Mylotarg

these highlights do not include all the information needed to use mylotarg safely and effectively. see full prescribing information for mylotarg.
SPL v19
SPL
SPL Set ID 32fd2bb2-1cfa-4250-feb8-d7956c794e05
Route
intravenous
Published
Effective Date 2021-08-26
Document Type 34391-3 HUMAN PRESCRIPTION DRUG LABEL

Drug Facts

Composition & Product

Active Ingredients
gemtuzumab ozogamicin (5 mg)
Inactive Ingredients
dextran 40 sucrose sodium chloride sodium phosphate, monobasic, unspecified form sodium phosphate, dibasic, unspecified form

Identifiers & Packaging

Marketing Status
bla active Since 2017-09-07

Indications and Usage

MYLOTARG is a CD33-directed antibody and cytotoxic drug conjugate indicated for: • treatment of newly-diagnosed CD33-positive acute myeloid leukemia (AML) in adults and pediatric patients 1 month and older ( 1.1 ). • treatment of relapsed or refractory CD33-positive AML in adults and pediatric patients 2 years and older ( 1.2 ).

Dosage and Administration

• Newly-diagnosed, de novo AML (combination regimen) Adults : - Induction: 3 mg/m 2 (up to one 4.5 mg vial) on Days 1, 4, and 7 in combination with daunorubicin and cytarabine ( 2.2 ). - Consolidation: 3 mg/m 2 on Day 1 (up to one 4.5 mg vial) in combination with daunorubicin and cytarabine ( 2.2 ).   Pediatric patients 1 month and older : - 3 mg/m 2 for patients with body surface area (BSA) 0.6 m 2 or greater ( 2.2 ). - 0.1 mg/kg for patients with BSA less than 0.6 m 2 ( 2.2 ). - See Full Prescribing Information for complete dosing information ( 2.2 ). • Newly-diagnosed AML (single-agent regimen): Adults : - Induction: 6 mg/m 2 (not limited to one 4.5 mg vial) on Day 1 and 3 mg/m 2 (not limited to one 4.5 mg vial) on Day 8 ( 2.2 ). - Continuation: For patients without evidence of disease progression following induction, up to 8 continuation courses of MYLOTARG 2 mg/m 2 (not limited to one 4.5 mg vial) on Day 1 every 4 weeks ( 2.2 ). • Relapsed or refractory AML (single-agent regimen):   Adults and pediatric patients 2 years and older: - 3 mg/m 2 (up to one 4.5 mg vial) on Days 1, 4, and 7 ( 2.2 ). • Premedicate with a corticosteroid, antihistamine, and acetaminophen ( 2.1 ).

Contraindications

MYLOTARG is contraindicated in patients with a history of hypersensitivity to the active substance in MYLOTARG or any of its components or to any of the excipients. Reactions have included anaphylaxis [see Warnings and Precautions (5.2) , Adverse Reactions (6) ] .

Warnings and Precautions

• Infusion-related reactions (including anaphylaxis): Premedicate with a corticosteroid, acetaminophen, and diphenhydramine. Monitor patients during and for at least 1 hour after the end of the infusion. Interrupt the infusion, administer steroids or antihistamines, or permanently discontinue treatment as necessary ( 2.1 , 5.2 , 6 ). • Hemorrhage: Severe, including fatal, hemorrhage may occur when MYLOTARG is used at recommended doses. Monitor platelet counts frequently ( 5.3 , 6.1 ). • Embryo-fetal toxicity: Can cause fetal harm. Advise patients of reproductive potential of the potential risk to a fetus and to use effective contraception ( 5.6 , 8.1 , 8.3 ).

Adverse Reactions

The following clinically significant adverse reactions are described elsewhere in the labeling: • Hepatotoxicity, including VOD [see Warnings and Precautions (5.1) ] • Infusion-related reactions [see Warnings and Precautions (5.2) ] • Hemorrhage [see Warnings and Precautions (5.3) ]

How Supplied

MYLOTARG (gemtuzumab ozogamicin) for injection is a white to off-white lyophilized cake or powder supplied in a carton (NDC 0008-4510-01) containing one 4.5 mg single-dose vial [see Dosage and Administration (2) ] .

Storage and Handling

MYLOTARG (gemtuzumab ozogamicin) for injection is a white to off-white lyophilized cake or powder supplied in a carton (NDC 0008-4510-01) containing one 4.5 mg single-dose vial [see Dosage and Administration (2) ] .

Description

Hepatotoxicity, including severe or fatal hepatic veno-occlusive disease (VOD), also known as sinusoidal obstruction syndrome (SOS), has been reported in association with the use of MYLOTARG as a single agent, and as part of a combination chemotherapy regimen. Monitor frequently for signs and symptoms of VOD after treatment with MYLOTARG. ( 5.1 and 6.1 )


Medication Information

Warnings and Precautions

• Infusion-related reactions (including anaphylaxis): Premedicate with a corticosteroid, acetaminophen, and diphenhydramine. Monitor patients during and for at least 1 hour after the end of the infusion. Interrupt the infusion, administer steroids or antihistamines, or permanently discontinue treatment as necessary ( 2.1 , 5.2 , 6 ). • Hemorrhage: Severe, including fatal, hemorrhage may occur when MYLOTARG is used at recommended doses. Monitor platelet counts frequently ( 5.3 , 6.1 ). • Embryo-fetal toxicity: Can cause fetal harm. Advise patients of reproductive potential of the potential risk to a fetus and to use effective contraception ( 5.6 , 8.1 , 8.3 ).

Indications and Usage

MYLOTARG is a CD33-directed antibody and cytotoxic drug conjugate indicated for: • treatment of newly-diagnosed CD33-positive acute myeloid leukemia (AML) in adults and pediatric patients 1 month and older ( 1.1 ). • treatment of relapsed or refractory CD33-positive AML in adults and pediatric patients 2 years and older ( 1.2 ).

Dosage and Administration

• Newly-diagnosed, de novo AML (combination regimen) Adults : - Induction: 3 mg/m 2 (up to one 4.5 mg vial) on Days 1, 4, and 7 in combination with daunorubicin and cytarabine ( 2.2 ). - Consolidation: 3 mg/m 2 on Day 1 (up to one 4.5 mg vial) in combination with daunorubicin and cytarabine ( 2.2 ).   Pediatric patients 1 month and older : - 3 mg/m 2 for patients with body surface area (BSA) 0.6 m 2 or greater ( 2.2 ). - 0.1 mg/kg for patients with BSA less than 0.6 m 2 ( 2.2 ). - See Full Prescribing Information for complete dosing information ( 2.2 ). • Newly-diagnosed AML (single-agent regimen): Adults : - Induction: 6 mg/m 2 (not limited to one 4.5 mg vial) on Day 1 and 3 mg/m 2 (not limited to one 4.5 mg vial) on Day 8 ( 2.2 ). - Continuation: For patients without evidence of disease progression following induction, up to 8 continuation courses of MYLOTARG 2 mg/m 2 (not limited to one 4.5 mg vial) on Day 1 every 4 weeks ( 2.2 ). • Relapsed or refractory AML (single-agent regimen):   Adults and pediatric patients 2 years and older: - 3 mg/m 2 (up to one 4.5 mg vial) on Days 1, 4, and 7 ( 2.2 ). • Premedicate with a corticosteroid, antihistamine, and acetaminophen ( 2.1 ).

Contraindications

MYLOTARG is contraindicated in patients with a history of hypersensitivity to the active substance in MYLOTARG or any of its components or to any of the excipients. Reactions have included anaphylaxis [see Warnings and Precautions (5.2) , Adverse Reactions (6) ] .

Adverse Reactions

The following clinically significant adverse reactions are described elsewhere in the labeling: • Hepatotoxicity, including VOD [see Warnings and Precautions (5.1) ] • Infusion-related reactions [see Warnings and Precautions (5.2) ] • Hemorrhage [see Warnings and Precautions (5.3) ]

Storage and Handling

MYLOTARG (gemtuzumab ozogamicin) for injection is a white to off-white lyophilized cake or powder supplied in a carton (NDC 0008-4510-01) containing one 4.5 mg single-dose vial [see Dosage and Administration (2) ] .

How Supplied

MYLOTARG (gemtuzumab ozogamicin) for injection is a white to off-white lyophilized cake or powder supplied in a carton (NDC 0008-4510-01) containing one 4.5 mg single-dose vial [see Dosage and Administration (2) ] .

Description

Hepatotoxicity, including severe or fatal hepatic veno-occlusive disease (VOD), also known as sinusoidal obstruction syndrome (SOS), has been reported in association with the use of MYLOTARG as a single agent, and as part of a combination chemotherapy regimen. Monitor frequently for signs and symptoms of VOD after treatment with MYLOTARG. ( 5.1 and 6.1 )

Section 42229-5

Newly-Diagnosed De Novo CD33-positive AML (Combination Regimen)

Section 43683-2

Dosage and Administration, Instructions for Reconstitution, Dilution, and Administration (2.4)

08/2021

Section 44425-7

Refrigerate (2°C to 8°C; 36°F to 46°F) MYLOTARG vials and store in the original carton to protect from light. DO NOT FREEZE.

MYLOTARG is a cytotoxic drug. Follow applicable special handling and disposal procedures.1

15 References
11 Description

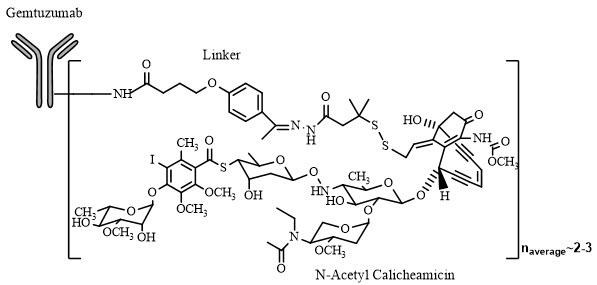
Gemtuzumab ozogamicin is an antibody-drug conjugate (ADC) composed of the CD33-directed monoclonal antibody (hP67.6; recombinant humanized immunoglobulin [Ig] G4, kappa antibody produced by mammalian cell culture in NS0 cells) that is covalently linked to the cytotoxic agent N-acetyl gamma calicheamicin. Gemtuzumab ozogamicin consists of conjugated and unconjugated gemtuzumab. The conjugated molecules differ in the number of activated calicheamicin derivative moieties attached to gemtuzumab. The number of conjugated calicheamicin derivatives per gemtuzumab molecule ranges from predominantly zero to 6, with an average of 2 to 3 moles of calicheamicin derivative per mole of gemtuzumab.

MYLOTARG (gemtuzumab ozogamicin) for injection is supplied as a sterile, white to off-white, preservative-free lyophilized cake or powder for intravenous administration. Each single-dose vial delivers 4.5 mg gemtuzumab ozogamicin. Inactive ingredients are dextran 40 (41.0 mg), sodium chloride (26.1 mg), sodium phosphate dibasic anhydrous (2.7 mg), sodium phosphate monobasic monohydrate (0.45 mg), and sucrose (69.8 mg). After reconstitution with 5 mL of Sterile Water for Injection USP, the concentration is 1 mg/mL of gemtuzumab ozogamicin with a deliverable volume of 4.5 mL (4.5 mg).

5.3 Hemorrhage

MYLOTARG is myelosuppressive and can cause fatal or life-threatening hemorrhage due to prolonged thrombocytopenia. In ALFA-0701, (MYLOTARG in combination with chemotherapy), all grades and Grade 3–4 bleeding events were reported in 118/131 (90%) and 27/131 (21%) patients, respectively. Fatal bleeding events (including cerebral hematoma, intracranial hematoma, and subdural hematoma) occurred in 4/131 (3%) patients. Thrombocytopenia with platelet counts less than 50 Gi/L persisting more than 42 days occurred in 19 (19%) patients in the induction phase [see Adverse Reactions (6)]. The proportion of patients with persistent thrombocytopenia increased with progressive treatment phases and was higher in patients treated with MYLOTARG plus chemotherapy than with chemotherapy alone [see Adverse Reactions (6)].

In AAML0531, fatal bleeding occurred in 3/520 (<1%) of the pediatric patients. Grade 3 or 4 bleeding was reported in 66/520 (13%) of the pediatric patients in the MYLOTARG arm.

In AML-19 (MYLOTARG monotherapy at 6 mg/m2 Day 1 and 3 mg/m2 Day 8), all grades and Grade 3 or higher bleeding were reported in 28/111 (25%) and 14/111 (13%) patients, respectively. Fatal bleeding occurred in 1/111 (1%). In MyloFrance-1 (MYLOTARG 3 mg/m2 as monotherapy), Grade 3 bleeding was reported in 4/57 (7%) patients, but no patient experienced Grade 4 hemorrhage.

Assess blood counts prior to each dose of MYLOTARG and monitor blood counts frequently after treatment with MYLOTARG until resolution of cytopenias. Monitor patients for signs and symptoms of bleeding during treatment with MYLOTARG. Manage severe bleeding, hemorrhage or persistent thrombocytopenia using dose delay or permanent discontinuation of MYLOTARG [see Dosage and Administration (2.2)], and provide supportive care per standard practice.

8.4 Pediatric Use

The safety and effectiveness of MYLOTARG in combination with standard chemotherapy have been established in pediatric patients 1 month and older with newly-diagnosed de novo AML. The use of MYLOTARG for this indication is supported by evidence of effectiveness from adequate and well-controlled studies in adults with supportive data on safety and effectiveness in Study AAML0531 (NCT00372593) [see Adverse Reactions (6.1), Clinical Studies (14.1)]. AAML0531 included patients in the following age groups: 2 patients less than 27 days old, 94 patients 28 days to less than 2 years old, 225 patients 2 years to less than 12 years old, 175 patients 12 years old to less than 18 years old, and 36 patients 18 years or older in the MYLOTARG plus chemotherapy arm. The safety and effectiveness of MYLOTARG with standard chemotherapy in pediatric patients less than 1 month of age with newly-diagnosed de novo AML have not been established.

The safety and effectiveness of MYLOTARG as a single agent in pediatric patients with newly-diagnosed AML have not been established.

The safety and effectiveness of MYLOTARG as a single agent in the pediatric patients with relapsed or refractory AML is supported by a single-arm trial in 29 patients in the following age groups: 1 patient 1 month to less than 2 years old, 13 patients 2 years to less than 12 years old, and 15 patients 12 years to 18 years old. A literature review included an additional 96 patients with ages ranging from 0.2 to 21 years. No differences in efficacy and safety were observed by age. The information on this use is discussed throughout the labeling. The safety and effectiveness of MYLOTARG as a single agent in pediatric patients less than 2 years of age with relapsed or refractory AML have not been established.

8.5 Geriatric Use

Use of MYLOTARG in combination with daunorubicin and cytarabine in newly-diagnosed adult patients with de novo AML is supported by a randomized, controlled trial that included 50 patients greater than or equal to 65 years old. No overall differences in safety or effectiveness were observed between these subjects and younger subjects. Use of MYLOTARG monotherapy in newly-diagnosed adult patients with AML is supported by a randomized controlled trial with 118 patients treated with MYLOTARG. All patients were over the age of 60 years and 65% of patients were above 75 years. No overall differences in effectiveness were observed by age.

Use of MYLOTARG as single-agent treatment of relapsed or refractory AML is supported by a single-arm trial that included 27 patients 65 years or older. No overall differences in effectiveness were observed between these patients and younger patients. Elderly patients experienced a higher rate of fever and severe or greater infections.

6.3 Immunogenicity

As with all therapeutic proteins, there is potential for immunogenicity. Immunogenicity of MYLOTARG was not studied in clinical trials using the recommended dose regimens.

4 Contraindications

MYLOTARG is contraindicated in patients with a history of hypersensitivity to the active substance in MYLOTARG or any of its components or to any of the excipients. Reactions have included anaphylaxis [see Warnings and Precautions (5.2), Adverse Reactions (6)].

6 Adverse Reactions

The following clinically significant adverse reactions are described elsewhere in the labeling:

12.2 Pharmacodynamics

Saturation of a high percentage of CD33 antigenic sites is presumed to be required for maximum delivery of calicheamicin to leukemic blast cells. Near maximal peripheral CD33 saturation was observed across studies after gemtuzumab ozogamicin dosing at dose levels of 2 mg/m2 and above.

At 9 mg/m2 gemtuzumab ozogamicin (2 doses, 14 days apart), the risk for VOD increases as the Cmax of the first dose of gemtuzumab ozogamicin increases. The increase in VOD is more prominent in patients with prior stem cell transplantation.

12.3 Pharmacokinetics

There are no clinical PK data for the fractionated regimen. When gemtuzumab ozogamicin is administered at 9 mg/m2 (2 doses, 14 days apart), the Cmax following the first dose for patients who received 9 mg/m2 gemtuzumab ozogamicin was 3.0 mg/L and increased to 3.6 mg/L after the second dose.

1 Indications and Usage

MYLOTARG is a CD33-directed antibody and cytotoxic drug conjugate indicated for:

  • treatment of newly-diagnosed CD33-positive acute myeloid leukemia (AML) in adults and pediatric patients 1 month and older (1.1).
  • treatment of relapsed or refractory CD33-positive AML in adults and pediatric patients 2 years and older (1.2).
Warning: Hepatotoxicity

Hepatotoxicity, including severe or fatal hepatic veno-occlusive disease (VOD), also known as sinusoidal obstruction syndrome (SOS), has been reported in association with the use of MYLOTARG as a single agent, and as part of a combination chemotherapy regimen. Monitor frequently for signs and symptoms of VOD after treatment with MYLOTARG. (5.1 and 6.1)

12.1 Mechanism of Action

Gemtuzumab ozogamicin is a CD33-directed antibody-drug conjugate (ADC). The antibody portion (hP67.6) recognizes human CD33 antigen. The small molecule, N-acetyl gamma calicheamicin, is a cytotoxic agent that is covalently attached to the antibody via a linker. Nonclinical data suggest that the anticancer activity of gemtuzumab ozogamicin is due to the binding of the ADC to CD33-expressing tumor cells, followed by internalization of the ADC-CD33 complex, and the intracellular release of N-acetyl gamma calicheamicin dimethyl hydrazide via hydrolytic cleavage of the linker. Activation of N-acetyl gamma calicheamicin dimethyl hydrazide induces double-strand DNA breaks, subsequently inducing cell cycle arrest and apoptotic cell death.

5.6 Embryo Fetal Toxicity

Based on its mechanism of action and findings from animal studies, MYLOTARG can cause embryo-fetal harm when administered to a pregnant woman. In animal studies, gemtuzumab ozogamicin caused embryo-fetal toxicity, starting at a dose that was approximately 0.4 times the exposure in patients at the maximum recommended dose, based on the area under the concentration-time curve (AUC).

Advise pregnant women of the potential risk to a fetus. Advise females of reproductive potential to use effective contraception during treatment with MYLOTARG and for at least 6 months after the final dose. Advise males with female partners of reproductive potential to use effective contraception during treatment with MYLOTARG and for at least 3 months after the last dose [see Use in Specific Populations (8.1, 8.3)].

5 Warnings and Precautions
  • Infusion-related reactions (including anaphylaxis): Premedicate with a corticosteroid, acetaminophen, and diphenhydramine. Monitor patients during and for at least 1 hour after the end of the infusion. Interrupt the infusion, administer steroids or antihistamines, or permanently discontinue treatment as necessary (2.1, 5.2, 6).
  • Hemorrhage: Severe, including fatal, hemorrhage may occur when MYLOTARG is used at recommended doses. Monitor platelet counts frequently (5.3, 6.1).
  • Embryo-fetal toxicity: Can cause fetal harm. Advise patients of reproductive potential of the potential risk to a fetus and to use effective contraception (5.6, 8.1, 8.3).
2 Dosage and Administration
  • Newly-diagnosed, de novo AML (combination regimen)

    Adults:
    • -
      Induction: 3 mg/m2 (up to one 4.5 mg vial) on Days 1, 4, and 7 in combination with daunorubicin and cytarabine (2.2).
    • -
      Consolidation: 3 mg/m2 on Day 1 (up to one 4.5 mg vial) in combination with daunorubicin and cytarabine (2.2).
  •  
    Pediatric patients 1 month and older:
    • -
      3 mg/m2 for patients with body surface area (BSA) 0.6 m2 or greater (2.2).
    • -
      0.1 mg/kg for patients with BSA less than 0.6 m2 (2.2).
    • -
      See Full Prescribing Information for complete dosing information (2.2).
  • Newly-diagnosed AML (single-agent regimen):

    Adults:
    • -
      Induction: 6 mg/m2 (not limited to one 4.5 mg vial) on Day 1 and 3 mg/m2 (not limited to one 4.5 mg vial) on Day 8 (2.2).
    • -
      Continuation: For patients without evidence of disease progression following induction, up to 8 continuation courses of MYLOTARG 2 mg/m2 (not limited to one 4.5 mg vial) on Day 1 every 4 weeks (2.2).
  • Relapsed or refractory AML (single-agent regimen):
  •  
    Adults and pediatric patients 2 years and older:
    • -
      3 mg/m2 (up to one 4.5 mg vial) on Days 1, 4, and 7 (2.2).
  • Premedicate with a corticosteroid, antihistamine, and acetaminophen (2.1).
3 Dosage Forms and Strengths

For injection: 4.5 mg as a white to off-white lyophilized cake or powder in a single-dose vial for reconstitution and further dilution.

5.4 Qt Interval Prolongation

QT interval prolongation has been observed in patients treated with other drugs containing calicheamicin. When administering MYLOTARG to patients who have a history of or predisposition for QTc prolongation, who are taking medicinal products that are known to prolong QT interval, and in patients with electrolyte disturbances, obtain electrocardiograms (ECGs) and electrolytes prior to the start of treatment and as needed during administration.

6.2 Postmarketing Experience

The following adverse drug reactions have been identified during post-approval use of MYLOTARG. Because these reactions are reported voluntarily from a population of uncertain size, it is not always possible to reliably estimate their frequency or establish a causal relationship to drug exposure.

Gastrointestinal Disorders: Neutropenic colitis

including fatal events

Infections and Infestations: fungal lung infections including Pulmonary mycosis and Pneumocystis jirovecii pneumonia

; and bacterial infections including Stenotrophomonas infection

Renal and Urinary Disorders: Hemorrhagic cystitis

Respiratory, Thoracic and Mediastinal Disorders: Interstitial pneumonia

8 Use in Specific Populations

Lactation: Advise not to breastfeed (8.2).



6.1 Clinical Trials Experience

Because clinical trials are conducted under widely varying conditions, adverse reaction rates observed in the clinical trials of a drug cannot be directly compared to rates in the clinical trials of another drug and may not reflect the rates observed in practice.

16 How Supplied/storage and Handling

MYLOTARG (gemtuzumab ozogamicin) for injection is a white to off-white lyophilized cake or powder supplied in a carton (NDC 0008-4510-01) containing one 4.5 mg single-dose vial [see Dosage and Administration (2)].

2.3 Dosage Modifications for Toxicities

Monitor blood counts frequently through resolution of cytopenias. Monitor blood counts and chemistries at least three times per week through recovery from treatment-related toxicities. Management of some adverse reactions [see Warnings and Precautions (5) , Adverse Reactions (6)] may require dose interruptions or permanent discontinuation of MYLOTARG. Table 1 shows the dose modification guidelines for hematologic and nonhematologic toxicities.

Table 1. Dosage Modifications for Hematologic and Nonhematologic Toxicities
Hematologic and Nonhematologic Toxicities Recommended Action
Abbreviations: ALT=alanine aminotransferase; AST=aspartate aminotransferase; VOD=veno-occlusive disease; ULN=upper limit of normal.

For patients receiving MYLOTARG in combination therapy

Persistent thrombocytopenia

  • Adults: If platelet count does not recover to greater than or equal to 100 Gi/L within 14 days following the planned start date of the consolidation cycle (14 days after hematologic recovery following previous cycle), discontinue MYLOTARG (do not administer MYLOTARG in the consolidation cycles).
  • Pediatrics: Patients should have a platelet count of 75 Gi/L before the next cycle (induction or intensification).

Persistent neutropenia

  • Adults: If neutrophil count does not recover to greater than 0.5 Gi/L within 14 days following the planned start date of the consolidation cycle (14 days after hematologic recovery following previous cycle), discontinue MYLOTARG (do not administer MYLOTARG in the consolidation cycles).
  • Pediatrics: Patients should have a neutrophil count of 1 Gi/L before the next cycle (induction or intensification).

For all patients receiving MYLOTARG (Monotherapy or in Combination)

VOD

Total bilirubin greater than 2 × ULN, or AST and/or ALT greater than 2.5 × ULN

  • Delay treatment with MYLOTARG until recovery of total bilirubin to less than or equal to 2 × ULN and AST and ALT to less than or equal to 2.5 × ULN prior to each dose.
  • Omit scheduled dose if delayed more than 2 days between sequential infusions.

Infusion-related reactions

  • Interrupt the infusion and institute appropriate medical management.
  • Administer acetaminophen, diphenhydramine and/or methylprednisolone, if needed [see Dosage and Administration (2.1)]
  • Provide supportive care measures as needed.
  • For mild, moderate or severe infusion-related reactions, once symptoms resolve, consider resuming the infusion at no more than half the rate at which the reaction occurred. Repeat the procedure above in the event of recurrence of symptoms.
  • Permanently discontinue MYLOTARG upon occurrence of a severe infusion reaction or for any life-threatening infusion reaction [see Warnings and Precautions (5.2)].

Other severe or life-threatening non-hematologic toxicities

  • Delay treatment with MYLOTARG until recovery to a severity of no more than mild.
  • Omit scheduled dose if delayed more than 2 days between sequential infusions.
Principal Display Panel 4.5 Mg Vial Label

Pfizer

NDC 0008-4510-01

Rx only

MYLOTARG™

(gemtuzumab ozogamicin)

for Injection

4.5 mg/vial

For Intravenous Infusion Only

Single-dose vial.

No Preservatives

Discard unused portion.

1.2 Relapsed Or Refractory Cd33 Positive Aml

MYLOTARG is indicated for the treatment of relapsed or refractory CD33-positive acute myeloid leukemia in adults and pediatric patients 2 years and older.

2.1 Premedication and Special Considerations
  • Premedicate adults with acetaminophen 650 mg orally and diphenhydramine 50 mg orally or intravenously 1 hour prior to MYLOTARG dosing and 1 mg/kg methylprednisolone or an equivalent dose of an alternative corticosteroid within 30 minutes prior to infusion of MYLOTARG.
  • Premedicate pediatric patients 1 month and older with acetaminophen 15 mg/kg (maximum of 650 mg) and diphenhydramine 1 mg/kg (maximum of 50 mg) 1 hour prior to MYLOTARG dosing, and 1 mg/kg methylprednisolone orally or intravenously within 30 minutes prior to infusion of MYLOTARG; additional doses of acetaminophen and diphenhydramine may be administered every 4 hours after the initial pretreatment dose. Repeat with the same dose of methylprednisolone or an equivalent corticosteroid for any sign of an infusion reaction, such as fever, chills, hypotension, or dyspnea during the infusion or within 4 hours afterwards [see Warnings and Precautions (5.2)].
  • Use appropriate measures to prevent tumor lysis syndrome.
  • For patients with hyperleukocytosis (leukocyte count greater than or equal to 30 Gi/L), cytoreduction is recommended prior to administration of MYLOTARG.
Principal Display Panel 4.5 Mg Vial Carton

Pfizer

NDC 0008-4510-01

MYLOTARG™

(gemtuzumab ozogamicin)

for Injection

4.5 mg/vial

For Intravenous Infusion Only

Reconstitution and dilution

required

No Preservatives

One Single-Dose Vial.

Discard unused portion.

Rx only

5.5 Use in Aml With Adverse Risk Cytogenetics

In subgroup analyses in ALFA-0701, the addition of MYLOTARG to standard combination chemotherapy did not improve event-free survival in the subgroup of patients having adverse-risk cytogenetics (HR 1.11; 95% CI: 0.63, 1.95). For patients being treated with MYLOTARG in combination with daunorubicin and cytarabine for newly-diagnosed de novo AML, when cytogenetics testing results become available consider whether the potential benefit of continuing treatment with MYLOTARG outweighs the risks for the individual patient.

8.3 Females and Males of Reproductive Potential

MYLOTARG can cause embryo-fetal harm when administered to a pregnant woman [see Use in Specific Populations (8.1)].

5.2 Infusion Related Reactions (including Anaphylaxis)

Life-threatening or fatal infusion-related-reactions can occur during or within 24 hours following infusion of MYLOTARG [see Adverse Reactions (6)]. Signs and symptoms of infusion-related reactions may include fever, chills, hypotension, tachycardia, hypoxia and respiratory failure.

Premedicate prior to MYLOTARG infusion [see Dosage and Administration (2.1)]. Monitor vital signs frequently during infusion. Interrupt infusion immediately for patients who develop evidence of infusion reaction, especially dyspnea, bronchospasm, or hypotension. Monitor patients during and for at least 1 hour after the end of the infusion or until signs and symptoms completely resolve. Discontinue use of MYLOTARG in patients who develop signs or symptoms of anaphylaxis, including severe respiratory symptoms or clinically significant hypotension [see Dosage and Administration (2.2)].

13.1 Carcinogenesis, Mutagenesis, Impairment of Fertility

Formal carcinogenicity studies have not been conducted with gemtuzumab ozogamicin. In toxicity studies, rats were dosed weekly for 6 weeks with gemtuzumab ozogamicin at doses up to 7.2 mg/m2/week. After 6 weeks of dosing, rats developed oval cell hyperplasia in the liver, which is considered a potentially preneoplastic finding, at 7.2 mg/m2/week (approximately 16 times the exposure in patients at the maximum recommended dose, based on AUC). Other preneoplastic or neoplastic changes observed with other antibody-calicheamicin conjugates in rats included basophilic and/or eosinophilic altered cell foci and hepatocellular adenomas. The relevance of these animal findings to humans is uncertain.

Gemtuzumab ozogamicin was clastogenic in vivo in the bone marrow of mice that received single doses greater than or equal to 22.1 mg/m2. This is consistent with the known induction of DNA breaks by calicheamicin. N-acetyl gamma calicheamicin dimethyl hydrazide (the released cytotoxic agent) was mutagenic in the bacterial reverse mutation assay and clastogenic in the in vitro micronucleus assay in human TK6 cells.

In a female fertility study, female rats were administered daily intravenous doses of gemtuzumab ozogamicin up to 1.08 mg/m2 for 14 days before mating with untreated male rats. Significant decreases in the numbers of corpora lutea and implants were observed at 1.08 mg/m2, and dose-related decreases and increases in the number of live and dead embryos were observed at doses tested (approximately 0.4 times the exposure in patients at the maximum recommended dose, based on AUC). Increased embryofetal lethality at ≥0.36 mg/m2 was observed in the presence of maternal toxicity that included decreases in gestational body weight and food consumption. Additional findings in female reproductive organs (ovarian atrophy and decreased numbers of follicles associated with atrophy of the uterus, vagina and mammary glands) occurred in rats and monkeys after dosing with other antibody-calicheamicin conjugates.

Fertility was assessed in male rats administered daily intravenous doses of gemtuzumab ozogamicin from 0.12 to 1.08 mg/m2 for 28 days, followed by mating with untreated females, either at the end of the dosing period or after a 9-week drug-free period. Male fertility index was decreased at doses ≥0.12 mg/m2 (approximately 1.2 times the exposure in patients at the maximum recommended dose, based on AUC). Effects on testes and epididymides occurred at ≥0.12 mg/m2, including smaller size and lower weights in addition to adverse effects on sperm. Partial recovery was noted for some effects. Additional effects in male reproductive organs occurred in repeat-dose toxicology studies and included effects on mammary gland, testes, and epididymides in rats at ≥2.4 mg/m2/week and effects on testes and epididymides in monkeys at 21.6 mg/m2/week. Testicular effects in male monkeys with other antibody-calicheamicin conjugates included degeneration of seminiferous tubules and decreased epididymidal sperm, which did not reverse following a 6-week drug-free period.

1.1 Newly Diagnosed Cd33 Positive Acute Myeloid Leukemia (aml)

MYLOTARG is indicated for the treatment of newly-diagnosed CD33-positive acute myeloid leukemia in adults and pediatric patients 1 month and older.

5.1 Hepatotoxicity, Including Veno Occlusive Liver Disease (vod)

Hepatotoxicity, including life-threatening and sometimes fatal hepatic VOD events, have been reported in patients receiving MYLOTARG as a single agent or as part of a combination chemotherapy regimen [see Adverse Reactions (6)].

In ALFA-0701, VOD events were reported in 6/131 (5%) adult patients during or following treatment with MYLOTARG, or following later hematopoietic stem cell transplantation (HSCT). The median time from the MYLOTARG dose to onset of VOD was 9 days (range: 2–298 days), with 5 events occurring within 28 days of any dose of MYLOTARG and 1 event occurring greater than 28 days after the last dose of MYLOTARG. Three of the 6 VOD events were fatal. VOD was also reported in 2 patients in the control arm of ALFA-0701 after receiving MYLOTARG as a therapy for relapsed AML.

In MyloFrance-1 (MYLOTARG 3 mg/m2 on Days 1, 4 and 7), VOD events were reported in none of the 57 patients during or following treatment, or following HSCT after completion of MYLOTARG treatment.

In AAML0531, VOD events were reported in 25/520 (5%) pediatric patients in the MYLOTARG arm. VOD was fatal in 2 patients. Among 187 pediatric patients who underwent HSCT in the MYLOTARG arm, VOD occurred within 30 days post-HSCT in 20 (11%) patients.

Based on an analysis across trials, the risk of VOD was higher in adult patients who received higher doses of MYLOTARG as monotherapy, in patients with moderate or severe hepatic impairment prior to receiving MYLOTARG, in patients treated with MYLOTARG after HSCT, and in patients who underwent HSCT after treatment with MYLOTARG. Patients who had moderate/severe hepatic impairment prior to treatment with MYLOTARG were 8.7 times more likely to develop VOD compared to patients without moderate/severe hepatic impairment at baseline. Patients treated with MYLOTARG for relapse after HSCT were 2.6 times more likely to develop VOD compared to patients without prior HSCT. Patients who underwent HSCT following MYLOTARG treatment were 2.9 times more likely to develop VOD after HSCT compared to patients without HSCT following MYLOTARG treatment. Although no relationship was found between VOD and time of HSCT relative to higher MYLOTARG monotherapy doses, the ALFA-0701 study recommended an interval of 2 months between the last dose of MYLOTARG and HSCT. In MyloFrance-1, no patients underwent HSCT within 3.5 months of MYLOTARG therapy.

Assess ALT, AST, total bilirubin, and alkaline phosphatase prior to each dose of MYLOTARG. After treatment with MYLOTARG, monitor frequently for signs and symptoms of VOD; these may include elevations in ALT, AST, total bilirubin, hepatomegaly (which may be painful), rapid weight gain, and ascites. Monitoring only total bilirubin may not identify all patients at risk of VOD. For patients who develop abnormal liver tests, more frequent monitoring of liver tests and clinical signs and symptoms of hepatotoxicity is recommended. For patients who proceed to HSCT, monitor liver tests frequently during the post-HSCT period, as appropriate.

Manage signs or symptoms of hepatic toxicity by dose interruption or discontinuation of MYLOTARG [see Dosage and Administration (2.3)]. In patients who experience VOD, discontinue MYLOTARG and treat according to standard medical practice.

2.4 Instructions for Reconstitution, Dilution, and Administration

Use appropriate aseptic technique for the reconstitution and dilution procedures. Protect the reconstituted and diluted MYLOTARG solution from light.


Structured Label Content

Section 42229-5 (42229-5)

Newly-Diagnosed De Novo CD33-positive AML (Combination Regimen)

Section 43683-2 (43683-2)

Dosage and Administration, Instructions for Reconstitution, Dilution, and Administration (2.4)

08/2021

Section 44425-7 (44425-7)

Refrigerate (2°C to 8°C; 36°F to 46°F) MYLOTARG vials and store in the original carton to protect from light. DO NOT FREEZE.

MYLOTARG is a cytotoxic drug. Follow applicable special handling and disposal procedures.1

15 References (15 REFERENCES)
11 Description (11 DESCRIPTION)

Gemtuzumab ozogamicin is an antibody-drug conjugate (ADC) composed of the CD33-directed monoclonal antibody (hP67.6; recombinant humanized immunoglobulin [Ig] G4, kappa antibody produced by mammalian cell culture in NS0 cells) that is covalently linked to the cytotoxic agent N-acetyl gamma calicheamicin. Gemtuzumab ozogamicin consists of conjugated and unconjugated gemtuzumab. The conjugated molecules differ in the number of activated calicheamicin derivative moieties attached to gemtuzumab. The number of conjugated calicheamicin derivatives per gemtuzumab molecule ranges from predominantly zero to 6, with an average of 2 to 3 moles of calicheamicin derivative per mole of gemtuzumab.

MYLOTARG (gemtuzumab ozogamicin) for injection is supplied as a sterile, white to off-white, preservative-free lyophilized cake or powder for intravenous administration. Each single-dose vial delivers 4.5 mg gemtuzumab ozogamicin. Inactive ingredients are dextran 40 (41.0 mg), sodium chloride (26.1 mg), sodium phosphate dibasic anhydrous (2.7 mg), sodium phosphate monobasic monohydrate (0.45 mg), and sucrose (69.8 mg). After reconstitution with 5 mL of Sterile Water for Injection USP, the concentration is 1 mg/mL of gemtuzumab ozogamicin with a deliverable volume of 4.5 mL (4.5 mg).

5.3 Hemorrhage

MYLOTARG is myelosuppressive and can cause fatal or life-threatening hemorrhage due to prolonged thrombocytopenia. In ALFA-0701, (MYLOTARG in combination with chemotherapy), all grades and Grade 3–4 bleeding events were reported in 118/131 (90%) and 27/131 (21%) patients, respectively. Fatal bleeding events (including cerebral hematoma, intracranial hematoma, and subdural hematoma) occurred in 4/131 (3%) patients. Thrombocytopenia with platelet counts less than 50 Gi/L persisting more than 42 days occurred in 19 (19%) patients in the induction phase [see Adverse Reactions (6)]. The proportion of patients with persistent thrombocytopenia increased with progressive treatment phases and was higher in patients treated with MYLOTARG plus chemotherapy than with chemotherapy alone [see Adverse Reactions (6)].

In AAML0531, fatal bleeding occurred in 3/520 (<1%) of the pediatric patients. Grade 3 or 4 bleeding was reported in 66/520 (13%) of the pediatric patients in the MYLOTARG arm.

In AML-19 (MYLOTARG monotherapy at 6 mg/m2 Day 1 and 3 mg/m2 Day 8), all grades and Grade 3 or higher bleeding were reported in 28/111 (25%) and 14/111 (13%) patients, respectively. Fatal bleeding occurred in 1/111 (1%). In MyloFrance-1 (MYLOTARG 3 mg/m2 as monotherapy), Grade 3 bleeding was reported in 4/57 (7%) patients, but no patient experienced Grade 4 hemorrhage.

Assess blood counts prior to each dose of MYLOTARG and monitor blood counts frequently after treatment with MYLOTARG until resolution of cytopenias. Monitor patients for signs and symptoms of bleeding during treatment with MYLOTARG. Manage severe bleeding, hemorrhage or persistent thrombocytopenia using dose delay or permanent discontinuation of MYLOTARG [see Dosage and Administration (2.2)], and provide supportive care per standard practice.

8.4 Pediatric Use

The safety and effectiveness of MYLOTARG in combination with standard chemotherapy have been established in pediatric patients 1 month and older with newly-diagnosed de novo AML. The use of MYLOTARG for this indication is supported by evidence of effectiveness from adequate and well-controlled studies in adults with supportive data on safety and effectiveness in Study AAML0531 (NCT00372593) [see Adverse Reactions (6.1), Clinical Studies (14.1)]. AAML0531 included patients in the following age groups: 2 patients less than 27 days old, 94 patients 28 days to less than 2 years old, 225 patients 2 years to less than 12 years old, 175 patients 12 years old to less than 18 years old, and 36 patients 18 years or older in the MYLOTARG plus chemotherapy arm. The safety and effectiveness of MYLOTARG with standard chemotherapy in pediatric patients less than 1 month of age with newly-diagnosed de novo AML have not been established.

The safety and effectiveness of MYLOTARG as a single agent in pediatric patients with newly-diagnosed AML have not been established.

The safety and effectiveness of MYLOTARG as a single agent in the pediatric patients with relapsed or refractory AML is supported by a single-arm trial in 29 patients in the following age groups: 1 patient 1 month to less than 2 years old, 13 patients 2 years to less than 12 years old, and 15 patients 12 years to 18 years old. A literature review included an additional 96 patients with ages ranging from 0.2 to 21 years. No differences in efficacy and safety were observed by age. The information on this use is discussed throughout the labeling. The safety and effectiveness of MYLOTARG as a single agent in pediatric patients less than 2 years of age with relapsed or refractory AML have not been established.

8.5 Geriatric Use

Use of MYLOTARG in combination with daunorubicin and cytarabine in newly-diagnosed adult patients with de novo AML is supported by a randomized, controlled trial that included 50 patients greater than or equal to 65 years old. No overall differences in safety or effectiveness were observed between these subjects and younger subjects. Use of MYLOTARG monotherapy in newly-diagnosed adult patients with AML is supported by a randomized controlled trial with 118 patients treated with MYLOTARG. All patients were over the age of 60 years and 65% of patients were above 75 years. No overall differences in effectiveness were observed by age.

Use of MYLOTARG as single-agent treatment of relapsed or refractory AML is supported by a single-arm trial that included 27 patients 65 years or older. No overall differences in effectiveness were observed between these patients and younger patients. Elderly patients experienced a higher rate of fever and severe or greater infections.

6.3 Immunogenicity

As with all therapeutic proteins, there is potential for immunogenicity. Immunogenicity of MYLOTARG was not studied in clinical trials using the recommended dose regimens.

4 Contraindications (4 CONTRAINDICATIONS)

MYLOTARG is contraindicated in patients with a history of hypersensitivity to the active substance in MYLOTARG or any of its components or to any of the excipients. Reactions have included anaphylaxis [see Warnings and Precautions (5.2), Adverse Reactions (6)].

6 Adverse Reactions (6 ADVERSE REACTIONS)

The following clinically significant adverse reactions are described elsewhere in the labeling:

12.2 Pharmacodynamics

Saturation of a high percentage of CD33 antigenic sites is presumed to be required for maximum delivery of calicheamicin to leukemic blast cells. Near maximal peripheral CD33 saturation was observed across studies after gemtuzumab ozogamicin dosing at dose levels of 2 mg/m2 and above.

At 9 mg/m2 gemtuzumab ozogamicin (2 doses, 14 days apart), the risk for VOD increases as the Cmax of the first dose of gemtuzumab ozogamicin increases. The increase in VOD is more prominent in patients with prior stem cell transplantation.

12.3 Pharmacokinetics

There are no clinical PK data for the fractionated regimen. When gemtuzumab ozogamicin is administered at 9 mg/m2 (2 doses, 14 days apart), the Cmax following the first dose for patients who received 9 mg/m2 gemtuzumab ozogamicin was 3.0 mg/L and increased to 3.6 mg/L after the second dose.

1 Indications and Usage (1 INDICATIONS AND USAGE)

MYLOTARG is a CD33-directed antibody and cytotoxic drug conjugate indicated for:

  • treatment of newly-diagnosed CD33-positive acute myeloid leukemia (AML) in adults and pediatric patients 1 month and older (1.1).
  • treatment of relapsed or refractory CD33-positive AML in adults and pediatric patients 2 years and older (1.2).
Warning: Hepatotoxicity (WARNING: HEPATOTOXICITY)

Hepatotoxicity, including severe or fatal hepatic veno-occlusive disease (VOD), also known as sinusoidal obstruction syndrome (SOS), has been reported in association with the use of MYLOTARG as a single agent, and as part of a combination chemotherapy regimen. Monitor frequently for signs and symptoms of VOD after treatment with MYLOTARG. (5.1 and 6.1)

12.1 Mechanism of Action

Gemtuzumab ozogamicin is a CD33-directed antibody-drug conjugate (ADC). The antibody portion (hP67.6) recognizes human CD33 antigen. The small molecule, N-acetyl gamma calicheamicin, is a cytotoxic agent that is covalently attached to the antibody via a linker. Nonclinical data suggest that the anticancer activity of gemtuzumab ozogamicin is due to the binding of the ADC to CD33-expressing tumor cells, followed by internalization of the ADC-CD33 complex, and the intracellular release of N-acetyl gamma calicheamicin dimethyl hydrazide via hydrolytic cleavage of the linker. Activation of N-acetyl gamma calicheamicin dimethyl hydrazide induces double-strand DNA breaks, subsequently inducing cell cycle arrest and apoptotic cell death.

5.6 Embryo Fetal Toxicity (5.6 Embryo-Fetal Toxicity)

Based on its mechanism of action and findings from animal studies, MYLOTARG can cause embryo-fetal harm when administered to a pregnant woman. In animal studies, gemtuzumab ozogamicin caused embryo-fetal toxicity, starting at a dose that was approximately 0.4 times the exposure in patients at the maximum recommended dose, based on the area under the concentration-time curve (AUC).

Advise pregnant women of the potential risk to a fetus. Advise females of reproductive potential to use effective contraception during treatment with MYLOTARG and for at least 6 months after the final dose. Advise males with female partners of reproductive potential to use effective contraception during treatment with MYLOTARG and for at least 3 months after the last dose [see Use in Specific Populations (8.1, 8.3)].

5 Warnings and Precautions (5 WARNINGS AND PRECAUTIONS)
  • Infusion-related reactions (including anaphylaxis): Premedicate with a corticosteroid, acetaminophen, and diphenhydramine. Monitor patients during and for at least 1 hour after the end of the infusion. Interrupt the infusion, administer steroids or antihistamines, or permanently discontinue treatment as necessary (2.1, 5.2, 6).
  • Hemorrhage: Severe, including fatal, hemorrhage may occur when MYLOTARG is used at recommended doses. Monitor platelet counts frequently (5.3, 6.1).
  • Embryo-fetal toxicity: Can cause fetal harm. Advise patients of reproductive potential of the potential risk to a fetus and to use effective contraception (5.6, 8.1, 8.3).
2 Dosage and Administration (2 DOSAGE AND ADMINISTRATION)
  • Newly-diagnosed, de novo AML (combination regimen)

    Adults:
    • -
      Induction: 3 mg/m2 (up to one 4.5 mg vial) on Days 1, 4, and 7 in combination with daunorubicin and cytarabine (2.2).
    • -
      Consolidation: 3 mg/m2 on Day 1 (up to one 4.5 mg vial) in combination with daunorubicin and cytarabine (2.2).
  •  
    Pediatric patients 1 month and older:
    • -
      3 mg/m2 for patients with body surface area (BSA) 0.6 m2 or greater (2.2).
    • -
      0.1 mg/kg for patients with BSA less than 0.6 m2 (2.2).
    • -
      See Full Prescribing Information for complete dosing information (2.2).
  • Newly-diagnosed AML (single-agent regimen):

    Adults:
    • -
      Induction: 6 mg/m2 (not limited to one 4.5 mg vial) on Day 1 and 3 mg/m2 (not limited to one 4.5 mg vial) on Day 8 (2.2).
    • -
      Continuation: For patients without evidence of disease progression following induction, up to 8 continuation courses of MYLOTARG 2 mg/m2 (not limited to one 4.5 mg vial) on Day 1 every 4 weeks (2.2).
  • Relapsed or refractory AML (single-agent regimen):
  •  
    Adults and pediatric patients 2 years and older:
    • -
      3 mg/m2 (up to one 4.5 mg vial) on Days 1, 4, and 7 (2.2).
  • Premedicate with a corticosteroid, antihistamine, and acetaminophen (2.1).
3 Dosage Forms and Strengths (3 DOSAGE FORMS AND STRENGTHS)

For injection: 4.5 mg as a white to off-white lyophilized cake or powder in a single-dose vial for reconstitution and further dilution.

5.4 Qt Interval Prolongation (5.4 QT Interval Prolongation)

QT interval prolongation has been observed in patients treated with other drugs containing calicheamicin. When administering MYLOTARG to patients who have a history of or predisposition for QTc prolongation, who are taking medicinal products that are known to prolong QT interval, and in patients with electrolyte disturbances, obtain electrocardiograms (ECGs) and electrolytes prior to the start of treatment and as needed during administration.

6.2 Postmarketing Experience

The following adverse drug reactions have been identified during post-approval use of MYLOTARG. Because these reactions are reported voluntarily from a population of uncertain size, it is not always possible to reliably estimate their frequency or establish a causal relationship to drug exposure.

Gastrointestinal Disorders: Neutropenic colitis

including fatal events

Infections and Infestations: fungal lung infections including Pulmonary mycosis and Pneumocystis jirovecii pneumonia

; and bacterial infections including Stenotrophomonas infection

Renal and Urinary Disorders: Hemorrhagic cystitis

Respiratory, Thoracic and Mediastinal Disorders: Interstitial pneumonia

8 Use in Specific Populations (8 USE IN SPECIFIC POPULATIONS)

Lactation: Advise not to breastfeed (8.2).



6.1 Clinical Trials Experience

Because clinical trials are conducted under widely varying conditions, adverse reaction rates observed in the clinical trials of a drug cannot be directly compared to rates in the clinical trials of another drug and may not reflect the rates observed in practice.

16 How Supplied/storage and Handling (16 HOW SUPPLIED/STORAGE AND HANDLING)

MYLOTARG (gemtuzumab ozogamicin) for injection is a white to off-white lyophilized cake or powder supplied in a carton (NDC 0008-4510-01) containing one 4.5 mg single-dose vial [see Dosage and Administration (2)].

2.3 Dosage Modifications for Toxicities

Monitor blood counts frequently through resolution of cytopenias. Monitor blood counts and chemistries at least three times per week through recovery from treatment-related toxicities. Management of some adverse reactions [see Warnings and Precautions (5) , Adverse Reactions (6)] may require dose interruptions or permanent discontinuation of MYLOTARG. Table 1 shows the dose modification guidelines for hematologic and nonhematologic toxicities.

Table 1. Dosage Modifications for Hematologic and Nonhematologic Toxicities
Hematologic and Nonhematologic Toxicities Recommended Action
Abbreviations: ALT=alanine aminotransferase; AST=aspartate aminotransferase; VOD=veno-occlusive disease; ULN=upper limit of normal.

For patients receiving MYLOTARG in combination therapy

Persistent thrombocytopenia

  • Adults: If platelet count does not recover to greater than or equal to 100 Gi/L within 14 days following the planned start date of the consolidation cycle (14 days after hematologic recovery following previous cycle), discontinue MYLOTARG (do not administer MYLOTARG in the consolidation cycles).
  • Pediatrics: Patients should have a platelet count of 75 Gi/L before the next cycle (induction or intensification).

Persistent neutropenia

  • Adults: If neutrophil count does not recover to greater than 0.5 Gi/L within 14 days following the planned start date of the consolidation cycle (14 days after hematologic recovery following previous cycle), discontinue MYLOTARG (do not administer MYLOTARG in the consolidation cycles).
  • Pediatrics: Patients should have a neutrophil count of 1 Gi/L before the next cycle (induction or intensification).

For all patients receiving MYLOTARG (Monotherapy or in Combination)

VOD

Total bilirubin greater than 2 × ULN, or AST and/or ALT greater than 2.5 × ULN

  • Delay treatment with MYLOTARG until recovery of total bilirubin to less than or equal to 2 × ULN and AST and ALT to less than or equal to 2.5 × ULN prior to each dose.
  • Omit scheduled dose if delayed more than 2 days between sequential infusions.

Infusion-related reactions

  • Interrupt the infusion and institute appropriate medical management.
  • Administer acetaminophen, diphenhydramine and/or methylprednisolone, if needed [see Dosage and Administration (2.1)]
  • Provide supportive care measures as needed.
  • For mild, moderate or severe infusion-related reactions, once symptoms resolve, consider resuming the infusion at no more than half the rate at which the reaction occurred. Repeat the procedure above in the event of recurrence of symptoms.
  • Permanently discontinue MYLOTARG upon occurrence of a severe infusion reaction or for any life-threatening infusion reaction [see Warnings and Precautions (5.2)].

Other severe or life-threatening non-hematologic toxicities

  • Delay treatment with MYLOTARG until recovery to a severity of no more than mild.
  • Omit scheduled dose if delayed more than 2 days between sequential infusions.
Principal Display Panel 4.5 Mg Vial Label (PRINCIPAL DISPLAY PANEL - 4.5 mg Vial Label)

Pfizer

NDC 0008-4510-01

Rx only

MYLOTARG™

(gemtuzumab ozogamicin)

for Injection

4.5 mg/vial

For Intravenous Infusion Only

Single-dose vial.

No Preservatives

Discard unused portion.

1.2 Relapsed Or Refractory Cd33 Positive Aml (1.2 Relapsed or Refractory CD33-positive AML)

MYLOTARG is indicated for the treatment of relapsed or refractory CD33-positive acute myeloid leukemia in adults and pediatric patients 2 years and older.

2.1 Premedication and Special Considerations
  • Premedicate adults with acetaminophen 650 mg orally and diphenhydramine 50 mg orally or intravenously 1 hour prior to MYLOTARG dosing and 1 mg/kg methylprednisolone or an equivalent dose of an alternative corticosteroid within 30 minutes prior to infusion of MYLOTARG.
  • Premedicate pediatric patients 1 month and older with acetaminophen 15 mg/kg (maximum of 650 mg) and diphenhydramine 1 mg/kg (maximum of 50 mg) 1 hour prior to MYLOTARG dosing, and 1 mg/kg methylprednisolone orally or intravenously within 30 minutes prior to infusion of MYLOTARG; additional doses of acetaminophen and diphenhydramine may be administered every 4 hours after the initial pretreatment dose. Repeat with the same dose of methylprednisolone or an equivalent corticosteroid for any sign of an infusion reaction, such as fever, chills, hypotension, or dyspnea during the infusion or within 4 hours afterwards [see Warnings and Precautions (5.2)].
  • Use appropriate measures to prevent tumor lysis syndrome.
  • For patients with hyperleukocytosis (leukocyte count greater than or equal to 30 Gi/L), cytoreduction is recommended prior to administration of MYLOTARG.
Principal Display Panel 4.5 Mg Vial Carton (PRINCIPAL DISPLAY PANEL - 4.5 mg Vial Carton)

Pfizer

NDC 0008-4510-01

MYLOTARG™

(gemtuzumab ozogamicin)

for Injection

4.5 mg/vial

For Intravenous Infusion Only

Reconstitution and dilution

required

No Preservatives

One Single-Dose Vial.

Discard unused portion.

Rx only

5.5 Use in Aml With Adverse Risk Cytogenetics (5.5 Use in AML with Adverse-Risk Cytogenetics)

In subgroup analyses in ALFA-0701, the addition of MYLOTARG to standard combination chemotherapy did not improve event-free survival in the subgroup of patients having adverse-risk cytogenetics (HR 1.11; 95% CI: 0.63, 1.95). For patients being treated with MYLOTARG in combination with daunorubicin and cytarabine for newly-diagnosed de novo AML, when cytogenetics testing results become available consider whether the potential benefit of continuing treatment with MYLOTARG outweighs the risks for the individual patient.

8.3 Females and Males of Reproductive Potential

MYLOTARG can cause embryo-fetal harm when administered to a pregnant woman [see Use in Specific Populations (8.1)].

5.2 Infusion Related Reactions (including Anaphylaxis) (5.2 Infusion-Related Reactions (Including Anaphylaxis))

Life-threatening or fatal infusion-related-reactions can occur during or within 24 hours following infusion of MYLOTARG [see Adverse Reactions (6)]. Signs and symptoms of infusion-related reactions may include fever, chills, hypotension, tachycardia, hypoxia and respiratory failure.

Premedicate prior to MYLOTARG infusion [see Dosage and Administration (2.1)]. Monitor vital signs frequently during infusion. Interrupt infusion immediately for patients who develop evidence of infusion reaction, especially dyspnea, bronchospasm, or hypotension. Monitor patients during and for at least 1 hour after the end of the infusion or until signs and symptoms completely resolve. Discontinue use of MYLOTARG in patients who develop signs or symptoms of anaphylaxis, including severe respiratory symptoms or clinically significant hypotension [see Dosage and Administration (2.2)].

13.1 Carcinogenesis, Mutagenesis, Impairment of Fertility

Formal carcinogenicity studies have not been conducted with gemtuzumab ozogamicin. In toxicity studies, rats were dosed weekly for 6 weeks with gemtuzumab ozogamicin at doses up to 7.2 mg/m2/week. After 6 weeks of dosing, rats developed oval cell hyperplasia in the liver, which is considered a potentially preneoplastic finding, at 7.2 mg/m2/week (approximately 16 times the exposure in patients at the maximum recommended dose, based on AUC). Other preneoplastic or neoplastic changes observed with other antibody-calicheamicin conjugates in rats included basophilic and/or eosinophilic altered cell foci and hepatocellular adenomas. The relevance of these animal findings to humans is uncertain.

Gemtuzumab ozogamicin was clastogenic in vivo in the bone marrow of mice that received single doses greater than or equal to 22.1 mg/m2. This is consistent with the known induction of DNA breaks by calicheamicin. N-acetyl gamma calicheamicin dimethyl hydrazide (the released cytotoxic agent) was mutagenic in the bacterial reverse mutation assay and clastogenic in the in vitro micronucleus assay in human TK6 cells.

In a female fertility study, female rats were administered daily intravenous doses of gemtuzumab ozogamicin up to 1.08 mg/m2 for 14 days before mating with untreated male rats. Significant decreases in the numbers of corpora lutea and implants were observed at 1.08 mg/m2, and dose-related decreases and increases in the number of live and dead embryos were observed at doses tested (approximately 0.4 times the exposure in patients at the maximum recommended dose, based on AUC). Increased embryofetal lethality at ≥0.36 mg/m2 was observed in the presence of maternal toxicity that included decreases in gestational body weight and food consumption. Additional findings in female reproductive organs (ovarian atrophy and decreased numbers of follicles associated with atrophy of the uterus, vagina and mammary glands) occurred in rats and monkeys after dosing with other antibody-calicheamicin conjugates.

Fertility was assessed in male rats administered daily intravenous doses of gemtuzumab ozogamicin from 0.12 to 1.08 mg/m2 for 28 days, followed by mating with untreated females, either at the end of the dosing period or after a 9-week drug-free period. Male fertility index was decreased at doses ≥0.12 mg/m2 (approximately 1.2 times the exposure in patients at the maximum recommended dose, based on AUC). Effects on testes and epididymides occurred at ≥0.12 mg/m2, including smaller size and lower weights in addition to adverse effects on sperm. Partial recovery was noted for some effects. Additional effects in male reproductive organs occurred in repeat-dose toxicology studies and included effects on mammary gland, testes, and epididymides in rats at ≥2.4 mg/m2/week and effects on testes and epididymides in monkeys at 21.6 mg/m2/week. Testicular effects in male monkeys with other antibody-calicheamicin conjugates included degeneration of seminiferous tubules and decreased epididymidal sperm, which did not reverse following a 6-week drug-free period.

1.1 Newly Diagnosed Cd33 Positive Acute Myeloid Leukemia (aml) (1.1 Newly-Diagnosed CD33-positive Acute Myeloid Leukemia (AML))

MYLOTARG is indicated for the treatment of newly-diagnosed CD33-positive acute myeloid leukemia in adults and pediatric patients 1 month and older.

5.1 Hepatotoxicity, Including Veno Occlusive Liver Disease (vod) (5.1 Hepatotoxicity, Including Veno-occlusive Liver Disease (VOD))

Hepatotoxicity, including life-threatening and sometimes fatal hepatic VOD events, have been reported in patients receiving MYLOTARG as a single agent or as part of a combination chemotherapy regimen [see Adverse Reactions (6)].

In ALFA-0701, VOD events were reported in 6/131 (5%) adult patients during or following treatment with MYLOTARG, or following later hematopoietic stem cell transplantation (HSCT). The median time from the MYLOTARG dose to onset of VOD was 9 days (range: 2–298 days), with 5 events occurring within 28 days of any dose of MYLOTARG and 1 event occurring greater than 28 days after the last dose of MYLOTARG. Three of the 6 VOD events were fatal. VOD was also reported in 2 patients in the control arm of ALFA-0701 after receiving MYLOTARG as a therapy for relapsed AML.

In MyloFrance-1 (MYLOTARG 3 mg/m2 on Days 1, 4 and 7), VOD events were reported in none of the 57 patients during or following treatment, or following HSCT after completion of MYLOTARG treatment.

In AAML0531, VOD events were reported in 25/520 (5%) pediatric patients in the MYLOTARG arm. VOD was fatal in 2 patients. Among 187 pediatric patients who underwent HSCT in the MYLOTARG arm, VOD occurred within 30 days post-HSCT in 20 (11%) patients.

Based on an analysis across trials, the risk of VOD was higher in adult patients who received higher doses of MYLOTARG as monotherapy, in patients with moderate or severe hepatic impairment prior to receiving MYLOTARG, in patients treated with MYLOTARG after HSCT, and in patients who underwent HSCT after treatment with MYLOTARG. Patients who had moderate/severe hepatic impairment prior to treatment with MYLOTARG were 8.7 times more likely to develop VOD compared to patients without moderate/severe hepatic impairment at baseline. Patients treated with MYLOTARG for relapse after HSCT were 2.6 times more likely to develop VOD compared to patients without prior HSCT. Patients who underwent HSCT following MYLOTARG treatment were 2.9 times more likely to develop VOD after HSCT compared to patients without HSCT following MYLOTARG treatment. Although no relationship was found between VOD and time of HSCT relative to higher MYLOTARG monotherapy doses, the ALFA-0701 study recommended an interval of 2 months between the last dose of MYLOTARG and HSCT. In MyloFrance-1, no patients underwent HSCT within 3.5 months of MYLOTARG therapy.

Assess ALT, AST, total bilirubin, and alkaline phosphatase prior to each dose of MYLOTARG. After treatment with MYLOTARG, monitor frequently for signs and symptoms of VOD; these may include elevations in ALT, AST, total bilirubin, hepatomegaly (which may be painful), rapid weight gain, and ascites. Monitoring only total bilirubin may not identify all patients at risk of VOD. For patients who develop abnormal liver tests, more frequent monitoring of liver tests and clinical signs and symptoms of hepatotoxicity is recommended. For patients who proceed to HSCT, monitor liver tests frequently during the post-HSCT period, as appropriate.

Manage signs or symptoms of hepatic toxicity by dose interruption or discontinuation of MYLOTARG [see Dosage and Administration (2.3)]. In patients who experience VOD, discontinue MYLOTARG and treat according to standard medical practice.

2.4 Instructions for Reconstitution, Dilution, and Administration

Use appropriate aseptic technique for the reconstitution and dilution procedures. Protect the reconstituted and diluted MYLOTARG solution from light.


Advanced Ingredient Data


Raw Label Data

All Sections (JSON)