These Highlights Do Not Include All The Information Needed To Use Phytonadione Injectable Emulsion

These Highlights Do Not Include All The Information Needed To Use Phytonadione Injectable Emulsion
SPL v6
SPL
SPL Set ID 2ce1dd90-11ad-4f74-af16-45b7e59f05da
Routes
INTRAMUSCULAR INTRAVENOUS SUBCUTANEOUS
Published
Effective Date 2025-10-23
Document Type 34391-3 HUMAN PRESCRIPTION DRUG LABEL

Drug Facts

Composition & Product

Active Ingredients
Phytonadione (1 mg)
Inactive Ingredients
Polysorbate 80 Propylene Glycol Sodium Acetate Anhydrous Acetic Acid Water

Identifiers & Packaging

Marketing Status
ANDA Active Since 2025-11-04

Description

Fatal hypersensitivity reactions, including anaphylaxis, have occurred during and immediately after intravenous and intramuscular injection of phytonadione injectable emulsion. Reactions have occurred despite dilution to avoid rapid intravenous infusion and upon first dose. Avoid the intravenous and intramuscular routes of administration unless the subcutaneous route is not feasible and the serious risk is justified [ see Warnings and Precautions  (5.1) ] .

Indications and Usage

Phytonadione injectable emulsion is a vitamin K replacement indicated for the treatment of the following coagulation disorders which are due to faulty formation of factors II, VII, IX and X when caused by vitamin K deficiency or interference with vitamin K activity. Anticoagulant-induced hypoprothrombinemia deficiency caused by coumarin or indanedione derivatives. ( 1.1 ) Hypoprothrombinemia due to antibacterial therapy. ( 1.1 ) Hypoprothrombinemia secondary to factors limiting absorption or synthesis of vitamin K, e.g., obstructive jaundice, biliary fistula, sprue, ulcerative colitis, celiac disease, intestinal resection, cystic fibrosis of the pancreas and regional enteritis. ( 1.1 ) Other drug-induced hypoprothrombinemia where it is definitely shown that the result is due to interference with vitamin K metabolism, e.g., salicylates. ( 1.1 ) Phytonadione injectable emulsion is indicated for prophylaxis and treatment of vitamin K-deficiency bleeding in neonates. ( 1.2 )

Dosage and Administration

Administer phytonadione injectable emulsion by the subcutaneous route, whenever possible. ( 2.1 ) When intravenous administration is unavoidable, inject the drug very slowly, not exceeding 1 mg per minute. ( 2.1 )  

Warnings and Precautions

Cutaneous Reactions: May occur with parenteral use. Discontinue drug and manage medically. ( 5.3 )  

Contraindications

Hypersensitivity to phytonadione or any other component of this medication [see Warnings and Precautions (5.1) ] .

Adverse Reactions

The following serious adverse reactions are described elsewhere in the labeling: Hypersensitivity Reactions [see Warnings and Precautions (5.1) ] Cutaneous Reactions [see Warnings and Precautions (5.3) ]

Drug Interactions

Anticoagulants Phytonadione injectable emulsion may induce temporary resistance to prothrombin-depressing anticoagulants, especially when larger doses of phytonadione injectable emulsion are used. Should this occur, higher doses of anticoagulant therapy may be needed when resuming anticoagulant therapy, or a change in therapy to a different class of anticoagulant may be necessary (i.e., heparin sodium). Phytonadione injectable emulsion does not affect the anticoagulant action of heparin.

Storage and Handling

Phytonadione Injectable Emulsion USP, 1 mg/0.5 mL is available as clear yellow color, solution filled in prefilled glass syringe with SRC tip cap, assembled with grey plunger stopper and natural plunger rod. It is supplied in carton containing ten plastic trays, each having one single-dose prefilled glass syringes and one, SurGuard ® 3 safety hypodermic 27 G. x 1/2” needle with the following presentations: Unit of Sale Strength Each NDC 70121-1682-7 (Carton of 10) 1 mg/0.5 mL NDC 70121-1682-1 (0.5 mL prefilled syringe) Store at 20° to 25°C (68° to 77°F); excursions permitted between 15° to 30°C (59° to 86°F) [see USP Controlled Room Temperature]. Protect phytonadione injectable emulsion from light. Store container in closed original carton until contents have been used. Syringe Assembly Directions: See User Guide USE ASEPTIC TECHNIQUE Do not remove from carton or assemble until ready to use. CAUTION: The syringe may not be compatible with Luer-activated valve (LAV) connectors that have internal pin designs, such as LAVs with CLAVE design. 1. Remove the prefilled syringe cap by unscrewing it counter-clockwise (see Figure A) .                    Figure A 2. Open the needle package by using both thumbs to pull apart the packaging (see Figure B) . Remove the needle from the package.                       Figure B 3.  Attach the needle with the needle cap to the syringe by turning clockwise until it cannot twist any further  (see Figure C) . Do not remove the needle cap.                      Figure C Pull back the needle safety shield  (see Figure D) .                  Figure D 4.  Carefully remove needle cap from the needle by pulling straight off  (see Figure E)  and throw it away in a sharp disposal container. Make sure the needle does not touch anything before the injection.                  Figure E 5.  Hold the syringe at eye level with the needle pointing upwards. Check to see air bubble. Remove it by tapping the side of the syringe with your finger until it rise towards the tip  (see Figure F) . Then, slowly push the plunger up until a small amount of liquid drips from the needle  (see Figure G) .            Figure F          Figure G 6. After injection, position shield in preparation for device activation: Using a one-handed technique, push the tab forward with your finger or thumb so that the shield is less than 90 degrees from the needle  (see Figure H) . NOTE: Keep your finger or thumb behind the tab at all times.                Figure H 7.  Activate shield: Position the shield approximately 45 degrees to flat surface. Press down with a  GENTLE, QUICK, MOTION  until a distinct  AUDIBLE CLICK  is heard  (see Figure I) . Note: Audible click may not be heard on small needle sizes: visual confirmation is required.            Figure I 8.  VISUALLY CONFIRM  that needle is fully engaged under lock  (see Figure J) .                           Figure J 9. Following activation of the needle shield, immediately discard the unit into an approved sharps container. CAUTION: LIQUID IN GLASS. HANDLE WITH CARE. INSPECT SYRINGE FOR DAMAGE PRIOR TO ASSEMBLY.

How Supplied

Phytonadione Injectable Emulsion USP, 1 mg/0.5 mL is available as clear yellow color, solution filled in prefilled glass syringe with SRC tip cap, assembled with grey plunger stopper and natural plunger rod. It is supplied in carton containing ten plastic trays, each having one single-dose prefilled glass syringes and one, SurGuard ® 3 safety hypodermic 27 G. x 1/2” needle with the following presentations: Unit of Sale Strength Each NDC 70121-1682-7 (Carton of 10) 1 mg/0.5 mL NDC 70121-1682-1 (0.5 mL prefilled syringe) Store at 20° to 25°C (68° to 77°F); excursions permitted between 15° to 30°C (59° to 86°F) [see USP Controlled Room Temperature]. Protect phytonadione injectable emulsion from light. Store container in closed original carton until contents have been used. Syringe Assembly Directions: See User Guide USE ASEPTIC TECHNIQUE Do not remove from carton or assemble until ready to use. CAUTION: The syringe may not be compatible with Luer-activated valve (LAV) connectors that have internal pin designs, such as LAVs with CLAVE design. 1. Remove the prefilled syringe cap by unscrewing it counter-clockwise (see Figure A) .                    Figure A 2. Open the needle package by using both thumbs to pull apart the packaging (see Figure B) . Remove the needle from the package.                       Figure B 3.  Attach the needle with the needle cap to the syringe by turning clockwise until it cannot twist any further  (see Figure C) . Do not remove the needle cap.                      Figure C Pull back the needle safety shield  (see Figure D) .                  Figure D 4.  Carefully remove needle cap from the needle by pulling straight off  (see Figure E)  and throw it away in a sharp disposal container. Make sure the needle does not touch anything before the injection.                  Figure E 5.  Hold the syringe at eye level with the needle pointing upwards. Check to see air bubble. Remove it by tapping the side of the syringe with your finger until it rise towards the tip  (see Figure F) . Then, slowly push the plunger up until a small amount of liquid drips from the needle  (see Figure G) .            Figure F          Figure G 6. After injection, position shield in preparation for device activation: Using a one-handed technique, push the tab forward with your finger or thumb so that the shield is less than 90 degrees from the needle  (see Figure H) . NOTE: Keep your finger or thumb behind the tab at all times.                Figure H 7.  Activate shield: Position the shield approximately 45 degrees to flat surface. Press down with a  GENTLE, QUICK, MOTION  until a distinct  AUDIBLE CLICK  is heard  (see Figure I) . Note: Audible click may not be heard on small needle sizes: visual confirmation is required.            Figure I 8.  VISUALLY CONFIRM  that needle is fully engaged under lock  (see Figure J) .                           Figure J 9. Following activation of the needle shield, immediately discard the unit into an approved sharps container. CAUTION: LIQUID IN GLASS. HANDLE WITH CARE. INSPECT SYRINGE FOR DAMAGE PRIOR TO ASSEMBLY.


Medication Information

Warnings and Precautions

Cutaneous Reactions: May occur with parenteral use. Discontinue drug and manage medically. ( 5.3 )  

Indications and Usage

Phytonadione injectable emulsion is a vitamin K replacement indicated for the treatment of the following coagulation disorders which are due to faulty formation of factors II, VII, IX and X when caused by vitamin K deficiency or interference with vitamin K activity. Anticoagulant-induced hypoprothrombinemia deficiency caused by coumarin or indanedione derivatives. ( 1.1 ) Hypoprothrombinemia due to antibacterial therapy. ( 1.1 ) Hypoprothrombinemia secondary to factors limiting absorption or synthesis of vitamin K, e.g., obstructive jaundice, biliary fistula, sprue, ulcerative colitis, celiac disease, intestinal resection, cystic fibrosis of the pancreas and regional enteritis. ( 1.1 ) Other drug-induced hypoprothrombinemia where it is definitely shown that the result is due to interference with vitamin K metabolism, e.g., salicylates. ( 1.1 ) Phytonadione injectable emulsion is indicated for prophylaxis and treatment of vitamin K-deficiency bleeding in neonates. ( 1.2 )

Dosage and Administration

Administer phytonadione injectable emulsion by the subcutaneous route, whenever possible. ( 2.1 ) When intravenous administration is unavoidable, inject the drug very slowly, not exceeding 1 mg per minute. ( 2.1 )  

Contraindications

Hypersensitivity to phytonadione or any other component of this medication [see Warnings and Precautions (5.1) ] .

Adverse Reactions

The following serious adverse reactions are described elsewhere in the labeling: Hypersensitivity Reactions [see Warnings and Precautions (5.1) ] Cutaneous Reactions [see Warnings and Precautions (5.3) ]

Drug Interactions

Anticoagulants Phytonadione injectable emulsion may induce temporary resistance to prothrombin-depressing anticoagulants, especially when larger doses of phytonadione injectable emulsion are used. Should this occur, higher doses of anticoagulant therapy may be needed when resuming anticoagulant therapy, or a change in therapy to a different class of anticoagulant may be necessary (i.e., heparin sodium). Phytonadione injectable emulsion does not affect the anticoagulant action of heparin.

Storage and Handling

Phytonadione Injectable Emulsion USP, 1 mg/0.5 mL is available as clear yellow color, solution filled in prefilled glass syringe with SRC tip cap, assembled with grey plunger stopper and natural plunger rod. It is supplied in carton containing ten plastic trays, each having one single-dose prefilled glass syringes and one, SurGuard ® 3 safety hypodermic 27 G. x 1/2” needle with the following presentations: Unit of Sale Strength Each NDC 70121-1682-7 (Carton of 10) 1 mg/0.5 mL NDC 70121-1682-1 (0.5 mL prefilled syringe) Store at 20° to 25°C (68° to 77°F); excursions permitted between 15° to 30°C (59° to 86°F) [see USP Controlled Room Temperature]. Protect phytonadione injectable emulsion from light. Store container in closed original carton until contents have been used. Syringe Assembly Directions: See User Guide USE ASEPTIC TECHNIQUE Do not remove from carton or assemble until ready to use. CAUTION: The syringe may not be compatible with Luer-activated valve (LAV) connectors that have internal pin designs, such as LAVs with CLAVE design. 1. Remove the prefilled syringe cap by unscrewing it counter-clockwise (see Figure A) .                    Figure A 2. Open the needle package by using both thumbs to pull apart the packaging (see Figure B) . Remove the needle from the package.                       Figure B 3.  Attach the needle with the needle cap to the syringe by turning clockwise until it cannot twist any further  (see Figure C) . Do not remove the needle cap.                      Figure C Pull back the needle safety shield  (see Figure D) .                  Figure D 4.  Carefully remove needle cap from the needle by pulling straight off  (see Figure E)  and throw it away in a sharp disposal container. Make sure the needle does not touch anything before the injection.                  Figure E 5.  Hold the syringe at eye level with the needle pointing upwards. Check to see air bubble. Remove it by tapping the side of the syringe with your finger until it rise towards the tip  (see Figure F) . Then, slowly push the plunger up until a small amount of liquid drips from the needle  (see Figure G) .            Figure F          Figure G 6. After injection, position shield in preparation for device activation: Using a one-handed technique, push the tab forward with your finger or thumb so that the shield is less than 90 degrees from the needle  (see Figure H) . NOTE: Keep your finger or thumb behind the tab at all times.                Figure H 7.  Activate shield: Position the shield approximately 45 degrees to flat surface. Press down with a  GENTLE, QUICK, MOTION  until a distinct  AUDIBLE CLICK  is heard  (see Figure I) . Note: Audible click may not be heard on small needle sizes: visual confirmation is required.            Figure I 8.  VISUALLY CONFIRM  that needle is fully engaged under lock  (see Figure J) .                           Figure J 9. Following activation of the needle shield, immediately discard the unit into an approved sharps container. CAUTION: LIQUID IN GLASS. HANDLE WITH CARE. INSPECT SYRINGE FOR DAMAGE PRIOR TO ASSEMBLY.

How Supplied

Phytonadione Injectable Emulsion USP, 1 mg/0.5 mL is available as clear yellow color, solution filled in prefilled glass syringe with SRC tip cap, assembled with grey plunger stopper and natural plunger rod. It is supplied in carton containing ten plastic trays, each having one single-dose prefilled glass syringes and one, SurGuard ® 3 safety hypodermic 27 G. x 1/2” needle with the following presentations: Unit of Sale Strength Each NDC 70121-1682-7 (Carton of 10) 1 mg/0.5 mL NDC 70121-1682-1 (0.5 mL prefilled syringe) Store at 20° to 25°C (68° to 77°F); excursions permitted between 15° to 30°C (59° to 86°F) [see USP Controlled Room Temperature]. Protect phytonadione injectable emulsion from light. Store container in closed original carton until contents have been used. Syringe Assembly Directions: See User Guide USE ASEPTIC TECHNIQUE Do not remove from carton or assemble until ready to use. CAUTION: The syringe may not be compatible with Luer-activated valve (LAV) connectors that have internal pin designs, such as LAVs with CLAVE design. 1. Remove the prefilled syringe cap by unscrewing it counter-clockwise (see Figure A) .                    Figure A 2. Open the needle package by using both thumbs to pull apart the packaging (see Figure B) . Remove the needle from the package.                       Figure B 3.  Attach the needle with the needle cap to the syringe by turning clockwise until it cannot twist any further  (see Figure C) . Do not remove the needle cap.                      Figure C Pull back the needle safety shield  (see Figure D) .                  Figure D 4.  Carefully remove needle cap from the needle by pulling straight off  (see Figure E)  and throw it away in a sharp disposal container. Make sure the needle does not touch anything before the injection.                  Figure E 5.  Hold the syringe at eye level with the needle pointing upwards. Check to see air bubble. Remove it by tapping the side of the syringe with your finger until it rise towards the tip  (see Figure F) . Then, slowly push the plunger up until a small amount of liquid drips from the needle  (see Figure G) .            Figure F          Figure G 6. After injection, position shield in preparation for device activation: Using a one-handed technique, push the tab forward with your finger or thumb so that the shield is less than 90 degrees from the needle  (see Figure H) . NOTE: Keep your finger or thumb behind the tab at all times.                Figure H 7.  Activate shield: Position the shield approximately 45 degrees to flat surface. Press down with a  GENTLE, QUICK, MOTION  until a distinct  AUDIBLE CLICK  is heard  (see Figure I) . Note: Audible click may not be heard on small needle sizes: visual confirmation is required.            Figure I 8.  VISUALLY CONFIRM  that needle is fully engaged under lock  (see Figure J) .                           Figure J 9. Following activation of the needle shield, immediately discard the unit into an approved sharps container. CAUTION: LIQUID IN GLASS. HANDLE WITH CARE. INSPECT SYRINGE FOR DAMAGE PRIOR TO ASSEMBLY.

Description

Fatal hypersensitivity reactions, including anaphylaxis, have occurred during and immediately after intravenous and intramuscular injection of phytonadione injectable emulsion. Reactions have occurred despite dilution to avoid rapid intravenous infusion and upon first dose. Avoid the intravenous and intramuscular routes of administration unless the subcutaneous route is not feasible and the serious risk is justified [ see Warnings and Precautions  (5.1) ] .

 

Fatal hypersensitivity reactions, including anaphylaxis, have occurred during and immediately after intravenous and intramuscular injection of phytonadione injectable emulsion. Reactions have occurred despite dilution to avoid rapid intravenous infusion and upon first dose. Avoid the intravenous and intramuscular routes of administration unless the subcutaneous route is not feasible and the serious risk is justified [ see Warnings and Precautions  (5.1) ].

User Guide

Phytonadione Injectable Emulsion, USP

1 mg/0.5 mL

NOTE: USE ASEPTIC TECHNIQUE

Do not remove from Package or do not assemble until ready to use.

CAUTION: The syringe may not be compatible with Luer-activated valve (LAV) connectors that have internal pin designs, such as LAVs with CLAVE design.

Package Contents:

  • A Pre-filled Glass Syringe containing Phytonadione Injectable Emulsion
  • A SURGUARD® 3 SAFETY HYPODERMIC NEEDLE

Syringe Assembly Directions and Steps for Administration:

1. Remove the Phytonadione Injectable Emulsion tray from carton. Open the tray and take out prefilled glass syringe (see Figure A).

 

Figure A

2. Remove the prefilled syringe cap by unscrewing it counter-clockwise (see Figure B).

 

Figure B

3. Open the needle package by using both thumbs to pull apart the packaging (see Figure C). Remove the needle from the package. 

 

Figure C

4. Attach the needle with the needle cap to the syringe by turning clockwise until it cannot twist any further (see Figure D). Do not remove the needle cap.

Pull back the needle safety shield (see Figure E).

 

Figure D

Figure E

 

5. Carefully remove needle cap from the needle by pulling straight off (see Figure F) and throw it away in a sharp disposal container. Make sure the needle does not touch anything before the injection.

 

Figure F

 

6. Hold the syringe at eye level with the needle pointing upwards.

Check to see air bubble. Remove it by tapping the side of the syringe with your finger until it rise towards the tip (see Figure G).

Then, slowly push the plunger up until a small amount of liquid drips from the needle (see Figure H).

 

Figure G

Figure H

 

7. After injection, position shield in preparation for device activation: Using a one-handed technique, push the tab forward with your finger or thumb so that the shield is less than 90 degrees from the needle (see Figure I).

NOTE: Keep your finger or thumb behind the tab at all times.

 

Figure I

 

8. Activate shield: Position the shield approximately 45 degrees to flat surface. Press down with a GENTLE, QUICK, MOTION until a distinct AUDIBLE CLICK is heard (see Figure J).

Note: Audible click may not be heard on small needle sizes: visual confirmation is required.

 

Figure J

 

9. VISUALLY CONFIRM that needle is fully engaged under lock (see Figure K).

 

Figure K

10. Following activation of the needle shield, immediately discard the unit into an approved sharps container (see Figure L).

 

Figure L

CAUTION: LIQUID IN GLASS. HANDLE WITH CARE. INSPECT SYRINGE FOR DAMAGE PRIOR TO ASSEMBLY.

For more information, go to www.amneal.com or call Amneal Pharmaceuticals LLC at 1-877-835-5472.

Manufactured by:

Amneal Pharmaceuticals Pvt. Ltd.

Ahmedabad 382213, INDIA

Distributed by:

Amneal Pharmaceuticals LLC

Bridgewater, NJ 08807

Rev. 10-2025-02

10 Overdosage

Hemolysis, jaundice and hyperbilirubinemia in newborns, particularly in premature infants, may result from phytonadione injectable emulsion overdose.

8.1 Pregnancy

Risk Summary

If phytonadione is needed during pregnancy, consider using a preservative-free formulation.

Published studies with the use of phytonadione during pregnancy have not reported a clear association with phytonadione and adverse developmental outcomes (see Data). There are maternal and fetal risks associated with vitamin K deficiency during pregnancy (see Clinical Considerations). Animal reproduction studies have not been conducted with phytonadione.

The estimated background risk for the indicated population is unknown. All pregnancies have a background risk of birth defect, loss, or other adverse outcomes. In the U.S. general population, the estimated background risk of major birth defects and miscarriage in clinically recognized pregnancies is 2% to 4% and 15% to 20%, respectively.

Clinical Considerations

Disease-associated maternal and/or embryo/fetal risk

Pregnant women with vitamin K deficiency hypoprothrombinemia may be at an increased risk for bleeding diatheses during pregnancy and hemorrhagic events at delivery. Subclinical maternal vitamin K deficiency during pregnancy has been implicated in rare cases of fetal intracranial hemorrhage.

Data

Human Data

Phytonadione has been measured in cord blood of infants whose mothers were treated with phytonadione during pregnancy in concentrations lower than seen in maternal plasma. Administration of vitamin K1 to pregnant women shortly before delivery increased both maternal and cord blood concentrations. Published data do not report a clear association with phytonadione and adverse maternal or fetal outcomes when used during pregnancy. However, these studies cannot definitively establish the absence of any risk because of methodologic limitations including small sample size and lack of blinding.

Animal Data

In pregnant rats receiving vitamin K1 orally, fetal plasma and liver concentrations increased following administration, supporting placental transfer.

11 Description

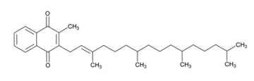
Phytonadione, USP is a vitamin K replacement, which is a clear, yellow to amber, very viscous liquid. It is soluble in dehydrated alcohol, in benzene, in chloroform, in ether and in vegetable oils; slightly soluble in alcohol and insoluble in water. It has a molecular weight of 450.70 g/mol.

Phytonadione is 2-Methyl-3-(3,7,11,15-tetramethylhexadec-2-en-1-yl)naphthalene-1,4-dione. Its molecular formula is C31H46O2 and its molecular structure is:

Phytonadione Injectable Emulsion, USP is a sterile, clear yellow color solution of vitamin K1, with a pH of 3.5 to 7.0, available for injection by the intravenous, intramuscular and subcutaneous routes. Phytonadione injectable emulsion, USP is available in 1 mg (1 mg/0.5 mL) single-dose prefilled glass syringe.

Each 0.5 mL of Phytonadione Injectable Emulsion, USP contains:

Active:

Phytonadione, USP (Vitamin K1)………………1 mg

Inactive:

Polysorbate 80 …………………………10 mg

Propylene glycol ………………………10.4 mg

Sodium acetate anhydrous.…………..…0.17 mg

Glacial acetic acid .………….….….......0.00002 mL

Water for injection.….…………………q.s. to 0.5 mL

Additional glacial acetic acid or sodium acetate anhydrous may have been added to adjust pH to meet USP limits of 3.5 to 7.0.

8.2 lactation

Risk Summary

If available, preservative-free phytonadione injectable emulsion is recommended when phytonadione injectable emulsion is needed during lactation [see Use in Specific Populations  (8.4) ].

Phytonadione is present in breastmilk. There are no data on the effects of phytonadione injectable emulsion on the breastfed child or on milk production. The developmental and health benefits of breastfeeding should be considered along with the clinical need for phytonadione injectable emulsion and any potential adverse effects on the breastfed child from phytonadione injectable emulsion or from the underlying maternal condition.

8.4 Pediatric Use

The safety and effectiveness of phytonadione injectable emulsion for prophylaxis and treatment of vitamin K deficiency have been established in neonates. Use of phytonadione injection for prophylaxis and treatment of vitamin K deficiency is based on published clinical studies.

4 Contraindications

Hypersensitivity to phytonadione or any other component of this medication [see Warnings and Precautions (5.1)].

6 Adverse Reactions

The following serious adverse reactions are described elsewhere in the labeling:

7 Drug Interactions

Anticoagulants

Phytonadione injectable emulsion may induce temporary resistance to prothrombin-depressing anticoagulants, especially when larger doses of phytonadione injectable emulsion are used. Should this occur, higher doses of anticoagulant therapy may be needed when resuming anticoagulant therapy, or a change in therapy to a different class of anticoagulant may be necessary (i.e., heparin sodium).

Phytonadione injectable emulsion does not affect the anticoagulant action of heparin.

12.2 Pharmacodynamics

The action of the aqueous dispersion, when administered intravenously, is generally detectable within an hour or two and hemorrhage is usually controlled within 3 hours to 6 hours. A normal INR may often be obtained in 12 hours to 14 hours.

12.3 Pharmacokinetics

Absorption:

Phytonadione is readily absorbed following intramuscular administration.

Distribution:

After absorption, phytonadione is initially concentrated in the liver, but the concentration declines rapidly. Very little vitamin K accumulates in tissues.

Elimination:

Little is known about the metabolic fate of vitamin K. Almost no free unmetabolized vitamin K appears in bile or urine.

1 Indications and Usage

Phytonadione injectable emulsion is a vitamin K replacement indicated for the treatment of the following coagulation disorders which are due to faulty formation of factors II, VII, IX and X when caused by vitamin K deficiency or interference with vitamin K activity.

  • Anticoagulant-induced hypoprothrombinemia deficiency caused by coumarin or indanedione derivatives. (1.1)
  • Hypoprothrombinemia due to antibacterial therapy. (1.1)
  • Hypoprothrombinemia secondary to factors limiting absorption or synthesis of vitamin K, e.g., obstructive jaundice, biliary fistula, sprue, ulcerative colitis, celiac disease, intestinal resection, cystic fibrosis of the pancreas and regional enteritis. (1.1)
  • Other drug-induced hypoprothrombinemia where it is definitely shown that the result is due to interference with vitamin K metabolism, e.g., salicylates. (1.1)

Phytonadione injectable emulsion is indicated for prophylaxis and treatment of vitamin K-deficiency bleeding in neonates. (1.2)

5.3 Cutaneous Reactions

Parenteral administration of vitamin K replacements (including phytonadione injectable emulsion) may cause cutaneous reactions. Reactions have included eczematous reactions, scleroderma-like patches, urticaria and delayed-type hypersensitivity reactions. Time of onset ranged from 1 day to a year after parenteral administration. Discontinue phytonadione injectable emulsion for skin reactions and institute medical management.

Principal Display Panel

NDC 70121-1682-1

Phytonadione Injectable Emulsion USP, 1 mg/0.5 mL

0.5 mL Prefilled Syringe Label

Rx only

Amneal Pharmaceuticals LLC

NDC 70121-1682-1

Phytonadione Injectable Emulsion USP, 1 mg/0.5 mL

0.5 mL Tray Label

Rx only

Amneal Pharmaceuticals LLC

NDC 70121-1682-7

Phytonadione Injectable Emulsion USP, 1 mg/0.5 mL

10 x 0.5 mL Carton Label

Rx only

Amneal Pharmaceuticals LLC

12.1 Mechanism of Action

Phytonadione injectable emulsion aqueous colloidal solution of vitamin K1 for parenteral injection, possesses the same type and degree of activity as does naturally-occurring vitamin K, which is necessary for the production via the liver of active prothrombin (factor II), proconvertin (factor VII), plasma thromboplastin component (factor IX) and Stuart factor (factor X). Vitamin K is an essential cofactor for a microsomal enzyme that catalyzes the post-translational carboxylation of multiple, specific, peptide-bound glutamic acid residues in inactive hepatic precursors of factors II, VII, IX and X. The resulting gamma-carboxy-glutamic acid residues convert the precursors into active coagulation factors that are subsequently secreted by liver cells into the blood.

In normal animals and humans, phytonadione is virtually devoid of activity. However, in animals and humans deficient in vitamin K, the pharmacological action of vitamin K is related to its normal physiological function, that is, to promote the hepatic biosynthesis of vitamin K dependent clotting factors.

2.1 Dosing Considerations

Whenever possible, administer phytonadione injectable emulsion by the subcutaneous route [see Boxed Warning ]. When intravenous administration is unavoidable, inject the drug very slowly, not exceeding 1 mg per minute [see Warnings  and Precautions (5.1) ].

Monitor international normalized ratio (INR) regularly and as clinical conditions indicate. Use the lowest effective dose of phytonadione injectable emulsion.

The coagulant effects of phytonadione injectable emulsion are not immediate; improvement of INR may take 1 hour to 8 hours. Interim use of whole blood or component therapy may also be necessary if bleeding is severe.

When phytonadione injectable emulsion is used to correct excessive anticoagulant-induced hypoprothrombinemia, anticoagulant therapy still being indicated, the patient is again faced with the clotting hazards existing prior to starting the anticoagulant therapy. Phytonadione is not a clotting agent, but overzealous therapy with phytonadione injectable emulsion may restore conditions which originally permitted thromboembolic phenomena. Dosage should be kept as low as possible and INR should be checked regularly as clinical conditions indicate.

5 Warnings and Precautions
  • Cutaneous Reactions: May occur with parenteral use. Discontinue drug and manage medically. (5.3)

 

2 Dosage and Administration
  • Administer phytonadione injectable emulsion by the subcutaneous route, whenever possible. (2.1)
  • When intravenous administration is unavoidable, inject the drug very slowly, not exceeding 1 mg per minute. (2.1)

 

2.4 Directions for Dilution

CAUTION: The syringe may not be compatible with Luer-activated valve (LAV) connectors that have internal pin designs, such as LAVs with CLAVE design.

Dilute phytonadione injectable emulsion with 0.9% Sodium Chloride Injection, 5% Dextrose Injection, or 5% Dextrose and Sodium Chloride Injection.

When diluted, start administration of phytonadione injectable emulsion immediately after dilution.

Discard unused portions of diluted solution as well as unused contents of the syringe.

Protect phytonadione injectable emulsion from light at all times.

Parenteral drug products should be inspected visually for particulate matter and discoloration prior to administration, whenever solution and container permit.

3 Dosage Forms and Strengths

Injection: 1 mg/0.5 mL in a single-dose Pre-Filled Glass Syringe.

8 Use in Specific Populations
  • Pregnancy: If available, use the preservative-free formulation in pregnant women. (8.1)
  • Lactation: If available, use the preservative-free formulation in lactating women. (8.2)
  • Pediatric Use: The safety and effectiveness of phytonadione injectable emulsion in pediatric patients from 6 months to 17 years have not been established. (8.4)

 

5.1 Hypersensitivity Reactions

Fatal and severe hypersensitivity reactions, including anaphylaxis, have occurred with intravenous or intramuscular administration of phytonadione injectable emulsion. Reactions have occurred despite dilution to avoid rapid intravenous infusion and upon first dose. These reactions have included shock, cardiorespiratory arrest, flushing, diaphoresis, chest pain, tachycardia, cyanosis, weakness and dyspnea. Administer phytonadione injectable emulsion subcutaneously whenever feasible. Avoid the intravenous and intramuscular routes of administration unless the subcutaneous route is not feasible and the serious risk is justified [see Dosage and Administration (2.1)].

17 Patient Counseling Information

Inform the patient of the following important risks of phytonadione injectable emulsion:

Serious Hypersensitivity Reactions

Advise the patient and caregivers to immediately report signs of hypersensitivity after receiving phytonadione injectable emulsion [see Warnings and Precautions (5.1)].

Cutaneous Reactions

Advise the patient and caregivers to report the occurrence of new rashes after receiving phytonadione injectable emulsion. These reactions may be delayed for up to a year after treatment [see Warnings and Precautions (5.3)].

Manufactured by:

Amneal Pharmaceuticals Pvt. Ltd.

Ahmedabad 382213, INDIA

Distributed by:

Amneal Pharmaceuticals LLC

Bridgewater, NJ 08807

Rev. 11-2025-03

16 How Supplied/storage and Handling

Phytonadione Injectable Emulsion USP, 1 mg/0.5 mL is available as clear yellow color, solution filled in prefilled glass syringe with SRC tip cap, assembled with grey plunger stopper and natural plunger rod. It is supplied in carton containing ten plastic trays, each having one single-dose prefilled glass syringes and one, SurGuard® 3 safety hypodermic 27 G. x 1/2” needle with the following presentations:

Unit of Sale

Strength

Each

NDC 70121-1682-7

(Carton of 10)

1 mg/0.5 mL

NDC 70121-1682-1

(0.5 mL prefilled syringe)

Store at 20° to 25°C (68° to 77°F); excursions permitted between 15° to 30°C (59° to 86°F) [see USP Controlled Room Temperature].

Protect phytonadione injectable emulsion from light. Store container in closed original carton until contents have been used.

Syringe Assembly Directions:

See User Guide

USE ASEPTIC TECHNIQUE

Do not remove from carton or assemble until ready to use.

CAUTION: The syringe may not be compatible with Luer-activated valve (LAV) connectors that have internal pin designs, such as LAVs with CLAVE design.

1. Remove the prefilled syringe cap by unscrewing it counter-clockwise (see Figure A).



                   Figure A

2. Open the needle package by using both thumbs to pull apart the packaging (see Figure B). Remove the needle from the package.



                      Figure B

3.  Attach the needle with the needle cap to the syringe by turning clockwise until it cannot twist any further  (see Figure C) . Do not remove the needle cap.



                     Figure C

Pull back the needle safety shield  (see Figure D) .



                 Figure D

4.  Carefully remove needle cap from the needle by pulling straight off  (see Figure E)  and throw it away in a sharp disposal container. Make sure the needle does not touch anything before the injection.



                 Figure E

5.  Hold the syringe at eye level with the needle pointing upwards. Check to see air bubble. Remove it by tapping the side of the syringe with your finger until it rise towards the tip  (see Figure F) . Then, slowly push the plunger up until a small amount of liquid drips from the needle  (see Figure G) .



           Figure F 



        Figure G

6. After injection, position shield in preparation for device activation: Using a one-handed technique, push the tab forward with your finger or thumb so that the shield is less than 90 degrees from the needle  (see Figure H) .

NOTE: Keep your finger or thumb behind the tab at all times.



               Figure H

7.  Activate shield: Position the shield approximately 45 degrees to flat surface. Press down with a  GENTLE, QUICK, MOTION  until a distinct  AUDIBLE CLICK  is heard  (see Figure I) .

Note: Audible click may not be heard on small needle sizes: visual confirmation is required.



           Figure I

8.  VISUALLY CONFIRM  that needle is fully engaged under lock  (see Figure J) .



                          Figure J

9. Following activation of the needle shield, immediately discard the unit into an approved sharps container.

CAUTION: LIQUID IN GLASS. HANDLE WITH CARE. INSPECT SYRINGE FOR DAMAGE PRIOR TO ASSEMBLY.

6.1 Clinical Trials and Post Marketing Experience

Because clinical trials are conducted under widely varying conditions, adverse reaction rates observed in the clinical trials of a drug cannot be directly compared to rates in the clinical trials of another drug and may not reflect the rates observed in practice.

The following adverse reactions have been identified during post-approval use of phytonadione injectable emulsion. Because these reactions were reported voluntarily from a population of uncertain size, it is not always possible to reliably estimate their frequency or establish a causal relationship to drug exposure.

Cardiac Disorders: Tachycardia, hypotension.

General disorders and administration site conditions: Generalized flushing; pain, swelling and tenderness at injection site.

Hepatobiliary Disorders: Hyperbilirubinemia.

Immune System Disorders: Fatal hypersensitivity reactions, anaphylactic reactions.

Neurologic: Dysgeusia, dizziness.

Pulmonary: Dyspnea.

Skin and Subcutaneous Tissue Disorders: Erythema, pruritic plaques, scleroderma-like lesions, erythema perstans.

Vascular: Cyanosis.

13.1 Carcinogenesis, Mutagenesis, Impairment of Fertility

Studies of carcinogenicity, genotoxicity or impairment of fertility have not been conducted with phytonadione.

1.2 Prophylaxis and Treatment of Vitamin K Deficiency Bleeding in Neonates

Phytonadione injectable emulsion is indicated for prophylaxis and treatment of vitamin K-deficiency bleeding in neonates.

1.1 Treatment of Hypoprothrombinemia Due to Vitamin K Deficiency Or Interference

Phytonadione injectable emulsion is indicated for the treatment of the following coagulation disorders which are due to faulty formation of factors II, VII, IX and X when caused by vitamin K deficiency or interference with vitamin K activity:

  • Anticoagulant-induced hypoprothrombinemia caused by coumarin or indanedione derivatives.
  • Hypoprothrombinemia due to antibacterial therapy.
  • Hypoprothrombinemia secondary to factors limiting absorption or synthesis of vitamin K, e.g., obstructive jaundice, biliary fistula, sprue, ulcerative colitis, celiac disease, intestinal resection, cystic fibrosis of the pancreas and regional enteritis.
  • Other drug-induced hypoprothrombinemia where it is definitely shown that the result is due to interference with vitamin K metabolism, e.g., salicylates.
2.2 Recommended Dosage for Coagulation Disorders From Vitamin K Deficiency Or Interference

The recommended dosage of phytonadione injectable emulsion is based on whether the hypoprothrombinemia is anticoagulant-induced (e.g., due to coumarin or indanedione derivatives) or non-anticoagulant-induced (e.g., due to antibiotics; salicylates or other drugs; factors limiting absorption or synthesis) as follows:

  • Anticoagulant-Induced Hypoprothrombinemia: Phytonadione injectable emulsion 2.5 mg to 10 mg or more subcutaneously, intramuscularly, or intravenously. Up to 25 mg to 50 mg may be administered as a single-dose.

    Repeated large doses of phytonadione injectable emulsion are not warranted in liver disease if the initial response is unsatisfactory. Failure to respond to phytonadione injectable emulsion may indicate that the condition being treated is inherently unresponsive to phytonadione injectable emulsion.

  • Hypoprothrombinemia Due to Other Causes (Non-Anticoagulation-Induced Hypoprothrombinemia): Phytonadione injectable emulsion 2.5 mg to 25 mg or more intravenously, intramuscularly, or subcutaneously. Up to 50 mg may be administered as a single-dose.

Evaluate INR after 6 hours to 8 hours and repeat dose if INR remains prolonged. Modify subsequent dosage (amount and frequency) based on the INR or clinical condition.

2.3 Recommended Dosage for Prophylaxis and Treatment of Vitamin K Deficiency Bleeding in Neonates

Prophylaxis of Vitamin K-Deficiency Bleeding in Neonates

The recommended dosage of phytonadione injectable emulsion is 0.5 mg to 1 mg within one hour of birth for a single-dose.

Treatment of Vitamin K-Deficiency Bleeding in Neonates

The recommended dosage of phytonadione injectable emulsion is 1 mg given either subcutaneously or intramuscularly. Consider higher doses if the mother has been receiving oral anticoagulants.

A failure to respond (shortening of the INR in 2 hours to 4 hours) may indicate another diagnosis or coagulation disorder.


Structured Label Content

 

Fatal hypersensitivity reactions, including anaphylaxis, have occurred during and immediately after intravenous and intramuscular injection of phytonadione injectable emulsion. Reactions have occurred despite dilution to avoid rapid intravenous infusion and upon first dose. Avoid the intravenous and intramuscular routes of administration unless the subcutaneous route is not feasible and the serious risk is justified [ see Warnings and Precautions  (5.1) ].

User Guide (USER GUIDE)

Phytonadione Injectable Emulsion, USP

1 mg/0.5 mL

NOTE: USE ASEPTIC TECHNIQUE

Do not remove from Package or do not assemble until ready to use.

CAUTION: The syringe may not be compatible with Luer-activated valve (LAV) connectors that have internal pin designs, such as LAVs with CLAVE design.

Package Contents:

  • A Pre-filled Glass Syringe containing Phytonadione Injectable Emulsion
  • A SURGUARD® 3 SAFETY HYPODERMIC NEEDLE

Syringe Assembly Directions and Steps for Administration:

1. Remove the Phytonadione Injectable Emulsion tray from carton. Open the tray and take out prefilled glass syringe (see Figure A).

 

Figure A

2. Remove the prefilled syringe cap by unscrewing it counter-clockwise (see Figure B).

 

Figure B

3. Open the needle package by using both thumbs to pull apart the packaging (see Figure C). Remove the needle from the package. 

 

Figure C

4. Attach the needle with the needle cap to the syringe by turning clockwise until it cannot twist any further (see Figure D). Do not remove the needle cap.

Pull back the needle safety shield (see Figure E).

 

Figure D

Figure E

 

5. Carefully remove needle cap from the needle by pulling straight off (see Figure F) and throw it away in a sharp disposal container. Make sure the needle does not touch anything before the injection.

 

Figure F

 

6. Hold the syringe at eye level with the needle pointing upwards.

Check to see air bubble. Remove it by tapping the side of the syringe with your finger until it rise towards the tip (see Figure G).

Then, slowly push the plunger up until a small amount of liquid drips from the needle (see Figure H).

 

Figure G

Figure H

 

7. After injection, position shield in preparation for device activation: Using a one-handed technique, push the tab forward with your finger or thumb so that the shield is less than 90 degrees from the needle (see Figure I).

NOTE: Keep your finger or thumb behind the tab at all times.

 

Figure I

 

8. Activate shield: Position the shield approximately 45 degrees to flat surface. Press down with a GENTLE, QUICK, MOTION until a distinct AUDIBLE CLICK is heard (see Figure J).

Note: Audible click may not be heard on small needle sizes: visual confirmation is required.

 

Figure J

 

9. VISUALLY CONFIRM that needle is fully engaged under lock (see Figure K).

 

Figure K

10. Following activation of the needle shield, immediately discard the unit into an approved sharps container (see Figure L).

 

Figure L

CAUTION: LIQUID IN GLASS. HANDLE WITH CARE. INSPECT SYRINGE FOR DAMAGE PRIOR TO ASSEMBLY.

For more information, go to www.amneal.com or call Amneal Pharmaceuticals LLC at 1-877-835-5472.

Manufactured by:

Amneal Pharmaceuticals Pvt. Ltd.

Ahmedabad 382213, INDIA

Distributed by:

Amneal Pharmaceuticals LLC

Bridgewater, NJ 08807

Rev. 10-2025-02

10 Overdosage (10 OVERDOSAGE)

Hemolysis, jaundice and hyperbilirubinemia in newborns, particularly in premature infants, may result from phytonadione injectable emulsion overdose.

8.1 Pregnancy

Risk Summary

If phytonadione is needed during pregnancy, consider using a preservative-free formulation.

Published studies with the use of phytonadione during pregnancy have not reported a clear association with phytonadione and adverse developmental outcomes (see Data). There are maternal and fetal risks associated with vitamin K deficiency during pregnancy (see Clinical Considerations). Animal reproduction studies have not been conducted with phytonadione.

The estimated background risk for the indicated population is unknown. All pregnancies have a background risk of birth defect, loss, or other adverse outcomes. In the U.S. general population, the estimated background risk of major birth defects and miscarriage in clinically recognized pregnancies is 2% to 4% and 15% to 20%, respectively.

Clinical Considerations

Disease-associated maternal and/or embryo/fetal risk

Pregnant women with vitamin K deficiency hypoprothrombinemia may be at an increased risk for bleeding diatheses during pregnancy and hemorrhagic events at delivery. Subclinical maternal vitamin K deficiency during pregnancy has been implicated in rare cases of fetal intracranial hemorrhage.

Data

Human Data

Phytonadione has been measured in cord blood of infants whose mothers were treated with phytonadione during pregnancy in concentrations lower than seen in maternal plasma. Administration of vitamin K1 to pregnant women shortly before delivery increased both maternal and cord blood concentrations. Published data do not report a clear association with phytonadione and adverse maternal or fetal outcomes when used during pregnancy. However, these studies cannot definitively establish the absence of any risk because of methodologic limitations including small sample size and lack of blinding.

Animal Data

In pregnant rats receiving vitamin K1 orally, fetal plasma and liver concentrations increased following administration, supporting placental transfer.

11 Description (11 DESCRIPTION)

Phytonadione, USP is a vitamin K replacement, which is a clear, yellow to amber, very viscous liquid. It is soluble in dehydrated alcohol, in benzene, in chloroform, in ether and in vegetable oils; slightly soluble in alcohol and insoluble in water. It has a molecular weight of 450.70 g/mol.

Phytonadione is 2-Methyl-3-(3,7,11,15-tetramethylhexadec-2-en-1-yl)naphthalene-1,4-dione. Its molecular formula is C31H46O2 and its molecular structure is:

Phytonadione Injectable Emulsion, USP is a sterile, clear yellow color solution of vitamin K1, with a pH of 3.5 to 7.0, available for injection by the intravenous, intramuscular and subcutaneous routes. Phytonadione injectable emulsion, USP is available in 1 mg (1 mg/0.5 mL) single-dose prefilled glass syringe.

Each 0.5 mL of Phytonadione Injectable Emulsion, USP contains:

Active:

Phytonadione, USP (Vitamin K1)………………1 mg

Inactive:

Polysorbate 80 …………………………10 mg

Propylene glycol ………………………10.4 mg

Sodium acetate anhydrous.…………..…0.17 mg

Glacial acetic acid .………….….….......0.00002 mL

Water for injection.….…………………q.s. to 0.5 mL

Additional glacial acetic acid or sodium acetate anhydrous may have been added to adjust pH to meet USP limits of 3.5 to 7.0.

8.2 lactation (8.2 Lactation)

Risk Summary

If available, preservative-free phytonadione injectable emulsion is recommended when phytonadione injectable emulsion is needed during lactation [see Use in Specific Populations  (8.4) ].

Phytonadione is present in breastmilk. There are no data on the effects of phytonadione injectable emulsion on the breastfed child or on milk production. The developmental and health benefits of breastfeeding should be considered along with the clinical need for phytonadione injectable emulsion and any potential adverse effects on the breastfed child from phytonadione injectable emulsion or from the underlying maternal condition.

8.4 Pediatric Use

The safety and effectiveness of phytonadione injectable emulsion for prophylaxis and treatment of vitamin K deficiency have been established in neonates. Use of phytonadione injection for prophylaxis and treatment of vitamin K deficiency is based on published clinical studies.

4 Contraindications (4 CONTRAINDICATIONS)

Hypersensitivity to phytonadione or any other component of this medication [see Warnings and Precautions (5.1)].

6 Adverse Reactions (6 ADVERSE REACTIONS)

The following serious adverse reactions are described elsewhere in the labeling:

7 Drug Interactions (7 DRUG INTERACTIONS)

Anticoagulants

Phytonadione injectable emulsion may induce temporary resistance to prothrombin-depressing anticoagulants, especially when larger doses of phytonadione injectable emulsion are used. Should this occur, higher doses of anticoagulant therapy may be needed when resuming anticoagulant therapy, or a change in therapy to a different class of anticoagulant may be necessary (i.e., heparin sodium).

Phytonadione injectable emulsion does not affect the anticoagulant action of heparin.

12.2 Pharmacodynamics

The action of the aqueous dispersion, when administered intravenously, is generally detectable within an hour or two and hemorrhage is usually controlled within 3 hours to 6 hours. A normal INR may often be obtained in 12 hours to 14 hours.

12.3 Pharmacokinetics

Absorption:

Phytonadione is readily absorbed following intramuscular administration.

Distribution:

After absorption, phytonadione is initially concentrated in the liver, but the concentration declines rapidly. Very little vitamin K accumulates in tissues.

Elimination:

Little is known about the metabolic fate of vitamin K. Almost no free unmetabolized vitamin K appears in bile or urine.

1 Indications and Usage (1 INDICATIONS AND USAGE)

Phytonadione injectable emulsion is a vitamin K replacement indicated for the treatment of the following coagulation disorders which are due to faulty formation of factors II, VII, IX and X when caused by vitamin K deficiency or interference with vitamin K activity.

  • Anticoagulant-induced hypoprothrombinemia deficiency caused by coumarin or indanedione derivatives. (1.1)
  • Hypoprothrombinemia due to antibacterial therapy. (1.1)
  • Hypoprothrombinemia secondary to factors limiting absorption or synthesis of vitamin K, e.g., obstructive jaundice, biliary fistula, sprue, ulcerative colitis, celiac disease, intestinal resection, cystic fibrosis of the pancreas and regional enteritis. (1.1)
  • Other drug-induced hypoprothrombinemia where it is definitely shown that the result is due to interference with vitamin K metabolism, e.g., salicylates. (1.1)

Phytonadione injectable emulsion is indicated for prophylaxis and treatment of vitamin K-deficiency bleeding in neonates. (1.2)

5.3 Cutaneous Reactions

Parenteral administration of vitamin K replacements (including phytonadione injectable emulsion) may cause cutaneous reactions. Reactions have included eczematous reactions, scleroderma-like patches, urticaria and delayed-type hypersensitivity reactions. Time of onset ranged from 1 day to a year after parenteral administration. Discontinue phytonadione injectable emulsion for skin reactions and institute medical management.

Principal Display Panel (PRINCIPAL DISPLAY PANEL)

NDC 70121-1682-1

Phytonadione Injectable Emulsion USP, 1 mg/0.5 mL

0.5 mL Prefilled Syringe Label

Rx only

Amneal Pharmaceuticals LLC

NDC 70121-1682-1

Phytonadione Injectable Emulsion USP, 1 mg/0.5 mL

0.5 mL Tray Label

Rx only

Amneal Pharmaceuticals LLC

NDC 70121-1682-7

Phytonadione Injectable Emulsion USP, 1 mg/0.5 mL

10 x 0.5 mL Carton Label

Rx only

Amneal Pharmaceuticals LLC

12.1 Mechanism of Action

Phytonadione injectable emulsion aqueous colloidal solution of vitamin K1 for parenteral injection, possesses the same type and degree of activity as does naturally-occurring vitamin K, which is necessary for the production via the liver of active prothrombin (factor II), proconvertin (factor VII), plasma thromboplastin component (factor IX) and Stuart factor (factor X). Vitamin K is an essential cofactor for a microsomal enzyme that catalyzes the post-translational carboxylation of multiple, specific, peptide-bound glutamic acid residues in inactive hepatic precursors of factors II, VII, IX and X. The resulting gamma-carboxy-glutamic acid residues convert the precursors into active coagulation factors that are subsequently secreted by liver cells into the blood.

In normal animals and humans, phytonadione is virtually devoid of activity. However, in animals and humans deficient in vitamin K, the pharmacological action of vitamin K is related to its normal physiological function, that is, to promote the hepatic biosynthesis of vitamin K dependent clotting factors.

2.1 Dosing Considerations

Whenever possible, administer phytonadione injectable emulsion by the subcutaneous route [see Boxed Warning ]. When intravenous administration is unavoidable, inject the drug very slowly, not exceeding 1 mg per minute [see Warnings  and Precautions (5.1) ].

Monitor international normalized ratio (INR) regularly and as clinical conditions indicate. Use the lowest effective dose of phytonadione injectable emulsion.

The coagulant effects of phytonadione injectable emulsion are not immediate; improvement of INR may take 1 hour to 8 hours. Interim use of whole blood or component therapy may also be necessary if bleeding is severe.

When phytonadione injectable emulsion is used to correct excessive anticoagulant-induced hypoprothrombinemia, anticoagulant therapy still being indicated, the patient is again faced with the clotting hazards existing prior to starting the anticoagulant therapy. Phytonadione is not a clotting agent, but overzealous therapy with phytonadione injectable emulsion may restore conditions which originally permitted thromboembolic phenomena. Dosage should be kept as low as possible and INR should be checked regularly as clinical conditions indicate.

5 Warnings and Precautions (5 WARNINGS AND PRECAUTIONS)
  • Cutaneous Reactions: May occur with parenteral use. Discontinue drug and manage medically. (5.3)

 

2 Dosage and Administration (2 DOSAGE AND ADMINISTRATION)
  • Administer phytonadione injectable emulsion by the subcutaneous route, whenever possible. (2.1)
  • When intravenous administration is unavoidable, inject the drug very slowly, not exceeding 1 mg per minute. (2.1)

 

2.4 Directions for Dilution

CAUTION: The syringe may not be compatible with Luer-activated valve (LAV) connectors that have internal pin designs, such as LAVs with CLAVE design.

Dilute phytonadione injectable emulsion with 0.9% Sodium Chloride Injection, 5% Dextrose Injection, or 5% Dextrose and Sodium Chloride Injection.

When diluted, start administration of phytonadione injectable emulsion immediately after dilution.

Discard unused portions of diluted solution as well as unused contents of the syringe.

Protect phytonadione injectable emulsion from light at all times.

Parenteral drug products should be inspected visually for particulate matter and discoloration prior to administration, whenever solution and container permit.

3 Dosage Forms and Strengths (3 DOSAGE FORMS AND STRENGTHS)

Injection: 1 mg/0.5 mL in a single-dose Pre-Filled Glass Syringe.

8 Use in Specific Populations (8 USE IN SPECIFIC POPULATIONS)
  • Pregnancy: If available, use the preservative-free formulation in pregnant women. (8.1)
  • Lactation: If available, use the preservative-free formulation in lactating women. (8.2)
  • Pediatric Use: The safety and effectiveness of phytonadione injectable emulsion in pediatric patients from 6 months to 17 years have not been established. (8.4)

 

5.1 Hypersensitivity Reactions

Fatal and severe hypersensitivity reactions, including anaphylaxis, have occurred with intravenous or intramuscular administration of phytonadione injectable emulsion. Reactions have occurred despite dilution to avoid rapid intravenous infusion and upon first dose. These reactions have included shock, cardiorespiratory arrest, flushing, diaphoresis, chest pain, tachycardia, cyanosis, weakness and dyspnea. Administer phytonadione injectable emulsion subcutaneously whenever feasible. Avoid the intravenous and intramuscular routes of administration unless the subcutaneous route is not feasible and the serious risk is justified [see Dosage and Administration (2.1)].

17 Patient Counseling Information (17 PATIENT COUNSELING INFORMATION)

Inform the patient of the following important risks of phytonadione injectable emulsion:

Serious Hypersensitivity Reactions

Advise the patient and caregivers to immediately report signs of hypersensitivity after receiving phytonadione injectable emulsion [see Warnings and Precautions (5.1)].

Cutaneous Reactions

Advise the patient and caregivers to report the occurrence of new rashes after receiving phytonadione injectable emulsion. These reactions may be delayed for up to a year after treatment [see Warnings and Precautions (5.3)].

Manufactured by:

Amneal Pharmaceuticals Pvt. Ltd.

Ahmedabad 382213, INDIA

Distributed by:

Amneal Pharmaceuticals LLC

Bridgewater, NJ 08807

Rev. 11-2025-03

16 How Supplied/storage and Handling (16 HOW SUPPLIED/STORAGE AND HANDLING)

Phytonadione Injectable Emulsion USP, 1 mg/0.5 mL is available as clear yellow color, solution filled in prefilled glass syringe with SRC tip cap, assembled with grey plunger stopper and natural plunger rod. It is supplied in carton containing ten plastic trays, each having one single-dose prefilled glass syringes and one, SurGuard® 3 safety hypodermic 27 G. x 1/2” needle with the following presentations:

Unit of Sale

Strength

Each

NDC 70121-1682-7

(Carton of 10)

1 mg/0.5 mL

NDC 70121-1682-1

(0.5 mL prefilled syringe)

Store at 20° to 25°C (68° to 77°F); excursions permitted between 15° to 30°C (59° to 86°F) [see USP Controlled Room Temperature].

Protect phytonadione injectable emulsion from light. Store container in closed original carton until contents have been used.

Syringe Assembly Directions:

See User Guide

USE ASEPTIC TECHNIQUE

Do not remove from carton or assemble until ready to use.

CAUTION: The syringe may not be compatible with Luer-activated valve (LAV) connectors that have internal pin designs, such as LAVs with CLAVE design.

1. Remove the prefilled syringe cap by unscrewing it counter-clockwise (see Figure A).



                   Figure A

2. Open the needle package by using both thumbs to pull apart the packaging (see Figure B). Remove the needle from the package.



                      Figure B

3.  Attach the needle with the needle cap to the syringe by turning clockwise until it cannot twist any further  (see Figure C) . Do not remove the needle cap.



                     Figure C

Pull back the needle safety shield  (see Figure D) .



                 Figure D

4.  Carefully remove needle cap from the needle by pulling straight off  (see Figure E)  and throw it away in a sharp disposal container. Make sure the needle does not touch anything before the injection.



                 Figure E

5.  Hold the syringe at eye level with the needle pointing upwards. Check to see air bubble. Remove it by tapping the side of the syringe with your finger until it rise towards the tip  (see Figure F) . Then, slowly push the plunger up until a small amount of liquid drips from the needle  (see Figure G) .



           Figure F 



        Figure G

6. After injection, position shield in preparation for device activation: Using a one-handed technique, push the tab forward with your finger or thumb so that the shield is less than 90 degrees from the needle  (see Figure H) .

NOTE: Keep your finger or thumb behind the tab at all times.



               Figure H

7.  Activate shield: Position the shield approximately 45 degrees to flat surface. Press down with a  GENTLE, QUICK, MOTION  until a distinct  AUDIBLE CLICK  is heard  (see Figure I) .

Note: Audible click may not be heard on small needle sizes: visual confirmation is required.



           Figure I

8.  VISUALLY CONFIRM  that needle is fully engaged under lock  (see Figure J) .



                          Figure J

9. Following activation of the needle shield, immediately discard the unit into an approved sharps container.

CAUTION: LIQUID IN GLASS. HANDLE WITH CARE. INSPECT SYRINGE FOR DAMAGE PRIOR TO ASSEMBLY.

6.1 Clinical Trials and Post Marketing Experience (6.1 Clinical Trials and Post-Marketing Experience)

Because clinical trials are conducted under widely varying conditions, adverse reaction rates observed in the clinical trials of a drug cannot be directly compared to rates in the clinical trials of another drug and may not reflect the rates observed in practice.

The following adverse reactions have been identified during post-approval use of phytonadione injectable emulsion. Because these reactions were reported voluntarily from a population of uncertain size, it is not always possible to reliably estimate their frequency or establish a causal relationship to drug exposure.

Cardiac Disorders: Tachycardia, hypotension.

General disorders and administration site conditions: Generalized flushing; pain, swelling and tenderness at injection site.

Hepatobiliary Disorders: Hyperbilirubinemia.

Immune System Disorders: Fatal hypersensitivity reactions, anaphylactic reactions.

Neurologic: Dysgeusia, dizziness.

Pulmonary: Dyspnea.

Skin and Subcutaneous Tissue Disorders: Erythema, pruritic plaques, scleroderma-like lesions, erythema perstans.

Vascular: Cyanosis.

13.1 Carcinogenesis, Mutagenesis, Impairment of Fertility

Studies of carcinogenicity, genotoxicity or impairment of fertility have not been conducted with phytonadione.

1.2 Prophylaxis and Treatment of Vitamin K Deficiency Bleeding in Neonates (1.2 Prophylaxis and Treatment of Vitamin K-Deficiency Bleeding in Neonates)

Phytonadione injectable emulsion is indicated for prophylaxis and treatment of vitamin K-deficiency bleeding in neonates.

1.1 Treatment of Hypoprothrombinemia Due to Vitamin K Deficiency Or Interference (1.1 Treatment of Hypoprothrombinemia Due to Vitamin K Deficiency or Interference)

Phytonadione injectable emulsion is indicated for the treatment of the following coagulation disorders which are due to faulty formation of factors II, VII, IX and X when caused by vitamin K deficiency or interference with vitamin K activity:

  • Anticoagulant-induced hypoprothrombinemia caused by coumarin or indanedione derivatives.
  • Hypoprothrombinemia due to antibacterial therapy.
  • Hypoprothrombinemia secondary to factors limiting absorption or synthesis of vitamin K, e.g., obstructive jaundice, biliary fistula, sprue, ulcerative colitis, celiac disease, intestinal resection, cystic fibrosis of the pancreas and regional enteritis.
  • Other drug-induced hypoprothrombinemia where it is definitely shown that the result is due to interference with vitamin K metabolism, e.g., salicylates.
2.2 Recommended Dosage for Coagulation Disorders From Vitamin K Deficiency Or Interference (2.2 Recommended Dosage for Coagulation Disorders from Vitamin K Deficiency or Interference)

The recommended dosage of phytonadione injectable emulsion is based on whether the hypoprothrombinemia is anticoagulant-induced (e.g., due to coumarin or indanedione derivatives) or non-anticoagulant-induced (e.g., due to antibiotics; salicylates or other drugs; factors limiting absorption or synthesis) as follows:

  • Anticoagulant-Induced Hypoprothrombinemia: Phytonadione injectable emulsion 2.5 mg to 10 mg or more subcutaneously, intramuscularly, or intravenously. Up to 25 mg to 50 mg may be administered as a single-dose.

    Repeated large doses of phytonadione injectable emulsion are not warranted in liver disease if the initial response is unsatisfactory. Failure to respond to phytonadione injectable emulsion may indicate that the condition being treated is inherently unresponsive to phytonadione injectable emulsion.

  • Hypoprothrombinemia Due to Other Causes (Non-Anticoagulation-Induced Hypoprothrombinemia): Phytonadione injectable emulsion 2.5 mg to 25 mg or more intravenously, intramuscularly, or subcutaneously. Up to 50 mg may be administered as a single-dose.

Evaluate INR after 6 hours to 8 hours and repeat dose if INR remains prolonged. Modify subsequent dosage (amount and frequency) based on the INR or clinical condition.

2.3 Recommended Dosage for Prophylaxis and Treatment of Vitamin K Deficiency Bleeding in Neonates

Prophylaxis of Vitamin K-Deficiency Bleeding in Neonates

The recommended dosage of phytonadione injectable emulsion is 0.5 mg to 1 mg within one hour of birth for a single-dose.

Treatment of Vitamin K-Deficiency Bleeding in Neonates

The recommended dosage of phytonadione injectable emulsion is 1 mg given either subcutaneously or intramuscularly. Consider higher doses if the mother has been receiving oral anticoagulants.

A failure to respond (shortening of the INR in 2 hours to 4 hours) may indicate another diagnosis or coagulation disorder.


Advanced Ingredient Data


Raw Label Data

All Sections (JSON)