These Highlights Do Not Include All The Information Needed To Use Sodium Sulfate, Potassium Sulfate And Magnesium Sulfate Oral Solution Safely And Effectively. See Full Prescribing Information For Sodium Sulfate, Potassium Sulfate And Magnesium Sulfate Oral Solution.

These Highlights Do Not Include All The Information Needed To Use Sodium Sulfate, Potassium Sulfate And Magnesium Sulfate Oral Solution Safely And Effectively. See Full Prescribing Information For Sodium Sulfate, Potassium Sulfate And Magnesium Sulfate Oral Solution.
SPL v1
SPL
SPL Set ID 315c377b-a634-45ea-9beb-c0f58dad551d
Route
ORAL
Published
Effective Date 2024-10-15
Document Type 34391-3 HUMAN PRESCRIPTION DRUG LABEL

Drug Facts

Composition & Product

Active Ingredients
Sodium Sulfate Anhydrous (17.5 g) Sulfate Ion (3.13 g) Magnesium Cation (1.6 g)
Inactive Ingredients
Anhydrous Citric Acid Malic Acid Sodium Benzoate Sucralose Water Strawberry

Identifiers & Packaging

Marketing Status
ANDA Active Since 2024-10-18

Description

Sodium sulfate, potassium sulfate and magnesium sulfate oral solution is indicated for cleansing of the colon as a preparation for colonoscopy in adult patients. Pediatric use information is approved for Braintree Laboratories, Inc.’s SUPREP BOWEL PREP KIT (sodium sulfate, potassium sulfate, and magnesium sulfate) oral solution. However, due to Braintree Laboratories, Inc.’s marketing exclusivity rights, this drug product is not labeled with that pediatric information.

Indications and Usage

Sodium sulfate, potassium sulfate and magnesium sulfate oral solution is indicated for cleansing of the colon as a preparation for colonoscopy in adult patients. Pediatric use information is approved for Braintree Laboratories, Inc.’s SUPREP BOWEL PREP KIT (sodium sulfate, potassium sulfate, and magnesium sulfate) oral solution. However, due to Braintree Laboratories, Inc.’s marketing exclusivity rights, this drug product is not labeled with that pediatric information.

Dosage and Administration

Preparation and Administration ( 2.2 ) • Must dilute in water prior to ingestion. • Administration of two bottles of sodium sulfate, potassium sulfate and magnesium sulfate oral solution is required for a complete preparation for colonoscopy. One bottle is equivalent to one dose. • Must consume additional water after each dose. • Stop consumption of all fluids at least 2 hours before the colonoscopy. Recommended Dosage and Administration • Split-Dose (two-day) regimen consists of two doses of sodium sulfate, potassium sulfate and magnesium sulfate oral solution: first dose during the evening prior to colonoscopy and second dose the next day, during the morning of colonoscopy. ( 2.1 , 2.3 ) • Recommended sodium sulfate, potassium sulfate and magnesium sulfate oral solution dosage is:         o      Adults: Two 6-ounce doses. ( 2.3 ) • For complete information on preparation before colonoscopy and administration of the dosage regimen, see full prescribing Information. ( 2.1 ,  2.2 ,  2.3 )

Warnings and Precautions

•  Risk of fluid and electrolyte abnormalities: Encourage adequate hydration, assess concurrent medications, and consider laboratory assessments prior to and after each use. ( 5.1 , 7.1 ) •  Cardiac arrhythmias: Consider pre-dose and post-colonoscopy ECGs in patients at increased risk. ( 5.2 ) •  Seizures: Use caution in patients with a history of seizures and patients at increased risk of seizures, including medications that lower the seizure threshold. ( 5.3 , 7.1 ) •  Patients with renal impairment or taking concomitant medications that affect renal function: Use caution, ensure adequate hydration and consider laboratory testing. ( 5.4 , 7.1 ) •  Suspected GI obstruction or perforation: Rule out the diagnosis before administration. ( 4 , 5.6 ) •  Patients at risk for aspiration: Observe during administration. ( 5.7 ) 

Contraindications

Sodium sulfate, potassium sulfate and magnesium sulfate oral solution is contraindicated in the following conditions: • Gastrointestinal obstruction or ileus [see Warnings and Precautions (5.6) ] • Bowel perforation [see Warnings and Precaution (5.6) ] • Toxic colitis or toxic megacolon • Gastric retention • Hypersensitivity to any of the ingredients in sodium sulfate, potassium sulfate and magnesium sulfate oral solution

Adverse Reactions

The following important adverse reactions for bowel preparations are described elsewhere in the labeling: • Serious Fluid and Serum Chemistry Abnormalities [see Warnings and Precautions (5.1) ] • Cardiac Arrhythmias [see Warnings and Precautions (5.2) ] • Seizures [see Warnings and Precautions (5.3) ] • Use in Patients with Risk of Renal Injury [see Warnings and Precautions (5.4) ] • Colonic Mucosal Ulceration and Ischemic Colitis [see Warnings and Precautions (5.5) ] • Patients with Significant Gastrointestinal Disease [see Warnings and Precautions (5.6) ] • Aspiration [see Warnings and Precautions (5.7) ]

Drug Interactions

Drugs that increase risk of fluid and electrolyte imbalance. ( 7.1 )  Pediatric use information is approved for Braintree Laboratories, Inc.’s SUPREP BOWEL PREP KIT (sodium sulfate, potassium sulfate, and magnesium sulfate) oral solution. However, due to Braintree Laboratories, Inc.’s marketing exclusivity rights, this drug product is not labeled with that pediatric information.

Storage and Handling

Each Sodium sulfate, Potassium sulfate and Magnesium sulfate oral solution kit (for adults) (NDC 31722-098-31) contains: · Two bottles (NDC 31722-098-17) each containing 6-ounces of an oral solution of 17.5 grams sodium sulfate, 3.13 grams potassium sulfate, and 1.6 grams magnesium sulfate as a clear to slightly hazy liquid. When diluted as directed, the solution is clear and colorless. · One (1) mixing container with a 16-ounce fill line. Store at 20° to 25°C (68° to 77°F). Excursions permitted between 15° to 30°C (59° to 86°F) [see USP Controlled Room Temperature]. Pediatric use information is approved for Braintree Laboratories, Inc.'s SUPREP BOWEL PREP KIT (sodium sulfate, potassium sulfate, and magnesium sulfate) oral solution. However, due to Braintree Laboratories, Inc.'s marketing exclusivity rights, this drug product is not labeled with that pediatric information.

How Supplied

Each Sodium sulfate, Potassium sulfate and Magnesium sulfate oral solution kit (for adults) (NDC 31722-098-31) contains: · Two bottles (NDC 31722-098-17) each containing 6-ounces of an oral solution of 17.5 grams sodium sulfate, 3.13 grams potassium sulfate, and 1.6 grams magnesium sulfate as a clear to slightly hazy liquid. When diluted as directed, the solution is clear and colorless. · One (1) mixing container with a 16-ounce fill line. Store at 20° to 25°C (68° to 77°F). Excursions permitted between 15° to 30°C (59° to 86°F) [see USP Controlled Room Temperature]. Pediatric use information is approved for Braintree Laboratories, Inc.'s SUPREP BOWEL PREP KIT (sodium sulfate, potassium sulfate, and magnesium sulfate) oral solution. However, due to Braintree Laboratories, Inc.'s marketing exclusivity rights, this drug product is not labeled with that pediatric information.


Medication Information

Warnings and Precautions

•  Risk of fluid and electrolyte abnormalities: Encourage adequate hydration, assess concurrent medications, and consider laboratory assessments prior to and after each use. ( 5.1 , 7.1 ) •  Cardiac arrhythmias: Consider pre-dose and post-colonoscopy ECGs in patients at increased risk. ( 5.2 ) •  Seizures: Use caution in patients with a history of seizures and patients at increased risk of seizures, including medications that lower the seizure threshold. ( 5.3 , 7.1 ) •  Patients with renal impairment or taking concomitant medications that affect renal function: Use caution, ensure adequate hydration and consider laboratory testing. ( 5.4 , 7.1 ) •  Suspected GI obstruction or perforation: Rule out the diagnosis before administration. ( 4 , 5.6 ) •  Patients at risk for aspiration: Observe during administration. ( 5.7 ) 

Indications and Usage

Sodium sulfate, potassium sulfate and magnesium sulfate oral solution is indicated for cleansing of the colon as a preparation for colonoscopy in adult patients. Pediatric use information is approved for Braintree Laboratories, Inc.’s SUPREP BOWEL PREP KIT (sodium sulfate, potassium sulfate, and magnesium sulfate) oral solution. However, due to Braintree Laboratories, Inc.’s marketing exclusivity rights, this drug product is not labeled with that pediatric information.

Dosage and Administration

Preparation and Administration ( 2.2 ) • Must dilute in water prior to ingestion. • Administration of two bottles of sodium sulfate, potassium sulfate and magnesium sulfate oral solution is required for a complete preparation for colonoscopy. One bottle is equivalent to one dose. • Must consume additional water after each dose. • Stop consumption of all fluids at least 2 hours before the colonoscopy. Recommended Dosage and Administration • Split-Dose (two-day) regimen consists of two doses of sodium sulfate, potassium sulfate and magnesium sulfate oral solution: first dose during the evening prior to colonoscopy and second dose the next day, during the morning of colonoscopy. ( 2.1 , 2.3 ) • Recommended sodium sulfate, potassium sulfate and magnesium sulfate oral solution dosage is:         o      Adults: Two 6-ounce doses. ( 2.3 ) • For complete information on preparation before colonoscopy and administration of the dosage regimen, see full prescribing Information. ( 2.1 ,  2.2 ,  2.3 )

Contraindications

Sodium sulfate, potassium sulfate and magnesium sulfate oral solution is contraindicated in the following conditions: • Gastrointestinal obstruction or ileus [see Warnings and Precautions (5.6) ] • Bowel perforation [see Warnings and Precaution (5.6) ] • Toxic colitis or toxic megacolon • Gastric retention • Hypersensitivity to any of the ingredients in sodium sulfate, potassium sulfate and magnesium sulfate oral solution

Adverse Reactions

The following important adverse reactions for bowel preparations are described elsewhere in the labeling: • Serious Fluid and Serum Chemistry Abnormalities [see Warnings and Precautions (5.1) ] • Cardiac Arrhythmias [see Warnings and Precautions (5.2) ] • Seizures [see Warnings and Precautions (5.3) ] • Use in Patients with Risk of Renal Injury [see Warnings and Precautions (5.4) ] • Colonic Mucosal Ulceration and Ischemic Colitis [see Warnings and Precautions (5.5) ] • Patients with Significant Gastrointestinal Disease [see Warnings and Precautions (5.6) ] • Aspiration [see Warnings and Precautions (5.7) ]

Drug Interactions

Drugs that increase risk of fluid and electrolyte imbalance. ( 7.1 )  Pediatric use information is approved for Braintree Laboratories, Inc.’s SUPREP BOWEL PREP KIT (sodium sulfate, potassium sulfate, and magnesium sulfate) oral solution. However, due to Braintree Laboratories, Inc.’s marketing exclusivity rights, this drug product is not labeled with that pediatric information.

Storage and Handling

Each Sodium sulfate, Potassium sulfate and Magnesium sulfate oral solution kit (for adults) (NDC 31722-098-31) contains: · Two bottles (NDC 31722-098-17) each containing 6-ounces of an oral solution of 17.5 grams sodium sulfate, 3.13 grams potassium sulfate, and 1.6 grams magnesium sulfate as a clear to slightly hazy liquid. When diluted as directed, the solution is clear and colorless. · One (1) mixing container with a 16-ounce fill line. Store at 20° to 25°C (68° to 77°F). Excursions permitted between 15° to 30°C (59° to 86°F) [see USP Controlled Room Temperature]. Pediatric use information is approved for Braintree Laboratories, Inc.'s SUPREP BOWEL PREP KIT (sodium sulfate, potassium sulfate, and magnesium sulfate) oral solution. However, due to Braintree Laboratories, Inc.'s marketing exclusivity rights, this drug product is not labeled with that pediatric information.

How Supplied

Each Sodium sulfate, Potassium sulfate and Magnesium sulfate oral solution kit (for adults) (NDC 31722-098-31) contains: · Two bottles (NDC 31722-098-17) each containing 6-ounces of an oral solution of 17.5 grams sodium sulfate, 3.13 grams potassium sulfate, and 1.6 grams magnesium sulfate as a clear to slightly hazy liquid. When diluted as directed, the solution is clear and colorless. · One (1) mixing container with a 16-ounce fill line. Store at 20° to 25°C (68° to 77°F). Excursions permitted between 15° to 30°C (59° to 86°F) [see USP Controlled Room Temperature]. Pediatric use information is approved for Braintree Laboratories, Inc.'s SUPREP BOWEL PREP KIT (sodium sulfate, potassium sulfate, and magnesium sulfate) oral solution. However, due to Braintree Laboratories, Inc.'s marketing exclusivity rights, this drug product is not labeled with that pediatric information.

Description

Sodium sulfate, potassium sulfate and magnesium sulfate oral solution is indicated for cleansing of the colon as a preparation for colonoscopy in adult patients. Pediatric use information is approved for Braintree Laboratories, Inc.’s SUPREP BOWEL PREP KIT (sodium sulfate, potassium sulfate, and magnesium sulfate) oral solution. However, due to Braintree Laboratories, Inc.’s marketing exclusivity rights, this drug product is not labeled with that pediatric information.

5.3 Seizures


There have been reports of generalized tonic-clonic seizures and/or loss of consciousness associated with use of bowel preparation products in patients with no prior history of seizures. The seizure cases were associated with electrolyte abnormalities (e.g., hyponatremia, hypokalemia, hypocalcemia, and hypomagnesemia) and low serum osmolality. The neurologic abnormalities resolved with correction of fluid and electrolyte abnormalities.





Use caution when prescribing sodium sulfate, potassium sulfate and magnesium sulfate oral solution for patients with a history of seizures and in patients at increased risk of seizure, such as patients taking medications that lower the seizure threshold (e.g., tricyclic antidepressants), patients withdrawing from alcohol or benzodiazepines, or patients with known or suspected hyponatremia [see Drug Interactions (7.1)]. 

10 Overdosage

Overdosage of more than the recommended dose of sodium sulfate, potassium sulfate and magnesium sulfate oral solution may lead to severe electrolyte disturbances, as well as dehydration and hypovolemia, with signs and symptoms of these disturbances. [see Warnings and Precautions (5.1, 5.2, 5.3)]. Monitor for fluid and electrolyte disturbances and treat symptomatically.

8.1 Pregnancy


Risk Summary

 

There are no available data on sodium sulfate, potassium sulfate and magnesium sulfate oral solution use in pregnant women to evaluate for a drug-associated risk of major birth defects, miscarriage, or adverse maternal or fetal outcomes. Animal reproductive studies have not been conducted with sodium sulfate, potassium sulfate, and magnesium sulfate oral solution.

 

The estimated background risk of major birth defects and miscarriage for the indicated population is unknown. All pregnancies have a background risk of birth defect, loss, or other adverse outcomes. In the U.S. general population, the estimated background risk of major birth defects and miscarriage in clinically recognized pregnancies is 2% to 4% and 15% to 20%, respectively.

8.2 Lactation

Risk Summary

 

There are no data available data on the presence of sodium sulfate, potassium sulfate and magnesium sulfate oral solution in human or animal milk, the effects on the breastfed child, or the effects on milk production. The developmental and health benefits of breastfeeding should be considered along with the mother’s clinical need for sodium sulfate, potassium sulfate and magnesium sulfate oral solution and any potential adverse effects on the breastfed child from sodium sulfate, potassium sulfate and magnesium sulfate oral solution or from the underlying maternal condition.

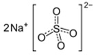
11 Description


Sodium sulfate, potassium sulfate and magnesium sulfate oral solution (for adults)is an osmotic laxative and is provided as two bottles each containing 6 ounces of solution. Each bottle contains: 17.5 grams sodium sulfate, 3.13 grams potassium sulfate, and 1.6 grams magnesium sulfate. Inactive ingredients include: anhydrous citric acid, malic acid, sodium benzoate, strawberry flavor, sucralose, purified water. 

Sodium Sulfate Anhydrous, USP 

 

The chemical name is Na 2SO 4. The average Molecular Weight is 142.04. The structural formula is:







Potassium Sulfate, powder

 

 The chemical name is K 2SO 4. The average Molecular Weight is 174.3. The structural formula is: 





 

 

Magnesium Sulfate Dried, USP 

 

The chemical name is MgSO 4. The average Molecular Weight: 120.361. The structural formula is:







Each sodium sulfate, potassium sulfate and magnesium sulfate oral solution also contains a polypropylene mixing container.



Pediatric use information is approved for Braintree Laboratories, Inc.’s SUPREP BOWEL PREP KIT (sodium sulfate, potassium sulfate, and magnesium sulfate) oral solution. However, due to Braintree Laboratories, Inc.’s marketing exclusivity rights, this drug product is not labeled with that pediatric information.

5.7 Aspiration

Patients with impaired gag reflex or other swallowing abnormalities are at risk for regurgitation or aspiration of sodium sulfate, potassium sulfate and magnesium sulfate oral solution. Observe these patients during administration of sodium sulfate, potassium sulfate and magnesium sulfate oral solution. Use with caution in these patients. 

Medguide Guide








Sodium Sulfate, Potassium Sulfate and Magnesium Sulfate Oral Solution

(soe' dee um sul' fate, poe tas' ee um sul' fate, and mag nee' zee um sul' fate) 


Read and understand this Medication Guide instructions  at least 2 days before your colonoscopy and again before you start taking sodium sulfate, potassium sulfate and magnesium sulfate oral solution. 

 


What is the most important information I should know about sodium sulfate, potassium sulfate and magnesium sulfate oral solution? 

Sodium sulfate, potassium sulfate and magnesium sulfate oral solution and other bowel preparations can cause serious side effects, including: 

• Serious loss of body fluid (dehydration) and changes in blood salts (electrolytes) in your blood. These changes can cause: 

• abnormal heartbeats that can cause death 

       • seizures. 
This can happen even if you have never had a seizure. 

       • kidney problems 

Your chance of having fluid loss and changes in body salts with sodium sulfate, potassium sulfate and magnesium sulfate oral solution is higher if you: 


       • have heart problems 

       • have kidney problems 

       • take water pills or non-steroidal anti-inflammatory drugs (NSAIDS) 

Tell your healthcare provider right away if you have any of these symptoms of a loss of too much body fluid (dehydration) while taking sodium sulfate, potassium sulfate and magnesium sulfate oral solution: 

o vomiting 

o dizziness 

o urinating less often than normal 

o headache 

See “What are the possible side effects of sodium sulfate, potassium sulfate and magnesium sulfate oral solution?” for more information about side effects. 


  What is sodium sulfate, potassium sulfate and magnesium sulfate oral solution?

Sodium sulfate, potassium sulfate and magnesium sulfate oral solution is a prescription medicine used by adults to clean the colon before a colonoscopy. Sodium sulfate, potassium sulfate and magnesium sulfate oral solution cleans your colon by causing you to have diarrhea. Cleaning your colon helps your healthcare provider see the inside of your colon more clearly during your colonoscopy. 

It is not known if sodium sulfate, potassium sulfate and magnesium sulfate oral solution is safe and effective in children under 12 years of age. 


  Do not take sodium sulfate, potassium sulfate and magnesium sulfate oral solution if your healthcare provider has told you that you have: 

• a blockage in your intestine (bowel (obstruction) 

• an opening in the wall of your stomach or intestine (bowel perforation) 

• a very dilated intestine (toxic megacolon)

• problems with the emptying of food and fluid from your stomach (gastric retention) 

• an allergy to any of the ingredients in sodium sulfate, potassium sulfate and magnesium sulfate oral solution. See the end of this Medication Guide for a complete list of ingredients in sodium sulfate, potassium sulfate and magnesium sulfate oral solution. 


  Before taking sodium sulfate, potassium sulfate and magnesium sulfate oral solution, tell your healthcare provider about all of your medical conditions, including if you:

• have problems with serious loss of body fluid (dehydration) and changes in blood salts (electrolytes).

• have gout

• have heart problems including an irregular heartbeat, especially a condition called “QT prolongation”.

• have a history of seizures or take medicines for seizures.

• are withdrawing from drinking alcohol or from taking benzodiazepines.

• have a low blood salt (sodium) level.

• have kidney problems or take medicines for kidney problems.

• have stomach or bowel problems including ulcerative colitis.

• have problems with swallowing or gastric reflux. 

• are pregnant or plan to become pregnant. It is not known if sodium sulfate, potassium sulfate and magnesium sulfate oral solution will harm your unborn baby. Talk to your healthcare provider if you are pregnant.

• are breastfeeding or plan to breastfeed. It is not known if sodium sulfate, potassium sulfate and magnesium sulfate passes into your breast milk. You and your healthcare provider should decide if you will take sodium sulfate, potassium sulfate and magnesium sulfate oral solution while breastfeeding. 

Tell your healthcare provider about all the medicines you take, including prescription and over-the-counter medicines, vitamins, and herbal supplements. 

Sodium sulfate, potassium sulfate and magnesium sulfate oral solution may affect how other medicines work. Medicines taken by mouth may not be absorbed properly when taken within 1 hour before the start of each dose of sodium sulfate, potassium sulfate and magnesium sulfate oral solution.

Especially tell your healthcare provider if you take: 

       • medicines for blood pressure or heart problems. 

       • medicines for kidney problems. 

       • medicines for seizures. 

       • water pills (diuretics). 

       • non-steroidal anti-inflammatory medicines (pain medicines).

       • medicines for depression or mental health problems.

       • laxatives.  Do not take other laxatives while taking sodium sulfate, potassium sulfate and magnesium sulfate oral solution.

The following medicines should be taken at least 2 hours before starting sodium sulfate, potassium sulfate and magnesium sulfate oral solution and not less than 6 hours after taking sodium sulfate, potassium sulfate and magnesium sulfate oral solution:

       • tetracycline

       • fluoroquinolone antibiotics

       • iron

       • digoxin (Lanoxin)

       • chloropromazine

       • penicillamine (Cuprimine. Depen)



Ask your healthcare provider or pharmacist for a list of these medicines if you are not sure if you are taking any of the medicines listed above. 

Know the medicines you take. Keep a list of them to show your healthcare provider and pharmacist when you get a new medicine. 


 

How should I take sodium sulfate, potassium sulfate and magnesium sulfate oral solution? 

See the Instructions for Use for dosing instructions. You must read, understand, and follow these instructions to take sodium sulfate, potassium sulfate and magnesium sulfate oral solution the right way. 

• Take sodium sulfate, potassium sulfate and magnesium sulfate oral solution exactly as your healthcare provider tells you to take it. 

• Each bottle of sodium sulfate, potassium sulfate and magnesium sulfate oral solution must be mixed with water (diluted) before drinking.

• It is important for you to drink the additional prescribed amount of water listed in the Instructions for Use to prevent fluid loss (dehydration). 

• One bottle of sodium sulfate, potassium sulfate and magnesium sulfate oral solution is equal to one dose.

• Two doses of sodium sulfate, potassium sulfate and magnesium sulfate oral solution are required for complete colonoscopy preparation.

• All people taking sodium sulfate, potassium sulfate and magnesium sulfate oral solution should follow these general instructions starting 1 day  before your colonoscopy:

       • eat only a light breakfast or clear liquids (for example: water, strained fruit juice without pulp, lemonade, plain coffee, or tea, chicken broth, gelatin dessert without fruit) on the day before your procedure.

       • only drink clear liquids the rest of the day and the next day until 2 hours before your colonoscopy. Stopdrinking all fluids at least 2 hours before your colonoscopy.

       • after taking sodium sulfate, potassium sulfate and magnesium sulfate oral solution if you have any bloating or feeling like your stomach is upset, wait to take your second dose until your stomach feels better.



•  While taking sodium sulfate, potassium sulfate and magnesium sulfate oral solution, do not:

       • take any other laxatives.

       • take any medicines by mouth (oral) within 1 hour of starting sodium sulfate, potassium sulfate and magnesium sulfate oral solution.

       • eat solid foods, drink dairy (such as milk), or drink alcohol while taking sodium sulfate, potassium sulfate and magnesium sulfate oral solution and until after your colonoscopy

       • eat or drink anything colored red or purple.



Contact your healthcare provider right away if after taking sodium sulfate, potassium sulfate and magnesium sulfate oral solution you have severe vomiting, signs of dehydration, changes in consciousness such as feeling confused, delirious or fainting (loss of consciousness) or seizures after taking sodium sulfate, potassium sulfate and magnesium sulfate oral solution.

 

What are the possible side effects of sodium sulfate, potassium sulfate and magnesium sulfate oral solution?

Sodium sulfate, potassium sulfate and magnesium sulfate oral solution can cause serious side effects, including: 

• See  “What is the most important information I should know about sodium sulfate, potassium sulfate and magnesium sulfate oral solution?” 

• Changes in certain blood tests. 
Your healthcare provider may do blood tests after you take sodium sulfate, potassium sulfate and magnesium sulfate oral solution to check your blood for changes. Tell your healthcare provider if you have any symptoms of too much fluid loss, including: 

      o vomiting                                 o nausea                                                  o bloating 

      o dizziness                               o stomach area (abdomen) cramping      o headache  

      o urinate less than usual          o trouble drinking clear liquid                   o trouble swallowing

      o seizures                                 o heart problems                                      o worsening gout

•  Ulcers of the bowel or bowel problems (ischemic colitis). Tell your healthcare provider right away if you have severe stomach-area (abdomen) pain or rectal bleeding.

The most common side effects of sodium sulfate, potassium sulfate and magnesium sulfate oral solution in adults include: 

• overall discomfort 

• stomach bloating 

• stomach pain

• nausea 

• vomiting 

These are not all the possible side effects of sodium sulfate, potassium sulfate and magnesium sulfate oral solution. 

Call your doctor for medical advice about side effects. You may report side effects to FDA at 1-800-FDA-1088. 


  How should I store sodium sulfate, potassium sulfate and magnesium sulfate oral solution? 

• Store sodium sulfate, potassium sulfate and magnesium sulfate oral solution at room temperature, between 68ºF to 77°F (20ºC to 25°C). 

Keep sodium sulfate, potassium sulfate and magnesium sulfate oral solution and all medicines out of the reach of children. 


General information about the safe and effective use of sodium sulfate, potassium sulfate and magnesium sulfate oral solution. 



Medicines are sometimes prescribed for purposes other than those listed in a Medication Guide. Do not use sodium sulfate, potassium sulfate and magnesium sulfate oral solution for a condition for which it was not prescribed. Do not give sodium sulfate, potassium sulfate and magnesium sulfate oral solution to other people, even if they are going to have the same procedure you are. It may harm them. You can ask your pharmacist or healthcare provider for information about sodium sulfate, potassium sulfate and magnesium sulfate oral solution that is written for healthcare professionals.  


What are the ingredients in sodium sulfate, potassium sulfate and magnesium sulfate oral solution? 

Sodium sulfate, potassium sulfate and magnesium sulfate oral solution is supplied in one dosage strength. Sodium sulfate, potassium sulfate and magnesium sulfate oral solution comes in a carton containing two 6-ounce bottles, along with a 16-ounce polypropylene mixing container. 

Each bottle contains: 

Active ingredients: sodium sulfate, potassium sulfate and magnesium sulfate. 

Inactive ingredients: anhydrous citric acid, malic acid, sodium benzoate, strawberry flavor, sucralose, purified water.

Pediatric use information is approved for Braintree Laboratories, Inc.’s SUPREP BOWEL PREP KIT (sodium sulfate, potassium sulfate, and magnesium sulfate) oral solution. However, due to Braintree Laboratories, Inc.’s marketing exclusivity rights, this drug product is not labeled with that pediatric information. 

 

Medication Guide available at  http://camberpharma.com/medication-guides  



Manufactured for: Camber Pharmaceuticals, Inc.

Piscataway, NJ 08854

By: Annora Pharma Pvt. Ltd.

Sangareddy - 502313, Telangana, India.

 

For more information, call Annora Pharma Private Limited at 1-866-495-1995. 


This Medication Guide has been approved by the U.S. Food and Drug Administration. 

Revised: 10/2024





Instructions for Use

Sodium Sulfate, Potassium Sulfate and Magnesium Sulfate Oral Solution


(soe' dee um sul' fate, poe tas' ee um sul' fate, and mag nee' zee um sul' fate)

On the day before your procedure

• You may have a light breakfast or have clear liquids ONLY; please have nothing for dinner 

•  DO NOTdrink milk

•  DO NOTeat or drink anything colored red or purple

•  DO NOTdrink alcoholic beverages

Any of the following clear liquids are OK 

• Water

• Strained fruit juices (without pulp) including apple, orange, white grape, or white cranberry

• Limeade or lemonade

• Coffee or tea ( DO NOTuse any dairy or non-dairy creamer)

• Chicken broth

• Gelatin desserts without added fruit or topping ( NO RED OR PURPLE)



Split-Dose (2-Day) Regimen



(Both 6-ounce bottles are required for a complete prep.)



• In the evening before the procedure complete steps 1 through 4 using one (1) 6-ounce bottle before going to bed

• In the morning on the day of the procedure, repeat steps 1 through 4 using the other 6-ounce bottle



NOTE:You must finish drinking the final glass of water at least 2 hoursbefore your procedure or as directed by physician.



NOTE: Dilute the solution concentrate as directed prior to use.

STEP 1









Pour ONE (1) 6-ounce bottle of Sodium Sulfate, Potassium Sulfate and Magnesium Sulfate Oral Solution into the mixing container

STEP 2



Add cool drinking water to the 16-ounce line on the container and mix.

STEP 3







Drink ALLthe liquid in the container

STEP 4









You mustdrink two (2) more 16-ounce containers of water over the next 1 hour.

8.4 Pediatric Use

The safety and effectiveness of sodium sulfate, potassium sulfate and magnesium sulfate oral solution in pediatric patients less than 12 years of age have not been established. 



Pediatric use information is approved for Braintree Laboratories, Inc.’s SUPREP BOWEL PREP KIT (sodium sulfate, potassium sulfate, and magnesium sulfate) oral solution. However, due to Braintree Laboratories, Inc.’s marketing exclusivity rights, this drug product is not labeled with that pediatric information.

8.5 Geriatric Use


Of the 375 patients who received sodium sulfate, potassium sulfate and magnesium sulfate oral solution in clinical trials, 94 (25%) were 65 years of age or older, and 25 (7%) were 75 years of age or older. No overall differences in safety or effectiveness of sodium sulfate, potassium sulfate and magnesium sulfate oral solution, administered as the recommended split-dose (2-day) regimen, were observed between geriatric patients and younger patients. Geriatric patients reported more vomiting when sodium sulfate, potassium sulfate and magnesium sulfate oral solution was given as a one-day preparation (not a recommended regimen). Elderly patients are more likely to have decreased hepatic, renal or cardiac function and may be more susceptible to adverse reactions resulting from fluid and electrolyte abnormalities [see Warnings and Precautions (5.1)]. 

14 Clinical Studies

Adults

The colon cleansing efficacy of sodium sulfate, potassium sulfate and magnesium sulfate oral solution was evaluated in a randomized, single-blind, active-controlled, multicenter study in adult patients scheduled to have a colonoscopy. There were 363 adult patients included in the efficacy analysis. Patients ranged in age from 20 to 84 years (mean age 55 years) and 54% were female. Race distribution was 86% Caucasian, 9% African-American, and 5% other. 



Patients were randomized to one of the following two colon preparation regimens: sodium sulfate, potassium sulfate and magnesium sulfate oral solution or a marketed polyethylene glycol (PEG) plus electrolytes bowel preparation. In the Study sodium sulfate, potassium sulfate and magnesium sulfate oral solution was administered as a split-dose (two-day) regimen. The PEG bowel prep was also given as a split-dose preparation according to its labeled instructions. Patients receiving sodium sulfate, potassium sulfate and magnesium sulfate oral solution were limited to a light breakfast followed by clear liquids on the day prior to the day of colonoscopy; patients receiving the PEG bowel prep were allowed to have a normal breakfast and a light lunch, followed by clear liquids. 



The primary efficacy endpoint was the proportion of patients with successful colon cleansing as assessed by the colonoscopists, who were not informed about the type of preparation received, as shown in Table 3. In the study, no clinically or statistically significant differences were seen between the group treated with sodium sulfate, potassium sulfate and magnesium sulfate oral solution and the group treated with the PEG bowel prep.



Table 3: Proportion of Adult Patients with Successful Colon Cleansing Response Rates  



 

 

Treatment Group

 

 

Regimen

 

 

N

Responders 1

%

(95% C. I.)

Sodium sulfate, potassium sulfate and magnesium sulfate oral solution – PEG Difference (95% CI)

Sodium sulfate, potassium sulfate and magnesium sulfate oral solution

(with light breakfast)

Split-Dose

180

97%

(94%, 99%)

2% 2 

(-2%, 5%)

PEG bowel prep

(with normal breakfast & light lunch)

Split-Dose

 

183

96%

(92%, 98%)

1Responders were patients whose colon preparations were graded excellent (no more than small bits of adherent feces/fluid) or good (small amounts of feces or fluid not interfering with the exam) by the colonoscopist. 

2Does not equal difference in tabled responder rates due to rounding effects.



Pediatric use information is approved for Braintree Laboratories, Inc.’s SUPREP BOWEL PREP KIT (sodium sulfate, potassium sulfate, and magnesium sulfate) oral solution. However, due to Braintree Laboratories, Inc.’s marketing exclusivity rights, this drug product is not labeled with that pediatric information.

4 Contraindications

Sodium sulfate, potassium sulfate and magnesium sulfate oral solution is contraindicated in the following conditions:

• Gastrointestinal obstruction or ileus [see Warnings and Precautions (5.6)]

• Bowel perforation [see Warnings and Precaution (5.6)]

• Toxic colitis or toxic megacolon

• Gastric retention

• Hypersensitivity to any of the ingredients in sodium sulfate, potassium sulfate and magnesium sulfate oral solution

6 Adverse Reactions

The following important adverse reactions for bowel preparations are described elsewhere in the labeling:

• Serious Fluid and Serum Chemistry Abnormalities [see Warnings and Precautions (5.1)]

• Cardiac Arrhythmias [see Warnings and Precautions (5.2)]

• Seizures [see Warnings and Precautions (5.3)]

• Use in Patients with Risk of Renal Injury [see Warnings and Precautions (5.4)]

• Colonic Mucosal Ulceration and Ischemic Colitis [see Warnings and Precautions (5.5)]

• Patients with Significant Gastrointestinal Disease [see Warnings and Precautions (5.6)]

• Aspiration [see Warnings and Precautions (5.7)]

7 Drug Interactions

Drugs that increase risk of fluid and electrolyte imbalance. ( 7.1



Pediatric use information is approved for Braintree Laboratories, Inc.’s SUPREP BOWEL PREP KIT (sodium sulfate, potassium sulfate, and magnesium sulfate) oral solution. However, due to Braintree Laboratories, Inc.’s marketing exclusivity rights, this drug product is not labeled with that pediatric information.

8.6 Renal Impairment

Use sodium sulfate, potassium sulfate and magnesium sulfate oral solution with caution in patients with renal impairment or patients taking concomitant medications that may affect renal function. These patients may be at risk for renal injury. Advise these patients of the importance of adequate hydration before, during and after use of sodium sulfate, potassium sulfate and magnesium sulfate oral solution and consider performing baseline and post-colonoscopy laboratory tests (electrolytes, creatinine, and BUN) in these patients [see Warnings and Precautions (5.4)].

12.2 Pharmacodynamics

No formal pharmacodynamic studies have been conducted with sodium sulfate, potassium sulfate and magnesium sulfate oral solution. 

12.3 Pharmacokinetics


Absorption and Elimination

After administration of sodium sulfate, potassium sulfate and magnesium sulfate oral solution in six healthy subjects, the time at which serum sulfate reached its highest point (T max) was approximately 17 hours after the first dose or approximately 5 hours after the second dose, and then declined with a half-life of 8.5 hours.

Excretion

Fecal excretion was the primary route of sulfate elimination.



Specific Populations

Patients with Renal Impairment

The disposition of sulfate after ingestion of sodium sulfate, potassium sulfate and magnesium sulfate oral solution was studied in patients (N=6) with moderate renal impairment (creatinine clearance of 30 to 49 mL/min). In patients with moderate renal impairment, mean AUC was 54% higher and mean C maxwas 44% higher, than healthy subjects.

The mean sulfate concentrations in healthy subjects and in patients with moderate renal impairment returned to their respective baselines by Day 6 after dose initiation. Urinary excretion of sulfate over 30 hours after the first dose was approximately 16% lower in patients with moderate renal impairment than in healthy subjects. These differences are not considered clinically meaningful.



Patients with Hepatic Impairment

The disposition of sulfate after ingestion of sodium sulfate, potassium sulfate and magnesium sulfate oral solution was studied in patients (N=6) with mild to moderate hepatic impairment (Child-Pugh grades A and B). Systemic exposure of serum sulfate (AUC and C max) was similar between healthy subjects and patients with hepatic impairment. The mean sulfate concentrations in healthy subjects and in patients with mild to moderate hepatic impairment returned to their respective baselines by Day 6 after dose initiation. Urinary excretion of sulfate over 30 hours after the first dose was similar between patients with hepatic impairment and healthy subjects.

1 Indications and Usage

Sodium sulfate, potassium sulfate and magnesium sulfate oral solution is indicated for cleansing of the colon as a preparation for colonoscopy in adult patients.

Pediatric use information is approved for Braintree Laboratories, Inc.’s SUPREP BOWEL PREP KIT (sodium sulfate, potassium sulfate, and magnesium sulfate) oral solution. However, due to Braintree Laboratories, Inc.’s marketing exclusivity rights, this drug product is not labeled with that pediatric information.

5.2 Cardiac Arrhythmias


There have been rare reports of serious arrhythmias associated with the use of ionic osmotic laxative products for bowel preparation. Use caution when prescribing sodium sulfate, potassium sulfate and magnesium sulfate oral solution for patients at increased risk of arrhythmias (e.g., patients with a history of prolonged QT, uncontrolled arrhythmias, recent myocardial infarction, unstable angina, congestive heart failure, or cardiomyopathy). Consider pre-dose and post-colonoscopy ECGs in patients at increased risk of serious cardiac arrhythmias.

7.3 Stimulant Laxatives

Concurrent use of stimulant laxatives and sodium sulfate, potassium sulfate and magnesium sulfate oral solution may increase the risk of mucosal ulceration or ischemic colitis. Avoid use of stimulant laxatives (e.g., bisacodyl, sodium picosulfate) while taking sodium sulfate, potassium sulfate and magnesium sulfate oral solution [see Warnings and Precautions (5.5)].

12.1 Mechanism of Action

Sulfate salts provide sulfate anions, which are poorly absorbed. The osmotic effect of unabsorbed sulfate anions and the associated cations causes water to be retained within the gastrointestinal tract.



5 Warnings and Precautions


•  Risk of fluid and electrolyte abnormalities:Encourage adequate hydration, assess concurrent medications, and consider laboratory

assessments prior to and after each use. ( 5.1, 7.1)

•  Cardiac arrhythmias:Consider pre-dose and post-colonoscopy ECGs in patients at increased risk. ( 5.2)

•  Seizures:Use caution in patients with a history of seizures and patients at increased risk of seizures, including medications that lower the seizure threshold. ( 5.3, 7.1)

•  Patients with renal impairment or taking concomitant medications that affect renal function:Use caution, ensure adequate hydration and consider laboratory testing. ( 5.4, 7.1)

•  Suspected GI obstruction or perforation:Rule out the diagnosis before administration. ( 4, 5.6)

•  Patients at risk for aspiration:Observe during administration. ( 5.7

2 Dosage and Administration


Preparation and Administration ( 2.2)

• Must dilute in water prior to ingestion.

• Administration of two bottles of sodium sulfate, potassium sulfate and magnesium sulfate oral solution is required for a complete preparation for colonoscopy. One bottle is equivalent to one dose.

• Must consume additional water after each dose.

• Stop consumption of all fluids at least 2 hours before the colonoscopy.

Recommended Dosage and Administration

• Split-Dose (two-day) regimen consists of two doses of sodium sulfate, potassium sulfate and magnesium sulfate oral solution: first dose during the evening prior to colonoscopy and second dose the next day, during the morning of colonoscopy. ( 2.1, 2.3)

• Recommended sodium sulfate, potassium sulfate and magnesium sulfate oral solution dosage is:

        o      Adults:Two 6-ounce doses. ( 2.3)

• For complete information on preparation before colonoscopy and administration of the dosage regimen, see full prescribing Information. ( 2.12.22.3)

3 Dosage Forms and Strengths

• Sodium sulfate, potassium sulfate and magnesium sulfate oral solution (for adults):Two bottles each containing 6 ounces of an oral solution of 17.5 grams sodium sulfate, 3.13 grams potassium sulfate, and 1.6 grams magnesium sulfate as a clear to slightly hazy liquid.



When diluted as directed, the solution is clear and colorless.



Pediatric use information is approved for Braintree Laboratories, Inc.’s SUPREP BOWEL PREP KIT (sodium sulfate, potassium sulfate, and magnesium sulfate) oral solution. However, due to Braintree Laboratories, Inc.’s marketing exclusivity rights, this drug product is not labeled with that pediatric information.

6.1 Clinical Studies Experience


Because clinical studies are conducted under widely varying conditions, adverse reaction rates observed in the clinical studies of a drug cannot be directly compared to rates in clinical studies of another drug and may not reflect the rates observed in practice. 

Adults

 

The safety of sodium sulfate, potassium sulfate and magnesium sulfate oral solution was evaluated in a multi-center, randomized, active controlled trial in 379 adult patients undergoing colonoscopy [see   Clinical Studies (14)].



Most Common Adverse Reactions



Table 1 shows the most common adverse reactions reported in at least 2% of patients receiving sodium sulfate, potassium sulfate and magnesium sulfate oral solution or the control (a bowel prep containing polyethylene glycol and electrolytes (PEG + E)) administered in split-dose (2-day) regimens. 



Table 1: Common Adverse Reactions* in Adult Patients Undergoing Colonoscopy in a Randomized, Active Controlled Trial





 

Symptom

Split-Dose (2-Day) Regimen

Sodium sulfate, potassium sulfate and magnesium sulfate oral solution

%

N=190

PEG + E product

%

N=189

Overall Discomfort

54

67

Abdominal Distension

40

52

Abdominal Pain

36

43

Nausea

36

33

Vomiting

8

4

* reported in at least 2% of patients



 

 Laboratory    Abnormalities

Table 2 shows the most common laboratory abnormalities (at least 10% in either treatment group and more than 2% difference between groups) for patients who developed new abnormalities of important electrolytes and uric acid after completing the bowel preparation with either sodium sulfate, potassium sulfate and magnesium sulfate oral solution or PEG+E administered as a split-dose (2-day) regimen.

Table 2: Adult Patients with Normal Baseline Serum Chemistry with A Shift to an Abnormal Value While on the Split-Dose (2-Day) Regimen 1





 

 

Day of Colonoscopy

N (%) 2

Day 30

N (%) 2

Bicarbonate (low)

Sodium sulfate, potassium sulfate and magnesium sulfate oral solution

20 (13)

7 (4)

 

PEG + Electrolytes

24 (15)

4 (3)

Bilirubin, total (high)

Sodium sulfate, potassium sulfate and magnesium sulfate oral solution

14 (9)

0 (0)

 

PEG + Electrolytes

20 (12)

3 (2)

BUN (high)

Sodium sulfate, potassium sulfate and magnesium sulfate oral solution

2 (2)

14 (11)

 

PEG + Electrolytes

4 (3)

19 (15)

Calcium (high)

Sodium sulfate, potassium sulfate and magnesium sulfate oral solution

16 (10)

8 (5)

 

PEG + Electrolytes

6 (4)

6 (4)

Chloride (high)

Sodium sulfate, potassium sulfate and magnesium sulfate oral solution

4 (2)

6 (4)

 

PEG + Electrolytes

20 (12)

6 (4)

Osmolality (high)

Sodium sulfate, potassium sulfate and magnesium sulfate oral solution

8 (6)

NA

 

PEG + Electrolytes

19 (13)

NA

Uric acid (high)

Sodium sulfate, potassium sulfate and magnesium sulfate oral solution

27 (24)

13 (12)

 

PEG + Electrolytes

12 (10)

20 (17)

1The study was not designed to support comparative claims for the laboratory abnormalities reported in this table.

2Percent (n/N) of patients where N=number of patients with normal baseline who had abnormal values at the timepoint(s) of interest.

 

Less Common Adverse Reactions



AV Block (1 case) and CK increase.



Adverse Reactions with Unapproved Use



In another study of 408 adult patients, higher rates of the following adverse reactions and laboratory abnormalities were reported in patients treated with sodium sulfate, potassium sulfate and magnesium sulfate oral solution as an evening-only (1-day) regimen compared to the split-dose (2-day) regimen.



• overall discomfort, abdominal distention, nausea, and vomiting

• total bilirubin (high), BUN (high), creatinine (high), osmolality (high), potassium (high) and uric acid (high) 



Administration of sodium sulfate, potassium sulfate and magnesium sulfate oral solution in an evening-only (1-day) dosing regimen is not recommended.



Pediatric use information is approved for Braintree Laboratories, Inc.’s SUPREP BOWEL PREP KIT (sodium sulfate, potassium sulfate, and magnesium sulfate) oral solution. However, due to Braintree Laboratories, Inc.’s marketing exclusivity rights, this drug product is not labeled with that pediatric information. 

17 Patient Counseling Information

Advise the patient and/or caregiver to read the FDA-approved patient labeling (Medication Guide).

Instruct patients or caregivers:

• Must dilute sodium sulfate, potassium sulfate and magnesium sulfate oral solution before ingestion.

• Must consume additional water after each dose of sodium sulfate, potassium sulfate and magnesium sulfate oral solution.

• On the day before colonoscopy, consume only a light breakfast or clear liquids (e.g., water, apple or orange juice without pulp, lemonade, coffee, tea, or chicken broth). On the day of the colonoscopy only consume clear liquids up to two hours prior to colonoscopy.

• Two doses of sodium sulfate, potassium sulfate and magnesium sulfate oral solution are required for a complete preparation for colonoscopy. One bottle of sodium sulfate, potassium sulfate and magnesium sulfate oral solution is equivalent to one dose.

• Do not to take other laxatives while taking sodium sulfate, potassium sulfate and magnesium sulfate oral solution.

• Do not eat solid food or drink milk or eat or drink anything colored red or purple.

• Do not drink alcohol.

• Do not take oral medications within one hour of starting each dose of sodium sulfate, potassium sulfate and magnesium sulfate oral solution.

• If taking tetracycline or fluoroquinolone antibiotics, iron, digoxin, chlorpromazine, or penicillamine, take these medications at least 2 hours before and not less than 6 hours after administration of sodium sulfate, potassium sulfate and magnesium sulfate oral solution [see Drug Interactions (7.2)].

• Stop consumption of all fluids at least 2 hours prior to colonoscopy.

• Contact their healthcare provider if they develop significant vomiting or signs of dehydration after taking sodium sulfate, potassium sulfate and magnesium sulfate oral solution or if they experience cardiac arrhythmias or seizures [see Warnings and Precautions (5.1,  5.2, 5.3)].

 

Medication Guide available at http://camberpharma.com/medication-guides

 

Manufactured for:

Camber Pharmaceuticals, Inc.

Piscataway, NJ 08854

By: Annora Pharma Pvt. Ltd.

Sangareddy - 502313, Telangana, India.



Revised: 10/2024

16 How Supplied/storage and Handling

Each Sodium sulfate, Potassium sulfate and Magnesium sulfate oral solution kit (for adults)(NDC 31722-098-31) contains:

· Two bottles (NDC 31722-098-17) each containing 6-ounces of an oral solution of 17.5 grams sodium sulfate, 3.13 grams potassium sulfate, and 1.6 grams magnesium sulfate as a clear to slightly hazy liquid. When diluted as directed, the solution is clear and colorless.

· One (1) mixing container with a 16-ounce fill line.

Store at 20° to 25°C (68° to 77°F). Excursions permitted between 15° to 30°C (59° to 86°F) [see USP Controlled Room Temperature].

Pediatric use information is approved for Braintree Laboratories, Inc.'s SUPREP BOWEL PREP KIT (sodium sulfate, potassium sulfate, and magnesium sulfate) oral solution. However, due to Braintree Laboratories, Inc.'s marketing exclusivity rights, this drug product is not labeled with

that pediatric information.

Package Label.principal Display Panel

Sodium sulfate, potassium sulfate and magnesium sulfate oral solution container label



Sodium sulfate, potassium sulfate and magnesium sulfate oral solution container carton

2.1 Dosage and Administration Overview

Administration of two bottles of sodium sulfate, potassium sulfate and magnesium sulfate oral solution and additional water is required for a complete preparation for colonoscopy. One bottle of sodium sulfate, potassium sulfate and magnesium sulfate oral solution is equivalent to one dose. Sodium sulfate, potassium sulfate and magnesium sulfate oral solution is supplied in one dosage strength [see Dosage Forms and Strengths (3)].   The recommended dosage is:



       •  Adults:Two 6-ounce doses [see Dosage and Administration (2.3)].



Pediatric use information is approved for Braintree Laboratories, Inc.’s SUPREP BOWEL PREP KIT (sodium sulfate, potassium sulfate, and magnesium sulfate) oral solution. However, due to Braintree Laboratories, Inc.’s marketing exclusivity rights, this drug product is not labeled with that pediatric information.

7.2 Potential for Reduced Drug Absorption

Sodium sulfate, potassium sulfate and magnesium sulfate oral solution can reduce the absorption of other co-administered drugs [see Dosage and Administration (2.1)].

• Administer oral medications at least one hour before starting each dose of sodium sulfate, potassium sulfate and magnesium sulfate oral solution.

• Administer tetracycline and fluoroquinolone antibiotics, iron, digoxin, chlorpromazine, and penicillamine at least 2 hours before and not less than 6 hours after administration of sodium sulfate, potassium sulfate and magnesium sulfate oral solution to avoid chelation with magnesium.

13.2 Animal Toxicology And/or Pharmacology


The sulfate salts of sodium, potassium, and magnesium contained in sodium sulfate, potassium sulfate and magnesium sulfate oral solution were administered orally (gavage) to rats and dogs up to 28 days up to a maximum daily dose of 5 grams/kg/day (approximately 0.9 and 3 times for rats and dogs, respectively, the recommended human dose of 44 grams/day or 0.89 grams/kg based on the body surface area). In rats, the sulfate salts caused diarrhea and electrolyte and metabolic changes, including hypochloremia, hypokalemia, hyponatremia, lower serum osmolality, and high serum bicarbonate. Significant renal changes included increased fractional sodium excretion, increased urinary sodium and potassium excretion, and alkaline urine in both males and females. In addition, creatinine clearance was significantly decreased in females at the highest dose. No microscopic renal changes were seen. In dogs, the sulfate salts caused emesis, excessive salivation, excessive drinking of water, and abnormal excreta (soft and/or mucoid feces and/or diarrhea) and increased urine pH and sodium excretion.

5.4 Use in Patients With Risk of Renal Injury


Use sodium sulfate, potassium sulfate and magnesium sulfate oral solution with caution in patients with impaired renal function or patients taking concomitant medications that may affect renal function (such as diuretics, angiotensin converting enzyme inhibitors, angiotensin receptor blockers, or non-steroidal anti-inflammatory drugs) [see Drug Interactions (7.1)]. These patients may be at risk for renal injury. Advise these patients of the importance of adequate hydration with sodium sulfate, potassium sulfate and magnesium sulfate oral solution and consider performing baseline and post-colonoscopy laboratory tests (electrolytes, creatinine, and BUN) in these patients [see Use in Specific Populations (8.6)].

2.3 Recommended Dosage and Administration in Adults

The recommended Split-Dose (two-day) regimen for adultsconsists of two 6-ounce doses of sodium sulfate, potassium sulfate and magnesium sulfate oral solution: the first dose during the evening prior to colonoscopy and the second dose the next day, during the morning of the colonoscopy.

Each dose consists of one bottle of sodium sulfate, potassium sulfate and magnesium sulfate oral solution with additional water. The total volume of liquid required for colon cleansing (using two bottles) is 3 quarts. The following are recommended dosage and administration instructions for adults:



Dose 1 – On the Day Prior to Colonoscopy:



• May consume a light breakfast, or only clear liquids (no solid food).

• In the evening before the procedure, pour the contents of one bottle of sodium sulfate, potassium sulfate and magnesium sulfate oral solution into the mixing container provided.

• Add cool drinking water to the 16-ounce fill line on the container, mix, and drink the entire amount.

• Drink two additional containers filled with water to the 16-ounce fill line over the next hour.



Dose 2 - Day of Colonoscopy:



• Continue to consume only clear liquids.

• In the morning (10 to 12 hours after the evening dose) on the day of the procedure, pour the contents of the second bottle of sodium sulfate, potassium sulfate and magnesium sulfate oral solution into the mixing container provided.

• Add cool drinking water to the 16-ounce fill line on the container, mix, and drink the entire amount.

• Drink two additional containers filled with water to the 16-ounce fill line over the next hour.

• Complete all solution of sodium sulfate, potassium sulfate and magnesium sulfate oral solution and required water at least two hours prior to colonoscopy.

5.1 Serious Fluid and Serum Chemistry Abnormalities


Advise all patients to hydrate adequately before, during, and after the use of sodium sulfate, potassium sulfate and magnesium sulfate oral solution. If a patient develops significant vomiting or signs of dehydration after taking sodium sulfate, potassium sulfate and magnesium sulfate oral solution, consider performing post-colonoscopy lab tests (electrolytes, creatinine, and BUN).





Fluid and electrolyte disturbances can lead to serious adverse events including cardiac arrhythmias, seizures and renal impairment. Correct fluid and electrolyte abnormalities before treatment with sodium sulfate, potassium sulfate and magnesium sulfate oral solution. Use sodium sulfate, potassium sulfate and magnesium sulfate oral solution with caution in patients with conditions, or who are using medications, that increase the risk for fluid and electrolyte disturbances or may increase the risk of adverse events of seizure, arrhythmias, and renal impairment [see Drug Interactions (7.1)]. 

 

Sodium sulfate, potassium sulfate and magnesium sulfate oral solution can cause temporary elevations in uric acid [see Adverse Reactions (6.1)]. Uric acid fluctuations in patients with gout may precipitate an acute flare. The potential for uric acid elevation should be considered before administering sodium sulfate, potassium sulfate and magnesium sulfate oral solution to patients with gout or other disorders of uric acid metabolism.

5.5 Colonic Mucosal Ulcerations and Ischemic Colitis


Osmotic laxative products may produce colonic mucosal aphthous ulcerations, and there have been reports of more serious cases of ischemic colitis requiring hospitalization. Concurrent use of stimulant laxatives and sodium sulfate, potassium sulfate and magnesium sulfate oral solution may increase these risks [see Drug Interactions (7.3)]. Consider the potential for mucosal ulcerations resulting from the bowel preparation when interpreting colonoscopy findings in patients with known or suspect inflammatory bowel disease (IBD). 

2.2 Important Preparation and Administration Instructions

• Correct fluid and electrolyte abnormalities before treatment with sodium sulfate, potassium sulfate and magnesium sulfate oral solution [see Warnings and Precautions (5.1)]

• Must dilute sodium sulfate, potassium sulfate and magnesium sulfate oral solution in water before ingestion.

• Must consume additional water after each dose of sodium sulfate, potassium sulfate and magnesium sulfate oral solution.

• On the day before colonoscopy, consume only a light breakfast or clear liquids (e.g., water, strained fruit juice without pulp, lemonade, plain coffee or tea, chicken broth gelatin dessert without fruit). On the day of the colonoscopy only consume clear liquids up to two hours prior to colonoscopy.

• Do not eat solid food or drink milk or eat or drink anything colored red or purple.

• Do not drink alcohol.

• Do not take other laxatives while taking sodium sulfate, potassium sulfate and magnesium sulfate oral solution.

• Do not take oral medications within one hour of starting each dose of sodium sulfate, potassium sulfate and magnesium sulfate oral solution.

• If taking tetracycline or fluoroquinolone antibiotics, iron, digoxin, chlorpromazine, or penicillamine, take these medications at least 2 hours before and not less than 6 hours after administration of sodium sulfate, potassium sulfate and magnesium sulfate oral solution [see Drug Interactions (7.2)].

• Stop consumption of all fluids at least 2 hours prior to the colonoscopy.





5.6 Use in Patients With Significant Gastrointestinal Disease


If gastrointestinal obstruction or perforation is suspected, perform appropriate diagnostic studies to rule out these conditions before administering sodium sulfate, potassium sulfate and magnesium sulfate oral solution [see Contraindications (4)]. 

Use with caution in patients with severe active ulcerative colitis. 

7.1 Drugs That May Increase Risk of Fluid and Electrolyte Abnormalities


Use caution when prescribing sodium sulfate, potassium sulfate and magnesium sulfate oral solution to patients taking medications that increase the risk of fluid and electrolyte disturbances or may increase the risk of adverse events of seizure, arrhythmias, and prolonged QT in the setting of fluid and electrolyte abnormalities [see Warnings and Precautions ( 5.1, 5.2, 5.3, 5.4)].


Structured Label Content

5.3 Seizures


There have been reports of generalized tonic-clonic seizures and/or loss of consciousness associated with use of bowel preparation products in patients with no prior history of seizures. The seizure cases were associated with electrolyte abnormalities (e.g., hyponatremia, hypokalemia, hypocalcemia, and hypomagnesemia) and low serum osmolality. The neurologic abnormalities resolved with correction of fluid and electrolyte abnormalities.





Use caution when prescribing sodium sulfate, potassium sulfate and magnesium sulfate oral solution for patients with a history of seizures and in patients at increased risk of seizure, such as patients taking medications that lower the seizure threshold (e.g., tricyclic antidepressants), patients withdrawing from alcohol or benzodiazepines, or patients with known or suspected hyponatremia [see Drug Interactions (7.1)]. 

10 Overdosage (10 OVERDOSAGE)

Overdosage of more than the recommended dose of sodium sulfate, potassium sulfate and magnesium sulfate oral solution may lead to severe electrolyte disturbances, as well as dehydration and hypovolemia, with signs and symptoms of these disturbances. [see Warnings and Precautions (5.1, 5.2, 5.3)]. Monitor for fluid and electrolyte disturbances and treat symptomatically.

8.1 Pregnancy


Risk Summary

 

There are no available data on sodium sulfate, potassium sulfate and magnesium sulfate oral solution use in pregnant women to evaluate for a drug-associated risk of major birth defects, miscarriage, or adverse maternal or fetal outcomes. Animal reproductive studies have not been conducted with sodium sulfate, potassium sulfate, and magnesium sulfate oral solution.

 

The estimated background risk of major birth defects and miscarriage for the indicated population is unknown. All pregnancies have a background risk of birth defect, loss, or other adverse outcomes. In the U.S. general population, the estimated background risk of major birth defects and miscarriage in clinically recognized pregnancies is 2% to 4% and 15% to 20%, respectively.

8.2 Lactation

Risk Summary

 

There are no data available data on the presence of sodium sulfate, potassium sulfate and magnesium sulfate oral solution in human or animal milk, the effects on the breastfed child, or the effects on milk production. The developmental and health benefits of breastfeeding should be considered along with the mother’s clinical need for sodium sulfate, potassium sulfate and magnesium sulfate oral solution and any potential adverse effects on the breastfed child from sodium sulfate, potassium sulfate and magnesium sulfate oral solution or from the underlying maternal condition.

11 Description (11 DESCRIPTION)


Sodium sulfate, potassium sulfate and magnesium sulfate oral solution (for adults)is an osmotic laxative and is provided as two bottles each containing 6 ounces of solution. Each bottle contains: 17.5 grams sodium sulfate, 3.13 grams potassium sulfate, and 1.6 grams magnesium sulfate. Inactive ingredients include: anhydrous citric acid, malic acid, sodium benzoate, strawberry flavor, sucralose, purified water. 

Sodium Sulfate Anhydrous, USP 

 

The chemical name is Na 2SO 4. The average Molecular Weight is 142.04. The structural formula is:







Potassium Sulfate, powder

 

 The chemical name is K 2SO 4. The average Molecular Weight is 174.3. The structural formula is: 





 

 

Magnesium Sulfate Dried, USP 

 

The chemical name is MgSO 4. The average Molecular Weight: 120.361. The structural formula is:







Each sodium sulfate, potassium sulfate and magnesium sulfate oral solution also contains a polypropylene mixing container.



Pediatric use information is approved for Braintree Laboratories, Inc.’s SUPREP BOWEL PREP KIT (sodium sulfate, potassium sulfate, and magnesium sulfate) oral solution. However, due to Braintree Laboratories, Inc.’s marketing exclusivity rights, this drug product is not labeled with that pediatric information.

5.7 Aspiration

Patients with impaired gag reflex or other swallowing abnormalities are at risk for regurgitation or aspiration of sodium sulfate, potassium sulfate and magnesium sulfate oral solution. Observe these patients during administration of sodium sulfate, potassium sulfate and magnesium sulfate oral solution. Use with caution in these patients. 

Medguide Guide (MEDGUIDE GUIDE)








Sodium Sulfate, Potassium Sulfate and Magnesium Sulfate Oral Solution

(soe' dee um sul' fate, poe tas' ee um sul' fate, and mag nee' zee um sul' fate) 


Read and understand this Medication Guide instructions  at least 2 days before your colonoscopy and again before you start taking sodium sulfate, potassium sulfate and magnesium sulfate oral solution. 

 


What is the most important information I should know about sodium sulfate, potassium sulfate and magnesium sulfate oral solution? 

Sodium sulfate, potassium sulfate and magnesium sulfate oral solution and other bowel preparations can cause serious side effects, including: 

• Serious loss of body fluid (dehydration) and changes in blood salts (electrolytes) in your blood. These changes can cause: 

• abnormal heartbeats that can cause death 

       • seizures. 
This can happen even if you have never had a seizure. 

       • kidney problems 

Your chance of having fluid loss and changes in body salts with sodium sulfate, potassium sulfate and magnesium sulfate oral solution is higher if you: 


       • have heart problems 

       • have kidney problems 

       • take water pills or non-steroidal anti-inflammatory drugs (NSAIDS) 

Tell your healthcare provider right away if you have any of these symptoms of a loss of too much body fluid (dehydration) while taking sodium sulfate, potassium sulfate and magnesium sulfate oral solution: 

o vomiting 

o dizziness 

o urinating less often than normal 

o headache 

See “What are the possible side effects of sodium sulfate, potassium sulfate and magnesium sulfate oral solution?” for more information about side effects. 


  What is sodium sulfate, potassium sulfate and magnesium sulfate oral solution?

Sodium sulfate, potassium sulfate and magnesium sulfate oral solution is a prescription medicine used by adults to clean the colon before a colonoscopy. Sodium sulfate, potassium sulfate and magnesium sulfate oral solution cleans your colon by causing you to have diarrhea. Cleaning your colon helps your healthcare provider see the inside of your colon more clearly during your colonoscopy. 

It is not known if sodium sulfate, potassium sulfate and magnesium sulfate oral solution is safe and effective in children under 12 years of age. 


  Do not take sodium sulfate, potassium sulfate and magnesium sulfate oral solution if your healthcare provider has told you that you have: 

• a blockage in your intestine (bowel (obstruction) 

• an opening in the wall of your stomach or intestine (bowel perforation) 

• a very dilated intestine (toxic megacolon)

• problems with the emptying of food and fluid from your stomach (gastric retention) 

• an allergy to any of the ingredients in sodium sulfate, potassium sulfate and magnesium sulfate oral solution. See the end of this Medication Guide for a complete list of ingredients in sodium sulfate, potassium sulfate and magnesium sulfate oral solution. 


  Before taking sodium sulfate, potassium sulfate and magnesium sulfate oral solution, tell your healthcare provider about all of your medical conditions, including if you:

• have problems with serious loss of body fluid (dehydration) and changes in blood salts (electrolytes).

• have gout

• have heart problems including an irregular heartbeat, especially a condition called “QT prolongation”.

• have a history of seizures or take medicines for seizures.

• are withdrawing from drinking alcohol or from taking benzodiazepines.

• have a low blood salt (sodium) level.

• have kidney problems or take medicines for kidney problems.

• have stomach or bowel problems including ulcerative colitis.

• have problems with swallowing or gastric reflux. 

• are pregnant or plan to become pregnant. It is not known if sodium sulfate, potassium sulfate and magnesium sulfate oral solution will harm your unborn baby. Talk to your healthcare provider if you are pregnant.

• are breastfeeding or plan to breastfeed. It is not known if sodium sulfate, potassium sulfate and magnesium sulfate passes into your breast milk. You and your healthcare provider should decide if you will take sodium sulfate, potassium sulfate and magnesium sulfate oral solution while breastfeeding. 

Tell your healthcare provider about all the medicines you take, including prescription and over-the-counter medicines, vitamins, and herbal supplements. 

Sodium sulfate, potassium sulfate and magnesium sulfate oral solution may affect how other medicines work. Medicines taken by mouth may not be absorbed properly when taken within 1 hour before the start of each dose of sodium sulfate, potassium sulfate and magnesium sulfate oral solution.

Especially tell your healthcare provider if you take: 

       • medicines for blood pressure or heart problems. 

       • medicines for kidney problems. 

       • medicines for seizures. 

       • water pills (diuretics). 

       • non-steroidal anti-inflammatory medicines (pain medicines).

       • medicines for depression or mental health problems.

       • laxatives.  Do not take other laxatives while taking sodium sulfate, potassium sulfate and magnesium sulfate oral solution.

The following medicines should be taken at least 2 hours before starting sodium sulfate, potassium sulfate and magnesium sulfate oral solution and not less than 6 hours after taking sodium sulfate, potassium sulfate and magnesium sulfate oral solution:

       • tetracycline

       • fluoroquinolone antibiotics

       • iron

       • digoxin (Lanoxin)

       • chloropromazine

       • penicillamine (Cuprimine. Depen)



Ask your healthcare provider or pharmacist for a list of these medicines if you are not sure if you are taking any of the medicines listed above. 

Know the medicines you take. Keep a list of them to show your healthcare provider and pharmacist when you get a new medicine. 


 

How should I take sodium sulfate, potassium sulfate and magnesium sulfate oral solution? 

See the Instructions for Use for dosing instructions. You must read, understand, and follow these instructions to take sodium sulfate, potassium sulfate and magnesium sulfate oral solution the right way. 

• Take sodium sulfate, potassium sulfate and magnesium sulfate oral solution exactly as your healthcare provider tells you to take it. 

• Each bottle of sodium sulfate, potassium sulfate and magnesium sulfate oral solution must be mixed with water (diluted) before drinking.

• It is important for you to drink the additional prescribed amount of water listed in the Instructions for Use to prevent fluid loss (dehydration). 

• One bottle of sodium sulfate, potassium sulfate and magnesium sulfate oral solution is equal to one dose.

• Two doses of sodium sulfate, potassium sulfate and magnesium sulfate oral solution are required for complete colonoscopy preparation.

• All people taking sodium sulfate, potassium sulfate and magnesium sulfate oral solution should follow these general instructions starting 1 day  before your colonoscopy:

       • eat only a light breakfast or clear liquids (for example: water, strained fruit juice without pulp, lemonade, plain coffee, or tea, chicken broth, gelatin dessert without fruit) on the day before your procedure.

       • only drink clear liquids the rest of the day and the next day until 2 hours before your colonoscopy. Stopdrinking all fluids at least 2 hours before your colonoscopy.

       • after taking sodium sulfate, potassium sulfate and magnesium sulfate oral solution if you have any bloating or feeling like your stomach is upset, wait to take your second dose until your stomach feels better.



•  While taking sodium sulfate, potassium sulfate and magnesium sulfate oral solution, do not:

       • take any other laxatives.

       • take any medicines by mouth (oral) within 1 hour of starting sodium sulfate, potassium sulfate and magnesium sulfate oral solution.

       • eat solid foods, drink dairy (such as milk), or drink alcohol while taking sodium sulfate, potassium sulfate and magnesium sulfate oral solution and until after your colonoscopy

       • eat or drink anything colored red or purple.



Contact your healthcare provider right away if after taking sodium sulfate, potassium sulfate and magnesium sulfate oral solution you have severe vomiting, signs of dehydration, changes in consciousness such as feeling confused, delirious or fainting (loss of consciousness) or seizures after taking sodium sulfate, potassium sulfate and magnesium sulfate oral solution.

 

What are the possible side effects of sodium sulfate, potassium sulfate and magnesium sulfate oral solution?

Sodium sulfate, potassium sulfate and magnesium sulfate oral solution can cause serious side effects, including: 

• See  “What is the most important information I should know about sodium sulfate, potassium sulfate and magnesium sulfate oral solution?” 

• Changes in certain blood tests. 
Your healthcare provider may do blood tests after you take sodium sulfate, potassium sulfate and magnesium sulfate oral solution to check your blood for changes. Tell your healthcare provider if you have any symptoms of too much fluid loss, including: 

      o vomiting                                 o nausea                                                  o bloating 

      o dizziness                               o stomach area (abdomen) cramping      o headache  

      o urinate less than usual          o trouble drinking clear liquid                   o trouble swallowing

      o seizures                                 o heart problems                                      o worsening gout

•  Ulcers of the bowel or bowel problems (ischemic colitis). Tell your healthcare provider right away if you have severe stomach-area (abdomen) pain or rectal bleeding.

The most common side effects of sodium sulfate, potassium sulfate and magnesium sulfate oral solution in adults include: 

• overall discomfort 

• stomach bloating 

• stomach pain

• nausea 

• vomiting 

These are not all the possible side effects of sodium sulfate, potassium sulfate and magnesium sulfate oral solution. 

Call your doctor for medical advice about side effects. You may report side effects to FDA at 1-800-FDA-1088. 


  How should I store sodium sulfate, potassium sulfate and magnesium sulfate oral solution? 

• Store sodium sulfate, potassium sulfate and magnesium sulfate oral solution at room temperature, between 68ºF to 77°F (20ºC to 25°C). 

Keep sodium sulfate, potassium sulfate and magnesium sulfate oral solution and all medicines out of the reach of children. 


General information about the safe and effective use of sodium sulfate, potassium sulfate and magnesium sulfate oral solution. 



Medicines are sometimes prescribed for purposes other than those listed in a Medication Guide. Do not use sodium sulfate, potassium sulfate and magnesium sulfate oral solution for a condition for which it was not prescribed. Do not give sodium sulfate, potassium sulfate and magnesium sulfate oral solution to other people, even if they are going to have the same procedure you are. It may harm them. You can ask your pharmacist or healthcare provider for information about sodium sulfate, potassium sulfate and magnesium sulfate oral solution that is written for healthcare professionals.  


What are the ingredients in sodium sulfate, potassium sulfate and magnesium sulfate oral solution? 

Sodium sulfate, potassium sulfate and magnesium sulfate oral solution is supplied in one dosage strength. Sodium sulfate, potassium sulfate and magnesium sulfate oral solution comes in a carton containing two 6-ounce bottles, along with a 16-ounce polypropylene mixing container. 

Each bottle contains: 

Active ingredients: sodium sulfate, potassium sulfate and magnesium sulfate. 

Inactive ingredients: anhydrous citric acid, malic acid, sodium benzoate, strawberry flavor, sucralose, purified water.

Pediatric use information is approved for Braintree Laboratories, Inc.’s SUPREP BOWEL PREP KIT (sodium sulfate, potassium sulfate, and magnesium sulfate) oral solution. However, due to Braintree Laboratories, Inc.’s marketing exclusivity rights, this drug product is not labeled with that pediatric information. 

 

Medication Guide available at  http://camberpharma.com/medication-guides  



Manufactured for: Camber Pharmaceuticals, Inc.

Piscataway, NJ 08854

By: Annora Pharma Pvt. Ltd.

Sangareddy - 502313, Telangana, India.

 

For more information, call Annora Pharma Private Limited at 1-866-495-1995. 


This Medication Guide has been approved by the U.S. Food and Drug Administration. 

Revised: 10/2024





Instructions for Use

Sodium Sulfate, Potassium Sulfate and Magnesium Sulfate Oral Solution


(soe' dee um sul' fate, poe tas' ee um sul' fate, and mag nee' zee um sul' fate)

On the day before your procedure

• You may have a light breakfast or have clear liquids ONLY; please have nothing for dinner 

•  DO NOTdrink milk

•  DO NOTeat or drink anything colored red or purple

•  DO NOTdrink alcoholic beverages

Any of the following clear liquids are OK 

• Water

• Strained fruit juices (without pulp) including apple, orange, white grape, or white cranberry

• Limeade or lemonade

• Coffee or tea ( DO NOTuse any dairy or non-dairy creamer)

• Chicken broth

• Gelatin desserts without added fruit or topping ( NO RED OR PURPLE)



Split-Dose (2-Day) Regimen



(Both 6-ounce bottles are required for a complete prep.)



• In the evening before the procedure complete steps 1 through 4 using one (1) 6-ounce bottle before going to bed

• In the morning on the day of the procedure, repeat steps 1 through 4 using the other 6-ounce bottle



NOTE:You must finish drinking the final glass of water at least 2 hoursbefore your procedure or as directed by physician.



NOTE: Dilute the solution concentrate as directed prior to use.

STEP 1









Pour ONE (1) 6-ounce bottle of Sodium Sulfate, Potassium Sulfate and Magnesium Sulfate Oral Solution into the mixing container

STEP 2



Add cool drinking water to the 16-ounce line on the container and mix.

STEP 3







Drink ALLthe liquid in the container

STEP 4









You mustdrink two (2) more 16-ounce containers of water over the next 1 hour.

8.4 Pediatric Use

The safety and effectiveness of sodium sulfate, potassium sulfate and magnesium sulfate oral solution in pediatric patients less than 12 years of age have not been established. 



Pediatric use information is approved for Braintree Laboratories, Inc.’s SUPREP BOWEL PREP KIT (sodium sulfate, potassium sulfate, and magnesium sulfate) oral solution. However, due to Braintree Laboratories, Inc.’s marketing exclusivity rights, this drug product is not labeled with that pediatric information.

8.5 Geriatric Use


Of the 375 patients who received sodium sulfate, potassium sulfate and magnesium sulfate oral solution in clinical trials, 94 (25%) were 65 years of age or older, and 25 (7%) were 75 years of age or older. No overall differences in safety or effectiveness of sodium sulfate, potassium sulfate and magnesium sulfate oral solution, administered as the recommended split-dose (2-day) regimen, were observed between geriatric patients and younger patients. Geriatric patients reported more vomiting when sodium sulfate, potassium sulfate and magnesium sulfate oral solution was given as a one-day preparation (not a recommended regimen). Elderly patients are more likely to have decreased hepatic, renal or cardiac function and may be more susceptible to adverse reactions resulting from fluid and electrolyte abnormalities [see Warnings and Precautions (5.1)]. 

14 Clinical Studies (14 CLINICAL STUDIES)

Adults

The colon cleansing efficacy of sodium sulfate, potassium sulfate and magnesium sulfate oral solution was evaluated in a randomized, single-blind, active-controlled, multicenter study in adult patients scheduled to have a colonoscopy. There were 363 adult patients included in the efficacy analysis. Patients ranged in age from 20 to 84 years (mean age 55 years) and 54% were female. Race distribution was 86% Caucasian, 9% African-American, and 5% other. 



Patients were randomized to one of the following two colon preparation regimens: sodium sulfate, potassium sulfate and magnesium sulfate oral solution or a marketed polyethylene glycol (PEG) plus electrolytes bowel preparation. In the Study sodium sulfate, potassium sulfate and magnesium sulfate oral solution was administered as a split-dose (two-day) regimen. The PEG bowel prep was also given as a split-dose preparation according to its labeled instructions. Patients receiving sodium sulfate, potassium sulfate and magnesium sulfate oral solution were limited to a light breakfast followed by clear liquids on the day prior to the day of colonoscopy; patients receiving the PEG bowel prep were allowed to have a normal breakfast and a light lunch, followed by clear liquids. 



The primary efficacy endpoint was the proportion of patients with successful colon cleansing as assessed by the colonoscopists, who were not informed about the type of preparation received, as shown in Table 3. In the study, no clinically or statistically significant differences were seen between the group treated with sodium sulfate, potassium sulfate and magnesium sulfate oral solution and the group treated with the PEG bowel prep.



Table 3: Proportion of Adult Patients with Successful Colon Cleansing Response Rates  



 

 

Treatment Group

 

 

Regimen

 

 

N

Responders 1

%

(95% C. I.)

Sodium sulfate, potassium sulfate and magnesium sulfate oral solution – PEG Difference (95% CI)

Sodium sulfate, potassium sulfate and magnesium sulfate oral solution

(with light breakfast)

Split-Dose

180

97%

(94%, 99%)

2% 2 

(-2%, 5%)

PEG bowel prep

(with normal breakfast & light lunch)

Split-Dose

 

183

96%

(92%, 98%)

1Responders were patients whose colon preparations were graded excellent (no more than small bits of adherent feces/fluid) or good (small amounts of feces or fluid not interfering with the exam) by the colonoscopist. 

2Does not equal difference in tabled responder rates due to rounding effects.



Pediatric use information is approved for Braintree Laboratories, Inc.’s SUPREP BOWEL PREP KIT (sodium sulfate, potassium sulfate, and magnesium sulfate) oral solution. However, due to Braintree Laboratories, Inc.’s marketing exclusivity rights, this drug product is not labeled with that pediatric information.

4 Contraindications (4 CONTRAINDICATIONS)

Sodium sulfate, potassium sulfate and magnesium sulfate oral solution is contraindicated in the following conditions:

• Gastrointestinal obstruction or ileus [see Warnings and Precautions (5.6)]

• Bowel perforation [see Warnings and Precaution (5.6)]

• Toxic colitis or toxic megacolon

• Gastric retention

• Hypersensitivity to any of the ingredients in sodium sulfate, potassium sulfate and magnesium sulfate oral solution

6 Adverse Reactions (6 ADVERSE REACTIONS)

The following important adverse reactions for bowel preparations are described elsewhere in the labeling:

• Serious Fluid and Serum Chemistry Abnormalities [see Warnings and Precautions (5.1)]

• Cardiac Arrhythmias [see Warnings and Precautions (5.2)]

• Seizures [see Warnings and Precautions (5.3)]

• Use in Patients with Risk of Renal Injury [see Warnings and Precautions (5.4)]

• Colonic Mucosal Ulceration and Ischemic Colitis [see Warnings and Precautions (5.5)]

• Patients with Significant Gastrointestinal Disease [see Warnings and Precautions (5.6)]

• Aspiration [see Warnings and Precautions (5.7)]

7 Drug Interactions (7 DRUG INTERACTIONS)

Drugs that increase risk of fluid and electrolyte imbalance. ( 7.1



Pediatric use information is approved for Braintree Laboratories, Inc.’s SUPREP BOWEL PREP KIT (sodium sulfate, potassium sulfate, and magnesium sulfate) oral solution. However, due to Braintree Laboratories, Inc.’s marketing exclusivity rights, this drug product is not labeled with that pediatric information.

8.6 Renal Impairment

Use sodium sulfate, potassium sulfate and magnesium sulfate oral solution with caution in patients with renal impairment or patients taking concomitant medications that may affect renal function. These patients may be at risk for renal injury. Advise these patients of the importance of adequate hydration before, during and after use of sodium sulfate, potassium sulfate and magnesium sulfate oral solution and consider performing baseline and post-colonoscopy laboratory tests (electrolytes, creatinine, and BUN) in these patients [see Warnings and Precautions (5.4)].

12.2 Pharmacodynamics

No formal pharmacodynamic studies have been conducted with sodium sulfate, potassium sulfate and magnesium sulfate oral solution. 

12.3 Pharmacokinetics


Absorption and Elimination

After administration of sodium sulfate, potassium sulfate and magnesium sulfate oral solution in six healthy subjects, the time at which serum sulfate reached its highest point (T max) was approximately 17 hours after the first dose or approximately 5 hours after the second dose, and then declined with a half-life of 8.5 hours.

Excretion

Fecal excretion was the primary route of sulfate elimination.



Specific Populations

Patients with Renal Impairment

The disposition of sulfate after ingestion of sodium sulfate, potassium sulfate and magnesium sulfate oral solution was studied in patients (N=6) with moderate renal impairment (creatinine clearance of 30 to 49 mL/min). In patients with moderate renal impairment, mean AUC was 54% higher and mean C maxwas 44% higher, than healthy subjects.

The mean sulfate concentrations in healthy subjects and in patients with moderate renal impairment returned to their respective baselines by Day 6 after dose initiation. Urinary excretion of sulfate over 30 hours after the first dose was approximately 16% lower in patients with moderate renal impairment than in healthy subjects. These differences are not considered clinically meaningful.



Patients with Hepatic Impairment

The disposition of sulfate after ingestion of sodium sulfate, potassium sulfate and magnesium sulfate oral solution was studied in patients (N=6) with mild to moderate hepatic impairment (Child-Pugh grades A and B). Systemic exposure of serum sulfate (AUC and C max) was similar between healthy subjects and patients with hepatic impairment. The mean sulfate concentrations in healthy subjects and in patients with mild to moderate hepatic impairment returned to their respective baselines by Day 6 after dose initiation. Urinary excretion of sulfate over 30 hours after the first dose was similar between patients with hepatic impairment and healthy subjects.

1 Indications and Usage (1 INDICATIONS AND USAGE)

Sodium sulfate, potassium sulfate and magnesium sulfate oral solution is indicated for cleansing of the colon as a preparation for colonoscopy in adult patients.

Pediatric use information is approved for Braintree Laboratories, Inc.’s SUPREP BOWEL PREP KIT (sodium sulfate, potassium sulfate, and magnesium sulfate) oral solution. However, due to Braintree Laboratories, Inc.’s marketing exclusivity rights, this drug product is not labeled with that pediatric information.

5.2 Cardiac Arrhythmias


There have been rare reports of serious arrhythmias associated with the use of ionic osmotic laxative products for bowel preparation. Use caution when prescribing sodium sulfate, potassium sulfate and magnesium sulfate oral solution for patients at increased risk of arrhythmias (e.g., patients with a history of prolonged QT, uncontrolled arrhythmias, recent myocardial infarction, unstable angina, congestive heart failure, or cardiomyopathy). Consider pre-dose and post-colonoscopy ECGs in patients at increased risk of serious cardiac arrhythmias.

7.3 Stimulant Laxatives

Concurrent use of stimulant laxatives and sodium sulfate, potassium sulfate and magnesium sulfate oral solution may increase the risk of mucosal ulceration or ischemic colitis. Avoid use of stimulant laxatives (e.g., bisacodyl, sodium picosulfate) while taking sodium sulfate, potassium sulfate and magnesium sulfate oral solution [see Warnings and Precautions (5.5)].

12.1 Mechanism of Action

Sulfate salts provide sulfate anions, which are poorly absorbed. The osmotic effect of unabsorbed sulfate anions and the associated cations causes water to be retained within the gastrointestinal tract.



5 Warnings and Precautions (5 WARNINGS AND PRECAUTIONS)


•  Risk of fluid and electrolyte abnormalities:Encourage adequate hydration, assess concurrent medications, and consider laboratory

assessments prior to and after each use. ( 5.1, 7.1)

•  Cardiac arrhythmias:Consider pre-dose and post-colonoscopy ECGs in patients at increased risk. ( 5.2)

•  Seizures:Use caution in patients with a history of seizures and patients at increased risk of seizures, including medications that lower the seizure threshold. ( 5.3, 7.1)

•  Patients with renal impairment or taking concomitant medications that affect renal function:Use caution, ensure adequate hydration and consider laboratory testing. ( 5.4, 7.1)

•  Suspected GI obstruction or perforation:Rule out the diagnosis before administration. ( 4, 5.6)

•  Patients at risk for aspiration:Observe during administration. ( 5.7

2 Dosage and Administration (2 DOSAGE AND ADMINISTRATION)


Preparation and Administration ( 2.2)

• Must dilute in water prior to ingestion.

• Administration of two bottles of sodium sulfate, potassium sulfate and magnesium sulfate oral solution is required for a complete preparation for colonoscopy. One bottle is equivalent to one dose.

• Must consume additional water after each dose.

• Stop consumption of all fluids at least 2 hours before the colonoscopy.

Recommended Dosage and Administration

• Split-Dose (two-day) regimen consists of two doses of sodium sulfate, potassium sulfate and magnesium sulfate oral solution: first dose during the evening prior to colonoscopy and second dose the next day, during the morning of colonoscopy. ( 2.1, 2.3)

• Recommended sodium sulfate, potassium sulfate and magnesium sulfate oral solution dosage is:

        o      Adults:Two 6-ounce doses. ( 2.3)

• For complete information on preparation before colonoscopy and administration of the dosage regimen, see full prescribing Information. ( 2.12.22.3)

3 Dosage Forms and Strengths (3 DOSAGE FORMS AND STRENGTHS)

• Sodium sulfate, potassium sulfate and magnesium sulfate oral solution (for adults):Two bottles each containing 6 ounces of an oral solution of 17.5 grams sodium sulfate, 3.13 grams potassium sulfate, and 1.6 grams magnesium sulfate as a clear to slightly hazy liquid.



When diluted as directed, the solution is clear and colorless.



Pediatric use information is approved for Braintree Laboratories, Inc.’s SUPREP BOWEL PREP KIT (sodium sulfate, potassium sulfate, and magnesium sulfate) oral solution. However, due to Braintree Laboratories, Inc.’s marketing exclusivity rights, this drug product is not labeled with that pediatric information.

6.1 Clinical Studies Experience


Because clinical studies are conducted under widely varying conditions, adverse reaction rates observed in the clinical studies of a drug cannot be directly compared to rates in clinical studies of another drug and may not reflect the rates observed in practice. 

Adults

 

The safety of sodium sulfate, potassium sulfate and magnesium sulfate oral solution was evaluated in a multi-center, randomized, active controlled trial in 379 adult patients undergoing colonoscopy [see   Clinical Studies (14)].



Most Common Adverse Reactions



Table 1 shows the most common adverse reactions reported in at least 2% of patients receiving sodium sulfate, potassium sulfate and magnesium sulfate oral solution or the control (a bowel prep containing polyethylene glycol and electrolytes (PEG + E)) administered in split-dose (2-day) regimens. 



Table 1: Common Adverse Reactions* in Adult Patients Undergoing Colonoscopy in a Randomized, Active Controlled Trial





 

Symptom

Split-Dose (2-Day) Regimen

Sodium sulfate, potassium sulfate and magnesium sulfate oral solution

%

N=190

PEG + E product

%

N=189

Overall Discomfort

54

67

Abdominal Distension

40

52

Abdominal Pain

36

43

Nausea

36

33

Vomiting

8

4

* reported in at least 2% of patients



 

 Laboratory    Abnormalities

Table 2 shows the most common laboratory abnormalities (at least 10% in either treatment group and more than 2% difference between groups) for patients who developed new abnormalities of important electrolytes and uric acid after completing the bowel preparation with either sodium sulfate, potassium sulfate and magnesium sulfate oral solution or PEG+E administered as a split-dose (2-day) regimen.

Table 2: Adult Patients with Normal Baseline Serum Chemistry with A Shift to an Abnormal Value While on the Split-Dose (2-Day) Regimen 1





 

 

Day of Colonoscopy

N (%) 2

Day 30

N (%) 2

Bicarbonate (low)

Sodium sulfate, potassium sulfate and magnesium sulfate oral solution

20 (13)

7 (4)

 

PEG + Electrolytes

24 (15)

4 (3)

Bilirubin, total (high)

Sodium sulfate, potassium sulfate and magnesium sulfate oral solution

14 (9)

0 (0)

 

PEG + Electrolytes

20 (12)

3 (2)

BUN (high)

Sodium sulfate, potassium sulfate and magnesium sulfate oral solution

2 (2)

14 (11)

 

PEG + Electrolytes

4 (3)

19 (15)

Calcium (high)

Sodium sulfate, potassium sulfate and magnesium sulfate oral solution

16 (10)

8 (5)

 

PEG + Electrolytes

6 (4)

6 (4)

Chloride (high)

Sodium sulfate, potassium sulfate and magnesium sulfate oral solution

4 (2)

6 (4)

 

PEG + Electrolytes

20 (12)

6 (4)

Osmolality (high)

Sodium sulfate, potassium sulfate and magnesium sulfate oral solution

8 (6)

NA

 

PEG + Electrolytes

19 (13)

NA

Uric acid (high)

Sodium sulfate, potassium sulfate and magnesium sulfate oral solution

27 (24)

13 (12)

 

PEG + Electrolytes

12 (10)

20 (17)

1The study was not designed to support comparative claims for the laboratory abnormalities reported in this table.

2Percent (n/N) of patients where N=number of patients with normal baseline who had abnormal values at the timepoint(s) of interest.

 

Less Common Adverse Reactions



AV Block (1 case) and CK increase.



Adverse Reactions with Unapproved Use



In another study of 408 adult patients, higher rates of the following adverse reactions and laboratory abnormalities were reported in patients treated with sodium sulfate, potassium sulfate and magnesium sulfate oral solution as an evening-only (1-day) regimen compared to the split-dose (2-day) regimen.



• overall discomfort, abdominal distention, nausea, and vomiting

• total bilirubin (high), BUN (high), creatinine (high), osmolality (high), potassium (high) and uric acid (high) 



Administration of sodium sulfate, potassium sulfate and magnesium sulfate oral solution in an evening-only (1-day) dosing regimen is not recommended.



Pediatric use information is approved for Braintree Laboratories, Inc.’s SUPREP BOWEL PREP KIT (sodium sulfate, potassium sulfate, and magnesium sulfate) oral solution. However, due to Braintree Laboratories, Inc.’s marketing exclusivity rights, this drug product is not labeled with that pediatric information. 

17 Patient Counseling Information (17 PATIENT COUNSELING INFORMATION)

Advise the patient and/or caregiver to read the FDA-approved patient labeling (Medication Guide).

Instruct patients or caregivers:

• Must dilute sodium sulfate, potassium sulfate and magnesium sulfate oral solution before ingestion.

• Must consume additional water after each dose of sodium sulfate, potassium sulfate and magnesium sulfate oral solution.

• On the day before colonoscopy, consume only a light breakfast or clear liquids (e.g., water, apple or orange juice without pulp, lemonade, coffee, tea, or chicken broth). On the day of the colonoscopy only consume clear liquids up to two hours prior to colonoscopy.

• Two doses of sodium sulfate, potassium sulfate and magnesium sulfate oral solution are required for a complete preparation for colonoscopy. One bottle of sodium sulfate, potassium sulfate and magnesium sulfate oral solution is equivalent to one dose.

• Do not to take other laxatives while taking sodium sulfate, potassium sulfate and magnesium sulfate oral solution.

• Do not eat solid food or drink milk or eat or drink anything colored red or purple.

• Do not drink alcohol.

• Do not take oral medications within one hour of starting each dose of sodium sulfate, potassium sulfate and magnesium sulfate oral solution.

• If taking tetracycline or fluoroquinolone antibiotics, iron, digoxin, chlorpromazine, or penicillamine, take these medications at least 2 hours before and not less than 6 hours after administration of sodium sulfate, potassium sulfate and magnesium sulfate oral solution [see Drug Interactions (7.2)].

• Stop consumption of all fluids at least 2 hours prior to colonoscopy.

• Contact their healthcare provider if they develop significant vomiting or signs of dehydration after taking sodium sulfate, potassium sulfate and magnesium sulfate oral solution or if they experience cardiac arrhythmias or seizures [see Warnings and Precautions (5.1,  5.2, 5.3)].

 

Medication Guide available at http://camberpharma.com/medication-guides

 

Manufactured for:

Camber Pharmaceuticals, Inc.

Piscataway, NJ 08854

By: Annora Pharma Pvt. Ltd.

Sangareddy - 502313, Telangana, India.



Revised: 10/2024

16 How Supplied/storage and Handling (16 HOW SUPPLIED/STORAGE AND HANDLING)

Each Sodium sulfate, Potassium sulfate and Magnesium sulfate oral solution kit (for adults)(NDC 31722-098-31) contains:

· Two bottles (NDC 31722-098-17) each containing 6-ounces of an oral solution of 17.5 grams sodium sulfate, 3.13 grams potassium sulfate, and 1.6 grams magnesium sulfate as a clear to slightly hazy liquid. When diluted as directed, the solution is clear and colorless.

· One (1) mixing container with a 16-ounce fill line.

Store at 20° to 25°C (68° to 77°F). Excursions permitted between 15° to 30°C (59° to 86°F) [see USP Controlled Room Temperature].

Pediatric use information is approved for Braintree Laboratories, Inc.'s SUPREP BOWEL PREP KIT (sodium sulfate, potassium sulfate, and magnesium sulfate) oral solution. However, due to Braintree Laboratories, Inc.'s marketing exclusivity rights, this drug product is not labeled with

that pediatric information.

Package Label.principal Display Panel (PACKAGE LABEL.PRINCIPAL DISPLAY PANEL)

Sodium sulfate, potassium sulfate and magnesium sulfate oral solution container label



Sodium sulfate, potassium sulfate and magnesium sulfate oral solution container carton

2.1 Dosage and Administration Overview

Administration of two bottles of sodium sulfate, potassium sulfate and magnesium sulfate oral solution and additional water is required for a complete preparation for colonoscopy. One bottle of sodium sulfate, potassium sulfate and magnesium sulfate oral solution is equivalent to one dose. Sodium sulfate, potassium sulfate and magnesium sulfate oral solution is supplied in one dosage strength [see Dosage Forms and Strengths (3)].   The recommended dosage is:



       •  Adults:Two 6-ounce doses [see Dosage and Administration (2.3)].



Pediatric use information is approved for Braintree Laboratories, Inc.’s SUPREP BOWEL PREP KIT (sodium sulfate, potassium sulfate, and magnesium sulfate) oral solution. However, due to Braintree Laboratories, Inc.’s marketing exclusivity rights, this drug product is not labeled with that pediatric information.

7.2 Potential for Reduced Drug Absorption

Sodium sulfate, potassium sulfate and magnesium sulfate oral solution can reduce the absorption of other co-administered drugs [see Dosage and Administration (2.1)].

• Administer oral medications at least one hour before starting each dose of sodium sulfate, potassium sulfate and magnesium sulfate oral solution.

• Administer tetracycline and fluoroquinolone antibiotics, iron, digoxin, chlorpromazine, and penicillamine at least 2 hours before and not less than 6 hours after administration of sodium sulfate, potassium sulfate and magnesium sulfate oral solution to avoid chelation with magnesium.

13.2 Animal Toxicology And/or Pharmacology (13.2 Animal Toxicology and/or Pharmacology)


The sulfate salts of sodium, potassium, and magnesium contained in sodium sulfate, potassium sulfate and magnesium sulfate oral solution were administered orally (gavage) to rats and dogs up to 28 days up to a maximum daily dose of 5 grams/kg/day (approximately 0.9 and 3 times for rats and dogs, respectively, the recommended human dose of 44 grams/day or 0.89 grams/kg based on the body surface area). In rats, the sulfate salts caused diarrhea and electrolyte and metabolic changes, including hypochloremia, hypokalemia, hyponatremia, lower serum osmolality, and high serum bicarbonate. Significant renal changes included increased fractional sodium excretion, increased urinary sodium and potassium excretion, and alkaline urine in both males and females. In addition, creatinine clearance was significantly decreased in females at the highest dose. No microscopic renal changes were seen. In dogs, the sulfate salts caused emesis, excessive salivation, excessive drinking of water, and abnormal excreta (soft and/or mucoid feces and/or diarrhea) and increased urine pH and sodium excretion.

5.4 Use in Patients With Risk of Renal Injury (5.4 Use in Patients with Risk of Renal Injury)


Use sodium sulfate, potassium sulfate and magnesium sulfate oral solution with caution in patients with impaired renal function or patients taking concomitant medications that may affect renal function (such as diuretics, angiotensin converting enzyme inhibitors, angiotensin receptor blockers, or non-steroidal anti-inflammatory drugs) [see Drug Interactions (7.1)]. These patients may be at risk for renal injury. Advise these patients of the importance of adequate hydration with sodium sulfate, potassium sulfate and magnesium sulfate oral solution and consider performing baseline and post-colonoscopy laboratory tests (electrolytes, creatinine, and BUN) in these patients [see Use in Specific Populations (8.6)].

2.3 Recommended Dosage and Administration in Adults

The recommended Split-Dose (two-day) regimen for adultsconsists of two 6-ounce doses of sodium sulfate, potassium sulfate and magnesium sulfate oral solution: the first dose during the evening prior to colonoscopy and the second dose the next day, during the morning of the colonoscopy.

Each dose consists of one bottle of sodium sulfate, potassium sulfate and magnesium sulfate oral solution with additional water. The total volume of liquid required for colon cleansing (using two bottles) is 3 quarts. The following are recommended dosage and administration instructions for adults:



Dose 1 – On the Day Prior to Colonoscopy:



• May consume a light breakfast, or only clear liquids (no solid food).

• In the evening before the procedure, pour the contents of one bottle of sodium sulfate, potassium sulfate and magnesium sulfate oral solution into the mixing container provided.

• Add cool drinking water to the 16-ounce fill line on the container, mix, and drink the entire amount.

• Drink two additional containers filled with water to the 16-ounce fill line over the next hour.



Dose 2 - Day of Colonoscopy:



• Continue to consume only clear liquids.

• In the morning (10 to 12 hours after the evening dose) on the day of the procedure, pour the contents of the second bottle of sodium sulfate, potassium sulfate and magnesium sulfate oral solution into the mixing container provided.

• Add cool drinking water to the 16-ounce fill line on the container, mix, and drink the entire amount.

• Drink two additional containers filled with water to the 16-ounce fill line over the next hour.

• Complete all solution of sodium sulfate, potassium sulfate and magnesium sulfate oral solution and required water at least two hours prior to colonoscopy.

5.1 Serious Fluid and Serum Chemistry Abnormalities


Advise all patients to hydrate adequately before, during, and after the use of sodium sulfate, potassium sulfate and magnesium sulfate oral solution. If a patient develops significant vomiting or signs of dehydration after taking sodium sulfate, potassium sulfate and magnesium sulfate oral solution, consider performing post-colonoscopy lab tests (electrolytes, creatinine, and BUN).





Fluid and electrolyte disturbances can lead to serious adverse events including cardiac arrhythmias, seizures and renal impairment. Correct fluid and electrolyte abnormalities before treatment with sodium sulfate, potassium sulfate and magnesium sulfate oral solution. Use sodium sulfate, potassium sulfate and magnesium sulfate oral solution with caution in patients with conditions, or who are using medications, that increase the risk for fluid and electrolyte disturbances or may increase the risk of adverse events of seizure, arrhythmias, and renal impairment [see Drug Interactions (7.1)]. 

 

Sodium sulfate, potassium sulfate and magnesium sulfate oral solution can cause temporary elevations in uric acid [see Adverse Reactions (6.1)]. Uric acid fluctuations in patients with gout may precipitate an acute flare. The potential for uric acid elevation should be considered before administering sodium sulfate, potassium sulfate and magnesium sulfate oral solution to patients with gout or other disorders of uric acid metabolism.

5.5 Colonic Mucosal Ulcerations and Ischemic Colitis


Osmotic laxative products may produce colonic mucosal aphthous ulcerations, and there have been reports of more serious cases of ischemic colitis requiring hospitalization. Concurrent use of stimulant laxatives and sodium sulfate, potassium sulfate and magnesium sulfate oral solution may increase these risks [see Drug Interactions (7.3)]. Consider the potential for mucosal ulcerations resulting from the bowel preparation when interpreting colonoscopy findings in patients with known or suspect inflammatory bowel disease (IBD). 

2.2 Important Preparation and Administration Instructions

• Correct fluid and electrolyte abnormalities before treatment with sodium sulfate, potassium sulfate and magnesium sulfate oral solution [see Warnings and Precautions (5.1)]

• Must dilute sodium sulfate, potassium sulfate and magnesium sulfate oral solution in water before ingestion.

• Must consume additional water after each dose of sodium sulfate, potassium sulfate and magnesium sulfate oral solution.

• On the day before colonoscopy, consume only a light breakfast or clear liquids (e.g., water, strained fruit juice without pulp, lemonade, plain coffee or tea, chicken broth gelatin dessert without fruit). On the day of the colonoscopy only consume clear liquids up to two hours prior to colonoscopy.

• Do not eat solid food or drink milk or eat or drink anything colored red or purple.

• Do not drink alcohol.

• Do not take other laxatives while taking sodium sulfate, potassium sulfate and magnesium sulfate oral solution.

• Do not take oral medications within one hour of starting each dose of sodium sulfate, potassium sulfate and magnesium sulfate oral solution.

• If taking tetracycline or fluoroquinolone antibiotics, iron, digoxin, chlorpromazine, or penicillamine, take these medications at least 2 hours before and not less than 6 hours after administration of sodium sulfate, potassium sulfate and magnesium sulfate oral solution [see Drug Interactions (7.2)].

• Stop consumption of all fluids at least 2 hours prior to the colonoscopy.





5.6 Use in Patients With Significant Gastrointestinal Disease (5.6 Use in Patients with Significant Gastrointestinal Disease)


If gastrointestinal obstruction or perforation is suspected, perform appropriate diagnostic studies to rule out these conditions before administering sodium sulfate, potassium sulfate and magnesium sulfate oral solution [see Contraindications (4)]. 

Use with caution in patients with severe active ulcerative colitis. 

7.1 Drugs That May Increase Risk of Fluid and Electrolyte Abnormalities


Use caution when prescribing sodium sulfate, potassium sulfate and magnesium sulfate oral solution to patients taking medications that increase the risk of fluid and electrolyte disturbances or may increase the risk of adverse events of seizure, arrhythmias, and prolonged QT in the setting of fluid and electrolyte abnormalities [see Warnings and Precautions ( 5.1, 5.2, 5.3, 5.4)].


Advanced Ingredient Data


Raw Label Data

All Sections (JSON)