed with "GSI" on one side and with "150" on the other side. (NDC 61958-0404-1)
  • 200 mg of TDF (equivalent to 163 mg of tenofovir disoproxil): tablets are round-shaped, white, film-coated, and debossed with "GSI" on one side and with "200" on the other side. (NDC 61958-0405-1)
  • 250 mg of TDF (equivalent to 204 mg of tenofovir disoproxil): tablets are capsule-shaped, white, film-coated and debossed with "GSI" on one side and with "250" on the other side. (NDC 61958-0406-1)
  • 300 mg of TDF (equivalent to 245 mg of tenofovir disoproxil): tablets are almond-shaped, light-blue, film-coated, and debossed with "GILEAD" and "4331" on one side and with "300" on the other side. (NDC 61958-0401-1)

VIREAD oral powder consists of white, coated granules containing 40 mg of TDF (equivalent to 33 mg of tenofovir disoproxil) per gram of powder and is available in multi-use bottles containing 60 grams of oral powder, closed with a child-resistant closure, and co-packaged with a dosing scoop. (NDC 61958-0403-1)

13.2 Animal Toxicology And/or Pharmacology

Tenofovir and TDF administered in toxicology studies to rats, dogs, and monkeys at exposures (based on AUCs) greater than or equal to 6 fold those observed in humans caused bone toxicity. In monkeys the bone toxicity was diagnosed as osteomalacia. Osteomalacia observed in monkeys appeared to be reversible upon dose reduction or discontinuation of tenofovir. In rats and dogs, the bone toxicity manifested as reduced bone mineral density. The mechanism(s) underlying bone toxicity is unknown.

Evidence of renal toxicity was noted in 4 animal species. Increases in serum creatinine, BUN, glycosuria, proteinuria, phosphaturia, and/or calciuria and decreases in serum phosphate were observed to varying degrees in these animals. These toxicities were noted at exposures (based on AUCs) 2–20 times higher than those observed in humans. The relationship of the renal abnormalities, particularly the phosphaturia, to the bone toxicity is not known.

5.3 Patients Coinfected With Hiv 1 and Hbv

Due to the risk of development of HIV-1 resistance, VIREAD should only be used in HIV-1 and HBV coinfected patients as part of an appropriate antiretroviral combination regimen.

HIV-1 antibody testing should be offered to all HBV-infected patients before initiating therapy with VIREAD. It is also recommended that all patients with HIV-1 be tested for the presence of chronic hepatitis B before initiating treatment with VIREAD.

5.2 New Onset Or Worsening Renal Impairment

Tenofovir is principally eliminated by the kidney. Renal impairment, including cases of acute renal failure and Fanconi syndrome (renal tubular injury with severe hypophosphatemia), has been reported with the use of VIREAD [see Adverse Reactions (6.2)].

Prior to initiation and during use of VIREAD, on a clinically appropriate schedule, assess serum creatinine, estimated creatinine clearance, urine glucose, and urine protein in all patients. In patients with chronic kidney disease, also assess serum phosphorus.

Dosing interval adjustment of VIREAD and close monitoring of renal function are recommended in all patients with creatinine clearance below 50 mL/min [see Dosage and Administration (2.4)]. No safety or efficacy data are available in patients with renal impairment who received VIREAD using these dosing guidelines, so the potential benefit of VIREAD therapy should be assessed against the potential risk of renal toxicity.

VIREAD should be avoided with concurrent or recent use of a nephrotoxic agent (e.g., high-dose or multiple non-steroidal anti-inflammatory drugs [NSAIDs]) [see Drug Interactions (7.1)]. Cases of acute renal failure after initiation of high-dose or multiple NSAIDs have been reported in HIV-infected patients with risk factors for renal dysfunction who appeared stable on TDF. Some patients required hospitalization and renal replacement therapy. Alternatives to NSAIDs should be considered, if needed, in patients at risk for renal dysfunction.

Persistent or worsening bone pain, pain in extremities, fractures and/or muscular pain or weakness may be manifestations of proximal renal tubulopathy and should prompt an evaluation of renal function in patients at risk of renal dysfunction.

7.2 Established and Significant Interactions

Table 12 provides a listing of established or clinically significant drug interactions. The drug interactions described are based on studies conducted with TDF [see Clinical Pharmacology (12.3)].

Table 12 Established and Significant
This table is not all inclusive.
Drug Interactions: Alteration in Dose or Regimen May Be Recommended Based on Drug Interaction Trials
Concomitant Drug Class: Drug Name Effect on Concentration
↑=Increase, ↓=Decrease
Clinical Comment
NRTI:

didanosine
↑ didanosine Patients receiving VIREAD and didanosine should be monitored closely for didanosine-associated adverse reactions. Discontinue didanosine in patients who develop didanosine-associated adverse reactions. Higher didanosine concentrations could potentiate didanosine-associated adverse reactions, including pancreatitis, and neuropathy. Suppression of CD4+ cell counts has been observed in patients receiving VIREAD with didanosine 400 mg daily.

In patients weighing greater than 60 kg, reduce the didanosine dose to 250 mg when it is coadministered with VIREAD. In patients weighing less than 60 kg, reduce the didanosine dose to 200 mg when it is coadministered with VIREAD. When coadministered, VIREAD and Videx EC may be taken under fasted conditions or with a light meal (less than 400 kcal, 20% fat).
HIV-1 Protease Inhibitors:

atazanavir
↓ atazanavir When coadministered with VIREAD, atazanavir 300 mg should be given with ritonavir 100 mg.
lopinavir/ritonavir

atazanavir/ritonavir

darunavir/ritonavir
↑ tenofovir Monitor patients receiving VIREAD concomitantly with lopinavir/ritonavir, ritonavir-boosted atazanavir, or ritonavir-boosted darunavir for TDF-associated adverse reactions. Discontinue VIREAD in patients who develop TDF-associated adverse reactions.
Hepatitis C Antiviral Agents:

sofosbuvir/velpatasvir

sofosbuvir/velpatasvir/voxilaprevir
↑ tenofovir Monitor patients receiving VIREAD concomitantly with EPCLUSA® (sofosbuvir/velpatasvir) for adverse reactions associated with TDF.
ledipasvir/sofosbuvir Monitor patients receiving VIREAD concomitantly with HARVONI® (ledipasvir/sofosbuvir) without an HIV-1 protease inhibitor/ritonavir or an HIV-1 protease inhibitor/cobicistat combination, for adverse reactions associated with TDF. In patients receiving VIREAD concomitantly with HARVONI and an HIV-1 protease inhibitor/ritonavir or an HIV-1 protease inhibitor/cobicistat combination, consider an alternative HCV or antiretroviral therapy, as the safety of increased tenofovir concentrations in this setting has not been established. If coadministration is necessary, monitor for adverse reactions associated with TDF.
Prinicpal Display Panel 40 Mg/scoop Bottle Label

NDC 61958-0403-1

Viread®

(tenofovir disoproxil

fumarate) Oral Powder

40 mg/scoop

60 g per bottle

Rx only

Prinicpal Display Panel 150 Mg Tablet Bottle Label

NDC 61958-0404-1

Viread®

(tenofovir disoproxil

fumarate) tablets

150 mg

30 tablets

Rx only

Prinicpal Display Panel 200 Mg Tablet Bottle Label

NDC 61958-0405-1

Viread®

(tenofovir disoproxil

fumarate) tablets

200 mg

30 tablets

Rx only

Prinicpal Display Panel 250 Mg Tablet Bottle Label

NDC 61958-0406-1

Viread®

(tenofovir disoproxil

fumarate) tablets

250 mg

30 tablets

Rx only

Prinicpal Display Panel 300 Mg Tablet Bottle Label

NDC 61958-0401-1

Viread®

(tenofovir disoproxil

fumarate) tablets

300 mg

30 tablets

Rx only

5.6 Lactic Acidosis/severe Hepatomegaly With Steatosis

Lactic acidosis and severe hepatomegaly with steatosis, including fatal cases, have been reported with the use of nucleoside analogs, including TDF, alone or in combination with other antiretrovirals. Treatment with VIREAD should be suspended in any patient who develops clinical or laboratory findings suggestive of lactic acidosis or pronounced hepatotoxicity (which may include hepatomegaly and steatosis even in the absence of marked transaminase elevations).

5.7 Risk of Adverse Reactions Due to Drug Interactions

The concomitant use of VIREAD and other drugs may result in known or potentially significant drug interactions, some of which may lead to possible clinically significant adverse reactions from greater exposures of concomitant drugs [see Drug Interactions (7.2)].

See Table 12 for steps to prevent or manage these possible and known significant drug interactions, including dosing recommendations. Consider the potential for drug interactions prior to and during therapy with VIREAD; review concomitant medications during therapy with VIREAD; and monitor for adverse reactions associated with the concomitant drugs.

2.4 Dosage Adjustment in Patients With Renal Impairment

Significant increase in drug exposures occurred when VIREAD was administered to subjects with moderate to severe renal impairment (creatinine clearance below 50 mL/min). Table 3 provides dosage interval adjustment for patients with renal impairment. No dosage adjustment of VIREAD tablets 300 mg is necessary for patients with mild renal impairment (creatinine clearance 50–80 mL/min) [see Warnings and Precautions (5.3), Use in Specific Populations (8.6), and Clinical Pharmacology (12.3)].

Table 3 Dosage Interval Adjustment for Adult Patients with Altered Creatinine Clearance
Creatinine Clearance (mL/min)
Calculated using ideal (lean) body weight.
Hemodialysis Patients
50 or greater 30–49 10–29
Recommended 300 mg Dosing Interval Every 24 hours Every 48 hours Every 72 to 96 hours Every 7 days or after a total of approximately 12 hours of dialysis
Generally once weekly assuming 3 hemodialysis sessions a week of approximately 4 hours' duration. VIREAD should be administered following completion of dialysis.

No data are available to make dosage recommendations in patients with creatinine clearance below 10 mL/min who are not on hemodialysis.

No data are available to make dosage recommendations in pediatric patients with renal impairment.

Warning: Posttreatment Acute Exacerbation of Hepatitis B

Severe acute exacerbations of hepatitis B virus (HBV) have been reported in HBV-infected patients who have discontinued anti-hepatitis B therapy, including VIREAD. Hepatic function should be monitored closely with both clinical and laboratory follow-up for at least several months in HBV-infected patients who discontinue anti-hepatitis B therapy, including VIREAD. If appropriate, resumption of anti-hepatitis B therapy may be warranted [see Warnings and Precautions (5.1)] .

14.3 Clinical Trial Results in Pediatric Subjects With Hiv 1 Infection

In Trial 352, 92 treatment-experienced subjects 2 years to less than 12 years of age with stable, virologic suppression on a stavudine (d4T)- or zidovudine (AZT)-containing regimen were randomized to either replace d4T or AZT with VIREAD (N=44) or continue their original regimen (N=48) for 48 weeks. Five additional subjects over the age of 12 years were enrolled and randomized (VIREAD N=4, original regimen N=1) but are not included in the efficacy analysis. After 48 weeks, all eligible subjects were allowed to continue in the trial receiving open-label VIREAD. At Week 48, 89% of subjects in the VIREAD treatment group and 90% of subjects in the d4T or AZT treatment group had HIV-1 RNA concentrations <400 copies/mL. During the 48-week randomized phase of the trial, 1 subject in the VIREAD group discontinued the trial prematurely because of virologic failure/lack of efficacy and 3 subjects (2 subjects in the VIREAD group and 1 subject in the d4T or AZT group) discontinued for other reasons.

In Trial 321, 87 treatment-experienced subjects 12 years to less than 18 years of age were treated with VIREAD (N=45) or placebo (N=42) in combination with an optimized background regimen (OBR) for 48 weeks. The mean baseline CD4 cell count was 374 cells/mm3 and the mean baseline plasma HIV-1 RNA was 4.6 log10 copies/mL. At baseline, 90% of subjects harbored NRTI resistance-associated substitutions in their HIV-1 isolates. Overall, the trial failed to show a difference in virologic response between the VIREAD and placebo groups. Subgroup analyses suggest the lack of difference in virologic response may be attributable to imbalances between treatment arms in baseline viral susceptibility to VIREAD and OBR.

Although changes in HIV-1 RNA in these highly treatment-experienced subjects were less than anticipated, the comparability of the pharmacokinetic and safety data to that observed in adults supports the use of VIREAD in pediatric patients 12 years and older who weigh at least 35 kg and whose HIV-1 isolate is expected to be sensitive to VIREAD [see Warnings and Precautions (5.5), Adverse Reactions (6.1), and Clinical Pharmacology (12.3)].

5.1 Severe Acute Exacerbation of Hepatitis B in Patients With Hbv Infection

All patients should be tested for the presence of chronic hepatitis B virus (HBV) before or when initiating VIREAD [see Dosage and Administration (2.1)].

Discontinuation of anti-HBV therapy, including VIREAD, may be associated with severe acute exacerbations of hepatitis B. Patients infected with HBV who discontinue VIREAD should be closely monitored with both clinical and laboratory follow-up for at least several months after stopping treatment. If appropriate, resumption of anti-hepatitis B therapy may be warranted, especially in patients with advanced liver disease or cirrhosis, since posttreatment exacerbation of hepatitis may lead to hepatic decompensation and liver failure.

2.1 Testing Prior to Initiation of Viread for Treatment of Hiv 1 Infection Or Chronic Hepatitis B

Prior to or when initiating VIREAD, test patients for HBV infection and HIV-1 infection. VIREAD alone should not be used in patients with HIV-1 infection [see Warnings and Precautions (5.3)].

Prior to initiation and during use of VIREAD, on a clinically appropriate schedule, assess serum creatinine, estimated creatinine clearance, urine glucose and urine protein in all patients. In patients with chronic kidney disease, also assess serum phosphorus [see Warnings and Precautions (5.2)].

2.2 Recommended Tablet Dosage in Adults and Pediatric Patients 2 Years and Older Weighing At Least 17 Kg

The recommended dosage of VIREAD in adults and pediatric patients weighing at least 35 kg is one 300 mg tablet taken orally once daily without regard to food. The dosage for VIREAD is the same for both HIV and HBV indications.

The recommended dosage of VIREAD tablet in adults and pediatric patients 2 years and older weighing at least 17 kg is 8 mg of tenofovir disoproxil fumarate (TDF) per kg of body weight (up to a maximum of 300 mg) once daily. Dosage for pediatric patients 2 years and older weighing between 17 kg and 35 kg and able to swallow an intact tablet is provided in Table 1. Weight should be monitored periodically and the VIREAD dose adjusted accordingly.

Table 1 Recommended Dosing for Patients 2 Years and Older and Weighing at Least 17 kg Using VIREAD Tablets
Body Weight (kg) Dosing of VIREAD Tablets
17 to less than 22 one 150 mg tablet once daily
22 to less than 28 one 200 mg tablet once daily
28 to less than 35 one 250 mg tablet once daily
at least 35 one 300 mg tablet once daily
2.3 Recommended Oral Powder Dosage in Adults and Pediatric Patients 2 Years and Older Weighing At Least 10 Kg

The recommended dosage of VIREAD oral powder in adults and pediatric patients 2 years and older weighing at least 10 kg who are unable to swallow a tablet is 8 mg of TDF per kg of body weight (up to a maximum of 300 mg) once daily administered as oral powder (see Table 2). Weight should be monitored periodically and the VIREAD dose adjusted accordingly.

VIREAD oral powder should be measured only with the supplied dosing scoop. One level scoop delivers 1 g of powder, which contains 40 mg of TDF. VIREAD oral powder should be mixed in a container with 2 to 4 ounces of soft food not requiring chewing (e.g., applesauce, baby food, yogurt). The entire mixture should be ingested immediately to avoid a bitter taste. Do not administer VIREAD oral powder in a liquid as the powder may float on top of the liquid even after stirring. Further patient instructions on how to administer VIREAD oral powder with the supplied dosing scoop are provided in the FDA-approved patient labeling (Patient Information).

Table 2 Dosing for Patients 2 Years and Older Weighing at least 10 kg Using VIREAD Oral Powder
Body Weight (kg) Dosing of VIREAD Oral Powder Total Daily Dosage

(40 mg per scoop)
10 to less than 12 2 scoops once daily 80 mg
12 to less than 14 2.5 scoops once daily 100 mg
14 to less than 17 3 scoops once daily 120 mg
17 to less than 19 3.5 scoops once daily 140 mg
19 to less than 22 4 scoops once daily 160 mg
22 to less than 24 4.5 scoops once daily 180 mg
24 to less than 27 5 scoops once daily 200 mg
27 to less than 29 5.5 scoops once daily 220 mg
29 to less than 32 6 scoops once daily 240 mg
32 to less than 34 6.5 scoops once daily 260 mg
34 to less than 35 7 scoops once daily 280 mg
at least 35 7.5 scoops once daily 300 mg

Structured Label Content

Section 42229-5 (42229-5)

Bone Mineral Density

In clinical trials in HIV-1 infected adults, VIREAD was associated with slightly greater decreases in bone mineral density (BMD) and increases in biochemical markers of bone metabolism, suggesting increased bone turnover relative to comparators [see Adverse Reactions (6.1)]. Serum parathyroid hormone levels and 1,25 Vitamin D levels were also higher in subjects receiving VIREAD.

Clinical trials evaluating VIREAD in pediatric subjects were conducted. Under normal circumstances, BMD increases rapidly in pediatric patients. In HIV-1 infected subjects 2 years to less than 18 years of age, bone effects were similar to those observed in adult subjects and suggest increased bone turnover. Total body BMD gain was less in the VIREAD-treated HIV-1 infected pediatric subjects as compared to the control groups. Similar trends were observed in chronic HBV-infected pediatric subjects 2 years to less than 18 years of age. In all pediatric trials, normal skeletal growth (height) was not affected for the duration of the clinical trials [see Adverse Reactions (6.1)].

The effects of VIREAD-associated changes in BMD and biochemical markers on long-term bone health and future fracture risk in adults and pediatric subjects 2 years and older are unknown. The long-term effect of lower spine and total body BMD on skeletal growth in pediatric patients, and in particular, the effects of long-duration exposure in younger children is unknown.

Although the effect of supplementation with calcium and vitamin D was not studied, such supplementation may be beneficial. Assessment of BMD should be considered for adult and pediatric patients who have a history of pathologic bone fracture or other risk factors for osteoporosis or bone loss. If bone abnormalities are suspected, appropriate consultation should be obtained.

Section 42230-3 (42230-3)
This Patient Information has been approved by the U.S. Food and Drug Administration. Revised: April 2019

Patient Information

VIREAD® (VEER-ee-ad)

(tenofovir disoproxil fumarate)

tablets

VIREAD® (VEER-ee-ad)

(tenofovir disoproxil fumarate)

oral powder

Read this Patient Information before you start taking VIREAD and each time you get a refill. There may be new information. This information does not take the place of talking with your healthcare provider about your medical condition or treatment.

What is the most important information I should know about VIREAD?

VIREAD can cause serious side effects, including:

  • Worsening of Hepatitis B virus infection (HBV). Your healthcare provider will test you for HBV and HIV before starting treatment with VIREAD. If you have HBV infection and take VIREAD your HBV may get worse (flare-up) if you stop taking VIREAD. A "flare-up" is when your HBV infection suddenly returns in a worse way than before.
    • Do not run out of VIREAD. Refill your prescription or talk to your healthcare provider before your VIREAD is all gone.
    • Do not stop taking VIREAD without first talking to your healthcare provider.
    • If you stop taking VIREAD, your healthcare provider will need to check your health often and do blood tests regularly to check your HBV infection. Tell your healthcare provider about any new or unusual symptoms you may have after you stop taking VIREAD.

For more information about side effects, see "What are the possible side effects of VIREAD?"

What is VIREAD?

VIREAD is a prescription medicine that is used to:

  • treat HIV-1 infection when used with other anti-HIV-1 medicines in adults and children 2 years of age and older who weigh at least 22 pounds (10 kg). HIV is the virus that causes AIDS (Acquired Immune Deficiency Syndrome).
  • treat HBV infection in adults and children 2 years of age and older who weigh at least 22 pounds (10 kg). It is not known if VIREAD is safe and effective in children under 2 years of age.

What should I tell my healthcare provider before taking VIREAD?

Before you take VIREAD, tell your healthcare provider about all of your medical conditions, including if you:

  • have liver problems, including HBV infection
  • have kidney problems or receive kidney dialysis treatment
  • have bone problems
  • have HIV infection
  • are pregnant or plan to become pregnant. Tell your healthcare provider if you become pregnant during treatment with VIREAD.

    Pregnancy Registry. There is a pregnancy registry for women who take VIREAD during pregnancy. The purpose of this registry is to collect information about the health of you and your baby. Talk to your healthcare provider about how you can take part in this registry.
  • are breastfeeding or plan to breastfeed. VIREAD can pass to your baby in your breast milk.
    • Do not breastfeed if you have HIV-1 because of the risk of passing HIV-1 to your baby.
    • If you take VIREAD for treatment of HBV infection, talk with your healthcare provider about the best way to feed your baby.

Tell your healthcare provider about all the medicines you take, including prescription and non-prescription medicines, vitamins, and herbal supplements.

Some medicines may interact with VIREAD. Keep a list of your medicines and show it to your healthcare provider and pharmacist when you get a new medicine.

  • You can ask your healthcare provider or pharmacist for a list of medicines that interact with VIREAD.
  • Do not start a new medicine without telling your healthcare provider. Your healthcare provider can tell you if it is safe to take VIREAD with other medicines.

How should I take VIREAD?

  • Take VIREAD exactly as your healthcare provider tells you to take it.
  • Do not change your dose or stop taking VIREAD without first talking with your healthcare provider. Stay under a healthcare provider's care when taking VIREAD.
  • Take VIREAD at the same time every day.
  • For adults and children 2 years of age and older who weigh at least 77 pounds (35 kg), the usual dose of VIREAD is one 300 mg tablet each day.
  • For children 2 years of age and older who weigh between 37 pounds (17 kg) and 77 pounds (35 kg), your healthcare provider will prescribe the right dose of VIREAD tablets based on your child's body weight.
  • Adults and children 2 years of age and older who weigh at least 22 pounds (10 kg) and who are unable to swallow VIREAD tablets whole, may take VIREAD powder. Your healthcare provider will prescribe the right dose of VIREAD powder based on your or your child's body weight.
  • Tell your healthcare provider if you or your child has problems with swallowing tablets.
  • If your healthcare provider prescribes VIREAD powder for you or your child, see the "Instructions for Use " that comes with your VIREAD powder for information about the right way to measure and take VIREAD powder.
  • Take VIREAD tablets by mouth, with or without food.
  • Do not miss a dose of VIREAD. Missing a dose lowers the amount of medicine in your blood. Refill your VIREAD prescription before you run out of medicine.
  • If you take too much VIREAD, call your local poison control center or go right away to the nearest hospital emergency room.

What are the possible side effects of VIREAD?

VIREAD may cause serious side effects, including:

  • See "What is the most important information I should know about VIREAD?"
  • New or worse kidney problems, including kidney failure. Your healthcare provider should do blood and urine tests to check your kidneys before you start and during treatment with VIREAD. Your healthcare provider may tell you to take VIREAD less often, or to stop taking VIREAD if you get new or worse kidney problems.
  • Changes in your immune system (Immune Reconstitution Syndrome) can happen when an HIV-1 infected person starts taking HIV medicines. Your immune system may get stronger and begin to fight infections that have been hidden in your body for a long time. Tell your healthcare provider right away if you start having new symptoms after starting your VIREAD for the treatment of HIV-1 infection.
  • Bone problems can happen in some children or adults who take VIREAD. Bone problems include bone pain, or softening or thinning of bones, which may lead to fractures. Your healthcare provider may need to do tests to check your bones or your child's bones.
  • Too much lactic acid in your blood (lactic acidosis). Too much lactic acid is a serious but rare medical emergency that can lead to death. Tell your healthcare provider right away if you get these symptoms: weakness or being more tired than usual, unusual muscle pain, being short of breath or fast breathing, stomach pain with nausea and vomiting, cold or blue hands and feet, feel dizzy or lightheaded, or a fast or abnormal heartbeat.
  • Severe liver problems. In rare cases, severe liver problems can happen that can lead to death. Tell your healthcare provider right away if you get these symptoms: skin or the white part of your eyes turns yellow, dark "tea-colored" urine, light-colored stools, loss of appetite for several days or longer, nausea, or stomach-area pain.

The most common side effects in all people taking VIREAD are:

  • nausea
  • rash
  • diarrhea
  • headache
  • pain
  • depression
  • weakness

In some people with advanced HBV-infection, other common side effects may include:

  • fever
  • itching
  • vomiting
  • stomach-area pain
  • dizziness
  • sleeping problems

These are not all the possible side effects of VIREAD.

Call your doctor for medical advice about side effects. You may report side effects to FDA at 1-800-FDA-1088.

How should I store VIREAD?

  • Store VIREAD tablets or powder at room temperature between 68°F to 77°F (20°C to 25°C).
  • Keep VIREAD in the original container.
  • Keep the bottle tightly closed.
  • Do not use VIREAD if the seal over the bottle opening is broken or missing.

Keep VIREAD and all medicines out of the reach of children.

General information about the safe and effective use of VIREAD.

Medicines are sometimes prescribed for purposes other than those listed in a Patient Information leaflet. Do not use VIREAD for a condition for which it was not prescribed. Do not give VIREAD to other people, even if they have the same condition you have. It may harm them. You can ask your pharmacist or healthcare provider for information about VIREAD that is written for health professionals.

A vaccine is available to protect people at risk for becoming infected with HBV. You can ask your healthcare provider for information about this vaccine.

What are the ingredients in VIREAD?

Active ingredient: tenofovir disoproxil fumarate

Inactive ingredients:

VIREAD tablets: croscarmellose sodium, lactose monohydrate, magnesium stearate, microcrystalline cellulose, and pregelatinized starch.

VIREAD powder: mannitol, hydroxypropyl cellulose, ethylcellulose, and silicon dioxide.

Tablet coating:

VIREAD tablets 300 mg: Opadry II Y-30-10671-A, which contains FD&C blue #2 aluminum lake, hypromellose 2910, lactose monohydrate, titanium dioxide, and triacetin.

VIREAD tablets 150, 200, and 250 mg: Opadry II 32K-18425, which contains hypromellose 2910, lactose monohydrate, titanium dioxide, and triacetin.

Manufactured for and distributed by: Gilead Sciences, Inc. Foster City, CA 94404

VIREAD is a trademark of Gilead Sciences, Inc., or its related companies. All other trademarks referenced herein are the property of their respective owners.

© 2019 Gilead Sciences, Inc. All rights reserved. 21356-GS-041

For more information, go to www.viread.com or call Gilead Sciences, Inc. at 1-800-GILEAD-5 (1-800-445-3235).

Section 43683-2 (43683-2)
Indications and Usage, Chronic Hepatitis B (1.2) 12/2018
Dosage and Administration (2.1, 2.2, 2.3, 2.4) 12/2018
Warnings and Precautions (5.1, 5.2, 5.5, 5.7) 12/2018
Early Virologic Failure Removed 12/2018
Section 44425-7 (44425-7)

Store VIREAD tablets and oral powder at 25 °C (77 °F), excursions permitted to 15–30 °C (59–86 °F) (see USP Controlled Room Temperature).

  • Keep container tightly closed.
  • Dispense only in original container.
  • Do not use if seal over bottle opening is broken or missing.
10 Overdosage (10 OVERDOSAGE)

If overdose occurs, the patient must be monitored for evidence of toxicity, and standard supportive treatment applied as necessary.

Tenofovir is efficiently removed by hemodialysis with an extraction coefficient of approximately 54%. Following a single 300 mg dose of VIREAD, a four-hour hemodialysis session removed approximately 10% of the administered tenofovir dose.

11 Description (11 DESCRIPTION)

VIREAD is the brand name for tenofovir disoproxil fumarate (TDF) (a prodrug of tenofovir) which is a fumaric acid salt of bis-isopropoxycarbonyloxymethyl ester derivative of tenofovir. TDF is converted in vivo to tenofovir, an acyclic nucleoside phosphonate (nucleotide) analog of adenosine 5'-monophosphate. Tenofovir exhibits activity against HIV-1 reverse transcriptase.

The chemical name of TDF is 9-[(R)-2-[[bis[[(isopropoxycarbonyl)oxy]methoxy]phosphinyl]methoxy]propyl]adenine fumarate (1:1). It has a molecular formula of C19H30N5O10P ∙ C4H4O4 and a molecular weight of 635.52. It has the following structural formula:

Tenofovir disoproxil fumarate is a white to off-white crystalline powder with a solubility of 13.4 mg/mL in distilled water at 25 °C. It has an octanol/phosphate buffer (pH 6.5) partition coefficient (log p) of 1.25 at 25 °C.

VIREAD is available as tablets or as an oral powder.

VIREAD tablets are for oral administration and are available in the following strengths: 150 mg, 200 mg, 250 mg, and 300 mg of TDF (equivalent to 123 mg, 163 mg, 204 mg, and 245 mg of tenofovir disoproxil, respectively).

All strengths of VIREAD tablets contain the following inactive ingredients: croscarmellose sodium, lactose monohydrate, magnesium stearate, microcrystalline cellulose, and pregelatinized starch. The 300 mg strength tablets are coated with Opadry II Y-30-10671-A, which contains FD&C blue #2 aluminum lake, hypromellose 2910, lactose monohydrate, titanium dioxide, and triacetin. The 150 mg, 200 mg, and 250 mg strength tablets are coated with Opadry II 32K-18425, which contains hypromellose 2910, lactose monohydrate, titanium dioxide, and triacetin.

VIREAD oral powder is available for oral administration as white, taste-masked, coated granules containing 40 mg of TDF per gram of oral powder (equivalent to 33 mg of tenofovir disoproxil). The oral powder contains the following inactive ingredients: mannitol, hydroxypropyl cellulose, ethylcellulose, and silicon dioxide.

In this insert, all dosages are expressed in terms of TDF except where otherwise noted.

8.5 Geriatric Use

Clinical trials of VIREAD did not include sufficient numbers of subjects aged 65 and over to determine whether they respond differently from younger subjects. In general, dose selection for the elderly patient should be cautious, keeping in mind the greater frequency of decreased hepatic, renal, or cardiac function, and of concomitant disease or other drug therapy.

1.1 Hiv 1 Infection (1.1 HIV-1 Infection)

VIREAD is indicated in combination with other antiretroviral agents for the treatment of human immunodeficiency virus type 1 (HIV-1) infection in adults and pediatric patients 2 years of age and older weighing at least 10 kg.

4 Contraindications (4 CONTRAINDICATIONS)

None.

6 Adverse Reactions (6 ADVERSE REACTIONS)

The following adverse reactions are discussed in other sections of the labeling:

7 Drug Interactions (7 DRUG INTERACTIONS)
  • Tenofovir disoproxil fumarate increases didanosine concentrations. Dose reduction and close monitoring for didanosine toxicity are warranted. (7.2)
  • Coadministration decreases atazanavir concentrations. When coadministered with VIREAD, use atazanavir given with ritonavir. (7.2)
  • Coadministration of VIREAD with certain HIV-1 protease inhibitors or certain drugs to treat HCV increases tenofovir concentrations. Monitor for evidence of tenofovir toxicity. (7.2)
  • Consult Full Prescribing Information prior to and during treatment for important drug interactions. (7.2)
8.6 Renal Impairment

The dosing interval for VIREAD should be modified in adult patients with estimated creatinine clearance below 50 mL/min or in patients with end stage renal disease requiring dialysis [see Dosage and Administration (2.4) and Clinical Pharmacology (12.3)].

Instructions for Use

VIREAD® (VEER-ee-ad)

(tenofovir disoproxil fumarate)

powder

for oral use

Read the Patient Information that comes with VIREAD powder for important information about VIREAD.

Read this Instructions for Use before you give VIREAD for the first time. Be sure you understand and follow the instructions. If you have any questions, ask your healthcare provider or pharmacist.

Important information

  • VIREAD powder comes in a box that has a bottle of VIREAD and a dosing scoop (see Figure A).
    Figure A
  • Only use the dosing scoop to measure VIREAD powder.
  • Only mix VIREAD powder with soft foods that can be swallowed without chewing. Examples of soft foods you can use are: applesauce, baby food, or yogurt.
  • Do not mix VIREAD powder with liquid. The powder may float to the top even after stirring.
  • Give the entire dose right away after mixing to avoid a bad taste.

How do I prepare and give a dose of VIREAD powder?

  • Wash your hands well with soap and water, and dry them.
  • Measure ¼ to ½ cup of soft food such as applesauce, baby food, or yogurt into a cup or bowl.
  • To open a new bottle of powder, press down on the bottle lid and turn to remove (see picture on the top of the bottle cap). Peel off the foil.
  • Measure the number of scoops prescribed by your healthcare provider.
    • For each full scoop prescribed:
      • Fill the dosing scoop to the top.
      • Use the flat edge of clean knife to make the powder even with the top of the scoop (see Figure B).
        Figure B
    • For ½ scoop:
      • Fill the dosing scoop up to the "½ line" on the side (see Figure C).
        Figure C
  • Sprinkle the VIREAD powder on the soft food. Stir with a spoon until well mixed. Give the entire dose right away after mixing to avoid a bad taste.
  • Close the bottle of VIREAD tightly.
  • Wash and dry the dosing scoop. Do not store the dosing scoop in the bottle.

How should I store VIREAD powder?

  • Store VIREAD powder at room temperature between 68 °F to 77 °F (20 °C to 25 °C).
  • Keep VIREAD powder in the original container.
  • Keep the bottle tightly closed.
  • Do not use VIREAD powder if the seal over the bottle opening is broken or missing.

Keep VIREAD and all medicines out of the reach of children.

This Instructions for Use has been approved by the U.S. Food and Drug Administration.

12.3 Pharmacokinetics

The pharmacokinetics of TDF have been evaluated in healthy volunteers and HIV-1 infected individuals. Tenofovir pharmacokinetics are similar between these populations.

1 Indications and Usage (1 INDICATIONS AND USAGE)

VIREAD is a nucleotide analog HIV-1 reverse transcriptase inhibitor and an HBV reverse transcriptase inhibitor and is indicated:

  • in combination with other antiretroviral agents for the treatment of HIV-1 infection in adults and pediatric patients 2 years of age and older weighing at least 10 kg. (1.1)
  • for the treatment of chronic hepatitis B in adults and pediatric patients 2 years and older weighing at least 10 kg. (1.2)
1.2 Chronic Hepatitis B

VIREAD is indicated for the treatment of chronic hepatitis B virus (HBV) in adults and pediatric patients 2 years of age and older weighing at least 10 kg.

12.1 Mechanism of Action

Tenofovir disoproxil fumarate is an antiviral drug [see Microbiology (12.4)].

5 Warnings and Precautions (5 WARNINGS AND PRECAUTIONS)
  • New onset or worsening renal impairment: Can include acute renal failure and Fanconi syndrome. Avoid administering VIREAD with concurrent or recent use of nephrotoxic drugs. (5.2)
  • HIV testing: HIV antibody testing should be offered to all HBV-infected patients before initiating therapy with VIREAD. VIREAD should only be used as part of an appropriate antiretroviral combination regimen in HIV-infected patients with or without HBV coinfection. (5.3)
  • Immune reconstitution syndrome: May necessitate further evaluation and treatment. (5.4)
  • Decreases in bone mineral density (BMD): Consider assessment of BMD in patients with a history of pathologic fracture or other risk factors for osteoporosis or bone loss. (5.5)
  • Lactic acidosis/severe hepatomegaly with steatosis: Discontinue treatment in patients who develop symptoms or laboratory findings suggestive of lactic acidosis or pronounced hepatotoxicity. (5.6)
2 Dosage and Administration (2 DOSAGE AND ADMINISTRATION)
  • Testing: Prior to or when initiating VIREAD test for hepatitis B virus infection and HIV-1 infection. Prior to initiation and during use of VIREAD, on a clinically appropriate schedule, assess serum creatinine, estimated creatinine clearance, urine glucose, and urine protein in all patients. In patients with chronic kidney disease, also assess serum phosphorous. (2.1)
  • Recommended tablet dosage in adults and pediatric patients weighing at least 35 kg: One VIREAD 300 mg tablet once daily taken orally without regard to food. (2.2)
  • Recommended dosage in pediatric patients at least 2 years of age and adults:
    • Tablets: For patients weighing at least 17 kg who can swallow an intact tablet, one VIREAD tablet (150 mg, 200 mg, 250 mg, or 300 mg based on body weight) once daily taken orally without regard to food. (2.2)
    • Oral powder: For patients weighing at least 10 kg and unable to swallow a tablet, 8 mg per kg VIREAD oral powder (up to a maximum of 300 mg) taken once daily with food. (2.3)
  • Recommended dosage in renally impaired adult patients:
    • Creatinine clearance (CrCl) 30–49 mL/min: 300 mg every 48 hours. (2.4)
    • CrCl 10–29 mL/min: 300 mg every 72 to 96 hours. (2.4)
    • Hemodialysis: 300 mg every 7 days or after approximately 12 hours of dialysis. (2.4)
3 Dosage Forms and Strengths (3 DOSAGE FORMS AND STRENGTHS)

VIREAD is available as tablets in four dose strengths or as an oral powder.

  • 150 mg Tablets: 150 mg of tenofovir disoproxil fumarate (TDF) (equivalent to 123 mg of tenofovir disoproxil): triangle shaped, white, film coated, debossed with "GSI" on one side and with "150" on the other side.
  • 200 mg Tablets: 200 mg of TDF (equivalent to 163 mg of tenofovir disoproxil): round shaped, white, film coated, debossed with "GSI" on one side and with "200" on the other side.
  • 250 mg Tablets: 250 mg of TDF (equivalent to 204 mg of tenofovir disoproxil): capsule shaped, white, film coated, debossed with "GSI" on one side and with "250" on the other side.
  • 300 mg Tablets: 300 mg of TDF (equivalent to 245 mg of tenofovir disoproxil): almond shaped, light blue, film coated, debossed with "GILEAD" and "4331" on one side and with "300" on the other side.
  • Oral Powder: white, taste-masked, coated granules containing 40 mg of TDF (equivalent to 33 mg of tenofovir disoproxil) per level scoop. Each level scoop contains 1 gram of oral powder.
6.2 Postmarketing Experience

The following adverse reactions have been identified during postapproval use of VIREAD. Because postmarketing reactions are reported voluntarily from a population of uncertain size, it is not always possible to reliably estimate their frequency or establish a causal relationship to drug exposure.

Immune System Disorders

allergic reaction, including angioedema

Metabolism and Nutrition Disorders

lactic acidosis, hypokalemia, hypophosphatemia

Respiratory, Thoracic, and Mediastinal Disorders

dyspnea

Gastrointestinal Disorders

pancreatitis, increased amylase, abdominal pain

Hepatobiliary Disorders

hepatic steatosis, hepatitis, increased liver enzymes (most commonly AST, ALT gamma GT)

Skin and Subcutaneous Tissue Disorders

rash

Musculoskeletal and Connective Tissue Disorders

rhabdomyolysis, osteomalacia (manifested as bone pain and which may contribute to fractures), muscular weakness, myopathy

Renal and Urinary Disorders

acute renal failure, renal failure, acute tubular necrosis, Fanconi syndrome, proximal renal tubulopathy, interstitial nephritis (including acute cases), nephrogenic diabetes insipidus, renal insufficiency, increased creatinine, proteinuria, polyuria

General Disorders and Administration Site Conditions

asthenia

The following adverse reactions, listed under the body system headings above, may occur as a consequence of proximal renal tubulopathy: rhabdomyolysis, osteomalacia, hypokalemia, muscular weakness, myopathy, hypophosphatemia.

8 Use in Specific Populations (8 USE IN SPECIFIC POPULATIONS)

Lactation: Breastfeeding in HIV-1 infected mothers is not recommended due to the potential for HIV-1 transmission. (8.2)

6.1 Clinical Trials Experience

Because clinical trials are conducted under widely varying conditions, adverse reaction rates observed in the clinical trials of a drug cannot be directly compared to rates in the clinical trials of another drug and may not reflect the rates observed in practice.

14.1 Overview of Clinical Trials

The efficacy and safety of VIREAD in adults and pediatric subjects were evaluated in the trials summarized in Table 19.

Table 19 Trials Conducted with VIREAD in Adults and Pediatric Subjects for HIV-1 Treatment and Chronic HBV Treatment
Trial Population Study Arms (N)
Randomized and dosed.
Timepoint

(Week)
Trial 903
Randomized, double-blind, active-controlled trial.


(NCT00158821)
HIV-1 treatment-naïve adults VIREAD+lamivudine+efavirenz (299)

stavudine+lamivudine+efavirenz (301)
144
Trial 934
Randomized, open-label active-controlled trial.


(NCT00112047)
emtricitabine+VIREAD+efavirenz (257)

zidovudine/lamivudine+efavirenz (254)
144
Trial 907
Randomized, double-blind, placebo-controlled trial.


(NCT00002450)
HIV-1 treatment-experienced adults VIREAD (368)

Placebo (182)
24
Trial 0102


(NCT00117676)
HBeAg-negative adults with chronic HBV VIREAD (250)

HEPSERA (125)
48
Trial 0103


(NCT00116805)
HBeAg-positive adults with chronic HBV VIREAD (176)

HEPSERA (90)
48
Trial 121


(NCT00737568)
Adults with lamivudine-resistant chronic HBV VIREAD (141) 96
Trial 0108


(NCT00298363)
Adults with chronic HBV and decompensated liver disease VIREAD (45) 48
Trial 352


(NCT00528957)
HIV-1 treatment experienced pediatric subjects 2 years to <12 years VIREAD (44)

stavudine or zidovudine (48)
48
Trial 321


(NCT00352053)
HIV-1 treatment-experienced pediatric subjects 12 years to <18 years VIREAD (45)

Placebo (42)
48
Trial 115


(NCT00734162)
Pediatric subjects 12 years to <18 years with chronic HBV VIREAD (52)

Placebo (54)
72
Trial 144


(NCT01651403)
Pediatric subjects 2 years to <12 years with chronic HBV VIREAD (60)

Placebo (29)
48
17 Patient Counseling Information (17 PATIENT COUNSELING INFORMATION)

Advise the patient to read the FDA-approved patient labeling (Patient Information and Instructions for Use).

5.4 Immune Reconstitution Syndrome

Immune reconstitution syndrome has been reported in HIV-1 infected patients treated with combination antiretroviral therapy, including VIREAD. During the initial phase of combination antiretroviral treatment, HIV-1 infected patients whose immune system responds may develop an inflammatory response to indolent or residual opportunistic infections (such as Mycobacterium avium infection, cytomegalovirus, Pneumocystis jirovecii pneumonia [PCP], or tuberculosis), which may necessitate further evaluation and treatment.

Autoimmune disorders (such as Graves' disease, polymyositis, and Guillain-Barré syndrome) have also been reported to occur in the setting of immune reconstitution; however, the time to onset is more variable, and can occur many months after initiation of treatment.

7.1 Drugs Affecting Renal Function

Tenofovir is primarily eliminated by the kidneys [see Clinical Pharmacology (12.3)]. Coadministration of VIREAD with drugs that are eliminated by active tubular secretion may increase concentrations of tenofovir and/or the coadministered drug. Some examples include, but are not limited to, acyclovir, cidofovir, ganciclovir, valacyclovir, valganciclovir, aminoglycosides (e.g., gentamicin), and high-dose or multiple NSAIDs [see Warnings and Precautions (5.2)]. Drugs that decrease renal function may increase concentrations of tenofovir.

In the treatment of chronic hepatitis B, VIREAD should not be administered in combination with HEPSERA (adefovir dipivoxil).

16 How Supplied/storage and Handling (16 HOW SUPPLIED/STORAGE AND HANDLING)

VIREAD tablets are available in bottles containing 30 tablets with child-resistant closure as follows:

  • 150 mg of TDF (equivalent to 123 mg of tenofovir disoproxil): tablets are triangle-shaped, white, film-coated, and debossed with "GSI" on one side and with "150" on the other side. (NDC 61958-0404-1)
  • 200 mg of TDF (equivalent to 163 mg of tenofovir disoproxil): tablets are round-shaped, white, film-coated, and debossed with "GSI" on one side and with "200" on the other side. (NDC 61958-0405-1)
  • 250 mg of TDF (equivalent to 204 mg of tenofovir disoproxil): tablets are capsule-shaped, white, film-coated and debossed with "GSI" on one side and with "250" on the other side. (NDC 61958-0406-1)
  • 300 mg of TDF (equivalent to 245 mg of tenofovir disoproxil): tablets are almond-shaped, light-blue, film-coated, and debossed with "GILEAD" and "4331" on one side and with "300" on the other side. (NDC 61958-0401-1)

VIREAD oral powder consists of white, coated granules containing 40 mg of TDF (equivalent to 33 mg of tenofovir disoproxil) per gram of powder and is available in multi-use bottles containing 60 grams of oral powder, closed with a child-resistant closure, and co-packaged with a dosing scoop. (NDC 61958-0403-1)

13.2 Animal Toxicology And/or Pharmacology (13.2 Animal Toxicology and/or Pharmacology)

Tenofovir and TDF administered in toxicology studies to rats, dogs, and monkeys at exposures (based on AUCs) greater than or equal to 6 fold those observed in humans caused bone toxicity. In monkeys the bone toxicity was diagnosed as osteomalacia. Osteomalacia observed in monkeys appeared to be reversible upon dose reduction or discontinuation of tenofovir. In rats and dogs, the bone toxicity manifested as reduced bone mineral density. The mechanism(s) underlying bone toxicity is unknown.

Evidence of renal toxicity was noted in 4 animal species. Increases in serum creatinine, BUN, glycosuria, proteinuria, phosphaturia, and/or calciuria and decreases in serum phosphate were observed to varying degrees in these animals. These toxicities were noted at exposures (based on AUCs) 2–20 times higher than those observed in humans. The relationship of the renal abnormalities, particularly the phosphaturia, to the bone toxicity is not known.

5.3 Patients Coinfected With Hiv 1 and Hbv (5.3 Patients Coinfected with HIV-1 and HBV)

Due to the risk of development of HIV-1 resistance, VIREAD should only be used in HIV-1 and HBV coinfected patients as part of an appropriate antiretroviral combination regimen.

HIV-1 antibody testing should be offered to all HBV-infected patients before initiating therapy with VIREAD. It is also recommended that all patients with HIV-1 be tested for the presence of chronic hepatitis B before initiating treatment with VIREAD.

5.2 New Onset Or Worsening Renal Impairment (5.2 New Onset or Worsening Renal Impairment)

Tenofovir is principally eliminated by the kidney. Renal impairment, including cases of acute renal failure and Fanconi syndrome (renal tubular injury with severe hypophosphatemia), has been reported with the use of VIREAD [see Adverse Reactions (6.2)].

Prior to initiation and during use of VIREAD, on a clinically appropriate schedule, assess serum creatinine, estimated creatinine clearance, urine glucose, and urine protein in all patients. In patients with chronic kidney disease, also assess serum phosphorus.

Dosing interval adjustment of VIREAD and close monitoring of renal function are recommended in all patients with creatinine clearance below 50 mL/min [see Dosage and Administration (2.4)]. No safety or efficacy data are available in patients with renal impairment who received VIREAD using these dosing guidelines, so the potential benefit of VIREAD therapy should be assessed against the potential risk of renal toxicity.

VIREAD should be avoided with concurrent or recent use of a nephrotoxic agent (e.g., high-dose or multiple non-steroidal anti-inflammatory drugs [NSAIDs]) [see Drug Interactions (7.1)]. Cases of acute renal failure after initiation of high-dose or multiple NSAIDs have been reported in HIV-infected patients with risk factors for renal dysfunction who appeared stable on TDF. Some patients required hospitalization and renal replacement therapy. Alternatives to NSAIDs should be considered, if needed, in patients at risk for renal dysfunction.

Persistent or worsening bone pain, pain in extremities, fractures and/or muscular pain or weakness may be manifestations of proximal renal tubulopathy and should prompt an evaluation of renal function in patients at risk of renal dysfunction.

7.2 Established and Significant Interactions

Table 12 provides a listing of established or clinically significant drug interactions. The drug interactions described are based on studies conducted with TDF [see Clinical Pharmacology (12.3)].

Table 12 Established and Significant
This table is not all inclusive.
Drug Interactions: Alteration in Dose or Regimen May Be Recommended Based on Drug Interaction Trials
Concomitant Drug Class: Drug Name Effect on Concentration
↑=Increase, ↓=Decrease
Clinical Comment
NRTI:

didanosine
↑ didanosine Patients receiving VIREAD and didanosine should be monitored closely for didanosine-associated adverse reactions. Discontinue didanosine in patients who develop didanosine-associated adverse reactions. Higher didanosine concentrations could potentiate didanosine-associated adverse reactions, including pancreatitis, and neuropathy. Suppression of CD4+ cell counts has been observed in patients receiving VIREAD with didanosine 400 mg daily.

In patients weighing greater than 60 kg, reduce the didanosine dose to 250 mg when it is coadministered with VIREAD. In patients weighing less than 60 kg, reduce the didanosine dose to 200 mg when it is coadministered with VIREAD. When coadministered, VIREAD and Videx EC may be taken under fasted conditions or with a light meal (less than 400 kcal, 20% fat).
HIV-1 Protease Inhibitors:

atazanavir
↓ atazanavir When coadministered with VIREAD, atazanavir 300 mg should be given with ritonavir 100 mg.
lopinavir/ritonavir

atazanavir/ritonavir

darunavir/ritonavir
↑ tenofovir Monitor patients receiving VIREAD concomitantly with lopinavir/ritonavir, ritonavir-boosted atazanavir, or ritonavir-boosted darunavir for TDF-associated adverse reactions. Discontinue VIREAD in patients who develop TDF-associated adverse reactions.
Hepatitis C Antiviral Agents:

sofosbuvir/velpatasvir

sofosbuvir/velpatasvir/voxilaprevir
↑ tenofovir Monitor patients receiving VIREAD concomitantly with EPCLUSA® (sofosbuvir/velpatasvir) for adverse reactions associated with TDF.
ledipasvir/sofosbuvir Monitor patients receiving VIREAD concomitantly with HARVONI® (ledipasvir/sofosbuvir) without an HIV-1 protease inhibitor/ritonavir or an HIV-1 protease inhibitor/cobicistat combination, for adverse reactions associated with TDF. In patients receiving VIREAD concomitantly with HARVONI and an HIV-1 protease inhibitor/ritonavir or an HIV-1 protease inhibitor/cobicistat combination, consider an alternative HCV or antiretroviral therapy, as the safety of increased tenofovir concentrations in this setting has not been established. If coadministration is necessary, monitor for adverse reactions associated with TDF.
Prinicpal Display Panel 40 Mg/scoop Bottle Label (PRINICPAL DISPLAY PANEL - 40 mg/Scoop Bottle Label)

NDC 61958-0403-1

Viread®

(tenofovir disoproxil

fumarate) Oral Powder

40 mg/scoop

60 g per bottle

Rx only

Prinicpal Display Panel 150 Mg Tablet Bottle Label (PRINICPAL DISPLAY PANEL - 150 mg Tablet Bottle Label)

NDC 61958-0404-1

Viread®

(tenofovir disoproxil

fumarate) tablets

150 mg

30 tablets

Rx only

Prinicpal Display Panel 200 Mg Tablet Bottle Label (PRINICPAL DISPLAY PANEL - 200 mg Tablet Bottle Label)

NDC 61958-0405-1

Viread®

(tenofovir disoproxil

fumarate) tablets

200 mg

30 tablets

Rx only

Prinicpal Display Panel 250 Mg Tablet Bottle Label (PRINICPAL DISPLAY PANEL - 250 mg Tablet Bottle Label)

NDC 61958-0406-1

Viread®

(tenofovir disoproxil

fumarate) tablets

250 mg

30 tablets

Rx only

Prinicpal Display Panel 300 Mg Tablet Bottle Label (PRINICPAL DISPLAY PANEL - 300 mg Tablet Bottle Label)

NDC 61958-0401-1

Viread®

(tenofovir disoproxil

fumarate) tablets

300 mg

30 tablets

Rx only

5.6 Lactic Acidosis/severe Hepatomegaly With Steatosis (5.6 Lactic Acidosis/Severe Hepatomegaly with Steatosis)

Lactic acidosis and severe hepatomegaly with steatosis, including fatal cases, have been reported with the use of nucleoside analogs, including TDF, alone or in combination with other antiretrovirals. Treatment with VIREAD should be suspended in any patient who develops clinical or laboratory findings suggestive of lactic acidosis or pronounced hepatotoxicity (which may include hepatomegaly and steatosis even in the absence of marked transaminase elevations).

5.7 Risk of Adverse Reactions Due to Drug Interactions

The concomitant use of VIREAD and other drugs may result in known or potentially significant drug interactions, some of which may lead to possible clinically significant adverse reactions from greater exposures of concomitant drugs [see Drug Interactions (7.2)].

See Table 12 for steps to prevent or manage these possible and known significant drug interactions, including dosing recommendations. Consider the potential for drug interactions prior to and during therapy with VIREAD; review concomitant medications during therapy with VIREAD; and monitor for adverse reactions associated with the concomitant drugs.

2.4 Dosage Adjustment in Patients With Renal Impairment (2.4 Dosage Adjustment in Patients with Renal Impairment)

Significant increase in drug exposures occurred when VIREAD was administered to subjects with moderate to severe renal impairment (creatinine clearance below 50 mL/min). Table 3 provides dosage interval adjustment for patients with renal impairment. No dosage adjustment of VIREAD tablets 300 mg is necessary for patients with mild renal impairment (creatinine clearance 50–80 mL/min) [see Warnings and Precautions (5.3), Use in Specific Populations (8.6), and Clinical Pharmacology (12.3)].

Table 3 Dosage Interval Adjustment for Adult Patients with Altered Creatinine Clearance
Creatinine Clearance (mL/min)
Calculated using ideal (lean) body weight.
Hemodialysis Patients
50 or greater 30–49 10–29
Recommended 300 mg Dosing Interval Every 24 hours Every 48 hours Every 72 to 96 hours Every 7 days or after a total of approximately 12 hours of dialysis
Generally once weekly assuming 3 hemodialysis sessions a week of approximately 4 hours' duration. VIREAD should be administered following completion of dialysis.

No data are available to make dosage recommendations in patients with creatinine clearance below 10 mL/min who are not on hemodialysis.

No data are available to make dosage recommendations in pediatric patients with renal impairment.

Warning: Posttreatment Acute Exacerbation of Hepatitis B (WARNING: POSTTREATMENT ACUTE EXACERBATION OF HEPATITIS B)

Severe acute exacerbations of hepatitis B virus (HBV) have been reported in HBV-infected patients who have discontinued anti-hepatitis B therapy, including VIREAD. Hepatic function should be monitored closely with both clinical and laboratory follow-up for at least several months in HBV-infected patients who discontinue anti-hepatitis B therapy, including VIREAD. If appropriate, resumption of anti-hepatitis B therapy may be warranted [see Warnings and Precautions (5.1)] .

14.3 Clinical Trial Results in Pediatric Subjects With Hiv 1 Infection (14.3 Clinical Trial Results in Pediatric Subjects with HIV-1 Infection)

In Trial 352, 92 treatment-experienced subjects 2 years to less than 12 years of age with stable, virologic suppression on a stavudine (d4T)- or zidovudine (AZT)-containing regimen were randomized to either replace d4T or AZT with VIREAD (N=44) or continue their original regimen (N=48) for 48 weeks. Five additional subjects over the age of 12 years were enrolled and randomized (VIREAD N=4, original regimen N=1) but are not included in the efficacy analysis. After 48 weeks, all eligible subjects were allowed to continue in the trial receiving open-label VIREAD. At Week 48, 89% of subjects in the VIREAD treatment group and 90% of subjects in the d4T or AZT treatment group had HIV-1 RNA concentrations <400 copies/mL. During the 48-week randomized phase of the trial, 1 subject in the VIREAD group discontinued the trial prematurely because of virologic failure/lack of efficacy and 3 subjects (2 subjects in the VIREAD group and 1 subject in the d4T or AZT group) discontinued for other reasons.

In Trial 321, 87 treatment-experienced subjects 12 years to less than 18 years of age were treated with VIREAD (N=45) or placebo (N=42) in combination with an optimized background regimen (OBR) for 48 weeks. The mean baseline CD4 cell count was 374 cells/mm3 and the mean baseline plasma HIV-1 RNA was 4.6 log10 copies/mL. At baseline, 90% of subjects harbored NRTI resistance-associated substitutions in their HIV-1 isolates. Overall, the trial failed to show a difference in virologic response between the VIREAD and placebo groups. Subgroup analyses suggest the lack of difference in virologic response may be attributable to imbalances between treatment arms in baseline viral susceptibility to VIREAD and OBR.

Although changes in HIV-1 RNA in these highly treatment-experienced subjects were less than anticipated, the comparability of the pharmacokinetic and safety data to that observed in adults supports the use of VIREAD in pediatric patients 12 years and older who weigh at least 35 kg and whose HIV-1 isolate is expected to be sensitive to VIREAD [see Warnings and Precautions (5.5), Adverse Reactions (6.1), and Clinical Pharmacology (12.3)].

5.1 Severe Acute Exacerbation of Hepatitis B in Patients With Hbv Infection (5.1 Severe Acute Exacerbation of Hepatitis B in Patients with HBV Infection)

All patients should be tested for the presence of chronic hepatitis B virus (HBV) before or when initiating VIREAD [see Dosage and Administration (2.1)].

Discontinuation of anti-HBV therapy, including VIREAD, may be associated with severe acute exacerbations of hepatitis B. Patients infected with HBV who discontinue VIREAD should be closely monitored with both clinical and laboratory follow-up for at least several months after stopping treatment. If appropriate, resumption of anti-hepatitis B therapy may be warranted, especially in patients with advanced liver disease or cirrhosis, since posttreatment exacerbation of hepatitis may lead to hepatic decompensation and liver failure.

2.1 Testing Prior to Initiation of Viread for Treatment of Hiv 1 Infection Or Chronic Hepatitis B (2.1 Testing Prior to Initiation of VIREAD for Treatment of HIV-1 Infection or Chronic Hepatitis B)

Prior to or when initiating VIREAD, test patients for HBV infection and HIV-1 infection. VIREAD alone should not be used in patients with HIV-1 infection [see Warnings and Precautions (5.3)].

Prior to initiation and during use of VIREAD, on a clinically appropriate schedule, assess serum creatinine, estimated creatinine clearance, urine glucose and urine protein in all patients. In patients with chronic kidney disease, also assess serum phosphorus [see Warnings and Precautions (5.2)].

2.2 Recommended Tablet Dosage in Adults and Pediatric Patients 2 Years and Older Weighing At Least 17 Kg (2.2 Recommended Tablet Dosage in Adults and Pediatric Patients 2 Years and Older Weighing at Least 17 kg)

The recommended dosage of VIREAD in adults and pediatric patients weighing at least 35 kg is one 300 mg tablet taken orally once daily without regard to food. The dosage for VIREAD is the same for both HIV and HBV indications.

The recommended dosage of VIREAD tablet in adults and pediatric patients 2 years and older weighing at least 17 kg is 8 mg of tenofovir disoproxil fumarate (TDF) per kg of body weight (up to a maximum of 300 mg) once daily. Dosage for pediatric patients 2 years and older weighing between 17 kg and 35 kg and able to swallow an intact tablet is provided in Table 1. Weight should be monitored periodically and the VIREAD dose adjusted accordingly.

Table 1 Recommended Dosing for Patients 2 Years and Older and Weighing at Least 17 kg Using VIREAD Tablets
Body Weight (kg) Dosing of VIREAD Tablets
17 to less than 22 one 150 mg tablet once daily
22 to less than 28 one 200 mg tablet once daily
28 to less than 35 one 250 mg tablet once daily
at least 35 one 300 mg tablet once daily
2.3 Recommended Oral Powder Dosage in Adults and Pediatric Patients 2 Years and Older Weighing At Least 10 Kg (2.3 Recommended Oral Powder Dosage in Adults and Pediatric Patients 2 Years and Older Weighing at Least 10 kg)

The recommended dosage of VIREAD oral powder in adults and pediatric patients 2 years and older weighing at least 10 kg who are unable to swallow a tablet is 8 mg of TDF per kg of body weight (up to a maximum of 300 mg) once daily administered as oral powder (see Table 2). Weight should be monitored periodically and the VIREAD dose adjusted accordingly.

VIREAD oral powder should be measured only with the supplied dosing scoop. One level scoop delivers 1 g of powder, which contains 40 mg of TDF. VIREAD oral powder should be mixed in a container with 2 to 4 ounces of soft food not requiring chewing (e.g., applesauce, baby food, yogurt). The entire mixture should be ingested immediately to avoid a bitter taste. Do not administer VIREAD oral powder in a liquid as the powder may float on top of the liquid even after stirring. Further patient instructions on how to administer VIREAD oral powder with the supplied dosing scoop are provided in the FDA-approved patient labeling (Patient Information).

Table 2 Dosing for Patients 2 Years and Older Weighing at least 10 kg Using VIREAD Oral Powder
Body Weight (kg) Dosing of VIREAD Oral Powder Total Daily Dosage

(40 mg per scoop)
10 to less than 12 2 scoops once daily 80 mg
12 to less than 14 2.5 scoops once daily 100 mg
14 to less than 17 3 scoops once daily 120 mg
17 to less than 19 3.5 scoops once daily 140 mg
19 to less than 22 4 scoops once daily 160 mg
22 to less than 24 4.5 scoops once daily 180 mg
24 to less than 27 5 scoops once daily 200 mg
27 to less than 29 5.5 scoops once daily 220 mg
29 to less than 32 6 scoops once daily 240 mg
32 to less than 34 6.5 scoops once daily 260 mg
34 to less than 35 7 scoops once daily 280 mg
at least 35 7.5 scoops once daily 300 mg

Advanced Ingredient Data


Raw Label Data

All Sections (JSON)