These Highlights Do Not Include All The Information Needed To Use Phenylephrine Hydrochloride Ophthalmic Solution, Usp Safely And Effectively. See Full Prescribing Information For Phenylephrine Hydrochloride Ophthalmic Solution, Usp.

These Highlights Do Not Include All The Information Needed To Use Phenylephrine Hydrochloride Ophthalmic Solution, Usp Safely And Effectively. See Full Prescribing Information For Phenylephrine Hydrochloride Ophthalmic Solution, Usp.
SPL v7
SPL
SPL Set ID 2ba80bb2-24f3-4bce-bc04-a6ff4c54fefb
Route
OPHTHALMIC
Published
Effective Date 2025-04-01
Document Type 34391-3 Human Prescription Drug Label

Drug Facts

Composition & Product

Active Ingredients
Phenylephrine (25 mg)
Inactive Ingredients
Sodium Phosphate, Monobasic, Anhydrous Sodium Phosphate, Dibasic, Anhydrous Sodium Hydroxide Phosphoric Acid Water Benzalkonium Chloride

Identifiers & Packaging

Marketing Status
ANDA Active Since 2025-09-17

Description

Phenylephrine Hydrochloride Ophthalmic Solution, USP 2.5% and 10%, is indicated to dilate the pupil.

Indications and Usage

Phenylephrine Hydrochloride Ophthalmic Solution, USP 2.5% and 10%, is indicated to dilate the pupil.

Dosage and Administration

For patients 1 year of age and older: ( 2.1 )  • Apply one drop of Phenylephrine Hydrochloride Ophthalmic Solution (2.5% or 10% strength) to conjunctival fornix at 3 to 5 minute intervals up to a maximum of 3 drops per eye.  • To obtain a greater degree of mydriasis, use 10% strength  For pediatric patients less than 1 year of age: ( 2.2 )  • Instill one drop of 2.5% strength to conjunctival fornix at 3 to 5 minute intervals up to a maximum of 3 drops per eye

Warnings and Precautions

•  Not for injection : Topical ophthalmic use only ( 5.1 ) •  Serious cardiovascular reactions with 10% strength : Reactions have included ventricular arrhythmias and some have been fatal. Monitor blood pressure in patients with cardiovascular disease ( 5.2 ).  •  Significant elevations in blood pressure : Caution in pediatric patients less than 5 years of age, and in patients with cardiovascular disease or hyperthyroidism. In patients at high risk, monitor blood pressure post treatment ( 5.3 ).  •  Rebound miosis : Reported one day after instillation ( 5.4 )

Contraindications

The 10% strength is contraindicated in: • Patients with hypertension, or thyrotoxicosis ( 4.1 ) • Pediatric patients less than 1 year of age due to increased risk of systemic toxicity ( 4.2 )

Adverse Reactions

Eye pain and stinging on instillation, temporary blurred vision and photophobia, and conjunctival sensitization may occur.

Drug Interactions

•  Atropine-like drugs : May exaggerate the adrenergic pressor response ( 7.1 ) •  Potent inhalation anesthetic agents : May potentiate cardiovascular depressant effects ( 7.1 )

Storage and Handling

Phenylephrine Hydrochloride Ophthalmic Solution, USP 2.5% is supplied as a sterile, aqueous, topical ophthalmic solution in an opaque, white low density polyethylene (LDPE) bottle with a natural LDPE dropper tip and red cap in the following sizes: NDC 68083-593-01                                      2 mL in 5 mL bottle NDC 68083-680-01                                      15 mL in 15 mL bottle Phenylephrine Hydrochloride Ophthalmic Solution, USP 10% is supplied as a sterile, aqueous, topical ophthalmic solution in an opaque, white low density polyethylene (LDPE) bottle with a natural LDPE dropper tip and red cap in the following sizes: NDC 68083-594-01                                      5 mL in 10 mL Bottle After opening, Phenylephrine Hydrochloride Ophthalmic Solution, USP can be used until the expiration date on the bottle. Storage : Store at 20° to 25°C (68° to 77°F). Keep container tightly closed. Protect from light and excessive heat. Do not use if solution is brown or contains precipitate.

How Supplied

Phenylephrine Hydrochloride Ophthalmic Solution, USP 2.5% is supplied as a sterile, aqueous, topical ophthalmic solution in an opaque, white low density polyethylene (LDPE) bottle with a natural LDPE dropper tip and red cap in the following sizes: NDC 68083-593-01                                      2 mL in 5 mL bottle NDC 68083-680-01                                      15 mL in 15 mL bottle Phenylephrine Hydrochloride Ophthalmic Solution, USP 10% is supplied as a sterile, aqueous, topical ophthalmic solution in an opaque, white low density polyethylene (LDPE) bottle with a natural LDPE dropper tip and red cap in the following sizes: NDC 68083-594-01                                      5 mL in 10 mL Bottle After opening, Phenylephrine Hydrochloride Ophthalmic Solution, USP can be used until the expiration date on the bottle. Storage : Store at 20° to 25°C (68° to 77°F). Keep container tightly closed. Protect from light and excessive heat. Do not use if solution is brown or contains precipitate.


Medication Information

Warnings and Precautions

•  Not for injection : Topical ophthalmic use only ( 5.1 ) •  Serious cardiovascular reactions with 10% strength : Reactions have included ventricular arrhythmias and some have been fatal. Monitor blood pressure in patients with cardiovascular disease ( 5.2 ).  •  Significant elevations in blood pressure : Caution in pediatric patients less than 5 years of age, and in patients with cardiovascular disease or hyperthyroidism. In patients at high risk, monitor blood pressure post treatment ( 5.3 ).  •  Rebound miosis : Reported one day after instillation ( 5.4 )

Indications and Usage

Phenylephrine Hydrochloride Ophthalmic Solution, USP 2.5% and 10%, is indicated to dilate the pupil.

Dosage and Administration

For patients 1 year of age and older: ( 2.1 )  • Apply one drop of Phenylephrine Hydrochloride Ophthalmic Solution (2.5% or 10% strength) to conjunctival fornix at 3 to 5 minute intervals up to a maximum of 3 drops per eye.  • To obtain a greater degree of mydriasis, use 10% strength  For pediatric patients less than 1 year of age: ( 2.2 )  • Instill one drop of 2.5% strength to conjunctival fornix at 3 to 5 minute intervals up to a maximum of 3 drops per eye

Contraindications

The 10% strength is contraindicated in: • Patients with hypertension, or thyrotoxicosis ( 4.1 ) • Pediatric patients less than 1 year of age due to increased risk of systemic toxicity ( 4.2 )

Adverse Reactions

Eye pain and stinging on instillation, temporary blurred vision and photophobia, and conjunctival sensitization may occur.

Drug Interactions

•  Atropine-like drugs : May exaggerate the adrenergic pressor response ( 7.1 ) •  Potent inhalation anesthetic agents : May potentiate cardiovascular depressant effects ( 7.1 )

Storage and Handling

Phenylephrine Hydrochloride Ophthalmic Solution, USP 2.5% is supplied as a sterile, aqueous, topical ophthalmic solution in an opaque, white low density polyethylene (LDPE) bottle with a natural LDPE dropper tip and red cap in the following sizes: NDC 68083-593-01                                      2 mL in 5 mL bottle NDC 68083-680-01                                      15 mL in 15 mL bottle Phenylephrine Hydrochloride Ophthalmic Solution, USP 10% is supplied as a sterile, aqueous, topical ophthalmic solution in an opaque, white low density polyethylene (LDPE) bottle with a natural LDPE dropper tip and red cap in the following sizes: NDC 68083-594-01                                      5 mL in 10 mL Bottle After opening, Phenylephrine Hydrochloride Ophthalmic Solution, USP can be used until the expiration date on the bottle. Storage : Store at 20° to 25°C (68° to 77°F). Keep container tightly closed. Protect from light and excessive heat. Do not use if solution is brown or contains precipitate.

How Supplied

Phenylephrine Hydrochloride Ophthalmic Solution, USP 2.5% is supplied as a sterile, aqueous, topical ophthalmic solution in an opaque, white low density polyethylene (LDPE) bottle with a natural LDPE dropper tip and red cap in the following sizes: NDC 68083-593-01                                      2 mL in 5 mL bottle NDC 68083-680-01                                      15 mL in 15 mL bottle Phenylephrine Hydrochloride Ophthalmic Solution, USP 10% is supplied as a sterile, aqueous, topical ophthalmic solution in an opaque, white low density polyethylene (LDPE) bottle with a natural LDPE dropper tip and red cap in the following sizes: NDC 68083-594-01                                      5 mL in 10 mL Bottle After opening, Phenylephrine Hydrochloride Ophthalmic Solution, USP can be used until the expiration date on the bottle. Storage : Store at 20° to 25°C (68° to 77°F). Keep container tightly closed. Protect from light and excessive heat. Do not use if solution is brown or contains precipitate.

Description

Phenylephrine Hydrochloride Ophthalmic Solution, USP 2.5% and 10%, is indicated to dilate the pupil.

10 Overdosage


Overdosage of phenylephrine may cause a rapid rise in blood pressure. It may also cause headache, anxiety, nausea, and vomiting, and ventricular arrhythmias. Prompt injection of a rapidly acting alpha-adrenergic blocking agent such as phentolamine has been recommended.

8.1 Pregnancy


Animal reproduction studies have not been conducted with topical phenylephrine. It is also not known whether phenylephrine can cause fetal harm when administered to a pregnant woman or can affect reproduction capacity. Phenylephrine hydrochloride should be given to a pregnant woman only if clearly needed.

11 Description


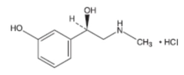
Phenylephrine Hydrochloride Ophthalmic Solution, USP is a sterile, clear, colorless to yellow solution and free of foreign matter, topical α-adrenergic agonist for ophthalmic use. The active ingredient is represented by the chemical structure







Chemical Name: (R)-3-hydroxy-α[(methylamino)methyl] benzenemethanol hydrochloride.



Molecular Formula: C9H13NO2. HCl



Molecular Weight: 203.67 g/mol



Each mL of Phenylephrine Hydrochloride Ophthalmic Solution, USP 2.5% contains: ACTIVE: Phenylephrine Hydrochloride 25 mg (2.5%); INACTIVES: Sodium Phosphate Monobasic Anhydrous, Sodium Phosphate Dibasic Anhydrous, Water for Injection. Phosphoric Acid and/or Sodium Hydroxide may be added to adjust pH (4.0 to 7.0). The solution has a tonicity of 340 mOsm/kg; PRESERVATIVE: Benzalkonium Chloride 0.1 mg (0.01%).



Each mL of Phenylephrine Hydrochloride Ophthalmic Solution, USP 10% contains: ACTIVE: Phenylephrine Hydrochloride 100 mg (10%); INACTIVES: Sodium Phosphate Monobasic Anhydrous, Sodium Phosphate Dibasic Anhydrous, Water for Injection. Phosphoric Acid and/or Sodium Hydroxide may be added to adjust pH (4.0 to 7.0). The solution has a tonicity of 985 mOsm/kg; PRESERVATIVE: Benzalkonium Chloride 0.1 mg (0.01%).

8.4 Pediatric Use


Phenylephrine hydrochloride ophthalmic solution 10% is contraindicated in pediatric patients less than 1 year of age [See Contraindications (4.2)].

8.5 Geriatric Use


No overall differences in safety and effectiveness have been observed between elderly and younger adult patients.

5.4 Rebound Miosis


Rebound miosis has been reported one day after receiving phenylephrine hydrochloride ophthalmic solution, and re-instillation of the drug produced a lesser mydriatic effect.

14 Clinical Studies


Pupillary dilation following topical administration of phenylephrine hydrochloride ophthalmic solution has been demonstrated in controlled clinical studies in adults and pediatric patients with different levels of iris pigmentation. Pupil movement is generally seen within 15 minutes, maximal mydriasis between 20 to 90 minutes and recovery after 3 to 8 hours. Darker irides tend to dilate slower than lighter irides.

4 Contraindications


The 10% strength is contraindicated in:

• Patients with hypertension, or thyrotoxicosis (4.1)

• Pediatric patients less than 1 year of age due to increased risk of systemic toxicity (4.2)

6 Adverse Reactions


The following serious adverse reactions are described below and elsewhere in the labeling:

• Cardiovascular Effects [See Warnings and Precautions (5.2)]

• Elevation in Blood Pressure [See Warnings and Precautions (5.3)]



The following adverse reactions have been identified following use of phenylephrine hydrochloride ophthalmic solution. Because these reactions are reported voluntarily from a population of uncertain size, it is not always possible to reliably estimate their frequency or establish a causal relationship to drug exposure.

7 Drug Interactions


• Atropine-like drugs: May exaggerate the adrenergic pressor response (7.1)

• Potent inhalation anesthetic agents: May potentiate cardiovascular depressant effects (7.1)

8.3 Nursing Mothers


It is not known whether this drug is excreted in human breast milk. Because many drugs are excreted in human milk, caution should be exercised when phenylephrine hydrochloride ophthalmic solution 2.5% and 10% is administered to a nursing woman.

12.2 Pharmacodynamics


Maximal mydriasis occurs in 20 to 90 minutes with recovery after 3 to 8 hours.



Systemic absorption of sufficient quantities of phenylephrine may lead to systemic α-adrenergic effects, such as rise in blood pressure which may be accompanied by a reflex atropine-sensitive bradycardia.

12.3 Pharmacokinetics


The systemic exposure following topical administration of phenylephrine hydrochloride ophthalmic solution has not been studied. A higher systemic absorption is expected for the 10% solution than the 2.5% solution and when the corneal barrier function is compromised.

1 Indications and Usage


Phenylephrine Hydrochloride Ophthalmic Solution, USP 2.5% and 10%, is indicated to dilate the pupil.

12.1 Mechanism of Action


Phenylephrine hydrochloride is an α-1 adrenergic agonist drug that is used in ophthalmology mainly for its mydriatic effect. After topical application to the conjunctiva, phenylephrine acts directly on α-adrenergic receptors in the eye, producing contraction of the dilator muscle of the pupil and constriction of the arterioles in the conjunctiva.

5 Warnings and Precautions


• Not for injection: Topical ophthalmic use only (5.1)

• Serious cardiovascular reactions with 10% strength: Reactions have included ventricular arrhythmias and some have been fatal. Monitor blood pressure in patients with cardiovascular disease (5.2). 

• Significant elevations in blood pressure: Caution in pediatric patients less than 5 years of age, and in patients with cardiovascular disease or hyperthyroidism. In patients at high risk, monitor blood pressure post treatment (5.3). 

• Rebound miosis: Reported one day after instillation (5.4)

2 Dosage and Administration


For patients 1 year of age and older: (2.1

• Apply one drop of Phenylephrine Hydrochloride Ophthalmic Solution (2.5% or 10% strength) to conjunctival fornix at 3 to 5 minute intervals up to a maximum of 3 drops per eye. 

• To obtain a greater degree of mydriasis, use 10% strength 

For pediatric patients less than 1 year of age: (2.2

• Instill one drop of 2.5% strength to conjunctival fornix at 3 to 5 minute intervals up to a maximum of 3 drops per eye

3 Dosage Forms and Strengths


Phenylephrine hydrochloride ophthalmic solution, USP 2.5% is a clear, colorless to yellow solution and free of foreign matter, sterile topical ophthalmic solution containing phenylephrine hydrochloride 2.5%: each mL contains 25 mg of phenylephrine hydrochloride.



Phenylephrine hydrochloride ophthalmic solution, USP 10% is a clear, colorless to yellow solution and free of foreign matter, sterile topical ophthalmic solution containing phenylephrine hydrochloride 10%.: each mL contains 100 mg of phenylephrine hydrochloride.

5.2 Cardiovascular Reactions


There have been reports of serious cardiovascular reactions, including ventricular arrhythmias and myocardial infarctions, in patients using phenylephrine 10%.  These episodes, some fatal, have usually occurred in patients with pre-existing cardiovascular diseases. Phenylephrine Hydrochloride Ophthalmic Solution, USP 2.5% should be used in these patients.

6.1 Ocular Adverse Reactions


Eye pain and stinging on instillation, temporary blurred vision and photophobia, and conjunctival sensitization may occur.

6.2 Systemic Adverse Reactions


A marked increase in blood pressure has been reported particularly, but not limited to low weight premature neonates, infants and hypertensive patients.

Cardiovascular effects which have been seen primarily in hypertensive patients following topical ocular use of phenylephrine hydrochloride ophthalmic solution 10% include marked increase in blood pressure, syncope, myocardial infarction, tachycardia, arrhythmia and subarachnoid hemorrhage [See Warnings and Precautions (5.2 and 5.3)].

5.1 Topical Ophthalmic Use Only


Phenylephrine hydrochloride ophthalmic solution 2.5% and 10% is not indicated for injection.

5.3 Elevation of Blood Pressure


A significant elevation in blood pressure is not common but has been reported following conjunctival instillation of recommended doses of phenylephrine 10%. The risk is less with phenylephrine 2.5%. Caution should be exercised with the use of phenylephrine 10% in pediatric patients less than 5 years of age and patients with hyperthyroidism, or cardiovascular disease. The post-treatment blood pressure of patients with cardiac and endocrine diseases and any patients who develop symptoms should be carefully monitored.

17 Patient Counseling Information


Advise patients not to touch the dropper tip to any surface as this may contaminate the solution. Inform patients that they may experience sensitivity to light and should protect their eyes in bright illumination while their pupils are dilated.



Manufactured by:

Gland Pharma Limited


Hyderabad-500 043, INDIA



Revised: 12/2024

4.1 Cardiac and Endocrine Disease


Phenylephrine hydrochloride ophthalmic solution 10% is contraindicated in patients with hypertension or thyrotoxicosis. Phenylephrine hydrochloride ophthalmic solution 2.5% should be used in these patients.

2.1 General Dosing Recommendations


In patients 1 year of age or greater, apply one drop of either phenylephrine hydrochloride ophthalmic solution 2.5% or 10% every 3 to 5 minutes to the conjunctival fornix as required up to a maximum of 3 drops per eye per day.



In order to obtain a greater degree of mydriasis, phenylephrine hydrochloride ophthalmic solution 10% may be needed.

16 How Supplied/storage and Handling


Phenylephrine Hydrochloride Ophthalmic Solution, USP 2.5% is supplied as a sterile, aqueous, topical ophthalmic solution in an opaque, white low density polyethylene (LDPE) bottle with a natural LDPE dropper tip and red cap in the following sizes:



NDC 68083-593-01                                      2 mL in 5 mL bottle

NDC 68083-680-01                                      15 mL in 15 mL bottle

Phenylephrine Hydrochloride Ophthalmic Solution, USP 10% is supplied as a sterile, aqueous, topical ophthalmic solution in an opaque, white low density polyethylene (LDPE) bottle with a natural LDPE dropper tip and red cap in the following sizes:



NDC 68083-594-01                                      5 mL in 10 mL Bottle

After opening, Phenylephrine Hydrochloride Ophthalmic Solution, USP can be used until the expiration date on the bottle.





Storage: Store at 20° to 25°C (68° to 77°F).

Keep container tightly closed.

Protect from light and excessive heat.

Do not use if solution is brown or contains precipitate.

Package Label.principal Display Panel

Package-Carton-Label-2-mL

NDC 68083-593-01

Phenylephrine

Hydrochloride

Ophthalmic

Solution, USP

2.5%

For Topical Application

in the Eye.

Not for Injection.

2 mL

Rx only

  

Package-Container-Label-2-mL

NDC 68083-593-01

Phenylephrine

Hydrochloride

Ophthalmic

Solution, USP

2.5%

For Topical Application

in the Eye.

Not for Injection.

2 mL

Rx only





Package-Carton-Label-5-mL

NDC 68083-594-01

Phenylephrine

Hydrochloride

Ophthalmic

Solution, USP

10%

For Topical Application

in the Eye.

Not for Injection.

5 mL

Rx only

  





Package-Container-Label-5-mL

NDC 68083-594-01

Phenylephrine

Hydrochloride

Ophthalmic

Solution, USP

10%

For Topical Application

in the Eye.

Not for Injection.

5 mL

Rx only

Package-Carton-Label-15-mL

NDC 68083-680-01

Phenylephrine

Hydrochloride

Ophthalmic

Solution, USP

2.5%

For Topical Application

in the Eye.

15 mL

Rx only



Package-Container-Label-15-mL

NDC 68083-680-01

Phenylephrine

Hydrochloride

Ophthalmic

Solution, USP

2.5%

For Topical Application in the Eye.

15 mL

Rx only

4.2 Pediatric Patients Less Than 1 Year of Age


Phenylephrine hydrochloride ophthalmic solution 10% is contraindicated in pediatric patients less than 1 year of age due to the increased risk of systemic toxicity. Phenylephrine hydrochloride ophthalmic solution 2.5% should be used in these patients [See Dosage and Administration (2.2)].

7.1 Agents That May Exaggerate Pressor Responses


Concomitant use of phenylephrine and atropine may enhance the pressor effects and induce tachycardia in some patients. Phenylephrine may potentiate the cardiovascular depressant effects of some inhalation anesthetic agents.

2.2 Dosing in Pediatric Patients Less Than 1 Year of Age


In pediatric patients less than 1 year of age, one drop of phenylephrine hydrochloride ophthalmic solution 2.5% should be instilled at 3 to 5 minute intervals up to a maximum of 3 drops per eye.


Structured Label Content

10 Overdosage (10 OVERDOSAGE)


Overdosage of phenylephrine may cause a rapid rise in blood pressure. It may also cause headache, anxiety, nausea, and vomiting, and ventricular arrhythmias. Prompt injection of a rapidly acting alpha-adrenergic blocking agent such as phentolamine has been recommended.

8.1 Pregnancy


Animal reproduction studies have not been conducted with topical phenylephrine. It is also not known whether phenylephrine can cause fetal harm when administered to a pregnant woman or can affect reproduction capacity. Phenylephrine hydrochloride should be given to a pregnant woman only if clearly needed.

11 Description (11 DESCRIPTION)


Phenylephrine Hydrochloride Ophthalmic Solution, USP is a sterile, clear, colorless to yellow solution and free of foreign matter, topical α-adrenergic agonist for ophthalmic use. The active ingredient is represented by the chemical structure







Chemical Name: (R)-3-hydroxy-α[(methylamino)methyl] benzenemethanol hydrochloride.



Molecular Formula: C9H13NO2. HCl



Molecular Weight: 203.67 g/mol



Each mL of Phenylephrine Hydrochloride Ophthalmic Solution, USP 2.5% contains: ACTIVE: Phenylephrine Hydrochloride 25 mg (2.5%); INACTIVES: Sodium Phosphate Monobasic Anhydrous, Sodium Phosphate Dibasic Anhydrous, Water for Injection. Phosphoric Acid and/or Sodium Hydroxide may be added to adjust pH (4.0 to 7.0). The solution has a tonicity of 340 mOsm/kg; PRESERVATIVE: Benzalkonium Chloride 0.1 mg (0.01%).



Each mL of Phenylephrine Hydrochloride Ophthalmic Solution, USP 10% contains: ACTIVE: Phenylephrine Hydrochloride 100 mg (10%); INACTIVES: Sodium Phosphate Monobasic Anhydrous, Sodium Phosphate Dibasic Anhydrous, Water for Injection. Phosphoric Acid and/or Sodium Hydroxide may be added to adjust pH (4.0 to 7.0). The solution has a tonicity of 985 mOsm/kg; PRESERVATIVE: Benzalkonium Chloride 0.1 mg (0.01%).

8.4 Pediatric Use


Phenylephrine hydrochloride ophthalmic solution 10% is contraindicated in pediatric patients less than 1 year of age [See Contraindications (4.2)].

8.5 Geriatric Use


No overall differences in safety and effectiveness have been observed between elderly and younger adult patients.

5.4 Rebound Miosis


Rebound miosis has been reported one day after receiving phenylephrine hydrochloride ophthalmic solution, and re-instillation of the drug produced a lesser mydriatic effect.

14 Clinical Studies (14 CLINICAL STUDIES)


Pupillary dilation following topical administration of phenylephrine hydrochloride ophthalmic solution has been demonstrated in controlled clinical studies in adults and pediatric patients with different levels of iris pigmentation. Pupil movement is generally seen within 15 minutes, maximal mydriasis between 20 to 90 minutes and recovery after 3 to 8 hours. Darker irides tend to dilate slower than lighter irides.

4 Contraindications (4 CONTRAINDICATIONS)


The 10% strength is contraindicated in:

• Patients with hypertension, or thyrotoxicosis (4.1)

• Pediatric patients less than 1 year of age due to increased risk of systemic toxicity (4.2)

6 Adverse Reactions (6 ADVERSE REACTIONS)


The following serious adverse reactions are described below and elsewhere in the labeling:

• Cardiovascular Effects [See Warnings and Precautions (5.2)]

• Elevation in Blood Pressure [See Warnings and Precautions (5.3)]



The following adverse reactions have been identified following use of phenylephrine hydrochloride ophthalmic solution. Because these reactions are reported voluntarily from a population of uncertain size, it is not always possible to reliably estimate their frequency or establish a causal relationship to drug exposure.

7 Drug Interactions (7 DRUG INTERACTIONS)


• Atropine-like drugs: May exaggerate the adrenergic pressor response (7.1)

• Potent inhalation anesthetic agents: May potentiate cardiovascular depressant effects (7.1)

8.3 Nursing Mothers


It is not known whether this drug is excreted in human breast milk. Because many drugs are excreted in human milk, caution should be exercised when phenylephrine hydrochloride ophthalmic solution 2.5% and 10% is administered to a nursing woman.

12.2 Pharmacodynamics


Maximal mydriasis occurs in 20 to 90 minutes with recovery after 3 to 8 hours.



Systemic absorption of sufficient quantities of phenylephrine may lead to systemic α-adrenergic effects, such as rise in blood pressure which may be accompanied by a reflex atropine-sensitive bradycardia.

12.3 Pharmacokinetics


The systemic exposure following topical administration of phenylephrine hydrochloride ophthalmic solution has not been studied. A higher systemic absorption is expected for the 10% solution than the 2.5% solution and when the corneal barrier function is compromised.

1 Indications and Usage (1 INDICATIONS AND USAGE)


Phenylephrine Hydrochloride Ophthalmic Solution, USP 2.5% and 10%, is indicated to dilate the pupil.

12.1 Mechanism of Action


Phenylephrine hydrochloride is an α-1 adrenergic agonist drug that is used in ophthalmology mainly for its mydriatic effect. After topical application to the conjunctiva, phenylephrine acts directly on α-adrenergic receptors in the eye, producing contraction of the dilator muscle of the pupil and constriction of the arterioles in the conjunctiva.

5 Warnings and Precautions (5 WARNINGS AND PRECAUTIONS)


• Not for injection: Topical ophthalmic use only (5.1)

• Serious cardiovascular reactions with 10% strength: Reactions have included ventricular arrhythmias and some have been fatal. Monitor blood pressure in patients with cardiovascular disease (5.2). 

• Significant elevations in blood pressure: Caution in pediatric patients less than 5 years of age, and in patients with cardiovascular disease or hyperthyroidism. In patients at high risk, monitor blood pressure post treatment (5.3). 

• Rebound miosis: Reported one day after instillation (5.4)

2 Dosage and Administration (2 DOSAGE AND ADMINISTRATION)


For patients 1 year of age and older: (2.1

• Apply one drop of Phenylephrine Hydrochloride Ophthalmic Solution (2.5% or 10% strength) to conjunctival fornix at 3 to 5 minute intervals up to a maximum of 3 drops per eye. 

• To obtain a greater degree of mydriasis, use 10% strength 

For pediatric patients less than 1 year of age: (2.2

• Instill one drop of 2.5% strength to conjunctival fornix at 3 to 5 minute intervals up to a maximum of 3 drops per eye

3 Dosage Forms and Strengths (3 DOSAGE FORMS AND STRENGTHS)


Phenylephrine hydrochloride ophthalmic solution, USP 2.5% is a clear, colorless to yellow solution and free of foreign matter, sterile topical ophthalmic solution containing phenylephrine hydrochloride 2.5%: each mL contains 25 mg of phenylephrine hydrochloride.



Phenylephrine hydrochloride ophthalmic solution, USP 10% is a clear, colorless to yellow solution and free of foreign matter, sterile topical ophthalmic solution containing phenylephrine hydrochloride 10%.: each mL contains 100 mg of phenylephrine hydrochloride.

5.2 Cardiovascular Reactions


There have been reports of serious cardiovascular reactions, including ventricular arrhythmias and myocardial infarctions, in patients using phenylephrine 10%.  These episodes, some fatal, have usually occurred in patients with pre-existing cardiovascular diseases. Phenylephrine Hydrochloride Ophthalmic Solution, USP 2.5% should be used in these patients.

6.1 Ocular Adverse Reactions


Eye pain and stinging on instillation, temporary blurred vision and photophobia, and conjunctival sensitization may occur.

6.2 Systemic Adverse Reactions


A marked increase in blood pressure has been reported particularly, but not limited to low weight premature neonates, infants and hypertensive patients.

Cardiovascular effects which have been seen primarily in hypertensive patients following topical ocular use of phenylephrine hydrochloride ophthalmic solution 10% include marked increase in blood pressure, syncope, myocardial infarction, tachycardia, arrhythmia and subarachnoid hemorrhage [See Warnings and Precautions (5.2 and 5.3)].

5.1 Topical Ophthalmic Use Only


Phenylephrine hydrochloride ophthalmic solution 2.5% and 10% is not indicated for injection.

5.3 Elevation of Blood Pressure


A significant elevation in blood pressure is not common but has been reported following conjunctival instillation of recommended doses of phenylephrine 10%. The risk is less with phenylephrine 2.5%. Caution should be exercised with the use of phenylephrine 10% in pediatric patients less than 5 years of age and patients with hyperthyroidism, or cardiovascular disease. The post-treatment blood pressure of patients with cardiac and endocrine diseases and any patients who develop symptoms should be carefully monitored.

17 Patient Counseling Information (17 PATIENT COUNSELING INFORMATION)


Advise patients not to touch the dropper tip to any surface as this may contaminate the solution. Inform patients that they may experience sensitivity to light and should protect their eyes in bright illumination while their pupils are dilated.



Manufactured by:

Gland Pharma Limited


Hyderabad-500 043, INDIA



Revised: 12/2024

4.1 Cardiac and Endocrine Disease


Phenylephrine hydrochloride ophthalmic solution 10% is contraindicated in patients with hypertension or thyrotoxicosis. Phenylephrine hydrochloride ophthalmic solution 2.5% should be used in these patients.

2.1 General Dosing Recommendations


In patients 1 year of age or greater, apply one drop of either phenylephrine hydrochloride ophthalmic solution 2.5% or 10% every 3 to 5 minutes to the conjunctival fornix as required up to a maximum of 3 drops per eye per day.



In order to obtain a greater degree of mydriasis, phenylephrine hydrochloride ophthalmic solution 10% may be needed.

16 How Supplied/storage and Handling (16 HOW SUPPLIED/STORAGE AND HANDLING)


Phenylephrine Hydrochloride Ophthalmic Solution, USP 2.5% is supplied as a sterile, aqueous, topical ophthalmic solution in an opaque, white low density polyethylene (LDPE) bottle with a natural LDPE dropper tip and red cap in the following sizes:



NDC 68083-593-01                                      2 mL in 5 mL bottle

NDC 68083-680-01                                      15 mL in 15 mL bottle

Phenylephrine Hydrochloride Ophthalmic Solution, USP 10% is supplied as a sterile, aqueous, topical ophthalmic solution in an opaque, white low density polyethylene (LDPE) bottle with a natural LDPE dropper tip and red cap in the following sizes:



NDC 68083-594-01                                      5 mL in 10 mL Bottle

After opening, Phenylephrine Hydrochloride Ophthalmic Solution, USP can be used until the expiration date on the bottle.





Storage: Store at 20° to 25°C (68° to 77°F).

Keep container tightly closed.

Protect from light and excessive heat.

Do not use if solution is brown or contains precipitate.

Package Label.principal Display Panel (PACKAGE LABEL.PRINCIPAL DISPLAY PANEL)

Package-Carton-Label-2-mL

NDC 68083-593-01

Phenylephrine

Hydrochloride

Ophthalmic

Solution, USP

2.5%

For Topical Application

in the Eye.

Not for Injection.

2 mL

Rx only

  

Package-Container-Label-2-mL

NDC 68083-593-01

Phenylephrine

Hydrochloride

Ophthalmic

Solution, USP

2.5%

For Topical Application

in the Eye.

Not for Injection.

2 mL

Rx only





Package-Carton-Label-5-mL

NDC 68083-594-01

Phenylephrine

Hydrochloride

Ophthalmic

Solution, USP

10%

For Topical Application

in the Eye.

Not for Injection.

5 mL

Rx only

  





Package-Container-Label-5-mL

NDC 68083-594-01

Phenylephrine

Hydrochloride

Ophthalmic

Solution, USP

10%

For Topical Application

in the Eye.

Not for Injection.

5 mL

Rx only

Package-Carton-Label-15-mL

NDC 68083-680-01

Phenylephrine

Hydrochloride

Ophthalmic

Solution, USP

2.5%

For Topical Application

in the Eye.

15 mL

Rx only



Package-Container-Label-15-mL

NDC 68083-680-01

Phenylephrine

Hydrochloride

Ophthalmic

Solution, USP

2.5%

For Topical Application in the Eye.

15 mL

Rx only

4.2 Pediatric Patients Less Than 1 Year of Age


Phenylephrine hydrochloride ophthalmic solution 10% is contraindicated in pediatric patients less than 1 year of age due to the increased risk of systemic toxicity. Phenylephrine hydrochloride ophthalmic solution 2.5% should be used in these patients [See Dosage and Administration (2.2)].

7.1 Agents That May Exaggerate Pressor Responses


Concomitant use of phenylephrine and atropine may enhance the pressor effects and induce tachycardia in some patients. Phenylephrine may potentiate the cardiovascular depressant effects of some inhalation anesthetic agents.

2.2 Dosing in Pediatric Patients Less Than 1 Year of Age


In pediatric patients less than 1 year of age, one drop of phenylephrine hydrochloride ophthalmic solution 2.5% should be instilled at 3 to 5 minute intervals up to a maximum of 3 drops per eye.


Advanced Ingredient Data


Raw Label Data

All Sections (JSON)