These Highlights Do Not Include All The Information Needed To Use Docetaxel Injection Safely And Effectively. See Full Prescribing Information For Docetaxel Injection.

These Highlights Do Not Include All The Information Needed To Use Docetaxel Injection Safely And Effectively. See Full Prescribing Information For Docetaxel Injection.
SPL v10
SPL
SPL Set ID 30077f79-341f-4618-9ec5-23b17b212fae
Route
INTRAVENOUS
Published
Effective Date 2025-09-09
Document Type 34391-3 HUMAN PRESCRIPTION DRUG LABEL

Drug Facts

Composition & Product

Active Ingredients
Docetaxel Anhydrous (20 mg)
Inactive Ingredients
Polysorbate 80 Alcohol Anhydrous Citric Acid

Identifiers & Packaging

Marketing Status
ANDA Active Since 2017-09-15

Description

Treatment-related mortality associated with docetaxel is increased in patients with abnormal liver function, in patients receiving higher doses, and in patients with non-small cell lung carcinoma and a history of prior treatment with platinum-based chemotherapy who receive docetaxel as a single agent at a dose of 100 mg/m 2 [see Warnings and Precautions ( 5.1 )] . Avoid the use of docetaxel in patients with bilirubin > upper limit of normal (ULN), or to patients with AST and/or ALT >1.5 x ULN concomitant with alkaline phosphatase >2.5 x ULN. Patients with elevations of bilirubin or abnormalities of transaminase concurrent with alkaline phosphatase are at increased risk for the development of severe neutropenia, febrile neutropenia, infections, severe thrombocytopenia, severe stomatitis, severe skin toxicity, and toxic death. Patients with isolated elevations of transaminase >1.5 x ULN also had a higher rate of febrile neutropenia. Measure bilirubin, AST or ALT, and alkaline phosphatase prior to each cycle of docetaxel [see Warnings and Precautions ( 5.2 )] . Do not administer docetaxel to patients with neutrophil counts of <1,500 cells/mm 3 . Monitor blood counts frequently as neutropenia may be severe and result in infection [see Warnings and Precautions ( 5.3 )] . Do not administer docetaxel to patients who have a history of severe hypersensitivity reactions to docetaxel or to other drugs formulated with polysorbate 80 [see Contraindications ( 4 )] . Severe hypersensitivity reactions have been reported in patients despite dexamethasone premedication. Hypersensitivity reactions require immediate discontinuation of the docetaxel infusion and administration of appropriate therapy [see Warnings and Precautions ( 5.5 )] . Severe fluid retention occurred in 6.5% (6/92) of patients despite use of dexamethasone premedication. It was characterized by one or more of the following events: poorly tolerated peripheral edema, generalized edema, pleural effusion requiring urgent drainage, dyspnea at rest, cardiac tamponade, or pronounced abdominal distention (due to ascites) [see Warnings and Precautions ( 5.6 )] .

Indications and Usage

Docetaxel Injection is a microtubule inhibitor indicated for: Breast Cancer (BC) : single agent for locally advanced or metastatic BC after chemotherapy failure; and with doxorubicin and cyclophosphamide as adjuvant treatment of operable node-positive BC ( 1.1 ) Non-small Cell Lung Cancer (NSCLC) : single agent for locally advanced or metastatic NSCLC after platinum therapy failure; and with cisplatin for unresectable, locally advanced or metastatic untreated NSCLC ( 1.2 ) Castration-Resistant Prostate Cancer (CRPC) : with prednisone in metastatic castration-resistant prostate cancer ( 1.3 ) Gastric Adenocarcinoma (GC) : with cisplatin and fluorouracil for untreated, advanced GC, including the gastroesophageal junction ( 1.4 ) Squamous Cell Carcinoma of the Head and Neck (SCCHN) : with cisplatin and fluorouracil for induction treatment of locally advanced SCCHN ( 1.5 )

Dosage and Administration

For all indications, toxicities may warrant dosage adjustments [see Dosage and Administration ( 2.7 )] . Administer in a facility equipped to manage possible complications (e.g. anaphylaxis).

Warnings and Precautions

Second primary malignancies: In patients treated with docetaxel-containing regimens, monitor for delayed AML, MDS, NHL, and renal cancer. ( 5.7 ) Cutaneous reactions: Reactions including erythema of the extremities with edema followed by desquamation may occur. Severe cutaneous adverse reactions have been reported. Severe skin toxicity may require dose adjustment or permanent treatment discontinuation. ( 5.8 ) Neurologic reactions: Reactions including paresthesia, dysesthesia, and pain may occur. Severe neurosensory symptoms require dose adjustment or discontinuation if persistent. ( 5.9 ) Eye disorders: Cystoid macular edema (CME) has been reported and requires treatment discontinuation. ( 5.10 ) Asthenia: Severe asthenia may occur and may require treatment discontinuation. ( 5.11 ) Embryo-fetal toxicity: Can cause fetal harm. Advise patients of the potential risk to a fetus and to use effective contraception. ( 5.12 , 8.1 , 8.3 ) Alcohol content: The alcohol content in a dose of docetaxel may affect the central nervous system. This may include impairment of a patient's ability to drive or use machines immediately after infusion. ( 5.13 ) Tumor lysis syndrome: Tumor lysis syndrome has been reported. Patients at risk should be well hydrated and closely monitored during treatment. ( 5.14 )

Contraindications

Docetaxel is contraindicated in patients with: neutrophil counts of <1,500 cells/mm 3 [see Warnings and Precautions ( 5.3 )]. a history of severe hypersensitivity reactions to docetaxel or to other drugs formulated with polysorbate 80. Severe reactions, including anaphylaxis, have occurred [see Warnings and Precautions ( 5.5 )] .

Adverse Reactions

The most serious adverse reactions from docetaxel are: Toxic Deaths [see Boxed Warning , Warnings and Precautions ( 5.1 )] Hepatic Impairment [see Boxed Warning , Warnings and Precautions ( 5.2 )] Hematologic Effects [see Boxed Warning , Warnings and Precautions ( 5.3 )] Enterocolitis and Neutropenic Colitis [see Warnings and Precautions ( 5.4 )] Hypersensitivity Reactions [see Boxed Warning , Warnings and Precautions ( 5.5 )] Fluid Retention [see Boxed Warning , Warnings and Precautions ( 5.6 )] Second Primary Malignancies [see Warnings and Precautions ( 5.7 )] Cutaneous Reactions [see Warnings and Precautions ( 5.8 )] Neurologic Reactions [see Warnings and Precautions ( 5.9 )] Eye Disorders [see Warnings and Precautions ( 5.10 )] Asthenia [see Warnings and Precautions ( 5.11 )] Alcohol Content [see Warnings and Precautions ( 5.13 )] The most common adverse reactions across all docetaxel indications are infections, neutropenia, anemia, febrile neutropenia, hypersensitivity, thrombocytopenia, neuropathy, dysgeusia, dyspnea, constipation, anorexia, nail disorders, fluid retention, asthenia, pain, nausea, diarrhea, vomiting, mucositis, alopecia, skin reactions, and myalgia. Incidence varies depending on the indication. Adverse reactions are described according to indication. Because clinical trials are conducted under widely varying conditions, adverse reaction rates observed in the clinical trials of a drug cannot be directly compared to rates in the clinical trials of another drug and may not reflect the rates observed in practice. Responding patients may not experience an improvement in performance status on therapy and may experience worsening. The relationship between changes in performance status, response to therapy, and treatment-related side effects has not been established.

Drug Interactions

Docetaxel is a CYP3A4 substrate. In vitro studies have shown that the metabolism of docetaxel may be modified by the concomitant administration of compounds that induce, inhibit, or are metabolized by cytochrome P450 3A4. In vivo studies showed that the exposure of docetaxel increased 2.2-fold when it was coadministered with ketoconazole, a potent inhibitor of CYP3A4. Protease inhibitors, particularly ritonavir, may increase the exposure of docetaxel. Concomitant use of docetaxel and drugs that inhibit CYP3A4 may increase exposure to docetaxel and should be avoided. In patients receiving treatment with docetaxel, close monitoring for toxicity and a docetaxel dose reduction could be considered if systemic administration of a potent CYP3A4 inhibitor cannot be avoided [see Dosage and Administration ( 2.7 ), Clinical Pharmacology ( 12.3 )].

How Supplied

One-vial Formulation Docetaxel Injection, USP is available as a nonaqueous solution as follows: NDC Docetaxel Injection, USP (20 mg per mL) Package Factor 25021-245-01 20 mg per mL Single-Dose Vial 1 vial per carton 25021-245-04 80 mg per 4 mL Single-Dose Vial 1 vial per carton Docetaxel Injection, USP 20 mg per 1 mL: 20 mg docetaxel in 1 mL 50/50 (v/v) ratio polysorbate 80/dehydrated alcohol. The vial is in a blister pack in one carton. Docetaxel Injection, USP 80 mg per 4 mL: 80 mg docetaxel in 4 mL 50/50 (v/v) ratio polysorbate 80/dehydrated alcohol. The vial is in a blister pack in one carton.


Medication Information

Warnings and Precautions

Second primary malignancies: In patients treated with docetaxel-containing regimens, monitor for delayed AML, MDS, NHL, and renal cancer. ( 5.7 ) Cutaneous reactions: Reactions including erythema of the extremities with edema followed by desquamation may occur. Severe cutaneous adverse reactions have been reported. Severe skin toxicity may require dose adjustment or permanent treatment discontinuation. ( 5.8 ) Neurologic reactions: Reactions including paresthesia, dysesthesia, and pain may occur. Severe neurosensory symptoms require dose adjustment or discontinuation if persistent. ( 5.9 ) Eye disorders: Cystoid macular edema (CME) has been reported and requires treatment discontinuation. ( 5.10 ) Asthenia: Severe asthenia may occur and may require treatment discontinuation. ( 5.11 ) Embryo-fetal toxicity: Can cause fetal harm. Advise patients of the potential risk to a fetus and to use effective contraception. ( 5.12 , 8.1 , 8.3 ) Alcohol content: The alcohol content in a dose of docetaxel may affect the central nervous system. This may include impairment of a patient's ability to drive or use machines immediately after infusion. ( 5.13 ) Tumor lysis syndrome: Tumor lysis syndrome has been reported. Patients at risk should be well hydrated and closely monitored during treatment. ( 5.14 )

Indications and Usage

Docetaxel Injection is a microtubule inhibitor indicated for: Breast Cancer (BC) : single agent for locally advanced or metastatic BC after chemotherapy failure; and with doxorubicin and cyclophosphamide as adjuvant treatment of operable node-positive BC ( 1.1 ) Non-small Cell Lung Cancer (NSCLC) : single agent for locally advanced or metastatic NSCLC after platinum therapy failure; and with cisplatin for unresectable, locally advanced or metastatic untreated NSCLC ( 1.2 ) Castration-Resistant Prostate Cancer (CRPC) : with prednisone in metastatic castration-resistant prostate cancer ( 1.3 ) Gastric Adenocarcinoma (GC) : with cisplatin and fluorouracil for untreated, advanced GC, including the gastroesophageal junction ( 1.4 ) Squamous Cell Carcinoma of the Head and Neck (SCCHN) : with cisplatin and fluorouracil for induction treatment of locally advanced SCCHN ( 1.5 )

Dosage and Administration

For all indications, toxicities may warrant dosage adjustments [see Dosage and Administration ( 2.7 )] . Administer in a facility equipped to manage possible complications (e.g. anaphylaxis).

Contraindications

Docetaxel is contraindicated in patients with: neutrophil counts of <1,500 cells/mm 3 [see Warnings and Precautions ( 5.3 )]. a history of severe hypersensitivity reactions to docetaxel or to other drugs formulated with polysorbate 80. Severe reactions, including anaphylaxis, have occurred [see Warnings and Precautions ( 5.5 )] .

Adverse Reactions

The most serious adverse reactions from docetaxel are: Toxic Deaths [see Boxed Warning , Warnings and Precautions ( 5.1 )] Hepatic Impairment [see Boxed Warning , Warnings and Precautions ( 5.2 )] Hematologic Effects [see Boxed Warning , Warnings and Precautions ( 5.3 )] Enterocolitis and Neutropenic Colitis [see Warnings and Precautions ( 5.4 )] Hypersensitivity Reactions [see Boxed Warning , Warnings and Precautions ( 5.5 )] Fluid Retention [see Boxed Warning , Warnings and Precautions ( 5.6 )] Second Primary Malignancies [see Warnings and Precautions ( 5.7 )] Cutaneous Reactions [see Warnings and Precautions ( 5.8 )] Neurologic Reactions [see Warnings and Precautions ( 5.9 )] Eye Disorders [see Warnings and Precautions ( 5.10 )] Asthenia [see Warnings and Precautions ( 5.11 )] Alcohol Content [see Warnings and Precautions ( 5.13 )] The most common adverse reactions across all docetaxel indications are infections, neutropenia, anemia, febrile neutropenia, hypersensitivity, thrombocytopenia, neuropathy, dysgeusia, dyspnea, constipation, anorexia, nail disorders, fluid retention, asthenia, pain, nausea, diarrhea, vomiting, mucositis, alopecia, skin reactions, and myalgia. Incidence varies depending on the indication. Adverse reactions are described according to indication. Because clinical trials are conducted under widely varying conditions, adverse reaction rates observed in the clinical trials of a drug cannot be directly compared to rates in the clinical trials of another drug and may not reflect the rates observed in practice. Responding patients may not experience an improvement in performance status on therapy and may experience worsening. The relationship between changes in performance status, response to therapy, and treatment-related side effects has not been established.

Drug Interactions

Docetaxel is a CYP3A4 substrate. In vitro studies have shown that the metabolism of docetaxel may be modified by the concomitant administration of compounds that induce, inhibit, or are metabolized by cytochrome P450 3A4. In vivo studies showed that the exposure of docetaxel increased 2.2-fold when it was coadministered with ketoconazole, a potent inhibitor of CYP3A4. Protease inhibitors, particularly ritonavir, may increase the exposure of docetaxel. Concomitant use of docetaxel and drugs that inhibit CYP3A4 may increase exposure to docetaxel and should be avoided. In patients receiving treatment with docetaxel, close monitoring for toxicity and a docetaxel dose reduction could be considered if systemic administration of a potent CYP3A4 inhibitor cannot be avoided [see Dosage and Administration ( 2.7 ), Clinical Pharmacology ( 12.3 )].

How Supplied

One-vial Formulation Docetaxel Injection, USP is available as a nonaqueous solution as follows: NDC Docetaxel Injection, USP (20 mg per mL) Package Factor 25021-245-01 20 mg per mL Single-Dose Vial 1 vial per carton 25021-245-04 80 mg per 4 mL Single-Dose Vial 1 vial per carton Docetaxel Injection, USP 20 mg per 1 mL: 20 mg docetaxel in 1 mL 50/50 (v/v) ratio polysorbate 80/dehydrated alcohol. The vial is in a blister pack in one carton. Docetaxel Injection, USP 80 mg per 4 mL: 80 mg docetaxel in 4 mL 50/50 (v/v) ratio polysorbate 80/dehydrated alcohol. The vial is in a blister pack in one carton.

Description

Treatment-related mortality associated with docetaxel is increased in patients with abnormal liver function, in patients receiving higher doses, and in patients with non-small cell lung carcinoma and a history of prior treatment with platinum-based chemotherapy who receive docetaxel as a single agent at a dose of 100 mg/m 2 [see Warnings and Precautions ( 5.1 )] . Avoid the use of docetaxel in patients with bilirubin > upper limit of normal (ULN), or to patients with AST and/or ALT >1.5 x ULN concomitant with alkaline phosphatase >2.5 x ULN. Patients with elevations of bilirubin or abnormalities of transaminase concurrent with alkaline phosphatase are at increased risk for the development of severe neutropenia, febrile neutropenia, infections, severe thrombocytopenia, severe stomatitis, severe skin toxicity, and toxic death. Patients with isolated elevations of transaminase >1.5 x ULN also had a higher rate of febrile neutropenia. Measure bilirubin, AST or ALT, and alkaline phosphatase prior to each cycle of docetaxel [see Warnings and Precautions ( 5.2 )] . Do not administer docetaxel to patients with neutrophil counts of <1,500 cells/mm 3 . Monitor blood counts frequently as neutropenia may be severe and result in infection [see Warnings and Precautions ( 5.3 )] . Do not administer docetaxel to patients who have a history of severe hypersensitivity reactions to docetaxel or to other drugs formulated with polysorbate 80 [see Contraindications ( 4 )] . Severe hypersensitivity reactions have been reported in patients despite dexamethasone premedication. Hypersensitivity reactions require immediate discontinuation of the docetaxel infusion and administration of appropriate therapy [see Warnings and Precautions ( 5.5 )] . Severe fluid retention occurred in 6.5% (6/92) of patients despite use of dexamethasone premedication. It was characterized by one or more of the following events: poorly tolerated peripheral edema, generalized edema, pleural effusion requiring urgent drainage, dyspnea at rest, cardiac tamponade, or pronounced abdominal distention (due to ascites) [see Warnings and Precautions ( 5.6 )] .

Section 42229-5

Induction Chemotherapy Followed by Radiotherapy (TAX323)

For the induction treatment of locally advanced inoperable SCCHN, the recommended dose of docetaxel injection is 75 mg/m2 as a 1 hour intravenous infusion followed by cisplatin 75 mg/m2 intravenously over 1 hour, on day one, followed by fluorouracil as a continuous intravenous infusion at 750 mg/m2 per day for five days. This regimen is administered every 3 weeks for 4 cycles. Following chemotherapy, patients should receive radiotherapy [see Dosage and Administration (2.7)].

Section 42230-3
Patient Information

Docetaxel (doe” se tax' el) Injection

for intravenous use

What is the most important information I should know about Docetaxel Injection?

Docetaxel Injection can cause serious side effects, including death.



  • The chance of death in people who receive Docetaxel Injection is higher if you:
    • have liver problems
    • receive high doses of Docetaxel Injection
    • have non-small cell lung cancer and have been treated with chemotherapy medicines that contain platinum
  • Docetaxel Injection can affect your blood cells. Your healthcare provider should do routine blood tests during treatment with Docetaxel Injection. This will include regular checks of your white blood cell counts. If your white blood cells are too low, your healthcare provider may not treat you with Docetaxel Injection until you have enough white blood cells. People with low white blood cell counts can develop life-threatening infections. The earliest sign of infection may be fever. Follow your healthcare provider's instructions for how often to take your temperature during treatment with Docetaxel Injection. Call your healthcare provider right away if you have a fever.
  • Swelling (inflammation) of the small intestine and colon. This can happen at any time during treatment and could lead to death as early as the first day you get symptoms. Tell your healthcare provider right away if you develop new or worse symptoms of intestinal problems, including stomach (abdominal) pain or tenderness or diarrhea, with or without fever.
  • Severe allergic reactions are medical emergencies that can happen in people who receive Docetaxel Injection and can lead to death. You may be at higher risk of developing a severe allergic reaction to Docetaxel Injection if you are allergic to paclitaxel. Your healthcare provider will monitor you closely for allergic reactions during your Docetaxel Injection infusion.

    Tell your healthcare provider right away if you have any of these signs of a severe allergic reaction:

    • trouble breathing
    • sudden swelling of your face, lips, tongue, throat, or trouble swallowing
    • hives (raised bumps), rash, or redness all over your body
  • Your body may hold too much fluid (severe fluid retention) during treatment with Docetaxel Injection. This can be life threatening. To decrease the chance of this happening, you must take another medicine, a corticosteroid, before each Docetaxel Injection treatment. You must take the corticosteroid exactly as your healthcare provider tells you. Tell your healthcare provider or nurse before your Docetaxel Injection treatment if you forgot to take your corticosteroid dose or do not take it as your healthcare provider tells you. Tell your healthcare provider right away if you have swelling in your legs or feet, weight gain or shortness of breath.
  • Risk of new cancers. An increase in new (second) cancers has happened in people treated with Docetaxel Injection together with certain other anticancer treatments. This includes certain blood cancers, such as acute myeloid leukemia (AML), myelodysplastic syndrome (MDS), non-Hodgkin's Lymphoma (NHL), and kidney cancer.
    • Changes in blood counts due to leukemia and other blood disorders may occur years after treatment with Docetaxel Injection.

    Your healthcare provider will check you for new cancers during and after your treatment with Docetaxel Injection.
  • Severe skin problems.

    Tell your healthcare provider right away if you have any of these signs of a severe skin reaction:

    • redness and swelling of your arms and legs.
    • blistering, peeling, or bleeding on any part of your skin (including your lips, eyes, mouth, nose, genitals, hands or feet) with or without a rash. You may also have flu-like symptoms such as fever, chills, or muscle aches.
    • red, scaly rash all over your body with blisters, small red or white bumps under the skin that contain pus (pustules), and fever.
What is Docetaxel Injection?

Docetaxel Injection is a prescription anticancer medicine used to treat certain people with:

  • breast cancer
  • non-small cell lung cancer
  • prostate cancer
  • stomach cancer
  • head and neck cancer

It is not known if Docetaxel Injection is effective in children.

Do not receive Docetaxel Injection if you:

  • have a low white blood cell count.
  • have had a severe allergic reaction to:
    • docetaxel, the active ingredient in Docetaxel Injection, or
    • any other medicines that contain polysorbate 80. Ask your healthcare provider or pharmacist if you are not sure.
See “ What is the most important information I should know about Docetaxel Injection? ” for the signs and symptoms of a severe allergic reaction.

See the end of this Patient Information for a complete list of the ingredients in Docetaxel Injection.

Before you receive Docetaxel Injection, tell your healthcare provider about all of your medical conditions, including if you:

  • are allergic to any medicines, including paclitaxel. See “ Do not receive Docetaxel Injection if you ”.
  • have liver problems
  • have kidney problems
  • are pregnant or plan to become pregnant. Docetaxel Injection can harm your unborn baby. You should not become pregnant during treatment with Docetaxel Injection. Tell your healthcare provider if you become pregnant or you think you may be pregnant during treatment with Docetaxel Injection.

    Females who are able to become pregnant:

    • Your healthcare provider will check to see if you are pregnant before you start treatment with Docetaxel Injection.
    • You should use effective birth control (contraception) during treatment with Docetaxel Injection and for 2 months after the last dose.
    Males with female partners who are able to become pregnant should use effective birth control during treatment with Docetaxel Injection and for 4 months after the last dose.

    Talk to your healthcare provider if you have questions about birth control options that are right for you.

  • are breastfeeding or plan to breastfeed. It is not known if Docetaxel Injection passes into your breast milk. Do not breastfeed during treatment with Docetaxel Injection and for 1 week after the last dose.
Tell your healthcare provider about all the medicines you take, including prescription and over-the–counter medicines, vitamins, and herbal supplements. Docetaxel Injection may affect the way other medicines work, and other medicines may affect the way Docetaxel Injection works.

Know the medicines you take. Keep a list of them to show your healthcare provider and pharmacist when you get a new medicine.

How will I receive Docetaxel Injection?

  • Docetaxel Injection will be given to you as an intravenous (IV) injection into your vein, usually over 1 hour.
  • Docetaxel Injection is usually given every 3 weeks.
  • Your healthcare provider will decide how long you will receive treatment with Docetaxel Injection.
  • Your healthcare provider will check your blood cell counts and other blood tests during your treatment with Docetaxel Injection to check for side effects of Docetaxel Injection.
  • Your healthcare provider may stop your treatment, change the timing of your treatment, or change the dose of your treatment if you have certain side effects while receiving Docetaxel Injection.
What are the possible side effects of Docetaxel Injection?

Docetaxel Injection may cause serious side effects including death.

  • See What is the most important information I should know about Docetaxel Injection?
  • Neurologic problems. Neurologic symptoms are common in people who receive Docetaxel Injection but can be severe. Tell your healthcare provider right away if you have numbness, tingling, or burning in your hands or feet (peripheral neuropathy) or weakness of your legs, feet, arms, or hands (motor weakness).
  • Vision problems including blurred vision or loss of vision. Tell your healthcare provider right away if you have any vision changes.
  • Docetaxel Injection contains alcohol. The alcohol content in Docetaxel Injection may impair your ability to drive or use machinery right after receiving Docetaxel Injection. Consider whether you should drive, operate machinery or do other dangerous activities right after you receive Docetaxel Injection treatment.
  • Tumor lysis syndrome (TLS). TLS is caused by the fast breakdown of cancer cells. TLS can cause kidney failure, the need for dialysis treatment, or heart problems, and may lead to death. Your healthcare provider will do blood tests to check for TLS when you first start treatment and during treatment with Docetaxel Injection. Tell your healthcare provider right away if you have any symptoms of TLS during treatment with Docetaxel Injection, including:
  • nausea
  • vomiting
  • confusion
  • shortness of breath
  • irregular heartbeat
  • dark or cloudy urine
  • reduced amount of urine
  • unusual tiredness
  • muscle cramps
  • You may experience side effects of this medicine that may impair your ability to drive, use tools, or operate machines. If this happens, do not drive or use any tools or machines before discussing with your healthcare provider.
The most common side effects of Docetaxel Injection include:
  • infections
  • low white blood cells (help fight infections), low red blood cells (anemia) and low platelets (help blood to clot)
  • allergic reactions (See What is the most important information I should know about Docetaxel Injection?)
  • changes in your sense of taste
  • shortness of breath
  • constipation
  • decreased appetite
  • changes in your fingernails or toenails
  • swelling of your hands, face or feet
  • feeling weak or tired
  • joint and muscle pain
  • nausea and vomiting
  • diarrhea
  • mouth or lip sores
  • hair loss: in some people, permanent hair loss has been reported
  • redness of the eye, excess tearing
  • skin reactions at the site of Docetaxel Injection administration such as increased skin pigmentation, redness, tenderness, swelling, warmth or dryness of the skin
  • tissue damage if Docetaxel Injection leaks out of the vein into the tissues
Tell your healthcare provider if you have a fast or irregular heartbeat, severe shortness of breath, dizziness or fainting during your infusion. If any of these events occur after your infusion, get medical help right away.

Docetaxel Injection may affect fertility in males. Talk to your healthcare provider if this is a concern for you.

These are not all of the possible side effects of Docetaxel Injection. For more information, ask your healthcare provider or pharmacist.

Call your healthcare provider for medical advice about side effects. You may report side effects to FDA at 1-800-FDA-1088.

General information about the safe and effective use of Docetaxel Injection

Medicines are sometimes prescribed for purposes other than those listed in this Patient Information. You can ask your pharmacist or healthcare provider for information about Docetaxel Injection that is written for health professionals.
What are the ingredients in Docetaxel Injection?

Active ingredient: docetaxel

Inactive ingredients: polysorbate 80 and dehydrated alcohol solution, with citric acid for pH adjustment.

This Patient Information has been approved by the U.S. Food and Drug Administration.

Every three-week injection of Docetaxel Injection for breast, non-small cell lung and stomach, and head and neck cancers

Take your oral corticosteroid medicine as your healthcare provider tells you.
Oral corticosteroid dosing:
Day 1 Date: ________ Time:_____ AM ______ PM

Day 2 Date: ________ Time:_____ AM ______ PM

(Docetaxel Injection Treatment Day)

Day 3 Date: ________ Time:_____ AM ______ PM
Every three-week injection of Docetaxel Injection for prostate cancer

Take your oral corticosteroid medicine as your healthcare provider tells you.
Oral corticosteroid dosing:
Date: _________ Time: ________
Date: _________ Time: ________
(Docetaxel Injection Treatment Day)
Time: ________

sagent ®

Mfd. for SAGENT Pharmaceuticals

Schaumburg, IL 60173 (USA)

Made in China

©2025 Sagent Pharmaceuticals

Revised: May 2025

Section 51945-4

PACKAGE LABEL – PRINCIPAL DISPLAY PANEL – Vial Label

NDC 25021-245-01

Rx only

Docetaxel Injection, USP

20 mg per mL

1 mL single dose vial

For Intravenous Infusion Only

Ready to add to infusion solution.

See package insert for complete instructions.

Warning: Cytotoxic Agent

16.2 Storage

Store between 2° and 25°C (36° and 77°F). Freezing does not adversely affect the product.

Protect from light. Retain in carton until time of use.

10 Overdosage

There is no known antidote for docetaxel overdosage. In case of overdosage, the patient should be kept in a specialized unit where vital functions can be closely monitored. Anticipated complications of overdosage include: bone marrow suppression, peripheral neurotoxicity, and mucositis. Patients should receive therapeutic G-CSF as soon as possible after discovery of overdose. Other appropriate symptomatic measures should be taken, as needed.

In two reports of overdose, one patient received 150 mg/m2 and the other received 200 mg/m2 as 1-hour infusions. Both patients experienced severe neutropenia, mild asthenia, cutaneous reactions, and mild paresthesia, and recovered without incident.

In mice, lethality was observed following single intravenous doses that were ≥154 mg/kg (about 4.5 times the human dose of 100 mg/m2 on a mg/m2 basis); neurotoxicity associated with paralysis, non-extension of hind limbs, and myelin degeneration was observed in mice at 48 mg/kg (about 1.5 times the human dose of 100 mg/m2 basis). In male and female rats, lethality was observed at a dose of 20 mg/kg (comparable to the human dose of 100 mg/m2 on a mg/m2 basis) and was associated with abnormal mitosis and necrosis of multiple organs.

15 References
  • “OSHA Hazardous Drugs.” http://www.osha.gov/SLTC/hazardousdrugs/index.html
5.11 Asthenia

Severe asthenia has been reported in 14.9% (144/965) of metastatic breast cancer patients but has led to treatment discontinuation in only 1.8%. Symptoms of fatigue and weakness may last a few days up to several weeks and may be associated with deterioration of performance status in patients with progressive disease.

11 Description

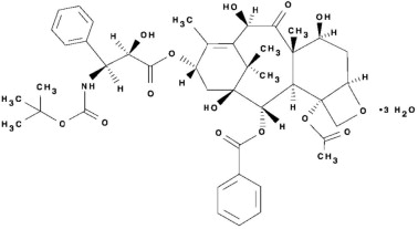
Docetaxel is an antineoplastic agent belonging to the taxoid family. It is prepared by semisynthesis beginning with a precursor extracted from the renewable needle biomass of yew plants. The chemical name for docetaxel is (2R,3S)-N-carboxy-3-phenylisoserine,N-tert-butyl ester, 13-ester with 5β-20-epoxy-1,2α,4,7β,10β,13α-hexahydroxytax-11-en-9-one 4-acetate 2-benzoate, trihydrate. Docetaxel has the following structural formula:

Docetaxel is a white to almost-white powder with an empirical formula of C43H53NO14•3H2O, and a molecular weight of 861.9. It is highly lipophilic and practically insoluble in water.

2.10 Stability

Docetaxel injection final dilution for infusion, if stored between 2°C and 25°C (36°F and 77°F) is stable for 6 hours. Docetaxel injection final dilution for infusion (in either 0.9% Sodium Chloride solution or 5% Dextrose solution) should be used within 6 hours (including the 1 hour intravenous administration).

In addition, physical and chemical in-use stability of the infusion solution prepared as recommended has been demonstrated in non-PVC bags up to 48 hours when stored between 2°C and 8°C (36°F and 46°F).

1.1 Breast Cancer

Docetaxel Injection is indicated for the treatment of patients with locally advanced or metastatic breast cancer after failure of prior chemotherapy.

Docetaxel Injection in combination with doxorubicin and cyclophosphamide is indicated for the adjuvant treatment of patients with operable node-positive breast cancer.

16.1 How Supplied

One-vial Formulation Docetaxel Injection, USP is available as a nonaqueous solution as follows:

NDC Docetaxel Injection, USP (20 mg per mL) Package Factor
25021-245-01 20 mg per mL Single-Dose Vial 1 vial per carton
25021-245-04 80 mg per 4 mL Single-Dose Vial 1 vial per carton

Docetaxel Injection, USP 20 mg per 1 mL: 20 mg docetaxel in 1 mL 50/50 (v/v) ratio polysorbate 80/dehydrated alcohol.

The vial is in a blister pack in one carton.

Docetaxel Injection, USP 80 mg per 4 mL: 80 mg docetaxel in 4 mL 50/50 (v/v) ratio polysorbate 80/dehydrated alcohol.

The vial is in a blister pack in one carton.

2.1 Breast Cancer
  • For locally advanced or metastatic breast cancer after failure of prior chemotherapy, the recommended dose of docetaxel injection is 60 mg/m2 to 100 mg/m2 administered intravenously over 1 hour every 3 weeks.
  • For the adjuvant treatment of operable node-positive breast cancer, the recommended docetaxel injection dose is 75 mg/m2 administered 1 hour after doxorubicin 50 mg/m2 and cyclophosphamide 500 mg/m2 every 3 weeks for 6 courses. Prophylactic G-CSF may be used to mitigate the risk of hematological toxicities [see Dosage and Administration (2.7)].
8.4 Pediatric Use

The alcohol content of docetaxel should be taken into account when given to pediatric patients [see Warnings and Precautions (5.13)].

The efficacy of docetaxel in pediatric patients as monotherapy or in combination has not been established. The overall safety profile of docetaxel in pediatric patients receiving monotherapy or TCF was consistent with the known safety profile in adults.

Docetaxel has been studied in a total of 289 pediatric patients: 239 in 2 trials with monotherapy and 50 in combination treatment with cisplatin and 5-fluorouracil (TCF).

8.5 Geriatric Use

In general, dose selection for an elderly patient should be cautious, reflecting the greater frequency of decreased hepatic, renal, or cardiac function and of concomitant disease or other drug therapy in elderly patients.

5.10 Eye Disorders

Cystoid macular edema (CME) has been reported in patients treated with docetaxel. Patients with impaired vision should undergo a prompt and comprehensive ophthalmologic examination. If CME is diagnosed, docetaxel treatment should be discontinued and appropriate treatment initiated. Alternative non-taxane cancer treatment should be considered.

1.3 Prostate Cancer

Docetaxel Injection in combination with prednisone is indicated for the treatment of patients with metastatic castration-resistant prostate cancer.

2.3 Prostate Cancer
  • For metastatic castration-resistant prostate cancer, the recommended dose of docetaxel injection is 75 mg/m2 every 3 weeks as a 1 hour intravenous infusion. Prednisone 5 mg orally twice daily is administered continuously [see Dosage and Administration (2.7)].
4 Contraindications

Docetaxel is contraindicated in patients with:

  • neutrophil counts of <1,500 cells/mm3 [see Warnings and Precautions (5.3)].
  • a history of severe hypersensitivity reactions to docetaxel or to other drugs formulated with polysorbate 80. Severe reactions, including anaphylaxis, have occurred [see Warnings and Precautions (5.5)].
5.6 Fluid Retention

Severe fluid retention has been reported following docetaxel therapy. Patients should be premedicated with oral corticosteroids prior to each docetaxel administration to reduce the incidence and severity of fluid retention [see Dosage and Administration (2.6)]. Patients with pre-existing effusions should be closely monitored from the first dose for the possible exacerbation of the effusions.

When fluid retention occurs, peripheral edema usually starts in the lower extremities and may become generalized with a median weight gain of 2 kg.

Among 92 breast cancer patients premedicated with 3-day corticosteroids, moderate fluid retention occurred in 27.2% and severe fluid retention in 6.5%. The median cumulative dose to onset of moderate or severe fluid retention was 819 mg/m2. Nine of 92 patients (9.8%) of patients discontinued treatment due to fluid retention: 4 patients discontinued with severe fluid retention; the remaining 5 had mild or moderate fluid retention. The median cumulative dose to treatment discontinuation due to fluid retention was 1,021 mg/m2. Fluid retention was completely, but sometimes slowly, reversible with a median of 16 weeks from the last infusion of docetaxel to resolution (range: 0 to 42+ weeks). Patients developing peripheral edema may be treated with standard measures, e.g., salt restriction, oral diuretic(s).

6 Adverse Reactions

The most serious adverse reactions from docetaxel are:

  • Toxic Deaths [see Boxed Warning, Warnings and Precautions (5.1)]
  • Hepatic Impairment [see Boxed Warning, Warnings and Precautions (5.2)]
  • Hematologic Effects [see Boxed Warning, Warnings and Precautions (5.3)]
  • Enterocolitis and Neutropenic Colitis [see Warnings and Precautions (5.4)]
  • Hypersensitivity Reactions [see Boxed Warning, Warnings and Precautions (5.5)]
  • Fluid Retention [see Boxed Warning, Warnings and Precautions (5.6)]
  • Second Primary Malignancies [see Warnings and Precautions (5.7)]
  • Cutaneous Reactions [see Warnings and Precautions (5.8)]
  • Neurologic Reactions [see Warnings and Precautions (5.9)]
  • Eye Disorders [see Warnings and Precautions (5.10)]
  • Asthenia [see Warnings and Precautions (5.11)]
  • Alcohol Content [see Warnings and Precautions (5.13)]

The most common adverse reactions across all docetaxel indications are infections, neutropenia, anemia, febrile neutropenia, hypersensitivity, thrombocytopenia, neuropathy, dysgeusia, dyspnea, constipation, anorexia, nail disorders, fluid retention, asthenia, pain, nausea, diarrhea, vomiting, mucositis, alopecia, skin reactions, and myalgia. Incidence varies depending on the indication.

Adverse reactions are described according to indication. Because clinical trials are conducted under widely varying conditions, adverse reaction rates observed in the clinical trials of a drug cannot be directly compared to rates in the clinical trials of another drug and may not reflect the rates observed in practice.

Responding patients may not experience an improvement in performance status on therapy and may experience worsening. The relationship between changes in performance status, response to therapy, and treatment-related side effects has not been established.

7 Drug Interactions

Docetaxel is a CYP3A4 substrate. In vitro studies have shown that the metabolism of docetaxel may be modified by the concomitant administration of compounds that induce, inhibit, or are metabolized by cytochrome P450 3A4.

In vivo studies showed that the exposure of docetaxel increased 2.2-fold when it was coadministered with ketoconazole, a potent inhibitor of CYP3A4. Protease inhibitors, particularly ritonavir, may increase the exposure of docetaxel. Concomitant use of docetaxel and drugs that inhibit CYP3A4 may increase exposure to docetaxel and should be avoided. In patients receiving treatment with docetaxel, close monitoring for toxicity and a docetaxel dose reduction could be considered if systemic administration of a potent CYP3A4 inhibitor cannot be avoided [see Dosage and Administration (2.7), Clinical Pharmacology (12.3)].

5.13 Alcohol Content

Cases of intoxication have been reported with some formulations of docetaxel due to the alcohol content. The alcohol content in a dose of docetaxel may affect the central nervous system and should be taken into account for patients in whom alcohol intake should be avoided or minimized. Consideration should be given to the alcohol content in docetaxel on the ability to drive or use machines immediately after the infusion. Each administration of docetaxel at 100 mg/m2 delivers 2.0 g/m2 of ethanol. For a patient with a BSA of 2.0 m2, this would deliver 4.0 grams of ethanol [see Description (11)]. Other docetaxel products may have a different amount of alcohol.

5.2 Hepatic Impairment

Patients with elevations of bilirubin or abnormalities of transaminase concurrent with alkaline phosphatase are at increased risk for the development of severe neutropenia, febrile neutropenia, infections, severe thrombocytopenia, severe stomatitis, severe skin toxicity, and toxic death.

Avoid docetaxel in patients with bilirubin > upper limit of normal (ULN), or to patients with AST and/or ALT >1.5 × ULN concomitant with alkaline phosphatase >2.5 × ULN [see Warnings and Precautions (5.1)].

For patients with isolated elevations of transaminase >1.5 × ULN, consider docetaxel dose modifications [see Dosage and Administration (2.7)].

Measure bilirubin, AST or ALT, and alkaline phosphatase prior to each cycle of docetaxel therapy.

8.6 Hepatic Impairment

Avoid docetaxel in patients with bilirubin >ULN and patients with AST and/or ALT >1.5 x ULN concomitant with alkaline phosphatase >2.5 x ULN [see Boxed Warning, Warnings and Precautions (5.2), Clinical Pharmacology (12.3)].

The alcohol content of docetaxel should be taken into account when given to patients with hepatic impairment [see Warnings and Precautions (5.13)].

1 Indications and Usage

Docetaxel Injection is a microtubule inhibitor indicated for:

  • Breast Cancer (BC): single agent for locally advanced or metastatic BC after chemotherapy failure; and with doxorubicin and cyclophosphamide as adjuvant treatment of operable node-positive BC (1.1)
  • Non-small Cell Lung Cancer (NSCLC): single agent for locally advanced or metastatic NSCLC after platinum therapy failure; and with cisplatin for unresectable, locally advanced or metastatic untreated NSCLC (1.2)
  • Castration-Resistant Prostate Cancer (CRPC): with prednisone in metastatic castration-resistant prostate cancer (1.3)
  • Gastric Adenocarcinoma (GC): with cisplatin and fluorouracil for untreated, advanced GC, including the gastroesophageal junction (1.4)
  • Squamous Cell Carcinoma of the Head and Neck (SCCHN): with cisplatin and fluorouracil for induction treatment of locally advanced SCCHN (1.5)
5.3 Hematologic Effects

Perform frequent peripheral blood cell counts on all patients receiving docetaxel. Do not retreat patients with subsequent cycles of docetaxel until neutrophils recover to a level >1,500 cells/mm3 [see Contraindications (4)]. Avoid retreating patients until platelets recover to a level >100,000 cells/mm3.

A 25% reduction in the dose of docetaxel is recommended during subsequent cycles following severe neutropenia (<500 cells/mm3) lasting 7 days or more, febrile neutropenia, or a grade 4 infection in a docetaxel cycle [see Dosage and Administration (2.7)].

Neutropenia (<2,000 neutrophils/mm3) occurs in virtually all patients given 60 mg/m2 to 100 mg/m2 of docetaxel and grade 4 neutropenia (<500 cells/mm3) occurs in 85% of patients given 100 mg/m2 and 75% of patients given 60 mg/m2. Frequent monitoring of blood counts is, therefore, essential so that dose can be adjusted. Docetaxel should not be administered to patients with neutrophils <1,500 cells/mm3.

Febrile neutropenia occurred in about 12% of patients given 100 mg/m2 but was very uncommon in patients given 60 mg/m2. Hematologic responses, febrile reactions and infections, and rates of septic death for different regimens are dose related [see Adverse Reactions (6.1), Clinical Studies (14)].

Three breast cancer patients with severe liver impairment (bilirubin >1.7 times ULN) developed fatal gastrointestinal bleeding associated with severe drug-induced thrombocytopenia. In gastric cancer patients treated with docetaxel in combination with cisplatin and fluorouracil (TCF), febrile neutropenia and/or neutropenic infection occurred in 12% of patients receiving G-CSF compared to 28% who did not. Patients receiving TCF should be closely monitored during the first and subsequent cycles for febrile neutropenia and neutropenic infection [see Dosage and Administration (2.7), Adverse Reactions (6)].

5.8 Cutaneous Reactions

Localized erythema of the extremities with edema followed by desquamation has been observed. In case of severe skin toxicity, an adjustment in dosage is recommended [see Dosage and Administration (2.7)]. The discontinuation rate due to skin toxicity was 1.6% (15/965) for metastatic breast cancer patients. Among 92 breast cancer patients premedicated with 3-day corticosteroids, there were no cases of severe skin toxicity reported and no patient discontinued docetaxel due to skin toxicity.

Severe cutaneous adverse reactions (SCARs) such as Stevens-Johnson syndrome (SJS), toxic epidermal necrolysis (TEN), and acute generalized exanthematous pustulosis (AGEP) have been reported in association with docetaxel treatment. Patients should be informed about the signs and symptoms of serious skin manifestations and monitored closely. Permanent treatment discontinuation should be considered in patients who experience SCARs.

1.5 Head and Neck Cancer

Docetaxel Injection in combination with cisplatin and fluorouracil is indicated for the induction treatment of patients with locally advanced squamous cell carcinoma of the head and neck (SCCHN).

12.1 Mechanism of Action

Docetaxel is an antineoplastic agent that acts by disrupting the microtubular network in cells that is essential for mitotic and interphase cellular functions. Docetaxel binds to free tubulin and promotes the assembly of tubulin into stable microtubules while simultaneously inhibiting their disassembly. This leads to the production of microtubule bundles without normal function and to the stabilization of microtubules, which results in the inhibition of mitosis in cells. Docetaxel's binding to microtubules does not alter the number of protofilaments in the bound microtubules, a feature which differs from most spindle poisons currently in clinical use.

2.5 Head and Neck Cancer

Patients must receive premedication with antiemetics, and appropriate hydration (prior to and after cisplatin administration). Prophylaxis for neutropenic infections should be administered. All patients treated on the docetaxel injection containing arms of the TAX323 and TAX324 studies received prophylactic antibiotics.

5.9 Neurologic Reactions

Severe neurosensory symptoms (e.g. paresthesia, dysesthesia, pain) were observed in 5.5% (53/965) of metastatic breast cancer patients, and resulted in treatment discontinuation in 6.1%. When these symptoms occur, dosage must be adjusted. If symptoms persist, treatment should be discontinued [see Dosage and Administration (2.7)]. Patients who experienced neurotoxicity in clinical trials and for whom follow-up information on the complete resolution of the event was available had spontaneous reversal of symptoms with a median of 9 weeks from onset (range: 0 to 106 weeks). Severe peripheral motor neuropathy mainly manifested as distal extremity weakness occurred in 4.4% (42/965).

2.6 Premedication Regimen

All patients should be premedicated with oral corticosteroids (see below for prostate cancer) such as dexamethasone 16 mg per day (e.g., 8 mg twice daily) for 3 days starting 1 day prior to docetaxel injection administration in order to reduce the incidence and severity of fluid retention as well as the severity of hypersensitivity reactions [see Boxed Warning, Warnings and Precautions (5.5)].

For metastatic castration-resistant prostate cancer, given the concurrent use of prednisone, the recommended premedication regimen is oral dexamethasone 8 mg at 12 hours, 3 hours, and 1 hour before the docetaxel injection infusion [see Warnings and Precautions (5.5)].

5.14 Tumor Lysis Syndrome

Tumor lysis syndrome has been reported with docetaxel [see Adverse Reactions (6.2)]. Patients at risk of tumor lysis syndrome (e.g., with renal impairment, hyperuricemia, bulky tumor) should be closely monitored prior to initiating docetaxel and periodically during treatment. Correction of dehydration and treatment of high uric acid levels are recommended prior to initiation of treatment.

1.4 Gastric Adenocarcinoma

Docetaxel Injection in combination with cisplatin and fluorouracil is indicated for the treatment of patients with advanced gastric adenocarcinoma, including adenocarcinoma of the gastroesophageal junction, who have not received prior chemotherapy for advanced disease.

16.3 Handling and Disposal

Docetaxel Injection, USP is a hazardous drug. Follow applicable special handling and disposal procedures.

Discard unused portion.

Sterile, Nonpyrogenic, Preservative-free.

The container closure is not made with natural rubber latex.

2.4 Gastric Adenocarcinoma
  • For gastric adenocarcinoma, the recommended dose of docetaxel injection is 75 mg/m2 as a 1 hour intravenous infusion, followed by cisplatin 75 mg/m2, as a 1 to 3 hour intravenous infusion (both on day 1 only), followed by fluorouracil 750 mg/m2 per day given as a 24-hour continuous intravenous infusion for 5 days, starting at the end of the cisplatin infusion. Treatment is repeated every three weeks. Patients must receive premedication with antiemetics and appropriate hydration for cisplatin administration [see Dosage and Administration (2.7)].
5 Warnings and Precautions
  • Second primary malignancies: In patients treated with docetaxel-containing regimens, monitor for delayed AML, MDS, NHL, and renal cancer. (5.7)
  • Cutaneous reactions: Reactions including erythema of the extremities with edema followed by desquamation may occur. Severe cutaneous adverse reactions have been reported. Severe skin toxicity may require dose adjustment or permanent treatment discontinuation. (5.8)
  • Neurologic reactions: Reactions including paresthesia, dysesthesia, and pain may occur. Severe neurosensory symptoms require dose adjustment or discontinuation if persistent. (5.9)
  • Eye disorders: Cystoid macular edema (CME) has been reported and requires treatment discontinuation. (5.10)
  • Asthenia: Severe asthenia may occur and may require treatment discontinuation. (5.11)
  • Embryo-fetal toxicity: Can cause fetal harm. Advise patients of the potential risk to a fetus and to use effective contraception. (5.12, 8.1, 8.3)
  • Alcohol content: The alcohol content in a dose of docetaxel may affect the central nervous system. This may include impairment of a patient's ability to drive or use machines immediately after infusion. (5.13)
  • Tumor lysis syndrome: Tumor lysis syndrome has been reported. Patients at risk should be well hydrated and closely monitored during treatment. (5.14)
5.12 Embryo Fetal Toxicity

Based on findings from animal reproduction studies and its mechanism of action, docetaxel can cause fetal harm when administered to a pregnant woman [see Clinical Pharmacology (12.1)]. Available data from case reports in the literature and pharmacovigilance with docetaxel use in pregnant women are not sufficient to inform the drug-associated risk of major birth defects, miscarriage or adverse maternal or fetal outcomes. In animal reproduction studies, administration of docetaxel to pregnant rats and rabbits during the period of organogenesis caused embryo-fetal toxicities, including intrauterine mortality, at doses as low as 0.02 and 0.003 times the recommended human dose based on body surface area, respectively.

Advise pregnant women and females of reproductive potential of the potential risk to a fetus. Verify pregnancy status in females of reproductive potential prior to initiating docetaxel. Advise females of reproductive potential to use effective contraception during treatment and for 2 months after the last dose of docetaxel. Advise male patients with female partners of reproductive potential to use effective contraception during treatment and for 4 months after the last dose of docetaxel [see Use in Specific Populations (8.1, 8.3)].

14.5 Gastric Adenocarcinoma

A multicenter, open-label, randomized trial was conducted to evaluate the safety and efficacy of docetaxel for the treatment of patients with advanced gastric adenocarcinoma, including adenocarcinoma of the gastroesophageal junction, who had not received prior chemotherapy for advanced disease. A total of 445 patients with KPS >70 were treated with either docetaxel (T) (75 mg/m2 on day 1) in combination with cisplatin (C) (75 mg/m2 on day 1) and fluorouracil (F) (750 mg/m2 per day for 5 days) or cisplatin (100 mg/m2 on day 1) and fluorouracil (1,000 mg/m2 per day for 5 days). The length of a treatment cycle was 3 weeks for the TCF arm and 4 weeks for the CF arm. The demographic characteristics were balanced between the two treatment arms. The median age was 55 years, 71% were male, 71% were Caucasian, 24% were 65 years of age or older, 19% had a prior curative surgery and 12% had palliative surgery. The median number of cycles administered per patient was 6 (with a range of 1 to 16) for the TCF arm compared to 4 (with a range of 1 to 12) for the CF arm. Time to progression (TTP) was the primary endpoint and was defined as time from randomization to disease progression or death from any cause within 12 weeks of the last evaluable tumor assessment or within 12 weeks of the first infusion of study drugs for patients with no evaluable tumor assessment after randomization. The hazard ratio (HR) for TTP was 1.47 (CF/TCF, 95% CI: 1.19 to 1.83) with a significantly longer TTP (p=0.0004) in the TCF arm. Approximately 75% of patients had died at the time of this analysis. Overall survival was significantly longer (p=0.0201) in the TCF arm with a HR of 1.29 (95% CI: 1.04 to 1.61). Efficacy results are summarized in Table 19 and Figures 6 and 7.

Table 19: Efficacy of Docetaxel in the Treatment of Patients with Gastric Adenocarcinoma
Endpoint TCF

n=221
CF

n=224

*Unstratified log-rank test

For the hazard ratio (TCF/CF), values less than 1.00 favor the docetaxel arm.

Median TTP (months)

(95% CI)

Hazard ratio

(95% CI)

*p-value
5.6

(4.86 to 5.91)
3.7

(3.45 to 4.47)
0.68

(0.55 to 0.84)

0.0004
Median survival (months)

(95% CI)

Hazard ratio

(95% CI)

*p-value
9.2

(8.38 to 10.58)
8.6

(7.16 to 9.46)
0.77

(0.62 to 0.96)

0.0201
Overall Response Rate (CR+PR) (%) 36.7 25.4
p-value 0.0106

Subgroup analyses were consistent with the overall results across age, gender and race.



Figure 6: Gastric Cancer Study (TAX325) Time to Progression K-M Curve

Figure 7: Gastric Cancer Study (TAX325) Survival K-M Curve

2 Dosage and Administration

For all indications, toxicities may warrant dosage adjustments [see Dosage and Administration (2.7)]. Administer in a facility equipped to manage possible complications (e.g. anaphylaxis).

3 Dosage Forms and Strengths

One-vial Formulation Docetaxel Injection, USP

Docetaxel Injection, USP 20 mg per mL

Docetaxel Injection, USP 20 mg per 1 mL single-dose vial: 20 mg docetaxel in 1 mL 50/50 (v/v) ratio polysorbate 80/dehydrated alcohol.

Docetaxel Injection, USP 80 mg per 4 mL

Docetaxel Injection, USP 80 mg per 4 mL (20 mg per mL) single-dose vial: 80 mg docetaxel in 4 mL 50/50 (v/v) ratio polysorbate 80/dehydrated alcohol.

6.2 Postmarketing Experience

The following adverse reactions have been identified from clinical trials and/or postmarketing surveillance. Because these reactions are reported from a population of uncertain size, it is not always possible to reliably estimate their frequency or establish a causal relationship to drug exposure.

Body as a whole: diffuse pain, chest pain, radiation recall phenomenon, injection site recall reaction (recurrence of skin reaction at a site of previous extravasation following administration of docetaxel at a different site) at the site of previous extravasation.

Cardiovascular: atrial fibrillation, deep vein thrombosis, ECG abnormalities, thrombophlebitis, pulmonary embolism, syncope, tachycardia, myocardial infarction. Ventricular arrhythmia, including ventricular tachycardia, in patients treated with docetaxel in combination regimens including doxorubicin, 5-fluorouracil and/or cyclophosphamide may be associated with fatal outcome.

Cutaneous: cutaneous lupus erythematosus, bullous eruptions such as erythema multiforme and severe cutaneous adverse reactions (SCARs) such as Stevens-Johnson syndrome, toxic epidermal necrolysis and acute generalized exanthematous pustulosis, scleroderma-like changes (usually preceded by peripheral lymphedema), severe palmar-plantar erythrodysesthesia, and permanent alopecia.

Gastrointestinal: enterocolitis, including colitis, ischemic colitis, and neutropenic enterocolitis, which may be fatal. Abdominal pain, anorexia, constipation, duodenal ulcer, esophagitis, gastrointestinal hemorrhage, gastrointestinal perforation, intestinal obstruction, ileus, and dehydration as a consequence of gastrointestinal events.

Hearing: ototoxicity, hearing disorders and/or hearing loss, including during use with other ototoxic drugs.

Hematologic: bleeding episodes, disseminated intravascular coagulation (DIC), often in association with sepsis or multiorgan failure.

Hepatic: hepatitis, sometimes fatal, primarily in patients with pre-existing liver disorders.

Hypersensitivity: anaphylactic shock with fatal outcome in patients who received premedication. Severe hypersensitivity reactions with fatal outcome with docetaxel in patients who previously experienced hypersensitivity reactions to paclitaxel.

Metabolism and nutrition disorders: electrolyte imbalance, including hyponatremia, hypokalemia, hypomagnesemia, and hypocalcemia. Tumor lysis syndrome, sometimes fatal.

Neurologic: confusion, seizures or transient loss of consciousness, sometimes appearing during the infusion of the drug.

Ophthalmologic: conjunctivitis, lacrimation or lacrimation with or without conjunctivitis, cystoid macular edema (CME). Excessive tearing which may be attributable to lacrimal duct obstruction. Transient visual disturbances (flashes, flashing lights, scotomata), typically occurring during drug infusion and reversible upon discontinuation of the infusion, in association with hypersensitivity reactions.

Respiratory: dyspnea, acute pulmonary edema, acute respiratory distress syndrome/pneumonitis, interstitial lung disease, interstitial pneumonia, respiratory failure, and pulmonary fibrosis, which may be fatal. Radiation pneumonitis in patients receiving concomitant radiotherapy.

Renal: renal insufficiency and renal failure, the majority of cases were associated with concomitant nephrotoxic drugs.

Second primary malignancies: second primary malignancies, including AML, MDS, NHL, and renal cancer [see Warnings and Precautions (5.7)].

Musculoskeletal disorder: myositis.

8 Use in Specific Populations
  • Lactation: Advise women not to breastfeed. (8.2)
  • Females and Males of Reproductive Potential: Verify pregnancy status of females prior to initiation of docetaxel. (8.3)
1.2 Non Small Cell Lung Cancer

Docetaxel Injection as a single agent is indicated for the treatment of patients with locally advanced or metastatic non-small cell lung cancer after failure of prior platinum-based chemotherapy.

Docetaxel Injection in combination with cisplatin is indicated for the treatment of patients with unresectable, locally advanced or metastatic non-small cell lung cancer who have not previously received chemotherapy for this condition.

2.2 Non Small Cell Lung Cancer
  • For treatment after failure of prior platinum-based chemotherapy, docetaxel injection was evaluated as monotherapy, and the recommended dose is 75 mg/m2 administered intravenously over 1 hour every 3 weeks. A dose of 100 mg/m2 in patients previously treated with chemotherapy was associated with increased hematologic toxicity, infection, and treatment-related mortality in randomized controlled trials [see Boxed Warning, Dosage and Administration (2.7), Warnings and Precautions (5), Clinical Studies (14)].
  • For chemotherapy-naive patients, docetaxel injection was evaluated in combination with cisplatin. The recommended dose of docetaxel injection is 75 mg/m2 administered intravenously over 1 hour immediately followed by cisplatin 75 mg/m2 over 30 to 60 minutes every 3 weeks [see Dosage and Administration (2.7)].
2.8 Administration Precautions

Docetaxel injection is a hazardous anticancer drug and, as with other potentially toxic compounds, caution should be exercised when handling and preparing docetaxel injection solutions. The use of gloves is recommended [see How Supplied/Storage and Handling (16.3)].

If docetaxel injection initial diluted solution, or final dilution for infusion should come into contact with the skin, immediately and thoroughly wash with soap and water. If docetaxel injection initial diluted solution, or final dilution for infusion should come into contact with mucosa, immediately and thoroughly wash with water.

Contact of the docetaxel injection with plasticized PVC equipment or devices used to prepare solutions for infusion is not recommended. In order to minimize patient exposure to the plasticizer DEHP (di-2-ethylhexyl phthalate), which may be leached from PVC infusion bags or sets, the final docetaxel injection dilution for infusion should be stored in bottles (glass, polypropylene) or plastic bags (polypropylene, polyolefin) and administered through polyethylene-lined administration sets.

5.5 Hypersensitivity Reactions

Monitor patients closely for hypersensitivity reactions, especially during the first and second infusions. Severe hypersensitivity reactions characterized by generalized rash/erythema, hypotension and/or bronchospasm, or fatal anaphylaxis, have been reported in patients premedicated with 3 days of corticosteroids. Severe hypersensitivity reactions require immediate discontinuation of the docetaxel infusion and aggressive therapy. Do not rechallenge patients with a history of severe hypersensitivity reactions with docetaxel [see Contraindications (4)].

Patients who have previously experienced a hypersensitivity reaction to paclitaxel may develop a hypersensitivity reaction to docetaxel that may include severe or fatal reactions such as anaphylaxis. Monitor patients with a previous history of hypersensitivity to paclitaxel closely during initiation of docetaxel therapy. Hypersensitivity reactions may occur within a few minutes following initiation of a docetaxel infusion. If minor reactions such as flushing or localized skin reactions occur, interruption of therapy is not required. All patients should be premedicated with an oral corticosteroid prior to the initiation of the infusion of docetaxel [see Dosage and Administration (2.6)].

5.7 Second Primary Malignancies

Second primary malignancies, notably acute myeloid leukemia (AML), myelodysplastic syndrome (MDS), non-Hodgkin's lymphoma (NHL), and renal cancer, have been reported in patients treated with docetaxel-containing regimens. These adverse reactions may occur several months or years after docetaxel-containing therapy.

Treatment-related AML or MDS has occurred in patients given anthracyclines and/or cyclophosphamide, including use in adjuvant therapy for breast cancer. In the adjuvant breast cancer trial (TAX316) AML occurred in 3 of 744 patients who received docetaxel, doxorubicin and cyclophosphamide (TAC) and in 1 of 736 patients who received fluorouracil, doxorubicin, and cyclophosphamide [see Clinical Studies (14.2)]. In TAC-treated patients, the risk of delayed myelodysplasia or myeloid leukemia requires hematological follow-up. Monitor patients for second primary malignancies [see Adverse Reactions (6.1)].

17 Patient Counseling Information

Advise the patient to read the FDA-approved patient labeling (Patient Information).

2.9 Preparation and Administration

DO NOT use the two-vial formulation (Injection and diluent) with the one-vial formulation.

14.3 Non Small Cell Lung Cancer (nsclc)

The efficacy and safety of docetaxel has been evaluated in patients with unresectable, locally advanced or metastatic non-small cell lung cancer whose disease has failed prior platinum-based chemotherapy or in patients who are chemotherapy-naive.

14.2 Adjuvant Treatment of Breast Cancer

A multicenter, open-label, randomized trial (TAX316) evaluated the efficacy and safety of docetaxel for the adjuvant treatment of patients with axillary-node-positive breast cancer and no evidence of distant metastatic disease. After stratification according to the number of positive lymph nodes (1 to 3, 4+), 1,491 patients were randomized to receive either docetaxel 75 mg/m2 administered 1-hour after doxorubicin 50 mg/m2 and cyclophosphamide 500 mg/m2 (TAC arm), or doxorubicin 50 mg/m2 followed by fluorouracil 500 mg/m2 and cyclophosphamide 500 mg/m2 (FAC arm). Both regimens were administered every 3 weeks for 6 cycles. Docetaxel was administered as a 1-hour infusion; all other drugs were given as intravenous bolus on day 1. In both arms, after the last cycle of chemotherapy, patients with positive estrogen and/or progesterone receptors received tamoxifen 20 mg daily for up to 5 years. Adjuvant radiation therapy was prescribed according to guidelines in place at participating institutions and was given to 69% of patients who received TAC and 72% of patients who received FAC.

Results from a second interim analysis (median follow-up 55 months) are as follows: In study TAX316, the docetaxel-containing combination regimen TAC showed significantly longer disease-free survival (DFS) than FAC (hazard ratio=0.74; 2-sided 95% CI=0.60, 0.92, stratified log rank p=0.0047). The primary endpoint, disease-free survival, included local and distant recurrences, contralateral breast cancer and deaths from any cause. The overall reduction in risk of relapse was 25.7% for TAC-treated patients. (See Figure 1.)

At the time of this interim analysis, based on 219 deaths, overall survival was longer for TAC than FAC (hazard ratio=0.69, 2-sided 95% CI=0.53, 0.90). (See Figure 2.) There will be further analysis at the time survival data mature.



Figure 1: TAX316 Disease Free Survival K-M curve

Figure 2: TAX316 Overall Survival K-M Curve

The following table describes the results of subgroup analyses for DFS and OS (see Table 14).

Table 14: Subset Analyses-Adjuvant Breast Cancer Study

*a hazard ratio of less than 1 indicates that TAC is associated with a longer disease free survival or overall survival compared to FAC.

Patient subset Number of patients Disease Free Survival Overall Survival
Hazard ratio* 95% CI Hazard ratio* 95% CI
No. of positive nodes

    Overall

    1 to 3

    4+




744

467

277




0.74

0.64

0.84




(0.60, 0.92)

(0.47, 0.87)

(0.63, 1.12)




0.69

0.45

0.93




(0.53, 0.90)

(0.29, 0.70)

(0.66, 1.32)
Receptor status

    Positive

    Negative


566

178


0.76

0.68


(0.59, 0.98)

(0.48, 0.97)


0.69

0.66


(0.48, 0.99)

(0.44, 0.98)
14.4 Castration Resistant Prostate Cancer

The safety and efficacy of docetaxel in combination with prednisone in patients with metastatic castration-resistant prostate cancer were evaluated in a randomized multicenter active control trial. A total of 1,006 patients with Karnofsky Performance Status (KPS) ≥60 were randomized to the following treatment groups:

  • Docetaxel 75 mg/m2 every 3 weeks for 10 cycles.
  • Docetaxel 30 mg/m2 administered weekly for the first 5 weeks in a 6-week cycle for 5 cycles.
  • Mitoxantrone 12 mg/m2 every 3 weeks for 10 cycles.

All 3 regimens were administered in combination with prednisone 5 mg twice daily, continuously.

In the docetaxel every three week arm, a statistically significant overall survival advantage was demonstrated compared to mitoxantrone. In the docetaxel weekly arm, no overall survival advantage was demonstrated compared to the mitoxantrone control arm. Efficacy results for the docetaxel every 3 week arm versus the control arm are summarized in Table 18 and Figure 5.

Table 18: Efficacy of Docetaxel in the Treatment of Patients with Metastatic Castration-Resistant Prostate Cancer (Intent-to-Treat Analysis)
Docetaxel+Prednisone

every 3 weeks
Mitoxantrone+Prednisone

every 3 weeks

*Stratified log-rank test. Threshold for statistical significance = 0.0175 because of 3 arms.

Number of patients

Median survival (months)

95% CI

Hazard ratio

95% CI

p-value*
335

18.9

(17.0 to 21.2)

0.761

(0.619 to 0.936)

0.0094
337

16.5

(14.4 to 18.6)

--

--

--

Figure 5: TAX327 Survival K-M Curves

5.4 Enterocolitis and Neutropenic Colitis

Enterocolitis and neutropenic colitis (typhlitis) have occurred in patients treated with docetaxel alone and in combination with other chemotherapeutic agents, despite the coadministration of G-CSF. Caution is recommended for patients with neutropenia, particularly at risk for developing gastrointestinal complications. Enterocolitis and neutropenic enterocolitis may develop at any time, and could lead to death as early as the first day of symptom onset. Monitor patients closely from onset of any symptoms of gastrointestinal toxicity. Inform patients to contact their healthcare provider with new, or worsening symptoms of gastrointestinal toxicity [see Dosage and Administration (2), Warnings and Precautions (5.3), Adverse Reactions (6.2)].

8.3 Females and Males of Reproductive Potential

Based on findings in animals, docetaxel can cause fetal harm when administered to a pregnant woman [see Use in Specific Populations (8.1)].

14.1 Locally Advanced Or Metastatic Breast Cancer

The efficacy and safety of docetaxel have been evaluated in locally advanced or metastatic breast cancer after failure of previous chemotherapy (alkylating agent-containing regimens or anthracycline-containing regimens).

13.1 Carcinogenesis, Mutagenesis, Impairment of Fertility

Carcinogenicity studies with docetaxel have not been performed.

Docetaxel was genotoxic by an aneugenic mechanism in the in vitro chromosome aberration test in CHO-K1 cells and in the in vivo micronucleus test in mice administered doses of 0.39 to 1.56 mg/kg (about 1/60th to 1/15th the recommended human dose on a mg/m2 basis). Docetaxel was not mutagenic in the Ames test or the CHO/HGPRT gene mutation assays.

Docetaxel did not reduce fertility in rats when administered in multiple intravenous doses of up to 0.3 mg/kg (about 1/50th the recommended human dose on a mg/m2 basis), but decreased testicular weights were reported. This correlates with findings of a 10-cycle toxicity study (dosing once every 21 days for 6 months) in rats and dogs in which testicular atrophy or degeneration was observed at intravenous doses of 5 mg/kg in rats and 0.375 mg/kg in dogs (about 1/3rd and 1/15th the recommended human dose on a mg/m2 basis, respectively). An increased frequency of dosing in rats produced similar effects at lower dose levels.

Warning: Toxic Deaths, Hepatotoxicity, Neutropenia, Hypersensitivity Reactions, and Fluid Retention

Treatment-related mortality associated with docetaxel is increased in patients with abnormal liver function, in patients receiving higher doses, and in patients with non-small cell lung carcinoma and a history of prior treatment with platinum-based chemotherapy who receive docetaxel as a single agent at a dose of 100 mg/m 2 [see Warnings and Precautions (5.1)].

Avoid the use of docetaxel in patients with bilirubin > upper limit of normal (ULN), or to patients with AST and/or ALT >1.5 x ULN concomitant with alkaline phosphatase >2.5 x ULN. Patients with elevations of bilirubin or abnormalities of transaminase concurrent with alkaline phosphatase are at increased risk for the development of severe neutropenia, febrile neutropenia, infections, severe thrombocytopenia, severe stomatitis, severe skin toxicity, and toxic death. Patients with isolated elevations of transaminase >1.5 x ULN also had a higher rate of febrile neutropenia. Measure bilirubin, AST or ALT, and alkaline phosphatase prior to each cycle of docetaxel [see Warnings and Precautions (5.2)].

Do not administer docetaxel to patients with neutrophil counts of <1,500 cells/mm 3 . Monitor blood counts frequently as neutropenia may be severe and result in infection [see Warnings and Precautions (5.3)].

Do not administer docetaxel to patients who have a history of severe hypersensitivity reactions to docetaxel or to other drugs formulated with polysorbate 80 [see Contraindications (4)] . Severe hypersensitivity reactions have been reported in patients despite dexamethasone premedication. Hypersensitivity reactions require immediate discontinuation of the docetaxel infusion and administration of appropriate therapy [see Warnings and Precautions (5.5)].

Severe fluid retention occurred in 6.5% (6/92) of patients despite use of dexamethasone premedication. It was characterized by one or more of the following events: poorly tolerated peripheral edema, generalized edema, pleural effusion requiring urgent drainage, dyspnea at rest, cardiac tamponade, or pronounced abdominal distention (due to ascites) [see Warnings and Precautions (5.6)].


Structured Label Content

Section 42229-5 (42229-5)

Induction Chemotherapy Followed by Radiotherapy (TAX323)

For the induction treatment of locally advanced inoperable SCCHN, the recommended dose of docetaxel injection is 75 mg/m2 as a 1 hour intravenous infusion followed by cisplatin 75 mg/m2 intravenously over 1 hour, on day one, followed by fluorouracil as a continuous intravenous infusion at 750 mg/m2 per day for five days. This regimen is administered every 3 weeks for 4 cycles. Following chemotherapy, patients should receive radiotherapy [see Dosage and Administration (2.7)].

Section 42230-3 (42230-3)
Patient Information

Docetaxel (doe” se tax' el) Injection

for intravenous use

What is the most important information I should know about Docetaxel Injection?

Docetaxel Injection can cause serious side effects, including death.



  • The chance of death in people who receive Docetaxel Injection is higher if you:
    • have liver problems
    • receive high doses of Docetaxel Injection
    • have non-small cell lung cancer and have been treated with chemotherapy medicines that contain platinum
  • Docetaxel Injection can affect your blood cells. Your healthcare provider should do routine blood tests during treatment with Docetaxel Injection. This will include regular checks of your white blood cell counts. If your white blood cells are too low, your healthcare provider may not treat you with Docetaxel Injection until you have enough white blood cells. People with low white blood cell counts can develop life-threatening infections. The earliest sign of infection may be fever. Follow your healthcare provider's instructions for how often to take your temperature during treatment with Docetaxel Injection. Call your healthcare provider right away if you have a fever.
  • Swelling (inflammation) of the small intestine and colon. This can happen at any time during treatment and could lead to death as early as the first day you get symptoms. Tell your healthcare provider right away if you develop new or worse symptoms of intestinal problems, including stomach (abdominal) pain or tenderness or diarrhea, with or without fever.
  • Severe allergic reactions are medical emergencies that can happen in people who receive Docetaxel Injection and can lead to death. You may be at higher risk of developing a severe allergic reaction to Docetaxel Injection if you are allergic to paclitaxel. Your healthcare provider will monitor you closely for allergic reactions during your Docetaxel Injection infusion.

    Tell your healthcare provider right away if you have any of these signs of a severe allergic reaction:

    • trouble breathing
    • sudden swelling of your face, lips, tongue, throat, or trouble swallowing
    • hives (raised bumps), rash, or redness all over your body
  • Your body may hold too much fluid (severe fluid retention) during treatment with Docetaxel Injection. This can be life threatening. To decrease the chance of this happening, you must take another medicine, a corticosteroid, before each Docetaxel Injection treatment. You must take the corticosteroid exactly as your healthcare provider tells you. Tell your healthcare provider or nurse before your Docetaxel Injection treatment if you forgot to take your corticosteroid dose or do not take it as your healthcare provider tells you. Tell your healthcare provider right away if you have swelling in your legs or feet, weight gain or shortness of breath.
  • Risk of new cancers. An increase in new (second) cancers has happened in people treated with Docetaxel Injection together with certain other anticancer treatments. This includes certain blood cancers, such as acute myeloid leukemia (AML), myelodysplastic syndrome (MDS), non-Hodgkin's Lymphoma (NHL), and kidney cancer.
    • Changes in blood counts due to leukemia and other blood disorders may occur years after treatment with Docetaxel Injection.

    Your healthcare provider will check you for new cancers during and after your treatment with Docetaxel Injection.
  • Severe skin problems.

    Tell your healthcare provider right away if you have any of these signs of a severe skin reaction:

    • redness and swelling of your arms and legs.
    • blistering, peeling, or bleeding on any part of your skin (including your lips, eyes, mouth, nose, genitals, hands or feet) with or without a rash. You may also have flu-like symptoms such as fever, chills, or muscle aches.
    • red, scaly rash all over your body with blisters, small red or white bumps under the skin that contain pus (pustules), and fever.
What is Docetaxel Injection?

Docetaxel Injection is a prescription anticancer medicine used to treat certain people with:

  • breast cancer
  • non-small cell lung cancer
  • prostate cancer
  • stomach cancer
  • head and neck cancer

It is not known if Docetaxel Injection is effective in children.

Do not receive Docetaxel Injection if you:

  • have a low white blood cell count.
  • have had a severe allergic reaction to:
    • docetaxel, the active ingredient in Docetaxel Injection, or
    • any other medicines that contain polysorbate 80. Ask your healthcare provider or pharmacist if you are not sure.
See “ What is the most important information I should know about Docetaxel Injection? ” for the signs and symptoms of a severe allergic reaction.

See the end of this Patient Information for a complete list of the ingredients in Docetaxel Injection.

Before you receive Docetaxel Injection, tell your healthcare provider about all of your medical conditions, including if you:

  • are allergic to any medicines, including paclitaxel. See “ Do not receive Docetaxel Injection if you ”.
  • have liver problems
  • have kidney problems
  • are pregnant or plan to become pregnant. Docetaxel Injection can harm your unborn baby. You should not become pregnant during treatment with Docetaxel Injection. Tell your healthcare provider if you become pregnant or you think you may be pregnant during treatment with Docetaxel Injection.

    Females who are able to become pregnant:

    • Your healthcare provider will check to see if you are pregnant before you start treatment with Docetaxel Injection.
    • You should use effective birth control (contraception) during treatment with Docetaxel Injection and for 2 months after the last dose.
    Males with female partners who are able to become pregnant should use effective birth control during treatment with Docetaxel Injection and for 4 months after the last dose.

    Talk to your healthcare provider if you have questions about birth control options that are right for you.

  • are breastfeeding or plan to breastfeed. It is not known if Docetaxel Injection passes into your breast milk. Do not breastfeed during treatment with Docetaxel Injection and for 1 week after the last dose.
Tell your healthcare provider about all the medicines you take, including prescription and over-the–counter medicines, vitamins, and herbal supplements. Docetaxel Injection may affect the way other medicines work, and other medicines may affect the way Docetaxel Injection works.

Know the medicines you take. Keep a list of them to show your healthcare provider and pharmacist when you get a new medicine.

How will I receive Docetaxel Injection?

  • Docetaxel Injection will be given to you as an intravenous (IV) injection into your vein, usually over 1 hour.
  • Docetaxel Injection is usually given every 3 weeks.
  • Your healthcare provider will decide how long you will receive treatment with Docetaxel Injection.
  • Your healthcare provider will check your blood cell counts and other blood tests during your treatment with Docetaxel Injection to check for side effects of Docetaxel Injection.
  • Your healthcare provider may stop your treatment, change the timing of your treatment, or change the dose of your treatment if you have certain side effects while receiving Docetaxel Injection.
What are the possible side effects of Docetaxel Injection?

Docetaxel Injection may cause serious side effects including death.

  • See What is the most important information I should know about Docetaxel Injection?
  • Neurologic problems. Neurologic symptoms are common in people who receive Docetaxel Injection but can be severe. Tell your healthcare provider right away if you have numbness, tingling, or burning in your hands or feet (peripheral neuropathy) or weakness of your legs, feet, arms, or hands (motor weakness).
  • Vision problems including blurred vision or loss of vision. Tell your healthcare provider right away if you have any vision changes.
  • Docetaxel Injection contains alcohol. The alcohol content in Docetaxel Injection may impair your ability to drive or use machinery right after receiving Docetaxel Injection. Consider whether you should drive, operate machinery or do other dangerous activities right after you receive Docetaxel Injection treatment.
  • Tumor lysis syndrome (TLS). TLS is caused by the fast breakdown of cancer cells. TLS can cause kidney failure, the need for dialysis treatment, or heart problems, and may lead to death. Your healthcare provider will do blood tests to check for TLS when you first start treatment and during treatment with Docetaxel Injection. Tell your healthcare provider right away if you have any symptoms of TLS during treatment with Docetaxel Injection, including:
  • nausea
  • vomiting
  • confusion
  • shortness of breath
  • irregular heartbeat
  • dark or cloudy urine
  • reduced amount of urine
  • unusual tiredness
  • muscle cramps
  • You may experience side effects of this medicine that may impair your ability to drive, use tools, or operate machines. If this happens, do not drive or use any tools or machines before discussing with your healthcare provider.
The most common side effects of Docetaxel Injection include:
  • infections
  • low white blood cells (help fight infections), low red blood cells (anemia) and low platelets (help blood to clot)
  • allergic reactions (See What is the most important information I should know about Docetaxel Injection?)
  • changes in your sense of taste
  • shortness of breath
  • constipation
  • decreased appetite
  • changes in your fingernails or toenails
  • swelling of your hands, face or feet
  • feeling weak or tired
  • joint and muscle pain
  • nausea and vomiting
  • diarrhea
  • mouth or lip sores
  • hair loss: in some people, permanent hair loss has been reported
  • redness of the eye, excess tearing
  • skin reactions at the site of Docetaxel Injection administration such as increased skin pigmentation, redness, tenderness, swelling, warmth or dryness of the skin
  • tissue damage if Docetaxel Injection leaks out of the vein into the tissues
Tell your healthcare provider if you have a fast or irregular heartbeat, severe shortness of breath, dizziness or fainting during your infusion. If any of these events occur after your infusion, get medical help right away.

Docetaxel Injection may affect fertility in males. Talk to your healthcare provider if this is a concern for you.

These are not all of the possible side effects of Docetaxel Injection. For more information, ask your healthcare provider or pharmacist.

Call your healthcare provider for medical advice about side effects. You may report side effects to FDA at 1-800-FDA-1088.

General information about the safe and effective use of Docetaxel Injection

Medicines are sometimes prescribed for purposes other than those listed in this Patient Information. You can ask your pharmacist or healthcare provider for information about Docetaxel Injection that is written for health professionals.
What are the ingredients in Docetaxel Injection?

Active ingredient: docetaxel

Inactive ingredients: polysorbate 80 and dehydrated alcohol solution, with citric acid for pH adjustment.

This Patient Information has been approved by the U.S. Food and Drug Administration.

Every three-week injection of Docetaxel Injection for breast, non-small cell lung and stomach, and head and neck cancers

Take your oral corticosteroid medicine as your healthcare provider tells you.
Oral corticosteroid dosing:
Day 1 Date: ________ Time:_____ AM ______ PM

Day 2 Date: ________ Time:_____ AM ______ PM

(Docetaxel Injection Treatment Day)

Day 3 Date: ________ Time:_____ AM ______ PM
Every three-week injection of Docetaxel Injection for prostate cancer

Take your oral corticosteroid medicine as your healthcare provider tells you.
Oral corticosteroid dosing:
Date: _________ Time: ________
Date: _________ Time: ________
(Docetaxel Injection Treatment Day)
Time: ________

sagent ®

Mfd. for SAGENT Pharmaceuticals

Schaumburg, IL 60173 (USA)

Made in China

©2025 Sagent Pharmaceuticals

Revised: May 2025

Section 51945-4 (51945-4)

PACKAGE LABEL – PRINCIPAL DISPLAY PANEL – Vial Label

NDC 25021-245-01

Rx only

Docetaxel Injection, USP

20 mg per mL

1 mL single dose vial

For Intravenous Infusion Only

Ready to add to infusion solution.

See package insert for complete instructions.

Warning: Cytotoxic Agent

16.2 Storage

Store between 2° and 25°C (36° and 77°F). Freezing does not adversely affect the product.

Protect from light. Retain in carton until time of use.

10 Overdosage (10 OVERDOSAGE)

There is no known antidote for docetaxel overdosage. In case of overdosage, the patient should be kept in a specialized unit where vital functions can be closely monitored. Anticipated complications of overdosage include: bone marrow suppression, peripheral neurotoxicity, and mucositis. Patients should receive therapeutic G-CSF as soon as possible after discovery of overdose. Other appropriate symptomatic measures should be taken, as needed.

In two reports of overdose, one patient received 150 mg/m2 and the other received 200 mg/m2 as 1-hour infusions. Both patients experienced severe neutropenia, mild asthenia, cutaneous reactions, and mild paresthesia, and recovered without incident.

In mice, lethality was observed following single intravenous doses that were ≥154 mg/kg (about 4.5 times the human dose of 100 mg/m2 on a mg/m2 basis); neurotoxicity associated with paralysis, non-extension of hind limbs, and myelin degeneration was observed in mice at 48 mg/kg (about 1.5 times the human dose of 100 mg/m2 basis). In male and female rats, lethality was observed at a dose of 20 mg/kg (comparable to the human dose of 100 mg/m2 on a mg/m2 basis) and was associated with abnormal mitosis and necrosis of multiple organs.

15 References (15 REFERENCES)
  • “OSHA Hazardous Drugs.” http://www.osha.gov/SLTC/hazardousdrugs/index.html
5.11 Asthenia

Severe asthenia has been reported in 14.9% (144/965) of metastatic breast cancer patients but has led to treatment discontinuation in only 1.8%. Symptoms of fatigue and weakness may last a few days up to several weeks and may be associated with deterioration of performance status in patients with progressive disease.

11 Description (11 DESCRIPTION)

Docetaxel is an antineoplastic agent belonging to the taxoid family. It is prepared by semisynthesis beginning with a precursor extracted from the renewable needle biomass of yew plants. The chemical name for docetaxel is (2R,3S)-N-carboxy-3-phenylisoserine,N-tert-butyl ester, 13-ester with 5β-20-epoxy-1,2α,4,7β,10β,13α-hexahydroxytax-11-en-9-one 4-acetate 2-benzoate, trihydrate. Docetaxel has the following structural formula:

Docetaxel is a white to almost-white powder with an empirical formula of C43H53NO14•3H2O, and a molecular weight of 861.9. It is highly lipophilic and practically insoluble in water.

2.10 Stability

Docetaxel injection final dilution for infusion, if stored between 2°C and 25°C (36°F and 77°F) is stable for 6 hours. Docetaxel injection final dilution for infusion (in either 0.9% Sodium Chloride solution or 5% Dextrose solution) should be used within 6 hours (including the 1 hour intravenous administration).

In addition, physical and chemical in-use stability of the infusion solution prepared as recommended has been demonstrated in non-PVC bags up to 48 hours when stored between 2°C and 8°C (36°F and 46°F).

1.1 Breast Cancer

Docetaxel Injection is indicated for the treatment of patients with locally advanced or metastatic breast cancer after failure of prior chemotherapy.

Docetaxel Injection in combination with doxorubicin and cyclophosphamide is indicated for the adjuvant treatment of patients with operable node-positive breast cancer.

16.1 How Supplied

One-vial Formulation Docetaxel Injection, USP is available as a nonaqueous solution as follows:

NDC Docetaxel Injection, USP (20 mg per mL) Package Factor
25021-245-01 20 mg per mL Single-Dose Vial 1 vial per carton
25021-245-04 80 mg per 4 mL Single-Dose Vial 1 vial per carton

Docetaxel Injection, USP 20 mg per 1 mL: 20 mg docetaxel in 1 mL 50/50 (v/v) ratio polysorbate 80/dehydrated alcohol.

The vial is in a blister pack in one carton.

Docetaxel Injection, USP 80 mg per 4 mL: 80 mg docetaxel in 4 mL 50/50 (v/v) ratio polysorbate 80/dehydrated alcohol.

The vial is in a blister pack in one carton.

2.1 Breast Cancer
  • For locally advanced or metastatic breast cancer after failure of prior chemotherapy, the recommended dose of docetaxel injection is 60 mg/m2 to 100 mg/m2 administered intravenously over 1 hour every 3 weeks.
  • For the adjuvant treatment of operable node-positive breast cancer, the recommended docetaxel injection dose is 75 mg/m2 administered 1 hour after doxorubicin 50 mg/m2 and cyclophosphamide 500 mg/m2 every 3 weeks for 6 courses. Prophylactic G-CSF may be used to mitigate the risk of hematological toxicities [see Dosage and Administration (2.7)].
8.4 Pediatric Use

The alcohol content of docetaxel should be taken into account when given to pediatric patients [see Warnings and Precautions (5.13)].

The efficacy of docetaxel in pediatric patients as monotherapy or in combination has not been established. The overall safety profile of docetaxel in pediatric patients receiving monotherapy or TCF was consistent with the known safety profile in adults.

Docetaxel has been studied in a total of 289 pediatric patients: 239 in 2 trials with monotherapy and 50 in combination treatment with cisplatin and 5-fluorouracil (TCF).

8.5 Geriatric Use

In general, dose selection for an elderly patient should be cautious, reflecting the greater frequency of decreased hepatic, renal, or cardiac function and of concomitant disease or other drug therapy in elderly patients.

5.10 Eye Disorders

Cystoid macular edema (CME) has been reported in patients treated with docetaxel. Patients with impaired vision should undergo a prompt and comprehensive ophthalmologic examination. If CME is diagnosed, docetaxel treatment should be discontinued and appropriate treatment initiated. Alternative non-taxane cancer treatment should be considered.

1.3 Prostate Cancer

Docetaxel Injection in combination with prednisone is indicated for the treatment of patients with metastatic castration-resistant prostate cancer.

2.3 Prostate Cancer
  • For metastatic castration-resistant prostate cancer, the recommended dose of docetaxel injection is 75 mg/m2 every 3 weeks as a 1 hour intravenous infusion. Prednisone 5 mg orally twice daily is administered continuously [see Dosage and Administration (2.7)].
4 Contraindications (4 CONTRAINDICATIONS)

Docetaxel is contraindicated in patients with:

  • neutrophil counts of <1,500 cells/mm3 [see Warnings and Precautions (5.3)].
  • a history of severe hypersensitivity reactions to docetaxel or to other drugs formulated with polysorbate 80. Severe reactions, including anaphylaxis, have occurred [see Warnings and Precautions (5.5)].
5.6 Fluid Retention

Severe fluid retention has been reported following docetaxel therapy. Patients should be premedicated with oral corticosteroids prior to each docetaxel administration to reduce the incidence and severity of fluid retention [see Dosage and Administration (2.6)]. Patients with pre-existing effusions should be closely monitored from the first dose for the possible exacerbation of the effusions.

When fluid retention occurs, peripheral edema usually starts in the lower extremities and may become generalized with a median weight gain of 2 kg.

Among 92 breast cancer patients premedicated with 3-day corticosteroids, moderate fluid retention occurred in 27.2% and severe fluid retention in 6.5%. The median cumulative dose to onset of moderate or severe fluid retention was 819 mg/m2. Nine of 92 patients (9.8%) of patients discontinued treatment due to fluid retention: 4 patients discontinued with severe fluid retention; the remaining 5 had mild or moderate fluid retention. The median cumulative dose to treatment discontinuation due to fluid retention was 1,021 mg/m2. Fluid retention was completely, but sometimes slowly, reversible with a median of 16 weeks from the last infusion of docetaxel to resolution (range: 0 to 42+ weeks). Patients developing peripheral edema may be treated with standard measures, e.g., salt restriction, oral diuretic(s).

6 Adverse Reactions (6 ADVERSE REACTIONS)

The most serious adverse reactions from docetaxel are:

  • Toxic Deaths [see Boxed Warning, Warnings and Precautions (5.1)]
  • Hepatic Impairment [see Boxed Warning, Warnings and Precautions (5.2)]
  • Hematologic Effects [see Boxed Warning, Warnings and Precautions (5.3)]
  • Enterocolitis and Neutropenic Colitis [see Warnings and Precautions (5.4)]
  • Hypersensitivity Reactions [see Boxed Warning, Warnings and Precautions (5.5)]
  • Fluid Retention [see Boxed Warning, Warnings and Precautions (5.6)]
  • Second Primary Malignancies [see Warnings and Precautions (5.7)]
  • Cutaneous Reactions [see Warnings and Precautions (5.8)]
  • Neurologic Reactions [see Warnings and Precautions (5.9)]
  • Eye Disorders [see Warnings and Precautions (5.10)]
  • Asthenia [see Warnings and Precautions (5.11)]
  • Alcohol Content [see Warnings and Precautions (5.13)]

The most common adverse reactions across all docetaxel indications are infections, neutropenia, anemia, febrile neutropenia, hypersensitivity, thrombocytopenia, neuropathy, dysgeusia, dyspnea, constipation, anorexia, nail disorders, fluid retention, asthenia, pain, nausea, diarrhea, vomiting, mucositis, alopecia, skin reactions, and myalgia. Incidence varies depending on the indication.

Adverse reactions are described according to indication. Because clinical trials are conducted under widely varying conditions, adverse reaction rates observed in the clinical trials of a drug cannot be directly compared to rates in the clinical trials of another drug and may not reflect the rates observed in practice.

Responding patients may not experience an improvement in performance status on therapy and may experience worsening. The relationship between changes in performance status, response to therapy, and treatment-related side effects has not been established.

7 Drug Interactions (7 DRUG INTERACTIONS)

Docetaxel is a CYP3A4 substrate. In vitro studies have shown that the metabolism of docetaxel may be modified by the concomitant administration of compounds that induce, inhibit, or are metabolized by cytochrome P450 3A4.

In vivo studies showed that the exposure of docetaxel increased 2.2-fold when it was coadministered with ketoconazole, a potent inhibitor of CYP3A4. Protease inhibitors, particularly ritonavir, may increase the exposure of docetaxel. Concomitant use of docetaxel and drugs that inhibit CYP3A4 may increase exposure to docetaxel and should be avoided. In patients receiving treatment with docetaxel, close monitoring for toxicity and a docetaxel dose reduction could be considered if systemic administration of a potent CYP3A4 inhibitor cannot be avoided [see Dosage and Administration (2.7), Clinical Pharmacology (12.3)].

5.13 Alcohol Content

Cases of intoxication have been reported with some formulations of docetaxel due to the alcohol content. The alcohol content in a dose of docetaxel may affect the central nervous system and should be taken into account for patients in whom alcohol intake should be avoided or minimized. Consideration should be given to the alcohol content in docetaxel on the ability to drive or use machines immediately after the infusion. Each administration of docetaxel at 100 mg/m2 delivers 2.0 g/m2 of ethanol. For a patient with a BSA of 2.0 m2, this would deliver 4.0 grams of ethanol [see Description (11)]. Other docetaxel products may have a different amount of alcohol.

5.2 Hepatic Impairment

Patients with elevations of bilirubin or abnormalities of transaminase concurrent with alkaline phosphatase are at increased risk for the development of severe neutropenia, febrile neutropenia, infections, severe thrombocytopenia, severe stomatitis, severe skin toxicity, and toxic death.

Avoid docetaxel in patients with bilirubin > upper limit of normal (ULN), or to patients with AST and/or ALT >1.5 × ULN concomitant with alkaline phosphatase >2.5 × ULN [see Warnings and Precautions (5.1)].

For patients with isolated elevations of transaminase >1.5 × ULN, consider docetaxel dose modifications [see Dosage and Administration (2.7)].

Measure bilirubin, AST or ALT, and alkaline phosphatase prior to each cycle of docetaxel therapy.

8.6 Hepatic Impairment

Avoid docetaxel in patients with bilirubin >ULN and patients with AST and/or ALT >1.5 x ULN concomitant with alkaline phosphatase >2.5 x ULN [see Boxed Warning, Warnings and Precautions (5.2), Clinical Pharmacology (12.3)].

The alcohol content of docetaxel should be taken into account when given to patients with hepatic impairment [see Warnings and Precautions (5.13)].

1 Indications and Usage (1 INDICATIONS AND USAGE)

Docetaxel Injection is a microtubule inhibitor indicated for:

  • Breast Cancer (BC): single agent for locally advanced or metastatic BC after chemotherapy failure; and with doxorubicin and cyclophosphamide as adjuvant treatment of operable node-positive BC (1.1)
  • Non-small Cell Lung Cancer (NSCLC): single agent for locally advanced or metastatic NSCLC after platinum therapy failure; and with cisplatin for unresectable, locally advanced or metastatic untreated NSCLC (1.2)
  • Castration-Resistant Prostate Cancer (CRPC): with prednisone in metastatic castration-resistant prostate cancer (1.3)
  • Gastric Adenocarcinoma (GC): with cisplatin and fluorouracil for untreated, advanced GC, including the gastroesophageal junction (1.4)
  • Squamous Cell Carcinoma of the Head and Neck (SCCHN): with cisplatin and fluorouracil for induction treatment of locally advanced SCCHN (1.5)
5.3 Hematologic Effects

Perform frequent peripheral blood cell counts on all patients receiving docetaxel. Do not retreat patients with subsequent cycles of docetaxel until neutrophils recover to a level >1,500 cells/mm3 [see Contraindications (4)]. Avoid retreating patients until platelets recover to a level >100,000 cells/mm3.

A 25% reduction in the dose of docetaxel is recommended during subsequent cycles following severe neutropenia (<500 cells/mm3) lasting 7 days or more, febrile neutropenia, or a grade 4 infection in a docetaxel cycle [see Dosage and Administration (2.7)].

Neutropenia (<2,000 neutrophils/mm3) occurs in virtually all patients given 60 mg/m2 to 100 mg/m2 of docetaxel and grade 4 neutropenia (<500 cells/mm3) occurs in 85% of patients given 100 mg/m2 and 75% of patients given 60 mg/m2. Frequent monitoring of blood counts is, therefore, essential so that dose can be adjusted. Docetaxel should not be administered to patients with neutrophils <1,500 cells/mm3.

Febrile neutropenia occurred in about 12% of patients given 100 mg/m2 but was very uncommon in patients given 60 mg/m2. Hematologic responses, febrile reactions and infections, and rates of septic death for different regimens are dose related [see Adverse Reactions (6.1), Clinical Studies (14)].

Three breast cancer patients with severe liver impairment (bilirubin >1.7 times ULN) developed fatal gastrointestinal bleeding associated with severe drug-induced thrombocytopenia. In gastric cancer patients treated with docetaxel in combination with cisplatin and fluorouracil (TCF), febrile neutropenia and/or neutropenic infection occurred in 12% of patients receiving G-CSF compared to 28% who did not. Patients receiving TCF should be closely monitored during the first and subsequent cycles for febrile neutropenia and neutropenic infection [see Dosage and Administration (2.7), Adverse Reactions (6)].

5.8 Cutaneous Reactions

Localized erythema of the extremities with edema followed by desquamation has been observed. In case of severe skin toxicity, an adjustment in dosage is recommended [see Dosage and Administration (2.7)]. The discontinuation rate due to skin toxicity was 1.6% (15/965) for metastatic breast cancer patients. Among 92 breast cancer patients premedicated with 3-day corticosteroids, there were no cases of severe skin toxicity reported and no patient discontinued docetaxel due to skin toxicity.

Severe cutaneous adverse reactions (SCARs) such as Stevens-Johnson syndrome (SJS), toxic epidermal necrolysis (TEN), and acute generalized exanthematous pustulosis (AGEP) have been reported in association with docetaxel treatment. Patients should be informed about the signs and symptoms of serious skin manifestations and monitored closely. Permanent treatment discontinuation should be considered in patients who experience SCARs.

1.5 Head and Neck Cancer

Docetaxel Injection in combination with cisplatin and fluorouracil is indicated for the induction treatment of patients with locally advanced squamous cell carcinoma of the head and neck (SCCHN).

12.1 Mechanism of Action

Docetaxel is an antineoplastic agent that acts by disrupting the microtubular network in cells that is essential for mitotic and interphase cellular functions. Docetaxel binds to free tubulin and promotes the assembly of tubulin into stable microtubules while simultaneously inhibiting their disassembly. This leads to the production of microtubule bundles without normal function and to the stabilization of microtubules, which results in the inhibition of mitosis in cells. Docetaxel's binding to microtubules does not alter the number of protofilaments in the bound microtubules, a feature which differs from most spindle poisons currently in clinical use.

2.5 Head and Neck Cancer

Patients must receive premedication with antiemetics, and appropriate hydration (prior to and after cisplatin administration). Prophylaxis for neutropenic infections should be administered. All patients treated on the docetaxel injection containing arms of the TAX323 and TAX324 studies received prophylactic antibiotics.

5.9 Neurologic Reactions

Severe neurosensory symptoms (e.g. paresthesia, dysesthesia, pain) were observed in 5.5% (53/965) of metastatic breast cancer patients, and resulted in treatment discontinuation in 6.1%. When these symptoms occur, dosage must be adjusted. If symptoms persist, treatment should be discontinued [see Dosage and Administration (2.7)]. Patients who experienced neurotoxicity in clinical trials and for whom follow-up information on the complete resolution of the event was available had spontaneous reversal of symptoms with a median of 9 weeks from onset (range: 0 to 106 weeks). Severe peripheral motor neuropathy mainly manifested as distal extremity weakness occurred in 4.4% (42/965).

2.6 Premedication Regimen

All patients should be premedicated with oral corticosteroids (see below for prostate cancer) such as dexamethasone 16 mg per day (e.g., 8 mg twice daily) for 3 days starting 1 day prior to docetaxel injection administration in order to reduce the incidence and severity of fluid retention as well as the severity of hypersensitivity reactions [see Boxed Warning, Warnings and Precautions (5.5)].

For metastatic castration-resistant prostate cancer, given the concurrent use of prednisone, the recommended premedication regimen is oral dexamethasone 8 mg at 12 hours, 3 hours, and 1 hour before the docetaxel injection infusion [see Warnings and Precautions (5.5)].

5.14 Tumor Lysis Syndrome

Tumor lysis syndrome has been reported with docetaxel [see Adverse Reactions (6.2)]. Patients at risk of tumor lysis syndrome (e.g., with renal impairment, hyperuricemia, bulky tumor) should be closely monitored prior to initiating docetaxel and periodically during treatment. Correction of dehydration and treatment of high uric acid levels are recommended prior to initiation of treatment.

1.4 Gastric Adenocarcinoma

Docetaxel Injection in combination with cisplatin and fluorouracil is indicated for the treatment of patients with advanced gastric adenocarcinoma, including adenocarcinoma of the gastroesophageal junction, who have not received prior chemotherapy for advanced disease.

16.3 Handling and Disposal

Docetaxel Injection, USP is a hazardous drug. Follow applicable special handling and disposal procedures.

Discard unused portion.

Sterile, Nonpyrogenic, Preservative-free.

The container closure is not made with natural rubber latex.

2.4 Gastric Adenocarcinoma
  • For gastric adenocarcinoma, the recommended dose of docetaxel injection is 75 mg/m2 as a 1 hour intravenous infusion, followed by cisplatin 75 mg/m2, as a 1 to 3 hour intravenous infusion (both on day 1 only), followed by fluorouracil 750 mg/m2 per day given as a 24-hour continuous intravenous infusion for 5 days, starting at the end of the cisplatin infusion. Treatment is repeated every three weeks. Patients must receive premedication with antiemetics and appropriate hydration for cisplatin administration [see Dosage and Administration (2.7)].
5 Warnings and Precautions (5 WARNINGS AND PRECAUTIONS)
  • Second primary malignancies: In patients treated with docetaxel-containing regimens, monitor for delayed AML, MDS, NHL, and renal cancer. (5.7)
  • Cutaneous reactions: Reactions including erythema of the extremities with edema followed by desquamation may occur. Severe cutaneous adverse reactions have been reported. Severe skin toxicity may require dose adjustment or permanent treatment discontinuation. (5.8)
  • Neurologic reactions: Reactions including paresthesia, dysesthesia, and pain may occur. Severe neurosensory symptoms require dose adjustment or discontinuation if persistent. (5.9)
  • Eye disorders: Cystoid macular edema (CME) has been reported and requires treatment discontinuation. (5.10)
  • Asthenia: Severe asthenia may occur and may require treatment discontinuation. (5.11)
  • Embryo-fetal toxicity: Can cause fetal harm. Advise patients of the potential risk to a fetus and to use effective contraception. (5.12, 8.1, 8.3)
  • Alcohol content: The alcohol content in a dose of docetaxel may affect the central nervous system. This may include impairment of a patient's ability to drive or use machines immediately after infusion. (5.13)
  • Tumor lysis syndrome: Tumor lysis syndrome has been reported. Patients at risk should be well hydrated and closely monitored during treatment. (5.14)
5.12 Embryo Fetal Toxicity (5.12 Embryo-Fetal Toxicity)

Based on findings from animal reproduction studies and its mechanism of action, docetaxel can cause fetal harm when administered to a pregnant woman [see Clinical Pharmacology (12.1)]. Available data from case reports in the literature and pharmacovigilance with docetaxel use in pregnant women are not sufficient to inform the drug-associated risk of major birth defects, miscarriage or adverse maternal or fetal outcomes. In animal reproduction studies, administration of docetaxel to pregnant rats and rabbits during the period of organogenesis caused embryo-fetal toxicities, including intrauterine mortality, at doses as low as 0.02 and 0.003 times the recommended human dose based on body surface area, respectively.

Advise pregnant women and females of reproductive potential of the potential risk to a fetus. Verify pregnancy status in females of reproductive potential prior to initiating docetaxel. Advise females of reproductive potential to use effective contraception during treatment and for 2 months after the last dose of docetaxel. Advise male patients with female partners of reproductive potential to use effective contraception during treatment and for 4 months after the last dose of docetaxel [see Use in Specific Populations (8.1, 8.3)].

14.5 Gastric Adenocarcinoma

A multicenter, open-label, randomized trial was conducted to evaluate the safety and efficacy of docetaxel for the treatment of patients with advanced gastric adenocarcinoma, including adenocarcinoma of the gastroesophageal junction, who had not received prior chemotherapy for advanced disease. A total of 445 patients with KPS >70 were treated with either docetaxel (T) (75 mg/m2 on day 1) in combination with cisplatin (C) (75 mg/m2 on day 1) and fluorouracil (F) (750 mg/m2 per day for 5 days) or cisplatin (100 mg/m2 on day 1) and fluorouracil (1,000 mg/m2 per day for 5 days). The length of a treatment cycle was 3 weeks for the TCF arm and 4 weeks for the CF arm. The demographic characteristics were balanced between the two treatment arms. The median age was 55 years, 71% were male, 71% were Caucasian, 24% were 65 years of age or older, 19% had a prior curative surgery and 12% had palliative surgery. The median number of cycles administered per patient was 6 (with a range of 1 to 16) for the TCF arm compared to 4 (with a range of 1 to 12) for the CF arm. Time to progression (TTP) was the primary endpoint and was defined as time from randomization to disease progression or death from any cause within 12 weeks of the last evaluable tumor assessment or within 12 weeks of the first infusion of study drugs for patients with no evaluable tumor assessment after randomization. The hazard ratio (HR) for TTP was 1.47 (CF/TCF, 95% CI: 1.19 to 1.83) with a significantly longer TTP (p=0.0004) in the TCF arm. Approximately 75% of patients had died at the time of this analysis. Overall survival was significantly longer (p=0.0201) in the TCF arm with a HR of 1.29 (95% CI: 1.04 to 1.61). Efficacy results are summarized in Table 19 and Figures 6 and 7.

Table 19: Efficacy of Docetaxel in the Treatment of Patients with Gastric Adenocarcinoma
Endpoint TCF

n=221
CF

n=224

*Unstratified log-rank test

For the hazard ratio (TCF/CF), values less than 1.00 favor the docetaxel arm.

Median TTP (months)

(95% CI)

Hazard ratio

(95% CI)

*p-value
5.6

(4.86 to 5.91)
3.7

(3.45 to 4.47)
0.68

(0.55 to 0.84)

0.0004
Median survival (months)

(95% CI)

Hazard ratio

(95% CI)

*p-value
9.2

(8.38 to 10.58)
8.6

(7.16 to 9.46)
0.77

(0.62 to 0.96)

0.0201
Overall Response Rate (CR+PR) (%) 36.7 25.4
p-value 0.0106

Subgroup analyses were consistent with the overall results across age, gender and race.



Figure 6: Gastric Cancer Study (TAX325) Time to Progression K-M Curve

Figure 7: Gastric Cancer Study (TAX325) Survival K-M Curve

2 Dosage and Administration (2 DOSAGE AND ADMINISTRATION)

For all indications, toxicities may warrant dosage adjustments [see Dosage and Administration (2.7)]. Administer in a facility equipped to manage possible complications (e.g. anaphylaxis).

3 Dosage Forms and Strengths (3 DOSAGE FORMS AND STRENGTHS)

One-vial Formulation Docetaxel Injection, USP

Docetaxel Injection, USP 20 mg per mL

Docetaxel Injection, USP 20 mg per 1 mL single-dose vial: 20 mg docetaxel in 1 mL 50/50 (v/v) ratio polysorbate 80/dehydrated alcohol.

Docetaxel Injection, USP 80 mg per 4 mL

Docetaxel Injection, USP 80 mg per 4 mL (20 mg per mL) single-dose vial: 80 mg docetaxel in 4 mL 50/50 (v/v) ratio polysorbate 80/dehydrated alcohol.

6.2 Postmarketing Experience

The following adverse reactions have been identified from clinical trials and/or postmarketing surveillance. Because these reactions are reported from a population of uncertain size, it is not always possible to reliably estimate their frequency or establish a causal relationship to drug exposure.

Body as a whole: diffuse pain, chest pain, radiation recall phenomenon, injection site recall reaction (recurrence of skin reaction at a site of previous extravasation following administration of docetaxel at a different site) at the site of previous extravasation.

Cardiovascular: atrial fibrillation, deep vein thrombosis, ECG abnormalities, thrombophlebitis, pulmonary embolism, syncope, tachycardia, myocardial infarction. Ventricular arrhythmia, including ventricular tachycardia, in patients treated with docetaxel in combination regimens including doxorubicin, 5-fluorouracil and/or cyclophosphamide may be associated with fatal outcome.

Cutaneous: cutaneous lupus erythematosus, bullous eruptions such as erythema multiforme and severe cutaneous adverse reactions (SCARs) such as Stevens-Johnson syndrome, toxic epidermal necrolysis and acute generalized exanthematous pustulosis, scleroderma-like changes (usually preceded by peripheral lymphedema), severe palmar-plantar erythrodysesthesia, and permanent alopecia.

Gastrointestinal: enterocolitis, including colitis, ischemic colitis, and neutropenic enterocolitis, which may be fatal. Abdominal pain, anorexia, constipation, duodenal ulcer, esophagitis, gastrointestinal hemorrhage, gastrointestinal perforation, intestinal obstruction, ileus, and dehydration as a consequence of gastrointestinal events.

Hearing: ototoxicity, hearing disorders and/or hearing loss, including during use with other ototoxic drugs.

Hematologic: bleeding episodes, disseminated intravascular coagulation (DIC), often in association with sepsis or multiorgan failure.

Hepatic: hepatitis, sometimes fatal, primarily in patients with pre-existing liver disorders.

Hypersensitivity: anaphylactic shock with fatal outcome in patients who received premedication. Severe hypersensitivity reactions with fatal outcome with docetaxel in patients who previously experienced hypersensitivity reactions to paclitaxel.

Metabolism and nutrition disorders: electrolyte imbalance, including hyponatremia, hypokalemia, hypomagnesemia, and hypocalcemia. Tumor lysis syndrome, sometimes fatal.

Neurologic: confusion, seizures or transient loss of consciousness, sometimes appearing during the infusion of the drug.

Ophthalmologic: conjunctivitis, lacrimation or lacrimation with or without conjunctivitis, cystoid macular edema (CME). Excessive tearing which may be attributable to lacrimal duct obstruction. Transient visual disturbances (flashes, flashing lights, scotomata), typically occurring during drug infusion and reversible upon discontinuation of the infusion, in association with hypersensitivity reactions.

Respiratory: dyspnea, acute pulmonary edema, acute respiratory distress syndrome/pneumonitis, interstitial lung disease, interstitial pneumonia, respiratory failure, and pulmonary fibrosis, which may be fatal. Radiation pneumonitis in patients receiving concomitant radiotherapy.

Renal: renal insufficiency and renal failure, the majority of cases were associated with concomitant nephrotoxic drugs.

Second primary malignancies: second primary malignancies, including AML, MDS, NHL, and renal cancer [see Warnings and Precautions (5.7)].

Musculoskeletal disorder: myositis.

8 Use in Specific Populations (8 USE IN SPECIFIC POPULATIONS)
  • Lactation: Advise women not to breastfeed. (8.2)
  • Females and Males of Reproductive Potential: Verify pregnancy status of females prior to initiation of docetaxel. (8.3)
1.2 Non Small Cell Lung Cancer (1.2 Non-small Cell Lung Cancer)

Docetaxel Injection as a single agent is indicated for the treatment of patients with locally advanced or metastatic non-small cell lung cancer after failure of prior platinum-based chemotherapy.

Docetaxel Injection in combination with cisplatin is indicated for the treatment of patients with unresectable, locally advanced or metastatic non-small cell lung cancer who have not previously received chemotherapy for this condition.

2.2 Non Small Cell Lung Cancer (2.2 Non-small Cell Lung Cancer)
  • For treatment after failure of prior platinum-based chemotherapy, docetaxel injection was evaluated as monotherapy, and the recommended dose is 75 mg/m2 administered intravenously over 1 hour every 3 weeks. A dose of 100 mg/m2 in patients previously treated with chemotherapy was associated with increased hematologic toxicity, infection, and treatment-related mortality in randomized controlled trials [see Boxed Warning, Dosage and Administration (2.7), Warnings and Precautions (5), Clinical Studies (14)].
  • For chemotherapy-naive patients, docetaxel injection was evaluated in combination with cisplatin. The recommended dose of docetaxel injection is 75 mg/m2 administered intravenously over 1 hour immediately followed by cisplatin 75 mg/m2 over 30 to 60 minutes every 3 weeks [see Dosage and Administration (2.7)].
2.8 Administration Precautions

Docetaxel injection is a hazardous anticancer drug and, as with other potentially toxic compounds, caution should be exercised when handling and preparing docetaxel injection solutions. The use of gloves is recommended [see How Supplied/Storage and Handling (16.3)].

If docetaxel injection initial diluted solution, or final dilution for infusion should come into contact with the skin, immediately and thoroughly wash with soap and water. If docetaxel injection initial diluted solution, or final dilution for infusion should come into contact with mucosa, immediately and thoroughly wash with water.

Contact of the docetaxel injection with plasticized PVC equipment or devices used to prepare solutions for infusion is not recommended. In order to minimize patient exposure to the plasticizer DEHP (di-2-ethylhexyl phthalate), which may be leached from PVC infusion bags or sets, the final docetaxel injection dilution for infusion should be stored in bottles (glass, polypropylene) or plastic bags (polypropylene, polyolefin) and administered through polyethylene-lined administration sets.

5.5 Hypersensitivity Reactions

Monitor patients closely for hypersensitivity reactions, especially during the first and second infusions. Severe hypersensitivity reactions characterized by generalized rash/erythema, hypotension and/or bronchospasm, or fatal anaphylaxis, have been reported in patients premedicated with 3 days of corticosteroids. Severe hypersensitivity reactions require immediate discontinuation of the docetaxel infusion and aggressive therapy. Do not rechallenge patients with a history of severe hypersensitivity reactions with docetaxel [see Contraindications (4)].

Patients who have previously experienced a hypersensitivity reaction to paclitaxel may develop a hypersensitivity reaction to docetaxel that may include severe or fatal reactions such as anaphylaxis. Monitor patients with a previous history of hypersensitivity to paclitaxel closely during initiation of docetaxel therapy. Hypersensitivity reactions may occur within a few minutes following initiation of a docetaxel infusion. If minor reactions such as flushing or localized skin reactions occur, interruption of therapy is not required. All patients should be premedicated with an oral corticosteroid prior to the initiation of the infusion of docetaxel [see Dosage and Administration (2.6)].

5.7 Second Primary Malignancies

Second primary malignancies, notably acute myeloid leukemia (AML), myelodysplastic syndrome (MDS), non-Hodgkin's lymphoma (NHL), and renal cancer, have been reported in patients treated with docetaxel-containing regimens. These adverse reactions may occur several months or years after docetaxel-containing therapy.

Treatment-related AML or MDS has occurred in patients given anthracyclines and/or cyclophosphamide, including use in adjuvant therapy for breast cancer. In the adjuvant breast cancer trial (TAX316) AML occurred in 3 of 744 patients who received docetaxel, doxorubicin and cyclophosphamide (TAC) and in 1 of 736 patients who received fluorouracil, doxorubicin, and cyclophosphamide [see Clinical Studies (14.2)]. In TAC-treated patients, the risk of delayed myelodysplasia or myeloid leukemia requires hematological follow-up. Monitor patients for second primary malignancies [see Adverse Reactions (6.1)].

17 Patient Counseling Information (17 PATIENT COUNSELING INFORMATION)

Advise the patient to read the FDA-approved patient labeling (Patient Information).

2.9 Preparation and Administration

DO NOT use the two-vial formulation (Injection and diluent) with the one-vial formulation.

14.3 Non Small Cell Lung Cancer (nsclc) (14.3 Non-small Cell Lung Cancer (NSCLC))

The efficacy and safety of docetaxel has been evaluated in patients with unresectable, locally advanced or metastatic non-small cell lung cancer whose disease has failed prior platinum-based chemotherapy or in patients who are chemotherapy-naive.

14.2 Adjuvant Treatment of Breast Cancer

A multicenter, open-label, randomized trial (TAX316) evaluated the efficacy and safety of docetaxel for the adjuvant treatment of patients with axillary-node-positive breast cancer and no evidence of distant metastatic disease. After stratification according to the number of positive lymph nodes (1 to 3, 4+), 1,491 patients were randomized to receive either docetaxel 75 mg/m2 administered 1-hour after doxorubicin 50 mg/m2 and cyclophosphamide 500 mg/m2 (TAC arm), or doxorubicin 50 mg/m2 followed by fluorouracil 500 mg/m2 and cyclophosphamide 500 mg/m2 (FAC arm). Both regimens were administered every 3 weeks for 6 cycles. Docetaxel was administered as a 1-hour infusion; all other drugs were given as intravenous bolus on day 1. In both arms, after the last cycle of chemotherapy, patients with positive estrogen and/or progesterone receptors received tamoxifen 20 mg daily for up to 5 years. Adjuvant radiation therapy was prescribed according to guidelines in place at participating institutions and was given to 69% of patients who received TAC and 72% of patients who received FAC.

Results from a second interim analysis (median follow-up 55 months) are as follows: In study TAX316, the docetaxel-containing combination regimen TAC showed significantly longer disease-free survival (DFS) than FAC (hazard ratio=0.74; 2-sided 95% CI=0.60, 0.92, stratified log rank p=0.0047). The primary endpoint, disease-free survival, included local and distant recurrences, contralateral breast cancer and deaths from any cause. The overall reduction in risk of relapse was 25.7% for TAC-treated patients. (See Figure 1.)

At the time of this interim analysis, based on 219 deaths, overall survival was longer for TAC than FAC (hazard ratio=0.69, 2-sided 95% CI=0.53, 0.90). (See Figure 2.) There will be further analysis at the time survival data mature.



Figure 1: TAX316 Disease Free Survival K-M curve

Figure 2: TAX316 Overall Survival K-M Curve

The following table describes the results of subgroup analyses for DFS and OS (see Table 14).

Table 14: Subset Analyses-Adjuvant Breast Cancer Study

*a hazard ratio of less than 1 indicates that TAC is associated with a longer disease free survival or overall survival compared to FAC.

Patient subset Number of patients Disease Free Survival Overall Survival
Hazard ratio* 95% CI Hazard ratio* 95% CI
No. of positive nodes

    Overall

    1 to 3

    4+




744

467

277




0.74

0.64

0.84




(0.60, 0.92)

(0.47, 0.87)

(0.63, 1.12)




0.69

0.45

0.93




(0.53, 0.90)

(0.29, 0.70)

(0.66, 1.32)
Receptor status

    Positive

    Negative


566

178


0.76

0.68


(0.59, 0.98)

(0.48, 0.97)


0.69

0.66


(0.48, 0.99)

(0.44, 0.98)
14.4 Castration Resistant Prostate Cancer (14.4 Castration-Resistant Prostate Cancer)

The safety and efficacy of docetaxel in combination with prednisone in patients with metastatic castration-resistant prostate cancer were evaluated in a randomized multicenter active control trial. A total of 1,006 patients with Karnofsky Performance Status (KPS) ≥60 were randomized to the following treatment groups:

  • Docetaxel 75 mg/m2 every 3 weeks for 10 cycles.
  • Docetaxel 30 mg/m2 administered weekly for the first 5 weeks in a 6-week cycle for 5 cycles.
  • Mitoxantrone 12 mg/m2 every 3 weeks for 10 cycles.

All 3 regimens were administered in combination with prednisone 5 mg twice daily, continuously.

In the docetaxel every three week arm, a statistically significant overall survival advantage was demonstrated compared to mitoxantrone. In the docetaxel weekly arm, no overall survival advantage was demonstrated compared to the mitoxantrone control arm. Efficacy results for the docetaxel every 3 week arm versus the control arm are summarized in Table 18 and Figure 5.

Table 18: Efficacy of Docetaxel in the Treatment of Patients with Metastatic Castration-Resistant Prostate Cancer (Intent-to-Treat Analysis)
Docetaxel+Prednisone

every 3 weeks
Mitoxantrone+Prednisone

every 3 weeks

*Stratified log-rank test. Threshold for statistical significance = 0.0175 because of 3 arms.

Number of patients

Median survival (months)

95% CI

Hazard ratio

95% CI

p-value*
335

18.9

(17.0 to 21.2)

0.761

(0.619 to 0.936)

0.0094
337

16.5

(14.4 to 18.6)

--

--

--

Figure 5: TAX327 Survival K-M Curves

5.4 Enterocolitis and Neutropenic Colitis

Enterocolitis and neutropenic colitis (typhlitis) have occurred in patients treated with docetaxel alone and in combination with other chemotherapeutic agents, despite the coadministration of G-CSF. Caution is recommended for patients with neutropenia, particularly at risk for developing gastrointestinal complications. Enterocolitis and neutropenic enterocolitis may develop at any time, and could lead to death as early as the first day of symptom onset. Monitor patients closely from onset of any symptoms of gastrointestinal toxicity. Inform patients to contact their healthcare provider with new, or worsening symptoms of gastrointestinal toxicity [see Dosage and Administration (2), Warnings and Precautions (5.3), Adverse Reactions (6.2)].

8.3 Females and Males of Reproductive Potential

Based on findings in animals, docetaxel can cause fetal harm when administered to a pregnant woman [see Use in Specific Populations (8.1)].

14.1 Locally Advanced Or Metastatic Breast Cancer (14.1 Locally Advanced or Metastatic Breast Cancer)

The efficacy and safety of docetaxel have been evaluated in locally advanced or metastatic breast cancer after failure of previous chemotherapy (alkylating agent-containing regimens or anthracycline-containing regimens).

13.1 Carcinogenesis, Mutagenesis, Impairment of Fertility

Carcinogenicity studies with docetaxel have not been performed.

Docetaxel was genotoxic by an aneugenic mechanism in the in vitro chromosome aberration test in CHO-K1 cells and in the in vivo micronucleus test in mice administered doses of 0.39 to 1.56 mg/kg (about 1/60th to 1/15th the recommended human dose on a mg/m2 basis). Docetaxel was not mutagenic in the Ames test or the CHO/HGPRT gene mutation assays.

Docetaxel did not reduce fertility in rats when administered in multiple intravenous doses of up to 0.3 mg/kg (about 1/50th the recommended human dose on a mg/m2 basis), but decreased testicular weights were reported. This correlates with findings of a 10-cycle toxicity study (dosing once every 21 days for 6 months) in rats and dogs in which testicular atrophy or degeneration was observed at intravenous doses of 5 mg/kg in rats and 0.375 mg/kg in dogs (about 1/3rd and 1/15th the recommended human dose on a mg/m2 basis, respectively). An increased frequency of dosing in rats produced similar effects at lower dose levels.

Warning: Toxic Deaths, Hepatotoxicity, Neutropenia, Hypersensitivity Reactions, and Fluid Retention (WARNING: TOXIC DEATHS, HEPATOTOXICITY, NEUTROPENIA, HYPERSENSITIVITY REACTIONS, and FLUID RETENTION)

Treatment-related mortality associated with docetaxel is increased in patients with abnormal liver function, in patients receiving higher doses, and in patients with non-small cell lung carcinoma and a history of prior treatment with platinum-based chemotherapy who receive docetaxel as a single agent at a dose of 100 mg/m 2 [see Warnings and Precautions (5.1)].

Avoid the use of docetaxel in patients with bilirubin > upper limit of normal (ULN), or to patients with AST and/or ALT >1.5 x ULN concomitant with alkaline phosphatase >2.5 x ULN. Patients with elevations of bilirubin or abnormalities of transaminase concurrent with alkaline phosphatase are at increased risk for the development of severe neutropenia, febrile neutropenia, infections, severe thrombocytopenia, severe stomatitis, severe skin toxicity, and toxic death. Patients with isolated elevations of transaminase >1.5 x ULN also had a higher rate of febrile neutropenia. Measure bilirubin, AST or ALT, and alkaline phosphatase prior to each cycle of docetaxel [see Warnings and Precautions (5.2)].

Do not administer docetaxel to patients with neutrophil counts of <1,500 cells/mm 3 . Monitor blood counts frequently as neutropenia may be severe and result in infection [see Warnings and Precautions (5.3)].

Do not administer docetaxel to patients who have a history of severe hypersensitivity reactions to docetaxel or to other drugs formulated with polysorbate 80 [see Contraindications (4)] . Severe hypersensitivity reactions have been reported in patients despite dexamethasone premedication. Hypersensitivity reactions require immediate discontinuation of the docetaxel infusion and administration of appropriate therapy [see Warnings and Precautions (5.5)].

Severe fluid retention occurred in 6.5% (6/92) of patients despite use of dexamethasone premedication. It was characterized by one or more of the following events: poorly tolerated peripheral edema, generalized edema, pleural effusion requiring urgent drainage, dyspnea at rest, cardiac tamponade, or pronounced abdominal distention (due to ascites) [see Warnings and Precautions (5.6)].


Advanced Ingredient Data


Raw Label Data

All Sections (JSON)