These Highlights Do Not Include All The Information Needed To Use Gatifloxacin Ophthalmic Solution Safely And Effectively. See Full Prescribing Information For Gatifloxacin Ophthalmic Solution.

These Highlights Do Not Include All The Information Needed To Use Gatifloxacin Ophthalmic Solution Safely And Effectively. See Full Prescribing Information For Gatifloxacin Ophthalmic Solution.
SPL v1
SPL
SPL Set ID 2dc44fc5-b7fc-40ec-8e9b-d86fae1fc523
Route
OPHTHALMIC
Published
Effective Date 2025-06-06
Document Type 34391-3 Human Prescription Drug Label

Drug Facts

Composition & Product

Active Ingredients
Gatifloxacin Anhydrous (5 mg)
Inactive Ingredients
Benzalkonium Chloride Edetate Disodium Sodium Chloride Water Hydrochloric Acid Sodium Hydroxide

Identifiers & Packaging

Marketing Status
ANDA Active Since 2025-10-06

Description

Gatifloxacin ophthalmic solution 0.5 % is indicated for the treatment of bacterial conjunctivitis caused by susceptible strains of the following organisms: Aerobic gram-positive bacteria:  Staphylococcus aureus  Staphylococcus epidermidis  Streptococcus mitis group*  Streptococcus oralis* Streptococcus pneumoniae Aerobic gram-negative bacteria:  Haemophilus influenzae *Efficacy for these organisms were studied in fewer than 10 infections.

Warnings and Precautions

Hypersensitivity ( 5.1 ) Growth of Resistant Organisms with Prolonged Use ( 5.2 ) Corneal Endothelial Cell Injury ( 5.3 )

Contraindications

Gatifloxacin ophthalmic solution 0.5 % is contraindicated in patients with a history of hypersensitivity to gatifloxacin, to other quinolones, or to any of the components in this medication [see Warnings and Precautions ( 5.1 )].

Adverse Reactions

The following serious adverse reactions are described elsewhere in the labeling: Hypersensitivity [see Contraindications ( 4 ) and Warnings and Precautions ( 5.1 )] Growth of Resistant Organisms With Prolonged Use [see Warnings and Precautions ( 5.2 )] Corneal Endothelial Cell Injury [see Warnings and Precautions ( 5.3 )]

Storage and Handling

Gatifloxacin ophthalmic solution, 0.5% is supplied sterile in a white, opaque low density polyethylene (LDPE) bottle with white opaque low density polyethylene (LDPE) nozzle and a tan, high density polyethylene (HDPE) cap supplied in the following size: 2.5 mL in 5 mL bottle: NDC 65145-207-01 Storage: Store at 15°C to 25°C (59°F to 77°F). Protect from freezing.

How Supplied

Gatifloxacin ophthalmic solution, 0.5% is supplied sterile in a white, opaque low density polyethylene (LDPE) bottle with white opaque low density polyethylene (LDPE) nozzle and a tan, high density polyethylene (HDPE) cap supplied in the following size: 2.5 mL in 5 mL bottle: NDC 65145-207-01 Storage: Store at 15°C to 25°C (59°F to 77°F). Protect from freezing.


Medication Information

Warnings and Precautions

Hypersensitivity ( 5.1 ) Growth of Resistant Organisms with Prolonged Use ( 5.2 ) Corneal Endothelial Cell Injury ( 5.3 )

Contraindications

Gatifloxacin ophthalmic solution 0.5 % is contraindicated in patients with a history of hypersensitivity to gatifloxacin, to other quinolones, or to any of the components in this medication [see Warnings and Precautions ( 5.1 )].

Adverse Reactions

The following serious adverse reactions are described elsewhere in the labeling: Hypersensitivity [see Contraindications ( 4 ) and Warnings and Precautions ( 5.1 )] Growth of Resistant Organisms With Prolonged Use [see Warnings and Precautions ( 5.2 )] Corneal Endothelial Cell Injury [see Warnings and Precautions ( 5.3 )]

Storage and Handling

Gatifloxacin ophthalmic solution, 0.5% is supplied sterile in a white, opaque low density polyethylene (LDPE) bottle with white opaque low density polyethylene (LDPE) nozzle and a tan, high density polyethylene (HDPE) cap supplied in the following size: 2.5 mL in 5 mL bottle: NDC 65145-207-01 Storage: Store at 15°C to 25°C (59°F to 77°F). Protect from freezing.

How Supplied

Gatifloxacin ophthalmic solution, 0.5% is supplied sterile in a white, opaque low density polyethylene (LDPE) bottle with white opaque low density polyethylene (LDPE) nozzle and a tan, high density polyethylene (HDPE) cap supplied in the following size: 2.5 mL in 5 mL bottle: NDC 65145-207-01 Storage: Store at 15°C to 25°C (59°F to 77°F). Protect from freezing.

Description

Gatifloxacin ophthalmic solution 0.5 % is indicated for the treatment of bacterial conjunctivitis caused by susceptible strains of the following organisms: Aerobic gram-positive bacteria:  Staphylococcus aureus  Staphylococcus epidermidis  Streptococcus mitis group*  Streptococcus oralis* Streptococcus pneumoniae Aerobic gram-negative bacteria:  Haemophilus influenzae *Efficacy for these organisms were studied in fewer than 10 infections.

8.1 Pregnancy

Risk Summary

There are no available data on the use of gatifloxacin ophthalmic solution 0.5% in pregnant women to inform a drug-associated risk. Administration of oral gatifloxacin to pregnant rats and rabbits throughout organogenesis did not produce adverse development outcomes at clinically relevant doses. Administration of gatifloxacin to rats during late gestation through lactation did not produce adverse maternal, fetal or neonatal effects at clinically relevant doses.

Data

Animal Data

Oral administration of gatifloxacin to pregnant rats throughout organogenesis produced teratogenic effects in rat fetuses, including skeletal/craniofacial malformations, delayed ossification, atrial enlargement, and reduced fetal weight, at doses greater than or equal to 150 mg/kg/day (approximately 600-fold higher than the maximum recommended human ophthalmic dose [MRHOD] for gatifloxacin of 0.04 mg/kg/day, on a mg/m2 basis). No teratogenic effects were observed in rat or rabbit fetuses at doses of gatifloxacin up to 50 mg/kg/day (approximately 200-and 400-fold higher than the MRHOD, respectively, on a mg/m2 basis).

In a perinatal/postnatal study in rats, oral administration of gatifloxacin during late gestation through lactation produced an increase in late gestation fetal loss and neonatal/perinatal mortality at 200 mg/kg/day (approximately 800-fold higher than the MRHOD on a mg/m2 basis).

8.2 Lactation

Risk Summary

There is no information regarding the presence of gatifloxacin ophthalmic solution 0.5% in human milk, the effect of gatifloxacin on breastfed infants, or the effect of gatifloxacin on milk production. Gatifloxacin was found in the breast milk of rats following oral administration of gatifloxacin during lactation. However, systemic levels of gatifloxacin following topical ocular administration are low [see Clinical Pharmacology (12.3)], and it is not known whether gatifloxacin would be present in maternal milk at measurable levels following topical ocular administration. The developmental and health benefits of breastfeeding should be considered along with the mother’s clinical need for gatifloxacin ophthalmic solution 0.5% and any potential adverse effects on the breastfed child from gatifloxacin ophthalmic solution 0.5%.



11 Description


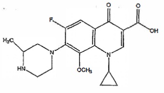
Gatifloxacin ophthalmic solution 0.5% is a quinolone antimicrobial topical ophthalmic solution for the treatment of bacterial conjunctivitis. Its chemical name is 1-Cyclopropyl-6-fluoro-1,4-dihydro-8methoxy-7-(3-methyl-1-piperazinyl)-4-oxo-3-quinolinecarboxylic acid, anhydrous. Its molecular formula is C19H23FN3O4 and its molecular weight is 375.4. Its chemical structure is:



Gatifloxacin ophthalmic solution 0.5 % is a clear, pale yellow, sterile, preserved aqueous solution with an osmolality of 260-330 mOsm/kg and a pH of 5.1-5.7.

Gatifloxacin ophthalmic solution 0.5% contains the active ingredient gatifloxacin 0.5% (5 mg/mL) and the inactive ingredients benzalkonium chloride 0.005%, edetate disodium, sodium chloride and water for injection. Gatifloxacin ophthalmic solution 0.5 % may contain hydrochloric acid and/or sodium hydroxide to adjust pH.

12.4 Microbiology

Gatifloxacin is an 8-methoxyfluoroquinolone with a 3-methylpiperazinyl substituent at C7. The antibacterial action of gatifloxacin results from inhibition of DNA gyrase and topoisomerase IV. DNA gyrase is an essential enzyme that is involved in the replication, transcription, and repair of bacterial DNA. Topoisomerase IV is an enzyme known to play a key role in the partitioning of the chromosomal DNA during bacterial cell division. The mechanism of action of fluoroquinolones including gatifloxacin is different from that of aminoglycoside, macrolide, and tetracycline antibiotics. Therefore, gatifloxacin may be active against pathogens that are resistant to these antibiotics and these antibiotics may be active against pathogens that are resistant to gatifloxacin. There is no cross-resistance between gatifloxacin and the aforementioned classes of antibiotics. Cross-resistance has been observed between systemic gatifloxacin and some other fluoroquinolones.

Resistance to gatifloxacin in vitro develops via multiple-step mutations. Resistance to gatifloxacin in vitro occurs at a general frequency of 1 x 10-7 to 10-10.

Gatifloxacin has been shown to be active against most isolates of the following organisms both microbiologically and clinically, in conjunctival infections:

  • Aerobic gram-positive bacteria:

    Staphylococcus aureus 

    Staphylococcus epidermidis 

    Streptococcus mitis group* 

    Streptococcus oralis* 

    Streptococcus pneumoniae
  • Aerobic gram-negative bacteria:

    Haemophilus influenzae

* Efficacy for these organisms were studied in fewer than 10 infections.

8.4 Pediatric Use


The safety and effectiveness of gatifloxacin ophthalmic solution 0.5% in infants below one year of age have not been established. Gatifloxacin ophthalmic solution 0.5% has been demonstrated in clinical trials to be safe and effective for the treatment of bacterial conjunctivitis in pediatric patients one year or older [see Clinical Studies (14)].

8.5 Geriatric Use


No overall differences in safety or effectiveness have been observed between elderly and younger patients.

14 Clinical Studies


In two randomized, double-masked, multicenter clinical trials, where patients 1-89 years of age were dosed for 5 days, gatifloxacin ophthalmic solution 0.5 % was clinically superior to its vehicle on day 6 in patients with conjunctivitis and positive conjunctival cultures. Clinical outcomes for the trials demonstrated clinical success (resolution of conjunctival hyperemia and conjunctival discharge) in 58% (193/333) of patients for the gatifloxacin-treated groups versus 45% (148/325) for the vehicle-treated groups. Microbiological outcomes for the same clinical trials demonstrated a statistically superior eradication rate for causative pathogens of 90% (301/333) for gatifloxacin vs. 70% (228/325) for vehicle. Please note that microbiological eradication does not always correlate with clinical outcome in anti-infective trials.

4 Contraindications


Gatifloxacin ophthalmic solution 0.5 % is contraindicated in patients with a history of hypersensitivity to gatifloxacin, to other quinolones, or to any of the components in this medication [see Warnings and Precautions (5.1)].

6 Adverse Reactions

The following serious adverse reactions are described elsewhere in the labeling:

  • Hypersensitivity [see Contraindications (4) and Warnings and Precautions (5.1)]
  • Growth of Resistant Organisms With Prolonged Use [see Warnings and Precautions (5.2)]
  • Corneal Endothelial Cell Injury [see Warnings and Precautions (5.3)]
5.1 Hypersensitivity


Some patients receiving topical ophthalmic gatifloxacin experienced hypersensitivity reactions including anaphylactic reactions, angioedema (including pharyngeal, laryngeal, or facial edema), dyspnea, urticaria, and itching, even following a single dose. Rare cases of Stevens-Johnson Syndrome were reported in association with topical ophthalmic gatifloxacin use. If an allergic reaction to gatifloxacin occurs, discontinue the drug [see Patient Counseling Information (17)].

1 Indications & Usage


Gatifloxacin ophthalmic solution 0.5 % is indicated for the treatment of bacterial conjunctivitis caused by susceptible strains of the following organisms:

  • Aerobic gram-positive bacteria: 

    Staphylococcus aureus 

    Staphylococcus epidermidis 

    Streptococcus mitis group* 

    Streptococcus oralis*

    Streptococcus pneumoniae
  • Aerobic gram-negative bacteria: 

    Haemophilus influenzae

*Efficacy for these organisms were studied in fewer than 10 infections.

12.3 Pharmacokinetics


Gatifloxacin ophthalmic solution 0.5% was administered to one eye of 6 healthy male subjects each in an escalated dosing regimen starting with a single 2 drop dose, then 2 drops 4 times daily for 7 days, and finally 2 drops 8 times daily for 3 days. At all time points, serum gatifloxacin levels were below the lower limit of quantification (5 ng/mL) in all subjects.

12.1 Mechanism of Action

Gatifloxacin is a quinolone antimicrobial [see Microbiology (12.4)].

2 Dosage & Administration
  • Day 1: Instill one drop every two hours in the affected eye(s) while awake, up to 8 times.
  • Day 2 through Day 7: Instill one drop two to four times daily in the affected eye(s) while awake.
3 Dosage Forms & Strengths

Ophthalmic solution: 0.5% gatifloxacin (5 mg/mL)



5 Warnings and Precautions
  • Hypersensitivity (5.1)
  • Growth of Resistant Organisms with Prolonged Use (5.2)
  • Corneal Endothelial Cell Injury (5.3)
6.2 Postmarketing Experience


The following adverse reactions have been identified during post-approval use of gatifloxacin ophthalmic solution 0.5 %. Because these reactions are reported voluntarily from a population of uncertain size, it is not always possible to reliably estimate their frequency or establish a causal relationship to drug exposure. These reactions included anaphylactic reactions and angioedema (including pharyngeal, oral or facial edema), blepharitis, dyspnea, eye pruritus, eye swelling (including corneal and conjunctival edema), hypersensitivity, including signs and symptoms of eye allergy and allergic dermatitis, nausea, pruritus (including pruritus generalized, rash, urticaria), and vision blurred.

6.1 Clinical Studies Experience


Because clinical studies are conducted under widely varying conditions, adverse reaction rates observed in the clinical studies of a drug cannot be directly compared to rates in the clinical studies of another drug and may not reflect the rates observed in practice.

In clinical studies of patients with bacterial conjunctivitis treated with gatifloxacin ophthalmic solution 0.5% (N=717), the most frequently reported adverse reactions occurring in ≥ 1 % of patients were: worsening of the conjunctivitis, eye irritation, dysgeusia, and eye pain.

Additional adverse reactions reported with other formulations of gatifloxacin ophthalmic solution in other clinical studies included chemosis, conjunctival hemorrhage, dry eye, eye discharge, eyelid edema, headache, increased lacrimation, keratitis, red eye, papillary conjunctivitis, and reduced visual acuity.

17 Patient Counseling Information

Avoiding Contamination of the Product

Instruct patients to avoid contaminating the applicator tip with material from the eye, fingers, or other source.

Potential for Hypersensitivity Reactions

Advise patients to discontinue use immediately and contact the physician at the first sign of a rash or hypersensitivity reaction [see Warnings and Precautions (5.1) and Contraindication (4)].

Manufactured by:

Caplin Steriles Limited,

Gummidipoondi – 601 201,

India.

Code: TN/Drugs/TN00003457

Distributed by:

Caplin Steriles USA Inc.,

Hamilton, NJ 08619.



Revised June 2025

222XXXXX

5.3 Corneal Endothelial Cell Injury


Gatifloxacin ophthalmic solution 0.5 % is for topical ophthalmic use. Gatifloxacin ophthalmic solution 0.5 % may cause corneal endothelial cell injury if introduced directly into the anterior chamber of the eye.

16 How Supplied/storage and Handling


Gatifloxacin ophthalmic solution, 0.5% is supplied sterile in a white, opaque low density polyethylene (LDPE) bottle with white opaque low density polyethylene (LDPE) nozzle and a tan, high density polyethylene (HDPE) cap supplied in the following size:

2.5 mL in 5 mL bottle: NDC 65145-207-01

Storage: Store at 15°C to 25°C (59°F to 77°F). Protect from freezing.

Package Label.principal Display Panel

Carton 2.5 mL

2.5 mL

NDC 65145-207-01

Gatifloxacin ophthalmic solution

0.5%

For Use in the Eyes Only

Sterile

 

Container Label - 2.5 mL

NDC 65145-207-01

Gatifloxacin ophthalmic solution

0.5%

For Use in the Eyes Only

Sterile

2.5 mL

5.2 Growth of Resistant Organisms With Prolonged Use


Prolonged use of gatifloxacin ophthalmic solution 0.5 % may result in overgrowth of nonsusceptible organisms, including fungi. If superinfection occurs, discontinue use and institute alternative therapy. Whenever clinical judgment dictates, examine the patient with the aid of magnification, such as slit lamp biomicroscopy and where appropriate, fluorescein staining.

13.1 Carcinogenesis, Mutagenesis, Impairment of Fertility

Carcinogenesis

There was no increase in neoplasms among B6C3F1 mice given gatifloxacin in the diet for 18 months at doses averaging 81 mg/kg/day in males and 90 mg/kg/day in females. These doses are approximately 175-fold higher than the maximum recommended ophthalmic dose (MRHOD) of 0.04 mg/kg/day gatifloxacin in a 60 kg human (on a mg/m2 basis).

A statistically significant increase in the incidence of large granular lymphocyte (LGL) leukemia was seen in male rats treated with 100 mg/kg/day (approximately 405-fold higher than the MRHOD, on a mg/m2 basis). Fischer 344 rats have a high spontaneous background rate of LGL leukemia and the incidence in high-dose males only slightly exceeded the historical control range established for this strain. There was no increase in neoplasms among Fischer 344 rats given gatifloxacin in the diet for 2 years at doses averaging 47 mg/kg/day in males and 139 mg/kg/day in females (approximately 190 - and 560-fold higher than the MRHOD, respectively), on a mg/m2 basis.

Mutagenesis

In genetic toxicity tests, gatifloxacin was positive in 1 of 5 strains used in bacterial reverse mutation assays: Salmonella strain TA102. Gatifloxacin was positive in in vitro mammalian cell mutation and chromosome aberration assays. Gatifloxacin was positive in in vitro unscheduled DNA synthesis in rat hepatocytes but not human leukocytes. Gatifloxacin was negative in in vivo micronucleus tests in mice, cytogenetics test in rats, and DNA repair test in rats. The genotoxic findings are similar to findings obtained with other quinolones and may be due to the pharmacologic inhibitory effects of high concentrations of gatifloxacin on eukaryotic type II DNA topoisomerase.

Impairment of Fertility

Oral administration of gatifloxacin produced no adverse effects on fertility or reproduction in rats at doses up to 200 mg/kg/day (approximately 800-fold higher than the MRHOD, on a mg/m2 basis).


Structured Label Content

8.1 Pregnancy

Risk Summary

There are no available data on the use of gatifloxacin ophthalmic solution 0.5% in pregnant women to inform a drug-associated risk. Administration of oral gatifloxacin to pregnant rats and rabbits throughout organogenesis did not produce adverse development outcomes at clinically relevant doses. Administration of gatifloxacin to rats during late gestation through lactation did not produce adverse maternal, fetal or neonatal effects at clinically relevant doses.

Data

Animal Data

Oral administration of gatifloxacin to pregnant rats throughout organogenesis produced teratogenic effects in rat fetuses, including skeletal/craniofacial malformations, delayed ossification, atrial enlargement, and reduced fetal weight, at doses greater than or equal to 150 mg/kg/day (approximately 600-fold higher than the maximum recommended human ophthalmic dose [MRHOD] for gatifloxacin of 0.04 mg/kg/day, on a mg/m2 basis). No teratogenic effects were observed in rat or rabbit fetuses at doses of gatifloxacin up to 50 mg/kg/day (approximately 200-and 400-fold higher than the MRHOD, respectively, on a mg/m2 basis).

In a perinatal/postnatal study in rats, oral administration of gatifloxacin during late gestation through lactation produced an increase in late gestation fetal loss and neonatal/perinatal mortality at 200 mg/kg/day (approximately 800-fold higher than the MRHOD on a mg/m2 basis).

8.2 Lactation

Risk Summary

There is no information regarding the presence of gatifloxacin ophthalmic solution 0.5% in human milk, the effect of gatifloxacin on breastfed infants, or the effect of gatifloxacin on milk production. Gatifloxacin was found in the breast milk of rats following oral administration of gatifloxacin during lactation. However, systemic levels of gatifloxacin following topical ocular administration are low [see Clinical Pharmacology (12.3)], and it is not known whether gatifloxacin would be present in maternal milk at measurable levels following topical ocular administration. The developmental and health benefits of breastfeeding should be considered along with the mother’s clinical need for gatifloxacin ophthalmic solution 0.5% and any potential adverse effects on the breastfed child from gatifloxacin ophthalmic solution 0.5%.



11 Description (11 DESCRIPTION)


Gatifloxacin ophthalmic solution 0.5% is a quinolone antimicrobial topical ophthalmic solution for the treatment of bacterial conjunctivitis. Its chemical name is 1-Cyclopropyl-6-fluoro-1,4-dihydro-8methoxy-7-(3-methyl-1-piperazinyl)-4-oxo-3-quinolinecarboxylic acid, anhydrous. Its molecular formula is C19H23FN3O4 and its molecular weight is 375.4. Its chemical structure is:



Gatifloxacin ophthalmic solution 0.5 % is a clear, pale yellow, sterile, preserved aqueous solution with an osmolality of 260-330 mOsm/kg and a pH of 5.1-5.7.

Gatifloxacin ophthalmic solution 0.5% contains the active ingredient gatifloxacin 0.5% (5 mg/mL) and the inactive ingredients benzalkonium chloride 0.005%, edetate disodium, sodium chloride and water for injection. Gatifloxacin ophthalmic solution 0.5 % may contain hydrochloric acid and/or sodium hydroxide to adjust pH.

12.4 Microbiology

Gatifloxacin is an 8-methoxyfluoroquinolone with a 3-methylpiperazinyl substituent at C7. The antibacterial action of gatifloxacin results from inhibition of DNA gyrase and topoisomerase IV. DNA gyrase is an essential enzyme that is involved in the replication, transcription, and repair of bacterial DNA. Topoisomerase IV is an enzyme known to play a key role in the partitioning of the chromosomal DNA during bacterial cell division. The mechanism of action of fluoroquinolones including gatifloxacin is different from that of aminoglycoside, macrolide, and tetracycline antibiotics. Therefore, gatifloxacin may be active against pathogens that are resistant to these antibiotics and these antibiotics may be active against pathogens that are resistant to gatifloxacin. There is no cross-resistance between gatifloxacin and the aforementioned classes of antibiotics. Cross-resistance has been observed between systemic gatifloxacin and some other fluoroquinolones.

Resistance to gatifloxacin in vitro develops via multiple-step mutations. Resistance to gatifloxacin in vitro occurs at a general frequency of 1 x 10-7 to 10-10.

Gatifloxacin has been shown to be active against most isolates of the following organisms both microbiologically and clinically, in conjunctival infections:

  • Aerobic gram-positive bacteria:

    Staphylococcus aureus 

    Staphylococcus epidermidis 

    Streptococcus mitis group* 

    Streptococcus oralis* 

    Streptococcus pneumoniae
  • Aerobic gram-negative bacteria:

    Haemophilus influenzae

* Efficacy for these organisms were studied in fewer than 10 infections.

8.4 Pediatric Use


The safety and effectiveness of gatifloxacin ophthalmic solution 0.5% in infants below one year of age have not been established. Gatifloxacin ophthalmic solution 0.5% has been demonstrated in clinical trials to be safe and effective for the treatment of bacterial conjunctivitis in pediatric patients one year or older [see Clinical Studies (14)].

8.5 Geriatric Use


No overall differences in safety or effectiveness have been observed between elderly and younger patients.

14 Clinical Studies (14 CLINICAL STUDIES)


In two randomized, double-masked, multicenter clinical trials, where patients 1-89 years of age were dosed for 5 days, gatifloxacin ophthalmic solution 0.5 % was clinically superior to its vehicle on day 6 in patients with conjunctivitis and positive conjunctival cultures. Clinical outcomes for the trials demonstrated clinical success (resolution of conjunctival hyperemia and conjunctival discharge) in 58% (193/333) of patients for the gatifloxacin-treated groups versus 45% (148/325) for the vehicle-treated groups. Microbiological outcomes for the same clinical trials demonstrated a statistically superior eradication rate for causative pathogens of 90% (301/333) for gatifloxacin vs. 70% (228/325) for vehicle. Please note that microbiological eradication does not always correlate with clinical outcome in anti-infective trials.

4 Contraindications (4 CONTRAINDICATIONS)


Gatifloxacin ophthalmic solution 0.5 % is contraindicated in patients with a history of hypersensitivity to gatifloxacin, to other quinolones, or to any of the components in this medication [see Warnings and Precautions (5.1)].

6 Adverse Reactions (6 ADVERSE REACTIONS)

The following serious adverse reactions are described elsewhere in the labeling:

  • Hypersensitivity [see Contraindications (4) and Warnings and Precautions (5.1)]
  • Growth of Resistant Organisms With Prolonged Use [see Warnings and Precautions (5.2)]
  • Corneal Endothelial Cell Injury [see Warnings and Precautions (5.3)]
5.1 Hypersensitivity


Some patients receiving topical ophthalmic gatifloxacin experienced hypersensitivity reactions including anaphylactic reactions, angioedema (including pharyngeal, laryngeal, or facial edema), dyspnea, urticaria, and itching, even following a single dose. Rare cases of Stevens-Johnson Syndrome were reported in association with topical ophthalmic gatifloxacin use. If an allergic reaction to gatifloxacin occurs, discontinue the drug [see Patient Counseling Information (17)].

1 Indications & Usage (1 INDICATIONS & USAGE)


Gatifloxacin ophthalmic solution 0.5 % is indicated for the treatment of bacterial conjunctivitis caused by susceptible strains of the following organisms:

  • Aerobic gram-positive bacteria: 

    Staphylococcus aureus 

    Staphylococcus epidermidis 

    Streptococcus mitis group* 

    Streptococcus oralis*

    Streptococcus pneumoniae
  • Aerobic gram-negative bacteria: 

    Haemophilus influenzae

*Efficacy for these organisms were studied in fewer than 10 infections.

12.3 Pharmacokinetics


Gatifloxacin ophthalmic solution 0.5% was administered to one eye of 6 healthy male subjects each in an escalated dosing regimen starting with a single 2 drop dose, then 2 drops 4 times daily for 7 days, and finally 2 drops 8 times daily for 3 days. At all time points, serum gatifloxacin levels were below the lower limit of quantification (5 ng/mL) in all subjects.

12.1 Mechanism of Action

Gatifloxacin is a quinolone antimicrobial [see Microbiology (12.4)].

2 Dosage & Administration (2 DOSAGE & ADMINISTRATION)
  • Day 1: Instill one drop every two hours in the affected eye(s) while awake, up to 8 times.
  • Day 2 through Day 7: Instill one drop two to four times daily in the affected eye(s) while awake.
3 Dosage Forms & Strengths (3 DOSAGE FORMS & STRENGTHS)

Ophthalmic solution: 0.5% gatifloxacin (5 mg/mL)



5 Warnings and Precautions (5 WARNINGS AND PRECAUTIONS)
  • Hypersensitivity (5.1)
  • Growth of Resistant Organisms with Prolonged Use (5.2)
  • Corneal Endothelial Cell Injury (5.3)
6.2 Postmarketing Experience


The following adverse reactions have been identified during post-approval use of gatifloxacin ophthalmic solution 0.5 %. Because these reactions are reported voluntarily from a population of uncertain size, it is not always possible to reliably estimate their frequency or establish a causal relationship to drug exposure. These reactions included anaphylactic reactions and angioedema (including pharyngeal, oral or facial edema), blepharitis, dyspnea, eye pruritus, eye swelling (including corneal and conjunctival edema), hypersensitivity, including signs and symptoms of eye allergy and allergic dermatitis, nausea, pruritus (including pruritus generalized, rash, urticaria), and vision blurred.

6.1 Clinical Studies Experience


Because clinical studies are conducted under widely varying conditions, adverse reaction rates observed in the clinical studies of a drug cannot be directly compared to rates in the clinical studies of another drug and may not reflect the rates observed in practice.

In clinical studies of patients with bacterial conjunctivitis treated with gatifloxacin ophthalmic solution 0.5% (N=717), the most frequently reported adverse reactions occurring in ≥ 1 % of patients were: worsening of the conjunctivitis, eye irritation, dysgeusia, and eye pain.

Additional adverse reactions reported with other formulations of gatifloxacin ophthalmic solution in other clinical studies included chemosis, conjunctival hemorrhage, dry eye, eye discharge, eyelid edema, headache, increased lacrimation, keratitis, red eye, papillary conjunctivitis, and reduced visual acuity.

17 Patient Counseling Information (17 PATIENT COUNSELING INFORMATION)

Avoiding Contamination of the Product

Instruct patients to avoid contaminating the applicator tip with material from the eye, fingers, or other source.

Potential for Hypersensitivity Reactions

Advise patients to discontinue use immediately and contact the physician at the first sign of a rash or hypersensitivity reaction [see Warnings and Precautions (5.1) and Contraindication (4)].

Manufactured by:

Caplin Steriles Limited,

Gummidipoondi – 601 201,

India.

Code: TN/Drugs/TN00003457

Distributed by:

Caplin Steriles USA Inc.,

Hamilton, NJ 08619.



Revised June 2025

222XXXXX

5.3 Corneal Endothelial Cell Injury


Gatifloxacin ophthalmic solution 0.5 % is for topical ophthalmic use. Gatifloxacin ophthalmic solution 0.5 % may cause corneal endothelial cell injury if introduced directly into the anterior chamber of the eye.

16 How Supplied/storage and Handling (16 HOW SUPPLIED/STORAGE AND HANDLING)


Gatifloxacin ophthalmic solution, 0.5% is supplied sterile in a white, opaque low density polyethylene (LDPE) bottle with white opaque low density polyethylene (LDPE) nozzle and a tan, high density polyethylene (HDPE) cap supplied in the following size:

2.5 mL in 5 mL bottle: NDC 65145-207-01

Storage: Store at 15°C to 25°C (59°F to 77°F). Protect from freezing.

Package Label.principal Display Panel (PACKAGE LABEL.PRINCIPAL DISPLAY PANEL)

Carton 2.5 mL

2.5 mL

NDC 65145-207-01

Gatifloxacin ophthalmic solution

0.5%

For Use in the Eyes Only

Sterile

 

Container Label - 2.5 mL

NDC 65145-207-01

Gatifloxacin ophthalmic solution

0.5%

For Use in the Eyes Only

Sterile

2.5 mL

5.2 Growth of Resistant Organisms With Prolonged Use (5.2 Growth of Resistant Organisms with Prolonged Use)


Prolonged use of gatifloxacin ophthalmic solution 0.5 % may result in overgrowth of nonsusceptible organisms, including fungi. If superinfection occurs, discontinue use and institute alternative therapy. Whenever clinical judgment dictates, examine the patient with the aid of magnification, such as slit lamp biomicroscopy and where appropriate, fluorescein staining.

13.1 Carcinogenesis, Mutagenesis, Impairment of Fertility

Carcinogenesis

There was no increase in neoplasms among B6C3F1 mice given gatifloxacin in the diet for 18 months at doses averaging 81 mg/kg/day in males and 90 mg/kg/day in females. These doses are approximately 175-fold higher than the maximum recommended ophthalmic dose (MRHOD) of 0.04 mg/kg/day gatifloxacin in a 60 kg human (on a mg/m2 basis).

A statistically significant increase in the incidence of large granular lymphocyte (LGL) leukemia was seen in male rats treated with 100 mg/kg/day (approximately 405-fold higher than the MRHOD, on a mg/m2 basis). Fischer 344 rats have a high spontaneous background rate of LGL leukemia and the incidence in high-dose males only slightly exceeded the historical control range established for this strain. There was no increase in neoplasms among Fischer 344 rats given gatifloxacin in the diet for 2 years at doses averaging 47 mg/kg/day in males and 139 mg/kg/day in females (approximately 190 - and 560-fold higher than the MRHOD, respectively), on a mg/m2 basis.

Mutagenesis

In genetic toxicity tests, gatifloxacin was positive in 1 of 5 strains used in bacterial reverse mutation assays: Salmonella strain TA102. Gatifloxacin was positive in in vitro mammalian cell mutation and chromosome aberration assays. Gatifloxacin was positive in in vitro unscheduled DNA synthesis in rat hepatocytes but not human leukocytes. Gatifloxacin was negative in in vivo micronucleus tests in mice, cytogenetics test in rats, and DNA repair test in rats. The genotoxic findings are similar to findings obtained with other quinolones and may be due to the pharmacologic inhibitory effects of high concentrations of gatifloxacin on eukaryotic type II DNA topoisomerase.

Impairment of Fertility

Oral administration of gatifloxacin produced no adverse effects on fertility or reproduction in rats at doses up to 200 mg/kg/day (approximately 800-fold higher than the MRHOD, on a mg/m2 basis).


Advanced Ingredient Data


Raw Label Data

All Sections (JSON)