Vancomycin

Vancomycin
SPL v34
SPL
SPL Set ID 2fd9de3f-a95f-451c-a687-d2e1306e53bf
Route
INTRAVENOUS
Published
Effective Date 2025-01-07
Document Type 34391-3 HUMAN PRESCRIPTION DRUG LABEL

Drug Facts

Composition & Product

Active Ingredients
Vancomycin (750 mg)
Inactive Ingredients
Hydrochloric Acid Sodium Hydroxide

Identifiers & Packaging

Marketing Status
ANDA Active Since 2005-06-16

Description

ADD-Vantage ® Vials Rx only To reduce the development of drug-resistant bacteria and maintain the effectiveness of vancomycin hydrochloride for injection and other antibacterial drugs, vancomycin hydrochloride for injection, should be used only to treat or prevent infections that are proven or strongly suspected to be caused by bacteria.

Indications and Usage

Vancomycin hydrochloride for injection is indicated for the treatment of serious or severe infections caused by susceptible strains of methicillin-resistant (β-lactam-resistant) staphylococci. It is indicated for penicillin-allergic patients, for patients who cannot receive or who have failed to respond to other drugs, including the penicillins or cephalosporins, and for infections caused by vancomycin-susceptible organisms that are resistant to other antimicrobial drugs. Vancomycin hydrochloride for injection is indicated for initial therapy when methicillin-resistant staphylococci are suspected, but after susceptibility data are available, therapy should be adjusted accordingly. Vancomycin hydrochloride for injection is effective in the treatment of staphylococcal endocarditis. Its effectiveness has been documented in other infections due to staphylococci, including septicemia, bone infections, lower respiratory tract infections, skin and skin structure infections. When staphylococcal infections are localized and purulent, antibiotics are used as adjuncts to appropriate surgical measures. Vancomycin hydrochloride for injection has been reported to be effective alone or in combination with an aminoglycoside for endocarditis caused by S. viridans or S. bovis . For endocarditis caused by enterococci (e.g., E. faecalis ), vancomycin has been reported to be effective only in combination with an aminoglycoside. Vancomycin hydrochloride for injection has been reported to be effective for the treatment of diphtheroid endocarditis. Vancomycin hydrochloride for injection has been used successfully in combination with either rifampin, an aminoglycoside, or both in early-onset prosthetic valve endocarditis caused by S. epidermidis or diphtheroids. Specimens for bacteriologic cultures should be obtained in order to isolate and identify causative organisms and to determine their susceptibilities to vancomycin. To reduce the development of drug-resistant bacteria and maintain the effectiveness of vancomycin hydrochloride for injection and other antibacterial drugs, vancomycin hydrochloride for injection should be used only to treat or prevent infections that are proven or strongly suspected to be caused by susceptible bacteria. When culture and susceptibility information are available, they should be considered in selecting or modifying antibacterial therapy. In the absence of such data, local epidemiology and susceptibility patterns may contribute to the empiric selection of therapy. The parenteral form of vancomycin hydrochloride may be administered orally for treatment of antibiotic-associated pseudomembranous colitis produced by C. difficile and for staphylococcal enterocolitis. Parenteral administration of vancomycin hydrochloride alone is of unproven benefit for these indications. Vancomycin is not effective by the oral route for other types of infections.

Dosage and Administration

Infusion-related events are related to both the concentration and the rate of administration of vancomycin. Concentrations of no more than 5 mg/mL and rates of no more than 10 mg/min are recommended in adults (see also age-specific recommendations). In selected patients in need of fluid restriction, a concentration up to 10 mg/mL may be used; use of such higher concentrations may increase the risk of infusion-related events. An infusion rate of 10 mg/min or less is associated with fewer infusion-related events (see ADVERSE REACTIONS ). Infusion-related events may occur, however, at any rate or concentration. The use of ADD-Vantage vials of vancomycin hydrochloride is indicated only when doses of 500 mg, 750 mg or 1 g are appropriate. Patient factors, such as renal function and age, are critical in calculating correct dosage regimens (see below). If doses of 500 mg, 750 mg or 1 g are determined to be inappropriate, conventional vials of vancomycin hydrochloride should be used. ADD-VANTAGE VIALS OF VANCOMYCIN HYDROCHLORIDE SHOULD NOT BE USED IN NEONATES, INFANTS, OR PEDIATRIC PATIENTS WHO REQUIRE DOSES OF LESS THAN 500 MG.

Contraindications

Vancomycin hydrochloride for injection is contraindicated in patients with known hypersensitivity to this antibiotic.

Drug Interactions

Concomitant administration of vancomycin and anesthetic agents has been associated with erythema and histamine-like flushing (see Pediatric Use - PRECAUTIONS ) and anaphylactoid reactions (see ADVERSE REACTIONS ). Monitor renal function in patients receiving vancomycin and concurrent and/or sequential systemic or topical use of other potentially neurotoxic and/or nephrotoxic drugs, such as amphotericin B, aminoglycosides, bacitracin, polymixin B, colistin, viomycin, or cisplatin.

Storage and Handling

Vancomycin Hydrochloride for Injection, USP is supplied as a sterile powder in single-dose ADD-Vantage vials that contain either 500 mg, 750 mg or 1 g. Unit of Sale Fill NDC 0409-6534-01 Tray of 10 single-dose ADD-Vantage ® Vials 500 mg/vial NDC 0409-6531-01 Tray of 10 single-dose ADD-Vantage ® Vials 750 mg/vial NDC 0409-6535-01 Tray of 10 single-dose ADD-Vantage ® Vials 1 g/vial

How Supplied

Vancomycin Hydrochloride for Injection, USP is supplied as a sterile powder in single-dose ADD-Vantage vials that contain either 500 mg, 750 mg or 1 g. Unit of Sale Fill NDC 0409-6534-01 Tray of 10 single-dose ADD-Vantage ® Vials 500 mg/vial NDC 0409-6531-01 Tray of 10 single-dose ADD-Vantage ® Vials 750 mg/vial NDC 0409-6535-01 Tray of 10 single-dose ADD-Vantage ® Vials 1 g/vial


Medication Information

Indications and Usage

Vancomycin hydrochloride for injection is indicated for the treatment of serious or severe infections caused by susceptible strains of methicillin-resistant (β-lactam-resistant) staphylococci. It is indicated for penicillin-allergic patients, for patients who cannot receive or who have failed to respond to other drugs, including the penicillins or cephalosporins, and for infections caused by vancomycin-susceptible organisms that are resistant to other antimicrobial drugs. Vancomycin hydrochloride for injection is indicated for initial therapy when methicillin-resistant staphylococci are suspected, but after susceptibility data are available, therapy should be adjusted accordingly.

Vancomycin hydrochloride for injection is effective in the treatment of staphylococcal endocarditis. Its effectiveness has been documented in other infections due to staphylococci, including septicemia, bone infections, lower respiratory tract infections, skin and skin structure infections. When staphylococcal infections are localized and purulent, antibiotics are used as adjuncts to appropriate surgical measures.

Vancomycin hydrochloride for injection has been reported to be effective alone or in combination with an aminoglycoside for endocarditis caused by S. viridans or S. bovis. For endocarditis caused by enterococci (e.g., E. faecalis), vancomycin has been reported to be effective only in combination with an aminoglycoside.

Vancomycin hydrochloride for injection has been reported to be effective for the treatment of diphtheroid endocarditis. Vancomycin hydrochloride for injection has been used successfully in combination with either rifampin, an aminoglycoside, or both in early-onset prosthetic valve endocarditis caused by S. epidermidis or diphtheroids.

Specimens for bacteriologic cultures should be obtained in order to isolate and identify causative organisms and to determine their susceptibilities to vancomycin.

To reduce the development of drug-resistant bacteria and maintain the effectiveness of vancomycin hydrochloride for injection and other antibacterial drugs, vancomycin hydrochloride for injection should be used only to treat or prevent infections that are proven or strongly suspected to be caused by susceptible bacteria. When culture and susceptibility information are available, they should be considered in selecting or modifying antibacterial therapy. In the absence of such data, local epidemiology and susceptibility patterns may contribute to the empiric selection of therapy.

The parenteral form of vancomycin hydrochloride may be administered orally for treatment of antibiotic-associated pseudomembranous colitis produced by C. difficile and for staphylococcal enterocolitis. Parenteral administration of vancomycin hydrochloride alone is of unproven benefit for these indications. Vancomycin is not effective by the oral route for other types of infections.

Dosage and Administration

Infusion-related events are related to both the concentration and the rate of administration of vancomycin. Concentrations of no more than 5 mg/mL and rates of no more than 10 mg/min are recommended in adults (see also age-specific recommendations). In selected patients in need of fluid restriction, a concentration up to 10 mg/mL may be used; use of such higher concentrations may increase the risk of infusion-related events. An infusion rate of 10 mg/min or less is associated with fewer infusion-related events (see ADVERSE REACTIONS ). Infusion-related events may occur, however, at any rate or concentration.

The use of ADD-Vantage vials of vancomycin hydrochloride is indicated only when doses of 500 mg, 750 mg or 1 g are appropriate. Patient factors, such as renal function and age, are critical in calculating correct dosage regimens (see below). If doses of 500 mg, 750 mg or 1 g are determined to be inappropriate, conventional vials of vancomycin hydrochloride should be used. ADD-VANTAGE VIALS OF VANCOMYCIN HYDROCHLORIDE SHOULD NOT BE USED IN NEONATES, INFANTS, OR PEDIATRIC PATIENTS WHO REQUIRE DOSES OF LESS THAN 500 MG.

Contraindications

Vancomycin hydrochloride for injection is contraindicated in patients with known hypersensitivity to this antibiotic.

Drug Interactions

Concomitant administration of vancomycin and anesthetic agents has been associated with erythema and histamine-like flushing (see Pediatric Use - PRECAUTIONS ) and anaphylactoid reactions (see ADVERSE REACTIONS ).

Monitor renal function in patients receiving vancomycin and concurrent and/or sequential systemic or topical use of other potentially neurotoxic and/or nephrotoxic drugs, such as amphotericin B, aminoglycosides, bacitracin, polymixin B, colistin, viomycin, or cisplatin.

Storage and Handling

Vancomycin Hydrochloride for Injection, USP is supplied as a sterile powder in single-dose ADD-Vantage vials that contain either 500 mg, 750 mg or 1 g. Unit of Sale Fill NDC 0409-6534-01 Tray of 10 single-dose ADD-Vantage ® Vials 500 mg/vial NDC 0409-6531-01 Tray of 10 single-dose ADD-Vantage ® Vials 750 mg/vial NDC 0409-6535-01 Tray of 10 single-dose ADD-Vantage ® Vials 1 g/vial

How Supplied

Vancomycin Hydrochloride for Injection, USP is supplied as a sterile powder in single-dose ADD-Vantage vials that contain either 500 mg, 750 mg or 1 g. Unit of Sale Fill NDC 0409-6534-01 Tray of 10 single-dose ADD-Vantage ® Vials 500 mg/vial NDC 0409-6531-01 Tray of 10 single-dose ADD-Vantage ® Vials 750 mg/vial NDC 0409-6535-01 Tray of 10 single-dose ADD-Vantage ® Vials 1 g/vial

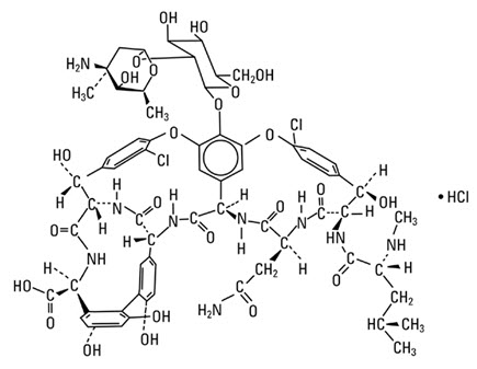
Description

Vancomycin hydrochloride for injection, USP is a lyophilized powder, for preparing intravenous (IV) infusions, in ADD-Vantage® vials each containing the equivalent of 500 mg, 750 mg or 1 g vancomycin base. 500 mg of the base are equivalent to 0.34 mmol, 750 mg of the base are equivalent to 0.51 mmol, and 1 g of the base are equivalent to 0.67 mmol. When reconstituted with Sterile Water for Injection to a concentration of 50 mg/mL, the pH of the solution is between 2.5 and 4.5. This product is oxygen sensitive. Vancomycin Hydrochloride for Injection, USP should be administered intravenously in diluted solution (see DOSAGE AND ADMINISTRATION ).

Vancomycin is a tricyclic glycopeptide antibiotic derived from Amycolatopsis orientalis (formerly Nocardia orientalis). The chemical name for vancomycin hydrochloride is 3S- [3R*,6S*(S*),7S*,22S*,23R*,26R*,36S*,38aS*]]-3-(2-Amino-2-oxoethyl)-44-[[2-O-(3-amino-2,3,6-trideoxy-3-C-methyl-α-L-lyxo-hexopyranosyl)-ß-D-glucopyranosyl]oxy]-10,19-dichloro-2,3,4,5,6,7,23,24,25,26,36,37,38,38a-tetradecahydro-7,22,28,30,32-pentahydroxy-6-[[4-methyl-2-(methylamino)-1-oxopentyl]amino]-2,5,24,38,39-pentaoxo-22H-8,11:18,21-dietheno-23,36- (iminomethano)-13,16:31,35-dimetheno-1H,16H-[1,6,9]oxadiazacyclohexadecino[4,5- m][10,2,16]-benzoxadiazacyclotetracosine-26-carboxylic acid, monohydrochloride. The molecular formula is C66H75Cl2N9O24 ∙ HCl and the molecular weight is 1,485.74. Vancomycin Hydrochloride has the following structural formula:

The solutions contain no bacteriostat, antimicrobial agent (except vancomycin) or buffer and are intended for use only as a single-dose injection only with the ADD-Vantage Flexible Diluent Container.

Adults

The usual daily intravenous dose is 2 g divided either as 500 mg every 6 hours or 1 g every 12 hours. Each dose should be administered at no more than 10 mg/min or over a period of at least 60 minutes, whichever is longer. Other patient factors, such as age or obesity, may call for modification of the usual intravenous daily dose.

Section 42229-5

ADD-Vantage® Vials

Rx only

To reduce the development of drug-resistant bacteria and maintain the effectiveness of vancomycin hydrochloride for injection and other antibacterial drugs, vancomycin hydrochloride for injection, should be used only to treat or prevent infections that are proven or strongly suspected to be caused by bacteria.

Section 44425-7

Prior to reconstitution, store at 20 to 25°C (68 to 77°F). [See USP Controlled Room Temperature.]

Synergy

The combination of vancomycin and an aminoglycoside acts synergistically in vitro against many strains of Staphylococcus aureus, Streptococcus bovis, enterococci, and the viridans group streptococci.

Vancomycin has been shown to be active against most strains of the following microorganisms, both in vitro and in clinical infections as described in the INDICATIONS AND USAGE section.

Neonates

In pediatric patients up to the age of 1 month, the total daily intravenous dosage may be lower. In neonates, an initial dose of 15 mg/kg is suggested, followed by 10 mg/kg every 12 hours for neonates in the 1st week of life and every 8 hours thereafter up to the age of 1 month. Each dose should be administered over 60 minutes. In premature infants, vancomycin clearance decreases as postconceptional age decreases. Therefore, longer dosing intervals may be necessary in premature infants. Close monitoring of serum concentrations of vancomycin is recommended in these patients.

Phlebitis

Inflammation at the injection site has been reported.

Overdosage

Supportive care is advised, with maintenance of glomerular filtration. Vancomycin is poorly removed by dialysis. Hemofiltration and hemoperfusion with polysulfone resin have been reported to result in increased vancomycin clearance. The median lethal intravenous dose is 319 mg/kg in rats and 400 mg/kg in mice.

To obtain up-to-date information about the treatment of overdose, a good resource is your certified Regional Poison Control Center. Telephone numbers of certified poison control centers are listed in the Physicians' Desk Reference (PDR). In managing overdosage, consider the possibility of multiple drug overdoses, interaction among drugs, and unusual drug kinetics in your patient.

References

1. Moellering RC, Krogstad DJ, Greenblatt DJ: Vancomycin therapy in patients with impaired renal function: A nomogram for dosage. Ann Inter Med 1981;94:343.

Ototoxicity

Ototoxicity has occurred in patients receiving vancomycin hydrochloride for injection. It may be transient or permanent. It has been reported mostly in patients who have been given excessive doses, who have an underlying hearing loss, or who are receiving concomitant therapy with another ototoxic agent, such as an aminoglycoside. Vancomycin should be used with caution in patients with renal insufficiency because the risk of toxicity is appreciably increased by high, prolonged blood concentrations.

Dosage of vancomycin hydrochloride for injection must be adjusted for patients with renal dysfunction (see PRECAUTIONS and DOSAGE AND ADMINISTRATION ).

Precautions

Clinically significant serum concentrations have been reported in some patients being treated for active C. difficile-induced pseudomembranous colitis after multiple oral doses of vancomycin.

Prolonged use of vancomycin hydrochloride for injection may result in the overgrowth of nonsusceptible microorganisms. Careful observation of the patient is essential. If superinfection occurs during therapy, appropriate measures should be taken. In rare instances, there have been reports of pseudomembranous colitis due to C. difficile developing in patients who received intravenous vancomycin hydrochloride for injection.

Serial tests of auditory function may be helpful in order to minimize the risk of ototoxicity.

Reversible neutropenia has been reported in patients receiving vancomycin hydrochloride for injection (see ADVERSE REACTIONS ). Patients who will undergo prolonged therapy with vancomycin hydrochloride for injection or those who are receiving concomitant drugs which may cause neutropenia should have periodic monitoring of the leukocyte count.

Vancomycin hydrochloride for injection is irritating to tissue and must be given by a secure IV route of administration. Pain, tenderness, and necrosis occur with intramuscular (IM) injection of vancomycin hydrochloride for injection or with inadvertent extravasation. Thrombophlebitis may occur, the frequency and severity of which can be minimized by administering the drug slowly as a dilute solution (2.5 to 5 g/L) and by rotation of venous access sites.

There have been reports that the frequency of infusion-related events (including hypotension, flushing, erythema, urticaria, and pruritus) increases with the concomitant administration of anesthetic agents. Infusion-related events may be minimized by the administration of vancomycin as a 60-minute infusion prior to anesthetic induction. The safety and efficacy of vancomycin administered by the intrathecal (intralumbar or intraventricular) route or by the intraperitoneal route have not been established by adequate and well-controlled trials.

Reports have revealed that administration of sterile vancomycin by the intraperitoneal route during continuous ambulatory peritoneal dialysis (CAPD) has resulted in a syndrome of chemical peritonitis. To date, this syndrome has ranged from cloudy dialysate alone to a cloudy dialysate accompanied by variable degrees of abdominal pain and fever. This syndrome appears to be short-lived after discontinuation of intraperitoneal vancomycin.

Prescribing vancomycin hydrochloride for injection in the absence of a proven or strongly suspected bacterial infection or a prophylactic indication is unlikely to provide benefit to the patient and increases the risk of the development of drug-resistant bacteria.

Microbiology

The bactericidal action of vancomycin results primarily from inhibition of cell-wall biosynthesis. In addition, vancomycin alters bacterial-cell-membrane permeability and RNA synthesis. There is no cross-resistance between vancomycin and other antibiotics. Vancomycin is not active in vitro against gram-negative bacilli, mycobacteria, or fungi.

Geriatric Use

The natural decrement of glomerular filtration with increasing age may lead to elevated vancomycin serum concentrations if dosage is not adjusted. Vancomycin dosage schedules should be adjusted in elderly patients (see DOSAGE AND ADMINISTRATION ).

Hematopoietic

Reversible neutropenia, usually starting 1 week or more after onset of therapy with vancomycin or after a total dosage of more than 25 g, has been reported for several dozen patients.

Neutropenia appears to be promptly reversible when vancomycin is discontinued. Thrombocytopenia has rarely been reported. Although a causal relationship has not been established, reversible agranulocytosis (granulocytes <500/mm3) has been reported rarely.

Miscellaneous

Patients have been reported to have had anaphylaxis, drug fever, nausea, chills, eosinophilia, rashes including exfoliative dermatitis, Stevens-Johnson syndrome (see WARNINGS, Severe Dermatologic Reactions ), and vasculitis in association with the administration of vancomycin.

Chemical peritonitis has been reported following intraperitoneal administration (see PRECAUTIONS ).

Pediatric Use

In pediatric patients, it may be appropriate to confirm desired vancomycin serum concentrations. Concomitant administration of vancomycin and anesthetic agents has been associated with erythema and histamine-like flushing in pediatric patients (see PRECAUTIONS ).

Nephrotoxicity

Systemic vancomycin exposure may result in acute kidney injury (AKI). The risk of AKI increases as systemic exposure/serum levels increase. Monitor renal function in all patients, especially patients with underlying renal impairment, patients with co-morbidities that predispose to renal impairment, and patients receiving concomitant therapy with a drug known to be nephrotoxic.

Nursing Mothers

Vancomycin hydrochloride for injection is excreted in human milk. Caution should be exercised when vancomycin hydrochloride for injection is administered to a nursing woman. Because of the potential for adverse events, a decision should be made whether to discontinue nursing or to discontinue the drug, taking into account the importance of the drug to the mother.

Gastrointestinal

Onset of pseudomembranous colitis symptoms may occur during or after antibiotic treatment (see WARNINGS ).

Chemical Stability

It has been shown that after reconstitution, the admixture solution prepared in either dextrose injection or sodium chloride injection may be stored for 24 hours at room temperature or in a refrigerator for 14 days without significant loss of potency. However, this information is not intended to suggest that it is acceptable practice to administer such an admixture well after the time of preparation. Admixtures should be prepared as close to the time of administration as is reasonable.

Intermittent infusion is the recommended method of administration.

The 500 mg ADD-Vantage vial should be joined with at least a 100 mL ADD-Vantage flexible diluent container, the 750 mg and the 1 g ADD-Vantage vial should be joined only to a 250 mL ADD-Vantage flexible diluent container. The desired dose diluted in this manner should be administered by intravenous infusion over a period of at least 60 minutes.

Infusion Reactions

Rapid bolus administration (e.g., over several minutes) may be associated with exaggerated hypotension, including shock and rarely cardiac arrest.

Vancomycin hydrochloride for injection should be administered in a diluted solution over a period of not less than 60 minutes to avoid rapid-infusion-related reactions. Stopping the infusion usually results in prompt cessation of these reactions.

Pediatric Patients

The usual intravenous dosage of vancomycin is 10 mg/kg per dose given every 6 hours. Each dose should be administered over a period of at least 60 minutes. Close monitoring of serum concentrations of vancomycin may be warranted in these patients.

Animal Pharmacology

In animal studies, hypotension and bradycardia occurred in dogs receiving an intravenous infusion of vancomycin hydrochloride 25 mg/kg, at a concentration of 25 mg/mL and an infusion rate of 13.3 mL/min.

Teratogenic Effects

Animal reproduction studies have not been conducted with vancomycin. It is not known whether vancomycin can affect reproduction capacity. In a controlled clinical study, the potential ototoxic and nephrotoxic effects of vancomycin on infants were evaluated when the drug was administered to pregnant women for serious staphylococcal infections complicating intravenous drug abuse. Vancomycin was found in cord blood. No sensorineural hearing loss or nephrotoxicity attributable to vancomycin was noted. One infant whose mother received vancomycin in the third trimester experienced conductive hearing loss that was not attributed to the administration of vancomycin. Because the number of patients treated in this study was limited and vancomycin was administered only in the second and third trimesters, it is not known whether vancomycin causes fetal harm. Vancomycin should be given to a pregnant woman only if clearly needed.

Instructions for Use

To Use Vial in ADD-Vantage Flexible Diluent Container

To Open:

Peel overwrap at corner and remove solution container. Some opacity of the plastic due to moisture absorption during the sterilization process may be observed. This is normal and does not affect the solution quality or safety. The opacity will diminish gradually.

To Assemble Vial and Flexible Diluent Container:

(Use Aseptic Technique)

  • 1.
    Remove the protective covers from the top of the vial and the vial port on the diluent container as follows:
    • 1.
      To remove the breakaway vial cap, swing the pull ring over the top of the vial and pull down far enough to start the opening (See Figure 1.), then pull straight up to remove the cap. (See Figure 2.) NOTE: Do not access vial with syringe.
  •  
    • 2.
      To remove the vial port cover, grasp the tab on the pull ring, pull up to break the tie membrane, then pull back to remove the cover. (See Figure 3.)
  • 2.
    Screw the vial into the vial port until it will go no further. THE VIAL MUST BE SCREWED IN TIGHTLY TO ASSURE A SEAL. This occurs approximately 1/2 turn (180°) after the first audible click. (See Figure 4.) The clicking sound does not assure a seal; the vial must be turned as far as it will go. NOTE: Once vial is seated, do not attempt to remove. (See Figure 4.)
  • 3.
    Recheck the vial to assure that it is tight by trying to turn it further in the direction of assembly.
  • 4.
    Label appropriately.

To Reconstitute the Drug:

  • 1.
    Squeeze the bottom of the diluent container gently to inflate the portion of the container surrounding the end of the drug vial.
  • 2.
    With the other hand, push the drug vial down into the container telescoping the walls of the container. Grasp the inner cap of the vial through the walls of the container. (See Figure 5.)
  • 3.
    Pull the inner cap from the drug vial. (See Figure 6.) Verify that the rubber stopper has been pulled out, allowing the drug and diluent to mix.
  • 4.
    Mix container contents thoroughly and use within the specified time.

Preparation for Administration:

(Use Aseptic Technique)

  • 1.
    Confirm the activation and admixture of vial contents.
  • 2.
    Check for leaks by squeezing container firmly. If leaks are found, discard unit as sterility may be impaired.
  • 3.
    Close flow control clamp of administration set.
  • 4.
    Remove cover from outlet port at bottom of container.
  • 5.
    Insert piercing pin of administration set into port with a twisting motion until the pin is firmly seated. NOTE: See full directions on administration set carton.
  • 6.
    Lift the free end of the hanger loop on the bottom of the vial, breaking the two tie strings. Bend the loop outward to lock it in the upright position, then suspend container from hanger.
  • 7.
    Squeeze and release drip chamber to establish proper fluid level in chamber.
  • 8.
    Open flow control clamp and clear air from set. Close clamp.
  • 9.
    Attach set to venipuncture device. If device is not indwelling, prime and make venipuncture.
  • 10.
    Regulate rate of administration with flow control clamp.

WARNING: Do not use flexible containers in series connections.

Clinical Pharmacology

Vancomycin is poorly absorbed after oral administration.

In subjects with normal kidney function, multiple intravenous dosing of 1 g of vancomycin (15 mg/kg) infused over 60 minutes produces mean plasma concentrations of approximately 63 mcg/mL immediately after the completion of infusion, mean plasma concentrations of approximately 23 mcg/mL 2 hours after infusion, and mean plasma concentrations of approximately 8 mcg/mL 11 hours after the end of the infusion. Multiple dosing of 500 mg infused over 30 minutes produces mean plasma concentrations of about 49 mcg/mL at the completion of infusion, mean plasma concentrations of about 19 mcg/mL 2 hours after infusion, and mean plasma concentrations of about 10 mcg/mL 6 hours after infusion. The plasma concentrations during multiple dosing are similar to those after a single dose.

The mean elimination half-life of vancomycin from plasma is 4 to 6 hours in subjects with normal renal function. In the first 24 hours, about 75% of an administered dose of vancomycin is excreted in urine by glomerular filtration. Mean plasma clearance is about 0.058 L/kg/h, and mean renal clearance is about 0.048 L/kg/h. Renal dysfunction slows excretion of vancomycin. In anephric patients, the average half-life of elimination is 7.5 days. The distribution coefficient is from 0.3 to 0.43 L/kg. There is no apparent metabolism of the drug. About 60% of an intraperitoneal dose of vancomycin administered during peritoneal dialysis is absorbed systemically in 6 hours. Serum concentrations of about 10 mcg/mL are achieved by intraperitoneal injection of 30 mg/kg of vancomycin. However, the safety and efficacy of the intraperitoneal use of vancomycin has not been established in adequate and well-controlled trials (see PRECAUTIONS ).

Total systemic and renal clearance of vancomycin may be reduced in the elderly. Vancomycin is approximately 55% serum protein bound as measured by ultrafiltration at vancomycin serum concentrations of 10 to 100 mcg/mL. After IV administration of vancomycin, inhibitory concentrations are present in pleural, pericardial, ascitic, and synovial fluids; in urine; in peritoneal dialysis fluid; and in atrial appendage tissue. Vancomycin does not readily diffuse across normal meninges into the spinal fluid; but, when the meninges are inflamed, penetration into the spinal fluid occurs.

Post Marketing Reports

The following adverse reactions have been identified during post-approval use of vancomycin. Because these reactions are reported voluntarily from a population of uncertain size, it is not possible to reliably estimate their frequency or establish a causal relationship to drug exposure.

Susceptibility Testing

For specific information regarding susceptibility test interpretive criteria and associated test methods and quality control standards recognized by FDA for this drug, please see: https://www.fda.gov/STIC.

For Oral Administration

NOTE: For information only. ADD-Vantage Vials cannot be used to supply vancomycin for this purpose.

Oral vancomycin is used in treating antibiotic-associated pseudomembranous colitis caused by C. difficile and for staphylococcal enterocolitis. Vancomycin is not effective by the oral route for other types of infections. The usual adult total daily dosage is 500 mg to 2 g given in 3 or 4 divided doses for 7 to 10 days. The total daily dose in children is 40 mg/kg of body weight in 3 or 4 divided doses for 7 to 10 days. The total daily dosage should not exceed 2 g. The appropriate dose may be diluted in 1 oz of water and given to the patients to drink. Common flavoring syrups may be added to the solution to improve the taste for oral administration. The diluted solution may be administered via a nasogastric tube.

Infusion Related Events

During or soon after rapid infusion of vancomycin hydrochloride for injection, patients may develop anaphylactoid reactions, including hypotension (see ANIMAL PHARMACOLOGY ), wheezing, dyspnea, urticaria, or pruritus. Rapid infusion may also cause flushing of the upper body ("red neck") or pain and muscle spasm of the chest and back. These reactions usually resolve within 20 minutes but may persist for several hours. Such events are infrequent if vancomycin hydrochloride for injection is given by a slow infusion over 60 minutes. In studies of normal volunteers, infusion-related events did not occur when vancomycin hydrochloride for injection was administered at a rate of 10 mg/min or less.

Clostridioides Difficile

Clostridioides difficile associated diarrhea (CDAD) has been reported with use of nearly all antibacterial agents, including vancomycin hydrochloride for injection, and may range in severity from mild diarrhea to fatal colitis. Treatment with antibacterial agents alters the normal flora of the colon leading to overgrowth of C. difficile.

C. difficile produces toxins A and B which contribute to the development of CDAD. Hypertoxin producing strains of C. difficile cause increased morbidity and mortality, as these infections can be refractory to antimicrobial therapy and may require colectomy. CDAD must be considered in all patients who present with diarrhea following antibiotic use. Careful medical history is necessary since CDAD has been reported to occur over two months after the administration of antibacterial agents.

If CDAD is suspected or confirmed, ongoing antibiotic use not directed against C. difficile may need to be discontinued. Appropriate fluid and electrolyte management, protein supplementation, antibiotic treatment of C. difficile, and surgical evaluation should be instituted as clinically indicated.

Preparation and Stability

Vancomycin Hydrochloride ADD-Vantage vials should be used only with approved diluents (5% dextrose injection or 0.9% sodium chloride injection) (see INSTRUCTIONS FOR USE ).

Severe Dermatologic Reactions

Severe dermatologic reactions such as toxic epidermal necrolysis (TEN), Stevens-Johnson syndrome (SJS), drug reaction with eosinophilia and systemic symptoms (DRESS), acute generalized exanthematous pustulosis (AGEP), and linear IgA bullous dermatosis (LABD) have been reported in association with the use of vancomycin. Cutaneous signs or symptoms reported include skin rashes, mucosal lesions, and blisters.

Discontinue vancomycin hydrochloride for injection at the first appearance of signs and symptoms of TEN, SJS, DRESS, AGEP, or LABD.

How Supplied/storage and Handling

Vancomycin Hydrochloride for Injection, USP is supplied as a sterile powder in single-dose ADD-Vantage vials that contain either 500 mg, 750 mg or 1 g.

Unit of Sale Fill

NDC 0409-6534-01

Tray of 10 single-dose ADD-Vantage® Vials

500 mg/vial

NDC 0409-6531-01

Tray of 10 single-dose ADD-Vantage® Vials

750 mg/vial

NDC 0409-6535-01

Tray of 10 single-dose ADD-Vantage® Vials

1 g/vial

Aerobic Gram Positive Microorganisms

Diphtheroids

Enterococci (e.g., Enterococcus faecalis)

Staphylococci, including Staphylococcus aureus and Staphylococcus epidermidis (including heterogeneous methicillin-resistant strains)

Streptococcus bovis

Viridans group streptococci

The following in vitro data are available, but their clinical significance is unknown .

Vancomycin exhibits in vitro MIC's of 1 mcg/mL or less against most (≥ 90%) strains of streptococci listed below and MIC's of 4 mcg/mL or less against most (≥ 90%) strains of other listed microorganisms; however, the safety and effectiveness of vancomycin in treating clinical infections due to these microorganisms have not been established in adequate and well-controlled clinical trials.

Compatibility With Intravenous Fluids

Solutions that are diluted with 5% Dextrose Injection or 0.9% Sodium Chloride Injection may be stored in a refrigerator for 14 days without significant loss of potency.

Vancomycin solution has a low pH and may cause physical instability when it is mixed with other compounds.

Mixtures of solutions of vancomycin and beta-lactam antibiotics have been shown to be physically incompatible. The likelihood of precipitation increases with higher concentrations of vancomycin. It is recommended to adequately flush the intravenous lines between the administration of these antibiotics. It is also recommended to dilute solutions of vancomycin to 5 mg/mL or less.

Although intravitreal injection is not an approved route of administration for vancomycin, precipitation has been reported after intravitreal injection of vancomycin and ceftazidime for endophthalmitis using different syringes and needles. The precipitates dissolved gradually, with complete clearing of the vitreous cavity over two months and with improvement of visual acuity.

Parenteral drug products should be visually inspected for particulate matter and discoloration prior to administration, whenever solution or container permits.

Anaerobic Gram Positive Microorganisms

Actinomyces species

Lactobacillus species

Skin and Subcutaneous Tissue Disorders

Severe dermatologic reactions such as toxic epidermal necrolysis (TEN), drug reaction with eosinophilia and systemic symptoms (DRESS), acute generalized exanthematous pustulosis (AGEP), and linear IgA bullous dermatosis (LABD) (see WARNINGS, Severe Dermatologic Reactions ).

To report SUSPECTED ADVERSE EVENTS, contact FDA at 1-800-FDA-1088 or www.fda.gov/medwatch.

Principal Display Panel 1 G Vial Tray

10 Single-dose ADD-Vantage® Vials

Sterile Powder

Rx only

NDC 0409-6535-01

Contains 10 of NDC 0409-6535-11

Vancomycin

Hydrochloride for Injection, USP

For Intravenous Use

IMPORTANT: Read insert for precautions and directions before use.

Equivalent to 1 g/vial Vancomycin

Hospira

Principal Display Panel 1 G Vial Label

Single-dose

ADD-Vantage® Vial

Vancomycin

Hydrochloride for

Injection, USP

For Intravenous Use.

Equivalent to 1 g/vial Vancomycin

Distributed by Hospira, Inc.

Lake Forest, IL 60045 USA

Hospira

Principal Display Panel 500 Mg Vial Tray

10 Single-dose ADD-Vantage® Vials

Sterile Powder

Rx only

NDC 0409-6534-01

Contains 10 of NDC 0409-6534-11

Vancomycin Hydrochloride

for Injection, USP

For Intravenous Use.

Equivalent to 500 mg/vial Vancomycin

Important – Read insert for precautions and directions before use.

Hospira

Principal Display Panel 750 Mg Vial Tray

10 Single-Dose ADD-Vantage® Vials

Sterile Powder

Rx only

NDC 0409-6531-01

Contains 10 of NDC 0409-6531-11

Vancomycin

Hydrochloride for Injection, USP

Equivalent to 750 mg/vial Vancomycin

For Intravenous Use.

MUST BE FURTHER DILUTED BEFORE USE. SEE INSERT.

Hospira

Principal Display Panel 500 Mg Vial Label

Single-dose ADD-Vantage® Vial

Sterile Powder

Vancomycin

Hydrochloride

for Injection, USP

For Intravenous Use.

Equivalent to 500 mg/vial Vancomycin

Distributed by

Hospira, Inc., Lake Forest, IL 60045 USA

Hospira

Principal Display Panel 750 Mg Vial Label

Single-dose ADD-Vantage® Vial

Vancomycin

Hydrochloride

for Injection, USP

Equivalent to 750 mg/vial Vancomycin

For Intravenous Use.

Distributed by Hospira, Inc.

Lake Forest, IL 60045 USA

Hospira

Hemorrhagic Occlusive Retinal Vasculitis (horv)

Hemorrhagic occlusive retinal vasculitis, including permanent loss of vision, occurred in patients receiving intracameral or intravitreal administration of vancomycin during or after cataract surgery. The safety and efficacy of vancomycin administered by the intracameral or the intravitreal route have not been established by adequate and well-controlled trials. Vancomycin is not indicated for the prophylaxis of endophthalmitis.

Carcinogenesis, Mutagenesis, Impairment of Fertility

Although no long-term studies in animals have been performed to evaluate carcinogenic potential, no mutagenic potential of vancomycin hydrochloride for injection was found in standard laboratory tests. No definitive fertility studies have been performed.

Patients With Impaired Renal Function and Elderly Patients

Dosage adjustment must be made in patients with impaired renal function. In premature infants and the elderly, greater dosage reductions than expected may be necessary because of decreased renal function. Measurement of vancomycin serum concentrations can be helpful in optimizing therapy, especially in seriously ill patients with changing renal function. Vancomycin serum concentrations can be determined by use of microbiologic assay, radioimmunoassay, fluorescence polarization immunoassay, fluorescence immunoassay, or high-pressure liquid chromatography. If creatinine clearance can be measured or estimated accurately, the dosage for most patients with renal impairment can be calculated using the following table. The dosage of vancomycin hydrochloride for injection per day in mg is about 15 times the glomerular filtration rate in mL/min (see following table).

DOSAGE TABLE FOR VANCOMYCIN IN PATIENTS WITH IMPAIRED RENAL FUNCTION (Adapted from Moellering et al1)
Creatinine Clearance

mL/min
Vancomycin Dose

mg/24 h

100

1,545

90

1,390

80

1,235

70

1,080

60

925

50

770

40

620

30

465

20

310

10

155

The initial dose should be no less than 15 mg/kg, even in patients with mild to moderate renal insufficiency. The table is not valid for functionally anephric patients. For such patients, an initial dose of 15 mg/kg of body weight should be given to achieve prompt therapeutic serum concentrations. The dose required to maintain stable concentrations is 1.9 mg/kg/24 h. In patients with marked renal impairment, it may be more convenient to give maintenance doses of 250 to 1,000 mg once every several days rather than administering the drug on a daily basis. In anuria, a dose of 1,000 mg every 7 to 10 days has been recommended. When only serum creatinine is known, the following formula (based on sex, weight, and age of the patient) may be used to calculate creatinine clearance. Calculated creatinine clearances (mL/min) are only estimates. The creatinine clearance should be measured promptly.

Men:

[Weight (kg) × (140 – age in years)]

72 × serum creatinine concentration (mg/dL)

Women:

0.85 × above value

The serum creatinine must represent a steady state of renal function. Otherwise, the estimated value for creatinine clearance is not valid. Such a calculated clearance is an overestimate of actual clearance in patients with conditions: (1) characterized by decreasing renal function, such as shock, severe heart failure, or oliguria; (2) in which a normal relationship between muscle mass and total body weight is not present, such as in obese patients or those with liver disease, edema, or ascites; and (3) accompanied by debilitation, malnutrition, or inactivity. The safety and efficacy of vancomycin administration by the intrathecal (intralumbar or intraventricular) routes have not been established. Intermittent infusion is the recommended method of administration.


Structured Label Content

Adults

The usual daily intravenous dose is 2 g divided either as 500 mg every 6 hours or 1 g every 12 hours. Each dose should be administered at no more than 10 mg/min or over a period of at least 60 minutes, whichever is longer. Other patient factors, such as age or obesity, may call for modification of the usual intravenous daily dose.

Section 42229-5 (42229-5)

ADD-Vantage® Vials

Rx only

To reduce the development of drug-resistant bacteria and maintain the effectiveness of vancomycin hydrochloride for injection and other antibacterial drugs, vancomycin hydrochloride for injection, should be used only to treat or prevent infections that are proven or strongly suspected to be caused by bacteria.

Section 44425-7 (44425-7)

Prior to reconstitution, store at 20 to 25°C (68 to 77°F). [See USP Controlled Room Temperature.]

Synergy

The combination of vancomycin and an aminoglycoside acts synergistically in vitro against many strains of Staphylococcus aureus, Streptococcus bovis, enterococci, and the viridans group streptococci.

Vancomycin has been shown to be active against most strains of the following microorganisms, both in vitro and in clinical infections as described in the INDICATIONS AND USAGE section.

Neonates

In pediatric patients up to the age of 1 month, the total daily intravenous dosage may be lower. In neonates, an initial dose of 15 mg/kg is suggested, followed by 10 mg/kg every 12 hours for neonates in the 1st week of life and every 8 hours thereafter up to the age of 1 month. Each dose should be administered over 60 minutes. In premature infants, vancomycin clearance decreases as postconceptional age decreases. Therefore, longer dosing intervals may be necessary in premature infants. Close monitoring of serum concentrations of vancomycin is recommended in these patients.

Phlebitis

Inflammation at the injection site has been reported.

Overdosage (OVERDOSAGE)

Supportive care is advised, with maintenance of glomerular filtration. Vancomycin is poorly removed by dialysis. Hemofiltration and hemoperfusion with polysulfone resin have been reported to result in increased vancomycin clearance. The median lethal intravenous dose is 319 mg/kg in rats and 400 mg/kg in mice.

To obtain up-to-date information about the treatment of overdose, a good resource is your certified Regional Poison Control Center. Telephone numbers of certified poison control centers are listed in the Physicians' Desk Reference (PDR). In managing overdosage, consider the possibility of multiple drug overdoses, interaction among drugs, and unusual drug kinetics in your patient.

References (REFERENCES)

1. Moellering RC, Krogstad DJ, Greenblatt DJ: Vancomycin therapy in patients with impaired renal function: A nomogram for dosage. Ann Inter Med 1981;94:343.

Description (DESCRIPTION)

Vancomycin hydrochloride for injection, USP is a lyophilized powder, for preparing intravenous (IV) infusions, in ADD-Vantage® vials each containing the equivalent of 500 mg, 750 mg or 1 g vancomycin base. 500 mg of the base are equivalent to 0.34 mmol, 750 mg of the base are equivalent to 0.51 mmol, and 1 g of the base are equivalent to 0.67 mmol. When reconstituted with Sterile Water for Injection to a concentration of 50 mg/mL, the pH of the solution is between 2.5 and 4.5. This product is oxygen sensitive. Vancomycin Hydrochloride for Injection, USP should be administered intravenously in diluted solution (see DOSAGE AND ADMINISTRATION ).

Vancomycin is a tricyclic glycopeptide antibiotic derived from Amycolatopsis orientalis (formerly Nocardia orientalis). The chemical name for vancomycin hydrochloride is 3S- [3R*,6S*(S*),7S*,22S*,23R*,26R*,36S*,38aS*]]-3-(2-Amino-2-oxoethyl)-44-[[2-O-(3-amino-2,3,6-trideoxy-3-C-methyl-α-L-lyxo-hexopyranosyl)-ß-D-glucopyranosyl]oxy]-10,19-dichloro-2,3,4,5,6,7,23,24,25,26,36,37,38,38a-tetradecahydro-7,22,28,30,32-pentahydroxy-6-[[4-methyl-2-(methylamino)-1-oxopentyl]amino]-2,5,24,38,39-pentaoxo-22H-8,11:18,21-dietheno-23,36- (iminomethano)-13,16:31,35-dimetheno-1H,16H-[1,6,9]oxadiazacyclohexadecino[4,5- m][10,2,16]-benzoxadiazacyclotetracosine-26-carboxylic acid, monohydrochloride. The molecular formula is C66H75Cl2N9O24 ∙ HCl and the molecular weight is 1,485.74. Vancomycin Hydrochloride has the following structural formula:

The solutions contain no bacteriostat, antimicrobial agent (except vancomycin) or buffer and are intended for use only as a single-dose injection only with the ADD-Vantage Flexible Diluent Container.

Ototoxicity

Ototoxicity has occurred in patients receiving vancomycin hydrochloride for injection. It may be transient or permanent. It has been reported mostly in patients who have been given excessive doses, who have an underlying hearing loss, or who are receiving concomitant therapy with another ototoxic agent, such as an aminoglycoside. Vancomycin should be used with caution in patients with renal insufficiency because the risk of toxicity is appreciably increased by high, prolonged blood concentrations.

Dosage of vancomycin hydrochloride for injection must be adjusted for patients with renal dysfunction (see PRECAUTIONS and DOSAGE AND ADMINISTRATION ).

Precautions (PRECAUTIONS)

Clinically significant serum concentrations have been reported in some patients being treated for active C. difficile-induced pseudomembranous colitis after multiple oral doses of vancomycin.

Prolonged use of vancomycin hydrochloride for injection may result in the overgrowth of nonsusceptible microorganisms. Careful observation of the patient is essential. If superinfection occurs during therapy, appropriate measures should be taken. In rare instances, there have been reports of pseudomembranous colitis due to C. difficile developing in patients who received intravenous vancomycin hydrochloride for injection.

Serial tests of auditory function may be helpful in order to minimize the risk of ototoxicity.

Reversible neutropenia has been reported in patients receiving vancomycin hydrochloride for injection (see ADVERSE REACTIONS ). Patients who will undergo prolonged therapy with vancomycin hydrochloride for injection or those who are receiving concomitant drugs which may cause neutropenia should have periodic monitoring of the leukocyte count.

Vancomycin hydrochloride for injection is irritating to tissue and must be given by a secure IV route of administration. Pain, tenderness, and necrosis occur with intramuscular (IM) injection of vancomycin hydrochloride for injection or with inadvertent extravasation. Thrombophlebitis may occur, the frequency and severity of which can be minimized by administering the drug slowly as a dilute solution (2.5 to 5 g/L) and by rotation of venous access sites.

There have been reports that the frequency of infusion-related events (including hypotension, flushing, erythema, urticaria, and pruritus) increases with the concomitant administration of anesthetic agents. Infusion-related events may be minimized by the administration of vancomycin as a 60-minute infusion prior to anesthetic induction. The safety and efficacy of vancomycin administered by the intrathecal (intralumbar or intraventricular) route or by the intraperitoneal route have not been established by adequate and well-controlled trials.

Reports have revealed that administration of sterile vancomycin by the intraperitoneal route during continuous ambulatory peritoneal dialysis (CAPD) has resulted in a syndrome of chemical peritonitis. To date, this syndrome has ranged from cloudy dialysate alone to a cloudy dialysate accompanied by variable degrees of abdominal pain and fever. This syndrome appears to be short-lived after discontinuation of intraperitoneal vancomycin.

Prescribing vancomycin hydrochloride for injection in the absence of a proven or strongly suspected bacterial infection or a prophylactic indication is unlikely to provide benefit to the patient and increases the risk of the development of drug-resistant bacteria.

Microbiology (MICROBIOLOGY)

The bactericidal action of vancomycin results primarily from inhibition of cell-wall biosynthesis. In addition, vancomycin alters bacterial-cell-membrane permeability and RNA synthesis. There is no cross-resistance between vancomycin and other antibiotics. Vancomycin is not active in vitro against gram-negative bacilli, mycobacteria, or fungi.

Geriatric Use

The natural decrement of glomerular filtration with increasing age may lead to elevated vancomycin serum concentrations if dosage is not adjusted. Vancomycin dosage schedules should be adjusted in elderly patients (see DOSAGE AND ADMINISTRATION ).

Hematopoietic

Reversible neutropenia, usually starting 1 week or more after onset of therapy with vancomycin or after a total dosage of more than 25 g, has been reported for several dozen patients.

Neutropenia appears to be promptly reversible when vancomycin is discontinued. Thrombocytopenia has rarely been reported. Although a causal relationship has not been established, reversible agranulocytosis (granulocytes <500/mm3) has been reported rarely.

Miscellaneous

Patients have been reported to have had anaphylaxis, drug fever, nausea, chills, eosinophilia, rashes including exfoliative dermatitis, Stevens-Johnson syndrome (see WARNINGS, Severe Dermatologic Reactions ), and vasculitis in association with the administration of vancomycin.

Chemical peritonitis has been reported following intraperitoneal administration (see PRECAUTIONS ).

Pediatric Use

In pediatric patients, it may be appropriate to confirm desired vancomycin serum concentrations. Concomitant administration of vancomycin and anesthetic agents has been associated with erythema and histamine-like flushing in pediatric patients (see PRECAUTIONS ).

Nephrotoxicity

Systemic vancomycin exposure may result in acute kidney injury (AKI). The risk of AKI increases as systemic exposure/serum levels increase. Monitor renal function in all patients, especially patients with underlying renal impairment, patients with co-morbidities that predispose to renal impairment, and patients receiving concomitant therapy with a drug known to be nephrotoxic.

Nursing Mothers

Vancomycin hydrochloride for injection is excreted in human milk. Caution should be exercised when vancomycin hydrochloride for injection is administered to a nursing woman. Because of the potential for adverse events, a decision should be made whether to discontinue nursing or to discontinue the drug, taking into account the importance of the drug to the mother.

Gastrointestinal

Onset of pseudomembranous colitis symptoms may occur during or after antibiotic treatment (see WARNINGS ).

Contraindications (CONTRAINDICATIONS)

Vancomycin hydrochloride for injection is contraindicated in patients with known hypersensitivity to this antibiotic.

Drug Interactions

Concomitant administration of vancomycin and anesthetic agents has been associated with erythema and histamine-like flushing (see Pediatric Use - PRECAUTIONS ) and anaphylactoid reactions (see ADVERSE REACTIONS ).

Monitor renal function in patients receiving vancomycin and concurrent and/or sequential systemic or topical use of other potentially neurotoxic and/or nephrotoxic drugs, such as amphotericin B, aminoglycosides, bacitracin, polymixin B, colistin, viomycin, or cisplatin.

Chemical Stability

It has been shown that after reconstitution, the admixture solution prepared in either dextrose injection or sodium chloride injection may be stored for 24 hours at room temperature or in a refrigerator for 14 days without significant loss of potency. However, this information is not intended to suggest that it is acceptable practice to administer such an admixture well after the time of preparation. Admixtures should be prepared as close to the time of administration as is reasonable.

Intermittent infusion is the recommended method of administration.

The 500 mg ADD-Vantage vial should be joined with at least a 100 mL ADD-Vantage flexible diluent container, the 750 mg and the 1 g ADD-Vantage vial should be joined only to a 250 mL ADD-Vantage flexible diluent container. The desired dose diluted in this manner should be administered by intravenous infusion over a period of at least 60 minutes.

Infusion Reactions

Rapid bolus administration (e.g., over several minutes) may be associated with exaggerated hypotension, including shock and rarely cardiac arrest.

Vancomycin hydrochloride for injection should be administered in a diluted solution over a period of not less than 60 minutes to avoid rapid-infusion-related reactions. Stopping the infusion usually results in prompt cessation of these reactions.

Pediatric Patients (Pediatric patients)

The usual intravenous dosage of vancomycin is 10 mg/kg per dose given every 6 hours. Each dose should be administered over a period of at least 60 minutes. Close monitoring of serum concentrations of vancomycin may be warranted in these patients.

Animal Pharmacology (ANIMAL PHARMACOLOGY)

In animal studies, hypotension and bradycardia occurred in dogs receiving an intravenous infusion of vancomycin hydrochloride 25 mg/kg, at a concentration of 25 mg/mL and an infusion rate of 13.3 mL/min.

Teratogenic Effects

Animal reproduction studies have not been conducted with vancomycin. It is not known whether vancomycin can affect reproduction capacity. In a controlled clinical study, the potential ototoxic and nephrotoxic effects of vancomycin on infants were evaluated when the drug was administered to pregnant women for serious staphylococcal infections complicating intravenous drug abuse. Vancomycin was found in cord blood. No sensorineural hearing loss or nephrotoxicity attributable to vancomycin was noted. One infant whose mother received vancomycin in the third trimester experienced conductive hearing loss that was not attributed to the administration of vancomycin. Because the number of patients treated in this study was limited and vancomycin was administered only in the second and third trimesters, it is not known whether vancomycin causes fetal harm. Vancomycin should be given to a pregnant woman only if clearly needed.

Instructions for Use (INSTRUCTIONS FOR USE)

To Use Vial in ADD-Vantage Flexible Diluent Container

To Open:

Peel overwrap at corner and remove solution container. Some opacity of the plastic due to moisture absorption during the sterilization process may be observed. This is normal and does not affect the solution quality or safety. The opacity will diminish gradually.

To Assemble Vial and Flexible Diluent Container:

(Use Aseptic Technique)

  • 1.
    Remove the protective covers from the top of the vial and the vial port on the diluent container as follows:
    • 1.
      To remove the breakaway vial cap, swing the pull ring over the top of the vial and pull down far enough to start the opening (See Figure 1.), then pull straight up to remove the cap. (See Figure 2.) NOTE: Do not access vial with syringe.
  •  
    • 2.
      To remove the vial port cover, grasp the tab on the pull ring, pull up to break the tie membrane, then pull back to remove the cover. (See Figure 3.)
  • 2.
    Screw the vial into the vial port until it will go no further. THE VIAL MUST BE SCREWED IN TIGHTLY TO ASSURE A SEAL. This occurs approximately 1/2 turn (180°) after the first audible click. (See Figure 4.) The clicking sound does not assure a seal; the vial must be turned as far as it will go. NOTE: Once vial is seated, do not attempt to remove. (See Figure 4.)
  • 3.
    Recheck the vial to assure that it is tight by trying to turn it further in the direction of assembly.
  • 4.
    Label appropriately.

To Reconstitute the Drug:

  • 1.
    Squeeze the bottom of the diluent container gently to inflate the portion of the container surrounding the end of the drug vial.
  • 2.
    With the other hand, push the drug vial down into the container telescoping the walls of the container. Grasp the inner cap of the vial through the walls of the container. (See Figure 5.)
  • 3.
    Pull the inner cap from the drug vial. (See Figure 6.) Verify that the rubber stopper has been pulled out, allowing the drug and diluent to mix.
  • 4.
    Mix container contents thoroughly and use within the specified time.

Preparation for Administration:

(Use Aseptic Technique)

  • 1.
    Confirm the activation and admixture of vial contents.
  • 2.
    Check for leaks by squeezing container firmly. If leaks are found, discard unit as sterility may be impaired.
  • 3.
    Close flow control clamp of administration set.
  • 4.
    Remove cover from outlet port at bottom of container.
  • 5.
    Insert piercing pin of administration set into port with a twisting motion until the pin is firmly seated. NOTE: See full directions on administration set carton.
  • 6.
    Lift the free end of the hanger loop on the bottom of the vial, breaking the two tie strings. Bend the loop outward to lock it in the upright position, then suspend container from hanger.
  • 7.
    Squeeze and release drip chamber to establish proper fluid level in chamber.
  • 8.
    Open flow control clamp and clear air from set. Close clamp.
  • 9.
    Attach set to venipuncture device. If device is not indwelling, prime and make venipuncture.
  • 10.
    Regulate rate of administration with flow control clamp.

WARNING: Do not use flexible containers in series connections.

Clinical Pharmacology (CLINICAL PHARMACOLOGY)

Vancomycin is poorly absorbed after oral administration.

In subjects with normal kidney function, multiple intravenous dosing of 1 g of vancomycin (15 mg/kg) infused over 60 minutes produces mean plasma concentrations of approximately 63 mcg/mL immediately after the completion of infusion, mean plasma concentrations of approximately 23 mcg/mL 2 hours after infusion, and mean plasma concentrations of approximately 8 mcg/mL 11 hours after the end of the infusion. Multiple dosing of 500 mg infused over 30 minutes produces mean plasma concentrations of about 49 mcg/mL at the completion of infusion, mean plasma concentrations of about 19 mcg/mL 2 hours after infusion, and mean plasma concentrations of about 10 mcg/mL 6 hours after infusion. The plasma concentrations during multiple dosing are similar to those after a single dose.

The mean elimination half-life of vancomycin from plasma is 4 to 6 hours in subjects with normal renal function. In the first 24 hours, about 75% of an administered dose of vancomycin is excreted in urine by glomerular filtration. Mean plasma clearance is about 0.058 L/kg/h, and mean renal clearance is about 0.048 L/kg/h. Renal dysfunction slows excretion of vancomycin. In anephric patients, the average half-life of elimination is 7.5 days. The distribution coefficient is from 0.3 to 0.43 L/kg. There is no apparent metabolism of the drug. About 60% of an intraperitoneal dose of vancomycin administered during peritoneal dialysis is absorbed systemically in 6 hours. Serum concentrations of about 10 mcg/mL are achieved by intraperitoneal injection of 30 mg/kg of vancomycin. However, the safety and efficacy of the intraperitoneal use of vancomycin has not been established in adequate and well-controlled trials (see PRECAUTIONS ).

Total systemic and renal clearance of vancomycin may be reduced in the elderly. Vancomycin is approximately 55% serum protein bound as measured by ultrafiltration at vancomycin serum concentrations of 10 to 100 mcg/mL. After IV administration of vancomycin, inhibitory concentrations are present in pleural, pericardial, ascitic, and synovial fluids; in urine; in peritoneal dialysis fluid; and in atrial appendage tissue. Vancomycin does not readily diffuse across normal meninges into the spinal fluid; but, when the meninges are inflamed, penetration into the spinal fluid occurs.

Indications and Usage (INDICATIONS AND USAGE)

Vancomycin hydrochloride for injection is indicated for the treatment of serious or severe infections caused by susceptible strains of methicillin-resistant (β-lactam-resistant) staphylococci. It is indicated for penicillin-allergic patients, for patients who cannot receive or who have failed to respond to other drugs, including the penicillins or cephalosporins, and for infections caused by vancomycin-susceptible organisms that are resistant to other antimicrobial drugs. Vancomycin hydrochloride for injection is indicated for initial therapy when methicillin-resistant staphylococci are suspected, but after susceptibility data are available, therapy should be adjusted accordingly.

Vancomycin hydrochloride for injection is effective in the treatment of staphylococcal endocarditis. Its effectiveness has been documented in other infections due to staphylococci, including septicemia, bone infections, lower respiratory tract infections, skin and skin structure infections. When staphylococcal infections are localized and purulent, antibiotics are used as adjuncts to appropriate surgical measures.

Vancomycin hydrochloride for injection has been reported to be effective alone or in combination with an aminoglycoside for endocarditis caused by S. viridans or S. bovis. For endocarditis caused by enterococci (e.g., E. faecalis), vancomycin has been reported to be effective only in combination with an aminoglycoside.

Vancomycin hydrochloride for injection has been reported to be effective for the treatment of diphtheroid endocarditis. Vancomycin hydrochloride for injection has been used successfully in combination with either rifampin, an aminoglycoside, or both in early-onset prosthetic valve endocarditis caused by S. epidermidis or diphtheroids.

Specimens for bacteriologic cultures should be obtained in order to isolate and identify causative organisms and to determine their susceptibilities to vancomycin.

To reduce the development of drug-resistant bacteria and maintain the effectiveness of vancomycin hydrochloride for injection and other antibacterial drugs, vancomycin hydrochloride for injection should be used only to treat or prevent infections that are proven or strongly suspected to be caused by susceptible bacteria. When culture and susceptibility information are available, they should be considered in selecting or modifying antibacterial therapy. In the absence of such data, local epidemiology and susceptibility patterns may contribute to the empiric selection of therapy.

The parenteral form of vancomycin hydrochloride may be administered orally for treatment of antibiotic-associated pseudomembranous colitis produced by C. difficile and for staphylococcal enterocolitis. Parenteral administration of vancomycin hydrochloride alone is of unproven benefit for these indications. Vancomycin is not effective by the oral route for other types of infections.

Post Marketing Reports

The following adverse reactions have been identified during post-approval use of vancomycin. Because these reactions are reported voluntarily from a population of uncertain size, it is not possible to reliably estimate their frequency or establish a causal relationship to drug exposure.

Susceptibility Testing

For specific information regarding susceptibility test interpretive criteria and associated test methods and quality control standards recognized by FDA for this drug, please see: https://www.fda.gov/STIC.

For Oral Administration

NOTE: For information only. ADD-Vantage Vials cannot be used to supply vancomycin for this purpose.

Oral vancomycin is used in treating antibiotic-associated pseudomembranous colitis caused by C. difficile and for staphylococcal enterocolitis. Vancomycin is not effective by the oral route for other types of infections. The usual adult total daily dosage is 500 mg to 2 g given in 3 or 4 divided doses for 7 to 10 days. The total daily dose in children is 40 mg/kg of body weight in 3 or 4 divided doses for 7 to 10 days. The total daily dosage should not exceed 2 g. The appropriate dose may be diluted in 1 oz of water and given to the patients to drink. Common flavoring syrups may be added to the solution to improve the taste for oral administration. The diluted solution may be administered via a nasogastric tube.

Infusion Related Events (Infusion-Related Events)

During or soon after rapid infusion of vancomycin hydrochloride for injection, patients may develop anaphylactoid reactions, including hypotension (see ANIMAL PHARMACOLOGY ), wheezing, dyspnea, urticaria, or pruritus. Rapid infusion may also cause flushing of the upper body ("red neck") or pain and muscle spasm of the chest and back. These reactions usually resolve within 20 minutes but may persist for several hours. Such events are infrequent if vancomycin hydrochloride for injection is given by a slow infusion over 60 minutes. In studies of normal volunteers, infusion-related events did not occur when vancomycin hydrochloride for injection was administered at a rate of 10 mg/min or less.

Clostridioides Difficile (Clostridioides difficile)

Clostridioides difficile associated diarrhea (CDAD) has been reported with use of nearly all antibacterial agents, including vancomycin hydrochloride for injection, and may range in severity from mild diarrhea to fatal colitis. Treatment with antibacterial agents alters the normal flora of the colon leading to overgrowth of C. difficile.

C. difficile produces toxins A and B which contribute to the development of CDAD. Hypertoxin producing strains of C. difficile cause increased morbidity and mortality, as these infections can be refractory to antimicrobial therapy and may require colectomy. CDAD must be considered in all patients who present with diarrhea following antibiotic use. Careful medical history is necessary since CDAD has been reported to occur over two months after the administration of antibacterial agents.

If CDAD is suspected or confirmed, ongoing antibiotic use not directed against C. difficile may need to be discontinued. Appropriate fluid and electrolyte management, protein supplementation, antibiotic treatment of C. difficile, and surgical evaluation should be instituted as clinically indicated.

Dosage and Administration (DOSAGE AND ADMINISTRATION)

Infusion-related events are related to both the concentration and the rate of administration of vancomycin. Concentrations of no more than 5 mg/mL and rates of no more than 10 mg/min are recommended in adults (see also age-specific recommendations). In selected patients in need of fluid restriction, a concentration up to 10 mg/mL may be used; use of such higher concentrations may increase the risk of infusion-related events. An infusion rate of 10 mg/min or less is associated with fewer infusion-related events (see ADVERSE REACTIONS ). Infusion-related events may occur, however, at any rate or concentration.

The use of ADD-Vantage vials of vancomycin hydrochloride is indicated only when doses of 500 mg, 750 mg or 1 g are appropriate. Patient factors, such as renal function and age, are critical in calculating correct dosage regimens (see below). If doses of 500 mg, 750 mg or 1 g are determined to be inappropriate, conventional vials of vancomycin hydrochloride should be used. ADD-VANTAGE VIALS OF VANCOMYCIN HYDROCHLORIDE SHOULD NOT BE USED IN NEONATES, INFANTS, OR PEDIATRIC PATIENTS WHO REQUIRE DOSES OF LESS THAN 500 MG.

Preparation and Stability

Vancomycin Hydrochloride ADD-Vantage vials should be used only with approved diluents (5% dextrose injection or 0.9% sodium chloride injection) (see INSTRUCTIONS FOR USE ).

Severe Dermatologic Reactions

Severe dermatologic reactions such as toxic epidermal necrolysis (TEN), Stevens-Johnson syndrome (SJS), drug reaction with eosinophilia and systemic symptoms (DRESS), acute generalized exanthematous pustulosis (AGEP), and linear IgA bullous dermatosis (LABD) have been reported in association with the use of vancomycin. Cutaneous signs or symptoms reported include skin rashes, mucosal lesions, and blisters.

Discontinue vancomycin hydrochloride for injection at the first appearance of signs and symptoms of TEN, SJS, DRESS, AGEP, or LABD.

How Supplied/storage and Handling (HOW SUPPLIED/STORAGE AND HANDLING)

Vancomycin Hydrochloride for Injection, USP is supplied as a sterile powder in single-dose ADD-Vantage vials that contain either 500 mg, 750 mg or 1 g.

Unit of Sale Fill

NDC 0409-6534-01

Tray of 10 single-dose ADD-Vantage® Vials

500 mg/vial

NDC 0409-6531-01

Tray of 10 single-dose ADD-Vantage® Vials

750 mg/vial

NDC 0409-6535-01

Tray of 10 single-dose ADD-Vantage® Vials

1 g/vial

Aerobic Gram Positive Microorganisms (Aerobic gram-positive microorganisms)

Diphtheroids

Enterococci (e.g., Enterococcus faecalis)

Staphylococci, including Staphylococcus aureus and Staphylococcus epidermidis (including heterogeneous methicillin-resistant strains)

Streptococcus bovis

Viridans group streptococci

The following in vitro data are available, but their clinical significance is unknown .

Vancomycin exhibits in vitro MIC's of 1 mcg/mL or less against most (≥ 90%) strains of streptococci listed below and MIC's of 4 mcg/mL or less against most (≥ 90%) strains of other listed microorganisms; however, the safety and effectiveness of vancomycin in treating clinical infections due to these microorganisms have not been established in adequate and well-controlled clinical trials.

Compatibility With Intravenous Fluids (Compatibility with Intravenous Fluids)

Solutions that are diluted with 5% Dextrose Injection or 0.9% Sodium Chloride Injection may be stored in a refrigerator for 14 days without significant loss of potency.

Vancomycin solution has a low pH and may cause physical instability when it is mixed with other compounds.

Mixtures of solutions of vancomycin and beta-lactam antibiotics have been shown to be physically incompatible. The likelihood of precipitation increases with higher concentrations of vancomycin. It is recommended to adequately flush the intravenous lines between the administration of these antibiotics. It is also recommended to dilute solutions of vancomycin to 5 mg/mL or less.

Although intravitreal injection is not an approved route of administration for vancomycin, precipitation has been reported after intravitreal injection of vancomycin and ceftazidime for endophthalmitis using different syringes and needles. The precipitates dissolved gradually, with complete clearing of the vitreous cavity over two months and with improvement of visual acuity.

Parenteral drug products should be visually inspected for particulate matter and discoloration prior to administration, whenever solution or container permits.

Anaerobic Gram Positive Microorganisms (Anaerobic gram-positive microorganisms)

Actinomyces species

Lactobacillus species

Skin and Subcutaneous Tissue Disorders

Severe dermatologic reactions such as toxic epidermal necrolysis (TEN), drug reaction with eosinophilia and systemic symptoms (DRESS), acute generalized exanthematous pustulosis (AGEP), and linear IgA bullous dermatosis (LABD) (see WARNINGS, Severe Dermatologic Reactions ).

To report SUSPECTED ADVERSE EVENTS, contact FDA at 1-800-FDA-1088 or www.fda.gov/medwatch.

Principal Display Panel 1 G Vial Tray (PRINCIPAL DISPLAY PANEL - 1 g Vial Tray)

10 Single-dose ADD-Vantage® Vials

Sterile Powder

Rx only

NDC 0409-6535-01

Contains 10 of NDC 0409-6535-11

Vancomycin

Hydrochloride for Injection, USP

For Intravenous Use

IMPORTANT: Read insert for precautions and directions before use.

Equivalent to 1 g/vial Vancomycin

Hospira

Principal Display Panel 1 G Vial Label (PRINCIPAL DISPLAY PANEL - 1 g Vial Label)

Single-dose

ADD-Vantage® Vial

Vancomycin

Hydrochloride for

Injection, USP

For Intravenous Use.

Equivalent to 1 g/vial Vancomycin

Distributed by Hospira, Inc.

Lake Forest, IL 60045 USA

Hospira

Principal Display Panel 500 Mg Vial Tray (PRINCIPAL DISPLAY PANEL - 500 mg Vial Tray)

10 Single-dose ADD-Vantage® Vials

Sterile Powder

Rx only

NDC 0409-6534-01

Contains 10 of NDC 0409-6534-11

Vancomycin Hydrochloride

for Injection, USP

For Intravenous Use.

Equivalent to 500 mg/vial Vancomycin

Important – Read insert for precautions and directions before use.

Hospira

Principal Display Panel 750 Mg Vial Tray (PRINCIPAL DISPLAY PANEL - 750 mg Vial Tray)

10 Single-Dose ADD-Vantage® Vials

Sterile Powder

Rx only

NDC 0409-6531-01

Contains 10 of NDC 0409-6531-11

Vancomycin

Hydrochloride for Injection, USP

Equivalent to 750 mg/vial Vancomycin

For Intravenous Use.

MUST BE FURTHER DILUTED BEFORE USE. SEE INSERT.

Hospira

Principal Display Panel 500 Mg Vial Label (PRINCIPAL DISPLAY PANEL - 500 mg Vial Label)

Single-dose ADD-Vantage® Vial

Sterile Powder

Vancomycin

Hydrochloride

for Injection, USP

For Intravenous Use.

Equivalent to 500 mg/vial Vancomycin

Distributed by

Hospira, Inc., Lake Forest, IL 60045 USA

Hospira

Principal Display Panel 750 Mg Vial Label (PRINCIPAL DISPLAY PANEL - 750 mg Vial Label)

Single-dose ADD-Vantage® Vial

Vancomycin

Hydrochloride

for Injection, USP

Equivalent to 750 mg/vial Vancomycin

For Intravenous Use.

Distributed by Hospira, Inc.

Lake Forest, IL 60045 USA

Hospira

Hemorrhagic Occlusive Retinal Vasculitis (horv) (Hemorrhagic Occlusive Retinal Vasculitis (HORV))

Hemorrhagic occlusive retinal vasculitis, including permanent loss of vision, occurred in patients receiving intracameral or intravitreal administration of vancomycin during or after cataract surgery. The safety and efficacy of vancomycin administered by the intracameral or the intravitreal route have not been established by adequate and well-controlled trials. Vancomycin is not indicated for the prophylaxis of endophthalmitis.

Carcinogenesis, Mutagenesis, Impairment of Fertility

Although no long-term studies in animals have been performed to evaluate carcinogenic potential, no mutagenic potential of vancomycin hydrochloride for injection was found in standard laboratory tests. No definitive fertility studies have been performed.

Patients With Impaired Renal Function and Elderly Patients (Patients with Impaired Renal Function and Elderly Patients)

Dosage adjustment must be made in patients with impaired renal function. In premature infants and the elderly, greater dosage reductions than expected may be necessary because of decreased renal function. Measurement of vancomycin serum concentrations can be helpful in optimizing therapy, especially in seriously ill patients with changing renal function. Vancomycin serum concentrations can be determined by use of microbiologic assay, radioimmunoassay, fluorescence polarization immunoassay, fluorescence immunoassay, or high-pressure liquid chromatography. If creatinine clearance can be measured or estimated accurately, the dosage for most patients with renal impairment can be calculated using the following table. The dosage of vancomycin hydrochloride for injection per day in mg is about 15 times the glomerular filtration rate in mL/min (see following table).

DOSAGE TABLE FOR VANCOMYCIN IN PATIENTS WITH IMPAIRED RENAL FUNCTION (Adapted from Moellering et al1)
Creatinine Clearance

mL/min
Vancomycin Dose

mg/24 h

100

1,545

90

1,390

80

1,235

70

1,080

60

925

50

770

40

620

30

465

20

310

10

155

The initial dose should be no less than 15 mg/kg, even in patients with mild to moderate renal insufficiency. The table is not valid for functionally anephric patients. For such patients, an initial dose of 15 mg/kg of body weight should be given to achieve prompt therapeutic serum concentrations. The dose required to maintain stable concentrations is 1.9 mg/kg/24 h. In patients with marked renal impairment, it may be more convenient to give maintenance doses of 250 to 1,000 mg once every several days rather than administering the drug on a daily basis. In anuria, a dose of 1,000 mg every 7 to 10 days has been recommended. When only serum creatinine is known, the following formula (based on sex, weight, and age of the patient) may be used to calculate creatinine clearance. Calculated creatinine clearances (mL/min) are only estimates. The creatinine clearance should be measured promptly.

Men:

[Weight (kg) × (140 – age in years)]

72 × serum creatinine concentration (mg/dL)

Women:

0.85 × above value

The serum creatinine must represent a steady state of renal function. Otherwise, the estimated value for creatinine clearance is not valid. Such a calculated clearance is an overestimate of actual clearance in patients with conditions: (1) characterized by decreasing renal function, such as shock, severe heart failure, or oliguria; (2) in which a normal relationship between muscle mass and total body weight is not present, such as in obese patients or those with liver disease, edema, or ascites; and (3) accompanied by debilitation, malnutrition, or inactivity. The safety and efficacy of vancomycin administration by the intrathecal (intralumbar or intraventricular) routes have not been established. Intermittent infusion is the recommended method of administration.


Advanced Ingredient Data


Raw Label Data

All Sections (JSON)