These Highlights Do Not Include All The Information Needed To Use Mycophenolate Mofetil For Injection Safely And Effectively. See Full Prescribing Information For Mycophenolate Mofetil For Injection.

These Highlights Do Not Include All The Information Needed To Use Mycophenolate Mofetil For Injection Safely And Effectively. See Full Prescribing Information For Mycophenolate Mofetil For Injection.
SPL v5
SPL
SPL Set ID 32001417-130d-4c08-8e63-94ba3627ce5f
Route
INTRAVENOUS
Published
Effective Date 2023-11-10
Document Type 34391-3 HUMAN PRESCRIPTION DRUG LABEL

Drug Facts

Composition & Product

Inactive Ingredients
Polysorbate 80 Anhydrous Citric Acid Alcohol Water Hydrochloric Acid Sodium Hydroxide

Identifiers & Packaging

Marketing Status
ANDA Active Since 2023-03-08

Description

Use during pregnancy is associated with increased risks of first trimester pregnancy loss and congenital malformations. Avoid if safer treatment options are available. Females of reproductive potential must be counseled regarding pregnancy prevention and planning [see Warnings and Precautions (5.1) , Use in Special Populations (8.1 , 8.3) ] . Increased risk of development of lymphoma and other malignancies, particularly of the skin [see Warnings and Precautions (5.2) ] . Increased susceptibility to bacterial, viral, fungal and protozoal infections, including opportunistic infections and viral reactivation of hepatitis B and C, which may lead to hospitalizations and fatal outcomes [see Warnings and Precautions (5.3) ] .

Indications and Usage

Mycophenolate Mofetil [mycophenolate mofetil (MMF)] is indicated for the prophylaxis of organ rejection, in adult and pediatric recipients 3 months of age and older of allogeneic kidney [see Clinical Studies (14.1) ], heart [see Clinical Studies (14.2) ] or liver transplants [see Clinical Studies (14.3) ] , in combination with other immunosuppressants.

Dosage and Administration

ADULTS DOSAGE Kidney Transplant 1 g twice daily, orally or intravenously (IV) over no less than 2 h ( 2.2 ) Heart Transplant 1.5 g twice daily orally or IV, over no less than 2 h ( 2.3 ) Liver Transplant 1.5 g twice daily orally or 1g twice daily IV over no less than 2 h ( 2.4 ) PEDIATRICS Kidney Transplant 600 mg/m 2 orally twice daily, up to maximum of 2 g daily ( 2.2 ) Heart Transplant 600 mg/m 2 orally twice daily (starting dose) up to a maximum of 900 mg/m 2 twice daily (3 g or 15 mL of oral suspension) ( 2.3 ) Liver Transplant 600 mg/m 2 orally twice daily (starting dose) up to a maximum of 900 mg/m 2 twice daily (3 g or 15 mL of oral suspension) ( 2.4 ) Mycophenolate Mofetil for Injection is an alternative when patients cannot tolerate oral medication. Administer within 24 hours following transplantation, until patients can tolerate oral medication, up to 14 days. ( 2.1 ) Reduce or interrupt dosing in the event of neutropenia. ( 2.5 ) See full prescribing information (FPI) for: adjustments for renal impairment and neutropenia ( 2.5 ), preparation of oral suspension and IV solution. ( 2.6 )

Warnings and Precautions

Blood Dyscrasias (Neutropenia, Red Blood Cell Aplasia): Monitor with blood tests; consider treatment interruption or dose reduction. ( 5.4 ) Gastrointestinal Complications: Monitor for complications such as bleeding, ulceration and perforations, particularly in patients with underlying gastrointestinal disorders. ( 5.5 ) Hypoxanthine-Guanine Phosphoribosyl-Transferase Deficiency: Avoid use of Mycophenolate Mofetil. ( 5.6 ) Acute Inflammatory Syndrome Associated with Mycophenolate Products: Monitor for this paradoxical inflammatory reaction. ( 5.7 ) Immunizations: Avoid live attenuated vaccines. ( 5.8 ) Local Reactions with Rapid Intravenous Administration: Mycophenolate Mofetil for Injection must not be administered by rapid or bolus intravenous injection. ( 5.9 ) Phenylketonurics: Oral suspension contains aspartame. ( 5.10 ) Blood Donation: Avoid during therapy and for 6 weeks thereafter. ( 5.11 ) Semen Donation: Avoid during therapy and for 90 days thereafter. ( 5.12 ) Potential Impairment on Driving and Use of Machinery: Mycophenolate Mofetil may affect ability to drive or operate machinery. ( 5.14 )

Contraindications

Allergic reactions to Mycophenolate Mofetil have been observed; therefore, Mycophenolate Mofetil is contraindicated in patients with a hypersensitivity to mycophenolate mofetil (MMF), mycophenolic acid (MPA) or any component of the drug product. Mycophenolate Mofetil for Injection is contraindicated in patients who are allergic to Polysorbate 80 (TWEEN).

Adverse Reactions

The following adverse reactions are discussed in greater detail in other sections of the label: Embryofetal Toxicity [see Warnings and Precautions (5.1) ] Lymphomas and Other Malignancies [see Warnings and Precautions 5.2) ] Serious Infections [see Warnings and Precautions (5.3) ] Blood Dyscrasias: Neutropenia, Pure Red Cell Aplasia [see Warnings and Precautions (5.4) ] Gastrointestinal Complications [see Warnings and Precautions (5.5) ] Acute Inflammatory Syndrome Associated with Mycophenolate Products [see Warnings and Precautions (5.7) ]

Drug Interactions

See FPI for drugs that may interfere with systemic exposure and reduce Mycophenolate Mofetil efficacy: antacids with magnesium or aluminum hydroxide, proton pump inhibitors, drugs that interfere with enterohepatic recirculation, telmisartan, calcium-free phosphate binders. ( 7.1 ) Mycophenolate Mofetil may reduce effectiveness of oral contraceptives. Use of additional barrier contraceptive methods is recommended. ( 7.2 ) See FPI for other important drug interactions. ( 7 )


Medication Information

Warnings and Precautions

Blood Dyscrasias (Neutropenia, Red Blood Cell Aplasia): Monitor with blood tests; consider treatment interruption or dose reduction. ( 5.4 ) Gastrointestinal Complications: Monitor for complications such as bleeding, ulceration and perforations, particularly in patients with underlying gastrointestinal disorders. ( 5.5 ) Hypoxanthine-Guanine Phosphoribosyl-Transferase Deficiency: Avoid use of Mycophenolate Mofetil. ( 5.6 ) Acute Inflammatory Syndrome Associated with Mycophenolate Products: Monitor for this paradoxical inflammatory reaction. ( 5.7 ) Immunizations: Avoid live attenuated vaccines. ( 5.8 ) Local Reactions with Rapid Intravenous Administration: Mycophenolate Mofetil for Injection must not be administered by rapid or bolus intravenous injection. ( 5.9 ) Phenylketonurics: Oral suspension contains aspartame. ( 5.10 ) Blood Donation: Avoid during therapy and for 6 weeks thereafter. ( 5.11 ) Semen Donation: Avoid during therapy and for 90 days thereafter. ( 5.12 ) Potential Impairment on Driving and Use of Machinery: Mycophenolate Mofetil may affect ability to drive or operate machinery. ( 5.14 )

Indications and Usage

Mycophenolate Mofetil [mycophenolate mofetil (MMF)] is indicated for the prophylaxis of organ rejection, in adult and pediatric recipients 3 months of age and older of allogeneic kidney [see Clinical Studies (14.1) ], heart [see Clinical Studies (14.2) ] or liver transplants [see Clinical Studies (14.3) ] , in combination with other immunosuppressants.

Dosage and Administration

ADULTS DOSAGE Kidney Transplant 1 g twice daily, orally or intravenously (IV) over no less than 2 h ( 2.2 ) Heart Transplant 1.5 g twice daily orally or IV, over no less than 2 h ( 2.3 ) Liver Transplant 1.5 g twice daily orally or 1g twice daily IV over no less than 2 h ( 2.4 ) PEDIATRICS Kidney Transplant 600 mg/m 2 orally twice daily, up to maximum of 2 g daily ( 2.2 ) Heart Transplant 600 mg/m 2 orally twice daily (starting dose) up to a maximum of 900 mg/m 2 twice daily (3 g or 15 mL of oral suspension) ( 2.3 ) Liver Transplant 600 mg/m 2 orally twice daily (starting dose) up to a maximum of 900 mg/m 2 twice daily (3 g or 15 mL of oral suspension) ( 2.4 ) Mycophenolate Mofetil for Injection is an alternative when patients cannot tolerate oral medication. Administer within 24 hours following transplantation, until patients can tolerate oral medication, up to 14 days. ( 2.1 ) Reduce or interrupt dosing in the event of neutropenia. ( 2.5 ) See full prescribing information (FPI) for: adjustments for renal impairment and neutropenia ( 2.5 ), preparation of oral suspension and IV solution. ( 2.6 )

Contraindications

Allergic reactions to Mycophenolate Mofetil have been observed; therefore, Mycophenolate Mofetil is contraindicated in patients with a hypersensitivity to mycophenolate mofetil (MMF), mycophenolic acid (MPA) or any component of the drug product. Mycophenolate Mofetil for Injection is contraindicated in patients who are allergic to Polysorbate 80 (TWEEN).

Adverse Reactions

The following adverse reactions are discussed in greater detail in other sections of the label: Embryofetal Toxicity [see Warnings and Precautions (5.1) ] Lymphomas and Other Malignancies [see Warnings and Precautions 5.2) ] Serious Infections [see Warnings and Precautions (5.3) ] Blood Dyscrasias: Neutropenia, Pure Red Cell Aplasia [see Warnings and Precautions (5.4) ] Gastrointestinal Complications [see Warnings and Precautions (5.5) ] Acute Inflammatory Syndrome Associated with Mycophenolate Products [see Warnings and Precautions (5.7) ]

Drug Interactions

See FPI for drugs that may interfere with systemic exposure and reduce Mycophenolate Mofetil efficacy: antacids with magnesium or aluminum hydroxide, proton pump inhibitors, drugs that interfere with enterohepatic recirculation, telmisartan, calcium-free phosphate binders. ( 7.1 ) Mycophenolate Mofetil may reduce effectiveness of oral contraceptives. Use of additional barrier contraceptive methods is recommended. ( 7.2 ) See FPI for other important drug interactions. ( 7 )

Description

Use during pregnancy is associated with increased risks of first trimester pregnancy loss and congenital malformations. Avoid if safer treatment options are available. Females of reproductive potential must be counseled regarding pregnancy prevention and planning [see Warnings and Precautions (5.1) , Use in Special Populations (8.1 , 8.3) ] . Increased risk of development of lymphoma and other malignancies, particularly of the skin [see Warnings and Precautions (5.2) ] . Increased susceptibility to bacterial, viral, fungal and protozoal infections, including opportunistic infections and viral reactivation of hepatitis B and C, which may lead to hospitalizations and fatal outcomes [see Warnings and Precautions (5.3) ] .

Section 42229-5

Mycophenolate Mofetil for Injection

Mycophenolate Mofetil for Injection is recommended for patients unable to take oral Mycophenolate Mofetil. Mycophenolate Mofetil for Injection should be administered within 24 hours following transplant. Mycophenolate Mofetil for Injection can be administered for up to 14 days; however, patients should be switched to oral Mycophenolate Mofetil as soon as they can tolerate oral medication.

Mycophenolate Mofetil for Injection must be reconstituted before use [see Dosage and Administration (2.6)] . Mycophenolate Mofetil for Injection is incompatible with other intravenous infusion solutions and should not be mixed or administered concurrently via the same infusion catheter with other intravenous drugs or infusion admixtures.

Mycophenolate Mofetil for Injection must not be administered as a bolus. Following reconstitution, Mycophenolate Mofetil for Injection must be administered by slow intravenous infusion over a period of no less than 2 hours by either peripheral or central vein, as rapid infusion increases the risk of local adverse reactions such as phlebitis and thrombosis [see Adverse Reactions (6.1)] .

Section 42231-1

MEDICATION GUIDE

Mycophenolate Mofetil for injection (mye” koe fen’ oh late moe’ fe til)

Read the Medication Guide that comes with Mycophenolate Mofetil before you start taking it and each time you refill your prescription. There may be new information. This Medication Guide does not take the place of talking with your doctor about your medical condition or treatment.

What is the most important information I should know about Mycophenolate Mofetil?

Mycophenolate Mofetil can cause serious side effects, including:

Increased risk of loss of a pregnancy (miscarriage) and higher risk of birth defects.Females who take Mycophenolate Mofetil during pregnancy have a higher risk of miscarriage during the first 3 months (first trimester), and a higher risk that their baby will be born with birth defects.

  • If you are a female who can become pregnant, your doctor must talk with you about acceptable birth control methods (contraceptive counseling) to use while taking Mycophenolate Mofetil. You should have 1 pregnancy test immediately before starting Mycophenolate Mofetil and another pregnancy test 8 to 10 days later. Pregnancy tests should be repeated during routine follow-up visits with your doctor. Talk to your doctor about the results of all of your pregnancy tests.

    You must use acceptable birth control during your entire Mycophenolate Mofetil treatment and for 6 weeks after stopping Mycophenolate Mofetil, unless at any time you choose to avoid sexual intercourse (abstinence) with a man completely. Mycophenolate Mofetil decreases blood levels of the hormones in birth control pills that you take by mouth. Birth control pills may not work as well while you take Mycophenolate Mofetil, and you could become pregnant. If you take birth control pills while using Mycophenolate Mofetil you must also use another form of birth control. Talk to your doctor about other birth control methods that you can use while taking Mycophenolate Mofetil.
  • If you are a sexually active male whose female partner can become pregnant while you are taking Mycophenolate Mofetil, use effective contraception during treatment and for at least 90 days after stopping Mycophenolate Mofetil.
  • If you plan to become pregnant, talk with your doctor. Your doctor will decide if other medicines to prevent rejection may be right for you.
  • If you become pregnant while taking Mycophenolate Mofetil, do not stop taking Mycophenolate Mofetil. Call your doctor right away.You and your doctor may decide that other medicines to prevent rejection may be right for you. You and your doctor should report your pregnancy to the Mycophenolate Pregnancy Registry either:
    • By phone at 1-877-310-4015 or
    • By visiting the REMS website at: www.psmycophenolaterems.com
  • The purpose of this registry is to gather information about the health of you and your baby.

Increased risk of getting certain cancers.People who take Mycophenolate Mofetil have a higher risk of getting lymphoma, and other cancers, especially skin cancer. Tell your doctor if you have:

  • unexplained fever, prolonged tiredness, weight loss or lymph node swelling
  • a brown or black skin lesion with uneven borders, or one part of the lesion does not look like the other
  • a change in the size and color of a mole
  • a new skin lesion or bump
  • any other changes to your health

Increased risk of getting serious infections.Mycophenolate Mofetil weakens the body's immune system and affects your ability to fight infections. Serious infections can happen with Mycophenolate Mofetil and can lead to hospitalizations and death. These serious infections can include:

  • Viral infections.Certain viruses can live in your body and cause active infections when your immune system is weak. Viral infections that can happen with Mycophenolate Mofetil include:
    • Shingles, other herpes infections, and cytomegalovirus (CMV). CMV can cause serious tissue and blood infections.
    • BK virus. BK virus can affect how your kidney works and cause your transplanted kidney to fail.
    • Hepatitis B and C viruses. Hepatitis viruses can affect how your liver works. Talk to your doctor about how hepatitis viruses may affect you.
    • COVID-19
  • A brain infection called Progressive Multifocal Leukoencephalopathy (PML).In some patients, Mycophenolate Mofetil may cause an infection of the brain that may cause death. You are at risk for this brain infection because you have a weakened immune system. Call your doctor right away if you have any of the following symptoms:
  • weakness on one side of the body
  • you do not care about things you usually care about (apathy)
  • you are confused or have problems thinking.
  • you cannot control your muscles
  • Fungal infections.Yeasts and other types of fungal infections can happen with Mycophenolate Mofetil and can cause serious tissue and blood infections (See “What are the possible side effects of Mycophenolate Mofetil?”).

Call your doctor right away if you have any of the following signs and symptoms of infection:

  • temperature of 100.5°F or greater
  • cold symptoms, such as a runny nose or sore throat
  • flu symptoms, such as an upset stomach, stomach pain, vomiting or diarrhea
  • earache or headache
  • pain during urination
  • white patches in the mouth or throat
  • unexpected bruising or bleeding
  • cuts, scrapes or incisions that are red, warm and oozing pus

See “What are the possible side effects of Mycophenolate Mofetil?”for information about other serious side effects.

What is Mycophenolate Mofetil?

  • Mycophenolate Mofetil is a prescription medicine to prevent rejection (antirejection medicine) in people who have received a kidney, heart, or liver transplant. Rejection is when the body's immune system perceives the new organ as a "foreign" threat and attacks it.
  • Mycophenolate Mofetil is used with other medicines containing cyclosporine and corticosteroids.

Who should not take Mycophenolate Mofetil?

Do not take Mycophenolate Mofetil if you are allergic to mycophenolate mofetil or any of the ingredients in Mycophenolate Mofetil.See the end of this Medication Guide for a complete list of ingredients in Mycophenolate Mofetil.

What should I tell my doctor before taking Mycophenolate Mofetil?

Tell your doctor about all of your medical conditions, including if you:

  • have any digestive problems, such as ulcers.
  • have Phenylketonuria (PKU). CELLCEPT oral suspension contains aspartame (a source of phenylalanine).
  • have Lesch-Nyhan syndrome, Kelley-Seegmiller syndrome, or another rare inherited deficiency hypoxanthine-guanine phosphoribosyl-transferase (HGPRT). You should not take Mycophenolate Mofetil if you have one of these disorders.
  • plan to receive any vaccines. People taking Mycophenolate Mofetil should not receive live vaccines. Some vaccines may not work as well during treatment with Mycophenolate Mofetil.
  • are pregnant or plan to become pregnant. See “What is the most important information I should know about Mycophenolate Mofetil?”
  • are breastfeeding or plan to breastfeed. It is not known if Mycophenolate Mofetil passes into breast milk. You and your doctor will decide if you will take Mycophenolate Mofetil or breastfeed.

Tell your healthcare provider about all the medicines you take,including prescription and over-the-counter medicines, vitamins and herbal supplements. Some medicines may affect the way Mycophenolate Mofetil works, and Mycophenolate Mofetil may affect how some medicines work.

Especially tell your doctor if you take:

  • birth control pills (oral contraceptives). See “What is the most important information I should know about Mycophenolate Mofetil?”
  • sevelamer (Renagel ®, Renvela™). These products should be taken at least 2 hours after taking Mycophenolate Mofetil.
  • acyclovir (Zovirax ®), valacyclovir (Valtrex ®), ganciclovir (CYTOVENE ®-IV, Vitrasert ®), valganciclovir (VALCYTE ®).
  • rifampin (Rifater ®, Rifamate ®, Rimactane ®, Rifadin ®).
  • antacids that contain magnesium and aluminum (Mycophenolate Mofetil and the antacid should not be taken at the same time).
  • proton pump inhibitors (PPIs) (Prevacid ®, Protonix ®).
  • sulfamethoxazole/trimethoprim (BACTRIM™, BACTRIM DS™).
  • norfloxacin (Noroxin ®) and metronidazole (Flagyl ®, Flagyl ®ER, Flagyl ®IV, Metro IV, Helidac ®, Pylera™).
  • ciprofloxacin (Cipro ®, Cipro ®XR, Ciloxan ®, Proquin ®XR) and amoxicillin plus clavulanic acid (Augmentin ®, Augmentin XR™).
  • azathioprine (Azasan ®, Imuran ®).
  • cholestyramine (Questran Light ®, Questran ®, Locholest Light, Locholest, Prevalite ®).

Know the medicines you take. Keep a list of them to show to your doctor or nurse and pharmacist when you get a new medicine. Do nottake any new medicine without talking with your doctor.

How should I take Mycophenolate Mofetil?

  • Take Mycophenolate Mofetil exactly as prescribed.
  • Do notstop taking Mycophenolate Mofetil or change the dose unless your doctor tells you to.
  • If you miss a dose of Mycophenolate Mofetil, or you are not sure when you took your last dose, take your prescribed dose of Mycophenolate Mofetil as soon as you remember. If your next dose is less than 2 hours away, skip the missed dose and take your next dose at your normal scheduled time. Do nottake 2 doses at the same time. Call your doctor if you are not sure what to do.
  • If you take too much Mycophenolate Mofetil, call your doctor or the poison control center right away.

What should I avoid while taking Mycophenolate Mofetil?

  • Avoid becoming pregnant. (See “What is the most important information I should know about Mycophenolate Mofetil?”).
  • Limit the amount of time you spend in sunlight. Avoid using tanning beds or sunlamps. People who take Mycophenolate Mofetil have a higher risk of getting skin cancer (See “What is the most important information I should know about Mycophenolate Mofetil?”). Wear protective clothing when you are in the sun and use a broad-spectrum sunscreen with a high protection factor. This is especially important if your skin is very fair or if you have a family history of skin cancer.
  • You should not donate blood while taking Mycophenolate Mofetil and for at least 6 weeks after stopping Mycophenolate Mofetil.
  • You should not donate sperm while taking Mycophenolate Mofetil and for 90 days after stopping Mycophenolate Mofetil.
  • Mycophenolate Mofetil may influence your ability to drive and use machines (See “What are the possible side effects of Mycophenolate Mofetil?”. If you experience drowsiness, confusion, dizziness, tremor, or low blood pressure during treatment with Mycophenolate Mofetil, you should be cautious about driving or using heavy machines.

What are the possible side effects of Mycophenolate Mofetil?

Mycophenolate Mofetil may cause serious side effects, including:

  • See “What is the most important information I should know about Mycophenolate Mofetil?”
  • Low blood cell counts.People taking high doses of Mycophenolate Mofetil each day may have a decrease in blood counts, including:
    • white blood cells, especially neutrophils.Neutrophils fight against bacterial infections. You have a higher chance of getting an infection when your white blood cell count is low. This is most common from 1 month to 6 months after your transplant.
    • red blood cells.Red blood cells carry oxygen to your body tissues. You have a higher chance of getting severe anemia when your red blood cell count is low.
    • platelets. Platelets help with blood clotting.

Your doctor will do blood tests before you start taking Mycophenolate Mofetil and during treatment with Mycophenolate Mofetil to check your blood cell counts. Tell your doctor right away if you have any signs of infection (See “What is the most important information I should know about Mycophenolate Mofetil?”), including any unexpected bruising or bleeding. Also, tell your doctor if you have unusual tiredness, lack of energy, dizziness or fainting.

  • Stomach problems.Stomach problems including intestinal bleeding, a tear in your intestinal wall (perforation) or stomach ulcers can happen in people who take Mycophenolate Mofetil. Bleeding can be severe and you may have to be hospitalized for treatment. Call your doctor right away if you have sudden or severe stomach-area pain or stomach-area pain that does not go away, or if you have diarrhea.
  • Inflammatory reactions.Some people taking Mycophenolate Mofetil may have an inflammatory reaction with fever, joint stiffness, joint pain, and muscle pain. Some of these reactions may require hospitalization. This reaction could happen within weeks to months after your treatment with Mycophenolate Mofetil starts or if your dose is increased. Call your doctor right away if you experience these symptoms.

The most common side effects of Mycophenolate Mofetil include:

  • Diarrhea
  • blood problems including low white and red blood cell counts
  • infections
  • blood pressure problems
  • fast heartbeat
  • swelling of the lower legs, ankles and feet
  • changes in laboratory blood levels, including high levels of blood sugar (hyperglycemia)
  • stomach problems including diarrhea, constipation, nausea and vomiting
  • rash
  • nervous system problems such as headache, dizziness and tremor

Side effects that can happen more often in children than in adults taking Mycophenolate Mofetil include:

  • stomach area pain
  • fever
  • infection
  • pain
  • blood infection (sepsis)
  • diarrhea
  • vomiting
  • sore throat
  • colds (respiratory tract infections)
  • high blood pressure
  • low white blood cell count
  • low red blood cell count

These are not all of the possible side effects of Mycophenolate Mofetil. Tell your doctor about any side effect that bothers you or that does not go away.

Call your doctor for medical advice about side effects. You may report side effects to FDA at 1- 800-FDA-1088.You may also report side effects to BPI Labs, LLC at 1-727-471-0850.

How should I store Mycophenolate Mofetil?

Store powder and reconstituted infusion solution at 25°C (77°F); excursions permitted to 15°C to 30°C (59°F to 86°F).

Keep Mycophenolate Mofetil and all medicines out of the reach of children.

General information about the safe and effective use of Mycophenolate Mofetil.

Medicines are sometimes prescribed for purposes other than those listed in a Medication Guide. Do not use Mycophenolate Mofetil for a condition for which it was not prescribed. Do not give Mycophenolate Mofetil to other people, even if they have the same symptoms that you have. It may harm them.

This Medication Guide summarizes the most important information about Mycophenolate Mofetil. If you would like more information, talk with your doctor. You can ask your doctor or pharmacist about Mycophenolate Mofetil that is written for health professionals.

What are the ingredients in Mycophenolate Mofetil?

Active ingredient:mycophenolate mofetil

Inactive ingredients:

Mycophenolate Mofetil for Injection:polysorbate 80, and citric acid. Sodium hydroxide and/or hydrochloric acid may have been used in the manufacture of Mycophenolate Mofetil for Injection to adjust the pH.

Manufactured For:

BPI Labs, LLC

12393 Belcher RD S,

Suite 450

Largo, FL – 33773.

Manufactured by:

Bioindustria L.I.M S.p.A

Via de Ambrosiis 2,

Novi Ligure, 15067, Italy

LI24I R-2306

REV 05/23

This Medication Guide has been approved by the U.S. Food and Drug Administration. Revised 05/2023

Section 43683-2

Indications and Usage, Pediatric Heart or Liver Transplants ( 1)

6/2022

Dosage and Administration, Dosage Recommendations for Heart Transplant Patients ( 2.3)

6/2022

Dosage and Administration, Dosage Recommendations for Liver Transplant Patients ( 2.4)

6/2022

Warnings and Precautions, Serious Infections ( 5.3)

10/2021

Warnings and Precautions, Acute Inflammatory Syndrome Associated with Mycophenolate Products ( 5.7)

10/2021

10 Overdosage

Possible signs and symptoms of acute overdose include hematological abnormalities such as leukopenia and neutropenia, and gastrointestinal symptoms such as abdominal pain, diarrhea, nausea, vomiting, and dyspepsia.

The experience with overdose of Mycophenolate Mofetil in humans is limited. The reported effects associated with overdose fall within the known safety profile of the drug. The highest dose administered to kidney transplant patients in clinical trials has been 4 g/day. In limited experience with heart and liver transplant patients in clinical trials, the highest doses used were 4 g/day or 5 g/day. At doses of 4 g/day or 5 g/day, there appears to be a higher rate, compared to the use of 3 g/day or less, of gastrointestinal intolerance (nausea, vomiting, and/or diarrhea), and occasional hematologic abnormalities, particularly neutropenia [see Warnings and Precautions (5.4)] .

15 References

1. "OSHA Hazardous Drugs." OSHA. http://www.osha.gov/SLTC/hazardousdrugs/index.html

11 Description

Mycophenolate Mofetil (mycophenolate mofetil) is an antimetabolite immunosuppressant. It is the 2-morpholinoethyl ester of mycophenolic acid (MPA), an immunosuppressive agent; inosine monophosphate dehydrogenase (IMPDH) inhibitor.

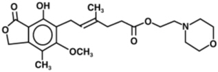
The chemical name for mycophenolate mofetil (MMF) is 2-morpholinoethyl (E)-6-(1,3-dihydro-4-hydroxy-6-methoxy-7-methyl-3-oxo-5-isobenzofuranyl)-4-methyl-4-hexenoate. It has an empirical formula of C 23H 31NO 7, a molecular weight of 433.50, and the following structural formula:

MMF is a white to off-white crystalline powder. It is slightly soluble in water (43 μg/mL at pH 7.4); the solubility increases in acidic medium (4.27 mg/mL at pH 3.6). It is freely soluble in acetone, soluble in methanol, and sparingly soluble in ethanol. The apparent partition coefficient in 1-octanol/water (pH 7.4) buffer solution is 238. The pKa values for MMF are 5.6 for the morpholino group and 8.5 for the phenolic group.

MMF hydrochloride has a solubility of 65.8 mg/mL in 5% Dextrose Injection USP (D5W). The pH of the reconstituted solution is 2.4 to 4.1.

Mycophenolate Mofetil for Injection USP is the hydrochloride salt of MMF. The chemical name for the hydrochloride salt of MMF is 2-morpholinoethyl (E)-6-(1,3-dihydro-4-hydroxy-6-methoxy-7methyl-3-oxo-5-isobenzofuranyl)-4-methyl-4-hexenoate hydrochloride. It has an empirical formula of C 23H 31NO 7HCl and a molecular weight of 469.96.

Mycophenolate Mofetil for Injection USP is available as a sterile white to off-white lyophilized powder in single-dose vials containing MMF hydrochloride for administration by intravenous infusion only. Each vial contains 500 mg of mycophenolate mofetil equivalent to 542 mg of mycophenolate mofetil hydrochloride. The inactive ingredients are polysorbate 80, 25 mg, and citric acid, 5 mg. Sodium hydroxide and/or hydrochloric acid may have been used in the manufacture of Mycophenolate Mofetil for Injection USP to adjust the pH. Reconstitution and dilution with 5% Dextrose Injection USP yields a slightly yellow solution of MMF, 6 mg/mL [see Dosage and Administration (2.6)].

5.8 Immunizations

During treatment with Mycophenolate Mofetil, the use of live attenuated vaccines should be avoided (e.g., intranasal influenza, measles, mumps, rubella, oral polio, BCG, yellow fever, varicella, and TY21a typhoid vaccines) and patients should be advised that vaccinations may be less effective. Advise patients to discuss with the physician before seeking any immunizations.

8.4 Pediatric Use

Safety and effectiveness have been established in pediatric patients 3 months and older for the prophylaxis of organ rejection of allogenic kidney, heart or liver transplants.

8.5 Geriatric Use

Clinical studies of Mycophenolate Mofetil did not include sufficient numbers of subjects aged 65 and over to determine whether they respond differently from younger subjects. Other reported clinical experience has not identified differences in responses between geriatric and younger patients. In general, dose selection for a geriatric patient should take into consideration the presence of decreased hepatic, renal or cardiac function and of concomitant drug therapies [see Adverse Reactions (6.1), Drug Interactions (7)].

17.7 Immunizations

Inform patients that Mycophenolate Mofetil can interfere with the usual response to immunizations. Before seeking vaccines on their own, advise patients to discuss first with their physician [see Warnings and Precautions (5.8)] .

17.9 Blood Donation

Advise patients not to donate blood during therapy and for at least 6 weeks following discontinuation of Mycophenolate Mofetil [see Warnings and Precautions (5.11)] .

4 Contraindications

Allergic reactions to Mycophenolate Mofetil have been observed; therefore, Mycophenolate Mofetil is contraindicated in patients with a hypersensitivity to mycophenolate mofetil (MMF), mycophenolic acid (MPA) or any component of the drug product. Mycophenolate Mofetil for Injection is contraindicated in patients who are allergic to Polysorbate 80 (TWEEN).

5.11 Blood Donation

Patients should not donate blood during therapy and for at least 6 weeks following discontinuation of Mycophenolate Mofetil because their blood or blood products might be administered to a female of reproductive potential or a pregnant woman.

5.12 Semen Donation

Based on animal data, men should not donate semen during therapy and for 90 days following discontinuation of Mycophenolate Mofetil [see Use In Specific Populations (8.3)] .

6 Adverse Reactions

The following adverse reactions are discussed in greater detail in other sections of the label:

7 Drug Interactions
  • See FPI for drugs that may interfere with systemic exposure and reduce Mycophenolate Mofetil efficacy: antacids with magnesium or aluminum hydroxide, proton pump inhibitors, drugs that interfere with enterohepatic recirculation, telmisartan, calcium-free phosphate binders. ( 7.1)
  • Mycophenolate Mofetil may reduce effectiveness of oral contraceptives. Use of additional barrier contraceptive methods is recommended. ( 7.2)
  • See FPI for other important drug interactions. ( 7)
17.10 Semen Donation

Advise males of childbearing potential not to donate semen during therapy and for 90 days following discontinuation of Mycophenolate Mofetil [see Warnings and Precautions (5.12)] .

12.2 Pharmacodynamics

There is a lack of information regarding the pharmacodynamic effects of MMF.

17.4 Blood Dyscrasias

Inform patients that they are at increased risk for developing blood adverse effects such as anemia or low white blood cells. Advise patients to immediately contact their healthcare provider if they experience any evidence of infection, unexpected bruising, or bleeding, or any other manifestation of bone marrow suppression [see Warnings and Precautions (5.4)] .

5.3 Serious Infections

Patients receiving immunosuppressants, including Mycophenolate Mofetil, are at increased risk of developing bacterial, fungal, protozoal and new or reactivated viral infections, including opportunistic infections. The risk increases with the total immunosuppressive load. These infections may lead to serious outcomes, including hospitalizations and death [see Adverse Reactions (6.1, 6.2)].

Serious viral infections reported include:

  • Polyomavirus-associated nephropathy (PVAN), especially due to BK virus infection
  • JC virus-associated progressive multifocal leukoencephalopathy (PML), and
  • Cytomegalovirus (CMV) infections: CMV seronegative transplant patients who receive an organ from a CMV seropositive donor are at highest risk of CMV viremia and CMV disease.
  • Viral reactivation in patients infected with Hepatitis B and C
  • COVID-19

Consider dose reduction or discontinuation of Mycophenolate Mofetil in patients who develop new infections or reactivate viral infections, weighing the risk that reduced immunosuppression represents to the functioning allograft.

PVAN, especially due to BK virus infection, is associated with serious outcomes, including deteriorating renal function and renal graft loss [see Adverse Reactions (6.2)]. Patient monitoring may help detect patients at risk for PVAN.

PML, which is sometimes fatal, commonly presents with hemiparesis, apathy, confusion, cognitive deficiencies, and ataxia [see Adverse Reactions (6.2)] . In immunosuppressed patients, physicians should consider PML in the differential diagnosis in patients reporting neurological symptoms.

The risk of CMV viremia and CMV disease is highest among transplant recipients seronegative for CMV at time of transplant who receive a graft from a CMV seropositive donor. Therapeutic approaches to limiting CMV disease exist and should be routinely provided. Patient monitoring may help detect patients at risk for CMV disease.

Viral reactivation has been reported in patients infected with HBV or HCV. Monitoring infected patients for clinical and laboratory signs of active HBV or HCV infection is recommended.

1 Indications and Usage

Mycophenolate Mofetil [mycophenolate mofetil (MMF)] is indicated for the prophylaxis of organ rejection, in adult and pediatric recipients 3 months of age and older of allogeneic kidney [see Clinical Studies (14.1)], heart [see Clinical Studies (14.2)] or liver transplants [see Clinical Studies (14.3)] , in combination with other immunosuppressants.

12.1 Mechanism of Action

Mycophenolate mofetil (MMF) is absorbed following oral administration and hydrolyzed to mycophenolic acid (MPA), the active metabolite. MPA is a selective uncompetitive inhibitor of the two isoforms (type I and type II) of inosine monophosphate dehydrogenase (IMPDH) leading to inhibition of the de novopathway of guanosine nucleotide synthesis and blocks DNA synthesis. The mechanism of action of MPA is multifaceted and includes effects on cellular checkpoints responsible for metabolic programming of lymphocytes. MPA shifts transcriptional activities in lymphocytes from a proliferative state to catabolic processes. In vitro studies suggest that MPA modulates transcriptional activities in human CD4 +T-lymphocytes by suppressing the Akt/mTOR and STAT5 pathways that are relevant to metabolism and survival, leading to an anergic state of T-cells whereby the cells become less responsive to antigenic stimulation. Additionally, MPA enhanced the expression of negative co-stimulators such as CD70, PD-1, CTLA-4, and transcription factor FoxP3 as well as decreased the expression of positive co-stimulators CD27 and CD28.

MPA decreases proliferative responses of T- and B-lymphocytes to both mitogenic and allo-antigenic stimulation, antibody responses, as well as the production of cytokines from lymphocytes and monocytes such as GM-CSF, IFN-ɣ, IL-17, and TNF-α. Additionally, MPA prevents the glycosylation of lymphocyte and monocyte glycoproteins that are involved in intercellular adhesion to endothelial cells and may inhibit recruitment of leukocytes into sites of inflammation and graft rejection.

Overall, the effect of MPA is cytostatic and reversible.

5.1 Embryofetal Toxicity

Use of MMF during pregnancy is associated with an increased risk of first trimester pregnancy loss and an increased risk of congenital malformations, especially external ear and other facial abnormalities including cleft lip and palate, and anomalies of the distal limbs, heart, esophagus, kidney and nervous system. Females of reproductive potential must be made aware of these risks and must be counseled regarding pregnancy prevention and planning. Avoid use of MMF during pregnancy if safer treatment options are available [see Use in Specific Populations (8.1, 8.3)].

14.2 Heart Transplantation

A double-blind, randomized, comparative, parallel-group, multicenter study in primary de novoheart transplant recipients was performed at centers in the United States (20), in Canada (1), in Europe (5) and in Australia (2). The total number of patients enrolled (ITT population) was 650; 72 never received study drug and 578 received study drug (Safety Population). Patients received Mycophenolate Mofetil 1.5 g twice daily (n=289) or AZA 1.5 to 3 mg/kg/day (n=289), in combination with cyclosporine (Sandimmune ®or Neoral ®) and corticosteroids as maintenance immunosuppressive therapy. The two primary efficacy endpoints were: (1) the proportion of patients who, after transplantation, had at least one endomyocardial biopsy-proven rejection with hemodynamic compromise, or were re-transplanted or died, within the first 6 months, and (2) the proportion of patients who died or were re-transplanted during the first 12 months following transplantation. Patients who prematurely discontinued treatment were followed for the occurrence of allograft rejection for up to 6 months and for the occurrence of death for 1 year.

The analyses of the endpoints showed:

  • Rejection: No difference was established between Mycophenolate Mofetil and AZA with respect to biopsy-proven rejection with hemodynamic compromise.
  • Survival: Mycophenolate Mofetil was shown to be at least as effective as AZA in preventing death or re-transplantation at 1 year (see Table 15 ).
Table 15 De Novo Heart Transplantation Study Rejection at 6 Months/Death or Re-transplantation at 1 Year
All Patients (ITT) Treated Patients
AZA

N = 323
Mycophenolate Mofetil

N = 327
AZA

N = 289
Mycophenolate Mofetil

N = 289

Biopsy-proven rejection with hemodynamic compromise at 6 months

1Hemodynamic compromise occurred if any of the following criteria were met: pulmonary capillary wedge pressure ≥20 mm or a 25% increase; cardiac index <2.0 L/min/m 2 or a 25% decrease; ejection fraction ≤30%; pulmonary artery oxygen saturation ≤60% or a 25% decrease; presence of new S 3 gallop; fractional shortening was ≤20% or a 25% decrease; inotropic support required to manage the clinical condition.

121 (38%)

120 (37%)

100 (35%)

92 (32%)

Death or re-transplantation at 1 year

49 (15.2%)

42 (12.8%)

33 (11.4%)

186.2%)

14.3 Liver Transplantation

A double-blind, randomized, comparative, parallel-group, multicenter study in primary hepatic transplant recipients was performed at centers in the United States (16), in Canada (2), in Europe (4) and in Australia (1). The total number of patients enrolled was 565. Per protocol, patients received Mycophenolate Mofetil 1 g twice daily intravenously for up to 14 days followed by Mycophenolate Mofetil 1.5 g twice daily orally or AZA 1 to 2 mg/kg/day intravenously followed by AZA 1 to 2 mg/kg/day orally, in combination with cyclosporine (Neoral ®) and corticosteroids as maintenance immunosuppressive therapy. The actual median oral dose of AZA on study was 1.5 mg/kg/day (range of 0.3 to 3.8 mg/kg/day) initially and 1.26 mg/kg/day (range of 0.3 to 3.8 mg/kg/day) at 12 months. The two primary endpoints were: (1) the proportion of patients who experienced, in the first 6 months post-transplantation, one or more episodes of biopsy-proven and treated rejection or death or re-transplantation, and (2) the proportion of patients who experienced graft loss (death or re-transplantation) during the first 12 months post-transplantation. Patients who prematurely discontinued treatment were followed for the occurrence of allograft rejection and for the occurrence of graft loss (death or re-transplantation) for 1 year.

In combination with corticosteroids and cyclosporine, Mycophenolate Mofetil demonstrated a lower rate of acute rejection at 6 months and a similar rate of death or re-transplantation at 1 year compared to AZA ( Table 16 ).

Table 16 De Novo Liver Transplantation Study Rejection at 6 Months/Death or Retransplantation at 1 Year
AZA

N = 287
Mycophenolate Mofetil

N = 278

Biopsy-proven, treated rejection at 6 months (includes death or re-transplantation)

137 (47.7%)

107 (38.5%)

Death or re-transplantation at 1 year

42 (14.6%)

41 (14.7%)

16.1 Handling and Disposal

Mycophenolate mofetil (MMF) has demonstrated teratogenic effects in humans [see Warnings and Precautions (5.1)and Use in Specific Populations (8.1)] . Wearing disposable gloves is recommended during reconstitution and when wiping the outer surface of the bottle/cap and the table after reconstitution. Avoid inhalation or direct contact with skin or mucous membranes of the powder contained in Mycophenolate Mofetil for Injection USP (during or after preparation) [see Dosage and Administration (2.6)]. Follow applicable special handling and disposal procedure 1.

5 Warnings and Precautions
  • Blood Dyscrasias (Neutropenia, Red Blood Cell Aplasia): Monitor with blood tests; consider treatment interruption or dose reduction. ( 5.4)
  • Gastrointestinal Complications: Monitor for complications such as bleeding, ulceration and perforations, particularly in patients with underlying gastrointestinal disorders. ( 5.5)
  • Hypoxanthine-Guanine Phosphoribosyl-Transferase Deficiency: Avoid use of Mycophenolate Mofetil. ( 5.6)
  • Acute Inflammatory Syndrome Associated with Mycophenolate Products: Monitor for this paradoxical inflammatory reaction. ( 5.7)
  • Immunizations: Avoid live attenuated vaccines. ( 5.8)
  • Local Reactions with Rapid Intravenous Administration: Mycophenolate Mofetil for Injection must not be administered by rapid or bolus intravenous injection. ( 5.9)
  • Phenylketonurics: Oral suspension contains aspartame. ( 5.10)
  • Blood Donation: Avoid during therapy and for 6 weeks thereafter. ( 5.11)
  • Semen Donation: Avoid during therapy and for 90 days thereafter. ( 5.12)
  • Potential Impairment on Driving and Use of Machinery: Mycophenolate Mofetil may affect ability to drive or operate machinery. ( 5.14)
2 Dosage and Administration

ADULTS

DOSAGE

Kidney Transplant

1 g twice daily, orally or intravenously (IV) over no less than 2 h ( 2.2)

Heart Transplant

1.5 g twice daily orally or IV, over no less than 2 h ( 2.3)

Liver Transplant

1.5 g twice daily orally or 1g twice daily IV over no less than 2 h ( 2.4)

PEDIATRICS

Kidney Transplant

600 mg/m 2orally twice daily, up to maximum of 2 g daily ( 2.2)

Heart Transplant

600 mg/m 2orally twice daily (starting dose) up to a maximum of 900 mg/m 2twice daily (3 g or 15 mL of oral suspension) ( 2.3)

Liver Transplant

600 mg/m 2orally twice daily (starting dose) up to a maximum of 900 mg/m 2twice daily (3 g or 15 mL of oral suspension) ( 2.4)

  • Mycophenolate Mofetil for Injection is an alternative when patients cannot tolerate oral medication. Administer within 24 hours following transplantation, until patients can tolerate oral medication, up to 14 days. ( 2.1)
  • Reduce or interrupt dosing in the event of neutropenia. ( 2.5)
  • See full prescribing information (FPI) for: adjustments for renal impairment and neutropenia ( 2.5), preparation of oral suspension and IV solution. ( 2.6)
3 Dosage Forms and Strengths

Mycophenolate Mofetil for Injection, USP is available in the following dosage forms and strengths:

For injection

500 mg mycophenolate mofetil USP white to off-white lyophilized powder, in a single-dose vial for reconstitution

6.2 Postmarketing Experience

The following adverse reactions have been identified during post-approval use of Mycophenolate Mofetil. Because these reactions are reported voluntarily from a population of uncertain size, it is not always possible to reliably estimate their frequency or establish a causal relationship to drug exposure:

  • Embryo-Fetal Toxicity: Congenital malformations and spontaneous abortions, mainly in the first trimester, have been reported following exposure to mycophenolate mofetil (MMF) in combination with other immunosuppressants during pregnancy [see Warnings and Precautions (5.1), and Use in Specific Populations (8.1), (8.3)]. Congenital malformations include:
  • Facial malformations: cleft lip, cleft palate, micrognathia, hypertelorism of the orbits.
  • Abnormalities of the ear and eye: abnormally formed or absent external/middle ear, coloboma, microphthalmos.
  • Malformations of the fingers: polydactyly, syndactyly, brachydactyly.
  • Cardiac abnormalities: atrial and ventricular septal defects.
  • Esophageal malformations: esophageal atresia.
  • Nervous system malformations: such as spina bifida .
  • Cardiovascular:Venous thrombosis has been reported in patients treated with Mycophenolate Mofetil administered intravenously.
  • Digestive: Colitis, pancreatitis
  • Hematologic and Lymphatic: Bone marrow failure, cases of pure red cell aplasia (PRCA) and hypogammaglobulinemia have been reported in patients treated with Mycophenolate Mofetil in combination with other immunosuppressive agents [see Warnings and Precautions (5.4)] .
  • Immune: Hypersensitivity, hypogammaglobinemia.
  • Infections: Meningitis, infectious endocarditis, tuberculosis, atypical mycobacterial infection, progressive multifocal leukoencephalopathy, BK virus infection, viral reactivation of hepatitis B and hepatitis C, protozoal infections [see Warnings and Precautions (5.3)] .
  • Respiratory: Bronchiectasis, interstitial lung disease, fatal pulmonary fibrosis, have been reported rarely and should be considered in the differential diagnosis of pulmonary symptoms ranging from dyspnea to respiratory failure in post-transplant patients receiving Mycophenolate Mofetil.
  • Vascular:Lymphocele
8 Use in Specific Populations
  • Male Patients: Sexually active male patients and/or their female partners are recommended to use effective contraception during treatment of the male patient and for at least 90 days after cessation of treatment ( 8.3)
6.1 Clinical Trials Experience

Because clinical trials are conducted under widely varying conditions, adverse reaction rates observed in the clinical trials of a drug cannot be directly compared to rates in the clinical trials of another drug and may not reflect the rates observed in practice.

An estimated total of 1557 adult patients received Mycophenolate Mofetil during pivotal clinical trials in the prevention of acute organ rejection. Of these, 991 were included in the three renal studies, 277 were included in one hepatic study, and 289 were included in one cardiac study. Patients in all study arms also received cyclosporine and corticosteroids.

The data described below primarily derive from five randomized, active-controlled double-blind 12-month trials of Mycophenolate Mofetil in de novokidney (3) heart (1) and liver (1) transplant patients [see Clinical Studies (14.1, 14.2, and 14.3)] .

17.6 Acute Inflammatory Syndrome

Inform patients that acute inflammatory reactions have been reported in some patients who received Mycophenolate Mofetil. Some reactions were severe, requiring hospitalization. Advise patients to contact their physician if they develop fever, joint stiffness, joint pain, or muscle pains [see Warnings and Precautions (5.7)] .

17.8 Administration Instructions
  • Advise patients to take a missed dose as soon as they remember, except if it is closer than 2 hours to the next scheduled dose; in this case they should continue to take Mycophenolate Mofetil at the usual times.
17 Patient Counseling Information

Advise the patient to read the FDA-approved patient labeling (Medication Guide and Instructions for Use).

5.5 Gastrointestinal Complications

Gastrointestinal bleeding requiring hospitalization, ulceration and perforations were observed in clinical trials. Physicians should be aware of these serious adverse effects particularly when administering Mycophenolate Mofetil to patients with a gastrointestinal disease.

5.2 Lymphoma and Other Malignancies

Patients receiving immunosuppressants, including Mycophenolate Mofetil, are at increased risk of developing lymphomas and other malignancies, particularly of the skin [see Adverse Reactions (6.1)]. The risk appears to be related to the intensity and duration of immunosuppression rather than to the use of any specific agent. For patients with increased risk for skin cancer, exposure to sunlight and UV light should be limited by wearing protective clothing and using a broad-spectrum sunscreen with a high protection factor.

Post-transplant lymphoproliferative disorder (PTLD) developed in 0.4% to 1% of patients receiving Mycophenolate Mofetil (2 g or 3 g) with other immunosuppressive agents in controlled clinical trials of kidney, heart and liver transplant patients [see Adverse Reactions (6.1)]. The majority of PTLD cases appear to be related to Epstein Barr Virus (EBV) infection. The risk of PTLD appears greatest in those individuals who are EBV seronegative, a population which includes many young children. In pediatric patients, no other malignancies besides PTLD were observed in clinical trials [see Adverse Reactions (6.1)].

17.3 Increased Risk of Serious Infections

Inform patients that they are at increased risk of developing a variety of infections due to immunosuppression. Instruct them to contact their physician if they develop any of the signs and symptoms of infection explained in the Medication Guide [see Warnings and Precautions (5.3)] .

17.5 Gastrointestinal Tract Complications

Inform patients that Mycophenolate Mofetil can cause gastrointestinal tract complications including bleeding, intestinal perforations, and gastric or duodenal ulcers. Advise the patient to contact their healthcare provider if they have symptoms of gastrointestinal bleeding, or sudden onset or persistent abdominal pain [see Warnings and Precautions (5.5)] .

2.1 Important Administration Instructions

Mycophenolate Mofetil should not be used without the supervision of a physician with experience in immunosuppressive therapy

5.10 Risks in Patients With Phenylketonuria

Phenylalanine can be harmful to patients with phenylketonuria (PKU). CELLCEPT oral suspension contains aspartame, a source of phenylalanine (0.56 mg phenylalanine/mL suspension). Before prescribing CELLCEPT oral suspension to a patient with PKU, consider the combined daily amount of phenylalanine from all sources, including Mycophenolate Mofetil.

Principal Display Panel 500 Mg Vial Carton

NDC 54288-141-01

Mycophenolate Mofetil for injection USP

500 mg per vial

FOR INTRAVENOUS INFUSION ONLY.

Rx only

Single-Dose Vial

NDC 54288-141-04

Mycophenolate Mofetil for injection USP

500 mg per Vial

FOR INTRAVENOUS INFUSION ONLY.

Rx only

4 Single-Dose Vials

Manufactured For:

BPI Labs, LLC

12393 Belcher Rd S, Suite 450,

Largo 33773

16.5 Mycophenolate Mofetil for Injection, Usp

For injection: 500 mg mycophenolate mofetil as the hydrochloride salt in a 20 mL sterile single-dose vial cartons of 4 vials

Cartons of 4 single-dose vials

NDC 54288-141-04

Storage

  • Store powder and reconstituted infusion solution at 25°C (77°F); excursions permitted to 15°C to 30°C (59°F to 86°F). Discard unused portion.
8.3 Females and Males of Reproductive Potential

Females of reproductive potential must be made aware of the increased risk of first trimester pregnancy loss and congenital malformations and must be counseled regarding pregnancy prevention and planning.

7.1 Effect of Other Drugs On Mycophenolate Mofetil
Table 7 Drug Interactions with Mycophenolate Mofetil that Affect Mycophenolic Acid (MPA) Exposure

Antacids with Magnesium or Aluminum Hydroxide

Clinical Impact

Concomitant use with an antacid containing magnesium or aluminum hydroxide decreases MPA systemic exposure [see Clinical Pharmacology (12.3)] , which may reduce Mycophenolate Mofetil efficacy.

Prevention or Management

Administer magnesium or aluminum hydroxide containing antacids at least 2h after Mycophenolate Mofetil administration.

Proton Pump Inhibitors (PPIs)

Clinical Impact

Concomitant use with PPIs decreases MPA systemic exposure [see Clinical Pharmacology (12.3)] , which may reduce Mycophenolate Mofetil efficacy.

Prevention or Management

Monitor patients for alterations in efficacy when PPIs are co-administered with Mycophenolate Mofetil.

Examples

Lansoprazole, pantoprazole

Drugs that Interfere with Enterohepatic Recirculation

Clinical Impact

Concomitant use with drugs that directly interfere with enterohepatic recirculation, or indirectly interfere with enterohepatic recirculation by altering the gastrointestinal flora, can decrease MPA systemic exposure [see Clinical Pharmacology (12.3)] , which may reduce Mycophenolate Mofetil efficacy.

Prevention or Management

Monitor patients for alterations in efficacy or Mycophenolate Mofetil related adverse reactions when these drugs are co-administered with Mycophenolate Mofetil.

Examples

Cyclosporine A, trimethoprim/sulfamethoxazole, bile acid sequestrants (cholestyramine), rifampin as well as aminoglycoside, cephalosporin, fluoroquinolone and penicillin classes of antimicrobials

Drugs Modulating Glucuronidation

Clinical Impact

Concomitant use with drugs inducing glucuronidation decreases MPA systemic exposure, potentially reducing Mycophenolate Mofetil efficacy, while use with drugs inhibiting glucuronidation increases MPA systemic exposure [see Clinical Pharmacology (12.3)] , which may increase the risk of Mycophenolate Mofetil related adverse reactions.

Prevention or Management

Monitor patients for alterations in efficacy or Mycophenolate Mofetil related adverse reactions when these drugs are co-administered with Mycophenolate Mofetil.

Examples

Telmisartan (induces glucuronidation); isavuconazole (inhibits glucuronidation).

Calcium Free Phosphate Binders

Clinical Impact

Concomitant use with calcium free phosphate binders decrease MPA systemic exposure [see Clinical Pharmacology (12.3)] , which may reduce Mycophenolate Mofetil efficacy.

Prevention or Management

Administer calcium free phosphate binders at least 2 hours after Mycophenolate Mofetil.

Examples

Sevelamer

7.2 Effect of Mycophenolate Mofetil On Other Drugs
Table 8 Drug Interactions with Mycophenolate Mofetil that Affect Other Drugs

Drugs that Undergo Renal Tubular Secretion

Clinical Impact

When concomitantly used with Mycophenolate Mofetil, its metabolite MPAG, may compete with drugs eliminated by renal tubular secretion which may increase plasma concentrations and/or adverse reactions associated with these drugs.

Prevention or Management

Monitor for drug-related adverse reactions in patients with renal impairment.

Examples

Acyclovir, ganciclovir, probenecid, valacyclovir, valganciclovir

Combination Oral Contraceptives

Clinical Impact

Concomitant use with Mycophenolate Mofetil decreased the systemic exposure to levonorgestrel, but did not affect the systemic exposure to ethinylestradiol [see Clinical Pharmacology (12.3)] , which may result in reduced combination oral contraceptive effectiveness.

Prevention or Management

Use additional barrier contraceptive methods.

17.2 Development of Lymphoma and Other Malignancies
  • Inform patients that they are at increased risk of developing lymphomas and other malignancies, particularly of the skin, due to immunosuppression [see Warnings and Precautions (5.2)] .
  • Advise patients to limit exposure to sunlight and ultraviolet (UV) light by wearing protective clothing and use of broad-spectrum sunscreen with high protection factor.
17.11 Potential to Impair Driving and Use of Machinery

Advise patients that Mycophenolate Mofetil can affect the ability to drive or operate machines. Patients should avoid driving or operating machines if they experience somnolence, confusion, dizziness, tremor or hypotension during treatment with Mycophenolate Mofetil [see Warnings and Precautions (5.14)] .

13.1 Carcinogenesis, Mutagenesis, Impairment of Fertility

In a 104-week oral carcinogenicity study in mice, MMF in daily doses up to 180 mg/kg was not tumorigenic. The highest dose tested was 0.2 times the recommended clinical dose (2 g/day) in renal transplant patients and 0.15 times the recommended clinical dose (3 g/day) in cardiac transplant patients when corrected for differences in body surface area (BSA). In a 104-week oral carcinogenicity study in rats, MMF in daily doses up to 15 mg/kg was not tumorigenic. The highest dose was 0.035 times the recommended clinical dose in kidney transplant patients and 0.025 times the recommended clinical dose in heart transplant patients when corrected for BSA. While these animal doses were lower than those given to patients, they were maximal in those species and were considered adequate to evaluate the potential for human risk [see Warnings and Precautions (5.2)].

The genotoxic potential of MMF was determined in five assays. MMF was genotoxic in the mouse lymphoma/thymidine kinase assay and the in vivomouse micronucleus assay. MMF was not genotoxic in the bacterial mutation assay, the yeast mitotic gene conversion assay or the Chinese hamster ovary cell chromosomal aberration assay.

MMF had no effect on fertility of male rats at oral doses up to 20 mg/kg/day. This dose represents 0.05 times the recommended clinical dose in renal transplant patients and 0.03 times the recommended clinical dose in cardiac transplant patients when corrected for BSA. In a female fertility and reproduction study conducted in rats, oral doses of 4.5 mg/kg/day caused malformations (principally of the head and eyes) in the first generation offspring in the absence of maternal toxicity. This dose was 0.01 times the recommended clinical dose in renal transplant patients and 0.005 times the recommended clinical dose in cardiac transplant patients when corrected for BSA. No effects on fertility or reproductive parameters were evident in the dams or in the subsequent generation.

5.9 Local Reactions With Rapid Intravenous Administration

Mycophenolate Mofetil for Injection solution must not be administered by rapid or bolus intravenous injection as rapid infusion increases the risk of local adverse reactions such as phlebitis and thrombosis [see Adverse Reactions (6.1)] .

5.14 Potential Impairment of Ability to Drive Or Operate Machinery

Mycophenolate Mofetil may impact the ability to drive and use machines. Patients should avoid driving or using machines if they experience somnolence, confusion, dizziness, tremor, or hypotension during treatment with Mycophenolate Mofetil [see Adverse Reactions (6.1)] .

5.4 Blood Dyscrasias: Neutropenia and Pure Red Cell Aplasia (prca)

Severe neutropenia [absolute neutrophil count (ANC) <0.5 × 10 3/µL] developed in transplant patients receiving Mycophenolate Mofetil 3 g daily [see Adverse Reactions (6.1)]. Patients receiving Mycophenolate Mofetil should be monitored for neutropenia .Neutropenia has been observed most frequently in the period from 31 to 180 days post-transplant in patients treated for prevention of kidney, heart and liver rejection. The development of neutropenia may be related to Mycophenolate Mofetil itself, concomitant medications, viral infections, or a combination of these causes. If neutropenia develops (ANC <1.3 × 10 3/µL), dosing with Mycophenolate Mofetil should be interrupted or the dose reduced, appropriate diagnostic tests performed, and the patient managed appropriately [see Dosage and Administration (2.5)].

Patients receiving Mycophenolate Mofetil should be instructed to report immediately any evidence of infection, unexpected bruising, bleeding or any other manifestation of bone marrow depression.

Consider monitoring with complete blood counts weekly for the first month, twice monthly for the second and third months, and monthly for the remainder of the first year.

Cases of pure red cell aplasia (PRCA) have been reported in patients treated with Mycophenolate Mofetil in combination with other immunosuppressive agents. In some cases, PRCA was found to be reversible with dose reduction or cessation of Mycophenolate Mofetil therapy. In transplant patients, however, reduced immunosuppression may place the graft at risk.

Warning: Embryofetal Toxicity, Malignancies and Serious Infections
  • Use during pregnancy is associated with increased risks of first trimester pregnancy loss and congenital malformations. Avoid if safer treatment options are available. Females of reproductive potential must be counseled regarding pregnancy prevention and planning [see Warnings and Precautions (5.1), Use in Special Populations (8.1, 8.3)] .
  • Increased risk of development of lymphoma and other malignancies, particularly of the skin [see Warnings and Precautions (5.2)] .
  • Increased susceptibility to bacterial, viral, fungal and protozoal infections, including opportunistic infections and viral reactivation of hepatitis B and C, which may lead to hospitalizations and fatal outcomes [see Warnings and Precautions (5.3)] .
5.7 Acute Inflammatory Syndrome Associated With Mycophenolate Products

Acute inflammatory syndrome (AIS) has been reported with the use of MMF and mycophenolate products, and some cases have resulted in hospitalization. AIS is a paradoxical pro-inflammatory reaction characterized by fever, arthralgias, arthritis, muscle pain and elevated inflammatory markers including, C-reactive protein and erythrocyte sedimentation rate, without evidence of infection or underlying disease recurrence. Symptoms occur within weeks to months of initiation of treatment or a dose increase. After discontinuation, improvement of symptoms and inflammatory markers are usually observed within 24 to 48 hours.

Monitor patients for symptoms and laboratory parameters of AIS when starting treatment with mycophenolate products or when increasing the dosage. Discontinue treatment and consider other treatment alternatives based on the risk and benefit for the patient.

5.13 Effect of Concomitant Medications On Mycophenolic Acid Concentrations

A variety of drugs have potential to alter systemic MPA exposure when co-administered with Mycophenolate Mofetil. Therefore, determination of MPA concentrations in plasma before and after making any changes to immunosuppressive therapy, or when adding or discontinuing concomitant medications, may be appropriate to ensure MPA concentrations remain stable.

5.6 Patients With Hypoxanthine Guanine Phosphoribosyl Transferase Deficiency (hgprt)

Mycophenolate Mofetil is an inosine monophosphate dehydrogenase (IMPDH) inhibitor; therefore it should be avoided in patients with hereditary deficiencies of hypoxanthine-guanine phosphoribosyl-transferase (HGPRT) such as Lesch-Nyhan and Kelley-Seegmiller syndromes because it may cause an exacerbation of disease symptoms characterized by the overproduction and accumulation of uric acid leading to symptoms associated with gout such as acute arthritis, tophi, nephrolithiasis or urolithiasis and renal disease including renal failure.


Structured Label Content

Section 42229-5 (42229-5)

Mycophenolate Mofetil for Injection

Mycophenolate Mofetil for Injection is recommended for patients unable to take oral Mycophenolate Mofetil. Mycophenolate Mofetil for Injection should be administered within 24 hours following transplant. Mycophenolate Mofetil for Injection can be administered for up to 14 days; however, patients should be switched to oral Mycophenolate Mofetil as soon as they can tolerate oral medication.

Mycophenolate Mofetil for Injection must be reconstituted before use [see Dosage and Administration (2.6)] . Mycophenolate Mofetil for Injection is incompatible with other intravenous infusion solutions and should not be mixed or administered concurrently via the same infusion catheter with other intravenous drugs or infusion admixtures.

Mycophenolate Mofetil for Injection must not be administered as a bolus. Following reconstitution, Mycophenolate Mofetil for Injection must be administered by slow intravenous infusion over a period of no less than 2 hours by either peripheral or central vein, as rapid infusion increases the risk of local adverse reactions such as phlebitis and thrombosis [see Adverse Reactions (6.1)] .

Section 42231-1 (42231-1)

MEDICATION GUIDE

Mycophenolate Mofetil for injection (mye” koe fen’ oh late moe’ fe til)

Read the Medication Guide that comes with Mycophenolate Mofetil before you start taking it and each time you refill your prescription. There may be new information. This Medication Guide does not take the place of talking with your doctor about your medical condition or treatment.

What is the most important information I should know about Mycophenolate Mofetil?

Mycophenolate Mofetil can cause serious side effects, including:

Increased risk of loss of a pregnancy (miscarriage) and higher risk of birth defects.Females who take Mycophenolate Mofetil during pregnancy have a higher risk of miscarriage during the first 3 months (first trimester), and a higher risk that their baby will be born with birth defects.

  • If you are a female who can become pregnant, your doctor must talk with you about acceptable birth control methods (contraceptive counseling) to use while taking Mycophenolate Mofetil. You should have 1 pregnancy test immediately before starting Mycophenolate Mofetil and another pregnancy test 8 to 10 days later. Pregnancy tests should be repeated during routine follow-up visits with your doctor. Talk to your doctor about the results of all of your pregnancy tests.

    You must use acceptable birth control during your entire Mycophenolate Mofetil treatment and for 6 weeks after stopping Mycophenolate Mofetil, unless at any time you choose to avoid sexual intercourse (abstinence) with a man completely. Mycophenolate Mofetil decreases blood levels of the hormones in birth control pills that you take by mouth. Birth control pills may not work as well while you take Mycophenolate Mofetil, and you could become pregnant. If you take birth control pills while using Mycophenolate Mofetil you must also use another form of birth control. Talk to your doctor about other birth control methods that you can use while taking Mycophenolate Mofetil.
  • If you are a sexually active male whose female partner can become pregnant while you are taking Mycophenolate Mofetil, use effective contraception during treatment and for at least 90 days after stopping Mycophenolate Mofetil.
  • If you plan to become pregnant, talk with your doctor. Your doctor will decide if other medicines to prevent rejection may be right for you.
  • If you become pregnant while taking Mycophenolate Mofetil, do not stop taking Mycophenolate Mofetil. Call your doctor right away.You and your doctor may decide that other medicines to prevent rejection may be right for you. You and your doctor should report your pregnancy to the Mycophenolate Pregnancy Registry either:
    • By phone at 1-877-310-4015 or
    • By visiting the REMS website at: www.psmycophenolaterems.com
  • The purpose of this registry is to gather information about the health of you and your baby.

Increased risk of getting certain cancers.People who take Mycophenolate Mofetil have a higher risk of getting lymphoma, and other cancers, especially skin cancer. Tell your doctor if you have:

  • unexplained fever, prolonged tiredness, weight loss or lymph node swelling
  • a brown or black skin lesion with uneven borders, or one part of the lesion does not look like the other
  • a change in the size and color of a mole
  • a new skin lesion or bump
  • any other changes to your health

Increased risk of getting serious infections.Mycophenolate Mofetil weakens the body's immune system and affects your ability to fight infections. Serious infections can happen with Mycophenolate Mofetil and can lead to hospitalizations and death. These serious infections can include:

  • Viral infections.Certain viruses can live in your body and cause active infections when your immune system is weak. Viral infections that can happen with Mycophenolate Mofetil include:
    • Shingles, other herpes infections, and cytomegalovirus (CMV). CMV can cause serious tissue and blood infections.
    • BK virus. BK virus can affect how your kidney works and cause your transplanted kidney to fail.
    • Hepatitis B and C viruses. Hepatitis viruses can affect how your liver works. Talk to your doctor about how hepatitis viruses may affect you.
    • COVID-19
  • A brain infection called Progressive Multifocal Leukoencephalopathy (PML).In some patients, Mycophenolate Mofetil may cause an infection of the brain that may cause death. You are at risk for this brain infection because you have a weakened immune system. Call your doctor right away if you have any of the following symptoms:
  • weakness on one side of the body
  • you do not care about things you usually care about (apathy)
  • you are confused or have problems thinking.
  • you cannot control your muscles
  • Fungal infections.Yeasts and other types of fungal infections can happen with Mycophenolate Mofetil and can cause serious tissue and blood infections (See “What are the possible side effects of Mycophenolate Mofetil?”).

Call your doctor right away if you have any of the following signs and symptoms of infection:

  • temperature of 100.5°F or greater
  • cold symptoms, such as a runny nose or sore throat
  • flu symptoms, such as an upset stomach, stomach pain, vomiting or diarrhea
  • earache or headache
  • pain during urination
  • white patches in the mouth or throat
  • unexpected bruising or bleeding
  • cuts, scrapes or incisions that are red, warm and oozing pus

See “What are the possible side effects of Mycophenolate Mofetil?”for information about other serious side effects.

What is Mycophenolate Mofetil?

  • Mycophenolate Mofetil is a prescription medicine to prevent rejection (antirejection medicine) in people who have received a kidney, heart, or liver transplant. Rejection is when the body's immune system perceives the new organ as a "foreign" threat and attacks it.
  • Mycophenolate Mofetil is used with other medicines containing cyclosporine and corticosteroids.

Who should not take Mycophenolate Mofetil?

Do not take Mycophenolate Mofetil if you are allergic to mycophenolate mofetil or any of the ingredients in Mycophenolate Mofetil.See the end of this Medication Guide for a complete list of ingredients in Mycophenolate Mofetil.

What should I tell my doctor before taking Mycophenolate Mofetil?

Tell your doctor about all of your medical conditions, including if you:

  • have any digestive problems, such as ulcers.
  • have Phenylketonuria (PKU). CELLCEPT oral suspension contains aspartame (a source of phenylalanine).
  • have Lesch-Nyhan syndrome, Kelley-Seegmiller syndrome, or another rare inherited deficiency hypoxanthine-guanine phosphoribosyl-transferase (HGPRT). You should not take Mycophenolate Mofetil if you have one of these disorders.
  • plan to receive any vaccines. People taking Mycophenolate Mofetil should not receive live vaccines. Some vaccines may not work as well during treatment with Mycophenolate Mofetil.
  • are pregnant or plan to become pregnant. See “What is the most important information I should know about Mycophenolate Mofetil?”
  • are breastfeeding or plan to breastfeed. It is not known if Mycophenolate Mofetil passes into breast milk. You and your doctor will decide if you will take Mycophenolate Mofetil or breastfeed.

Tell your healthcare provider about all the medicines you take,including prescription and over-the-counter medicines, vitamins and herbal supplements. Some medicines may affect the way Mycophenolate Mofetil works, and Mycophenolate Mofetil may affect how some medicines work.

Especially tell your doctor if you take:

  • birth control pills (oral contraceptives). See “What is the most important information I should know about Mycophenolate Mofetil?”
  • sevelamer (Renagel ®, Renvela™). These products should be taken at least 2 hours after taking Mycophenolate Mofetil.
  • acyclovir (Zovirax ®), valacyclovir (Valtrex ®), ganciclovir (CYTOVENE ®-IV, Vitrasert ®), valganciclovir (VALCYTE ®).
  • rifampin (Rifater ®, Rifamate ®, Rimactane ®, Rifadin ®).
  • antacids that contain magnesium and aluminum (Mycophenolate Mofetil and the antacid should not be taken at the same time).
  • proton pump inhibitors (PPIs) (Prevacid ®, Protonix ®).
  • sulfamethoxazole/trimethoprim (BACTRIM™, BACTRIM DS™).
  • norfloxacin (Noroxin ®) and metronidazole (Flagyl ®, Flagyl ®ER, Flagyl ®IV, Metro IV, Helidac ®, Pylera™).
  • ciprofloxacin (Cipro ®, Cipro ®XR, Ciloxan ®, Proquin ®XR) and amoxicillin plus clavulanic acid (Augmentin ®, Augmentin XR™).
  • azathioprine (Azasan ®, Imuran ®).
  • cholestyramine (Questran Light ®, Questran ®, Locholest Light, Locholest, Prevalite ®).

Know the medicines you take. Keep a list of them to show to your doctor or nurse and pharmacist when you get a new medicine. Do nottake any new medicine without talking with your doctor.

How should I take Mycophenolate Mofetil?

  • Take Mycophenolate Mofetil exactly as prescribed.
  • Do notstop taking Mycophenolate Mofetil or change the dose unless your doctor tells you to.
  • If you miss a dose of Mycophenolate Mofetil, or you are not sure when you took your last dose, take your prescribed dose of Mycophenolate Mofetil as soon as you remember. If your next dose is less than 2 hours away, skip the missed dose and take your next dose at your normal scheduled time. Do nottake 2 doses at the same time. Call your doctor if you are not sure what to do.
  • If you take too much Mycophenolate Mofetil, call your doctor or the poison control center right away.

What should I avoid while taking Mycophenolate Mofetil?

  • Avoid becoming pregnant. (See “What is the most important information I should know about Mycophenolate Mofetil?”).
  • Limit the amount of time you spend in sunlight. Avoid using tanning beds or sunlamps. People who take Mycophenolate Mofetil have a higher risk of getting skin cancer (See “What is the most important information I should know about Mycophenolate Mofetil?”). Wear protective clothing when you are in the sun and use a broad-spectrum sunscreen with a high protection factor. This is especially important if your skin is very fair or if you have a family history of skin cancer.
  • You should not donate blood while taking Mycophenolate Mofetil and for at least 6 weeks after stopping Mycophenolate Mofetil.
  • You should not donate sperm while taking Mycophenolate Mofetil and for 90 days after stopping Mycophenolate Mofetil.
  • Mycophenolate Mofetil may influence your ability to drive and use machines (See “What are the possible side effects of Mycophenolate Mofetil?”. If you experience drowsiness, confusion, dizziness, tremor, or low blood pressure during treatment with Mycophenolate Mofetil, you should be cautious about driving or using heavy machines.

What are the possible side effects of Mycophenolate Mofetil?

Mycophenolate Mofetil may cause serious side effects, including:

  • See “What is the most important information I should know about Mycophenolate Mofetil?”
  • Low blood cell counts.People taking high doses of Mycophenolate Mofetil each day may have a decrease in blood counts, including:
    • white blood cells, especially neutrophils.Neutrophils fight against bacterial infections. You have a higher chance of getting an infection when your white blood cell count is low. This is most common from 1 month to 6 months after your transplant.
    • red blood cells.Red blood cells carry oxygen to your body tissues. You have a higher chance of getting severe anemia when your red blood cell count is low.
    • platelets. Platelets help with blood clotting.

Your doctor will do blood tests before you start taking Mycophenolate Mofetil and during treatment with Mycophenolate Mofetil to check your blood cell counts. Tell your doctor right away if you have any signs of infection (See “What is the most important information I should know about Mycophenolate Mofetil?”), including any unexpected bruising or bleeding. Also, tell your doctor if you have unusual tiredness, lack of energy, dizziness or fainting.

  • Stomach problems.Stomach problems including intestinal bleeding, a tear in your intestinal wall (perforation) or stomach ulcers can happen in people who take Mycophenolate Mofetil. Bleeding can be severe and you may have to be hospitalized for treatment. Call your doctor right away if you have sudden or severe stomach-area pain or stomach-area pain that does not go away, or if you have diarrhea.
  • Inflammatory reactions.Some people taking Mycophenolate Mofetil may have an inflammatory reaction with fever, joint stiffness, joint pain, and muscle pain. Some of these reactions may require hospitalization. This reaction could happen within weeks to months after your treatment with Mycophenolate Mofetil starts or if your dose is increased. Call your doctor right away if you experience these symptoms.

The most common side effects of Mycophenolate Mofetil include:

  • Diarrhea
  • blood problems including low white and red blood cell counts
  • infections
  • blood pressure problems
  • fast heartbeat
  • swelling of the lower legs, ankles and feet
  • changes in laboratory blood levels, including high levels of blood sugar (hyperglycemia)
  • stomach problems including diarrhea, constipation, nausea and vomiting
  • rash
  • nervous system problems such as headache, dizziness and tremor

Side effects that can happen more often in children than in adults taking Mycophenolate Mofetil include:

  • stomach area pain
  • fever
  • infection
  • pain
  • blood infection (sepsis)
  • diarrhea
  • vomiting
  • sore throat
  • colds (respiratory tract infections)
  • high blood pressure
  • low white blood cell count
  • low red blood cell count

These are not all of the possible side effects of Mycophenolate Mofetil. Tell your doctor about any side effect that bothers you or that does not go away.

Call your doctor for medical advice about side effects. You may report side effects to FDA at 1- 800-FDA-1088.You may also report side effects to BPI Labs, LLC at 1-727-471-0850.

How should I store Mycophenolate Mofetil?

Store powder and reconstituted infusion solution at 25°C (77°F); excursions permitted to 15°C to 30°C (59°F to 86°F).

Keep Mycophenolate Mofetil and all medicines out of the reach of children.

General information about the safe and effective use of Mycophenolate Mofetil.

Medicines are sometimes prescribed for purposes other than those listed in a Medication Guide. Do not use Mycophenolate Mofetil for a condition for which it was not prescribed. Do not give Mycophenolate Mofetil to other people, even if they have the same symptoms that you have. It may harm them.

This Medication Guide summarizes the most important information about Mycophenolate Mofetil. If you would like more information, talk with your doctor. You can ask your doctor or pharmacist about Mycophenolate Mofetil that is written for health professionals.

What are the ingredients in Mycophenolate Mofetil?

Active ingredient:mycophenolate mofetil

Inactive ingredients:

Mycophenolate Mofetil for Injection:polysorbate 80, and citric acid. Sodium hydroxide and/or hydrochloric acid may have been used in the manufacture of Mycophenolate Mofetil for Injection to adjust the pH.

Manufactured For:

BPI Labs, LLC

12393 Belcher RD S,

Suite 450

Largo, FL – 33773.

Manufactured by:

Bioindustria L.I.M S.p.A

Via de Ambrosiis 2,

Novi Ligure, 15067, Italy

LI24I R-2306

REV 05/23

This Medication Guide has been approved by the U.S. Food and Drug Administration. Revised 05/2023

Section 43683-2 (43683-2)

Indications and Usage, Pediatric Heart or Liver Transplants ( 1)

6/2022

Dosage and Administration, Dosage Recommendations for Heart Transplant Patients ( 2.3)

6/2022

Dosage and Administration, Dosage Recommendations for Liver Transplant Patients ( 2.4)

6/2022

Warnings and Precautions, Serious Infections ( 5.3)

10/2021

Warnings and Precautions, Acute Inflammatory Syndrome Associated with Mycophenolate Products ( 5.7)

10/2021

10 Overdosage (10 OVERDOSAGE)

Possible signs and symptoms of acute overdose include hematological abnormalities such as leukopenia and neutropenia, and gastrointestinal symptoms such as abdominal pain, diarrhea, nausea, vomiting, and dyspepsia.

The experience with overdose of Mycophenolate Mofetil in humans is limited. The reported effects associated with overdose fall within the known safety profile of the drug. The highest dose administered to kidney transplant patients in clinical trials has been 4 g/day. In limited experience with heart and liver transplant patients in clinical trials, the highest doses used were 4 g/day or 5 g/day. At doses of 4 g/day or 5 g/day, there appears to be a higher rate, compared to the use of 3 g/day or less, of gastrointestinal intolerance (nausea, vomiting, and/or diarrhea), and occasional hematologic abnormalities, particularly neutropenia [see Warnings and Precautions (5.4)] .

15 References (15 REFERENCES)

1. "OSHA Hazardous Drugs." OSHA. http://www.osha.gov/SLTC/hazardousdrugs/index.html

11 Description (11 DESCRIPTION)

Mycophenolate Mofetil (mycophenolate mofetil) is an antimetabolite immunosuppressant. It is the 2-morpholinoethyl ester of mycophenolic acid (MPA), an immunosuppressive agent; inosine monophosphate dehydrogenase (IMPDH) inhibitor.

The chemical name for mycophenolate mofetil (MMF) is 2-morpholinoethyl (E)-6-(1,3-dihydro-4-hydroxy-6-methoxy-7-methyl-3-oxo-5-isobenzofuranyl)-4-methyl-4-hexenoate. It has an empirical formula of C 23H 31NO 7, a molecular weight of 433.50, and the following structural formula:

MMF is a white to off-white crystalline powder. It is slightly soluble in water (43 μg/mL at pH 7.4); the solubility increases in acidic medium (4.27 mg/mL at pH 3.6). It is freely soluble in acetone, soluble in methanol, and sparingly soluble in ethanol. The apparent partition coefficient in 1-octanol/water (pH 7.4) buffer solution is 238. The pKa values for MMF are 5.6 for the morpholino group and 8.5 for the phenolic group.

MMF hydrochloride has a solubility of 65.8 mg/mL in 5% Dextrose Injection USP (D5W). The pH of the reconstituted solution is 2.4 to 4.1.

Mycophenolate Mofetil for Injection USP is the hydrochloride salt of MMF. The chemical name for the hydrochloride salt of MMF is 2-morpholinoethyl (E)-6-(1,3-dihydro-4-hydroxy-6-methoxy-7methyl-3-oxo-5-isobenzofuranyl)-4-methyl-4-hexenoate hydrochloride. It has an empirical formula of C 23H 31NO 7HCl and a molecular weight of 469.96.

Mycophenolate Mofetil for Injection USP is available as a sterile white to off-white lyophilized powder in single-dose vials containing MMF hydrochloride for administration by intravenous infusion only. Each vial contains 500 mg of mycophenolate mofetil equivalent to 542 mg of mycophenolate mofetil hydrochloride. The inactive ingredients are polysorbate 80, 25 mg, and citric acid, 5 mg. Sodium hydroxide and/or hydrochloric acid may have been used in the manufacture of Mycophenolate Mofetil for Injection USP to adjust the pH. Reconstitution and dilution with 5% Dextrose Injection USP yields a slightly yellow solution of MMF, 6 mg/mL [see Dosage and Administration (2.6)].

5.8 Immunizations

During treatment with Mycophenolate Mofetil, the use of live attenuated vaccines should be avoided (e.g., intranasal influenza, measles, mumps, rubella, oral polio, BCG, yellow fever, varicella, and TY21a typhoid vaccines) and patients should be advised that vaccinations may be less effective. Advise patients to discuss with the physician before seeking any immunizations.

8.4 Pediatric Use

Safety and effectiveness have been established in pediatric patients 3 months and older for the prophylaxis of organ rejection of allogenic kidney, heart or liver transplants.

8.5 Geriatric Use

Clinical studies of Mycophenolate Mofetil did not include sufficient numbers of subjects aged 65 and over to determine whether they respond differently from younger subjects. Other reported clinical experience has not identified differences in responses between geriatric and younger patients. In general, dose selection for a geriatric patient should take into consideration the presence of decreased hepatic, renal or cardiac function and of concomitant drug therapies [see Adverse Reactions (6.1), Drug Interactions (7)].

17.7 Immunizations

Inform patients that Mycophenolate Mofetil can interfere with the usual response to immunizations. Before seeking vaccines on their own, advise patients to discuss first with their physician [see Warnings and Precautions (5.8)] .

17.9 Blood Donation

Advise patients not to donate blood during therapy and for at least 6 weeks following discontinuation of Mycophenolate Mofetil [see Warnings and Precautions (5.11)] .

4 Contraindications (4 CONTRAINDICATIONS)

Allergic reactions to Mycophenolate Mofetil have been observed; therefore, Mycophenolate Mofetil is contraindicated in patients with a hypersensitivity to mycophenolate mofetil (MMF), mycophenolic acid (MPA) or any component of the drug product. Mycophenolate Mofetil for Injection is contraindicated in patients who are allergic to Polysorbate 80 (TWEEN).

5.11 Blood Donation

Patients should not donate blood during therapy and for at least 6 weeks following discontinuation of Mycophenolate Mofetil because their blood or blood products might be administered to a female of reproductive potential or a pregnant woman.

5.12 Semen Donation

Based on animal data, men should not donate semen during therapy and for 90 days following discontinuation of Mycophenolate Mofetil [see Use In Specific Populations (8.3)] .

6 Adverse Reactions (6 ADVERSE REACTIONS)

The following adverse reactions are discussed in greater detail in other sections of the label:

7 Drug Interactions (7 DRUG INTERACTIONS)
  • See FPI for drugs that may interfere with systemic exposure and reduce Mycophenolate Mofetil efficacy: antacids with magnesium or aluminum hydroxide, proton pump inhibitors, drugs that interfere with enterohepatic recirculation, telmisartan, calcium-free phosphate binders. ( 7.1)
  • Mycophenolate Mofetil may reduce effectiveness of oral contraceptives. Use of additional barrier contraceptive methods is recommended. ( 7.2)
  • See FPI for other important drug interactions. ( 7)
17.10 Semen Donation

Advise males of childbearing potential not to donate semen during therapy and for 90 days following discontinuation of Mycophenolate Mofetil [see Warnings and Precautions (5.12)] .

12.2 Pharmacodynamics

There is a lack of information regarding the pharmacodynamic effects of MMF.

17.4 Blood Dyscrasias

Inform patients that they are at increased risk for developing blood adverse effects such as anemia or low white blood cells. Advise patients to immediately contact their healthcare provider if they experience any evidence of infection, unexpected bruising, or bleeding, or any other manifestation of bone marrow suppression [see Warnings and Precautions (5.4)] .

5.3 Serious Infections

Patients receiving immunosuppressants, including Mycophenolate Mofetil, are at increased risk of developing bacterial, fungal, protozoal and new or reactivated viral infections, including opportunistic infections. The risk increases with the total immunosuppressive load. These infections may lead to serious outcomes, including hospitalizations and death [see Adverse Reactions (6.1, 6.2)].

Serious viral infections reported include:

  • Polyomavirus-associated nephropathy (PVAN), especially due to BK virus infection
  • JC virus-associated progressive multifocal leukoencephalopathy (PML), and
  • Cytomegalovirus (CMV) infections: CMV seronegative transplant patients who receive an organ from a CMV seropositive donor are at highest risk of CMV viremia and CMV disease.
  • Viral reactivation in patients infected with Hepatitis B and C
  • COVID-19

Consider dose reduction or discontinuation of Mycophenolate Mofetil in patients who develop new infections or reactivate viral infections, weighing the risk that reduced immunosuppression represents to the functioning allograft.

PVAN, especially due to BK virus infection, is associated with serious outcomes, including deteriorating renal function and renal graft loss [see Adverse Reactions (6.2)]. Patient monitoring may help detect patients at risk for PVAN.

PML, which is sometimes fatal, commonly presents with hemiparesis, apathy, confusion, cognitive deficiencies, and ataxia [see Adverse Reactions (6.2)] . In immunosuppressed patients, physicians should consider PML in the differential diagnosis in patients reporting neurological symptoms.

The risk of CMV viremia and CMV disease is highest among transplant recipients seronegative for CMV at time of transplant who receive a graft from a CMV seropositive donor. Therapeutic approaches to limiting CMV disease exist and should be routinely provided. Patient monitoring may help detect patients at risk for CMV disease.

Viral reactivation has been reported in patients infected with HBV or HCV. Monitoring infected patients for clinical and laboratory signs of active HBV or HCV infection is recommended.

1 Indications and Usage (1 INDICATIONS AND USAGE)

Mycophenolate Mofetil [mycophenolate mofetil (MMF)] is indicated for the prophylaxis of organ rejection, in adult and pediatric recipients 3 months of age and older of allogeneic kidney [see Clinical Studies (14.1)], heart [see Clinical Studies (14.2)] or liver transplants [see Clinical Studies (14.3)] , in combination with other immunosuppressants.

12.1 Mechanism of Action

Mycophenolate mofetil (MMF) is absorbed following oral administration and hydrolyzed to mycophenolic acid (MPA), the active metabolite. MPA is a selective uncompetitive inhibitor of the two isoforms (type I and type II) of inosine monophosphate dehydrogenase (IMPDH) leading to inhibition of the de novopathway of guanosine nucleotide synthesis and blocks DNA synthesis. The mechanism of action of MPA is multifaceted and includes effects on cellular checkpoints responsible for metabolic programming of lymphocytes. MPA shifts transcriptional activities in lymphocytes from a proliferative state to catabolic processes. In vitro studies suggest that MPA modulates transcriptional activities in human CD4 +T-lymphocytes by suppressing the Akt/mTOR and STAT5 pathways that are relevant to metabolism and survival, leading to an anergic state of T-cells whereby the cells become less responsive to antigenic stimulation. Additionally, MPA enhanced the expression of negative co-stimulators such as CD70, PD-1, CTLA-4, and transcription factor FoxP3 as well as decreased the expression of positive co-stimulators CD27 and CD28.

MPA decreases proliferative responses of T- and B-lymphocytes to both mitogenic and allo-antigenic stimulation, antibody responses, as well as the production of cytokines from lymphocytes and monocytes such as GM-CSF, IFN-ɣ, IL-17, and TNF-α. Additionally, MPA prevents the glycosylation of lymphocyte and monocyte glycoproteins that are involved in intercellular adhesion to endothelial cells and may inhibit recruitment of leukocytes into sites of inflammation and graft rejection.

Overall, the effect of MPA is cytostatic and reversible.

5.1 Embryofetal Toxicity

Use of MMF during pregnancy is associated with an increased risk of first trimester pregnancy loss and an increased risk of congenital malformations, especially external ear and other facial abnormalities including cleft lip and palate, and anomalies of the distal limbs, heart, esophagus, kidney and nervous system. Females of reproductive potential must be made aware of these risks and must be counseled regarding pregnancy prevention and planning. Avoid use of MMF during pregnancy if safer treatment options are available [see Use in Specific Populations (8.1, 8.3)].

14.2 Heart Transplantation

A double-blind, randomized, comparative, parallel-group, multicenter study in primary de novoheart transplant recipients was performed at centers in the United States (20), in Canada (1), in Europe (5) and in Australia (2). The total number of patients enrolled (ITT population) was 650; 72 never received study drug and 578 received study drug (Safety Population). Patients received Mycophenolate Mofetil 1.5 g twice daily (n=289) or AZA 1.5 to 3 mg/kg/day (n=289), in combination with cyclosporine (Sandimmune ®or Neoral ®) and corticosteroids as maintenance immunosuppressive therapy. The two primary efficacy endpoints were: (1) the proportion of patients who, after transplantation, had at least one endomyocardial biopsy-proven rejection with hemodynamic compromise, or were re-transplanted or died, within the first 6 months, and (2) the proportion of patients who died or were re-transplanted during the first 12 months following transplantation. Patients who prematurely discontinued treatment were followed for the occurrence of allograft rejection for up to 6 months and for the occurrence of death for 1 year.

The analyses of the endpoints showed:

  • Rejection: No difference was established between Mycophenolate Mofetil and AZA with respect to biopsy-proven rejection with hemodynamic compromise.
  • Survival: Mycophenolate Mofetil was shown to be at least as effective as AZA in preventing death or re-transplantation at 1 year (see Table 15 ).
Table 15 De Novo Heart Transplantation Study Rejection at 6 Months/Death or Re-transplantation at 1 Year
All Patients (ITT) Treated Patients
AZA

N = 323
Mycophenolate Mofetil

N = 327
AZA

N = 289
Mycophenolate Mofetil

N = 289

Biopsy-proven rejection with hemodynamic compromise at 6 months

1Hemodynamic compromise occurred if any of the following criteria were met: pulmonary capillary wedge pressure ≥20 mm or a 25% increase; cardiac index <2.0 L/min/m 2 or a 25% decrease; ejection fraction ≤30%; pulmonary artery oxygen saturation ≤60% or a 25% decrease; presence of new S 3 gallop; fractional shortening was ≤20% or a 25% decrease; inotropic support required to manage the clinical condition.

121 (38%)

120 (37%)

100 (35%)

92 (32%)

Death or re-transplantation at 1 year

49 (15.2%)

42 (12.8%)

33 (11.4%)

186.2%)

14.3 Liver Transplantation

A double-blind, randomized, comparative, parallel-group, multicenter study in primary hepatic transplant recipients was performed at centers in the United States (16), in Canada (2), in Europe (4) and in Australia (1). The total number of patients enrolled was 565. Per protocol, patients received Mycophenolate Mofetil 1 g twice daily intravenously for up to 14 days followed by Mycophenolate Mofetil 1.5 g twice daily orally or AZA 1 to 2 mg/kg/day intravenously followed by AZA 1 to 2 mg/kg/day orally, in combination with cyclosporine (Neoral ®) and corticosteroids as maintenance immunosuppressive therapy. The actual median oral dose of AZA on study was 1.5 mg/kg/day (range of 0.3 to 3.8 mg/kg/day) initially and 1.26 mg/kg/day (range of 0.3 to 3.8 mg/kg/day) at 12 months. The two primary endpoints were: (1) the proportion of patients who experienced, in the first 6 months post-transplantation, one or more episodes of biopsy-proven and treated rejection or death or re-transplantation, and (2) the proportion of patients who experienced graft loss (death or re-transplantation) during the first 12 months post-transplantation. Patients who prematurely discontinued treatment were followed for the occurrence of allograft rejection and for the occurrence of graft loss (death or re-transplantation) for 1 year.

In combination with corticosteroids and cyclosporine, Mycophenolate Mofetil demonstrated a lower rate of acute rejection at 6 months and a similar rate of death or re-transplantation at 1 year compared to AZA ( Table 16 ).

Table 16 De Novo Liver Transplantation Study Rejection at 6 Months/Death or Retransplantation at 1 Year
AZA

N = 287
Mycophenolate Mofetil

N = 278

Biopsy-proven, treated rejection at 6 months (includes death or re-transplantation)

137 (47.7%)

107 (38.5%)

Death or re-transplantation at 1 year

42 (14.6%)

41 (14.7%)

16.1 Handling and Disposal

Mycophenolate mofetil (MMF) has demonstrated teratogenic effects in humans [see Warnings and Precautions (5.1)and Use in Specific Populations (8.1)] . Wearing disposable gloves is recommended during reconstitution and when wiping the outer surface of the bottle/cap and the table after reconstitution. Avoid inhalation or direct contact with skin or mucous membranes of the powder contained in Mycophenolate Mofetil for Injection USP (during or after preparation) [see Dosage and Administration (2.6)]. Follow applicable special handling and disposal procedure 1.

5 Warnings and Precautions (5 WARNINGS AND PRECAUTIONS)
  • Blood Dyscrasias (Neutropenia, Red Blood Cell Aplasia): Monitor with blood tests; consider treatment interruption or dose reduction. ( 5.4)
  • Gastrointestinal Complications: Monitor for complications such as bleeding, ulceration and perforations, particularly in patients with underlying gastrointestinal disorders. ( 5.5)
  • Hypoxanthine-Guanine Phosphoribosyl-Transferase Deficiency: Avoid use of Mycophenolate Mofetil. ( 5.6)
  • Acute Inflammatory Syndrome Associated with Mycophenolate Products: Monitor for this paradoxical inflammatory reaction. ( 5.7)
  • Immunizations: Avoid live attenuated vaccines. ( 5.8)
  • Local Reactions with Rapid Intravenous Administration: Mycophenolate Mofetil for Injection must not be administered by rapid or bolus intravenous injection. ( 5.9)
  • Phenylketonurics: Oral suspension contains aspartame. ( 5.10)
  • Blood Donation: Avoid during therapy and for 6 weeks thereafter. ( 5.11)
  • Semen Donation: Avoid during therapy and for 90 days thereafter. ( 5.12)
  • Potential Impairment on Driving and Use of Machinery: Mycophenolate Mofetil may affect ability to drive or operate machinery. ( 5.14)
2 Dosage and Administration (2 DOSAGE AND ADMINISTRATION)

ADULTS

DOSAGE

Kidney Transplant

1 g twice daily, orally or intravenously (IV) over no less than 2 h ( 2.2)

Heart Transplant

1.5 g twice daily orally or IV, over no less than 2 h ( 2.3)

Liver Transplant

1.5 g twice daily orally or 1g twice daily IV over no less than 2 h ( 2.4)

PEDIATRICS

Kidney Transplant

600 mg/m 2orally twice daily, up to maximum of 2 g daily ( 2.2)

Heart Transplant

600 mg/m 2orally twice daily (starting dose) up to a maximum of 900 mg/m 2twice daily (3 g or 15 mL of oral suspension) ( 2.3)

Liver Transplant

600 mg/m 2orally twice daily (starting dose) up to a maximum of 900 mg/m 2twice daily (3 g or 15 mL of oral suspension) ( 2.4)

  • Mycophenolate Mofetil for Injection is an alternative when patients cannot tolerate oral medication. Administer within 24 hours following transplantation, until patients can tolerate oral medication, up to 14 days. ( 2.1)
  • Reduce or interrupt dosing in the event of neutropenia. ( 2.5)
  • See full prescribing information (FPI) for: adjustments for renal impairment and neutropenia ( 2.5), preparation of oral suspension and IV solution. ( 2.6)
3 Dosage Forms and Strengths (3 DOSAGE FORMS AND STRENGTHS)

Mycophenolate Mofetil for Injection, USP is available in the following dosage forms and strengths:

For injection

500 mg mycophenolate mofetil USP white to off-white lyophilized powder, in a single-dose vial for reconstitution

6.2 Postmarketing Experience

The following adverse reactions have been identified during post-approval use of Mycophenolate Mofetil. Because these reactions are reported voluntarily from a population of uncertain size, it is not always possible to reliably estimate their frequency or establish a causal relationship to drug exposure:

  • Embryo-Fetal Toxicity: Congenital malformations and spontaneous abortions, mainly in the first trimester, have been reported following exposure to mycophenolate mofetil (MMF) in combination with other immunosuppressants during pregnancy [see Warnings and Precautions (5.1), and Use in Specific Populations (8.1), (8.3)]. Congenital malformations include:
  • Facial malformations: cleft lip, cleft palate, micrognathia, hypertelorism of the orbits.
  • Abnormalities of the ear and eye: abnormally formed or absent external/middle ear, coloboma, microphthalmos.
  • Malformations of the fingers: polydactyly, syndactyly, brachydactyly.
  • Cardiac abnormalities: atrial and ventricular septal defects.
  • Esophageal malformations: esophageal atresia.
  • Nervous system malformations: such as spina bifida .
  • Cardiovascular:Venous thrombosis has been reported in patients treated with Mycophenolate Mofetil administered intravenously.
  • Digestive: Colitis, pancreatitis
  • Hematologic and Lymphatic: Bone marrow failure, cases of pure red cell aplasia (PRCA) and hypogammaglobulinemia have been reported in patients treated with Mycophenolate Mofetil in combination with other immunosuppressive agents [see Warnings and Precautions (5.4)] .
  • Immune: Hypersensitivity, hypogammaglobinemia.
  • Infections: Meningitis, infectious endocarditis, tuberculosis, atypical mycobacterial infection, progressive multifocal leukoencephalopathy, BK virus infection, viral reactivation of hepatitis B and hepatitis C, protozoal infections [see Warnings and Precautions (5.3)] .
  • Respiratory: Bronchiectasis, interstitial lung disease, fatal pulmonary fibrosis, have been reported rarely and should be considered in the differential diagnosis of pulmonary symptoms ranging from dyspnea to respiratory failure in post-transplant patients receiving Mycophenolate Mofetil.
  • Vascular:Lymphocele
8 Use in Specific Populations (8 USE IN SPECIFIC POPULATIONS)
  • Male Patients: Sexually active male patients and/or their female partners are recommended to use effective contraception during treatment of the male patient and for at least 90 days after cessation of treatment ( 8.3)
6.1 Clinical Trials Experience

Because clinical trials are conducted under widely varying conditions, adverse reaction rates observed in the clinical trials of a drug cannot be directly compared to rates in the clinical trials of another drug and may not reflect the rates observed in practice.

An estimated total of 1557 adult patients received Mycophenolate Mofetil during pivotal clinical trials in the prevention of acute organ rejection. Of these, 991 were included in the three renal studies, 277 were included in one hepatic study, and 289 were included in one cardiac study. Patients in all study arms also received cyclosporine and corticosteroids.

The data described below primarily derive from five randomized, active-controlled double-blind 12-month trials of Mycophenolate Mofetil in de novokidney (3) heart (1) and liver (1) transplant patients [see Clinical Studies (14.1, 14.2, and 14.3)] .

17.6 Acute Inflammatory Syndrome

Inform patients that acute inflammatory reactions have been reported in some patients who received Mycophenolate Mofetil. Some reactions were severe, requiring hospitalization. Advise patients to contact their physician if they develop fever, joint stiffness, joint pain, or muscle pains [see Warnings and Precautions (5.7)] .

17.8 Administration Instructions
  • Advise patients to take a missed dose as soon as they remember, except if it is closer than 2 hours to the next scheduled dose; in this case they should continue to take Mycophenolate Mofetil at the usual times.
17 Patient Counseling Information (17 PATIENT COUNSELING INFORMATION)

Advise the patient to read the FDA-approved patient labeling (Medication Guide and Instructions for Use).

5.5 Gastrointestinal Complications

Gastrointestinal bleeding requiring hospitalization, ulceration and perforations were observed in clinical trials. Physicians should be aware of these serious adverse effects particularly when administering Mycophenolate Mofetil to patients with a gastrointestinal disease.

5.2 Lymphoma and Other Malignancies

Patients receiving immunosuppressants, including Mycophenolate Mofetil, are at increased risk of developing lymphomas and other malignancies, particularly of the skin [see Adverse Reactions (6.1)]. The risk appears to be related to the intensity and duration of immunosuppression rather than to the use of any specific agent. For patients with increased risk for skin cancer, exposure to sunlight and UV light should be limited by wearing protective clothing and using a broad-spectrum sunscreen with a high protection factor.

Post-transplant lymphoproliferative disorder (PTLD) developed in 0.4% to 1% of patients receiving Mycophenolate Mofetil (2 g or 3 g) with other immunosuppressive agents in controlled clinical trials of kidney, heart and liver transplant patients [see Adverse Reactions (6.1)]. The majority of PTLD cases appear to be related to Epstein Barr Virus (EBV) infection. The risk of PTLD appears greatest in those individuals who are EBV seronegative, a population which includes many young children. In pediatric patients, no other malignancies besides PTLD were observed in clinical trials [see Adverse Reactions (6.1)].

17.3 Increased Risk of Serious Infections

Inform patients that they are at increased risk of developing a variety of infections due to immunosuppression. Instruct them to contact their physician if they develop any of the signs and symptoms of infection explained in the Medication Guide [see Warnings and Precautions (5.3)] .

17.5 Gastrointestinal Tract Complications

Inform patients that Mycophenolate Mofetil can cause gastrointestinal tract complications including bleeding, intestinal perforations, and gastric or duodenal ulcers. Advise the patient to contact their healthcare provider if they have symptoms of gastrointestinal bleeding, or sudden onset or persistent abdominal pain [see Warnings and Precautions (5.5)] .

2.1 Important Administration Instructions

Mycophenolate Mofetil should not be used without the supervision of a physician with experience in immunosuppressive therapy

5.10 Risks in Patients With Phenylketonuria (5.10 Risks in Patients with Phenylketonuria)

Phenylalanine can be harmful to patients with phenylketonuria (PKU). CELLCEPT oral suspension contains aspartame, a source of phenylalanine (0.56 mg phenylalanine/mL suspension). Before prescribing CELLCEPT oral suspension to a patient with PKU, consider the combined daily amount of phenylalanine from all sources, including Mycophenolate Mofetil.

Principal Display Panel 500 Mg Vial Carton (PRINCIPAL DISPLAY PANEL - 500 mg Vial Carton)

NDC 54288-141-01

Mycophenolate Mofetil for injection USP

500 mg per vial

FOR INTRAVENOUS INFUSION ONLY.

Rx only

Single-Dose Vial

NDC 54288-141-04

Mycophenolate Mofetil for injection USP

500 mg per Vial

FOR INTRAVENOUS INFUSION ONLY.

Rx only

4 Single-Dose Vials

Manufactured For:

BPI Labs, LLC

12393 Belcher Rd S, Suite 450,

Largo 33773

16.5 Mycophenolate Mofetil for Injection, Usp (16.5 Mycophenolate Mofetil for Injection, USP)

For injection: 500 mg mycophenolate mofetil as the hydrochloride salt in a 20 mL sterile single-dose vial cartons of 4 vials

Cartons of 4 single-dose vials

NDC 54288-141-04

Storage

  • Store powder and reconstituted infusion solution at 25°C (77°F); excursions permitted to 15°C to 30°C (59°F to 86°F). Discard unused portion.
8.3 Females and Males of Reproductive Potential

Females of reproductive potential must be made aware of the increased risk of first trimester pregnancy loss and congenital malformations and must be counseled regarding pregnancy prevention and planning.

7.1 Effect of Other Drugs On Mycophenolate Mofetil (7.1 Effect of Other Drugs on Mycophenolate Mofetil)
Table 7 Drug Interactions with Mycophenolate Mofetil that Affect Mycophenolic Acid (MPA) Exposure

Antacids with Magnesium or Aluminum Hydroxide

Clinical Impact

Concomitant use with an antacid containing magnesium or aluminum hydroxide decreases MPA systemic exposure [see Clinical Pharmacology (12.3)] , which may reduce Mycophenolate Mofetil efficacy.

Prevention or Management

Administer magnesium or aluminum hydroxide containing antacids at least 2h after Mycophenolate Mofetil administration.

Proton Pump Inhibitors (PPIs)

Clinical Impact

Concomitant use with PPIs decreases MPA systemic exposure [see Clinical Pharmacology (12.3)] , which may reduce Mycophenolate Mofetil efficacy.

Prevention or Management

Monitor patients for alterations in efficacy when PPIs are co-administered with Mycophenolate Mofetil.

Examples

Lansoprazole, pantoprazole

Drugs that Interfere with Enterohepatic Recirculation

Clinical Impact

Concomitant use with drugs that directly interfere with enterohepatic recirculation, or indirectly interfere with enterohepatic recirculation by altering the gastrointestinal flora, can decrease MPA systemic exposure [see Clinical Pharmacology (12.3)] , which may reduce Mycophenolate Mofetil efficacy.

Prevention or Management

Monitor patients for alterations in efficacy or Mycophenolate Mofetil related adverse reactions when these drugs are co-administered with Mycophenolate Mofetil.

Examples

Cyclosporine A, trimethoprim/sulfamethoxazole, bile acid sequestrants (cholestyramine), rifampin as well as aminoglycoside, cephalosporin, fluoroquinolone and penicillin classes of antimicrobials

Drugs Modulating Glucuronidation

Clinical Impact

Concomitant use with drugs inducing glucuronidation decreases MPA systemic exposure, potentially reducing Mycophenolate Mofetil efficacy, while use with drugs inhibiting glucuronidation increases MPA systemic exposure [see Clinical Pharmacology (12.3)] , which may increase the risk of Mycophenolate Mofetil related adverse reactions.

Prevention or Management

Monitor patients for alterations in efficacy or Mycophenolate Mofetil related adverse reactions when these drugs are co-administered with Mycophenolate Mofetil.

Examples

Telmisartan (induces glucuronidation); isavuconazole (inhibits glucuronidation).

Calcium Free Phosphate Binders

Clinical Impact

Concomitant use with calcium free phosphate binders decrease MPA systemic exposure [see Clinical Pharmacology (12.3)] , which may reduce Mycophenolate Mofetil efficacy.

Prevention or Management

Administer calcium free phosphate binders at least 2 hours after Mycophenolate Mofetil.

Examples

Sevelamer

7.2 Effect of Mycophenolate Mofetil On Other Drugs (7.2 Effect of Mycophenolate Mofetil on Other Drugs)
Table 8 Drug Interactions with Mycophenolate Mofetil that Affect Other Drugs

Drugs that Undergo Renal Tubular Secretion

Clinical Impact

When concomitantly used with Mycophenolate Mofetil, its metabolite MPAG, may compete with drugs eliminated by renal tubular secretion which may increase plasma concentrations and/or adverse reactions associated with these drugs.

Prevention or Management

Monitor for drug-related adverse reactions in patients with renal impairment.

Examples

Acyclovir, ganciclovir, probenecid, valacyclovir, valganciclovir

Combination Oral Contraceptives

Clinical Impact

Concomitant use with Mycophenolate Mofetil decreased the systemic exposure to levonorgestrel, but did not affect the systemic exposure to ethinylestradiol [see Clinical Pharmacology (12.3)] , which may result in reduced combination oral contraceptive effectiveness.

Prevention or Management

Use additional barrier contraceptive methods.

17.2 Development of Lymphoma and Other Malignancies
  • Inform patients that they are at increased risk of developing lymphomas and other malignancies, particularly of the skin, due to immunosuppression [see Warnings and Precautions (5.2)] .
  • Advise patients to limit exposure to sunlight and ultraviolet (UV) light by wearing protective clothing and use of broad-spectrum sunscreen with high protection factor.
17.11 Potential to Impair Driving and Use of Machinery

Advise patients that Mycophenolate Mofetil can affect the ability to drive or operate machines. Patients should avoid driving or operating machines if they experience somnolence, confusion, dizziness, tremor or hypotension during treatment with Mycophenolate Mofetil [see Warnings and Precautions (5.14)] .

13.1 Carcinogenesis, Mutagenesis, Impairment of Fertility

In a 104-week oral carcinogenicity study in mice, MMF in daily doses up to 180 mg/kg was not tumorigenic. The highest dose tested was 0.2 times the recommended clinical dose (2 g/day) in renal transplant patients and 0.15 times the recommended clinical dose (3 g/day) in cardiac transplant patients when corrected for differences in body surface area (BSA). In a 104-week oral carcinogenicity study in rats, MMF in daily doses up to 15 mg/kg was not tumorigenic. The highest dose was 0.035 times the recommended clinical dose in kidney transplant patients and 0.025 times the recommended clinical dose in heart transplant patients when corrected for BSA. While these animal doses were lower than those given to patients, they were maximal in those species and were considered adequate to evaluate the potential for human risk [see Warnings and Precautions (5.2)].

The genotoxic potential of MMF was determined in five assays. MMF was genotoxic in the mouse lymphoma/thymidine kinase assay and the in vivomouse micronucleus assay. MMF was not genotoxic in the bacterial mutation assay, the yeast mitotic gene conversion assay or the Chinese hamster ovary cell chromosomal aberration assay.

MMF had no effect on fertility of male rats at oral doses up to 20 mg/kg/day. This dose represents 0.05 times the recommended clinical dose in renal transplant patients and 0.03 times the recommended clinical dose in cardiac transplant patients when corrected for BSA. In a female fertility and reproduction study conducted in rats, oral doses of 4.5 mg/kg/day caused malformations (principally of the head and eyes) in the first generation offspring in the absence of maternal toxicity. This dose was 0.01 times the recommended clinical dose in renal transplant patients and 0.005 times the recommended clinical dose in cardiac transplant patients when corrected for BSA. No effects on fertility or reproductive parameters were evident in the dams or in the subsequent generation.

5.9 Local Reactions With Rapid Intravenous Administration (5.9 Local Reactions with Rapid Intravenous Administration)

Mycophenolate Mofetil for Injection solution must not be administered by rapid or bolus intravenous injection as rapid infusion increases the risk of local adverse reactions such as phlebitis and thrombosis [see Adverse Reactions (6.1)] .

5.14 Potential Impairment of Ability to Drive Or Operate Machinery (5.14 Potential Impairment of Ability to Drive or Operate Machinery)

Mycophenolate Mofetil may impact the ability to drive and use machines. Patients should avoid driving or using machines if they experience somnolence, confusion, dizziness, tremor, or hypotension during treatment with Mycophenolate Mofetil [see Adverse Reactions (6.1)] .

5.4 Blood Dyscrasias: Neutropenia and Pure Red Cell Aplasia (prca) (5.4 Blood Dyscrasias: Neutropenia and Pure Red Cell Aplasia (PRCA))

Severe neutropenia [absolute neutrophil count (ANC) <0.5 × 10 3/µL] developed in transplant patients receiving Mycophenolate Mofetil 3 g daily [see Adverse Reactions (6.1)]. Patients receiving Mycophenolate Mofetil should be monitored for neutropenia .Neutropenia has been observed most frequently in the period from 31 to 180 days post-transplant in patients treated for prevention of kidney, heart and liver rejection. The development of neutropenia may be related to Mycophenolate Mofetil itself, concomitant medications, viral infections, or a combination of these causes. If neutropenia develops (ANC <1.3 × 10 3/µL), dosing with Mycophenolate Mofetil should be interrupted or the dose reduced, appropriate diagnostic tests performed, and the patient managed appropriately [see Dosage and Administration (2.5)].

Patients receiving Mycophenolate Mofetil should be instructed to report immediately any evidence of infection, unexpected bruising, bleeding or any other manifestation of bone marrow depression.

Consider monitoring with complete blood counts weekly for the first month, twice monthly for the second and third months, and monthly for the remainder of the first year.

Cases of pure red cell aplasia (PRCA) have been reported in patients treated with Mycophenolate Mofetil in combination with other immunosuppressive agents. In some cases, PRCA was found to be reversible with dose reduction or cessation of Mycophenolate Mofetil therapy. In transplant patients, however, reduced immunosuppression may place the graft at risk.

Warning: Embryofetal Toxicity, Malignancies and Serious Infections (WARNING: EMBRYOFETAL TOXICITY, MALIGNANCIES and SERIOUS INFECTIONS)
  • Use during pregnancy is associated with increased risks of first trimester pregnancy loss and congenital malformations. Avoid if safer treatment options are available. Females of reproductive potential must be counseled regarding pregnancy prevention and planning [see Warnings and Precautions (5.1), Use in Special Populations (8.1, 8.3)] .
  • Increased risk of development of lymphoma and other malignancies, particularly of the skin [see Warnings and Precautions (5.2)] .
  • Increased susceptibility to bacterial, viral, fungal and protozoal infections, including opportunistic infections and viral reactivation of hepatitis B and C, which may lead to hospitalizations and fatal outcomes [see Warnings and Precautions (5.3)] .
5.7 Acute Inflammatory Syndrome Associated With Mycophenolate Products (5.7 Acute Inflammatory Syndrome Associated with Mycophenolate Products)

Acute inflammatory syndrome (AIS) has been reported with the use of MMF and mycophenolate products, and some cases have resulted in hospitalization. AIS is a paradoxical pro-inflammatory reaction characterized by fever, arthralgias, arthritis, muscle pain and elevated inflammatory markers including, C-reactive protein and erythrocyte sedimentation rate, without evidence of infection or underlying disease recurrence. Symptoms occur within weeks to months of initiation of treatment or a dose increase. After discontinuation, improvement of symptoms and inflammatory markers are usually observed within 24 to 48 hours.

Monitor patients for symptoms and laboratory parameters of AIS when starting treatment with mycophenolate products or when increasing the dosage. Discontinue treatment and consider other treatment alternatives based on the risk and benefit for the patient.

5.13 Effect of Concomitant Medications On Mycophenolic Acid Concentrations (5.13 Effect of Concomitant Medications on Mycophenolic Acid Concentrations)

A variety of drugs have potential to alter systemic MPA exposure when co-administered with Mycophenolate Mofetil. Therefore, determination of MPA concentrations in plasma before and after making any changes to immunosuppressive therapy, or when adding or discontinuing concomitant medications, may be appropriate to ensure MPA concentrations remain stable.

5.6 Patients With Hypoxanthine Guanine Phosphoribosyl Transferase Deficiency (hgprt) (5.6 Patients with Hypoxanthine-Guanine Phosphoribosyl-Transferase Deficiency (HGPRT))

Mycophenolate Mofetil is an inosine monophosphate dehydrogenase (IMPDH) inhibitor; therefore it should be avoided in patients with hereditary deficiencies of hypoxanthine-guanine phosphoribosyl-transferase (HGPRT) such as Lesch-Nyhan and Kelley-Seegmiller syndromes because it may cause an exacerbation of disease symptoms characterized by the overproduction and accumulation of uric acid leading to symptoms associated with gout such as acute arthritis, tophi, nephrolithiasis or urolithiasis and renal disease including renal failure.


Advanced Ingredient Data


Raw Label Data

All Sections (JSON)