These Highlights Do Not Include All The Information Needed To Use Zolpidem Tartrate Capsules Safely And Effectively. See Full Prescribing Information For Zolpidem Tartrate Capsules.

These Highlights Do Not Include All The Information Needed To Use Zolpidem Tartrate Capsules Safely And Effectively. See Full Prescribing Information For Zolpidem Tartrate Capsules.
SPL v3
SPL
SPL Set ID 2f1a3600-9bd6-3651-3ab5-1e4e0b0a3916
Route
ORAL
Published
Effective Date 2020-09-01
Document Type 34391-3 HUMAN PRESCRIPTION DRUG LABEL

Drug Facts

Composition & Product

Active Ingredients
Zolpidem (7.5 mg)
Inactive Ingredients
Gelatin, Unspecified Lactose Monohydrate Magnesium Stearate Microcrystalline Cellulose Sodium Starch Glycolate Type A Titanium Dioxide Fd&c Blue No. 1 Fd&c Red No. 40 Fd&c Yellow No. 6

Identifiers & Packaging

Marketing Status
NDA Active Since 2023-05-09

Description

Complex sleep behaviors including sleep-walking, sleep-driving, and engaging in other activities while not fully awake may occur following use of Zolpidem Tartrate Capsules. Some of these events may result in serious injuries, including death. Discontinue Zolpidem Tartrate Capsules immediately if a patient experiences a complex sleep behavior [see Contraindications ( 4 ) and Warnings and Precautions ( 5.1 )].

Indications and Usage

Zolpidem Tartrate Capsules are indicated for the short-term treatment of transient insomnia characterized by difficulties with sleep initiation in adults younger than 65 years of age [see Dosage and Administration ( 2.1 ) and Clinical Studies ( 14 )] .

Dosage and Administration

Zolpidem Tartrate Capsules are only available in 7.5 mg strength. Use another zolpidem tartrate immediate-release product for 5 mg or 10 mg dosage ( 2.1 ) Avoid use of Zolpidem Tartrate Capsules in geriatric patients ( 2.1 ) Recommended dosage of zolpidem tartrate (use the lowest effective zolpidem tartrate dosage): Females: The recommended starting dosage of zolpidem tartrate immediate-release in females is 5 mg once nightly. Use another zolpidem tartrate immediate-release product for dosage initiation in females ( 2.1 , 2.2 , 8.6 ) Males: The recommended starting dosage of zolpidem tartrate immediate-release in males is either zolpidem tartrate immediate-release 5 mg, Zolpidem Tartrate Capsules 7.5 mg, or zolpidem tartrate immediate-release 10 mg, once nightly. Use another zolpidem tartrate immediate-release product for 5 mg and 10 mg dosing ( 2.2 ) In both males and females: If a 5 mg nightly dose of another zolpidem tartrate immediate-release product is not effective, the zolpidem tartrate dosage may be increased to Zolpidem Tartrate Capsules 7.5 mg once nightly or 10 mg once nightly of another zolpidem tartrate immediate-release product. The maximum recommended dosage of zolpidem tartrate immediate-release is 10 mg once nightly ( 2.2 ) Zolpidem Tartrate Capsules are for short-term use only ( 2.3 ) Administer Zolpidem Tartrate Capsules orally once per night immediately before bedtime with at least 7 to 8 hours remaining before the planned time of awakening ( 2.4 ) Zolpidem Tartrate Capsules should not be taken with or immediately after a meal. Swallow whole. Do not open, crush, or chew ( 2.4 ) Lower doses of CNS depressants may be necessary when taken concomitantly with Zolpidem Tartrate Capsules ( 2.5 )

Warnings and Precautions

CNS-Depressant Effects: Impaired alertness and motor coordination including risk of morning impairment. Risk increases with dose and use with other CNS depressants and alcohol. Caution patients against driving and other activities requiring mental alertness the morning after use. Instruct patients on correct use ( 5.2 ) Need to Evaluate for Comorbid Diagnoses: Reevaluate if insomnia persists after 7 to 10 days of use ( 5.3 ) Severe Anaphylactic/Anaphylactoid Reactions: Angioedema and anaphylaxis have been reported. Do not rechallenge if such reactions occur ( 5.4 ) Abnormal Thinking and Behavioral Changes: Changes including decreased inhibition, bizarre behavior, agitation, and depersonalization have been reported. Immediately evaluate any new onset behavioral changes ( 5.5 ) Depression: Worsening of depression or suicidal thinking may occur. Prescribe the least amount of capsules feasible to avoid intentional overdose ( 5.6 ) Respiratory Depression: Consider this risk before prescribing in patients with compromised respiratory function ( 5.7 ) Precipitation of Hepatic Encephalopathy: Avoid zolpidem tartrate in patients with severe hepatic impairment ( 2.1 , 5.8 , 8.7 ) Withdrawal Effects: Symptoms may occur with rapid dose reduction or discontinuation ( 5.9 , 9.3 )

Contraindications

Zolpidem Tartrate Capsules are contraindicated in patients: who have experienced complex sleep behaviors after taking zolpidem [see Warnings and Precautions ( 5.1 )] . with known hypersensitivity to zolpidem. Observed reactions include anaphylaxis and angioedema [see Warnings and Precautions ( 5.4 )] .

Adverse Reactions

The following serious adverse reactions are discussed in greater detail in other sections of the labeling: Complex Sleep Behaviors [see Warnings and Precautions ( 5.1 )] CNS-Depressant Effects and Next-Day Impairment [see Warnings and Precautions ( 5.2 )] Severe Anaphylactic and Anaphylactoid Reactions [see Warnings and Precautions ( 5.4 )] Abnormal Thinking and Behavior Changes [see Warnings and Precautions ( 5.5 )] Withdrawal Effects [see Warnings and Precautions ( 5.9 )]

Drug Interactions

Table 2 presents clinically important drug interactions with zolpidem tartrate. Table 2: Clinically Important Drug Interactions with Zolpidem Tartrate Capsules Alcohol and Other CNS Depressants Clinical Impact Concomitant use of alcohol or other CNS depressants with zolpidem tartrate may lead to additive impairment of psychomotor performance and risk of CNS depression [see Clinical Pharmacology ( 12.3 )] . Intervention Dosage adjustments of Zolpidem Tartrate Capsules and of other concomitant CNS depressants may be necessary when Zolpidem Tartrate Capsules are coadministered because of the potentially additive effects. Use another zolpidem tartrate immediate-release product for the 5 mg dose of zolpidem tartrate immediate-release. Refer to the Prescribing Information of other zolpidem tartrate immediate-release products for the recommended dosage for those products. The use of Zolpidem Tartrate Capsules with other sedative-hypnotics (including other zolpidem products) at bedtime or the middle of the night is not recommended [see Dosage and Administration ( 2.5 ), Warnings and Precautions ( 5.1 , 5.2 )] . Opioids Clinical Impact Concomitant administration of zolpidem tartrate and opioids may increase the risk of respiratory depression [see Warnings and Precautions ( 5.2 , 5.7 )] . Intervention Limit dosage and duration of concomitant use of Zolpidem Tartrate Capsules and opioids, and monitor patients closely for respiratory depression. Consider using another zolpidem tartrate immediate-release product for a lower zolpidem tartrate dose (5 mg) [see Dosage and Administration ( 2.5 )] . Imipramine and Chlorpromazine Clinical Impact Concomitant use of imipramine or chlorpromazine with zolpidem tartrate may lead to an additive effect of decreased alertness and psychomotor performance [see Clinical Pharmacology ( 12.3 )] . Intervention Consider using another zolpidem tartrate immediate-release product for a lower zolpidem tartrate dose (5 mg). Sertraline Clinical Impact Concomitant administration of zolpidem and sertraline increases exposure to zolpidem [see Clinical Pharmacology ( 12.3 )] . Intervention Consider using another zolpidem tartrate immediate-release product for a lower zolpidem tartrate dose (5 mg). CYP3A4 Inducers Clinical Impact Concomitant use with CYP3A4 inducers may decrease zolpidem exposure [see Clinical Pharmacology ( 12.3 )] . Intervention Concomitant use of Zolpidem Tartrate Capsules and CYP3A4 inducers is not recommended. CYP3A4 Inhibitors Clinical Impact Concomitant use with CYP3A4 inhibitors increased zolpidem exposure [see Clinical Pharmacology ( 12.3 )] . Intervention Consider using another zolpidem tartrate immediate-release product for a lower zolpidem tartrate dose.

Storage and Handling

Zolpidem Tartrate Capsules 7.5 mg are hard gelatin capsules with “ALM” printed axially on the opaque light green cap and “775” printed axially on the opaque white body, and available as: NDC 52427-775-30, bottle of 30 capsules with child-resistant closure Store at 20°C to 25°C (68°F to 77°F); excursions permitted between 15°C and 30°C (59°F to 86°F) [see USP Controlled Room Temperature].

How Supplied

Zolpidem Tartrate Capsules 7.5 mg are hard gelatin capsules with “ALM” printed axially on the opaque light green cap and “775” printed axially on the opaque white body, and available as: NDC 52427-775-30, bottle of 30 capsules with child-resistant closure Store at 20°C to 25°C (68°F to 77°F); excursions permitted between 15°C and 30°C (59°F to 86°F) [see USP Controlled Room Temperature].


Medication Information

Warnings and Precautions

CNS-Depressant Effects: Impaired alertness and motor coordination including risk of morning impairment. Risk increases with dose and use with other CNS depressants and alcohol. Caution patients against driving and other activities requiring mental alertness the morning after use. Instruct patients on correct use ( 5.2 ) Need to Evaluate for Comorbid Diagnoses: Reevaluate if insomnia persists after 7 to 10 days of use ( 5.3 ) Severe Anaphylactic/Anaphylactoid Reactions: Angioedema and anaphylaxis have been reported. Do not rechallenge if such reactions occur ( 5.4 ) Abnormal Thinking and Behavioral Changes: Changes including decreased inhibition, bizarre behavior, agitation, and depersonalization have been reported. Immediately evaluate any new onset behavioral changes ( 5.5 ) Depression: Worsening of depression or suicidal thinking may occur. Prescribe the least amount of capsules feasible to avoid intentional overdose ( 5.6 ) Respiratory Depression: Consider this risk before prescribing in patients with compromised respiratory function ( 5.7 ) Precipitation of Hepatic Encephalopathy: Avoid zolpidem tartrate in patients with severe hepatic impairment ( 2.1 , 5.8 , 8.7 ) Withdrawal Effects: Symptoms may occur with rapid dose reduction or discontinuation ( 5.9 , 9.3 )

Indications and Usage

Zolpidem Tartrate Capsules are indicated for the short-term treatment of transient insomnia characterized by difficulties with sleep initiation in adults younger than 65 years of age [see Dosage and Administration ( 2.1 ) and Clinical Studies ( 14 )] .

Dosage and Administration

Zolpidem Tartrate Capsules are only available in 7.5 mg strength. Use another zolpidem tartrate immediate-release product for 5 mg or 10 mg dosage ( 2.1 ) Avoid use of Zolpidem Tartrate Capsules in geriatric patients ( 2.1 ) Recommended dosage of zolpidem tartrate (use the lowest effective zolpidem tartrate dosage): Females: The recommended starting dosage of zolpidem tartrate immediate-release in females is 5 mg once nightly. Use another zolpidem tartrate immediate-release product for dosage initiation in females ( 2.1 , 2.2 , 8.6 ) Males: The recommended starting dosage of zolpidem tartrate immediate-release in males is either zolpidem tartrate immediate-release 5 mg, Zolpidem Tartrate Capsules 7.5 mg, or zolpidem tartrate immediate-release 10 mg, once nightly. Use another zolpidem tartrate immediate-release product for 5 mg and 10 mg dosing ( 2.2 ) In both males and females: If a 5 mg nightly dose of another zolpidem tartrate immediate-release product is not effective, the zolpidem tartrate dosage may be increased to Zolpidem Tartrate Capsules 7.5 mg once nightly or 10 mg once nightly of another zolpidem tartrate immediate-release product. The maximum recommended dosage of zolpidem tartrate immediate-release is 10 mg once nightly ( 2.2 ) Zolpidem Tartrate Capsules are for short-term use only ( 2.3 ) Administer Zolpidem Tartrate Capsules orally once per night immediately before bedtime with at least 7 to 8 hours remaining before the planned time of awakening ( 2.4 ) Zolpidem Tartrate Capsules should not be taken with or immediately after a meal. Swallow whole. Do not open, crush, or chew ( 2.4 ) Lower doses of CNS depressants may be necessary when taken concomitantly with Zolpidem Tartrate Capsules ( 2.5 )

Contraindications

Zolpidem Tartrate Capsules are contraindicated in patients: who have experienced complex sleep behaviors after taking zolpidem [see Warnings and Precautions ( 5.1 )] . with known hypersensitivity to zolpidem. Observed reactions include anaphylaxis and angioedema [see Warnings and Precautions ( 5.4 )] .

Adverse Reactions

The following serious adverse reactions are discussed in greater detail in other sections of the labeling: Complex Sleep Behaviors [see Warnings and Precautions ( 5.1 )] CNS-Depressant Effects and Next-Day Impairment [see Warnings and Precautions ( 5.2 )] Severe Anaphylactic and Anaphylactoid Reactions [see Warnings and Precautions ( 5.4 )] Abnormal Thinking and Behavior Changes [see Warnings and Precautions ( 5.5 )] Withdrawal Effects [see Warnings and Precautions ( 5.9 )]

Drug Interactions

Table 2 presents clinically important drug interactions with zolpidem tartrate. Table 2: Clinically Important Drug Interactions with Zolpidem Tartrate Capsules Alcohol and Other CNS Depressants Clinical Impact Concomitant use of alcohol or other CNS depressants with zolpidem tartrate may lead to additive impairment of psychomotor performance and risk of CNS depression [see Clinical Pharmacology ( 12.3 )] . Intervention Dosage adjustments of Zolpidem Tartrate Capsules and of other concomitant CNS depressants may be necessary when Zolpidem Tartrate Capsules are coadministered because of the potentially additive effects. Use another zolpidem tartrate immediate-release product for the 5 mg dose of zolpidem tartrate immediate-release. Refer to the Prescribing Information of other zolpidem tartrate immediate-release products for the recommended dosage for those products. The use of Zolpidem Tartrate Capsules with other sedative-hypnotics (including other zolpidem products) at bedtime or the middle of the night is not recommended [see Dosage and Administration ( 2.5 ), Warnings and Precautions ( 5.1 , 5.2 )] . Opioids Clinical Impact Concomitant administration of zolpidem tartrate and opioids may increase the risk of respiratory depression [see Warnings and Precautions ( 5.2 , 5.7 )] . Intervention Limit dosage and duration of concomitant use of Zolpidem Tartrate Capsules and opioids, and monitor patients closely for respiratory depression. Consider using another zolpidem tartrate immediate-release product for a lower zolpidem tartrate dose (5 mg) [see Dosage and Administration ( 2.5 )] . Imipramine and Chlorpromazine Clinical Impact Concomitant use of imipramine or chlorpromazine with zolpidem tartrate may lead to an additive effect of decreased alertness and psychomotor performance [see Clinical Pharmacology ( 12.3 )] . Intervention Consider using another zolpidem tartrate immediate-release product for a lower zolpidem tartrate dose (5 mg). Sertraline Clinical Impact Concomitant administration of zolpidem and sertraline increases exposure to zolpidem [see Clinical Pharmacology ( 12.3 )] . Intervention Consider using another zolpidem tartrate immediate-release product for a lower zolpidem tartrate dose (5 mg). CYP3A4 Inducers Clinical Impact Concomitant use with CYP3A4 inducers may decrease zolpidem exposure [see Clinical Pharmacology ( 12.3 )] . Intervention Concomitant use of Zolpidem Tartrate Capsules and CYP3A4 inducers is not recommended. CYP3A4 Inhibitors Clinical Impact Concomitant use with CYP3A4 inhibitors increased zolpidem exposure [see Clinical Pharmacology ( 12.3 )] . Intervention Consider using another zolpidem tartrate immediate-release product for a lower zolpidem tartrate dose.

Storage and Handling

Zolpidem Tartrate Capsules 7.5 mg are hard gelatin capsules with “ALM” printed axially on the opaque light green cap and “775” printed axially on the opaque white body, and available as: NDC 52427-775-30, bottle of 30 capsules with child-resistant closure Store at 20°C to 25°C (68°F to 77°F); excursions permitted between 15°C and 30°C (59°F to 86°F) [see USP Controlled Room Temperature].

How Supplied

Zolpidem Tartrate Capsules 7.5 mg are hard gelatin capsules with “ALM” printed axially on the opaque light green cap and “775” printed axially on the opaque white body, and available as: NDC 52427-775-30, bottle of 30 capsules with child-resistant closure Store at 20°C to 25°C (68°F to 77°F); excursions permitted between 15°C and 30°C (59°F to 86°F) [see USP Controlled Room Temperature].

Description

Complex sleep behaviors including sleep-walking, sleep-driving, and engaging in other activities while not fully awake may occur following use of Zolpidem Tartrate Capsules. Some of these events may result in serious injuries, including death. Discontinue Zolpidem Tartrate Capsules immediately if a patient experiences a complex sleep behavior [see Contraindications ( 4 ) and Warnings and Precautions ( 5.1 )].

Section 42229-5

Distributed by:

Almatica Pharma LLC

Morristown, NJ 07960 USA

PI775-00

Section 42231-1
This Medication Guide has been approved by the U.S. Food and Drug Administration.
MEDICATION GUIDE

ZOLPIDEM TARTRATE (zol pi dem tar trate)

CAPSULES for oral use, CIV

What is the most important information I should know about Zolpidem Tartrate Capsules?

Zolpidem Tartrate Capsules may cause serious side effects, including:

  • Complex sleep behaviors. After taking Zolpidem Tartrate Capsules, you may get up out of bed while not being fully awake and do an activity that you do not know you are doing. The next morning, you may not remember that you did anything during the night. These activities may happen with Zolpidem Tartrate Capsules whether or not you drink alcohol or take other medicines that make you sleepy. Some of these complex sleep behaviors have caused serious injury and death. People taking zolpidem tartrate have reported:
    • sleep-walking
    • sleep-driving
    • making and eating food
    • talking on the phone
    • having sex

Stop taking Zolpidem Tartrate Capsules and tell your healthcare provider right away if you find out that you have done any of the above activities after taking Zolpidem Tartrate Capsules.

What are Zolpidem Tartrate Capsules?

Zolpidem Tartrate Capsules are a prescription sleep medicine used for the short-term treatment of adults younger than 65 years of age who have trouble falling asleep for a short period of time only (transient insomnia).

It is not known if Zolpidem Tartrate Capsules are safe and effective in children. Zolpidem Tartrate Capsules are not recommended for use in children or in adults over age 65.

Zolpidem Tartrate Capsules are a federally controlled substance (CIV) because they can be abused or lead to dependence. Keep Zolpidem Tartrate Capsules in a safe place to protect them from misuse and abuse and theft. Never give your Zolpidem Tartrate Capsules to anyone else because it may cause death or harm them. Selling or giving away Zolpidem Tartrate Capsules is against the law.

Do not take Zolpidem Tartrate Capsules if you:

  • have had complex sleep behaviors that happened after taking zolpidem in the past. See “What is the most important information I should know about Zolpidem Tartrate Capsules?”
  • are allergic to zolpidem or any of the ingredients in Zolpidem Tartrate Capsules. See the end of this Medication Guide for a complete list of ingredients in Zolpidem Tartrate Capsules.

Before taking Zolpidem Tartrate Capsules, tell your healthcare provider about all of your medical conditions, including if you:

  • have a history of depression, mental illness, or suicidal thoughts or actions
  • have a history of drug or alcohol abuse or addiction
  • have kidney problems
  • have liver problems. Zolpidem Tartrate Capsules should not be used in people with liver problems.
  • have a lung disease or breathing problems
  • have sleep apnea
  • have myasthenia gravis
  • are a female and are not currently taking another zolpidem tartrate medicine. If you have never taken a zolpidem tartrate medicine before, your healthcare provider should prescribe another product to start zolpidem tartrate.
  • are pregnant or plan to become pregnant. Taking Zolpidem Tartrate Capsules in the third trimester of pregnancy may harm your unborn baby.
    • Tell your healthcare provider if you become pregnant or plan to become pregnant during treatment with Zolpidem Tartrate Capsules.
    • There is a pregnancy exposure registry for females who are exposed to psychiatric medicines during pregnancy. If you become pregnant during treatment with Zolpidem Tartrate Capsules, talk to your healthcare provider about registering you with the National Pregnancy Registry for Psychiatric Medications by calling 1-866-961-2388 or by visiting online at https://womensmentalhealth.org/research/pregnancyregistry.
    • Taking Zolpidem Tartrate Capsules during your third trimester of pregnancy may cause your baby to have breathing problems and sedation (such as unusual sleepiness or limp muscles).
  • are breastfeeding or plan to breastfeed. Zolpidem tartrate passes into your breast milk and may harm your baby. Talk to your healthcare provider about the best way to feed your baby during treatment with Zolpidem Tartrate Capsules.
    • If you breastfeed during treatment with Zolpidem Tartrate Capsules:
      • call your healthcare provider or go to the nearest emergency room right away if your baby develops increased sleepiness, breathing problems, or limpness.
      • to decrease the chance of your baby getting the medicine through your breast milk, you can pump and throw away your breast milk during treatment with Zolpidem Tartrate Capsules and for 23 hours after stopping use of Zolpidem Tartrate Capsules.

Tell your healthcare provider about all of the medicines you take, including prescription and over-the-counter medicines, vitamins and herbal supplements.

Zolpidem Tartrate Capsules and other medicines can interact with each other causing serious side effects. Zolpidem Tartrate Capsules may affect the way other medicines work, and other medicines may affect how Zolpidem Tartrate Capsules works.

Especially tell your healthcare provider if you:

  • take benzodiazepines
  • take opioids as it may increase the risk of breathing problems (respiratory depression)
  • take tricyclic antidepressants
  • take other medicines that can make you sleepy or affect your breathing (including other zolpidem medicines)
  • drink alcohol

If you take certain medicines, you may need to take another zolpidem tartrate medicine instead of Zolpidem Tartrate Capsules because the medicines may interact.

You can ask your pharmacist for a list of medicines that interact with Zolpidem Tartrate Capsules.

Know the medicines you take. Keep a list of them to show your healthcare provider and pharmacist when you get a new medicine.

How should I take Zolpidem Tartrate Capsules?

  • Take Zolpidem Tartrate Capsules exactly as your healthcare provider tells you to take them. Do not change your dose on your own. Tell your healthcare provider if you think Zolpidem Tartrate Capsules are not working for you.
  • If your sleep problems do not get better within 7 to 10 days, or if they get worse, this may mean that there is another condition causing your sleep problems.
  • Zolpidem Tartrate Capsules are for short-term use only. Treatment with Zolpidem Tartrate Capsules should be as short as possible because the risk of abuse and dependence increases the longer you are being treated.
  • Take 1 Zolpidem Tartrate Capsule at night right before bedtime.
  • Do not take Zolpidem Tartrate Capsules if you are not able to stay in bed a full night (7 to 8 hours) before you must be active again.
  • Do not take more than 1 Zolpidem Tartrate Capsule during the same night.
  • Do not take Zolpidem Tartrate Capsules with food or right after a meal.
  • Do not take Zolpidem Tartrate Capsules if you drank alcohol that evening or before bed.
  • Swallow Zolpidem Tartrate Capsules whole. Do not open, crush, or chew the capsules.
If you take too much Zolpidem Tartrate Capsules, call your healthcare provider or Poison Help line at 1-800-222-1222 or go to the nearest hospital emergency room right away.

What are the possible side effects of Zolpidem Tartrate Capsules?

Zolpidem Tartrate Capsules may cause serious side effects, including:

  • See "What is the most important information I should know about Zolpidem Tartrate Capsules?"
  • Zolpidem Tartrate Capsules can make you sleepy or dizzy, can cause blurred or double vision, and can slow your thinking and motor skills. Because Zolpidem Tartrate Capsules can make you sleepy or dizzy you are at a higher risk for falls. You may still feel this way when you wake up in the morning.
    • Do not drive, operate heavy machinery, or do other dangerous activities until you know how Zolpidem Tartrate Capsules affects you.
    • Do not drink alcohol or take opioids or other medicines that may make you sleepy or dizzy while taking Zolpidem Tartrate Capsules without first talking to your healthcare provider. When taken with alcohol or other medicines that cause sleepiness or dizziness, Zolpidem Tartrate Capsules may make your sleepiness or dizziness much worse.
  • Severe allergic reactions. Symptoms include swelling of the tongue or throat, trouble breathing, and nausea and vomiting. Swelling of the tongue or throat may block your ability to breathe and can lead to death. Get emergency medical help right away if you develop any of these symptoms during treatment with Zolpidem Tartrate Capsules.
  • Abnormal thoughts and behavior. Symptoms include more outgoing or aggressive behavior than normal, confusion (delirium), acting or feeling strangely, agitation, and seeing or hearing things that aren’t real (hallucinations).
  • Risk of suicide and worsening of depression. Worsening of depression and suicidal thoughts and actions, including completed suicides, can happen during treatment with medicines like Zolpidem Tartrate Capsules. Call your healthcare provider right away if you develop any thoughts of suicide, dying, or worsening depression during treatment with Zolpidem Tartrate Capsules.
  • Breathing problems. Call your healthcare provider or get emergency medical help right away if you develop breathing problems during treatment with Zolpidem Tartrate Capsules. Certain medical conditions and medicines may increase your risk for breathing problems. See “Before taking Zolpidem Tartrate Capsules, tell your healthcare provider about all of your medical conditions, including if you:”
  • Problems with your nervous system caused by severe liver disease (hepatic encephalopathy).
  • Withdrawal symptoms. You may have withdrawal symptoms if you stop taking Zolpidem Tartrate Capsules suddenly. Withdrawal symptoms can be serious and include stomach and muscle cramps, vomiting, sweating, shakiness, seizures, and confusion (delirium). Talk to your healthcare provider about slowly stopping Zolpidem Tartrate Capsules to avoid withdrawal symptoms.

The most common side effects of Zolpidem Tartrate Capsules include headache, sleepiness, dizziness, and diarrhea.

These are not all the side effects of Zolpidem Tartrate Capsules.

Call your doctor for medical advice about side effects. You may report side effects to FDA at 1-800-FDA-1088.

How should I store Zolpidem Tartrate Capsules?

  • Store Zolpidem Tartrate Capsules at room temperature between 68°F to 77°F (20°C to 25°C).
  • Zolpidem Tartrate Capsules come in a child resistant container.

Keep Zolpidem Tartrate Capsules and all medicines out of the reach of children.

General Information about the safe and effective use of Zolpidem Tartrate Capsules.

Medicines are sometimes prescribed for purposes other than those listed in a Medication Guide. Do not use Zolpidem Tartrate Capsules for a condition for which it was not prescribed. Do not give Zolpidem Tartrate Capsules to other people, even if they have the same symptoms that you have. It may harm them. You can ask your pharmacist or healthcare provider for information about Zolpidem Tartrate Capsules that is written for health professionals.

What are the ingredients in Zolpidem Tartrate Capsules?

Active Ingredient: zolpidem tartrate

Inactive Ingredients: gelatin, lactose monohydrate, magnesium stearate, microcrystalline cellulose, sodium starch glycolate, titanium dioxide, FD&C Blue #1, FD&C Red #40 and FD&C Yellow #6



Distributed by:

Almatica Pharma LLC

Morristown, NJ 07960 USA



For more information, please call 1-877-447-7979 or visit www.almatica.com.

Issued: 5/2023

PL775-00

9.2 Abuse

Abuse and addiction are separate and distinct from physical dependence and tolerance.

Abuse is the intentional, non-therapeutic use of a drug, even once, for its desirable psychologoical or physiological effects.

Misuse is the intentional use, for therapeutic purposes, of a drug by an individual in a way other than prescribed by a health care provider or for whom is was not prescribed.

Drug addiction is a cluster of behavioral, cognitive, and physiological phenomena that may include a strong desire to take the drug, difficulties in controlling drug use (e.g., continuing drug use despite harmful consequences, giving a higher priority to drug use than other activities and obligations), and possible tolerance or physical dependence.

Studies of abuse potential in former drug abusers found that the effects of single doses of zolpidem tartrate 40 mg (4 times the maximum recommended dosage for zolpidem tartrate immediate-release) were similar, but not identical, to diazepam 20 mg, while zolpidem tartrate 10 mg was difficult to distinguish from placebo.

Because persons with a history of addiction to, or abuse of, drugs or alcohol are at increased risk for misuse, abuse and addiction of zolpidem tartrate, they should be monitored carefully when receiving Zolpidem Tartrate Capsules.

10 Overdosage

Signs and Symptoms

In postmarketing experience of overdose with zolpidem tartrate alone, or in combination with CNS-depressant agents, impairment of consciousness ranging from somnolence to coma, cardiovascular and/or respiratory compromise, and fatal outcomes have been reported.

Recommended Treatment

General symptomatic and supportive measures should be used along with immediate gastric lavage where appropriate. Intravenous fluids should be administered as needed. Zolpidem tartrate's sedative hypnotic effect was shown to be reduced by flumazenil and therefore may be useful; however, flumazenil administration may contribute to the appearance of neurological symptoms (convulsions). As in all cases of drug overdose, respiration, pulse, blood pressure, and other appropriate signs should be monitored and general supportive measures employed. Hypotension and CNS depression should be monitored and treated by appropriate medical intervention. Sedating drugs should be withheld following zolpidem tartrate overdosage, even if excitation occurs. The value of dialysis in the treatment of overdosage has not been determined, although hemodialysis studies in patients with renal failure receiving therapeutic doses have demonstrated that zolpidem tartrate is not dialyzable.

As with the management of all overdosage, the possibility of multiple drug ingestion should be considered. Consider contacting the Poison Help line (1-800-222-1222) or a medical toxicologist for additional overdose management recommendations.

8.1 Pregnancy

Pregnancy Exposure Registry

There is a pregnancy exposure registry that monitors pregnancy outcomes in women exposed to psychiatric medications during pregnancy. Healthcare providers are encouraged to register patients by calling the National Pregnancy Registry for Psychiatric Medications at 1-866-961-2388 or by visiting online at https://womensmentalhealth.org/research/pregnancyregistry.

Risk Summary

Neonates born to mothers using zolpidem tartrate late in the third trimester of pregnancy have been reported to experience symptoms of respiratory depression and sedation [see Clinical Considerations and Data]. Published data on the use of zolpidem tartrate during pregnancy have not reported a clear association with zolpidem and major birth defects [see Data]. Oral administration of zolpidem to pregnant rats and rabbits did not indicate a risk for adverse effects on fetal development at clinically relevant doses [see Data].

The estimated background risk of major birth defects and miscarriage for the indicated populations are unknown. All pregnancies have a background risk of birth defect, loss, or other adverse outcomes. In the U.S. general population, the estimated background risk of major birth defects and miscarriage in clinically recognized pregnancies is 2% to 4% and 15% to 20%, respectively.

Clinical Considerations

Fetal/Neonatal Adverse Reactions

Zolpidem crosses the placenta and may produce respiratory depression and sedation in neonates. Monitor neonates exposed to Zolpidem Tartrate Capsules during pregnancy and labor for signs of excess sedation, hypotonia, and respiratory depression and manage accordingly.

Data

Human Data

Published data from observational studies, birth registries, and case reports on the use of zolpidem tartrate during pregnancy do not report a clear association with zolpidem tartrate and major birth defects.

There are limited postmarketing reports of severe to moderate cases of respiratory depression that occurred after birth in neonates whose mothers had taken zolpidem tartrate during pregnancy. These cases required artificial ventilation or intratracheal intubation. The majority of neonates recovered within hours to a few weeks after birth once treated.

Zolpidem tartrate has been shown to cross the placenta.

Animal Data

Oral administration of zolpidem tartrate to pregnant rats during the period of organogenesis at 4, 20, and 100 mg base/kg/day, which are approximately 5, 25, and 120 times the maximum recommended zolpidem tartrate human dose (MRHD) of 10 mg/day (8 mg zolpidem base) based on mg/m2 body surface area, caused delayed fetal development (incomplete fetal skeletal ossification) at maternally toxic (ataxia) doses 25 and 120 times the MRHD based on mg/m2 body surface area.

Oral administration of zolpidem to pregnant rabbits during the period of organogenesis at 1, 4, and 16 mg base/kg/day, which are approximately 2.5, 10, and 40 times the MRHD of 10 mg/day (8 mg zolpidem base) based on mg/m2 body surface area caused embryo-fetal death and delayed fetal development (incomplete fetal skeletal ossification) at a maternally toxic (decreased body weight gain) dose 40 times the MRHD based on mg/m2 body surface area.

Oral administration of zolpidem tartrate to pregnant rats from day 15 of gestation through lactation at 4, 20, and 100 mg base/kg/day, which are approximately 5, 25, and 120 times the MRHD of 10 mg/day (8 mg zolpidem base) based on mg/m2 body surface area, delayed offspring growth and decreased survival at doses 25 and 120 times, respectively, the MRHD based on mg/m2 body surface area.

8.2 Lactation

Risk Summary

Limited data from published literature report the presence of zolpidem tartrate in human milk. There are reports of excess sedation in infants exposed to zolpidem tartrate through breastmilk [see Clinical Considerations]. There is no information on the effects of zolpidem tartrate on milk production. The developmental and health benefits of breastfeeding should be considered along with the mother's clinical need for Zolpidem Tartrate Capsules and any potential adverse effects on the breastfed infant from Zolpidem Tartrate Capsules or from the underlying maternal condition.

Clinical Considerations

Infants exposed to zolpidem tartrate through breastmilk should be monitored for excess sedation, hypotonia, and respiratory depression. A lactating woman may consider interrupting breastfeeding and pumping and discarding breast milk during treatment and for 23 hours (approximately 5 elimination half-lives) after Zolpidem Tartrate Capsules administration in order to minimize drug exposure to a breast fed infant.

11 Description

Zolpidem Tartrate Capsules 7.5 mg contains zolpidem tartrate, a gamma-aminobutyric acid (GABA) A receptor positive modulator of the imidazopyridine class.

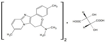
Chemically, zolpidem is N,N,6-trimethyl-2-p-tolylimidazo[1,2-a] pyridine-3-acetamide L-(+)-tartrate. It has the following structure:

Zolpidem tartrate is a white to off-white crystalline powder, hygroscopic that is slightly soluble in water, sparingly soluble in methanol alcohol, and practically insoluble in methylene chloride. It has a molecular formula of (C19H21N3O)2 · C4H6O6 and molecular weight of 764.87 g/mol.

Zolpidem Tartrate Capsules are intended for oral administration and are available only in a 7.5 mg strength. The capsules contain 7.5 mg zolpidem tartrate, USP (equivalent to 6 mg zolpidem) and include the following inactive ingredients: gelatin, lactose monohydrate, magnesium stearate, microcrystalline cellulose, sodium starch glycolate, titanium dioxide, and the colorants FD&C Blue #1, FD&C Red #40 and FD&C Yellow #6.

9.3 Dependence

Use of Zolpidem Tartrate Capsules may lead to the development of physical and/or psychological dependence. The risk of dependence increases with dose and duration of treatment. The risk of abuse and dependence is also greater in patients with a history of alcohol or drug abuse. Zolpidem Tartrate Capsules should be used with extreme caution in patients with current or past alcohol or drug abuse.

Physical dependence is a state that develops as a result of physiological adaptation in response to repeated drug use, manifested by withdrawal signs and symptoms after abrupt discontinuation or a significant dose reduction of a drug.

Tolerance is a physiological state characterized by a reduced response to a drug after repeated administration (i.e., a higher dose of a drug is required to produce the same effect that was once obtained at a lower dose).

Sedative/hypnotics have produced withdrawal signs and symptoms following abrupt discontinuation. These reported symptoms range from mild dysphoria and insomnia to a withdrawal syndrome that may include abdominal and muscle cramps, vomiting, sweating, tremors, convulsions, and delirium.

The following adverse reactions, which are considered to meet the DSM-III-R criteria for uncomplicated sedative/hypnotic withdrawal, were reported during clinical trials with another zolpidem tartrate immediate-release product following placebo substitution occurring within 48 hours following last zolpidem treatment: fatigue, nausea, flushing, lightheadedness, uncontrolled crying, emesis, stomach cramps, panic attack, nervousness, and abdominal discomfort. These reported adverse reactions occurred at an incidence of 1% or less. However, available data cannot provide a reliable estimate of the incidence, if any, of dependence during treatment at recommended doses. There have been postmarketing reports of abuse, dependence and withdrawal with zolpidem.

8.4 Pediatric Use

Zolpidem Tartrate Capsules are not recommended for use in pediatric patients. The safety and effectiveness of Zolpidem Tartrate Capsules in pediatric patients have not been established.

In an 8-week study in pediatric patients (aged 6 to 17 years) with insomnia associated with attention-deficit/hyperactivity disorder (ADHD) an oral solution of zolpidem tartrate dosed at 0.25 mg/kg at bedtime did not decrease sleep latency compared to placebo. Psychiatric and nervous system disorders comprised the most frequent (>5%) adverse reactions observed with zolpidem tartrate versus placebo and included dizziness (24% vs 2%), headache (13% vs 9%), and hallucinations 7% vs. 0%) [see Warnings and Precautions (5.5)]. Ten (7%) pediatric patients treated with zolpidem tartrate discontinued treatment due to an adverse reaction.

8.5 Geriatric Use

Zolpidem Tartrate Capsules are not indicated in geriatric patients. Avoid use of Zolpidem Tartrate Capsules 7.5 mg in geriatric patients because necessary dosage adjustment is not possible with the available dosage strength.

Adverse reactions related to impaired motor and/or cognitive performance and unusual sensitivity to sedative/hypnotic drugs, including zolpidem, have been reported in geriatric patients [see Warnings and Precautions (5.2)].

A total of 154 patients in controlled clinical trials in the U.S. and 897 patients in clinical trials outside the U.S. who received zolpidem tartrate were ≥60 years of age. In the pool of U.S. patients ≥60 years of age who received zolpidem tartrate at dosage of ≤10 mg or placebo (taken once nightly), the following adverse reactions occurred at an incidence of at least 3% in the zolpidem tartrate-treated patients and for which the incidence in zolpidem tartrate-treated patients was at least twice the incidence in placebo-treated patients, i.e., they could be considered drug related (see Table 3).

Table 3: Adverse Reactions (≥3% and at least twice placebo) in Pooled Placebo-Controlled Clinical Trials Zolpidem Tartrate Immediate-Release in Adults ≥60 Years of Age
* Zolpidem Tartrate Capsules are only available as a 7.5 mg dosage strength.
Adverse Reaction Zolpidem (≤10 mg)* Placebo
Dizziness 3% 0%
Drowsiness 5% 2%
Diarrhea 3% 1%

A total of 30/1,959 (1.5%) zolpidem tartrate-treated non-U.S. patients reported falls, including 28/30 (93%) who were ≥70 years of age. Of these 28 patients, 23 (82%) received zolpidem tartrate dosages greater than the maximum recommended dosage (i.e., >10 mg once nightly). A total of 24/1,959 (1.2%) zolpidem tartrate-treated non-U.S. patients reported confusion, including 18/24 (75%) who were ≥70 years of age. Of these 18 patients, 14 (78%) received zolpidem tartrate dosage greater than the maximum recommended dosage (i.e., >10 mg once nightly). Zolpidem Tartrate Capsules are not indicated for use in geriatric patients. Avoid use of Zolpidem Tartrate Capsules in geriatric patients.

In several studies, Tmax, T1/2, and AUC of zolpidem tartrate were significantly higher in geriatric subjects when compared to younger adult subjects. In one study of 8 subjects (>70 years of age), the means for Cmax, T1/2, and AUC significantly increased by 50% (255 vs 384 ng/mL), 32% (2.2 vs 2.9 hr), and 64% (955 vs 1,562 ng∙hr/mL), respectively, as compared to adults (20 to 40 years of age) following a single 20 mg oral dose (two times the maximum recommended dose). Zolpidem Tartrate Capsules are not indicated for use in geriatric patients.

4 Contraindications

Zolpidem Tartrate Capsules are contraindicated in patients:

  • who have experienced complex sleep behaviors after taking zolpidem [see Warnings and Precautions (5.1)].
  • with known hypersensitivity to zolpidem. Observed reactions include anaphylaxis and angioedema [see Warnings and Precautions (5.4)].
6 Adverse Reactions

The following serious adverse reactions are discussed in greater detail in other sections of the labeling:

  • Complex Sleep Behaviors [see Warnings and Precautions (5.1)]
  • CNS-Depressant Effects and Next-Day Impairment [see Warnings and Precautions (5.2)]
  • Severe Anaphylactic and Anaphylactoid Reactions [see Warnings and Precautions (5.4)]
  • Abnormal Thinking and Behavior Changes [see Warnings and Precautions (5.5)]
  • Withdrawal Effects [see Warnings and Precautions (5.9)]
7 Drug Interactions

Table 2 presents clinically important drug interactions with zolpidem tartrate.

Table 2: Clinically Important Drug Interactions with Zolpidem Tartrate Capsules
Alcohol and Other CNS Depressants
Clinical Impact Concomitant use of alcohol or other CNS depressants with zolpidem tartrate may lead to additive impairment of psychomotor performance and risk of CNS depression [see Clinical Pharmacology (12.3)].
Intervention Dosage adjustments of Zolpidem Tartrate Capsules and of other concomitant CNS depressants may be necessary when Zolpidem Tartrate Capsules are coadministered because of the potentially additive effects. Use another zolpidem tartrate immediate-release product for the 5 mg dose of zolpidem tartrate immediate-release. Refer to the Prescribing Information of other zolpidem tartrate immediate-release products for the recommended dosage for those products. The use of Zolpidem Tartrate Capsules with other sedative-hypnotics (including other zolpidem products) at bedtime or the middle of the night is not recommended [see Dosage and Administration (2.5), Warnings and Precautions (5.1, 5.2)].
Opioids
Clinical Impact Concomitant administration of zolpidem tartrate and opioids may increase the risk of respiratory depression [see Warnings and Precautions (5.2, 5.7)].
Intervention Limit dosage and duration of concomitant use of Zolpidem Tartrate Capsules and opioids, and monitor patients closely for respiratory depression. Consider using another zolpidem tartrate immediate-release product for a lower zolpidem tartrate dose (5 mg) [see Dosage and Administration (2.5)].
Imipramine and Chlorpromazine
Clinical Impact Concomitant use of imipramine or chlorpromazine with zolpidem tartrate may lead to an additive effect of decreased alertness and psychomotor performance [see Clinical Pharmacology (12.3)].
Intervention Consider using another zolpidem tartrate immediate-release product for a lower zolpidem tartrate dose (5 mg).
Sertraline
Clinical Impact Concomitant administration of zolpidem and sertraline increases exposure to zolpidem [see Clinical Pharmacology (12.3)].
Intervention Consider using another zolpidem tartrate immediate-release product for a lower zolpidem tartrate dose (5 mg).
CYP3A4 Inducers
Clinical Impact Concomitant use with CYP3A4 inducers may decrease zolpidem exposure [see Clinical Pharmacology (12.3)].
Intervention Concomitant use of Zolpidem Tartrate Capsules and CYP3A4 inducers is not recommended.
CYP3A4 Inhibitors
Clinical Impact Concomitant use with CYP3A4 inhibitors increased zolpidem exposure [see Clinical Pharmacology (12.3)].
Intervention Consider using another zolpidem tartrate immediate-release product for a lower zolpidem tartrate dose.
12.2 Pharmacodynamics

Zolpidem binds to GABA A receptors with greater affinity for α1 subunit relative to α2 and α3 subunit containing receptors. Zolpidem has no appreciable binding affinity for α5 subunit containing GABA A receptors. This binding profile may explain the relative absence of myorelaxant effects in animal studies. Zolpidem has no appreciable binding affinity for dopaminergic D2, serotonergic 5HT2, adrenergic, histaminergic or muscarinic receptors.

12.3 Pharmacokinetics

Absorption

Pharmacokinetics of zolpidem tartrate has been demonstrated to be linear between 5 mg and 20 mg (2 times the recommended dose of zolpidem tartrate (immediate-release).

Following a single dose administration of 7.5 mg Zolpidem Tartrate Capsules and 10 mg zolpidem tartrate immediate-release tablets in healthy volunteers under fasted conditions:

  • The mean dose-normalized peak plasma concentration (Cmax) of zolpidem was 230 ng/mL for Zolpidem Tartrate Capsules and 218 ng/mL for 10 mg zolpidem tartrate immediate-release tablets.
  • The mean dose-normalized area under concentration curve (AUC) of zolpidem was 942 hour*ng/mL for Zolpidem Tartrate Capsules and 956 hour*ng/mL zolpidem tartrate immediate-release tablets.

Effect of Food

Mean zolpidem Cmax and AUC decreased by 39% and 8%, respectively, with a high-fat, high-calorie meal compared to fasted conditions following administration of Zolpidem Tartrate Capsules 7.5 mg to healthy volunteers. The median time to reach zolpidem Cmax (Tmax) was prolonged from 1 hour to 2.8 hours post dose in the presence of food.

Distribution

Total protein binding was found to be 92.5 ± 0.1% and remained constant, independent of concentration between 40 and 790 ng/mL.

Elimination

Metabolism

Zolpidem tartrate is converted to inactive metabolites that are eliminated primarily by renal excretion.

Excretion

Following a single 7.5 mg dose of Zolpidem Tartrate Capsules under fasting state, the mean apparent clearance (CL/F) of the zolpidem tartrate was 15.72 L/hr (range: 5.44 to 96.71), and the mean elimination half-life was 3.70 hours (range: 1.2 to 8.3 hours).

Specific Populations

Male and Female Patients

At a given dose, zolpidem blood levels were higher in females compared to males. Females clear zolpidem tartrate from the body at a lower rate than males. Cmax and AUC parameters of zolpidem tartrate were approximately 45% higher at the same dose in females compared with males [see Dosage and Administration (2.1), Use in Specific Populations (8.6)].

Patients with Hepatic Impairment

The pharmacokinetics of zolpidem tartrate in eight patients with chronic hepatic impairment was compared to results in healthy subjects. Following a single 20 mg oral zolpidem tartrate dose, mean Cmax and AUC were found to be two times (250 vs 499 ng/mL) and five times (788 vs 4,203 ng∙hr/mL) higher, respectively, in patients with chronic hepatic impairment. Tmax did not change. The mean half-life in cirrhotic patients of 9.9 hr (range: 4.1 to 25.8 hr) was greater than that observed in subjects with normal hepatic function of 2.2 hr (range: 1.6 to 2.4 hr) [see Dosage and Administration (2.1), Warnings and Precautions (5.8), Use in Specific Populations (8.7)].

Patients with Renal Impairment

The pharmacokinetics of zolpidem tartrate was studied in 11 patients with end-stage renal failure (mean ClCr = 6.5 ± 1.5 mL/min) undergoing hemodialysis three times a week, who were dosed with zolpidem tartrate 10 mg orally each day for 14 or 21 days. No statistically significant differences were observed for Cmax, Tmax, half-life, and AUC between the first and last day of drug administration when baseline concentration adjustments were made. Zolpidem was not hemodialyzable. No accumulation of unchanged drug appeared after 14 or 21 days. Zolpidem pharmacokinetics was not significantly different in patients with renal impairment compared to those with normal renal function.

Drug Interaction Studies

CNS Depressants

Coadministration of zolpidem tartrate with other CNS depressants increases the risk of CNS depression [see Warnings and Precautions (5.2)]. Zolpidem tartrate was evaluated in healthy volunteers in single-dose interaction studies for several CNS drugs. Imipramine in combination with zolpidem produced no pharmacokinetic interaction other than a 20% decrease in peak levels of imipramine, but there was an additive effect of decreased alertness. Similarly, chlorpromazine in combination with zolpidem produced no pharmacokinetic interaction, but there was an additive effect of decreased alertness and psychomotor performance.

A study involving haloperidol and zolpidem revealed no effect of haloperidol on the pharmacokinetics or pharmacodynamics of zolpidem. The lack of a drug interaction following single-dose administration does not predict the absence of an effect following chronic administration.

An additive adverse effect on psychomotor performance between alcohol and oral zolpidem was demonstrated [see Warnings and Precautions (5.2)].

Drugs that affect drug metabolism via cytochrome P450

CYP 2D6 Inhibitors

Following five consecutive nightly doses at bedtime of oral zolpidem tartrate 10 mg in the presence of sertraline 50 mg (17 consecutive daily doses, at 7:00 am, in healthy female volunteers), zolpidem Cmax was significantly higher (43%) and Tmax was significantly decreased (-53%). Pharmacokinetics of sertraline and N-desmethylsertraline were unaffected by zolpidem.

A single-dose interaction study with zolpidem tartrate 10 mg and fluoxetine 20 mg at steady-state levels in male volunteers did not demonstrate any clinically significant pharmacokinetic or pharmacodynamic interactions. When multiple doses of zolpidem and fluoxetine were given at steady state and the concentrations evaluated in healthy females, an increase in the zolpidem half-life (17%) was observed. There was no evidence of an additive effect in psychomotor performance.

CYP3A Inhibitors

Some compounds known to inhibit CYP3A may increase exposure to zolpidem.

A single-dose interaction study with zolpidem tartrate 10 mg and itraconazole 200 mg at steady-state levels in male volunteers resulted in a 34% increase in AUC0–∞ of zolpidem tartrate. There were no pharmacodynamic effects of zolpidem tartrate detected on subjective drowsiness, postural sway, or psychomotor performance.

A single-dose interaction study with zolpidem tartrate 5 mg and ketoconazole, a potent CYP3A4 inhibitor, given as 200 mg twice daily for 2 days increased Cmax of zolpidem tartrate (30%) and the total AUC of zolpidem tartrate (70%) compared to zolpidem tartrate alone and prolonged the elimination half-life (30%) along with an increase in the pharmacodynamic effects of zolpidem tartrate [see Drug Interactions (7)].

Additionally, fluvoxamine (a strong inhibitor of CYP1A2 and a weak inhibitor of CYP3A4 and CYP2C9) and ciprofloxacin (a strong inhibitor of CYP1A2 and a moderate inhibitor of CYP3A4) are also likely to inhibit zolpidem’s metabolic pathways, potentially leading to an increase in zolpidem exposure.

CYP3A Inducers

A single-dose interaction study with zolpidem tartrate 10 mg and rifampin 600 mg at steady-state levels in female subjects showed significant reductions of the AUC (-73%), Cmax (-58%), and T1/2 (-36%) of zolpidem together with significant reductions in the pharmacodynamic effects of zolpidem tartrate. Rifampin, a CYP3A4 inducer, significantly reduced the exposure to and the pharmacodynamic effects of zolpidem [see Drug Interactions (7)].

Similarly, St. John’s wort, a CYP3A4 inducer, may also decrease the blood levels of zolpidem.

Cimetidine and Ranitidine

A study involving cimetidine/zolpidem tartrate and ranitidine/zolpidem tartrate combinations revealed no effect of either drug on the pharmacokinetics or pharmacodynamics of zolpidem.

Effect of Zolpidem Tartrate on Other Drugs

Zolpidem tartrate had no effect on digoxin pharmacokinetics and did not affect prothrombin time when given with warfarin in healthy subjects.

8.6 Males and Females

Use another zolpidem tartrate immediate-release product when initiating zolpidem tartrate immediate-release treatment in females. A lower recommended starting dosage is recommended in females (compared to males) because zolpidem blood levels are higher in females compared to males [see Dosage and Administration (2.1, 2.2)].

Females clear zolpidem tartrate from the body at a lower rate than males. Cmax and AUC parameters of zolpidem were approximately 45% higher after administration of the same zolpidem tartrate dose in females compared with males [see Clinical Pharmacology (12.3)].

2.2 Recommended Dosage

Use the lowest effective zolpidem tartrate dosage. For instructions on administration of Zolpidem Tartrate Capsules, see Dosage and Administration (2.4).

  • The recommended starting dosage of zolpidem tartrate immediate-release in females is 5 mg once nightly. Use another zolpidem tartrate immediate-release product for dosage initiation in females [see Use in Specific Populations (8.6) and Clinical Pharmacology (12.3)].
  • The recommended starting dosage of zolpidem tartrate immediate-release in males is either zolpidem tartrate immediate-release 5 mg, Zolpidem Tartrate Capsules 7.5 mg, or zolpidem tartrate immediate-release 10 mg, once nightly.

In both males and females, if a 5 mg once nightly dose of another zolpidem tartrate immediate-release product is not effective, the zolpidem tartrate dosage may be increased to Zolpidem Tartrate Capsules 7.5 mg once nightly or 10 mg once nightly of another zolpidem tartrate immediate-release product. The maximum recommended dosage of zolpidem tartrate immediate-release is 10 mg once nightly.

Zolpidem Tartrate Capsules should be taken as a single dose and should not be readministered during the same night.

5.9 Withdrawal Effects

There have been reports of withdrawal signs and symptoms following the rapid dose decrease or abrupt discontinuation of zolpidem tartrate. Monitor patients for tolerance, abuse, and dependence [see Drug Abuse and Dependence (9.2, 9.3)].

8.7 Hepatic Impairment

Avoid use of Zolpidem Tartrate Capsules in patients with mild to moderate hepatic impairment (Child-Pugh score between 5 and 9), because necessary dosage adjustment is not possible with available dosage strength. Avoid use of Zolpidem Tartrate Capsules in patients with severe hepatic impairment (Child-Pugh score ≥ 10) as it may contribute to encephalopathy [see Warnings and Precautions (5.8), Clinical Pharmacology (12.3)].

1 Indications and Usage

Zolpidem Tartrate Capsules are indicated for the short-term treatment of transient insomnia characterized by difficulties with sleep initiation in adults younger than 65 years of age [see Dosage and Administration (2.1) and Clinical Studies (14)].

14.1 Transient Insomnia

The efficacy of Zolpidem Tartrate Capsules for the short-term treatment of transient insomnia characterized by difficulties with sleep initiation in adult patients younger than 65 years of age is based upon adequate and well-controlled studies of zolpidem tartrate tablets (immediate-release). The results of these adequate and well-controlled studies of zolpidem tartrate tablets are presented below.

Adults experiencing transient insomnia (n=462) during the first night in a sleep laboratory were evaluated in a double-blind, parallel group, single-night trial comparing two doses of zolpidem tartrate tablets (7.5 mg and 10 mg) and placebo. Both zolpidem tartrate doses were superior to placebo on objective (polysomnographic) measures of sleep latency, sleep duration, and number of awakenings.

12.1 Mechanism of Action

Zolpidem is a GABA A receptor positive modulator presumed to exert its therapeutic effects in the short-term treatment of transient insomnia through binding to the benzodiazepine site of α1 subunit containing GABA A receptors, increasing the frequency of chloride channel opening resulting in the inhibition of neuronal excitation.

9.1 Controlled Substance

Zolpidem Tartrate Capsules contain zolpidem tartrate, a Schedule IV controlled substance.

5 Warnings and Precautions
  • CNS-Depressant Effects: Impaired alertness and motor coordination including risk of morning impairment. Risk increases with dose and use with other CNS depressants and alcohol. Caution patients against driving and other activities requiring mental alertness the morning after use. Instruct patients on correct use (5.2)
  • Need to Evaluate for Comorbid Diagnoses: Reevaluate if insomnia persists after 7 to 10 days of use (5.3)
  • Severe Anaphylactic/Anaphylactoid Reactions: Angioedema and anaphylaxis have been reported. Do not rechallenge if such reactions occur (5.4)
  • Abnormal Thinking and Behavioral Changes: Changes including decreased inhibition, bizarre behavior, agitation, and depersonalization have been reported. Immediately evaluate any new onset behavioral changes (5.5)
  • Depression: Worsening of depression or suicidal thinking may occur. Prescribe the least amount of capsules feasible to avoid intentional overdose (5.6)
  • Respiratory Depression: Consider this risk before prescribing in patients with compromised respiratory function (5.7)
  • Precipitation of Hepatic Encephalopathy: Avoid zolpidem tartrate in patients with severe hepatic impairment (2.1, 5.8, 8.7)
  • Withdrawal Effects: Symptoms may occur with rapid dose reduction or discontinuation (5.9, 9.3)
5.7 Respiratory Depression

Although studies with 10 mg zolpidem tartrate immediate-release did not reveal respiratory depressant effects at hypnotic doses in healthy subjects or in patients with mild to moderate chronic obstructive pulmonary disease (COPD), a reduction in the Total Arousal Index, together with a reduction in lowest oxygen saturation and increase in the times of oxygen desaturation below 80% and 90%, was observed in patients with mild to moderate sleep apnea when treated with zolpidem tartrate immediate-release compared to placebo. Since sedative-hypnotics have the capacity to depress respiratory drive, precautions should be taken if Zolpidem Tartrate Capsules are prescribed to patients with compromised respiratory function or concomitant use with opioids or other CNS depressants. Postmarketing reports of respiratory insufficiency in patients receiving 10 mg of zolpidem tartrate immediate-release, most of whom had pre-existing respiratory impairment, have been reported. The risk of respiratory depression should be considered prior to prescribing Zolpidem Tartrate Capsules in patients with respiratory impairment including sleep apnea and myasthenia gravis or with concomitant opioid use [see Dosage and Administration (2.5), Drug Interactions (7)].

2 Dosage and Administration
  • Zolpidem Tartrate Capsules are only available in 7.5 mg strength. Use another zolpidem tartrate immediate-release product for 5 mg or 10 mg dosage (2.1)
  • Avoid use of Zolpidem Tartrate Capsules in geriatric patients (2.1)
  • Recommended dosage of zolpidem tartrate (use the lowest effective zolpidem tartrate dosage):
    • Females: The recommended starting dosage of zolpidem tartrate immediate-release in females is 5 mg once nightly. Use another zolpidem tartrate immediate-release product for dosage initiation in females (2.1, 2.2, 8.6)
    • Males: The recommended starting dosage of zolpidem tartrate immediate-release in males is either zolpidem tartrate immediate-release 5 mg, Zolpidem Tartrate Capsules 7.5 mg, or zolpidem tartrate immediate-release 10 mg, once nightly. Use another zolpidem tartrate immediate-release product for 5 mg and 10 mg dosing (2.2)
    • In both males and females: If a 5 mg nightly dose of another zolpidem tartrate immediate-release product is not effective, the zolpidem tartrate dosage may be increased to Zolpidem Tartrate Capsules 7.5 mg once nightly or 10 mg once nightly of another zolpidem tartrate immediate-release product. The maximum recommended dosage of zolpidem tartrate immediate-release is 10 mg once nightly (2.2)
  • Zolpidem Tartrate Capsules are for short-term use only (2.3)
  • Administer Zolpidem Tartrate Capsules orally once per night immediately before bedtime with at least 7 to 8 hours remaining before the planned time of awakening (2.4)
  • Zolpidem Tartrate Capsules should not be taken with or immediately after a meal. Swallow whole. Do not open, crush, or chew (2.4)
  • Lower doses of CNS depressants may be necessary when taken concomitantly with Zolpidem Tartrate Capsules (2.5)
5.1 Complex Sleep Behaviors

Complex sleep behaviors, including sleep-walking, sleep-driving, and engaging in other activities while not fully awake, may occur following the first or any subsequent use of Zolpidem Tartrate Capsules. Patients can be seriously injured or injure others during complex sleep behaviors. Such injuries may result in a fatal outcome. Other complex sleep behaviors (e.g., preparing and eating food, making phone calls, or having sex) have also been reported. Patients usually do not remember these events. Postmarketing reports have shown that complex sleep behaviors may occur with zolpidem alone at recommended dosage, with or without the concomitant use of alcohol or other central nervous system (CNS) depressants [see Drug Interactions (7)]. Discontinue Zolpidem Tartrate Capsules immediately if a patient experiences a complex sleep behavior [see Contraindications (4)].

3 Dosage Forms and Strengths

Capsules: 7.5 mg, hard gelatin capsules with "ALM" printed axially on the opaque light green cap and "775" printed axially on the opaque white body. All printing is in grey ink.

6.2 Postmarketing Experience

The following adverse reactions have been identified during postapproval use of zolpidem tartrate. Because these reactions are reported voluntarily from a population of uncertain size, it is not always possible to reliably estimate their frequency or establish a causal relationship to drug exposure.

Liver and biliary system: acute hepatocellular, cholestatic or mixed liver injury with or without jaundice (i.e., bilirubin >2 × ULN, alkaline phosphatase ≥2 × ULN, transaminase ≥5 × ULN).

Psychiatric disorders: delirium

8 Use in Specific Populations
  • Pregnancy: May cause respiratory depression and sedation in neonates with exposure late in the third trimester (8.1)
  • Lactation: A lactating woman may pump and discard breast milk during treatment and for 23 hours after Zolpidem Tartrate Capsule administration (8.2)
  • Hepatic Impairment: Avoid use (2.1, 8.7)
  • Pediatric use: Safety and effectiveness not established. Hallucinations (incidence rate 7%) and other psychiatric and/or nervous system adverse reactions were observed frequently in a study of pediatric patients with Attention-Deficit/Hyperactivity Disorder (5.5, 8.4)
6.1 Clinical Trials Experience

Because clinical studies are conducted under widely varying conditions, adverse reaction rates observed in the clinical studies of a drug cannot be directly compared to rates in the clinical studies of another drug and may not reflect the rates observed in practice.

The safety of Zolpidem Tartrate Capsules 7.5 mg for the short-term treatment of transient insomnia characterized by difficulties with sleep initiation in adults is based upon adequate and well-controlled studies of zolpidem tartrate tablets immediate-release [see Clinical Studies (14)]. The results of these adequate and well-controlled studies are presented below.

Adverse Reactions Leading to Discontinuation of Treatment

Approximately 4% of 1,701 patients who received zolpidem tartrate tablets immediate-release at all doses in U.S. premarketing clinical trials discontinued treatment because of an adverse reaction. Reactions most commonly associated with discontinuation from U.S. trials were daytime drowsiness (0.5%), dizziness (0.4%), headache (0.5%), nausea (0.6%), and vomiting (0.5%).

Approximately 4% of 1,959 patients who received zolpidem tartrate tablets immediate-release at all doses in similar foreign trials discontinued treatment because of an adverse reaction. Reactions most commonly associated with discontinuation from these trials were daytime drowsiness (1.1%), dizziness/vertigo (0.8%), amnesia (0.5%), nausea (0.5%), headache (0.4%), and falls (0.4%).

Data from a clinical study in which selective serotonin reuptake inhibitor (SSRI)-treated patients were given zolpidem tartrate revealed that four of the seven discontinuations during double-blind treatment with zolpidem tartrate (n=95) were associated with impaired concentration, continuing or aggravated depression, and manic reaction; one patient treated with placebo (n=97) was discontinued after an attempted suicide.

Most Commonly Observed Adverse Reactions in Controlled Trials

During short-term treatment (up to 10 nights) with zolpidem tartrate tablets immediate-release at doses up to 10 mg, the most commonly observed adverse reactions associated with the use of zolpidem tartrate tablets immediate-release and seen at statistically significant differences from placebo-treated patients were drowsiness (reported by 2% of zolpidem tartrate-treated patients), dizziness (1%), and diarrhea (1%).

Adverse Reactions Observed at an Incidence of ≥1% in Controlled Trials

The following tables enumerate adverse reactions frequencies that were observed at an incidence equal to 1% or greater among zolpidem tartrate-treated patients with insomnia and at a greater incidence than placebo-treated patients in U.S. placebo-controlled trials.

Table 1 was derived from results of 11 placebo-controlled short-term U.S. efficacy trials involving zolpidem tartrate tablets immediate-release.

Table 1: Adverse Reactions (≥1% and > placebo) in Placebo-Controlled Clinical Trials Zolpidem Tartrate Tablets Immediate-Release Lasting up to 10 Nights (percentage of patients reporting)
* Zolpidem Tartrate Capsules are available only as a 7.5 mg dosage strength.
Body System

Adverse Reaction
Zolpidem Tartrate Tablets Immediate-Release

(≤10 mg)*

(N=685)

%
Placebo

(N=473)

%
Central and Peripheral Nervous System
Headache 7 6
Drowsiness 2 -
Dizziness 1 -
Gastrointestinal System
Diarrhea 1 -

Dose-Related Adverse Reactions

There is evidence from dose comparison trials suggesting a dose relationship for many of the adverse reactions associated with zolpidem tartrate tablets immediate-release use, particularly for certain CNS and gastrointestinal adverse reactions.

Adverse Reactions During the Premarketing Evaluation of Zolpidem Tartrate Immediate-Release

Zolpidem tartrate immediate-release was administered to 3,660 patients in clinical trials throughout the U.S., Canada, and Europe.

The frequencies presented, therefore, represent the proportions of the 3,660 patients exposed to zolpidem tartrate, at all doses, who experienced an event of the type cited on at least one occasion while receiving zolpidem tartrate immediate-release. All reported adverse reactions are included, except those already listed in the table above of adverse reactions in placebo-controlled studies, those coding terms that are so general as to be uninformative, and those events where a drug cause was remote. It is important to emphasize that, although the events reported did occur during treatment with zolpidem tartrate, they were not necessarily caused by it.

Adverse reactions are further classified within body system categories and enumerated in order of decreasing frequency using the following definitions: frequent adverse reactions are defined as those that occurred in greater than 1/100 patients; infrequent adverse reactions are those that occurred in 1/100 to 1/1,000 patients; rare reactions are those that occurred in less than 1/1,000 patients.

Autonomic nervous system: dry mouth; Infrequent: increased sweating, pallor, postural hypotension, syncope. Rare: abnormal accommodation, altered saliva, flushing, glaucoma, hypotension, impotence, increased saliva, tenesmus.

Body as a whole: back pain, chest pain, influenza-like symptoms; Frequent: asthenia. Infrequent: edema, falling, fatigue, fever, malaise, trauma. Rare: allergic reaction, allergy aggravated, anaphylactic shock, face edema, hot flashes, increased ESR, pain, restless legs, rigors, tolerance increased, weight decrease.

Cardiovascular system: palpitation; Infrequent: cerebrovascular disorder, hypertension, tachycardia. Rare: angina pectoris, arrhythmia, arteritis, circulatory failure, extrasystoles, hypertension aggravated, myocardial infarction, phlebitis, pulmonary embolism, pulmonary edema, varicose veins, ventricular tachycardia.

Central and peripheral nervous system: abnormal dreams, amnesia, depression, drugged feeling, lethargy, lightheadedness, sleep disorder; Frequent: ataxia, confusion, euphoria, insomnia, vertigo. Infrequent: agitation, anxiety, decreased cognition, detached, difficulty concentrating, dysarthria, emotional lability, hallucination, hypoesthesia, illusion, leg cramps, migraine, nervousness, paresthesia, sleeping (after daytime dosing), speech disorder, stupor, tremor. Rare: abnormal gait, abnormal thinking, aggressive reaction, apathy, appetite increased, decreased libido, delusion, dementia, depersonalization, dysphasia, feeling strange, hypokinesia, hypotonia, hysteria, intoxicated feeling, manic reaction, neuralgia, neuritis, neuropathy, neurosis, panic attacks, paresis, personality disorder, somnambulism, suicide attempts, tetany, yawning.

Gastrointestinal system: abdominal pain; Frequent: dyspepsia, hiccup, nausea. Infrequent: anorexia, constipation, dysphagia, flatulence, gastroenteritis, vomiting. Rare: enteritis, eructation, esophagospasm, gastritis, hemorrhoids, intestinal obstruction, rectal hemorrhage, tooth caries.

Hematologic and lymphatic system: Rare: anemia, hyperhemoglobinemia, leukopenia, lymphadenopathy, macrocytic anemia, purpura, thrombosis.

Immunologic system: Infrequent: infection. Rare: abscess herpes simplex herpes zoster, otitis externa, otitis media.

Liver and biliary system: Infrequent: abnormal hepatic function, increased SGPT. Rare: bilirubinemia, increased SGOT.

Metabolic and nutritional: Infrequent: hyperglycemia, thirst. Rare: gout, hypercholesteremia, hyperlipidemia, increased alkaline phosphatase, increased BUN, periorbital edema.

Musculoskeletal system: Frequent: arthralgia, myalgia. Infrequent: arthritis. Rare: arthrosis, muscle weakness, sciatica, tendinitis.

Reproductive system: Infrequent: menstrual disorder, vaginitis. Rare: breast fibroadenosis, breast neoplasm, breast pain.

Respiratory system: pharyngitis, sinusitis; Frequent: upper respiratory infection, lower respiratory infection. Infrequent: bronchitis, coughing, dyspnea, rhinitis. Rare: bronchospasm, respiratory depression, epistaxis, hypoxia, laryngitis, pneumonia.

Skin and appendages: rash; Infrequent: pruritus. Rare: acne, bullous eruption, dermatitis, furunculosis, injection-site inflammation, photosensitivity reaction, urticaria.

Special senses: Frequent: diplopia, vision abnormal. Infrequent: eye irritation, eye pain, scleritis, taste perversion, tinnitus. Rare: conjunctivitis, corneal ulceration, lacrimation abnormal, parosmia, photopsia.

Urogenital system: Frequent: urinary tract infection. Infrequent: cystitis, urinary incontinence. Rare: acute renal failure, dysuria, micturition frequency, nocturia, polyuria, pyelonephritis, renal pain, urinary retention.

2.4 Administration Instructions

Administer Zolpidem Tartrate Capsules orally once per night immediately before bedtime with at least 7 to 8 hours remaining before the planned time of awakening [see Warnings and Precautions (5.2)].

Zolpidem Tartrate Capsules should not be administered with food or immediately after a meal [see Clinical Pharmacology (12.3)]. Swallow Zolpidem Tartrate Capsules whole; do not open, crush, or chew.

2.1 Important Dosage Information

Zolpidem Tartrate Capsules are only available in a 7.5 mg strength. Use another zolpidem tartrate immediate-release product for the 5 mg or 10 mg dose of zolpidem tartrate immediate-release. Refer to the Prescribing Information of other zolpidem tartrate immediate-release products for the recommended dosage for those products.

  • Zolpidem Tartrate Capsules are not indicated in geriatric patients. Avoid use of Zolpidem Tartrate Capsules in geriatric patients because the recommended dosage in these patients cannot be achieved with the Zolpidem Tartrate Capsules 7.5 mg strength [see Use in Specific Populations (8.5)]. Use another zolpidem tartrate product for geriatric patients.
  • The recommended starting dosage for females is different than males because zolpidem clearance is lower in females [see Use in Specific Populations (8.7) and Clinical Pharmacology (12.3)]. Do not use Zolpidem Tartrate Capsules to initiate zolpidem tartrate treatment in females because the recommended starting dosage in females cannot be achieved with the Zolpidem Tartrate Capsules 7.5 mg strength. Use another zolpidem tartrate immediate-release product to initiate treatment in females [see Dosage and Administration (2.2)].
  • Avoid Zolpidem Tartrate Capsules in patients with mild or moderate hepatic impairment because the recommended dosage in such patients cannot be achieved with the Zolpidem Tartrate Capsules 7.5 mg strength [see Warnings and Precautions (5.8), Use in Specific Populations (8.7) and Clinical Pharmacology (12.3)].
  • Avoid any zolpidem tartrate use in patients with severe hepatic impairment because its use may contribute to encephalopathy [see Warnings and Precautions (5.8), Use in Specific Populations (8.7), Clinical Pharmacology (12.3)].
Warning: Complex Sleep Behaviors

Complex sleep behaviors including sleep-walking, sleep-driving, and engaging in other activities while not fully awake may occur following use of Zolpidem Tartrate Capsules. Some of these events may result in serious injuries, including death. Discontinue Zolpidem Tartrate Capsules immediately if a patient experiences a complex sleep behavior [see Contraindications (4) and Warnings and Precautions (5.1)].

17 Patient Counseling Information

Advise the patient to read the FDA-approved patient labeling (Medication Guide).

Complex Sleep Behaviors

Instruct patients and their families that Zolpidem Tartrate Capsules may cause complex sleep behaviors, including sleep-walking, sleep-driving, preparing and eating food, making phone calls, or having sex while not being fully awake. Serious injuries and death have occurred during complex sleep behavior episodes. Tell patients to discontinue Zolpidem Tartrate Capsules and notify their healthcare provider immediately if they develop any of these symptoms [see Boxed Warning, Warnings and Precautions (5.1)].

CNS-Depressant Effects and Next-Day Impairment

Advise patients that Zolpidem Tartrate Capsules has the potential to cause next-day impairment, and that this risk is increased if dosing instructions are not carefully followed. Tell patients to wait for at least 8 hours after dosing before driving or engaging in other activities requiring full mental alertness. Inform patients that impairment can be present despite feeling fully awake. Advise patients that increased drowsiness and decreased consciousness may increase the risk of falls in some patients [see Warnings and Precautions (5.2)].

Severe Anaphylactic and Anaphylactoid Reactions

Inform patients that severe anaphylactic and anaphylactoid reactions have occurred with zolpidem. Describe the signs/symptoms of these reactions and advise patients to seek medical attention immediately if any of them occur [see Warnings and Precautions (5.4)].

Suicide

Tell patients to immediately report any suicidal thoughts.

Alcohol and other Drugs

Ask patients about alcohol consumption, medicines they are taking, and drugs they may be taking without a prescription. Advise patients not to use Zolpidem Tartrate Capsules if they drank alcohol that evening or before bed.

Concomitant Use with Opioids

Inform patients and caregivers that potentially serious additive effects may occur if Zolpidem Tartrate Capsules are used with opioids and not to use such drugs concomitantly unless supervised by a healthcare provider [see Warnings and Precautions (5.2, 5.7), Drug Interactions (7)].

Tolerance, Abuse, and Dependence

Tell patients not to increase the dose of zolpidem tartrate on their own, and to inform you if they believe the drug “does not work.”

Administration Instructions

Patients should be counseled to take Zolpidem Tartrate Capsules right before they get into bed and only when they are able to stay in bed a full night (7 to 8 hours) before being active again. Zolpidem Tartrate Capsules should not be taken with or immediately after a meal. Advise patients NOT to take Zolpidem Tartrate Capsules if they drank alcohol that evening.

Pregnancy

Advise patients to notify their healthcare provider if they become pregnant or intend to become pregnant during treatment with Zolpidem Tartrate Capsules, and that there is a pregnancy registry that monitors pregnancy outcomes in women exposed to zolpidem tartrate. Advise patients that use of Zolpidem Tartrate Capsules late in the third trimester may cause respiratory depression and sedation in neonates. Advise mothers who used Zolpidem Tartrate Capsules during the late third trimester of pregnancy to monitor neonates for signs of sleepiness (more than usual), breathing difficulties, or limpness [see Use in Specific Populations (8.1)].

Lactation

Advise breastfeeding mothers using Zolpidem Tartrate Capsules to monitor infants for increased sleepiness, breathing difficulties, or limpness. Instruct breastfeeding mothers to seek immediate medical care if they notice these signs. A lactating female may consider pumping and discarding breastmilk during treatment and for 23 hours after Zolpidem Tartrate Capsules administration to minimize drug exposure to a breastfed infant [see Use in Specific Populations (8.2)].

5.6 Use in Patients With Depression

In primarily depressed patients treated with sedative-hypnotics, worsening of depression, and suicidal thoughts and actions (including completed suicides), have been reported. Suicidal tendencies may be present in such patients and protective measures may be required. Intentional overdosage is more common in this group of patients; therefore, the lowest number of Zolpidem Tartrate Capsules that is feasible should be prescribed for the patient at any one time.

16 How Supplied/storage and Handling

Zolpidem Tartrate Capsules 7.5 mg are hard gelatin capsules with “ALM” printed axially on the opaque light green cap and “775” printed axially on the opaque white body, and available as:

NDC 52427-775-30, bottle of 30 capsules with child-resistant closure

Store at 20°C to 25°C (68°F to 77°F); excursions permitted between 15°C and 30°C (59°F to 86°F) [see USP Controlled Room Temperature].

2.3 Recommended Duration of Treatment

Zolpidem Tartrate Capsules are for short-term use only. Re-evaluate the patient’s status during treatment because the risk of abuse and dependence increases with duration of treatment [see Drug Abuse and Dependence (9.3)].

Principal Display Panel Bottle Label

NDC 52427-775-30

Zolpidem Tartrate Capsules CIV

7.5 mg

ATTENTION PHARMACIST: Each patient is required to receive the accompanying Medication Guide.

Contains FD&C Yellow No. 6

Rx only

For oral use

30 Capsules

5.3 Need to Evaluate for Comorbid Diagnoses

Because sleep disturbances may be the presenting manifestation of a physical and/or psychiatric disorder, symptomatic treatment of insomnia should be initiated only after a careful evaluation of the patient. The failure of insomnia to remit after 7 to 10 days of Zolpidem Tartrate Capsules treatment may indicate the presence of a primary psychiatric and/or medical illness that should be evaluated. Worsening of insomnia or the emergence of new thinking or behavior abnormalities may be the consequence of an unrecognized psychiatric or physical disorder. Such findings have emerged during the course of treatment with sedative/hypnotic drugs, including zolpidem tartrate.

5.8 Precipitation of Hepatic Encephalopathy

Drugs affecting GABA receptors, such as zolpidem tartrate, have been associated with precipitation of hepatic encephalopathy in patients with hepatic insufficiency. In addition, patients with hepatic insufficiency do not clear zolpidem tartrate as rapidly as patients with normal hepatic function. Avoid Zolpidem Tartrate Capsules use in patients with severe hepatic impairment as it may contribute to encephalopathy [see Dosage and Administration (2.1), Use in Specific Populations (8.7), Clinical Pharmacology (12.3)].

5.5 Abnormal Thinking and Behavioral Changes

Abnormal thinking and behavior changes have been reported in patients treated with sedative/hypnotics, including zolpidem tartrate immediate-release. Some of these changes included decreased inhibition (e.g., aggressiveness and extroversion that seemed out of character), bizarre behavior, agitation and depersonalization. Visual and auditory hallucinations have been reported.

In controlled trials of zolpidem tartrate immediate-release 10 mg taken at bedtime <1% of adults with insomnia reported hallucinations. In a clinical trial, 7% of pediatric patients treated with zolpidem tartrate immediate-release 0.25 mg/kg taken at bedtime reported hallucinations versus 0% treated with placebo (Zolpidem Tartrate Capsules are not approved for use in pediatric patients) [see Use in Specific Populations (8.4)]. There have been postmarketing reports of delirium with zolpidem tartrate use [see Adverse Reactions (6.2)].

It can rarely be determined with certainty whether a particular instance of the abnormal behaviors listed above is drug induced, spontaneous in origin, or a result of an underlying psychiatric or physical disorder. Nonetheless, the emergence of any new behavioral sign or symptom of concern requires careful and immediate evaluation.

2.5 Dosage Modifications With Cns Depressants

Dosage modifications may be necessary when Zolpidem Tartrate Capsules are combined with other CNS-depressant drugs because of the potentially additive effects [see Warnings and Precautions (5.2, 5.7)]. Use another zolpidem tartrate immediate-release product for the 5 mg dosage of zolpidem tartrate immediate-release. Refer to the Prescribing Information of other zolpidem tartrate immediate-release products for the recommended dosage for those products.

5.2 Cns Depressant Effects and Next Day Impairment

Zolpidem tartrate, like other sedative-hypnotic drugs, has CNS-depressant effects. Coadministration with other CNS depressants (e.g., benzodiazepines, opioids, tricyclic antidepressants, alcohol) increases the risk of CNS depression [see Drug Interactions (7)]. Dosage adjustments of zolpidem tartrate and of other concomitant CNS depressants may be necessary when Zolpidem Tartrate Capsules are administered with such agents because of the potentially additive effects. Use another zolpidem tartrate immediate-release product for the 5 mg dose of zolpidem tartrate immediate-release. Refer to the Prescribing Information of other zolpidem tartrate immediate-release products for the recommended dosage for those products. The use of Zolpidem Tartrate Capsules with other sedative-hypnotics (including other zolpidem products) at bedtime or the middle of the night is not recommended [see Dosage and Administration (2.5)].

The risk of next-day psychomotor impairment, including impaired driving, is increased if Zolpidem Tartrate Capsules are taken with less than a full night of sleep remaining (7 to 8 hours); if a higher than the recommended dosage is taken; if coadministered with other CNS depressants or alcohol; or if coadministered with other drugs that increase the blood levels of zolpidem. Patients should be warned against driving and other activities requiring complete mental alertness if Zolpidem Tartrate Capsules are taken in these circumstances [see Dosage and Administration (2.5), Clinical Studies (14.2)]. Vehicle drivers and machine operators should be warned that, as with other hypnotics, there may be a possible risk of adverse reactions including drowsiness, prolonged reaction time, dizziness, sleepiness, blurred/double vision, reduced alertness, and impaired driving the morning after therapy. In order to minimize this risk a full night of sleep (7 to 8 hours) is recommended.

Because Zolpidem Tartrate Capsules can cause drowsiness and a decreased level of consciousness, patients, particularly the elderly, are at higher risk of falls.

5.4 Severe Anaphylactic and Anaphylactoid Reactions

Cases of angioedema involving the tongue, glottis or larynx have been reported in patients after taking the first or subsequent doses of sedative-hypnotics, including zolpidem tartrate. Some patients have had additional symptoms such as dyspnea, throat closing or nausea and vomiting that suggest anaphylaxis. Some patients have required medical therapy in the emergency department. If angioedema involves the throat, glottis or larynx, airway obstruction may occur and be fatal. Patients who develop angioedema after treatment with Zolpidem Tartrate Capsules should not be rechallenged with zolpidem tartrate.

13.1 Carcinogenesis, Mutagenesis, Impairment of Fertility

Carcinogenesis

Zolpidem was administered to mice and rats for 2 years at oral doses of 4, 18, and 80 mg base/kg/day. In mice, these doses are approximately 2.5, 10, and 50 times the MRHD of 10 mg/day (8 mg zolpidem base) based on mg/m2 body surface area and in rats, these doses are approximately 5, 20, and 100 times the MRHD based on mg/m2 body surface area. No evidence of carcinogenic potential was observed in mice. In rats, renal tumors (lipoma, liposarcoma) were seen at the mid and high doses.

Mutagenesis

Zolpidem was negative in in vitro (bacterial reverse mutation, mouse lymphoma, and chromosomal aberration) and in vivo (mouse micronucleus) genetic toxicology assays.

Impairment of Fertility

Zolpidem was administered to rats at 4, 20, and 100 mg base/kg/day, which are approximately 5, 25, and 120 times the MRHD of 10 mg/day (8 mg zolpidem base) based on mg/m2 body surface area, prior to and during mating, and continuing in females through postpartum day 25. Zolpidem caused irregular estrus cycles and prolonged precoital intervals at the highest dose tested, which is approximately 120 times the MRHD based on mg/m2 body surface area. The NOAEL for these effects is 25 times the MRHD based on a mg/m2 body surface area. There was no impairment of fertility at any dose tested.

14.2 Studies Pertinent to Safety Concerns for Sedative/hypnotic Drugs

Next-Day Residual Effects

Next-day residual effects of zolpidem tartrate were evaluated in seven studies involving healthy subjects. In three studies in adults (including one study in a phase advance model of transient insomnia) and in one study in elderly subjects (Zolpidem Tartrate Capsules are not indicated in geriatric patients, see Use in Specific Populations (8.5)), a small but statistically significant decrease in performance was observed in the Digit Symbol Substitution Test (DSST) when compared to placebo. Studies of zolpidem tartrate in non-elderly patients with insomnia did not detect evidence of next-day residual effects using the DSST, the Multiple Sleep Latency Test (MSLT), and patient ratings of alertness.

Rebound Effects

There was no objective (polysomnographic) evidence of rebound insomnia at recommended doses seen in studies evaluating sleep on the nights following discontinuation of zolpidem tartrate. There was subjective evidence of impaired sleep in the elderly on the first post-treatment night at doses above the 5 mg (Zolpidem Tartrate Capsules is not indicated in geriatric patients, see Use in Specific Populations (8.5)).

Memory Impairment

Controlled studies in adults utilizing objective measures of memory yielded no consistent evidence of next-day memory impairment following the administration of zolpidem tartrate. However, in one study involving zolpidem doses of 10 mg and 20 mg (2 times the maximum recommended zolpidem tartrate immediate-release dose), there was a significant decrease in next-morning recall of information presented to subjects during peak drug effect (90 minutes post dose), i.e., these subjects experienced anterograde amnesia. There was also subjective evidence from adverse event data for anterograde amnesia occurring in association with the administration of zolpidem tartrate, predominantly at doses above the maximum recommended zolipidem tartrate dose of 10 mg.

Effects on Sleep Stages

In studies that measured the percentage of sleep time spent in each sleep stage, zolpidem tartrate has generally been shown to preserve sleep stages. Sleep time spent in stages 3 and 4 (deep sleep) was found comparable to placebo with only inconsistent, minor changes in REM (paradoxical) sleep at the recommended dose.


Structured Label Content

Section 42229-5 (42229-5)

Distributed by:

Almatica Pharma LLC

Morristown, NJ 07960 USA

PI775-00

Section 42231-1 (42231-1)
This Medication Guide has been approved by the U.S. Food and Drug Administration.
MEDICATION GUIDE

ZOLPIDEM TARTRATE (zol pi dem tar trate)

CAPSULES for oral use, CIV

What is the most important information I should know about Zolpidem Tartrate Capsules?

Zolpidem Tartrate Capsules may cause serious side effects, including:

  • Complex sleep behaviors. After taking Zolpidem Tartrate Capsules, you may get up out of bed while not being fully awake and do an activity that you do not know you are doing. The next morning, you may not remember that you did anything during the night. These activities may happen with Zolpidem Tartrate Capsules whether or not you drink alcohol or take other medicines that make you sleepy. Some of these complex sleep behaviors have caused serious injury and death. People taking zolpidem tartrate have reported:
    • sleep-walking
    • sleep-driving
    • making and eating food
    • talking on the phone
    • having sex

Stop taking Zolpidem Tartrate Capsules and tell your healthcare provider right away if you find out that you have done any of the above activities after taking Zolpidem Tartrate Capsules.

What are Zolpidem Tartrate Capsules?

Zolpidem Tartrate Capsules are a prescription sleep medicine used for the short-term treatment of adults younger than 65 years of age who have trouble falling asleep for a short period of time only (transient insomnia).

It is not known if Zolpidem Tartrate Capsules are safe and effective in children. Zolpidem Tartrate Capsules are not recommended for use in children or in adults over age 65.

Zolpidem Tartrate Capsules are a federally controlled substance (CIV) because they can be abused or lead to dependence. Keep Zolpidem Tartrate Capsules in a safe place to protect them from misuse and abuse and theft. Never give your Zolpidem Tartrate Capsules to anyone else because it may cause death or harm them. Selling or giving away Zolpidem Tartrate Capsules is against the law.

Do not take Zolpidem Tartrate Capsules if you:

  • have had complex sleep behaviors that happened after taking zolpidem in the past. See “What is the most important information I should know about Zolpidem Tartrate Capsules?”
  • are allergic to zolpidem or any of the ingredients in Zolpidem Tartrate Capsules. See the end of this Medication Guide for a complete list of ingredients in Zolpidem Tartrate Capsules.

Before taking Zolpidem Tartrate Capsules, tell your healthcare provider about all of your medical conditions, including if you:

  • have a history of depression, mental illness, or suicidal thoughts or actions
  • have a history of drug or alcohol abuse or addiction
  • have kidney problems
  • have liver problems. Zolpidem Tartrate Capsules should not be used in people with liver problems.
  • have a lung disease or breathing problems
  • have sleep apnea
  • have myasthenia gravis
  • are a female and are not currently taking another zolpidem tartrate medicine. If you have never taken a zolpidem tartrate medicine before, your healthcare provider should prescribe another product to start zolpidem tartrate.
  • are pregnant or plan to become pregnant. Taking Zolpidem Tartrate Capsules in the third trimester of pregnancy may harm your unborn baby.
    • Tell your healthcare provider if you become pregnant or plan to become pregnant during treatment with Zolpidem Tartrate Capsules.
    • There is a pregnancy exposure registry for females who are exposed to psychiatric medicines during pregnancy. If you become pregnant during treatment with Zolpidem Tartrate Capsules, talk to your healthcare provider about registering you with the National Pregnancy Registry for Psychiatric Medications by calling 1-866-961-2388 or by visiting online at https://womensmentalhealth.org/research/pregnancyregistry.
    • Taking Zolpidem Tartrate Capsules during your third trimester of pregnancy may cause your baby to have breathing problems and sedation (such as unusual sleepiness or limp muscles).
  • are breastfeeding or plan to breastfeed. Zolpidem tartrate passes into your breast milk and may harm your baby. Talk to your healthcare provider about the best way to feed your baby during treatment with Zolpidem Tartrate Capsules.
    • If you breastfeed during treatment with Zolpidem Tartrate Capsules:
      • call your healthcare provider or go to the nearest emergency room right away if your baby develops increased sleepiness, breathing problems, or limpness.
      • to decrease the chance of your baby getting the medicine through your breast milk, you can pump and throw away your breast milk during treatment with Zolpidem Tartrate Capsules and for 23 hours after stopping use of Zolpidem Tartrate Capsules.

Tell your healthcare provider about all of the medicines you take, including prescription and over-the-counter medicines, vitamins and herbal supplements.

Zolpidem Tartrate Capsules and other medicines can interact with each other causing serious side effects. Zolpidem Tartrate Capsules may affect the way other medicines work, and other medicines may affect how Zolpidem Tartrate Capsules works.

Especially tell your healthcare provider if you:

  • take benzodiazepines
  • take opioids as it may increase the risk of breathing problems (respiratory depression)
  • take tricyclic antidepressants
  • take other medicines that can make you sleepy or affect your breathing (including other zolpidem medicines)
  • drink alcohol

If you take certain medicines, you may need to take another zolpidem tartrate medicine instead of Zolpidem Tartrate Capsules because the medicines may interact.

You can ask your pharmacist for a list of medicines that interact with Zolpidem Tartrate Capsules.

Know the medicines you take. Keep a list of them to show your healthcare provider and pharmacist when you get a new medicine.

How should I take Zolpidem Tartrate Capsules?

  • Take Zolpidem Tartrate Capsules exactly as your healthcare provider tells you to take them. Do not change your dose on your own. Tell your healthcare provider if you think Zolpidem Tartrate Capsules are not working for you.
  • If your sleep problems do not get better within 7 to 10 days, or if they get worse, this may mean that there is another condition causing your sleep problems.
  • Zolpidem Tartrate Capsules are for short-term use only. Treatment with Zolpidem Tartrate Capsules should be as short as possible because the risk of abuse and dependence increases the longer you are being treated.
  • Take 1 Zolpidem Tartrate Capsule at night right before bedtime.
  • Do not take Zolpidem Tartrate Capsules if you are not able to stay in bed a full night (7 to 8 hours) before you must be active again.
  • Do not take more than 1 Zolpidem Tartrate Capsule during the same night.
  • Do not take Zolpidem Tartrate Capsules with food or right after a meal.
  • Do not take Zolpidem Tartrate Capsules if you drank alcohol that evening or before bed.
  • Swallow Zolpidem Tartrate Capsules whole. Do not open, crush, or chew the capsules.
If you take too much Zolpidem Tartrate Capsules, call your healthcare provider or Poison Help line at 1-800-222-1222 or go to the nearest hospital emergency room right away.

What are the possible side effects of Zolpidem Tartrate Capsules?

Zolpidem Tartrate Capsules may cause serious side effects, including:

  • See "What is the most important information I should know about Zolpidem Tartrate Capsules?"
  • Zolpidem Tartrate Capsules can make you sleepy or dizzy, can cause blurred or double vision, and can slow your thinking and motor skills. Because Zolpidem Tartrate Capsules can make you sleepy or dizzy you are at a higher risk for falls. You may still feel this way when you wake up in the morning.
    • Do not drive, operate heavy machinery, or do other dangerous activities until you know how Zolpidem Tartrate Capsules affects you.
    • Do not drink alcohol or take opioids or other medicines that may make you sleepy or dizzy while taking Zolpidem Tartrate Capsules without first talking to your healthcare provider. When taken with alcohol or other medicines that cause sleepiness or dizziness, Zolpidem Tartrate Capsules may make your sleepiness or dizziness much worse.
  • Severe allergic reactions. Symptoms include swelling of the tongue or throat, trouble breathing, and nausea and vomiting. Swelling of the tongue or throat may block your ability to breathe and can lead to death. Get emergency medical help right away if you develop any of these symptoms during treatment with Zolpidem Tartrate Capsules.
  • Abnormal thoughts and behavior. Symptoms include more outgoing or aggressive behavior than normal, confusion (delirium), acting or feeling strangely, agitation, and seeing or hearing things that aren’t real (hallucinations).
  • Risk of suicide and worsening of depression. Worsening of depression and suicidal thoughts and actions, including completed suicides, can happen during treatment with medicines like Zolpidem Tartrate Capsules. Call your healthcare provider right away if you develop any thoughts of suicide, dying, or worsening depression during treatment with Zolpidem Tartrate Capsules.
  • Breathing problems. Call your healthcare provider or get emergency medical help right away if you develop breathing problems during treatment with Zolpidem Tartrate Capsules. Certain medical conditions and medicines may increase your risk for breathing problems. See “Before taking Zolpidem Tartrate Capsules, tell your healthcare provider about all of your medical conditions, including if you:”
  • Problems with your nervous system caused by severe liver disease (hepatic encephalopathy).
  • Withdrawal symptoms. You may have withdrawal symptoms if you stop taking Zolpidem Tartrate Capsules suddenly. Withdrawal symptoms can be serious and include stomach and muscle cramps, vomiting, sweating, shakiness, seizures, and confusion (delirium). Talk to your healthcare provider about slowly stopping Zolpidem Tartrate Capsules to avoid withdrawal symptoms.

The most common side effects of Zolpidem Tartrate Capsules include headache, sleepiness, dizziness, and diarrhea.

These are not all the side effects of Zolpidem Tartrate Capsules.

Call your doctor for medical advice about side effects. You may report side effects to FDA at 1-800-FDA-1088.

How should I store Zolpidem Tartrate Capsules?

  • Store Zolpidem Tartrate Capsules at room temperature between 68°F to 77°F (20°C to 25°C).
  • Zolpidem Tartrate Capsules come in a child resistant container.

Keep Zolpidem Tartrate Capsules and all medicines out of the reach of children.

General Information about the safe and effective use of Zolpidem Tartrate Capsules.

Medicines are sometimes prescribed for purposes other than those listed in a Medication Guide. Do not use Zolpidem Tartrate Capsules for a condition for which it was not prescribed. Do not give Zolpidem Tartrate Capsules to other people, even if they have the same symptoms that you have. It may harm them. You can ask your pharmacist or healthcare provider for information about Zolpidem Tartrate Capsules that is written for health professionals.

What are the ingredients in Zolpidem Tartrate Capsules?

Active Ingredient: zolpidem tartrate

Inactive Ingredients: gelatin, lactose monohydrate, magnesium stearate, microcrystalline cellulose, sodium starch glycolate, titanium dioxide, FD&C Blue #1, FD&C Red #40 and FD&C Yellow #6



Distributed by:

Almatica Pharma LLC

Morristown, NJ 07960 USA



For more information, please call 1-877-447-7979 or visit www.almatica.com.

Issued: 5/2023

PL775-00

9.2 Abuse

Abuse and addiction are separate and distinct from physical dependence and tolerance.

Abuse is the intentional, non-therapeutic use of a drug, even once, for its desirable psychologoical or physiological effects.

Misuse is the intentional use, for therapeutic purposes, of a drug by an individual in a way other than prescribed by a health care provider or for whom is was not prescribed.

Drug addiction is a cluster of behavioral, cognitive, and physiological phenomena that may include a strong desire to take the drug, difficulties in controlling drug use (e.g., continuing drug use despite harmful consequences, giving a higher priority to drug use than other activities and obligations), and possible tolerance or physical dependence.

Studies of abuse potential in former drug abusers found that the effects of single doses of zolpidem tartrate 40 mg (4 times the maximum recommended dosage for zolpidem tartrate immediate-release) were similar, but not identical, to diazepam 20 mg, while zolpidem tartrate 10 mg was difficult to distinguish from placebo.

Because persons with a history of addiction to, or abuse of, drugs or alcohol are at increased risk for misuse, abuse and addiction of zolpidem tartrate, they should be monitored carefully when receiving Zolpidem Tartrate Capsules.

10 Overdosage (10 OVERDOSAGE)

Signs and Symptoms

In postmarketing experience of overdose with zolpidem tartrate alone, or in combination with CNS-depressant agents, impairment of consciousness ranging from somnolence to coma, cardiovascular and/or respiratory compromise, and fatal outcomes have been reported.

Recommended Treatment

General symptomatic and supportive measures should be used along with immediate gastric lavage where appropriate. Intravenous fluids should be administered as needed. Zolpidem tartrate's sedative hypnotic effect was shown to be reduced by flumazenil and therefore may be useful; however, flumazenil administration may contribute to the appearance of neurological symptoms (convulsions). As in all cases of drug overdose, respiration, pulse, blood pressure, and other appropriate signs should be monitored and general supportive measures employed. Hypotension and CNS depression should be monitored and treated by appropriate medical intervention. Sedating drugs should be withheld following zolpidem tartrate overdosage, even if excitation occurs. The value of dialysis in the treatment of overdosage has not been determined, although hemodialysis studies in patients with renal failure receiving therapeutic doses have demonstrated that zolpidem tartrate is not dialyzable.

As with the management of all overdosage, the possibility of multiple drug ingestion should be considered. Consider contacting the Poison Help line (1-800-222-1222) or a medical toxicologist for additional overdose management recommendations.

8.1 Pregnancy

Pregnancy Exposure Registry

There is a pregnancy exposure registry that monitors pregnancy outcomes in women exposed to psychiatric medications during pregnancy. Healthcare providers are encouraged to register patients by calling the National Pregnancy Registry for Psychiatric Medications at 1-866-961-2388 or by visiting online at https://womensmentalhealth.org/research/pregnancyregistry.

Risk Summary

Neonates born to mothers using zolpidem tartrate late in the third trimester of pregnancy have been reported to experience symptoms of respiratory depression and sedation [see Clinical Considerations and Data]. Published data on the use of zolpidem tartrate during pregnancy have not reported a clear association with zolpidem and major birth defects [see Data]. Oral administration of zolpidem to pregnant rats and rabbits did not indicate a risk for adverse effects on fetal development at clinically relevant doses [see Data].

The estimated background risk of major birth defects and miscarriage for the indicated populations are unknown. All pregnancies have a background risk of birth defect, loss, or other adverse outcomes. In the U.S. general population, the estimated background risk of major birth defects and miscarriage in clinically recognized pregnancies is 2% to 4% and 15% to 20%, respectively.

Clinical Considerations

Fetal/Neonatal Adverse Reactions

Zolpidem crosses the placenta and may produce respiratory depression and sedation in neonates. Monitor neonates exposed to Zolpidem Tartrate Capsules during pregnancy and labor for signs of excess sedation, hypotonia, and respiratory depression and manage accordingly.

Data

Human Data

Published data from observational studies, birth registries, and case reports on the use of zolpidem tartrate during pregnancy do not report a clear association with zolpidem tartrate and major birth defects.

There are limited postmarketing reports of severe to moderate cases of respiratory depression that occurred after birth in neonates whose mothers had taken zolpidem tartrate during pregnancy. These cases required artificial ventilation or intratracheal intubation. The majority of neonates recovered within hours to a few weeks after birth once treated.

Zolpidem tartrate has been shown to cross the placenta.

Animal Data

Oral administration of zolpidem tartrate to pregnant rats during the period of organogenesis at 4, 20, and 100 mg base/kg/day, which are approximately 5, 25, and 120 times the maximum recommended zolpidem tartrate human dose (MRHD) of 10 mg/day (8 mg zolpidem base) based on mg/m2 body surface area, caused delayed fetal development (incomplete fetal skeletal ossification) at maternally toxic (ataxia) doses 25 and 120 times the MRHD based on mg/m2 body surface area.

Oral administration of zolpidem to pregnant rabbits during the period of organogenesis at 1, 4, and 16 mg base/kg/day, which are approximately 2.5, 10, and 40 times the MRHD of 10 mg/day (8 mg zolpidem base) based on mg/m2 body surface area caused embryo-fetal death and delayed fetal development (incomplete fetal skeletal ossification) at a maternally toxic (decreased body weight gain) dose 40 times the MRHD based on mg/m2 body surface area.

Oral administration of zolpidem tartrate to pregnant rats from day 15 of gestation through lactation at 4, 20, and 100 mg base/kg/day, which are approximately 5, 25, and 120 times the MRHD of 10 mg/day (8 mg zolpidem base) based on mg/m2 body surface area, delayed offspring growth and decreased survival at doses 25 and 120 times, respectively, the MRHD based on mg/m2 body surface area.

8.2 Lactation

Risk Summary

Limited data from published literature report the presence of zolpidem tartrate in human milk. There are reports of excess sedation in infants exposed to zolpidem tartrate through breastmilk [see Clinical Considerations]. There is no information on the effects of zolpidem tartrate on milk production. The developmental and health benefits of breastfeeding should be considered along with the mother's clinical need for Zolpidem Tartrate Capsules and any potential adverse effects on the breastfed infant from Zolpidem Tartrate Capsules or from the underlying maternal condition.

Clinical Considerations

Infants exposed to zolpidem tartrate through breastmilk should be monitored for excess sedation, hypotonia, and respiratory depression. A lactating woman may consider interrupting breastfeeding and pumping and discarding breast milk during treatment and for 23 hours (approximately 5 elimination half-lives) after Zolpidem Tartrate Capsules administration in order to minimize drug exposure to a breast fed infant.

11 Description (11 DESCRIPTION)

Zolpidem Tartrate Capsules 7.5 mg contains zolpidem tartrate, a gamma-aminobutyric acid (GABA) A receptor positive modulator of the imidazopyridine class.

Chemically, zolpidem is N,N,6-trimethyl-2-p-tolylimidazo[1,2-a] pyridine-3-acetamide L-(+)-tartrate. It has the following structure:

Zolpidem tartrate is a white to off-white crystalline powder, hygroscopic that is slightly soluble in water, sparingly soluble in methanol alcohol, and practically insoluble in methylene chloride. It has a molecular formula of (C19H21N3O)2 · C4H6O6 and molecular weight of 764.87 g/mol.

Zolpidem Tartrate Capsules are intended for oral administration and are available only in a 7.5 mg strength. The capsules contain 7.5 mg zolpidem tartrate, USP (equivalent to 6 mg zolpidem) and include the following inactive ingredients: gelatin, lactose monohydrate, magnesium stearate, microcrystalline cellulose, sodium starch glycolate, titanium dioxide, and the colorants FD&C Blue #1, FD&C Red #40 and FD&C Yellow #6.

9.3 Dependence

Use of Zolpidem Tartrate Capsules may lead to the development of physical and/or psychological dependence. The risk of dependence increases with dose and duration of treatment. The risk of abuse and dependence is also greater in patients with a history of alcohol or drug abuse. Zolpidem Tartrate Capsules should be used with extreme caution in patients with current or past alcohol or drug abuse.

Physical dependence is a state that develops as a result of physiological adaptation in response to repeated drug use, manifested by withdrawal signs and symptoms after abrupt discontinuation or a significant dose reduction of a drug.

Tolerance is a physiological state characterized by a reduced response to a drug after repeated administration (i.e., a higher dose of a drug is required to produce the same effect that was once obtained at a lower dose).

Sedative/hypnotics have produced withdrawal signs and symptoms following abrupt discontinuation. These reported symptoms range from mild dysphoria and insomnia to a withdrawal syndrome that may include abdominal and muscle cramps, vomiting, sweating, tremors, convulsions, and delirium.

The following adverse reactions, which are considered to meet the DSM-III-R criteria for uncomplicated sedative/hypnotic withdrawal, were reported during clinical trials with another zolpidem tartrate immediate-release product following placebo substitution occurring within 48 hours following last zolpidem treatment: fatigue, nausea, flushing, lightheadedness, uncontrolled crying, emesis, stomach cramps, panic attack, nervousness, and abdominal discomfort. These reported adverse reactions occurred at an incidence of 1% or less. However, available data cannot provide a reliable estimate of the incidence, if any, of dependence during treatment at recommended doses. There have been postmarketing reports of abuse, dependence and withdrawal with zolpidem.

8.4 Pediatric Use

Zolpidem Tartrate Capsules are not recommended for use in pediatric patients. The safety and effectiveness of Zolpidem Tartrate Capsules in pediatric patients have not been established.

In an 8-week study in pediatric patients (aged 6 to 17 years) with insomnia associated with attention-deficit/hyperactivity disorder (ADHD) an oral solution of zolpidem tartrate dosed at 0.25 mg/kg at bedtime did not decrease sleep latency compared to placebo. Psychiatric and nervous system disorders comprised the most frequent (>5%) adverse reactions observed with zolpidem tartrate versus placebo and included dizziness (24% vs 2%), headache (13% vs 9%), and hallucinations 7% vs. 0%) [see Warnings and Precautions (5.5)]. Ten (7%) pediatric patients treated with zolpidem tartrate discontinued treatment due to an adverse reaction.

8.5 Geriatric Use

Zolpidem Tartrate Capsules are not indicated in geriatric patients. Avoid use of Zolpidem Tartrate Capsules 7.5 mg in geriatric patients because necessary dosage adjustment is not possible with the available dosage strength.

Adverse reactions related to impaired motor and/or cognitive performance and unusual sensitivity to sedative/hypnotic drugs, including zolpidem, have been reported in geriatric patients [see Warnings and Precautions (5.2)].

A total of 154 patients in controlled clinical trials in the U.S. and 897 patients in clinical trials outside the U.S. who received zolpidem tartrate were ≥60 years of age. In the pool of U.S. patients ≥60 years of age who received zolpidem tartrate at dosage of ≤10 mg or placebo (taken once nightly), the following adverse reactions occurred at an incidence of at least 3% in the zolpidem tartrate-treated patients and for which the incidence in zolpidem tartrate-treated patients was at least twice the incidence in placebo-treated patients, i.e., they could be considered drug related (see Table 3).

Table 3: Adverse Reactions (≥3% and at least twice placebo) in Pooled Placebo-Controlled Clinical Trials Zolpidem Tartrate Immediate-Release in Adults ≥60 Years of Age
* Zolpidem Tartrate Capsules are only available as a 7.5 mg dosage strength.
Adverse Reaction Zolpidem (≤10 mg)* Placebo
Dizziness 3% 0%
Drowsiness 5% 2%
Diarrhea 3% 1%

A total of 30/1,959 (1.5%) zolpidem tartrate-treated non-U.S. patients reported falls, including 28/30 (93%) who were ≥70 years of age. Of these 28 patients, 23 (82%) received zolpidem tartrate dosages greater than the maximum recommended dosage (i.e., >10 mg once nightly). A total of 24/1,959 (1.2%) zolpidem tartrate-treated non-U.S. patients reported confusion, including 18/24 (75%) who were ≥70 years of age. Of these 18 patients, 14 (78%) received zolpidem tartrate dosage greater than the maximum recommended dosage (i.e., >10 mg once nightly). Zolpidem Tartrate Capsules are not indicated for use in geriatric patients. Avoid use of Zolpidem Tartrate Capsules in geriatric patients.

In several studies, Tmax, T1/2, and AUC of zolpidem tartrate were significantly higher in geriatric subjects when compared to younger adult subjects. In one study of 8 subjects (>70 years of age), the means for Cmax, T1/2, and AUC significantly increased by 50% (255 vs 384 ng/mL), 32% (2.2 vs 2.9 hr), and 64% (955 vs 1,562 ng∙hr/mL), respectively, as compared to adults (20 to 40 years of age) following a single 20 mg oral dose (two times the maximum recommended dose). Zolpidem Tartrate Capsules are not indicated for use in geriatric patients.

4 Contraindications (4 CONTRAINDICATIONS)

Zolpidem Tartrate Capsules are contraindicated in patients:

  • who have experienced complex sleep behaviors after taking zolpidem [see Warnings and Precautions (5.1)].
  • with known hypersensitivity to zolpidem. Observed reactions include anaphylaxis and angioedema [see Warnings and Precautions (5.4)].
6 Adverse Reactions (6 ADVERSE REACTIONS)

The following serious adverse reactions are discussed in greater detail in other sections of the labeling:

  • Complex Sleep Behaviors [see Warnings and Precautions (5.1)]
  • CNS-Depressant Effects and Next-Day Impairment [see Warnings and Precautions (5.2)]
  • Severe Anaphylactic and Anaphylactoid Reactions [see Warnings and Precautions (5.4)]
  • Abnormal Thinking and Behavior Changes [see Warnings and Precautions (5.5)]
  • Withdrawal Effects [see Warnings and Precautions (5.9)]
7 Drug Interactions (7 DRUG INTERACTIONS)

Table 2 presents clinically important drug interactions with zolpidem tartrate.

Table 2: Clinically Important Drug Interactions with Zolpidem Tartrate Capsules
Alcohol and Other CNS Depressants
Clinical Impact Concomitant use of alcohol or other CNS depressants with zolpidem tartrate may lead to additive impairment of psychomotor performance and risk of CNS depression [see Clinical Pharmacology (12.3)].
Intervention Dosage adjustments of Zolpidem Tartrate Capsules and of other concomitant CNS depressants may be necessary when Zolpidem Tartrate Capsules are coadministered because of the potentially additive effects. Use another zolpidem tartrate immediate-release product for the 5 mg dose of zolpidem tartrate immediate-release. Refer to the Prescribing Information of other zolpidem tartrate immediate-release products for the recommended dosage for those products. The use of Zolpidem Tartrate Capsules with other sedative-hypnotics (including other zolpidem products) at bedtime or the middle of the night is not recommended [see Dosage and Administration (2.5), Warnings and Precautions (5.1, 5.2)].
Opioids
Clinical Impact Concomitant administration of zolpidem tartrate and opioids may increase the risk of respiratory depression [see Warnings and Precautions (5.2, 5.7)].
Intervention Limit dosage and duration of concomitant use of Zolpidem Tartrate Capsules and opioids, and monitor patients closely for respiratory depression. Consider using another zolpidem tartrate immediate-release product for a lower zolpidem tartrate dose (5 mg) [see Dosage and Administration (2.5)].
Imipramine and Chlorpromazine
Clinical Impact Concomitant use of imipramine or chlorpromazine with zolpidem tartrate may lead to an additive effect of decreased alertness and psychomotor performance [see Clinical Pharmacology (12.3)].
Intervention Consider using another zolpidem tartrate immediate-release product for a lower zolpidem tartrate dose (5 mg).
Sertraline
Clinical Impact Concomitant administration of zolpidem and sertraline increases exposure to zolpidem [see Clinical Pharmacology (12.3)].
Intervention Consider using another zolpidem tartrate immediate-release product for a lower zolpidem tartrate dose (5 mg).
CYP3A4 Inducers
Clinical Impact Concomitant use with CYP3A4 inducers may decrease zolpidem exposure [see Clinical Pharmacology (12.3)].
Intervention Concomitant use of Zolpidem Tartrate Capsules and CYP3A4 inducers is not recommended.
CYP3A4 Inhibitors
Clinical Impact Concomitant use with CYP3A4 inhibitors increased zolpidem exposure [see Clinical Pharmacology (12.3)].
Intervention Consider using another zolpidem tartrate immediate-release product for a lower zolpidem tartrate dose.
12.2 Pharmacodynamics

Zolpidem binds to GABA A receptors with greater affinity for α1 subunit relative to α2 and α3 subunit containing receptors. Zolpidem has no appreciable binding affinity for α5 subunit containing GABA A receptors. This binding profile may explain the relative absence of myorelaxant effects in animal studies. Zolpidem has no appreciable binding affinity for dopaminergic D2, serotonergic 5HT2, adrenergic, histaminergic or muscarinic receptors.

12.3 Pharmacokinetics

Absorption

Pharmacokinetics of zolpidem tartrate has been demonstrated to be linear between 5 mg and 20 mg (2 times the recommended dose of zolpidem tartrate (immediate-release).

Following a single dose administration of 7.5 mg Zolpidem Tartrate Capsules and 10 mg zolpidem tartrate immediate-release tablets in healthy volunteers under fasted conditions:

  • The mean dose-normalized peak plasma concentration (Cmax) of zolpidem was 230 ng/mL for Zolpidem Tartrate Capsules and 218 ng/mL for 10 mg zolpidem tartrate immediate-release tablets.
  • The mean dose-normalized area under concentration curve (AUC) of zolpidem was 942 hour*ng/mL for Zolpidem Tartrate Capsules and 956 hour*ng/mL zolpidem tartrate immediate-release tablets.

Effect of Food

Mean zolpidem Cmax and AUC decreased by 39% and 8%, respectively, with a high-fat, high-calorie meal compared to fasted conditions following administration of Zolpidem Tartrate Capsules 7.5 mg to healthy volunteers. The median time to reach zolpidem Cmax (Tmax) was prolonged from 1 hour to 2.8 hours post dose in the presence of food.

Distribution

Total protein binding was found to be 92.5 ± 0.1% and remained constant, independent of concentration between 40 and 790 ng/mL.

Elimination

Metabolism

Zolpidem tartrate is converted to inactive metabolites that are eliminated primarily by renal excretion.

Excretion

Following a single 7.5 mg dose of Zolpidem Tartrate Capsules under fasting state, the mean apparent clearance (CL/F) of the zolpidem tartrate was 15.72 L/hr (range: 5.44 to 96.71), and the mean elimination half-life was 3.70 hours (range: 1.2 to 8.3 hours).

Specific Populations

Male and Female Patients

At a given dose, zolpidem blood levels were higher in females compared to males. Females clear zolpidem tartrate from the body at a lower rate than males. Cmax and AUC parameters of zolpidem tartrate were approximately 45% higher at the same dose in females compared with males [see Dosage and Administration (2.1), Use in Specific Populations (8.6)].

Patients with Hepatic Impairment

The pharmacokinetics of zolpidem tartrate in eight patients with chronic hepatic impairment was compared to results in healthy subjects. Following a single 20 mg oral zolpidem tartrate dose, mean Cmax and AUC were found to be two times (250 vs 499 ng/mL) and five times (788 vs 4,203 ng∙hr/mL) higher, respectively, in patients with chronic hepatic impairment. Tmax did not change. The mean half-life in cirrhotic patients of 9.9 hr (range: 4.1 to 25.8 hr) was greater than that observed in subjects with normal hepatic function of 2.2 hr (range: 1.6 to 2.4 hr) [see Dosage and Administration (2.1), Warnings and Precautions (5.8), Use in Specific Populations (8.7)].

Patients with Renal Impairment

The pharmacokinetics of zolpidem tartrate was studied in 11 patients with end-stage renal failure (mean ClCr = 6.5 ± 1.5 mL/min) undergoing hemodialysis three times a week, who were dosed with zolpidem tartrate 10 mg orally each day for 14 or 21 days. No statistically significant differences were observed for Cmax, Tmax, half-life, and AUC between the first and last day of drug administration when baseline concentration adjustments were made. Zolpidem was not hemodialyzable. No accumulation of unchanged drug appeared after 14 or 21 days. Zolpidem pharmacokinetics was not significantly different in patients with renal impairment compared to those with normal renal function.

Drug Interaction Studies

CNS Depressants

Coadministration of zolpidem tartrate with other CNS depressants increases the risk of CNS depression [see Warnings and Precautions (5.2)]. Zolpidem tartrate was evaluated in healthy volunteers in single-dose interaction studies for several CNS drugs. Imipramine in combination with zolpidem produced no pharmacokinetic interaction other than a 20% decrease in peak levels of imipramine, but there was an additive effect of decreased alertness. Similarly, chlorpromazine in combination with zolpidem produced no pharmacokinetic interaction, but there was an additive effect of decreased alertness and psychomotor performance.

A study involving haloperidol and zolpidem revealed no effect of haloperidol on the pharmacokinetics or pharmacodynamics of zolpidem. The lack of a drug interaction following single-dose administration does not predict the absence of an effect following chronic administration.

An additive adverse effect on psychomotor performance between alcohol and oral zolpidem was demonstrated [see Warnings and Precautions (5.2)].

Drugs that affect drug metabolism via cytochrome P450

CYP 2D6 Inhibitors

Following five consecutive nightly doses at bedtime of oral zolpidem tartrate 10 mg in the presence of sertraline 50 mg (17 consecutive daily doses, at 7:00 am, in healthy female volunteers), zolpidem Cmax was significantly higher (43%) and Tmax was significantly decreased (-53%). Pharmacokinetics of sertraline and N-desmethylsertraline were unaffected by zolpidem.

A single-dose interaction study with zolpidem tartrate 10 mg and fluoxetine 20 mg at steady-state levels in male volunteers did not demonstrate any clinically significant pharmacokinetic or pharmacodynamic interactions. When multiple doses of zolpidem and fluoxetine were given at steady state and the concentrations evaluated in healthy females, an increase in the zolpidem half-life (17%) was observed. There was no evidence of an additive effect in psychomotor performance.

CYP3A Inhibitors

Some compounds known to inhibit CYP3A may increase exposure to zolpidem.

A single-dose interaction study with zolpidem tartrate 10 mg and itraconazole 200 mg at steady-state levels in male volunteers resulted in a 34% increase in AUC0–∞ of zolpidem tartrate. There were no pharmacodynamic effects of zolpidem tartrate detected on subjective drowsiness, postural sway, or psychomotor performance.

A single-dose interaction study with zolpidem tartrate 5 mg and ketoconazole, a potent CYP3A4 inhibitor, given as 200 mg twice daily for 2 days increased Cmax of zolpidem tartrate (30%) and the total AUC of zolpidem tartrate (70%) compared to zolpidem tartrate alone and prolonged the elimination half-life (30%) along with an increase in the pharmacodynamic effects of zolpidem tartrate [see Drug Interactions (7)].

Additionally, fluvoxamine (a strong inhibitor of CYP1A2 and a weak inhibitor of CYP3A4 and CYP2C9) and ciprofloxacin (a strong inhibitor of CYP1A2 and a moderate inhibitor of CYP3A4) are also likely to inhibit zolpidem’s metabolic pathways, potentially leading to an increase in zolpidem exposure.

CYP3A Inducers

A single-dose interaction study with zolpidem tartrate 10 mg and rifampin 600 mg at steady-state levels in female subjects showed significant reductions of the AUC (-73%), Cmax (-58%), and T1/2 (-36%) of zolpidem together with significant reductions in the pharmacodynamic effects of zolpidem tartrate. Rifampin, a CYP3A4 inducer, significantly reduced the exposure to and the pharmacodynamic effects of zolpidem [see Drug Interactions (7)].

Similarly, St. John’s wort, a CYP3A4 inducer, may also decrease the blood levels of zolpidem.

Cimetidine and Ranitidine

A study involving cimetidine/zolpidem tartrate and ranitidine/zolpidem tartrate combinations revealed no effect of either drug on the pharmacokinetics or pharmacodynamics of zolpidem.

Effect of Zolpidem Tartrate on Other Drugs

Zolpidem tartrate had no effect on digoxin pharmacokinetics and did not affect prothrombin time when given with warfarin in healthy subjects.

8.6 Males and Females

Use another zolpidem tartrate immediate-release product when initiating zolpidem tartrate immediate-release treatment in females. A lower recommended starting dosage is recommended in females (compared to males) because zolpidem blood levels are higher in females compared to males [see Dosage and Administration (2.1, 2.2)].

Females clear zolpidem tartrate from the body at a lower rate than males. Cmax and AUC parameters of zolpidem were approximately 45% higher after administration of the same zolpidem tartrate dose in females compared with males [see Clinical Pharmacology (12.3)].

2.2 Recommended Dosage

Use the lowest effective zolpidem tartrate dosage. For instructions on administration of Zolpidem Tartrate Capsules, see Dosage and Administration (2.4).

  • The recommended starting dosage of zolpidem tartrate immediate-release in females is 5 mg once nightly. Use another zolpidem tartrate immediate-release product for dosage initiation in females [see Use in Specific Populations (8.6) and Clinical Pharmacology (12.3)].
  • The recommended starting dosage of zolpidem tartrate immediate-release in males is either zolpidem tartrate immediate-release 5 mg, Zolpidem Tartrate Capsules 7.5 mg, or zolpidem tartrate immediate-release 10 mg, once nightly.

In both males and females, if a 5 mg once nightly dose of another zolpidem tartrate immediate-release product is not effective, the zolpidem tartrate dosage may be increased to Zolpidem Tartrate Capsules 7.5 mg once nightly or 10 mg once nightly of another zolpidem tartrate immediate-release product. The maximum recommended dosage of zolpidem tartrate immediate-release is 10 mg once nightly.

Zolpidem Tartrate Capsules should be taken as a single dose and should not be readministered during the same night.

5.9 Withdrawal Effects

There have been reports of withdrawal signs and symptoms following the rapid dose decrease or abrupt discontinuation of zolpidem tartrate. Monitor patients for tolerance, abuse, and dependence [see Drug Abuse and Dependence (9.2, 9.3)].

8.7 Hepatic Impairment

Avoid use of Zolpidem Tartrate Capsules in patients with mild to moderate hepatic impairment (Child-Pugh score between 5 and 9), because necessary dosage adjustment is not possible with available dosage strength. Avoid use of Zolpidem Tartrate Capsules in patients with severe hepatic impairment (Child-Pugh score ≥ 10) as it may contribute to encephalopathy [see Warnings and Precautions (5.8), Clinical Pharmacology (12.3)].

1 Indications and Usage (1 INDICATIONS AND USAGE)

Zolpidem Tartrate Capsules are indicated for the short-term treatment of transient insomnia characterized by difficulties with sleep initiation in adults younger than 65 years of age [see Dosage and Administration (2.1) and Clinical Studies (14)].

14.1 Transient Insomnia

The efficacy of Zolpidem Tartrate Capsules for the short-term treatment of transient insomnia characterized by difficulties with sleep initiation in adult patients younger than 65 years of age is based upon adequate and well-controlled studies of zolpidem tartrate tablets (immediate-release). The results of these adequate and well-controlled studies of zolpidem tartrate tablets are presented below.

Adults experiencing transient insomnia (n=462) during the first night in a sleep laboratory were evaluated in a double-blind, parallel group, single-night trial comparing two doses of zolpidem tartrate tablets (7.5 mg and 10 mg) and placebo. Both zolpidem tartrate doses were superior to placebo on objective (polysomnographic) measures of sleep latency, sleep duration, and number of awakenings.

12.1 Mechanism of Action

Zolpidem is a GABA A receptor positive modulator presumed to exert its therapeutic effects in the short-term treatment of transient insomnia through binding to the benzodiazepine site of α1 subunit containing GABA A receptors, increasing the frequency of chloride channel opening resulting in the inhibition of neuronal excitation.

9.1 Controlled Substance

Zolpidem Tartrate Capsules contain zolpidem tartrate, a Schedule IV controlled substance.

5 Warnings and Precautions (5 WARNINGS AND PRECAUTIONS)
  • CNS-Depressant Effects: Impaired alertness and motor coordination including risk of morning impairment. Risk increases with dose and use with other CNS depressants and alcohol. Caution patients against driving and other activities requiring mental alertness the morning after use. Instruct patients on correct use (5.2)
  • Need to Evaluate for Comorbid Diagnoses: Reevaluate if insomnia persists after 7 to 10 days of use (5.3)
  • Severe Anaphylactic/Anaphylactoid Reactions: Angioedema and anaphylaxis have been reported. Do not rechallenge if such reactions occur (5.4)
  • Abnormal Thinking and Behavioral Changes: Changes including decreased inhibition, bizarre behavior, agitation, and depersonalization have been reported. Immediately evaluate any new onset behavioral changes (5.5)
  • Depression: Worsening of depression or suicidal thinking may occur. Prescribe the least amount of capsules feasible to avoid intentional overdose (5.6)
  • Respiratory Depression: Consider this risk before prescribing in patients with compromised respiratory function (5.7)
  • Precipitation of Hepatic Encephalopathy: Avoid zolpidem tartrate in patients with severe hepatic impairment (2.1, 5.8, 8.7)
  • Withdrawal Effects: Symptoms may occur with rapid dose reduction or discontinuation (5.9, 9.3)
5.7 Respiratory Depression

Although studies with 10 mg zolpidem tartrate immediate-release did not reveal respiratory depressant effects at hypnotic doses in healthy subjects or in patients with mild to moderate chronic obstructive pulmonary disease (COPD), a reduction in the Total Arousal Index, together with a reduction in lowest oxygen saturation and increase in the times of oxygen desaturation below 80% and 90%, was observed in patients with mild to moderate sleep apnea when treated with zolpidem tartrate immediate-release compared to placebo. Since sedative-hypnotics have the capacity to depress respiratory drive, precautions should be taken if Zolpidem Tartrate Capsules are prescribed to patients with compromised respiratory function or concomitant use with opioids or other CNS depressants. Postmarketing reports of respiratory insufficiency in patients receiving 10 mg of zolpidem tartrate immediate-release, most of whom had pre-existing respiratory impairment, have been reported. The risk of respiratory depression should be considered prior to prescribing Zolpidem Tartrate Capsules in patients with respiratory impairment including sleep apnea and myasthenia gravis or with concomitant opioid use [see Dosage and Administration (2.5), Drug Interactions (7)].

2 Dosage and Administration (2 DOSAGE AND ADMINISTRATION)
  • Zolpidem Tartrate Capsules are only available in 7.5 mg strength. Use another zolpidem tartrate immediate-release product for 5 mg or 10 mg dosage (2.1)
  • Avoid use of Zolpidem Tartrate Capsules in geriatric patients (2.1)
  • Recommended dosage of zolpidem tartrate (use the lowest effective zolpidem tartrate dosage):
    • Females: The recommended starting dosage of zolpidem tartrate immediate-release in females is 5 mg once nightly. Use another zolpidem tartrate immediate-release product for dosage initiation in females (2.1, 2.2, 8.6)
    • Males: The recommended starting dosage of zolpidem tartrate immediate-release in males is either zolpidem tartrate immediate-release 5 mg, Zolpidem Tartrate Capsules 7.5 mg, or zolpidem tartrate immediate-release 10 mg, once nightly. Use another zolpidem tartrate immediate-release product for 5 mg and 10 mg dosing (2.2)
    • In both males and females: If a 5 mg nightly dose of another zolpidem tartrate immediate-release product is not effective, the zolpidem tartrate dosage may be increased to Zolpidem Tartrate Capsules 7.5 mg once nightly or 10 mg once nightly of another zolpidem tartrate immediate-release product. The maximum recommended dosage of zolpidem tartrate immediate-release is 10 mg once nightly (2.2)
  • Zolpidem Tartrate Capsules are for short-term use only (2.3)
  • Administer Zolpidem Tartrate Capsules orally once per night immediately before bedtime with at least 7 to 8 hours remaining before the planned time of awakening (2.4)
  • Zolpidem Tartrate Capsules should not be taken with or immediately after a meal. Swallow whole. Do not open, crush, or chew (2.4)
  • Lower doses of CNS depressants may be necessary when taken concomitantly with Zolpidem Tartrate Capsules (2.5)
5.1 Complex Sleep Behaviors

Complex sleep behaviors, including sleep-walking, sleep-driving, and engaging in other activities while not fully awake, may occur following the first or any subsequent use of Zolpidem Tartrate Capsules. Patients can be seriously injured or injure others during complex sleep behaviors. Such injuries may result in a fatal outcome. Other complex sleep behaviors (e.g., preparing and eating food, making phone calls, or having sex) have also been reported. Patients usually do not remember these events. Postmarketing reports have shown that complex sleep behaviors may occur with zolpidem alone at recommended dosage, with or without the concomitant use of alcohol or other central nervous system (CNS) depressants [see Drug Interactions (7)]. Discontinue Zolpidem Tartrate Capsules immediately if a patient experiences a complex sleep behavior [see Contraindications (4)].

3 Dosage Forms and Strengths (3 DOSAGE FORMS AND STRENGTHS)

Capsules: 7.5 mg, hard gelatin capsules with "ALM" printed axially on the opaque light green cap and "775" printed axially on the opaque white body. All printing is in grey ink.

6.2 Postmarketing Experience

The following adverse reactions have been identified during postapproval use of zolpidem tartrate. Because these reactions are reported voluntarily from a population of uncertain size, it is not always possible to reliably estimate their frequency or establish a causal relationship to drug exposure.

Liver and biliary system: acute hepatocellular, cholestatic or mixed liver injury with or without jaundice (i.e., bilirubin >2 × ULN, alkaline phosphatase ≥2 × ULN, transaminase ≥5 × ULN).

Psychiatric disorders: delirium

8 Use in Specific Populations (8 USE IN SPECIFIC POPULATIONS)
  • Pregnancy: May cause respiratory depression and sedation in neonates with exposure late in the third trimester (8.1)
  • Lactation: A lactating woman may pump and discard breast milk during treatment and for 23 hours after Zolpidem Tartrate Capsule administration (8.2)
  • Hepatic Impairment: Avoid use (2.1, 8.7)
  • Pediatric use: Safety and effectiveness not established. Hallucinations (incidence rate 7%) and other psychiatric and/or nervous system adverse reactions were observed frequently in a study of pediatric patients with Attention-Deficit/Hyperactivity Disorder (5.5, 8.4)
6.1 Clinical Trials Experience

Because clinical studies are conducted under widely varying conditions, adverse reaction rates observed in the clinical studies of a drug cannot be directly compared to rates in the clinical studies of another drug and may not reflect the rates observed in practice.

The safety of Zolpidem Tartrate Capsules 7.5 mg for the short-term treatment of transient insomnia characterized by difficulties with sleep initiation in adults is based upon adequate and well-controlled studies of zolpidem tartrate tablets immediate-release [see Clinical Studies (14)]. The results of these adequate and well-controlled studies are presented below.

Adverse Reactions Leading to Discontinuation of Treatment

Approximately 4% of 1,701 patients who received zolpidem tartrate tablets immediate-release at all doses in U.S. premarketing clinical trials discontinued treatment because of an adverse reaction. Reactions most commonly associated with discontinuation from U.S. trials were daytime drowsiness (0.5%), dizziness (0.4%), headache (0.5%), nausea (0.6%), and vomiting (0.5%).

Approximately 4% of 1,959 patients who received zolpidem tartrate tablets immediate-release at all doses in similar foreign trials discontinued treatment because of an adverse reaction. Reactions most commonly associated with discontinuation from these trials were daytime drowsiness (1.1%), dizziness/vertigo (0.8%), amnesia (0.5%), nausea (0.5%), headache (0.4%), and falls (0.4%).

Data from a clinical study in which selective serotonin reuptake inhibitor (SSRI)-treated patients were given zolpidem tartrate revealed that four of the seven discontinuations during double-blind treatment with zolpidem tartrate (n=95) were associated with impaired concentration, continuing or aggravated depression, and manic reaction; one patient treated with placebo (n=97) was discontinued after an attempted suicide.

Most Commonly Observed Adverse Reactions in Controlled Trials

During short-term treatment (up to 10 nights) with zolpidem tartrate tablets immediate-release at doses up to 10 mg, the most commonly observed adverse reactions associated with the use of zolpidem tartrate tablets immediate-release and seen at statistically significant differences from placebo-treated patients were drowsiness (reported by 2% of zolpidem tartrate-treated patients), dizziness (1%), and diarrhea (1%).

Adverse Reactions Observed at an Incidence of ≥1% in Controlled Trials

The following tables enumerate adverse reactions frequencies that were observed at an incidence equal to 1% or greater among zolpidem tartrate-treated patients with insomnia and at a greater incidence than placebo-treated patients in U.S. placebo-controlled trials.

Table 1 was derived from results of 11 placebo-controlled short-term U.S. efficacy trials involving zolpidem tartrate tablets immediate-release.

Table 1: Adverse Reactions (≥1% and > placebo) in Placebo-Controlled Clinical Trials Zolpidem Tartrate Tablets Immediate-Release Lasting up to 10 Nights (percentage of patients reporting)
* Zolpidem Tartrate Capsules are available only as a 7.5 mg dosage strength.
Body System

Adverse Reaction
Zolpidem Tartrate Tablets Immediate-Release

(≤10 mg)*

(N=685)

%
Placebo

(N=473)

%
Central and Peripheral Nervous System
Headache 7 6
Drowsiness 2 -
Dizziness 1 -
Gastrointestinal System
Diarrhea 1 -

Dose-Related Adverse Reactions

There is evidence from dose comparison trials suggesting a dose relationship for many of the adverse reactions associated with zolpidem tartrate tablets immediate-release use, particularly for certain CNS and gastrointestinal adverse reactions.

Adverse Reactions During the Premarketing Evaluation of Zolpidem Tartrate Immediate-Release

Zolpidem tartrate immediate-release was administered to 3,660 patients in clinical trials throughout the U.S., Canada, and Europe.

The frequencies presented, therefore, represent the proportions of the 3,660 patients exposed to zolpidem tartrate, at all doses, who experienced an event of the type cited on at least one occasion while receiving zolpidem tartrate immediate-release. All reported adverse reactions are included, except those already listed in the table above of adverse reactions in placebo-controlled studies, those coding terms that are so general as to be uninformative, and those events where a drug cause was remote. It is important to emphasize that, although the events reported did occur during treatment with zolpidem tartrate, they were not necessarily caused by it.

Adverse reactions are further classified within body system categories and enumerated in order of decreasing frequency using the following definitions: frequent adverse reactions are defined as those that occurred in greater than 1/100 patients; infrequent adverse reactions are those that occurred in 1/100 to 1/1,000 patients; rare reactions are those that occurred in less than 1/1,000 patients.

Autonomic nervous system: dry mouth; Infrequent: increased sweating, pallor, postural hypotension, syncope. Rare: abnormal accommodation, altered saliva, flushing, glaucoma, hypotension, impotence, increased saliva, tenesmus.

Body as a whole: back pain, chest pain, influenza-like symptoms; Frequent: asthenia. Infrequent: edema, falling, fatigue, fever, malaise, trauma. Rare: allergic reaction, allergy aggravated, anaphylactic shock, face edema, hot flashes, increased ESR, pain, restless legs, rigors, tolerance increased, weight decrease.

Cardiovascular system: palpitation; Infrequent: cerebrovascular disorder, hypertension, tachycardia. Rare: angina pectoris, arrhythmia, arteritis, circulatory failure, extrasystoles, hypertension aggravated, myocardial infarction, phlebitis, pulmonary embolism, pulmonary edema, varicose veins, ventricular tachycardia.

Central and peripheral nervous system: abnormal dreams, amnesia, depression, drugged feeling, lethargy, lightheadedness, sleep disorder; Frequent: ataxia, confusion, euphoria, insomnia, vertigo. Infrequent: agitation, anxiety, decreased cognition, detached, difficulty concentrating, dysarthria, emotional lability, hallucination, hypoesthesia, illusion, leg cramps, migraine, nervousness, paresthesia, sleeping (after daytime dosing), speech disorder, stupor, tremor. Rare: abnormal gait, abnormal thinking, aggressive reaction, apathy, appetite increased, decreased libido, delusion, dementia, depersonalization, dysphasia, feeling strange, hypokinesia, hypotonia, hysteria, intoxicated feeling, manic reaction, neuralgia, neuritis, neuropathy, neurosis, panic attacks, paresis, personality disorder, somnambulism, suicide attempts, tetany, yawning.

Gastrointestinal system: abdominal pain; Frequent: dyspepsia, hiccup, nausea. Infrequent: anorexia, constipation, dysphagia, flatulence, gastroenteritis, vomiting. Rare: enteritis, eructation, esophagospasm, gastritis, hemorrhoids, intestinal obstruction, rectal hemorrhage, tooth caries.

Hematologic and lymphatic system: Rare: anemia, hyperhemoglobinemia, leukopenia, lymphadenopathy, macrocytic anemia, purpura, thrombosis.

Immunologic system: Infrequent: infection. Rare: abscess herpes simplex herpes zoster, otitis externa, otitis media.

Liver and biliary system: Infrequent: abnormal hepatic function, increased SGPT. Rare: bilirubinemia, increased SGOT.

Metabolic and nutritional: Infrequent: hyperglycemia, thirst. Rare: gout, hypercholesteremia, hyperlipidemia, increased alkaline phosphatase, increased BUN, periorbital edema.

Musculoskeletal system: Frequent: arthralgia, myalgia. Infrequent: arthritis. Rare: arthrosis, muscle weakness, sciatica, tendinitis.

Reproductive system: Infrequent: menstrual disorder, vaginitis. Rare: breast fibroadenosis, breast neoplasm, breast pain.

Respiratory system: pharyngitis, sinusitis; Frequent: upper respiratory infection, lower respiratory infection. Infrequent: bronchitis, coughing, dyspnea, rhinitis. Rare: bronchospasm, respiratory depression, epistaxis, hypoxia, laryngitis, pneumonia.

Skin and appendages: rash; Infrequent: pruritus. Rare: acne, bullous eruption, dermatitis, furunculosis, injection-site inflammation, photosensitivity reaction, urticaria.

Special senses: Frequent: diplopia, vision abnormal. Infrequent: eye irritation, eye pain, scleritis, taste perversion, tinnitus. Rare: conjunctivitis, corneal ulceration, lacrimation abnormal, parosmia, photopsia.

Urogenital system: Frequent: urinary tract infection. Infrequent: cystitis, urinary incontinence. Rare: acute renal failure, dysuria, micturition frequency, nocturia, polyuria, pyelonephritis, renal pain, urinary retention.

2.4 Administration Instructions

Administer Zolpidem Tartrate Capsules orally once per night immediately before bedtime with at least 7 to 8 hours remaining before the planned time of awakening [see Warnings and Precautions (5.2)].

Zolpidem Tartrate Capsules should not be administered with food or immediately after a meal [see Clinical Pharmacology (12.3)]. Swallow Zolpidem Tartrate Capsules whole; do not open, crush, or chew.

2.1 Important Dosage Information

Zolpidem Tartrate Capsules are only available in a 7.5 mg strength. Use another zolpidem tartrate immediate-release product for the 5 mg or 10 mg dose of zolpidem tartrate immediate-release. Refer to the Prescribing Information of other zolpidem tartrate immediate-release products for the recommended dosage for those products.

  • Zolpidem Tartrate Capsules are not indicated in geriatric patients. Avoid use of Zolpidem Tartrate Capsules in geriatric patients because the recommended dosage in these patients cannot be achieved with the Zolpidem Tartrate Capsules 7.5 mg strength [see Use in Specific Populations (8.5)]. Use another zolpidem tartrate product for geriatric patients.
  • The recommended starting dosage for females is different than males because zolpidem clearance is lower in females [see Use in Specific Populations (8.7) and Clinical Pharmacology (12.3)]. Do not use Zolpidem Tartrate Capsules to initiate zolpidem tartrate treatment in females because the recommended starting dosage in females cannot be achieved with the Zolpidem Tartrate Capsules 7.5 mg strength. Use another zolpidem tartrate immediate-release product to initiate treatment in females [see Dosage and Administration (2.2)].
  • Avoid Zolpidem Tartrate Capsules in patients with mild or moderate hepatic impairment because the recommended dosage in such patients cannot be achieved with the Zolpidem Tartrate Capsules 7.5 mg strength [see Warnings and Precautions (5.8), Use in Specific Populations (8.7) and Clinical Pharmacology (12.3)].
  • Avoid any zolpidem tartrate use in patients with severe hepatic impairment because its use may contribute to encephalopathy [see Warnings and Precautions (5.8), Use in Specific Populations (8.7), Clinical Pharmacology (12.3)].
Warning: Complex Sleep Behaviors (WARNING: COMPLEX SLEEP BEHAVIORS)

Complex sleep behaviors including sleep-walking, sleep-driving, and engaging in other activities while not fully awake may occur following use of Zolpidem Tartrate Capsules. Some of these events may result in serious injuries, including death. Discontinue Zolpidem Tartrate Capsules immediately if a patient experiences a complex sleep behavior [see Contraindications (4) and Warnings and Precautions (5.1)].

17 Patient Counseling Information (17 PATIENT COUNSELING INFORMATION)

Advise the patient to read the FDA-approved patient labeling (Medication Guide).

Complex Sleep Behaviors

Instruct patients and their families that Zolpidem Tartrate Capsules may cause complex sleep behaviors, including sleep-walking, sleep-driving, preparing and eating food, making phone calls, or having sex while not being fully awake. Serious injuries and death have occurred during complex sleep behavior episodes. Tell patients to discontinue Zolpidem Tartrate Capsules and notify their healthcare provider immediately if they develop any of these symptoms [see Boxed Warning, Warnings and Precautions (5.1)].

CNS-Depressant Effects and Next-Day Impairment

Advise patients that Zolpidem Tartrate Capsules has the potential to cause next-day impairment, and that this risk is increased if dosing instructions are not carefully followed. Tell patients to wait for at least 8 hours after dosing before driving or engaging in other activities requiring full mental alertness. Inform patients that impairment can be present despite feeling fully awake. Advise patients that increased drowsiness and decreased consciousness may increase the risk of falls in some patients [see Warnings and Precautions (5.2)].

Severe Anaphylactic and Anaphylactoid Reactions

Inform patients that severe anaphylactic and anaphylactoid reactions have occurred with zolpidem. Describe the signs/symptoms of these reactions and advise patients to seek medical attention immediately if any of them occur [see Warnings and Precautions (5.4)].

Suicide

Tell patients to immediately report any suicidal thoughts.

Alcohol and other Drugs

Ask patients about alcohol consumption, medicines they are taking, and drugs they may be taking without a prescription. Advise patients not to use Zolpidem Tartrate Capsules if they drank alcohol that evening or before bed.

Concomitant Use with Opioids

Inform patients and caregivers that potentially serious additive effects may occur if Zolpidem Tartrate Capsules are used with opioids and not to use such drugs concomitantly unless supervised by a healthcare provider [see Warnings and Precautions (5.2, 5.7), Drug Interactions (7)].

Tolerance, Abuse, and Dependence

Tell patients not to increase the dose of zolpidem tartrate on their own, and to inform you if they believe the drug “does not work.”

Administration Instructions

Patients should be counseled to take Zolpidem Tartrate Capsules right before they get into bed and only when they are able to stay in bed a full night (7 to 8 hours) before being active again. Zolpidem Tartrate Capsules should not be taken with or immediately after a meal. Advise patients NOT to take Zolpidem Tartrate Capsules if they drank alcohol that evening.

Pregnancy

Advise patients to notify their healthcare provider if they become pregnant or intend to become pregnant during treatment with Zolpidem Tartrate Capsules, and that there is a pregnancy registry that monitors pregnancy outcomes in women exposed to zolpidem tartrate. Advise patients that use of Zolpidem Tartrate Capsules late in the third trimester may cause respiratory depression and sedation in neonates. Advise mothers who used Zolpidem Tartrate Capsules during the late third trimester of pregnancy to monitor neonates for signs of sleepiness (more than usual), breathing difficulties, or limpness [see Use in Specific Populations (8.1)].

Lactation

Advise breastfeeding mothers using Zolpidem Tartrate Capsules to monitor infants for increased sleepiness, breathing difficulties, or limpness. Instruct breastfeeding mothers to seek immediate medical care if they notice these signs. A lactating female may consider pumping and discarding breastmilk during treatment and for 23 hours after Zolpidem Tartrate Capsules administration to minimize drug exposure to a breastfed infant [see Use in Specific Populations (8.2)].

5.6 Use in Patients With Depression (5.6 Use in Patients with Depression)

In primarily depressed patients treated with sedative-hypnotics, worsening of depression, and suicidal thoughts and actions (including completed suicides), have been reported. Suicidal tendencies may be present in such patients and protective measures may be required. Intentional overdosage is more common in this group of patients; therefore, the lowest number of Zolpidem Tartrate Capsules that is feasible should be prescribed for the patient at any one time.

16 How Supplied/storage and Handling (16 HOW SUPPLIED/STORAGE AND HANDLING)

Zolpidem Tartrate Capsules 7.5 mg are hard gelatin capsules with “ALM” printed axially on the opaque light green cap and “775” printed axially on the opaque white body, and available as:

NDC 52427-775-30, bottle of 30 capsules with child-resistant closure

Store at 20°C to 25°C (68°F to 77°F); excursions permitted between 15°C and 30°C (59°F to 86°F) [see USP Controlled Room Temperature].

2.3 Recommended Duration of Treatment

Zolpidem Tartrate Capsules are for short-term use only. Re-evaluate the patient’s status during treatment because the risk of abuse and dependence increases with duration of treatment [see Drug Abuse and Dependence (9.3)].

Principal Display Panel Bottle Label (PRINCIPAL DISPLAY PANEL - Bottle Label)

NDC 52427-775-30

Zolpidem Tartrate Capsules CIV

7.5 mg

ATTENTION PHARMACIST: Each patient is required to receive the accompanying Medication Guide.

Contains FD&C Yellow No. 6

Rx only

For oral use

30 Capsules

5.3 Need to Evaluate for Comorbid Diagnoses

Because sleep disturbances may be the presenting manifestation of a physical and/or psychiatric disorder, symptomatic treatment of insomnia should be initiated only after a careful evaluation of the patient. The failure of insomnia to remit after 7 to 10 days of Zolpidem Tartrate Capsules treatment may indicate the presence of a primary psychiatric and/or medical illness that should be evaluated. Worsening of insomnia or the emergence of new thinking or behavior abnormalities may be the consequence of an unrecognized psychiatric or physical disorder. Such findings have emerged during the course of treatment with sedative/hypnotic drugs, including zolpidem tartrate.

5.8 Precipitation of Hepatic Encephalopathy

Drugs affecting GABA receptors, such as zolpidem tartrate, have been associated with precipitation of hepatic encephalopathy in patients with hepatic insufficiency. In addition, patients with hepatic insufficiency do not clear zolpidem tartrate as rapidly as patients with normal hepatic function. Avoid Zolpidem Tartrate Capsules use in patients with severe hepatic impairment as it may contribute to encephalopathy [see Dosage and Administration (2.1), Use in Specific Populations (8.7), Clinical Pharmacology (12.3)].

5.5 Abnormal Thinking and Behavioral Changes

Abnormal thinking and behavior changes have been reported in patients treated with sedative/hypnotics, including zolpidem tartrate immediate-release. Some of these changes included decreased inhibition (e.g., aggressiveness and extroversion that seemed out of character), bizarre behavior, agitation and depersonalization. Visual and auditory hallucinations have been reported.

In controlled trials of zolpidem tartrate immediate-release 10 mg taken at bedtime <1% of adults with insomnia reported hallucinations. In a clinical trial, 7% of pediatric patients treated with zolpidem tartrate immediate-release 0.25 mg/kg taken at bedtime reported hallucinations versus 0% treated with placebo (Zolpidem Tartrate Capsules are not approved for use in pediatric patients) [see Use in Specific Populations (8.4)]. There have been postmarketing reports of delirium with zolpidem tartrate use [see Adverse Reactions (6.2)].

It can rarely be determined with certainty whether a particular instance of the abnormal behaviors listed above is drug induced, spontaneous in origin, or a result of an underlying psychiatric or physical disorder. Nonetheless, the emergence of any new behavioral sign or symptom of concern requires careful and immediate evaluation.

2.5 Dosage Modifications With Cns Depressants (2.5 Dosage Modifications with CNS Depressants)

Dosage modifications may be necessary when Zolpidem Tartrate Capsules are combined with other CNS-depressant drugs because of the potentially additive effects [see Warnings and Precautions (5.2, 5.7)]. Use another zolpidem tartrate immediate-release product for the 5 mg dosage of zolpidem tartrate immediate-release. Refer to the Prescribing Information of other zolpidem tartrate immediate-release products for the recommended dosage for those products.

5.2 Cns Depressant Effects and Next Day Impairment (5.2 CNS-Depressant Effects and Next-Day Impairment)

Zolpidem tartrate, like other sedative-hypnotic drugs, has CNS-depressant effects. Coadministration with other CNS depressants (e.g., benzodiazepines, opioids, tricyclic antidepressants, alcohol) increases the risk of CNS depression [see Drug Interactions (7)]. Dosage adjustments of zolpidem tartrate and of other concomitant CNS depressants may be necessary when Zolpidem Tartrate Capsules are administered with such agents because of the potentially additive effects. Use another zolpidem tartrate immediate-release product for the 5 mg dose of zolpidem tartrate immediate-release. Refer to the Prescribing Information of other zolpidem tartrate immediate-release products for the recommended dosage for those products. The use of Zolpidem Tartrate Capsules with other sedative-hypnotics (including other zolpidem products) at bedtime or the middle of the night is not recommended [see Dosage and Administration (2.5)].

The risk of next-day psychomotor impairment, including impaired driving, is increased if Zolpidem Tartrate Capsules are taken with less than a full night of sleep remaining (7 to 8 hours); if a higher than the recommended dosage is taken; if coadministered with other CNS depressants or alcohol; or if coadministered with other drugs that increase the blood levels of zolpidem. Patients should be warned against driving and other activities requiring complete mental alertness if Zolpidem Tartrate Capsules are taken in these circumstances [see Dosage and Administration (2.5), Clinical Studies (14.2)]. Vehicle drivers and machine operators should be warned that, as with other hypnotics, there may be a possible risk of adverse reactions including drowsiness, prolonged reaction time, dizziness, sleepiness, blurred/double vision, reduced alertness, and impaired driving the morning after therapy. In order to minimize this risk a full night of sleep (7 to 8 hours) is recommended.

Because Zolpidem Tartrate Capsules can cause drowsiness and a decreased level of consciousness, patients, particularly the elderly, are at higher risk of falls.

5.4 Severe Anaphylactic and Anaphylactoid Reactions

Cases of angioedema involving the tongue, glottis or larynx have been reported in patients after taking the first or subsequent doses of sedative-hypnotics, including zolpidem tartrate. Some patients have had additional symptoms such as dyspnea, throat closing or nausea and vomiting that suggest anaphylaxis. Some patients have required medical therapy in the emergency department. If angioedema involves the throat, glottis or larynx, airway obstruction may occur and be fatal. Patients who develop angioedema after treatment with Zolpidem Tartrate Capsules should not be rechallenged with zolpidem tartrate.

13.1 Carcinogenesis, Mutagenesis, Impairment of Fertility

Carcinogenesis

Zolpidem was administered to mice and rats for 2 years at oral doses of 4, 18, and 80 mg base/kg/day. In mice, these doses are approximately 2.5, 10, and 50 times the MRHD of 10 mg/day (8 mg zolpidem base) based on mg/m2 body surface area and in rats, these doses are approximately 5, 20, and 100 times the MRHD based on mg/m2 body surface area. No evidence of carcinogenic potential was observed in mice. In rats, renal tumors (lipoma, liposarcoma) were seen at the mid and high doses.

Mutagenesis

Zolpidem was negative in in vitro (bacterial reverse mutation, mouse lymphoma, and chromosomal aberration) and in vivo (mouse micronucleus) genetic toxicology assays.

Impairment of Fertility

Zolpidem was administered to rats at 4, 20, and 100 mg base/kg/day, which are approximately 5, 25, and 120 times the MRHD of 10 mg/day (8 mg zolpidem base) based on mg/m2 body surface area, prior to and during mating, and continuing in females through postpartum day 25. Zolpidem caused irregular estrus cycles and prolonged precoital intervals at the highest dose tested, which is approximately 120 times the MRHD based on mg/m2 body surface area. The NOAEL for these effects is 25 times the MRHD based on a mg/m2 body surface area. There was no impairment of fertility at any dose tested.

14.2 Studies Pertinent to Safety Concerns for Sedative/hypnotic Drugs (14.2 Studies Pertinent to Safety Concerns for Sedative/Hypnotic Drugs)

Next-Day Residual Effects

Next-day residual effects of zolpidem tartrate were evaluated in seven studies involving healthy subjects. In three studies in adults (including one study in a phase advance model of transient insomnia) and in one study in elderly subjects (Zolpidem Tartrate Capsules are not indicated in geriatric patients, see Use in Specific Populations (8.5)), a small but statistically significant decrease in performance was observed in the Digit Symbol Substitution Test (DSST) when compared to placebo. Studies of zolpidem tartrate in non-elderly patients with insomnia did not detect evidence of next-day residual effects using the DSST, the Multiple Sleep Latency Test (MSLT), and patient ratings of alertness.

Rebound Effects

There was no objective (polysomnographic) evidence of rebound insomnia at recommended doses seen in studies evaluating sleep on the nights following discontinuation of zolpidem tartrate. There was subjective evidence of impaired sleep in the elderly on the first post-treatment night at doses above the 5 mg (Zolpidem Tartrate Capsules is not indicated in geriatric patients, see Use in Specific Populations (8.5)).

Memory Impairment

Controlled studies in adults utilizing objective measures of memory yielded no consistent evidence of next-day memory impairment following the administration of zolpidem tartrate. However, in one study involving zolpidem doses of 10 mg and 20 mg (2 times the maximum recommended zolpidem tartrate immediate-release dose), there was a significant decrease in next-morning recall of information presented to subjects during peak drug effect (90 minutes post dose), i.e., these subjects experienced anterograde amnesia. There was also subjective evidence from adverse event data for anterograde amnesia occurring in association with the administration of zolpidem tartrate, predominantly at doses above the maximum recommended zolipidem tartrate dose of 10 mg.

Effects on Sleep Stages

In studies that measured the percentage of sleep time spent in each sleep stage, zolpidem tartrate has generally been shown to preserve sleep stages. Sleep time spent in stages 3 and 4 (deep sleep) was found comparable to placebo with only inconsistent, minor changes in REM (paradoxical) sleep at the recommended dose.


Advanced Ingredient Data


Raw Label Data

All Sections (JSON)