Albuterol Inhalation Solution, Usp 0.5%*

Albuterol Inhalation Solution, Usp 0.5%*
SPL v2
SPL
SPL Set ID 3236f82c-14e9-dfd4-e063-6294a90ac43d
Route
RESPIRATORY (INHALATION)
Published
Effective Date 2025-03-14
Document Type 34391-3 HUMAN PRESCRIPTION DRUG LABEL

Drug Facts

Composition & Product

Active Ingredients
Albuterol (2.5 mg)
Inactive Ingredients
Water Sulfuric Acid

Identifiers & Packaging

Marketing Status
ANDA Active Since 2025-04-14

Description

*Potency expressed as albuterol

Indications and Usage

Albuterol  inhalation solution is indicated for the relief of bronchospasm in patients 12 years of age and older with reversible obstructive airway disease and acute attacks of bronchospasm.

Dosage and Administration

The usual dosage for adults and pediatric patients 12 years of age and older is 2.5 mg of albuterol (one unit-of-use vial) administered 3 to 4 times daily by nebulization. More frequent administration or higher doses are not recommended. To administer 2.5 mg of albuterol, dilute 0.5 mL of the 0.5% solution for inhalation to a total volume of 3 mL with sterile normal saline solution and administer by nebulization. The flow rate is regulated to suit the particular nebulizer so that albuterol inhalation solution will be delivered over approximately 5 to 15 minutes. Drug compatibility (physical and chemical), efficacy, and safety of albuterol inhalation solution when mixed with other drugs in a nebulizer have not been established. The use of albuterol  inhalation solution can be continued as medically indicated to control recurring bouts of bronchospasm. During treatment, most patients gain optimum benefit from regular use of the nebulizer solution. If a previously effective dosage regimen fails to provide the usual relief, medical advice should be sought immediately, as this is often a sign of seriously worsening asthma which would require reassessment of therapy. The nebulizer should be cleaned in accordance with the manufacturer’s instructions. Failure to do so could lead to bacterial contamination of the nebulizer and possible infection.

Contraindications

Albuterol inhalation solution is contraindicated in patients with a history of hypersensitivity to albuterol or any of its components.

Adverse Reactions

The results of clinical trials with albuterol inhalation solution in 135 patients showed the following side effects which were considered probably or possibly drug related: No clinically relevant laboratory abnormalities related to albuterol inhalation solution were determined in these studies. Cases of urticaria, angioedema, rash, bronchospasm, hoarseness, oropharyngeal edema, and arrythmias (including atrial fibrillation, supraventricular tachycardia, and extrasystoles) have been reported after the use of albuterol inhalation solution.

Storage and Handling

PROTECT FROM LIGHT. Store vials in pouch until time of use. Store between 20 °C to 25°C (68°F - 77°F), excursions permitted to 15 °C to 30 °C (59°F - 86°F) [see USP Controlled Room Temperature]. Rx Only Distributed by: Rising Pharma Holdings, Inc. East Brunswick, NJ 08816 For Customer Service, Call: 1-844-874-7464 IC 3028 Issued: 02/2025 Manufactured By: Nephron Pharmaceuticals Corporation West Columbia, SC 29172

How Supplied

Albuterol inhalation solution, USP 0.5%, is a clear, colorless to light yellow solution, and is supplied in plastic sterile unit-of-use vials of 0.5 mL each, supplied in individual foil pouches: NDC 64980-642-03: 30 vials, each in an individual pouch.


Medication Information

Warnings and Precautions

Paradoxical Bronchospasm: Albuterol inhalation solution can produce paradoxical bronchospasm, which may be life threatening. If paradoxical bronchospasm occurs, albuterol inhalation solution should be discontinued immediately and alternative therapy instituted. It should be recognized that paradoxical bronchospasm, when associated with inhaled formulations, frequently occurs with the first use of a new vial.

Fatalities have been reported in association with excessive use of inhaled sympathomimetic drugs and with the home use of nebulizers. It is therefore essential that the physician instruct the patient in the need for further evaluation if his/her asthma becomes worse.

Indications and Usage

Albuterol  inhalation solution is indicated for the relief of bronchospasm in patients 12 years of age and older with reversible obstructive airway disease and acute attacks of bronchospasm.

Dosage and Administration

The usual dosage for adults and pediatric patients 12 years of age and older is 2.5 mg of albuterol (one unit-of-use vial) administered 3 to 4 times daily by nebulization. More frequent administration or higher doses are not recommended. To administer 2.5 mg of albuterol, dilute 0.5 mL of the 0.5% solution for inhalation to a total volume of 3 mL with sterile normal saline solution and administer by nebulization.

The flow rate is regulated to suit the particular nebulizer so that albuterol inhalation solution will be delivered over approximately 5 to 15 minutes.

Drug compatibility (physical and chemical), efficacy, and safety of albuterol inhalation solution when mixed with other drugs in a nebulizer have not been established.

The use of albuterol  inhalation solution can be continued as medically indicated to control recurring bouts of bronchospasm. During treatment, most patients gain optimum benefit from regular use of the nebulizer solution.

If a previously effective dosage regimen fails to provide the usual relief, medical advice should be sought immediately, as this is often a sign of seriously worsening asthma which would require reassessment of therapy.

The nebulizer should be cleaned in accordance with the manufacturer’s instructions. Failure to do so could lead to bacterial contamination of the nebulizer and possible infection.

Contraindications

Albuterol inhalation solution is contraindicated in patients with a history of hypersensitivity to albuterol or any of its components.

Adverse Reactions

The results of clinical trials with albuterol inhalation solution in 135 patients showed the following side effects which were considered probably or possibly drug related:

No clinically relevant laboratory abnormalities related to albuterol inhalation solution were determined in these studies. Cases of urticaria, angioedema, rash, bronchospasm, hoarseness, oropharyngeal edema, and arrythmias (including atrial fibrillation, supraventricular tachycardia,

and extrasystoles) have been reported after the use of albuterol inhalation solution.

Storage and Handling

PROTECT FROM LIGHT. Store vials in pouch until time of use. Store between 20 °C to 25°C (68°F - 77°F), excursions permitted to 15 °C to 30 °C (59°F - 86°F) [see USP Controlled Room Temperature].

Rx Only

Distributed by:

Rising Pharma Holdings, Inc.

East Brunswick, NJ 08816

For Customer Service,

Call: 1-844-874-7464

IC 3028

Issued:02/2025

Manufactured By:

Nephron Pharmaceuticals Corporation

West Columbia, SC 29172

How Supplied

Albuterol inhalation solution, USP 0.5%, is a clear, colorless to light yellow solution, and is supplied in plastic sterile unit-of-use vials of 0.5 mL each, supplied in individual foil pouches:

NDC 64980-642-03: 30 vials, each in an individual pouch.

Description

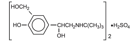
Albuterol inhalation solution, USP 0.5% contains albuterol sulfate USP, the racemic form of albuterol and a relatively selective beta 2-adrenergic bronchodilator (see CLINICAL PHARMACOLOGYsection below). Albuterol sulfate has the chemical name α 1-[( tert-Butylamino) methyl]-4-hydroxy- m-xylene-α,α′-diol sulfate (2:1) (salt) and the following chemical structure:

The molecular weight of albuterol sulfate is 576.7 and the empirical formula is (C 13H 21NO 3) 2• H 2SO 4

Albuterol sulfate USP is a white crystalline powder, soluble in water and slightly soluble in ethanol. The World Health Organization’s recommended name for albuterol base is salbutamol.

Albuterol inhalation solution, USP 0.5%, is in concentrated form. Dilute 0.5 mL of the solution to 3 mL with sterile normal saline solution prior to administration by nebulization (see DOSAGE AND ADMINISTRATION).

Each 0.5 mL Unit-of-Use Vial Contains: ACTIVE: 2.5 mg of albuterol (equivalent to 3 mg of albuterol sulfate USP) in a sterile, aqueous solution; sulfuric acid is used to adjust the pH to between 3 and 5. Albuterol inhalation solution, USP contains no sulfiting agents or preservatives. It is supplied in 0.5 mL sterile unit-of-use Vials.

Albuterol inhalation solution, USP is a clear, colorless to light yellow solution.

Section 34072-9

General:Albuterol, as with all sympathomimetic amines, should be used with caution in patients with cardiovascular disorders, especially coronary insufficiency, cardiac arrhythmias, and hypertension; in patients with convulsive disorders, hyperthyroidism, or diabetes mellitus; and in patients who are unusually responsive to sympathomimetic amines. Clinically significant changes in systolic and diastolic blood pressure have been seen in individual patients and could be expected to occur in some patients after use of any beta-adrenergic bronchodilator.

Large doses of intravenous albuterol have been reported to aggravate pre-existing diabetes mellitus and ketoacidosis. As with other beta-agonist medications, albuterol may produce significant hypokalemia in some patients, possibly through intracellular shunting, which has the potential to produce adverse cardiovascular effects. The decrease is usually transient, not requiring potassium supplementation.

Repeated dosing with 0.15 mg/kg of albuterol inhalation solution in children aged 5 to 17 years who were initially normokalemic has been associated with an asymptomatic decline of 20% to 25% in serum potassium levels.

Section 34073-7

Drug Interactions:Other short-acting sympathomimetic aerosol bronchodilators or epinephrine should not be used concomitantly with albuterol. If additional adrenergic drugs are to be administered by any route, they should be used with caution to avoid deleterious cardiovascular effects.

Section 34076-0

Information for Patients: The action of albuterol inhalation solution may last up to 6 hours or longer. Albuterol inhalation solution should not be used more frequently than recommended. Do not increase the dose or frequency of albuterol inhalation solution without consulting your physician. If you find that treatment with albuterol inhalation solution becomes less effective for symptomatic relief, your symptoms become worse, and/or you need to use the product more frequently than usual, you should seek medical attention immediately. While you are using albuterol inhalation solution, other inhaled drugs and asthma medications should be taken only as directed by your physician. Common adverse effects include palpitations, chest pain, rapid heart rate, tremor or nervousness. If you are pregnant or nursing, contact your physician about use of albuterol inhalation solution. Effective and safe use of albuterol  inhalation solution includes an understanding of the way that it should be administered.

Drug compatibility (physical and chemical), efficacy, and safety of albuterol  inhalation solution when mixed with other drugs in a nebulizer have not been established. See illustrated Patient's Instructions for Use.

Section 34079-4

Labor and Delivery:Because of the potential for beta-agonist interference with uterine contractility, use of albuterol inhalation solution for relief of bronchospasm during labor should be restricted to those patients in whom the benefits clearly outweigh the risk.

Tocolysis: Albuterol has not been approved for the management of preterm labor. The benefit:risk ratio when albuterol is administered for tocolysis has not been established. Serious adverse reactions, including maternal pulmonary edema, have been reported during or following treatment of premature labor with beta 2-agonists, including albuterol.

Section 34080-2

Nursing Mothers:It is not known whether this drug is excreted in human milk. Because of the potential for tumorigenicity shown for albuterol in some animal studies, a decision should be made whether to discontinue nursing or to discontinue the drug, taking into account the importance of the drug to the mother.

Section 34081-0

Pediatric Use:Safety and effectiveness of albuterol inhalation solution and solution for inhalation in children below the age of 12 years have not been established.

Section 34083-6

Carcinogenesis, Mutagenesis, Impairment of Fertility:In a 2-year study in Sprague-Dawley rats, albuterol sulfate caused a significant dose-related increase in the incidence of benign leiomyomas of the mesovarium at e dietary doses of 2, 10, and 50 mg/kg (approximately 2, 8, and 40  times, respectively, the maximum recommended daily inhalation dose for adults on a mg/m 2basis or approximately 3/5, 3, and 15 times, respectively, the maximum recommended daily inhalation dose in children on a mg/m 2basis). In another study this effect was blocked by the coadministration of propranolol, a nonselective beta-adrenergic antagonist.

In an 18-month study in CD-1 mice, albuterol sulfate showed no evidence of tumorigenicity at dietary doses of up to 500 mg/kg (approximately 200 times the maximum recommended daily inhalation dose for adults on a mg/m 2basis or approximately 75 times the maximum recommended daily inhalation dose for children on a mg/m 2basis). In a 22-month study in the Golden hamster, albuterol sulfate showed no evidence of tumorigenicity at dietary doses of up to 50 mg/kg (approximately 25 times the maximum recommended daily inhalation dose for adults on a mg/m 2basis or approximately 10 times the maximum recommended daily inhalation dose for children on a mg/m 2basis).

Albuterol sulfate was not mutagenic in the Ames test with or without metabolic activation using tester strains S. typhimurium TA1537, TA1538, and TA98 or E. coliWP2, WP2uvrA, and WP67. No forward mutation was seen in yeast strain S. cerevisiaeS9 nor any mitotic gene conversion in yeast strain S. cerevisiae JD1 with or without metabolic activation. Fluctuation assays in S. typhimurium TA98 and E. coliWP2, both with metabolic activation, were negative. Albuterol sulfate was not clastogenic in a human peripheral lymphocyte assay or in an AH1 strain mouse micronucleus assay at intraperitoneal doses of up to 200 mg/kg.

Reproduction studies in rats demonstrated no evidence of impaired fertility at oral doses of albuterol sulfate up to 50 mg/kg (approximately 40 times the maximum recommended daily inhalation dose for adults on an mg/m 2basis).

Section 34091-9

Preclinical:Intravenous studies in rats with albuterol sulfate have demonstrated that albuterol crosses the blood-brain barrier and reaches brain concentrations that are amounting to approximately 5.0% of the plasma concentrations. In structures outside the brain barrier (pineal and pituitary glands), albuterol concentrations were found to be 100 times those in the whole brain.

Studies in laboratory animals (minipigs, rodents, and dogs) have demonstrated the occurrence of cardiac arrhythmias and sudden death (with histologic evidence of myocardial necrosis) when beta-agonists and methylxanthines were administered concurrently. The significance of these findings is unknown.

Section 34092-7

Clinical Trials:In controlled clinical trials in adults, most patients exhibited an onset of improvement in pulmonary function within 5 minutes as determined by FEV 1. FEV 1measurements also showed that the maximum average improvement in pulmonary function usually occurred at approximately 1 hour following inhalation of 2.5 mg of albuterol by compressor-nebulizer and remained close to peak for 2 hours. Clinically significant improvement in pulmonary function (defined as maintenance of a 15% or more increase in FEV 1over baseline values) continued for 3 to 4 hours in most patients and in some patients continued up to 6 hours.

Published reports of trials in asthmatic children aged 3 years or older have demonstrated significant improvement in either FEV 1or PEFR within 2 to 20 minutes following single doses of albuterol inhalation solution. An increase of 15% or more in baseline FEV 1has been observed in children aged 5 to 11 years up to 6 hours after treatment with doses of 0.10 mg/kg or higher of albuterol inhalation solution. Single doses of 3, 4, or 10 mg resulted in improvement in baseline PEFR that was comparable in extent and duration to a 2 mg dose, but doses above 3 mg were associated with heart rate increases of more than 10%.

Section 42229-5

*Potency expressed as albuterol

Section 43682-4

Pharmacokinetics: Studies in asthmatic patients have shown that less than 20% of a single albuterol dose was absorbed following either intermittent positive-pressure breathing (IPPB) or nebulizer administration; the remaining amount was recovered from the nebulizer and apparatus and expired air. Most of the absorbed dose was recovered in the urine 24 hours after drug administration. Following a 3 mg dose of nebulized albuterol, the maximum albuterol plasma level at 0.5 hour was 2.1 ng/mL (range 1.4 to 3.2 ng/mL). There was a significant dose-related response in FEV 1and peak flow rate. It has been demonstrated that following oral administration of 4 mg of albuterol, the elimination half-life was 5 to 6 hours.

Overdosage

The expected symptoms with overdosage are those of excessive beta-adrenergic stimulation and/or occurrence or exaggeration of any of the symptoms listed under ADVERSE REACTIONS, e.g., seizures, angina, hypertension or hypotension, tachycardia with rates up to 200 beats per minute, arrhythmias, nervousness, headache, tremor, dry mouth, palpitation, nausea, dizziness, fatigue, malaise, and sleeplessness. Hypokalemia may also occur. In isolated cases in children 2 to 12 years of age, tachycardia with rates > 200 beats/min has been observed. As with all sympathomimetic l medications, cardiac arrest and even death may be associated with abuse of albuterol inhalation solution. Treatment consists of discontinuation of albuterol inhalation solution together with appropriate symptomatic therapy. The judicious use of a cardioselective beta-receptor blocker may be considered, bearing in mind that such medication can produce bronchospasm. There is insufficient evidence to determine if dialysis is beneficial for overdosage of albuterol inhalation solution.

The oral median lethal dose of albuterol sulfate in mice is greater than 2000 mg/kg (approximately 810 times the maximum recommended daily inhalation dose for adults on an mg/m 2basis or approximately 300 times the maximum recommended daily inhalation dose for children on a mg/m 2basis). In mature rats, the subcutaneous (sc) median lethal dose of albuterol sulfate is approximately 450 mg/kg (approximately  365 times the maximum recommended daily inhalation dose for adults on an mg/m 2basis or approximately 135 times the maximum recommended daily inhalation dose for children on a mg/m 2basis). In small young rats, the sc median lethal dose is approximately 2000 mg/kg (approximately 1600 times the maximum recommended daily inhalation dose for adults on a mg/m 2basis or approximately 600 times the maximum recommended daily inhalation dose for children on a mg/m 2basis). The inhalational median lethal dose has not been determined in animals.

Unmapped Section

Cardiovascular Effects: Albuterol inhalation solution, like all other beta-adrenergic agonists, can produce a clinically significant cardiovascular effect in some patients as measured by pulse rate, blood pressure, and/or symptoms. Although such effects are uncommon after administration of albuterol inhalation solution at recommended doses, if they occur, the drug may need to be discontinued. In addition, beta-agonists have been reported to produce electrocardiogram (ECG) changes, such as flattening of the T wave, prolongation of the QTc interval, and ST segment depression. The clinical significance of these findings is unknown. Therefore, albuterol  inhalation solution, like all sympathomimetic amines, should be used with caution in patients with cardiovascular disorders, especially coronary insufficiency, cardiac arrhythmias, and hypertension.

Clinical Pharmacology

In vitro studies and in vivo pharmacologic studies have demonstrated that albuterol has a preferential effect on beta 2-adrenergic receptors compared with isoproterenol. While it is recognized that beta 2-adrenergic receptors are the predominant receptors in bronchial smooth muscle, data indicate that there is a population of beta 2-receptors in the human heart existing in a concentration between 10% and 50%. The precise function of these receptors has not been established (see WARNINGS).

The pharmacologic effects of beta-adrenergic agonist drugs, including albuterol, are at least in part attributable to stimulation through beta-adrenergic receptors of intracellular adenyl cyclase, the enzyme that catalyzes the conversion of adenosine triphosphate (ATP) to cyclic-3’,5’-adenosine monophosphate (cyclic AMP). Increased cyclic AMP levels are associated with relaxation of bronchial smooth muscle and inhibition of release of mediators of immediate hypersensitivity from cells, especially from mast cells. Albuterol has been shown in most controlled clinical trials to have more effect on the respiratory tract, in the form of bronchial smooth muscle relaxation, than isoproterenol at comparable doses while producing fewer cardiovascular effects. Controlled clinical studies and other clinical experience have shown that inhaled albuterol, like other beta-adrenergic agonist drugs, can produce a significant cardiovascular effect in some patients, as measured by pulse rate, blood pressure, symptoms, and/or electrocardiographic changes. Albuterol is longer acting than isoproterenol in most patients by any route of administration because it is not a substrate for the cellular uptake processes for catecholamines nor for catechol- O-methyl transferase.

Patient Package Insert

Protect from light. Store between 20 °C to 25°C (68°F - 77°F) [see USP Controlled Room Temperature].

Discard if solution becomes discoloured (Note: Albuterol inhalation solution, USP is a clear, colorless to light yellow solution.)

Keep out of reach of children.

Usual Dosage: See accompanying prescribing information.

Mixing Compatibility: The safety and effectiveness of albuterol inhalation solution have not been determined when one or more drugs are mixed with it in a nebulizer.

NOTE: The albuterol inhalation solution is concentrated and must be diluted.

Read complete instructions carefully before using.

Patient's Instructions for Use

1. Twist open the top of one albuterol  inhalation solution unit-of-use container (Figure 1).

2. Squeeze the solution into the nebulizer reservoir through the appropriate opening (Figure 2).

3. Add 2.5 mL of diluting fluid – sterile normal saline solution (as your doctor has directed).

4. Gently swirl the nebulizer to mix the contents and connect it with the mouthpiece or face mask (Figure 3).

5. Connect the nebulizer to the compressor.

6.Sit in a comfortable, upright position; place the mouthpiece in your mouth (Figure 4) (or put on the face mask); and turn the compressor on.

7. Breathe as calmly, deeply and evenly as possible until no more mist is formed in the nebulizer chamber (about 5 to 15 minutes).  At this point, the treatment is finished.

8. Clean the nebulizer (see manufacturer’s instructions).  Failure to clean the nebulizer in accordance with the manufacturer’s instructions could lead to bacterial contamination of the nebulizer, and possible infection.

Note: Use only as directed by your physician. More frequent administration or higher doses are not recommended.

Package Label.principal Display Panel

Principal Display Panel – Pouch Label (individually wrapped vials)

NDC 64980-642-03

Principal Display Panel – Carton (30 individually wrapped vials)

NDC 64980-642-03


Structured Label Content

Warnings and Precautions (34071-1)

Paradoxical Bronchospasm: Albuterol inhalation solution can produce paradoxical bronchospasm, which may be life threatening. If paradoxical bronchospasm occurs, albuterol inhalation solution should be discontinued immediately and alternative therapy instituted. It should be recognized that paradoxical bronchospasm, when associated with inhaled formulations, frequently occurs with the first use of a new vial.

Fatalities have been reported in association with excessive use of inhaled sympathomimetic drugs and with the home use of nebulizers. It is therefore essential that the physician instruct the patient in the need for further evaluation if his/her asthma becomes worse.

Section 34072-9 (34072-9)

General:Albuterol, as with all sympathomimetic amines, should be used with caution in patients with cardiovascular disorders, especially coronary insufficiency, cardiac arrhythmias, and hypertension; in patients with convulsive disorders, hyperthyroidism, or diabetes mellitus; and in patients who are unusually responsive to sympathomimetic amines. Clinically significant changes in systolic and diastolic blood pressure have been seen in individual patients and could be expected to occur in some patients after use of any beta-adrenergic bronchodilator.

Large doses of intravenous albuterol have been reported to aggravate pre-existing diabetes mellitus and ketoacidosis. As with other beta-agonist medications, albuterol may produce significant hypokalemia in some patients, possibly through intracellular shunting, which has the potential to produce adverse cardiovascular effects. The decrease is usually transient, not requiring potassium supplementation.

Repeated dosing with 0.15 mg/kg of albuterol inhalation solution in children aged 5 to 17 years who were initially normokalemic has been associated with an asymptomatic decline of 20% to 25% in serum potassium levels.

Section 34073-7 (34073-7)

Drug Interactions:Other short-acting sympathomimetic aerosol bronchodilators or epinephrine should not be used concomitantly with albuterol. If additional adrenergic drugs are to be administered by any route, they should be used with caution to avoid deleterious cardiovascular effects.

Section 34076-0 (34076-0)

Information for Patients: The action of albuterol inhalation solution may last up to 6 hours or longer. Albuterol inhalation solution should not be used more frequently than recommended. Do not increase the dose or frequency of albuterol inhalation solution without consulting your physician. If you find that treatment with albuterol inhalation solution becomes less effective for symptomatic relief, your symptoms become worse, and/or you need to use the product more frequently than usual, you should seek medical attention immediately. While you are using albuterol inhalation solution, other inhaled drugs and asthma medications should be taken only as directed by your physician. Common adverse effects include palpitations, chest pain, rapid heart rate, tremor or nervousness. If you are pregnant or nursing, contact your physician about use of albuterol inhalation solution. Effective and safe use of albuterol  inhalation solution includes an understanding of the way that it should be administered.

Drug compatibility (physical and chemical), efficacy, and safety of albuterol  inhalation solution when mixed with other drugs in a nebulizer have not been established. See illustrated Patient's Instructions for Use.

Section 34079-4 (34079-4)

Labor and Delivery:Because of the potential for beta-agonist interference with uterine contractility, use of albuterol inhalation solution for relief of bronchospasm during labor should be restricted to those patients in whom the benefits clearly outweigh the risk.

Tocolysis: Albuterol has not been approved for the management of preterm labor. The benefit:risk ratio when albuterol is administered for tocolysis has not been established. Serious adverse reactions, including maternal pulmonary edema, have been reported during or following treatment of premature labor with beta 2-agonists, including albuterol.

Section 34080-2 (34080-2)

Nursing Mothers:It is not known whether this drug is excreted in human milk. Because of the potential for tumorigenicity shown for albuterol in some animal studies, a decision should be made whether to discontinue nursing or to discontinue the drug, taking into account the importance of the drug to the mother.

Section 34081-0 (34081-0)

Pediatric Use:Safety and effectiveness of albuterol inhalation solution and solution for inhalation in children below the age of 12 years have not been established.

Section 34083-6 (34083-6)

Carcinogenesis, Mutagenesis, Impairment of Fertility:In a 2-year study in Sprague-Dawley rats, albuterol sulfate caused a significant dose-related increase in the incidence of benign leiomyomas of the mesovarium at e dietary doses of 2, 10, and 50 mg/kg (approximately 2, 8, and 40  times, respectively, the maximum recommended daily inhalation dose for adults on a mg/m 2basis or approximately 3/5, 3, and 15 times, respectively, the maximum recommended daily inhalation dose in children on a mg/m 2basis). In another study this effect was blocked by the coadministration of propranolol, a nonselective beta-adrenergic antagonist.

In an 18-month study in CD-1 mice, albuterol sulfate showed no evidence of tumorigenicity at dietary doses of up to 500 mg/kg (approximately 200 times the maximum recommended daily inhalation dose for adults on a mg/m 2basis or approximately 75 times the maximum recommended daily inhalation dose for children on a mg/m 2basis). In a 22-month study in the Golden hamster, albuterol sulfate showed no evidence of tumorigenicity at dietary doses of up to 50 mg/kg (approximately 25 times the maximum recommended daily inhalation dose for adults on a mg/m 2basis or approximately 10 times the maximum recommended daily inhalation dose for children on a mg/m 2basis).

Albuterol sulfate was not mutagenic in the Ames test with or without metabolic activation using tester strains S. typhimurium TA1537, TA1538, and TA98 or E. coliWP2, WP2uvrA, and WP67. No forward mutation was seen in yeast strain S. cerevisiaeS9 nor any mitotic gene conversion in yeast strain S. cerevisiae JD1 with or without metabolic activation. Fluctuation assays in S. typhimurium TA98 and E. coliWP2, both with metabolic activation, were negative. Albuterol sulfate was not clastogenic in a human peripheral lymphocyte assay or in an AH1 strain mouse micronucleus assay at intraperitoneal doses of up to 200 mg/kg.

Reproduction studies in rats demonstrated no evidence of impaired fertility at oral doses of albuterol sulfate up to 50 mg/kg (approximately 40 times the maximum recommended daily inhalation dose for adults on an mg/m 2basis).

Section 34091-9 (34091-9)

Preclinical:Intravenous studies in rats with albuterol sulfate have demonstrated that albuterol crosses the blood-brain barrier and reaches brain concentrations that are amounting to approximately 5.0% of the plasma concentrations. In structures outside the brain barrier (pineal and pituitary glands), albuterol concentrations were found to be 100 times those in the whole brain.

Studies in laboratory animals (minipigs, rodents, and dogs) have demonstrated the occurrence of cardiac arrhythmias and sudden death (with histologic evidence of myocardial necrosis) when beta-agonists and methylxanthines were administered concurrently. The significance of these findings is unknown.

Section 34092-7 (34092-7)

Clinical Trials:In controlled clinical trials in adults, most patients exhibited an onset of improvement in pulmonary function within 5 minutes as determined by FEV 1. FEV 1measurements also showed that the maximum average improvement in pulmonary function usually occurred at approximately 1 hour following inhalation of 2.5 mg of albuterol by compressor-nebulizer and remained close to peak for 2 hours. Clinically significant improvement in pulmonary function (defined as maintenance of a 15% or more increase in FEV 1over baseline values) continued for 3 to 4 hours in most patients and in some patients continued up to 6 hours.

Published reports of trials in asthmatic children aged 3 years or older have demonstrated significant improvement in either FEV 1or PEFR within 2 to 20 minutes following single doses of albuterol inhalation solution. An increase of 15% or more in baseline FEV 1has been observed in children aged 5 to 11 years up to 6 hours after treatment with doses of 0.10 mg/kg or higher of albuterol inhalation solution. Single doses of 3, 4, or 10 mg resulted in improvement in baseline PEFR that was comparable in extent and duration to a 2 mg dose, but doses above 3 mg were associated with heart rate increases of more than 10%.

Section 42229-5 (42229-5)

*Potency expressed as albuterol

Section 43682-4 (43682-4)

Pharmacokinetics: Studies in asthmatic patients have shown that less than 20% of a single albuterol dose was absorbed following either intermittent positive-pressure breathing (IPPB) or nebulizer administration; the remaining amount was recovered from the nebulizer and apparatus and expired air. Most of the absorbed dose was recovered in the urine 24 hours after drug administration. Following a 3 mg dose of nebulized albuterol, the maximum albuterol plasma level at 0.5 hour was 2.1 ng/mL (range 1.4 to 3.2 ng/mL). There was a significant dose-related response in FEV 1and peak flow rate. It has been demonstrated that following oral administration of 4 mg of albuterol, the elimination half-life was 5 to 6 hours.

Overdosage (OVERDOSAGE)

The expected symptoms with overdosage are those of excessive beta-adrenergic stimulation and/or occurrence or exaggeration of any of the symptoms listed under ADVERSE REACTIONS, e.g., seizures, angina, hypertension or hypotension, tachycardia with rates up to 200 beats per minute, arrhythmias, nervousness, headache, tremor, dry mouth, palpitation, nausea, dizziness, fatigue, malaise, and sleeplessness. Hypokalemia may also occur. In isolated cases in children 2 to 12 years of age, tachycardia with rates > 200 beats/min has been observed. As with all sympathomimetic l medications, cardiac arrest and even death may be associated with abuse of albuterol inhalation solution. Treatment consists of discontinuation of albuterol inhalation solution together with appropriate symptomatic therapy. The judicious use of a cardioselective beta-receptor blocker may be considered, bearing in mind that such medication can produce bronchospasm. There is insufficient evidence to determine if dialysis is beneficial for overdosage of albuterol inhalation solution.

The oral median lethal dose of albuterol sulfate in mice is greater than 2000 mg/kg (approximately 810 times the maximum recommended daily inhalation dose for adults on an mg/m 2basis or approximately 300 times the maximum recommended daily inhalation dose for children on a mg/m 2basis). In mature rats, the subcutaneous (sc) median lethal dose of albuterol sulfate is approximately 450 mg/kg (approximately  365 times the maximum recommended daily inhalation dose for adults on an mg/m 2basis or approximately 135 times the maximum recommended daily inhalation dose for children on a mg/m 2basis). In small young rats, the sc median lethal dose is approximately 2000 mg/kg (approximately 1600 times the maximum recommended daily inhalation dose for adults on a mg/m 2basis or approximately 600 times the maximum recommended daily inhalation dose for children on a mg/m 2basis). The inhalational median lethal dose has not been determined in animals.

Description (DESCRIPTION)

Albuterol inhalation solution, USP 0.5% contains albuterol sulfate USP, the racemic form of albuterol and a relatively selective beta 2-adrenergic bronchodilator (see CLINICAL PHARMACOLOGYsection below). Albuterol sulfate has the chemical name α 1-[( tert-Butylamino) methyl]-4-hydroxy- m-xylene-α,α′-diol sulfate (2:1) (salt) and the following chemical structure:

The molecular weight of albuterol sulfate is 576.7 and the empirical formula is (C 13H 21NO 3) 2• H 2SO 4

Albuterol sulfate USP is a white crystalline powder, soluble in water and slightly soluble in ethanol. The World Health Organization’s recommended name for albuterol base is salbutamol.

Albuterol inhalation solution, USP 0.5%, is in concentrated form. Dilute 0.5 mL of the solution to 3 mL with sterile normal saline solution prior to administration by nebulization (see DOSAGE AND ADMINISTRATION).

Each 0.5 mL Unit-of-Use Vial Contains: ACTIVE: 2.5 mg of albuterol (equivalent to 3 mg of albuterol sulfate USP) in a sterile, aqueous solution; sulfuric acid is used to adjust the pH to between 3 and 5. Albuterol inhalation solution, USP contains no sulfiting agents or preservatives. It is supplied in 0.5 mL sterile unit-of-use Vials.

Albuterol inhalation solution, USP is a clear, colorless to light yellow solution.

How Supplied (HOW SUPPLIED)

Albuterol inhalation solution, USP 0.5%, is a clear, colorless to light yellow solution, and is supplied in plastic sterile unit-of-use vials of 0.5 mL each, supplied in individual foil pouches:

NDC 64980-642-03: 30 vials, each in an individual pouch.

Unmapped Section (UNMAPPED_SECTION)

Cardiovascular Effects: Albuterol inhalation solution, like all other beta-adrenergic agonists, can produce a clinically significant cardiovascular effect in some patients as measured by pulse rate, blood pressure, and/or symptoms. Although such effects are uncommon after administration of albuterol inhalation solution at recommended doses, if they occur, the drug may need to be discontinued. In addition, beta-agonists have been reported to produce electrocardiogram (ECG) changes, such as flattening of the T wave, prolongation of the QTc interval, and ST segment depression. The clinical significance of these findings is unknown. Therefore, albuterol  inhalation solution, like all sympathomimetic amines, should be used with caution in patients with cardiovascular disorders, especially coronary insufficiency, cardiac arrhythmias, and hypertension.

Adverse Reactions (ADVERSE REACTIONS)

The results of clinical trials with albuterol inhalation solution in 135 patients showed the following side effects which were considered probably or possibly drug related:

No clinically relevant laboratory abnormalities related to albuterol inhalation solution were determined in these studies. Cases of urticaria, angioedema, rash, bronchospasm, hoarseness, oropharyngeal edema, and arrythmias (including atrial fibrillation, supraventricular tachycardia,

and extrasystoles) have been reported after the use of albuterol inhalation solution.

Contraindications (CONTRAINDICATIONS)

Albuterol inhalation solution is contraindicated in patients with a history of hypersensitivity to albuterol or any of its components.

Storage and Handling

PROTECT FROM LIGHT. Store vials in pouch until time of use. Store between 20 °C to 25°C (68°F - 77°F), excursions permitted to 15 °C to 30 °C (59°F - 86°F) [see USP Controlled Room Temperature].

Rx Only

Distributed by:

Rising Pharma Holdings, Inc.

East Brunswick, NJ 08816

For Customer Service,

Call: 1-844-874-7464

IC 3028

Issued:02/2025

Manufactured By:

Nephron Pharmaceuticals Corporation

West Columbia, SC 29172

Clinical Pharmacology (CLINICAL PHARMACOLOGY)

In vitro studies and in vivo pharmacologic studies have demonstrated that albuterol has a preferential effect on beta 2-adrenergic receptors compared with isoproterenol. While it is recognized that beta 2-adrenergic receptors are the predominant receptors in bronchial smooth muscle, data indicate that there is a population of beta 2-receptors in the human heart existing in a concentration between 10% and 50%. The precise function of these receptors has not been established (see WARNINGS).

The pharmacologic effects of beta-adrenergic agonist drugs, including albuterol, are at least in part attributable to stimulation through beta-adrenergic receptors of intracellular adenyl cyclase, the enzyme that catalyzes the conversion of adenosine triphosphate (ATP) to cyclic-3’,5’-adenosine monophosphate (cyclic AMP). Increased cyclic AMP levels are associated with relaxation of bronchial smooth muscle and inhibition of release of mediators of immediate hypersensitivity from cells, especially from mast cells. Albuterol has been shown in most controlled clinical trials to have more effect on the respiratory tract, in the form of bronchial smooth muscle relaxation, than isoproterenol at comparable doses while producing fewer cardiovascular effects. Controlled clinical studies and other clinical experience have shown that inhaled albuterol, like other beta-adrenergic agonist drugs, can produce a significant cardiovascular effect in some patients, as measured by pulse rate, blood pressure, symptoms, and/or electrocardiographic changes. Albuterol is longer acting than isoproterenol in most patients by any route of administration because it is not a substrate for the cellular uptake processes for catecholamines nor for catechol- O-methyl transferase.

Indications and Usage (INDICATIONS AND USAGE)

Albuterol  inhalation solution is indicated for the relief of bronchospasm in patients 12 years of age and older with reversible obstructive airway disease and acute attacks of bronchospasm.

Patient Package Insert

Protect from light. Store between 20 °C to 25°C (68°F - 77°F) [see USP Controlled Room Temperature].

Discard if solution becomes discoloured (Note: Albuterol inhalation solution, USP is a clear, colorless to light yellow solution.)

Keep out of reach of children.

Usual Dosage: See accompanying prescribing information.

Mixing Compatibility: The safety and effectiveness of albuterol inhalation solution have not been determined when one or more drugs are mixed with it in a nebulizer.

NOTE: The albuterol inhalation solution is concentrated and must be diluted.

Read complete instructions carefully before using.

Dosage and Administration (DOSAGE AND ADMINISTRATION)

The usual dosage for adults and pediatric patients 12 years of age and older is 2.5 mg of albuterol (one unit-of-use vial) administered 3 to 4 times daily by nebulization. More frequent administration or higher doses are not recommended. To administer 2.5 mg of albuterol, dilute 0.5 mL of the 0.5% solution for inhalation to a total volume of 3 mL with sterile normal saline solution and administer by nebulization.

The flow rate is regulated to suit the particular nebulizer so that albuterol inhalation solution will be delivered over approximately 5 to 15 minutes.

Drug compatibility (physical and chemical), efficacy, and safety of albuterol inhalation solution when mixed with other drugs in a nebulizer have not been established.

The use of albuterol  inhalation solution can be continued as medically indicated to control recurring bouts of bronchospasm. During treatment, most patients gain optimum benefit from regular use of the nebulizer solution.

If a previously effective dosage regimen fails to provide the usual relief, medical advice should be sought immediately, as this is often a sign of seriously worsening asthma which would require reassessment of therapy.

The nebulizer should be cleaned in accordance with the manufacturer’s instructions. Failure to do so could lead to bacterial contamination of the nebulizer and possible infection.

Patient's Instructions for Use (Patient's Instructions For Use)

1. Twist open the top of one albuterol  inhalation solution unit-of-use container (Figure 1).

2. Squeeze the solution into the nebulizer reservoir through the appropriate opening (Figure 2).

3. Add 2.5 mL of diluting fluid – sterile normal saline solution (as your doctor has directed).

4. Gently swirl the nebulizer to mix the contents and connect it with the mouthpiece or face mask (Figure 3).

5. Connect the nebulizer to the compressor.

6.Sit in a comfortable, upright position; place the mouthpiece in your mouth (Figure 4) (or put on the face mask); and turn the compressor on.

7. Breathe as calmly, deeply and evenly as possible until no more mist is formed in the nebulizer chamber (about 5 to 15 minutes).  At this point, the treatment is finished.

8. Clean the nebulizer (see manufacturer’s instructions).  Failure to clean the nebulizer in accordance with the manufacturer’s instructions could lead to bacterial contamination of the nebulizer, and possible infection.

Note: Use only as directed by your physician. More frequent administration or higher doses are not recommended.

Package Label.principal Display Panel (PACKAGE LABEL.PRINCIPAL DISPLAY PANEL)

Principal Display Panel – Pouch Label (individually wrapped vials)

NDC 64980-642-03

Principal Display Panel – Carton (30 individually wrapped vials)

NDC 64980-642-03


Advanced Ingredient Data


Raw Label Data

All Sections (JSON)