These Highlights Do Not Include All The Information Needed To Use Auvi-q® Safely And Effectively. See Full Prescribing Information For Auvi-q.

These Highlights Do Not Include All The Information Needed To Use Auvi-q® Safely And Effectively. See Full Prescribing Information For Auvi-q.
SPL v1
SPL
SPL Set ID 296a9023-b5c6-6102-e063-6294a90af87e
Route
INTRAMUSCULAR
Published
Effective Date 2024-08-21
Document Type 34391-3 HUMAN PRESCRIPTION DRUG LABEL

Drug Facts

Composition & Product

Active Ingredients
Epinephrine (1.2 mg)
Inactive Ingredients
Sodium Chloride Sodium Bisulfite Water Hydrochloric Acid

Identifiers & Packaging

Marketing Status
NDA Active Since 2012-11-15

Description

AUVI-Q® is indicated in the emergency treatment of allergic reactions (Type I) including anaphylaxis to stinging insects (e.g., order Hymenoptera, which include bees, wasps, hornets, yellow jackets and fire ants) and biting insects (e.g., triatoma, mosquitoes), allergen immunotherapy, foods, drugs, diagnostic testing substances (e.g., radiocontrast media) and other allergens, as well as idiopathic anaphylaxis or exercise-induced anaphylaxis. AUVI-Q is intended for immediate administration in patients who are determined to be at increased risk for anaphylaxis, including individuals with a history of anaphylactic reactions. Anaphylactic reactions may occur within minutes after exposure and consist of flushing, apprehension, syncope, tachycardia, thready or unobtainable pulse associated with a fall in blood pressure, convulsions, vomiting, diarrhea and abdominal cramps, involuntary voiding, wheezing, dyspnea due to laryngeal spasm, pruritus, rashes, urticaria or angioedema. AUVI-Q is intended for immediate self-administration as emergency supportive therapy only and is not a substitute for immediate medical care.

Indications and Usage

AUVI-Q® is indicated in the emergency treatment of allergic reactions (Type I) including anaphylaxis to stinging insects (e.g., order Hymenoptera, which include bees, wasps, hornets, yellow jackets and fire ants) and biting insects (e.g., triatoma, mosquitoes), allergen immunotherapy, foods, drugs, diagnostic testing substances (e.g., radiocontrast media) and other allergens, as well as idiopathic anaphylaxis or exercise-induced anaphylaxis. AUVI-Q is intended for immediate administration in patients who are determined to be at increased risk for anaphylaxis, including individuals with a history of anaphylactic reactions. Anaphylactic reactions may occur within minutes after exposure and consist of flushing, apprehension, syncope, tachycardia, thready or unobtainable pulse associated with a fall in blood pressure, convulsions, vomiting, diarrhea and abdominal cramps, involuntary voiding, wheezing, dyspnea due to laryngeal spasm, pruritus, rashes, urticaria or angioedema. AUVI-Q is intended for immediate self-administration as emergency supportive therapy only and is not a substitute for immediate medical care.

Dosage and Administration

Selection of the appropriate dosage strength (AUVI-Q 0.3 mg, AUVI-Q 0.15 mg or AUVI-Q 0.1 mg) is determined according to patient body weight. Patients greater than or equal to 30 kg (approximately 66 pounds or more): AUVI-Q 0.3 mg Patients 15 to 30 kg (33 to 66 pounds): AUVI-Q 0.15 mg Patients 7.5 to 15 kg (16.5 to 33 pounds): AUVI-Q 0.1 mg Inject AUVI-Q intramuscularly or subcutaneously into the anterolateral aspect of the thigh, through clothing if necessary. Instruct caregivers of young children and infants who are prescribed AUVI-Q and who may be uncooperative and kick or move during an injection to hold the child’s leg firmly in place and limit movement prior to and during an injection [see Warnings and Precautions ( 5.2 )] . Each AUVI-Q contains a single dose of epinephrine for single-dose injection. Since the doses of epinephrine delivered from AUVI-Q are fixed, consider using other forms of injectable epinephrine if doses lower than 0.1 mg are deemed necessary. The prescriber should carefully assess each patient to determine the most appropriate dose of epinephrine, recognizing the life-threatening nature of the reactions for which this drug is indicated. With severe persistent anaphylaxis, repeat injections with an additional AUVI-Q may be necessary. More than two sequential doses of epinephrine should only be administered under direct medical supervision [see Warnings and Precautions ( 5.1 )] . The epinephrine solution in the viewing window of AUVI-Q should be inspected visually for particulate matter and discoloration. Epinephrine is light sensitive and should be stored in the outer case provided to protect it from light [see How Supplied/ Storage and Handling ( 16 )] .

Warnings and Precautions

In conjunction with use, seek immediate medical or hospital care. ( 5.1 ) Do not inject intravenously, into buttock, or into digits, hands, or feet. ( 5.2 ) To minimize the risk of injection-related injury, instruct caregivers to hold the child’s leg firmly in place and limit movement prior to and during injection when administering to young children or infants. ( 5.2 ) Rare cases of serious skin and soft tissue infections have been reported following epinephrine injection. Advise patients to seek medical care if they develop signs or symptoms of infection at the epinephrine injection site. ( 5.3 ) The presence of a sulfite in this product should not deter use. ( 5.4 ) Administer with caution in patients with heart disease; may aggravate angina pectoris or produce ventricular arrhythmias. ( 5.5 )

Contraindications

None.

Adverse Reactions

Due to lack of randomized, controlled clinical trials of epinephrine for the treatment of anaphylaxis, the true incidence of adverse reactions associated with the systemic use of epinephrine is difficult to determine. Adverse reactions reported in observational trials, case reports, and studies are listed below. Common adverse reactions to systemically administered epinephrine include anxiety; apprehensiveness; restlessness; tremor; weakness; dizziness; sweating; palpitations; pallor; nausea and vomiting; headache; and/or respiratory difficulties. These symptoms occur in some persons receiving therapeutic doses of epinephrine, but are more likely to occur in patients with hypertension or hyperthyroidism [see Warnings and Precautions ( 5.5 )] . Arrhythmias, including fatal ventricular fibrillation, have been reported, particularly in patients with underlying cardiac disease or those receiving certain drugs [see Warnings and Precautions ( 5.5 ) and Drug Interactions ( 7 )] . Rapid rises in blood pressure have produced cerebral hemorrhage, particularly in elderly patients with cardiovascular disease [see Warnings and Precautions ( 5.5 )] . Angina may occur in patients with coronary artery disease [see Warnings and Precautions ( 5.5 )] . Rare cases of stress cardiomyopathy have been reported in patients treated with epinephrine. Accidental injection into the digits, hands or feet may result in loss of blood flow to the affected area [see Warnings and Precautions ( 5.2 )] . Adverse events experienced as a result of accidental injections may include increased heart rate, local reactions including injection site pallor, coldness and hypoesthesia or injury at the injection site resulting in bruising, bleeding, discoloration, erythema or skeletal injury. Injection of epinephrine into the buttock has resulted in cases of gas gangrene [see Warnings and Precautions ( 5.2 )] . Rare cases of serious skin and soft tissue infections, including necrotizing fasciitis and myonecrosis caused by Clostridia (gas gangrene), have been reported at the injection site following epinephrine injection in the thigh [see Warnings and Precautions ( 5.2 )] .

Drug Interactions

Cardiac glycosides or diuretics: observe for development of cardiac arrhythmias. ( 7 ) Tricyclic antidepressants, monoamine oxidase inhibitors, levothyroxine sodium, and certain antihistamines: potentiate effects of epinephrine. ( 7 ) Beta-adrenergic blocking drugs: antagonize cardiostimulating and bronchodilating effects of epinephrine. ( 7 ) Alpha-adrenergic blocking drugs: antagonize vasoconstricting and hypertensive effects of epinephrine. ( 7 ) Ergot alkaloids: may reverse the pressor effects of epinephrine. ( 7 )

Storage and Handling

How Supplied AUVI-Q (epinephrine injection) is available as an autoinjector as described in Table 1 . Table 1 AUVI-Q Autoinjector Package Configurations and Strengths Package Configuration Strength National Drug Code (NDC) 2 autoinjectors 0.3 mg NDC 60842-023-02 2 autoinjectors 0.15 mg NDC 60842-022-02 2 autoinjectors 0.1 mg NDC 60842-021-02 Storage and Handling Epinephrine is light sensitive and should be stored in the outer case provided to protect it from light. Store at 20℃ to 25℃ (68℉ to 77℉); excursions permitted to 15℃ to 30℃℉ (59℉ to 86℉) [See USP Controlled Room Temperature]. Do not freeze. Before using, check to make sure the solution in the autoinjector is clear and colorless. Replace the autoinjector if the solution is discolored, cloudy, or contains particles.

How Supplied

How Supplied AUVI-Q (epinephrine injection) is available as an autoinjector as described in Table 1 . Table 1 AUVI-Q Autoinjector Package Configurations and Strengths Package Configuration Strength National Drug Code (NDC) 2 autoinjectors 0.3 mg NDC 60842-023-02 2 autoinjectors 0.15 mg NDC 60842-022-02 2 autoinjectors 0.1 mg NDC 60842-021-02 Storage and Handling Epinephrine is light sensitive and should be stored in the outer case provided to protect it from light. Store at 20℃ to 25℃ (68℉ to 77℉); excursions permitted to 15℃ to 30℃℉ (59℉ to 86℉) [See USP Controlled Room Temperature]. Do not freeze. Before using, check to make sure the solution in the autoinjector is clear and colorless. Replace the autoinjector if the solution is discolored, cloudy, or contains particles.

Patient Information

AUVI-Q® [Aw-Vee-Kyoo] (epinephrine injection) Auto-Injector For allergic emergencies (anaphylaxis) Read this Patient Information Leaflet before you have to use AUVI-Q and each time you get a refill. There may be new information. You should know how to use AUVI-Q before you have an allergic emergency. This information does not take the place of talking with your healthcare provider about your medical condition or your treatment. What is the most important information I should know about AUVI-Q? Always carry AUVI-Q with you because you may not know when a life-threatening allergic reaction (anaphylactic reaction) may happen. Talk to your doctor if you need additional units to keep at work, school, etc. An anaphylactic reaction is a life-threatening allergic reaction that can happen within minutes and can be caused by stinging and biting insects (bees, wasps, hornets, and mosquitoes), allergy shots, foods, medicines, exercise, or other unknown causes. Follow your healthcare provider’s instructions on when to use AUVI-Q if you have the symptoms of an anaphylactic reaction, which may include the symptoms listed below: trouble breathing wheezing hoarseness (changes in the way your voice sounds) hives (raised reddened rash that may itch) severe itching swelling of your face, lips, mouth or tongue skin rash, redness, or swelling fast heartbeat weak pulse feeling very anxious confusion stomach pain losing control of urine or bowel movements dizziness or fainting Tell your family members and others where you keep AUVI-Q and how to use it before you need it. You may be unable to speak in an allergic emergency. Get medical attention immediately after using AUVI-Q. If you have a serious allergic reaction, you may need more medicine. What is AUVI-Q? AUVI-Q is a prescription medicine used to treat life-threatening allergic reactions including anaphylaxis in people who are at risk for or have a history of serious allergic reactions. AUVI-Q is for immediate self (or caregiver) administration and does not take the place of emergency medical care. You should get emergency medical help right away after using AUVI-Q. It is not known if AUVI-Q is safe and effective in children who weigh less than 16.5 pounds (7.5 kg). What should I tell my healthcare provider before using AUVI-Q? Before you use AUVI-Q, tell your healthcare provider if you: have heart problems or high blood pressure have diabetes have thyroid problems have history of depression have Parkinson’s disease have any other medical conditions are pregnant or plan to become pregnant. It is not known if AUVI-Q will harm your unborn baby. are breastfeeding or plan to breastfeed. It is not known if AUVI-Q passes into your breast milk. Tell your healthcare provider about all the medicines you take, including prescription and non-prescription medicines, vitamins, and herbal supplements. AUVI-Q and other medicines may affect each other, causing side effects. AUVI-Q may affect the way other medicines work, and other medicines may affect how AUVI-Q works. Know the medicines you take. Keep a list of them to show your healthcare provider and pharmacist when you get a new medicine. How should I use AUVI-Q? Each AUVI-Q contains only 1 dose of medicine. AUVI-Q should only be injected into the muscle of your outer thigh. It can be injected through your clothing, if needed. Read the Instructions for Use at the end of this Patient Information Leaflet for information about the right way to use AUVI-Q. Use AUVI-Q exactly as your healthcare provider tells you to use it. You may request a Trainer for AUVI-Q. Additional training resources are available at www.auvi-q.com . Practice with the Trainer for AUVI-Q before an allergic emergency happens to familiarize yourself with the use of AUVI-Q in an allergic emergency. The Trainer for AUVI-Q does not contain a needle or medicine and can be reused to practice your injection. What are the possible side effects of AUVI-Q? AUVI-Q may cause serious side effects. AUVI-Q should only be injected into your outer thigh. Do not inject AUVI-Q into your: veins buttocks fingers, toes, hands or feet If you accidentally inject AUVI-Q into any other part of your body, go to the nearest hospital emergency room right away. Tell the healthcare provider where on your body you received the accidental injection. Rarely, patients who use AUVI-Q may develop infections at the injection site within a few days of an injection. Some of these infections can be serious. Call your healthcare provider right away if you have any of the following at an injection site: redness that does not go away swelling tenderness the area feels warm to the touch If you inject a young child or infant with AUVI-Q, hold their leg firmly in place before and during the injection to prevent injuries. Ask your healthcare provider to show you how to properly hold the leg of a young child or infant during an injection. If you have certain medical conditions, or take certain medicines, your condition may get worse or you may have more or longer lasting side effects when you use AUVI-Q. Talk to your healthcare provider about all your medical conditions. Common side effects of AUVI-Q include: fast, irregular, or ‘pounding’ heart beat sweating shakiness headache paleness feelings of over excitement, nervousness, or anxiety weakness dizziness nausea and vomiting breathing problems Tell your healthcare provider if you have any side effect that bothers you or that does not go away. These are not all of the possible side effects of AUVI-Q. For more information, ask your healthcare provider or pharmacist. Call your doctor for medical advice about side effects. You may report side effects to FDA at 1-800-FDA-1088. How should I store AUVI-Q? Store AUVI-Q at 68° to 77°F (20° to 25°C). Do NOT freeze. Do NOT expose to extreme heat or cold. For example, do NOT store in your vehicle’s glove box. Examine contents in the viewing window periodically. Solution should be clear. If the solution is discolored (pinkish color or darker than slightly yellow), cloudy or contains solid particles, replace the unit. Your AUVI-Q has an expiration date. Replace it before the expiration date. Keep AUVI-Q in the outer case it comes in to protect it from light. Keep AUVI-Q and all medicines out of the reach of children. General information about the safe and effective use of AUVI-Q: Medicines are sometimes prescribed for purposes other than those listed in a Patient Information Leaflet. Do not use AUVI-Q for a condition for which it was not prescribed. Do not give AUVI-Q to other people, even if they have an allergic reaction or the same symptoms that you have. It may harm them. This Patient Information Leaflet summarizes the most important information about AUVI-Q. If you would like more information, talk to your healthcare provider. You can ask your pharmacist or healthcare provider for information about AUVI-Q that is written for health professionals. For more information and video instructions on the use of AUVI-Q, go to www.auvi-q.com or call 1-877-302-8847. What are the ingredients in AUVI-Q? Active ingredient: epinephrine. Inactive Ingredients: sodium chloride, sodium bisulfite, hydrochloric acid, and water. AUVI-Q does not contain latex.


Medication Information

Warnings and Precautions

In conjunction with use, seek immediate medical or hospital care. ( 5.1 ) Do not inject intravenously, into buttock, or into digits, hands, or feet. ( 5.2 ) To minimize the risk of injection-related injury, instruct caregivers to hold the child’s leg firmly in place and limit movement prior to and during injection when administering to young children or infants. ( 5.2 ) Rare cases of serious skin and soft tissue infections have been reported following epinephrine injection. Advise patients to seek medical care if they develop signs or symptoms of infection at the epinephrine injection site. ( 5.3 ) The presence of a sulfite in this product should not deter use. ( 5.4 ) Administer with caution in patients with heart disease; may aggravate angina pectoris or produce ventricular arrhythmias. ( 5.5 )

Indications and Usage

AUVI-Q® is indicated in the emergency treatment of allergic reactions (Type I) including anaphylaxis to stinging insects (e.g., order Hymenoptera, which include bees, wasps, hornets, yellow jackets and fire ants) and biting insects (e.g., triatoma, mosquitoes), allergen immunotherapy, foods, drugs, diagnostic testing substances (e.g., radiocontrast media) and other allergens, as well as idiopathic anaphylaxis or exercise-induced anaphylaxis. AUVI-Q is intended for immediate administration in patients who are determined to be at increased risk for anaphylaxis, including individuals with a history of anaphylactic reactions. Anaphylactic reactions may occur within minutes after exposure and consist of flushing, apprehension, syncope, tachycardia, thready or unobtainable pulse associated with a fall in blood pressure, convulsions, vomiting, diarrhea and abdominal cramps, involuntary voiding, wheezing, dyspnea due to laryngeal spasm, pruritus, rashes, urticaria or angioedema. AUVI-Q is intended for immediate self-administration as emergency supportive therapy only and is not a substitute for immediate medical care.

Dosage and Administration

Selection of the appropriate dosage strength (AUVI-Q 0.3 mg, AUVI-Q 0.15 mg or AUVI-Q 0.1 mg) is determined according to patient body weight. Patients greater than or equal to 30 kg (approximately 66 pounds or more): AUVI-Q 0.3 mg Patients 15 to 30 kg (33 to 66 pounds): AUVI-Q 0.15 mg Patients 7.5 to 15 kg (16.5 to 33 pounds): AUVI-Q 0.1 mg Inject AUVI-Q intramuscularly or subcutaneously into the anterolateral aspect of the thigh, through clothing if necessary. Instruct caregivers of young children and infants who are prescribed AUVI-Q and who may be uncooperative and kick or move during an injection to hold the child’s leg firmly in place and limit movement prior to and during an injection [see Warnings and Precautions ( 5.2 )] . Each AUVI-Q contains a single dose of epinephrine for single-dose injection. Since the doses of epinephrine delivered from AUVI-Q are fixed, consider using other forms of injectable epinephrine if doses lower than 0.1 mg are deemed necessary. The prescriber should carefully assess each patient to determine the most appropriate dose of epinephrine, recognizing the life-threatening nature of the reactions for which this drug is indicated. With severe persistent anaphylaxis, repeat injections with an additional AUVI-Q may be necessary. More than two sequential doses of epinephrine should only be administered under direct medical supervision [see Warnings and Precautions ( 5.1 )] . The epinephrine solution in the viewing window of AUVI-Q should be inspected visually for particulate matter and discoloration. Epinephrine is light sensitive and should be stored in the outer case provided to protect it from light [see How Supplied/ Storage and Handling ( 16 )] .

Contraindications

None.

Adverse Reactions

Due to lack of randomized, controlled clinical trials of epinephrine for the treatment of anaphylaxis, the true incidence of adverse reactions associated with the systemic use of epinephrine is difficult to determine. Adverse reactions reported in observational trials, case reports, and studies are listed below. Common adverse reactions to systemically administered epinephrine include anxiety; apprehensiveness; restlessness; tremor; weakness; dizziness; sweating; palpitations; pallor; nausea and vomiting; headache; and/or respiratory difficulties. These symptoms occur in some persons receiving therapeutic doses of epinephrine, but are more likely to occur in patients with hypertension or hyperthyroidism [see Warnings and Precautions ( 5.5 )] . Arrhythmias, including fatal ventricular fibrillation, have been reported, particularly in patients with underlying cardiac disease or those receiving certain drugs [see Warnings and Precautions ( 5.5 ) and Drug Interactions ( 7 )] . Rapid rises in blood pressure have produced cerebral hemorrhage, particularly in elderly patients with cardiovascular disease [see Warnings and Precautions ( 5.5 )] . Angina may occur in patients with coronary artery disease [see Warnings and Precautions ( 5.5 )] . Rare cases of stress cardiomyopathy have been reported in patients treated with epinephrine. Accidental injection into the digits, hands or feet may result in loss of blood flow to the affected area [see Warnings and Precautions ( 5.2 )] . Adverse events experienced as a result of accidental injections may include increased heart rate, local reactions including injection site pallor, coldness and hypoesthesia or injury at the injection site resulting in bruising, bleeding, discoloration, erythema or skeletal injury. Injection of epinephrine into the buttock has resulted in cases of gas gangrene [see Warnings and Precautions ( 5.2 )] . Rare cases of serious skin and soft tissue infections, including necrotizing fasciitis and myonecrosis caused by Clostridia (gas gangrene), have been reported at the injection site following epinephrine injection in the thigh [see Warnings and Precautions ( 5.2 )] .

Drug Interactions

Cardiac glycosides or diuretics: observe for development of cardiac arrhythmias. ( 7 ) Tricyclic antidepressants, monoamine oxidase inhibitors, levothyroxine sodium, and certain antihistamines: potentiate effects of epinephrine. ( 7 ) Beta-adrenergic blocking drugs: antagonize cardiostimulating and bronchodilating effects of epinephrine. ( 7 ) Alpha-adrenergic blocking drugs: antagonize vasoconstricting and hypertensive effects of epinephrine. ( 7 ) Ergot alkaloids: may reverse the pressor effects of epinephrine. ( 7 )

Storage and Handling

How Supplied AUVI-Q (epinephrine injection) is available as an autoinjector as described in Table 1 . Table 1 AUVI-Q Autoinjector Package Configurations and Strengths Package Configuration Strength National Drug Code (NDC) 2 autoinjectors 0.3 mg NDC 60842-023-02 2 autoinjectors 0.15 mg NDC 60842-022-02 2 autoinjectors 0.1 mg NDC 60842-021-02 Storage and Handling Epinephrine is light sensitive and should be stored in the outer case provided to protect it from light. Store at 20℃ to 25℃ (68℉ to 77℉); excursions permitted to 15℃ to 30℃℉ (59℉ to 86℉) [See USP Controlled Room Temperature]. Do not freeze. Before using, check to make sure the solution in the autoinjector is clear and colorless. Replace the autoinjector if the solution is discolored, cloudy, or contains particles.

How Supplied

How Supplied AUVI-Q (epinephrine injection) is available as an autoinjector as described in Table 1 . Table 1 AUVI-Q Autoinjector Package Configurations and Strengths Package Configuration Strength National Drug Code (NDC) 2 autoinjectors 0.3 mg NDC 60842-023-02 2 autoinjectors 0.15 mg NDC 60842-022-02 2 autoinjectors 0.1 mg NDC 60842-021-02 Storage and Handling Epinephrine is light sensitive and should be stored in the outer case provided to protect it from light. Store at 20℃ to 25℃ (68℉ to 77℉); excursions permitted to 15℃ to 30℃℉ (59℉ to 86℉) [See USP Controlled Room Temperature]. Do not freeze. Before using, check to make sure the solution in the autoinjector is clear and colorless. Replace the autoinjector if the solution is discolored, cloudy, or contains particles.

Patient Information

AUVI-Q® [Aw-Vee-Kyoo] (epinephrine injection)

Auto-Injector

For allergic emergencies (anaphylaxis)

Read this Patient Information Leaflet before you have to use AUVI-Q and each time you get a refill. There may be new information. You should know how to use AUVI-Q before you have an allergic emergency. This information does not take the place of talking with your healthcare provider about your medical condition or your treatment.

What is the most important information I should know about AUVI-Q?

  • Always carry AUVI-Q with you because you may not know when a life-threatening allergic reaction (anaphylactic reaction) may happen. Talk to your doctor if you need additional units to keep at work, school, etc. An anaphylactic reaction is a life-threatening allergic reaction that can happen within minutes and can be caused by stinging and biting insects (bees, wasps, hornets, and mosquitoes), allergy shots, foods, medicines, exercise, or other unknown causes. Follow your healthcare provider’s instructions on when to use AUVI-Q if you have the symptoms of an anaphylactic reaction, which may include the symptoms listed below:
    • trouble breathing
    • wheezing
    • hoarseness (changes in the way your voice sounds)
    • hives (raised reddened rash that may itch)
    • severe itching
    • swelling of your face, lips, mouth or tongue
    • skin rash, redness, or swelling
    • fast heartbeat
    • weak pulse
    • feeling very anxious
    • confusion
    • stomach pain
    • losing control of urine or bowel movements
    • dizziness or fainting
  • Tell your family members and others where you keep AUVI-Q and how to use it before you need it. You may be unable to speak in an allergic emergency.
  • Get medical attention immediately after using AUVI-Q. If you have a serious allergic reaction, you may need more medicine.

What is AUVI-Q?

AUVI-Q is a prescription medicine used to treat life-threatening allergic reactions including anaphylaxis in people who are at risk for or have a history of serious allergic reactions.

AUVI-Q is for immediate self (or caregiver) administration and does not take the place of emergency medical care. You should get emergency medical help right away after using AUVI-Q.

It is not known if AUVI-Q is safe and effective in children who weigh less than 16.5 pounds (7.5 kg).

What should I tell my healthcare provider before using AUVI-Q?

Before you use AUVI-Q, tell your healthcare provider if you:

  • have heart problems or high blood pressure
  • have diabetes
  • have thyroid problems
  • have history of depression
  • have Parkinson’s disease
  • have any other medical conditions
  • are pregnant or plan to become pregnant. It is not known if AUVI-Q will harm your unborn baby.
  • are breastfeeding or plan to breastfeed. It is not known if AUVI-Q passes into your breast milk.

Tell your healthcare provider about all the medicines you take,

including prescription and non-prescription medicines, vitamins, and herbal supplements.

AUVI-Q and other medicines may affect each other, causing side effects. AUVI-Q may affect the way other medicines work, and other medicines may affect how AUVI-Q works.

Know the medicines you take. Keep a list of them to show your healthcare provider and pharmacist when you get a new medicine.

How should I use AUVI-Q?

  • Each AUVI-Q contains only 1 dose of medicine.
  • AUVI-Q should only be injected into the muscle of your outer thigh. It can be injected through your clothing, if needed.
  • Read the Instructions for Use at the end of this Patient Information Leaflet for information about the right way to use AUVI-Q.
  • Use AUVI-Q exactly as your healthcare provider tells you to use it.
  • You may request a Trainer for AUVI-Q. Additional training resources are available at www.auvi-q.com.
    • Practice with the Trainer for AUVI-Q before an allergic emergency happens to familiarize yourself with the use of AUVI-Q in an allergic emergency.
    • The Trainer for AUVI-Q does not contain a needle or medicine and can be reused to practice your injection.

What are the possible side effects of AUVI-Q?

AUVI-Q may cause serious side effects.

  • AUVI-Q should only be injected into your outer thigh. Do notinject AUVI-Q into your:
    • veins
    • buttocks
    • fingers, toes, hands or feet
    If you accidentally inject AUVI-Q into any other part of your body, go to the nearest hospital emergency room right away. Tell the healthcare provider where on your body you received the accidental injection.
    • Rarely, patients who use AUVI-Q may develop infections at the injection site within a few days of an injection. Some of these infections can be serious. Call your healthcare provider right away if you have any of the following at an injection site:
      • redness that does not go away
      • swelling
      • tenderness
      • the area feels warm to the touch
    • If you inject a young child or infant with AUVI-Q, hold their leg firmly in place before and during the injection to prevent injuries. Ask your healthcare provider to show you how to properly hold the leg of a young child or infant during an injection.
  • If you have certain medical conditions, or take certain medicines, your condition may get worse or you may have more or longer lasting side effects when you use AUVI-Q. Talk to your healthcare provider about all your medical conditions.

Common side effects of AUVI-Q include:

  • fast, irregular, or ‘pounding’ heart beat
  • sweating
  • shakiness
  • headache
  • paleness
  • feelings of over excitement, nervousness, or anxiety
  • weakness
  • dizziness
  • nausea and vomiting
  • breathing problems

Tell your healthcare provider if you have any side effect that bothers you or that does not go away.

These are not all of the possible side effects of AUVI-Q. For more information, ask your healthcare provider or pharmacist.

Call your doctor for medical advice about side effects. You may report side effects to FDA at 1-800-FDA-1088.

How should I store AUVI-Q?

  • Store AUVI-Q at 68° to 77°F (20° to 25°C).
  • Do NOT freeze. Do NOT expose to extreme heat or cold. For example, do NOT store in your vehicle’s glove box.
  • Examine contents in the viewing window periodically. Solution should be clear. If the solution is discolored (pinkish color or darker than slightly yellow), cloudy or contains solid particles, replace the unit.
  • Your AUVI-Q has an expiration date. Replace it before the expiration date.
  • Keep AUVI-Q in the outer case it comes in to protect it from light.

Keep AUVI-Q and all medicines out of the reach of children.

General information about the safe and effective use of AUVI-Q:

Medicines are sometimes prescribed for purposes other than those listed in a Patient Information Leaflet. Do not use AUVI-Q for a condition for which it was not prescribed. Do not give AUVI-Q to other people, even if they have an allergic reaction or the same symptoms that you have. It may harm them.

This Patient Information Leaflet summarizes the most important information about AUVI-Q. If you would like more information, talk to your healthcare provider. You can ask your pharmacist or healthcare provider for information about AUVI-Q that is written for health professionals.

For more information and video instructions on the use of AUVI-Q, go to www.auvi-q.comor call 1-877-302-8847.

What are the ingredients in AUVI-Q?

Active ingredient:
epinephrine.

Inactive Ingredients:sodium chloride, sodium bisulfite, hydrochloric acid, and water.

AUVI-Q does not contain latex.

Description

AUVI-Q® is indicated in the emergency treatment of allergic reactions (Type I) including anaphylaxis to stinging insects (e.g., order Hymenoptera, which include bees, wasps, hornets, yellow jackets and fire ants) and biting insects (e.g., triatoma, mosquitoes), allergen immunotherapy, foods, drugs, diagnostic testing substances (e.g., radiocontrast media) and other allergens, as well as idiopathic anaphylaxis or exercise-induced anaphylaxis. AUVI-Q is intended for immediate administration in patients who are determined to be at increased risk for anaphylaxis, including individuals with a history of anaphylactic reactions. Anaphylactic reactions may occur within minutes after exposure and consist of flushing, apprehension, syncope, tachycardia, thready or unobtainable pulse associated with a fall in blood pressure, convulsions, vomiting, diarrhea and abdominal cramps, involuntary voiding, wheezing, dyspnea due to laryngeal spasm, pruritus, rashes, urticaria or angioedema. AUVI-Q is intended for immediate self-administration as emergency supportive therapy only and is not a substitute for immediate medical care.

Section 42229-5

Administration and Training

Instruct patients and/or caregivers in the appropriate use of AUVI-Q. AUVI-Q should be injected into the middle of the outer thigh (through clothing, if necessary). Each device is a single-dose injection. Advise patients to seek immediate medical care in conjunction with administration of AUVI-Q.

Young children or infants may be uncooperative and kick or move during an injection. Instruct caregivers to hold the leg of young children or infants firmly in place and limit movement prior to and during injection [see Warnings and Precautions ( 5.2)] .

Complete patient information, including dosage, directions for proper administration and precautions can be found inside each AUVI-Q carton. Review AUVI-Q’s instructional and safety systems with patients and/or caregivers. These systems include the printed label on the surface of AUVI-Q showing instructions for use and a diagram depicting the injection process, an automatic needle retraction system, visual prompts, electronic beeps, and voice instructions for use. Instruct patients and/or caregivers that the needle will not be visible after the injection and they may not feel the injection when it occurs. Instruct patients that AUVI-Q includes a 2-second countdown after it is activated and then the voice instructions will indicate the injection is complete and to seek emergency medical attention. Instruct patients that AUVI-Q’s black base will lock up onto the device housing and the lights will blink red after the injection is complete. These post-use indicators help patients and/or caregivers know that AUVI-Q has been activated and an epinephrine injection administered.

Instruct patients and/or caregivers to use and practice with the Trainer to familiarize themselves with the use of AUVI-Q in an allergic emergency. The Trainer may be used multiple times.

Section 59845-8

Instructions for Use

Read these Instructions for Use carefully before you need to use your AUVI-Q. Before you use AUVI-Q, make sure your healthcare provider shows you the right way to use it. If you have any questions, ask your healthcare provider.

If you are administering AUVI-Q to a young child or infant, hold the leg firmly in place and limit movement prior to and while administering an injection.

Automated Voice Instructions

AUVI-Q contains an electronic voice instruction system to help guide you through each step of your injection. If the voice instructions do not work for any reason, use AUVI-Q as instructed in these Instructions for Use. It will still work during an allergic reaction emergency.

How to use your AUVI-Q

Figure A.

1. Pull AUVI-Q up from the outer case. See Figure B.

Do not
go to step 2 until you are ready to use AUVI-Q. If you are not ready to use AUVI-Q, put it back in the outer case.

Figure B.

2. Pull Red safety guard down and off of AUVI-Q. See Figure C.

To reduce the chance of an accidental injection, do not touch the black base of the auto-injector, which is where the needle comes out. If an accidental injection happens, get medical help right away.

Note:The red safety guard is made to fit tight. Pull firmly to remove.

Figure C.

3. Place black end of AUVI-Q against the middle of the outer thigh (through clothing, if needed), then push firmly until you hear a click and hiss sound, and hold in place for 2 seconds. See Figure D.

Onlyinject into the middle of the outer thigh. Do notinject into any other part of the body.

If you are administering AUVI-Q to a young child or infant, hold the leg firmly in place while administering an injection See Figure E.

Figure D.

(For AUVI-Q 0.3 mg and AUVI-Q 0.15 mg)

Figure E.

(For AUVI-Q 0.1 mg)

Note:AUVI-Q makes a distinct sound (click and hiss) when you push it against your outer thigh. This is normal and indicates AUVI-Q is working correctly. Do not pull AUVI-Q away from your leg when you hear the click and hiss sound.

The needle automatically retracts after the injection is complete, so the needle will not be visible after the injection. AUVI-Q includes a 2-second countdown after it is activated, then the voice instruction will indicate the injection is complete, and to seek emergency medical attention, AUVI-Q will beep, and the lights will blink red.

4. Get emergency medical help right away.

Replace the outer case and talk to your healthcare provider about the right way to throw away your AUVI-Q.

Ask your healthcare provider for an AUVI-Q prescription refill.

After the use of AUVI-Q:

  • The black base will lock into place.
  • The voice instruction system will say “seek emergency medical attention”, say “this AUVI-Q has been used…”, and the lights will blink red.
  • Do not replace the red safety guard.
  • The viewing window will no longer be clear.
  • It is normal for some medicine to remain in your AUVI-Q after you have received your dose of medicine.
  • Talk to your healthcare provider about the right way to throw away your AUVI-Q.
  • AUVI-Q is a single-dose auto-injector and cannot be reused. AUVI-Q must be used or properly disposed once the red safety guard is removed.

Until you throw away your used AUVI-Q, the electronic voice instruction system will remind you that it has been used when the outer case is removed.

If you will be administering AUVI-Q to a young child or infant, ask your healthcare provider to show you how to properly hold the leg in place while administering a dose.

This Patient Information has been approved by the U.S. Food and Drug Administration.

Rev. Feb 2024

Manufactured for:

kaleo, Inc.

Richmond, VA 23219 USA

This product may be covered by one or more U.S. patents or pending patent applications; see www.kaleo.comfor details. KALÉO® and AUVI-Q® are registered trademarks of kaleo, Inc.

© 2024 kaleo, Inc.

*For California Only: This product uses batteries containing Perchlorate Material – special handling may apply. See www.dtsc.ca.gov/hazardouswaste/perchlorate





10 Overdosage

Overdosage of epinephrine may produce extremely elevated arterial pressure, which may result in cerebrovascular hemorrhage, particularly in elderly patients. Overdosage may also result in pulmonary edema because of peripheral vascular constriction together with cardiac stimulation. Treatment consists of rapidly acting vasodilators or alpha-adrenergic blocking drugs and/or respiratory support.

Epinephrine overdosage can also cause transient bradycardia followed by tachycardia, and these may be accompanied by potentially fatal cardiac arrhythmias. Premature ventricular contractions may appear within one minute after injection and may be followed by multifocal ventricular tachycardia (prefibrillation rhythm). Subsidence of the ventricular effects may be followed by atrial tachycardia and occasionally by atrioventricular block. Treatment of arrhythmias consists of administration of a beta-adrenergic blocking drug such as propranolol.

Overdosage sometimes results in extreme pallor and coldness of the skin, metabolic acidosis, and kidney failure. Suitable corrective measures must be taken in such situations.

8.1 Pregnancy

Risk Summary

There are no adequate and well controlled studies of the acute effect of epinephrine in pregnant women. In animal reproductive studies, epinephrine administered by the subcutaneous route to rabbits, mice, and hamsters during the period of organogenesis was teratogenic at doses 7 times and higher than the maximum recommended human intramuscular and subcutaneous dose on a mg/m 2basis. Epinephrine is the first-line medication of choice for the treatment of anaphylaxis during pregnancy in humans. Epinephrine should be used for treatment of anaphylaxis during pregnancy in the same manner as it is used in non-pregnant patients.

In the U.S. general population, the estimated background risk of major birth defects and miscarriage in clinically recognized pregnancies is 2 to 4% and 15 to 20%, respectively.

Clinical Considerations

Disease-associated maternal and embryo/fetal risk:

During pregnancy, anaphylaxis can be catastrophic and can lead to hypoxic-ischemic encephalopathy and permanent central nervous system damage or death in the mother and, more commonly, in the fetus or neonate. The prevalence of anaphylaxis occurring during pregnancy is reported to be approximately 3 cases per 100,000 deliveries.

Management of anaphylaxis during pregnancy is similar to management in the general population. Epinephrine is the first line-medication of choice for treatment of anaphylaxis; it should be used in the same manner in pregnant and non-pregnant patients. In conjunction with the administration of epinephrine, the patient should seek immediate medical or hospital care.

Data

Animal Data:

In an embryofetal development study with rabbits dosed during the period of organogenesis, epinephrine was shown to be teratogenic (including gastroschisis and embryonic lethality) at doses approximately 40 times the maximum recommended intramuscular or subcutaneous dose (on a mg/m 2basis at a maternal subcutaneous dose of 1.2 mg/kg/day for two to three days).

In an embryofetal development study with mice dosed during the period of organogenesis, epinephrine was shown to be teratogenic (including embryonic lethality) at doses approximately 8 times the maximum recommended intramuscular or subcutaneous dose (on a mg/m 2basis at a maternal subcutaneous dose of 1 mg/kg/day for 10 days). These effects were not seen in mice at approximately 4 times the maximum recommended daily intramuscular or subcutaneous dose (on a mg/m 2basis at a subcutaneous maternal dose of 0.5 mg/kg/day for 10 days).

In an embryofetal development study with hamsters dosed during the period of organogenesis from gestation days 7 to 10, epinephrine was shown to be teratogenic at doses approximately 7 times the maximum recommended daily intramuscular or subcutaneous dose (on a mg/m 2basis at a maternal subcutaneous dose of 0.5 mg/kg/day for 4 days).

8.2 Lactation

Risk Summary

There is no information on the presence of epinephrine in human milk, the effects on breastfed infants, or the effects on milk production. Epinephrine is the first line-medication of choice for treatment of anaphylaxis; it should be used in the same manner in breastfeeding and non-breastfeeding patients.

11 Description

AUVI-Q (epinephrine injection, USP) 0.3 mg, 0.15 mg and 0.1 mg is an autoinjector and a combination product containing drug and device components.

AUVI-Q includes audible (electronic voice instructions, beeps) and visible (LED lights) cues for use. The needle automatically retracts after the injection is complete.

Each AUVI-Q 0.3 mg delivers a single dose of 0.3 mg epinephrine from epinephrine injection, USP (0.3 mL) in a sterile solution.

Each AUVI-Q 0.15 mg delivers a single dose of 0.15 mg epinephrine from epinephrine injection, USP (0.15 mL) in a sterile solution.

Each AUVI-Q 0.1 mg delivers a single dose of 0.1 mg epinephrine from epinephrine injection, USP (0.1 mL) in a sterile solution .

AUVI-Q 0.3 mg, AUVI-Q 0.15 mg and AUVI-Q 0.1 mg each contain 0.76 mL epinephrine solution. 0.3 mL, 0.15 mL and 0.1 mL epinephrine solution is dispensed for AUVI-Q 0.3 mg, AUVI-Q 0.15 mg and AUVI-Q 0.1 mg, respectively, when activated. The remaining solution is not available for future use and should be discarded.

Each 0.3 mL in AUVI-Q 0.3 mg contains 0.3 mg epinephrine, 2.3 mg sodium chloride, 0.5 mg sodium bisulfite, hydrochloric acid to adjust pH, and water for injection. The pH range is 2.2–5.0.

Each 0.15 mL in AUVI-Q 0.15 mg contains 0.15 mg epinephrine, 1.2 mg sodium chloride, 0.2 mg sodium bisulfite, hydrochloric acid to adjust pH, and water for injection. The pH range is 2.2–5.0.

Each 0.1 mL in AUVI-Q 0.1 mg contains 0.1 mg epinephrine, 0.78 mg sodium chloride, 0.15 mg sodium bisulfite, hydrochloric acid to adjust pH, and water for injection. The pH range is 2.2–5.0.

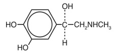
Epinephrine is a sympathomimetic catecholamine. Chemically, epinephrine is (-)-3,4-Dihydroxy-α-[(methylamino)methyl]benzyl alcohol with the following structure:

Epinephrine solution deteriorates rapidly on exposure to air or light, turning pink from oxidation to adrenochrome and brown from the formation of melanin.

AUVI-Q is not made with natural rubber latex.

AUVI-Q instructional and safety systems should be thoroughly reviewed with patients and caregivers prior to use [see Patient Counseling Information ( 17)] .

8.4 Pediatric Use

AUVI-Q may be administered to pediatric patients at a dosage appropriate to body weight [see Dosage and Administration ( 2)] . Clinical experience with the use of epinephrine suggests that the adverse reactions seen in children are similar in nature and extent to those both expected and reported in adults. Since the doses of epinephrine delivered from AUVI-Q are fixed, consider using other forms of injectable epinephrine if doses lower than 0.1 mg are deemed necessary.

8.5 Geriatric Use

Clinical studies of AUVI-Q did not include sufficient numbers of subjects aged 65 and over to determine whether they respond differently from younger subjects. Other reported clinical experience has not identified differences in responses between the elderly and younger patients. Epinephrine should be administered with caution in elderly individuals, who may be at greater risk for developing adverse reactions after epinephrine administration [see Warnings and Precautions ( 5.5), Overdosage ( 10)] .

4 Contraindications

None.

6 Adverse Reactions

Due to lack of randomized, controlled clinical trials of epinephrine for the treatment of anaphylaxis, the true incidence of adverse reactions associated with the systemic use of epinephrine is difficult to determine. Adverse reactions reported in observational trials, case reports, and studies are listed below.

Common adverse reactions to systemically administered epinephrine include anxiety; apprehensiveness; restlessness; tremor; weakness; dizziness; sweating; palpitations; pallor; nausea and vomiting; headache; and/or respiratory difficulties. These symptoms occur in some persons receiving therapeutic doses of epinephrine, but are more likely to occur in patients with hypertension or hyperthyroidism [see Warnings and Precautions ( 5.5)] .

Arrhythmias, including fatal ventricular fibrillation, have been reported, particularly in patients with underlying cardiac disease or those receiving certain drugs [see Warnings and Precautions ( 5.5) and Drug Interactions ( 7)] .

Rapid rises in blood pressure have produced cerebral hemorrhage, particularly in elderly patients with cardiovascular disease [see Warnings and Precautions ( 5.5)] .

Angina may occur in patients with coronary artery disease [see Warnings and Precautions ( 5.5)] .

Rare cases of stress cardiomyopathy have been reported in patients treated with epinephrine.

Accidental injection into the digits, hands or feet may result in loss of blood flow to the affected area [see Warnings and Precautions ( 5.2)] .

Adverse events experienced as a result of accidental injections may include increased heart rate, local reactions including injection site pallor, coldness and hypoesthesia or injury at the injection site resulting in bruising, bleeding, discoloration, erythema or skeletal injury.

Injection of epinephrine into the buttock has resulted in cases of gas gangrene [see Warnings and Precautions ( 5.2)] .

Rare cases of serious skin and soft tissue infections, including necrotizing fasciitis and myonecrosis caused by Clostridia (gas gangrene), have been reported at the injection site following epinephrine injection in the thigh [see Warnings and Precautions ( 5.2)] .

7 Drug Interactions
  • Cardiac glycosides or diuretics: observe for development of cardiac arrhythmias. ( 7)
  • Tricyclic antidepressants, monoamine oxidase inhibitors, levothyroxine sodium, and certain antihistamines: potentiate effects of epinephrine. ( 7)
  • Beta-adrenergic blocking drugs: antagonize cardiostimulating and bronchodilating effects of epinephrine. ( 7)
  • Alpha-adrenergic blocking drugs: antagonize vasoconstricting and hypertensive effects of epinephrine. ( 7)
  • Ergot alkaloids: may reverse the pressor effects of epinephrine. ( 7)
Trainer for Auvi Q®

Important:

The TRAINER for AUVI-Q Does Not contain a needle or medicine.

In case of an allergic emergency, use the real AUVI-Q and not the gray Trainer.

Always carry your real Auvi-Q with you in case of an allergic emergency.

Important Information about the TRAINER for AUVI-Q:

Inside your TRAINER for AUVI-Q are:

  • batteries
  • a speaker that will make a beeping sound and that produces electronic voice instructions
  • red and green blinking lights

The TRAINER for AUVI-Q batteries are made to last long enough for you to practice 1 time each day for 2 years. If your TRAINER for AUVI-Q does not work properly call your healthcare provider for a new Trainer.

What is the TRAINER for AUVI-Q?
  • The TRAINER for AUVI-Q does not contain a needle or medicine and can be reused to practice your injection.
  • Practice with the TRAINER for AUVI-Q before an allergic emergency happens to make sure you are able to safely use the real AUVI-Q in an emergency.
Your TRAINER for AUVI-Q

Figure A
TRAINER for AUVI-Q



Top view
AUVI-Q



AUVI-Q 0.3 mg is orange



AUVI-Q 0.15 mg is blue



AUVI-Q 0.1 mg is white and lavender
TRAINER for AUVI-Q:
  • is inside a gray outer case
  • does not have a needle or medicine inside
  • can be reused (the red safety guard can be placed back on the base of the Trainer after use)
  • has no expiration date
  • has embossed “TRAINER” on top of the device
AUVI-Q:
  • is inside an orange (0.3 mg)or blue (0.15 mg)or white and lavender (0.1 mg) outer case
  • contains a needle and epinephrine medicine
  • cannot be reused(AUVI-Q must be used or properly disposed once the red safety guard is removed)
  • has a medicine expiration date listed on the device
In case of an allergic emergency, use the real AUVI-Q and notthe gray Trainer.


Who should practice using the TRAINER for AUVI-Q?



Anyone who may need to help you with AUVI-Q in case of an allergic emergency:
  • You
  • Caregivers
  • Family
  • Friends
  • Co-workers
  • Teachers
  • Child Care or Day Care Workers
Have them practice using the Trainer and review the Patient Information Leaflet included in the packaging with each prescription of AUVI-Q.



For more information and video instructions on the use of AUVI -Q, go to www.AUVI-Q.comor call 1-877-302-8847.


Practicing with the TRAINER for AUVI-Q



Practice with the TRAINER for AUVI-Q before an allergic emergency happens to make sure you are able to safely use the real AUVI-Q in an emergency.



  • You should practice daily for the first week after you receive your TRAINER for AUVI-Q to help you feel comfortable using AUVI-Q quickly and safely. Even when you are comfortable using the Trainer, continue to practice using it often.
How to Use the Trainer



How the TRAINER for AUVI-Q works



Although the Trainer does not have a needle and contains no medicine, it works the same way as the real AUVI-Q.



As with the real AUVI-Q, the TRAINER for AUVI-Q contains an electronic voice instruction system to help guide you through each step of your injection. If the voice instructions do not work for the TRAINER for AUVI-Q for any reason, you can still use the TRAINER for AUVI-Q as instructed in this leaflet to practice.



The TRAINER for AUVI-Q has the same blinking red and green lights as the real AUVI-Q.



As with the real AUVI-Q, if practicing with a young child or infant, hold the leg firmly in place while using the TRAINER for AUVI-Q. Ask your healthcare provider to show you how to properly hold the leg to practice so that you will be prepared before an allergic emergency happens.



Follow These Steps
1.Pull the TRAINER for AUVI-Q from the outer case.See Figure B

2. Pull Red safety guard down and off of the Trainer.See Figure C.

Figure B

Figure C

Note: The red safety guard is made to fit tight similar to the safety guard on the real AUVI-Q. Pull firmly to remove.
3. Place black end against the middle of the outer thigh (through clothing, if needed), then push firmly until you hear a click and hiss sound, and hold in place for 2 seconds.See Figure D.



As with the real AUVI-Q, if practicing with a young child or infant, hold the leg firmly in place while using the TRAINER for AUVI-Q.(See Figure E).
Figure D

Figure E

Note: In an actual emergency, after the injection you would need to seek medical help right away.



Onlypractice using the middle of your outer thigh. The outer thigh is where you would inject with the real AUVI-Q.



Note: The TRAINER for AUVI-Q makes a distinct sound (click and hiss) when you push it firmly against your outer thigh. This is the same sound that is made with the real AUVI-Q. This is normal, and indicates AUVI-Q is working correctly. Do not pull AUVI-Q away from your leg when you hear the click and hiss sound.
4. After practicing, reset the TRAINER for AUVI-Q:

    a. Replace the Red safety guard.Do not hold the black base while inserting the Red safety guard. The Black base will drop down into its original location during Red safety guard insertion. See Figure F.

    b. Slide the TRAINER for AUVI-Q all the way back into the gray outer case to reset the electronic voice system.See Figure G.
Figure F

Figure G

Note: Leave the TRAINER for AUVI-Q in its outer case for at least 5 seconds between each time you practice to allow the electronic voice system to reset.

Storage:

  • Store the TRAINER for AUVI-Q at room temperature; the TRAINER for AUVI-Q should not be used at temperatures less than 50°F (10°C) or greater than 104°F (40°C).
  • Store the TRAINER for AUVI-Q in its outer case.
  • Keep the TRAINER for AUVI-Q away from dirt, chemicals, and water.

Disposal:

The TRAINER for AUVI-Q contains electronics and lithium coin cell batteries, and should be disposed of in the correct manner. Follow your State and local environmental regulations for disposal.

For California Only: This product uses batteries containing Perchlorate Material - special handling may apply. See www.dtsc.ca.gov/hazardouswaste/perchlorate



Manufactured for:

kaleo, Inc.

Richmond, VA 23219 USA

This product may be covered by one or more U.S. patents or pending patent applications; see www.kaleo.comfor details. KALÉO® and AUVI-Q® are registered trademarks of kaleo, Inc.

© 2024 kaleo, Inc.

Rev. Feb 2024





12.2 Pharmacodynamics

Through its action on alpha-adrenergic receptors, epinephrine lessens the vasodilation and increased vascular permeability that occurs during anaphylaxis, which can lead to loss of intravascular fluid volume and hypotension.

Through its action on beta-adrenergic receptors, epinephrine causes bronchial smooth muscle relaxation and helps alleviate bronchospasm, wheezing and dyspnea that may occur during anaphylaxis.

Epinephrine also alleviates pruritus, urticaria, and angioedema and may relieve gastrointestinal and genitourinary symptoms associated with anaphylaxis because of its relaxer effects on the smooth muscle of the stomach, intestine, uterus and urinary bladder.

When given subcutaneously or intramuscularly, epinephrine has a rapid onset and short duration of action.

1 Indications and Usage

AUVI-Q® is indicated in the emergency treatment of allergic reactions (Type I) including anaphylaxis to stinging insects (e.g., order Hymenoptera, which include bees, wasps, hornets, yellow jackets and fire ants) and biting insects (e.g., triatoma, mosquitoes), allergen immunotherapy, foods, drugs, diagnostic testing substances (e.g., radiocontrast media) and other allergens, as well as idiopathic anaphylaxis or exercise-induced anaphylaxis.

AUVI-Q is intended for immediate administration in patients who are determined to be at increased risk for anaphylaxis, including individuals with a history of anaphylactic reactions.

Anaphylactic reactions may occur within minutes after exposure and consist of flushing, apprehension, syncope, tachycardia, thready or unobtainable pulse associated with a fall in blood pressure, convulsions, vomiting, diarrhea and abdominal cramps, involuntary voiding, wheezing, dyspnea due to laryngeal spasm, pruritus, rashes, urticaria or angioedema.

AUVI-Q is intended for immediate self-administration as emergency supportive therapy only and is not a substitute for immediate medical care.

5.1 Emergency Treatment

AUVI-Q is not intended as a substitute for immediate medical care. In conjunction with the administration of epinephrine, the patient should seek immediate medical or hospital care.More than two sequential doses of epinephrine should only be administered under direct medical supervision [see Indications and Usage ( 1), Dosage and Administration ( 2) and Patient Counseling Information ( 17)] .

12.1 Mechanism of Action

Epinephrine acts on both alpha and beta-adrenergic receptors.

5.5 Disease Interactions

Some patients may be at greater risk for developing adverse reactions after epinephrine administration. Despite these concerns, it should be recognized that the presence of these conditions is not a contraindication to epinephrine administration in an acute, life-threatening situation. Therefore, patients with these conditions, and/or any other person who might be in a position to administer AUVI-Q to a patient experiencing anaphylaxis should be carefully instructed in regard to the circumstances under which epinephrine should be used.

  • Patients with Heart Disease

Epinephrine should be administered with caution to patients who have heart disease, including patients with cardiac arrhythmias, coronary artery or organic heart disease, or hypertension. In such patients, or in patients who are on drugs that may sensitize the heart to arrhythmias, epinephrine may precipitate or aggravate angina pectoris as well as produce ventricular arrhythmias [see Drug Interactions ( 7) and Adverse Reactions ( 6)] .

  • Other Patients and Diseases

Epinephrine should be administered with caution to patients with hyperthyroidism, diabetes, elderly individuals, and pregnant women. Patients with Parkinson’s disease may notice a temporary worsening of symptoms.

5 Warnings and Precautions
  • In conjunction with use, seek immediate medical or hospital care. ( 5.1)
  • Do not inject intravenously, into buttock, or into digits, hands, or feet. ( 5.2)
  • To minimize the risk of injection-related injury, instruct caregivers to hold the child’s leg firmly in place and limit movement prior to and during injection when administering to young children or infants. ( 5.2)
  • Rare cases of serious skin and soft tissue infections have been reported following epinephrine injection. Advise patients to seek medical care if they develop signs or symptoms of infection at the epinephrine injection site. ( 5.3)
  • The presence of a sulfite in this product should not deter use. ( 5.4)
  • Administer with caution in patients with heart disease; may aggravate angina pectoris or produce ventricular arrhythmias. ( 5.5)
2 Dosage and Administration

Selection of the appropriate dosage strength (AUVI-Q 0.3 mg, AUVI-Q 0.15 mg or AUVI-Q 0.1 mg) is determined according to patient body weight.

  • Patients greater than or equal to 30 kg (approximately 66 pounds or more): AUVI-Q 0.3 mg
  • Patients 15 to 30 kg (33 to 66 pounds): AUVI-Q 0.15 mg
  • Patients 7.5 to 15 kg (16.5 to 33 pounds): AUVI-Q 0.1 mg

Inject AUVI-Q intramuscularly or subcutaneously into the anterolateral aspect of the thigh, through clothing if necessary. Instruct caregivers of young children and infants who are prescribed AUVI-Q and who may be uncooperative and kick or move during an injection to hold the child’s leg firmly in place and limit movement prior to and during an injection [see Warnings and Precautions ( 5.2)] .

Each AUVI-Q contains a single dose of epinephrine for single-dose injection. Since the doses of epinephrine delivered from AUVI-Q are fixed, consider using other forms of injectable epinephrine if doses lower than 0.1 mg are deemed necessary.

The prescriber should carefully assess each patient to determine the most appropriate dose of epinephrine, recognizing the life-threatening nature of the reactions for which this drug is indicated. With severe persistent anaphylaxis, repeat injections with an additional AUVI-Q may be necessary. More than two sequential doses of epinephrine should only be administered under direct medical supervision [see Warnings and Precautions ( 5.1)] .

The epinephrine solution in the viewing window of AUVI-Q should be inspected visually for particulate matter and discoloration. Epinephrine is light sensitive and should be stored in the outer case provided to protect it from light [see How Supplied/ Storage and Handling ( 16)] .

3 Dosage Forms and Strengths

Injection:

  • 0.3 mg/0.3 mL epinephrine injection, USP, pre-filled autoinjector
  • 0.15 mg/0.15 mL epinephrine injection, USP, pre-filled autoinjector
  • 0.1 mg/0.1 mL epinephrine injection, USP, pre-filled autoinjector
8 Use in Specific Populations
  • Elderly patients may be at greater risk of developing adverse reactions. ( 5.5, 8.5)
17 Patient Counseling Information

Advise the patient to read the FDA-approved patient labeling (Patient Information and Instructions for Use).

A healthcare provider should review the patient instructions and operation of AUVI-Q, in detail, with the patient or caregiver.

Epinephrine is essential for the treatment of anaphylaxis. Patients who are at risk of or with a history of severe allergic reactions (anaphylaxis) to insect stings or bites, foods, drugs, and other allergens, as well as idiopathic and exercise-induced anaphylaxis, should be carefully instructed about the circumstances under which epinephrine should be used.

5.2 Injection Related Complications

AUVI-Q should ONLYbe injected into the anterolateral aspect of the thigh [see Dosage and Administration ( 2) and Patient Counseling Information ( 17)] .

  • Do not inject intravenously.Large doses or accidental intravenous injection of epinephrine may result in cerebral hemorrhage due to sharp rise in blood pressure. Rapidly acting vasodilators can counteract the marked pressor effects of epinephrine if there is such inadvertent administration.
  • Do not inject into buttock.Injection into the buttock may not provide effective treatment of anaphylaxis. Advise the patient to go immediately to the nearest emergency room for further treatment of anaphylaxis. Additionally, injection into the buttock has been associated with Clostridial infections (gas gangrene). Cleansing with alcohol does not kill bacterial spores, and therefore, does not lower this risk.
  • Do not inject into digits, hands or feet.Since epinephrine is a strong vasoconstrictor, accidental injection into the digits, hands or feet may result in loss of blood flow to the affected area. Advise the patient to go immediately to the nearest emergency room and to inform the healthcare provider in the emergency room of the location of the accidental injection. Treatment of such inadvertent administration should consist of vasodilation, in addition to further appropriate treatment of anaphylaxis [see Adverse Reactions ( 6)] .
  • Hold leg firmly during injection.To minimize the risk of injection-related injury when administering AUVI-Q to young children or infants, instruct caregivers to hold the child’s leg firmly in place and limit movement prior to and during injection.
16 How Supplied/storage and Handling

How Supplied

AUVI-Q (epinephrine injection) is available as an autoinjector as described in Table 1.

Table 1 AUVI-Q Autoinjector Package Configurations and Strengths

Package Configuration Strength National Drug Code (NDC)
2 autoinjectors 0.3 mg NDC 60842-023-02
2 autoinjectors 0.15 mg NDC 60842-022-02
2 autoinjectors 0.1 mg NDC 60842-021-02

Storage and Handling

Epinephrine is light sensitive and should be stored in the outer case provided to protect it from light. Store at 20℃ to 25℃ (68℉ to 77℉); excursions permitted to 15℃ to 30℃℉ (59℉ to 86℉) [See USP Controlled Room Temperature]. Do not freeze. Before using, check to make sure the solution in the autoinjector is clear and colorless. Replace the autoinjector if the solution is discolored, cloudy, or contains particles.

Principal Display Panel Device Label

Principal Display Panel Outer Package

NDC 71872-7333-1

Auvi-Q epinephrine Injection, USP

0.15mg

1 x prefilled auto-injector

RX Only

Principal Display Panel Outer Case Label

5.3 Serious Infections At the Injection Site

Rare cases of serious skin and soft tissue infections, including necrotizing fasciitis and myonecrosis caused by Clostridia (gas gangrene), have been reported at the injection site following epinephrine injection for anaphylaxis. Clostridiumspores can be present on the skin and introduced into the deep tissue with subcutaneous or intramuscular injection. While cleansing with alcohol may reduce the presence of bacteria on the skin, alcohol cleansing does not kill Clostridiumspores. To decrease the potential risk of a rare, but serious Clostridiuminfection, do not inject AUVI-Q into the buttock [see Warnings and Precautions ( 5.2)] . Advise patients to seek medical care if they develop signs or symptoms of infection, such as persistent redness, warmth, swelling, or tenderness, at the epinephrine injection site.

7.2 Drugs Potentiating Effects of Epinephrine

The effects of epinephrine may be potentiated by tricyclic antidepressants, monoamine oxidase inhibitors, levothyroxine sodium, and certain antihistamines, notably chlorpheniramine, tripelennamine, and diphenhydramine.

7.3 Drugs Antagonizing Effects of Epinephrine

The cardiostimulating and bronchodilating effects of epinephrine are antagonized by beta-adrenergic blocking drugs, such as propranolol.

The vasoconstricting and hypertensive effects of epinephrine are antagonized by alpha-adrenergic blocking drugs, such as phentolamine.

Ergot alkaloids may also reverse the pressor effects of epinephrine.

5.4 Allergic Reactions Associated With Sulfite

Epinephrine is the preferred treatment for serious allergic reactions or other emergency situations even though this product contains sodium bisulfite, a sulfite that may, in other products, cause allergic-type reactions including anaphylactic symptoms or life-threatening or less severe asthmatic episodes in certain susceptible persons.

The presence of a sulfite in this product should not deter administration of the drug for treatment of serious allergic or other emergency situations even if the patient is sulfite-sensitive.

The alternatives to using epinephrine in a life-threatening situation may not be satisfactory.

7.1 Drugs Increasing Risk of Cardiac Arrhythmias

Patients who receive epinephrine while concomitantly taking cardiac glycosides, diuretics, or anti-arrhythmics should be observed carefully for the development of cardiac arrhythmias [see Warnings and Precautions ( 5.5)] .

13.1 Carcinogenesis, Mutagenesis, Impairment of Fertility

Long-term studies to evaluate the carcinogenic potential of epinephrine have not been conducted.

Epinephrine and other catecholamines have been shown to have mutagenic potential in vitro. Epinephrine was positive in the Salmonellabacterial reverse mutation assay, positive in the mouse lymphoma assay, and negative in the in vivomicronucleus assay. Epinephrine is an oxidative mutagen based on the E. coliWP2 Mutoxitest bacterial reverse mutation assay. This should not prevent the use of epinephrine under the conditions noted under the Indications and Usage ( 1) .

The potential for epinephrine to impair reproductive performance has not been evaluated, but epinephrine has been shown to decrease implantation in female rabbits dosed subcutaneously with 1.2 mg/kg/day (40-fold the highest human intramuscular or subcutaneous daily dose) during gestation days 3 to 9.


Structured Label Content

Section 42229-5 (42229-5)

Administration and Training

Instruct patients and/or caregivers in the appropriate use of AUVI-Q. AUVI-Q should be injected into the middle of the outer thigh (through clothing, if necessary). Each device is a single-dose injection. Advise patients to seek immediate medical care in conjunction with administration of AUVI-Q.

Young children or infants may be uncooperative and kick or move during an injection. Instruct caregivers to hold the leg of young children or infants firmly in place and limit movement prior to and during injection [see Warnings and Precautions ( 5.2)] .

Complete patient information, including dosage, directions for proper administration and precautions can be found inside each AUVI-Q carton. Review AUVI-Q’s instructional and safety systems with patients and/or caregivers. These systems include the printed label on the surface of AUVI-Q showing instructions for use and a diagram depicting the injection process, an automatic needle retraction system, visual prompts, electronic beeps, and voice instructions for use. Instruct patients and/or caregivers that the needle will not be visible after the injection and they may not feel the injection when it occurs. Instruct patients that AUVI-Q includes a 2-second countdown after it is activated and then the voice instructions will indicate the injection is complete and to seek emergency medical attention. Instruct patients that AUVI-Q’s black base will lock up onto the device housing and the lights will blink red after the injection is complete. These post-use indicators help patients and/or caregivers know that AUVI-Q has been activated and an epinephrine injection administered.

Instruct patients and/or caregivers to use and practice with the Trainer to familiarize themselves with the use of AUVI-Q in an allergic emergency. The Trainer may be used multiple times.

Section 59845-8 (59845-8)

Instructions for Use

Read these Instructions for Use carefully before you need to use your AUVI-Q. Before you use AUVI-Q, make sure your healthcare provider shows you the right way to use it. If you have any questions, ask your healthcare provider.

If you are administering AUVI-Q to a young child or infant, hold the leg firmly in place and limit movement prior to and while administering an injection.

Automated Voice Instructions

AUVI-Q contains an electronic voice instruction system to help guide you through each step of your injection. If the voice instructions do not work for any reason, use AUVI-Q as instructed in these Instructions for Use. It will still work during an allergic reaction emergency.

How to use your AUVI-Q

Figure A.

1. Pull AUVI-Q up from the outer case. See Figure B.

Do not
go to step 2 until you are ready to use AUVI-Q. If you are not ready to use AUVI-Q, put it back in the outer case.

Figure B.

2. Pull Red safety guard down and off of AUVI-Q. See Figure C.

To reduce the chance of an accidental injection, do not touch the black base of the auto-injector, which is where the needle comes out. If an accidental injection happens, get medical help right away.

Note:The red safety guard is made to fit tight. Pull firmly to remove.

Figure C.

3. Place black end of AUVI-Q against the middle of the outer thigh (through clothing, if needed), then push firmly until you hear a click and hiss sound, and hold in place for 2 seconds. See Figure D.

Onlyinject into the middle of the outer thigh. Do notinject into any other part of the body.

If you are administering AUVI-Q to a young child or infant, hold the leg firmly in place while administering an injection See Figure E.

Figure D.

(For AUVI-Q 0.3 mg and AUVI-Q 0.15 mg)

Figure E.

(For AUVI-Q 0.1 mg)

Note:AUVI-Q makes a distinct sound (click and hiss) when you push it against your outer thigh. This is normal and indicates AUVI-Q is working correctly. Do not pull AUVI-Q away from your leg when you hear the click and hiss sound.

The needle automatically retracts after the injection is complete, so the needle will not be visible after the injection. AUVI-Q includes a 2-second countdown after it is activated, then the voice instruction will indicate the injection is complete, and to seek emergency medical attention, AUVI-Q will beep, and the lights will blink red.

4. Get emergency medical help right away.

Replace the outer case and talk to your healthcare provider about the right way to throw away your AUVI-Q.

Ask your healthcare provider for an AUVI-Q prescription refill.

After the use of AUVI-Q:

  • The black base will lock into place.
  • The voice instruction system will say “seek emergency medical attention”, say “this AUVI-Q has been used…”, and the lights will blink red.
  • Do not replace the red safety guard.
  • The viewing window will no longer be clear.
  • It is normal for some medicine to remain in your AUVI-Q after you have received your dose of medicine.
  • Talk to your healthcare provider about the right way to throw away your AUVI-Q.
  • AUVI-Q is a single-dose auto-injector and cannot be reused. AUVI-Q must be used or properly disposed once the red safety guard is removed.

Until you throw away your used AUVI-Q, the electronic voice instruction system will remind you that it has been used when the outer case is removed.

If you will be administering AUVI-Q to a young child or infant, ask your healthcare provider to show you how to properly hold the leg in place while administering a dose.

This Patient Information has been approved by the U.S. Food and Drug Administration.

Rev. Feb 2024

Manufactured for:

kaleo, Inc.

Richmond, VA 23219 USA

This product may be covered by one or more U.S. patents or pending patent applications; see www.kaleo.comfor details. KALÉO® and AUVI-Q® are registered trademarks of kaleo, Inc.

© 2024 kaleo, Inc.

*For California Only: This product uses batteries containing Perchlorate Material – special handling may apply. See www.dtsc.ca.gov/hazardouswaste/perchlorate





10 Overdosage (10 OVERDOSAGE)

Overdosage of epinephrine may produce extremely elevated arterial pressure, which may result in cerebrovascular hemorrhage, particularly in elderly patients. Overdosage may also result in pulmonary edema because of peripheral vascular constriction together with cardiac stimulation. Treatment consists of rapidly acting vasodilators or alpha-adrenergic blocking drugs and/or respiratory support.

Epinephrine overdosage can also cause transient bradycardia followed by tachycardia, and these may be accompanied by potentially fatal cardiac arrhythmias. Premature ventricular contractions may appear within one minute after injection and may be followed by multifocal ventricular tachycardia (prefibrillation rhythm). Subsidence of the ventricular effects may be followed by atrial tachycardia and occasionally by atrioventricular block. Treatment of arrhythmias consists of administration of a beta-adrenergic blocking drug such as propranolol.

Overdosage sometimes results in extreme pallor and coldness of the skin, metabolic acidosis, and kidney failure. Suitable corrective measures must be taken in such situations.

8.1 Pregnancy

Risk Summary

There are no adequate and well controlled studies of the acute effect of epinephrine in pregnant women. In animal reproductive studies, epinephrine administered by the subcutaneous route to rabbits, mice, and hamsters during the period of organogenesis was teratogenic at doses 7 times and higher than the maximum recommended human intramuscular and subcutaneous dose on a mg/m 2basis. Epinephrine is the first-line medication of choice for the treatment of anaphylaxis during pregnancy in humans. Epinephrine should be used for treatment of anaphylaxis during pregnancy in the same manner as it is used in non-pregnant patients.

In the U.S. general population, the estimated background risk of major birth defects and miscarriage in clinically recognized pregnancies is 2 to 4% and 15 to 20%, respectively.

Clinical Considerations

Disease-associated maternal and embryo/fetal risk:

During pregnancy, anaphylaxis can be catastrophic and can lead to hypoxic-ischemic encephalopathy and permanent central nervous system damage or death in the mother and, more commonly, in the fetus or neonate. The prevalence of anaphylaxis occurring during pregnancy is reported to be approximately 3 cases per 100,000 deliveries.

Management of anaphylaxis during pregnancy is similar to management in the general population. Epinephrine is the first line-medication of choice for treatment of anaphylaxis; it should be used in the same manner in pregnant and non-pregnant patients. In conjunction with the administration of epinephrine, the patient should seek immediate medical or hospital care.

Data

Animal Data:

In an embryofetal development study with rabbits dosed during the period of organogenesis, epinephrine was shown to be teratogenic (including gastroschisis and embryonic lethality) at doses approximately 40 times the maximum recommended intramuscular or subcutaneous dose (on a mg/m 2basis at a maternal subcutaneous dose of 1.2 mg/kg/day for two to three days).

In an embryofetal development study with mice dosed during the period of organogenesis, epinephrine was shown to be teratogenic (including embryonic lethality) at doses approximately 8 times the maximum recommended intramuscular or subcutaneous dose (on a mg/m 2basis at a maternal subcutaneous dose of 1 mg/kg/day for 10 days). These effects were not seen in mice at approximately 4 times the maximum recommended daily intramuscular or subcutaneous dose (on a mg/m 2basis at a subcutaneous maternal dose of 0.5 mg/kg/day for 10 days).

In an embryofetal development study with hamsters dosed during the period of organogenesis from gestation days 7 to 10, epinephrine was shown to be teratogenic at doses approximately 7 times the maximum recommended daily intramuscular or subcutaneous dose (on a mg/m 2basis at a maternal subcutaneous dose of 0.5 mg/kg/day for 4 days).

8.2 Lactation

Risk Summary

There is no information on the presence of epinephrine in human milk, the effects on breastfed infants, or the effects on milk production. Epinephrine is the first line-medication of choice for treatment of anaphylaxis; it should be used in the same manner in breastfeeding and non-breastfeeding patients.

11 Description (11 DESCRIPTION)

AUVI-Q (epinephrine injection, USP) 0.3 mg, 0.15 mg and 0.1 mg is an autoinjector and a combination product containing drug and device components.

AUVI-Q includes audible (electronic voice instructions, beeps) and visible (LED lights) cues for use. The needle automatically retracts after the injection is complete.

Each AUVI-Q 0.3 mg delivers a single dose of 0.3 mg epinephrine from epinephrine injection, USP (0.3 mL) in a sterile solution.

Each AUVI-Q 0.15 mg delivers a single dose of 0.15 mg epinephrine from epinephrine injection, USP (0.15 mL) in a sterile solution.

Each AUVI-Q 0.1 mg delivers a single dose of 0.1 mg epinephrine from epinephrine injection, USP (0.1 mL) in a sterile solution .

AUVI-Q 0.3 mg, AUVI-Q 0.15 mg and AUVI-Q 0.1 mg each contain 0.76 mL epinephrine solution. 0.3 mL, 0.15 mL and 0.1 mL epinephrine solution is dispensed for AUVI-Q 0.3 mg, AUVI-Q 0.15 mg and AUVI-Q 0.1 mg, respectively, when activated. The remaining solution is not available for future use and should be discarded.

Each 0.3 mL in AUVI-Q 0.3 mg contains 0.3 mg epinephrine, 2.3 mg sodium chloride, 0.5 mg sodium bisulfite, hydrochloric acid to adjust pH, and water for injection. The pH range is 2.2–5.0.

Each 0.15 mL in AUVI-Q 0.15 mg contains 0.15 mg epinephrine, 1.2 mg sodium chloride, 0.2 mg sodium bisulfite, hydrochloric acid to adjust pH, and water for injection. The pH range is 2.2–5.0.

Each 0.1 mL in AUVI-Q 0.1 mg contains 0.1 mg epinephrine, 0.78 mg sodium chloride, 0.15 mg sodium bisulfite, hydrochloric acid to adjust pH, and water for injection. The pH range is 2.2–5.0.

Epinephrine is a sympathomimetic catecholamine. Chemically, epinephrine is (-)-3,4-Dihydroxy-α-[(methylamino)methyl]benzyl alcohol with the following structure:

Epinephrine solution deteriorates rapidly on exposure to air or light, turning pink from oxidation to adrenochrome and brown from the formation of melanin.

AUVI-Q is not made with natural rubber latex.

AUVI-Q instructional and safety systems should be thoroughly reviewed with patients and caregivers prior to use [see Patient Counseling Information ( 17)] .

8.4 Pediatric Use

AUVI-Q may be administered to pediatric patients at a dosage appropriate to body weight [see Dosage and Administration ( 2)] . Clinical experience with the use of epinephrine suggests that the adverse reactions seen in children are similar in nature and extent to those both expected and reported in adults. Since the doses of epinephrine delivered from AUVI-Q are fixed, consider using other forms of injectable epinephrine if doses lower than 0.1 mg are deemed necessary.

8.5 Geriatric Use

Clinical studies of AUVI-Q did not include sufficient numbers of subjects aged 65 and over to determine whether they respond differently from younger subjects. Other reported clinical experience has not identified differences in responses between the elderly and younger patients. Epinephrine should be administered with caution in elderly individuals, who may be at greater risk for developing adverse reactions after epinephrine administration [see Warnings and Precautions ( 5.5), Overdosage ( 10)] .

4 Contraindications (4 CONTRAINDICATIONS)

None.

6 Adverse Reactions (6 ADVERSE REACTIONS)

Due to lack of randomized, controlled clinical trials of epinephrine for the treatment of anaphylaxis, the true incidence of adverse reactions associated with the systemic use of epinephrine is difficult to determine. Adverse reactions reported in observational trials, case reports, and studies are listed below.

Common adverse reactions to systemically administered epinephrine include anxiety; apprehensiveness; restlessness; tremor; weakness; dizziness; sweating; palpitations; pallor; nausea and vomiting; headache; and/or respiratory difficulties. These symptoms occur in some persons receiving therapeutic doses of epinephrine, but are more likely to occur in patients with hypertension or hyperthyroidism [see Warnings and Precautions ( 5.5)] .

Arrhythmias, including fatal ventricular fibrillation, have been reported, particularly in patients with underlying cardiac disease or those receiving certain drugs [see Warnings and Precautions ( 5.5) and Drug Interactions ( 7)] .

Rapid rises in blood pressure have produced cerebral hemorrhage, particularly in elderly patients with cardiovascular disease [see Warnings and Precautions ( 5.5)] .

Angina may occur in patients with coronary artery disease [see Warnings and Precautions ( 5.5)] .

Rare cases of stress cardiomyopathy have been reported in patients treated with epinephrine.

Accidental injection into the digits, hands or feet may result in loss of blood flow to the affected area [see Warnings and Precautions ( 5.2)] .

Adverse events experienced as a result of accidental injections may include increased heart rate, local reactions including injection site pallor, coldness and hypoesthesia or injury at the injection site resulting in bruising, bleeding, discoloration, erythema or skeletal injury.

Injection of epinephrine into the buttock has resulted in cases of gas gangrene [see Warnings and Precautions ( 5.2)] .

Rare cases of serious skin and soft tissue infections, including necrotizing fasciitis and myonecrosis caused by Clostridia (gas gangrene), have been reported at the injection site following epinephrine injection in the thigh [see Warnings and Precautions ( 5.2)] .

7 Drug Interactions (7 DRUG INTERACTIONS)
  • Cardiac glycosides or diuretics: observe for development of cardiac arrhythmias. ( 7)
  • Tricyclic antidepressants, monoamine oxidase inhibitors, levothyroxine sodium, and certain antihistamines: potentiate effects of epinephrine. ( 7)
  • Beta-adrenergic blocking drugs: antagonize cardiostimulating and bronchodilating effects of epinephrine. ( 7)
  • Alpha-adrenergic blocking drugs: antagonize vasoconstricting and hypertensive effects of epinephrine. ( 7)
  • Ergot alkaloids: may reverse the pressor effects of epinephrine. ( 7)
Patient Information (PATIENT INFORMATION)

AUVI-Q® [Aw-Vee-Kyoo] (epinephrine injection)

Auto-Injector

For allergic emergencies (anaphylaxis)

Read this Patient Information Leaflet before you have to use AUVI-Q and each time you get a refill. There may be new information. You should know how to use AUVI-Q before you have an allergic emergency. This information does not take the place of talking with your healthcare provider about your medical condition or your treatment.

What is the most important information I should know about AUVI-Q?

  • Always carry AUVI-Q with you because you may not know when a life-threatening allergic reaction (anaphylactic reaction) may happen. Talk to your doctor if you need additional units to keep at work, school, etc. An anaphylactic reaction is a life-threatening allergic reaction that can happen within minutes and can be caused by stinging and biting insects (bees, wasps, hornets, and mosquitoes), allergy shots, foods, medicines, exercise, or other unknown causes. Follow your healthcare provider’s instructions on when to use AUVI-Q if you have the symptoms of an anaphylactic reaction, which may include the symptoms listed below:
    • trouble breathing
    • wheezing
    • hoarseness (changes in the way your voice sounds)
    • hives (raised reddened rash that may itch)
    • severe itching
    • swelling of your face, lips, mouth or tongue
    • skin rash, redness, or swelling
    • fast heartbeat
    • weak pulse
    • feeling very anxious
    • confusion
    • stomach pain
    • losing control of urine or bowel movements
    • dizziness or fainting
  • Tell your family members and others where you keep AUVI-Q and how to use it before you need it. You may be unable to speak in an allergic emergency.
  • Get medical attention immediately after using AUVI-Q. If you have a serious allergic reaction, you may need more medicine.

What is AUVI-Q?

AUVI-Q is a prescription medicine used to treat life-threatening allergic reactions including anaphylaxis in people who are at risk for or have a history of serious allergic reactions.

AUVI-Q is for immediate self (or caregiver) administration and does not take the place of emergency medical care. You should get emergency medical help right away after using AUVI-Q.

It is not known if AUVI-Q is safe and effective in children who weigh less than 16.5 pounds (7.5 kg).

What should I tell my healthcare provider before using AUVI-Q?

Before you use AUVI-Q, tell your healthcare provider if you:

  • have heart problems or high blood pressure
  • have diabetes
  • have thyroid problems
  • have history of depression
  • have Parkinson’s disease
  • have any other medical conditions
  • are pregnant or plan to become pregnant. It is not known if AUVI-Q will harm your unborn baby.
  • are breastfeeding or plan to breastfeed. It is not known if AUVI-Q passes into your breast milk.

Tell your healthcare provider about all the medicines you take,

including prescription and non-prescription medicines, vitamins, and herbal supplements.

AUVI-Q and other medicines may affect each other, causing side effects. AUVI-Q may affect the way other medicines work, and other medicines may affect how AUVI-Q works.

Know the medicines you take. Keep a list of them to show your healthcare provider and pharmacist when you get a new medicine.

How should I use AUVI-Q?

  • Each AUVI-Q contains only 1 dose of medicine.
  • AUVI-Q should only be injected into the muscle of your outer thigh. It can be injected through your clothing, if needed.
  • Read the Instructions for Use at the end of this Patient Information Leaflet for information about the right way to use AUVI-Q.
  • Use AUVI-Q exactly as your healthcare provider tells you to use it.
  • You may request a Trainer for AUVI-Q. Additional training resources are available at www.auvi-q.com.
    • Practice with the Trainer for AUVI-Q before an allergic emergency happens to familiarize yourself with the use of AUVI-Q in an allergic emergency.
    • The Trainer for AUVI-Q does not contain a needle or medicine and can be reused to practice your injection.

What are the possible side effects of AUVI-Q?

AUVI-Q may cause serious side effects.

  • AUVI-Q should only be injected into your outer thigh. Do notinject AUVI-Q into your:
    • veins
    • buttocks
    • fingers, toes, hands or feet
    If you accidentally inject AUVI-Q into any other part of your body, go to the nearest hospital emergency room right away. Tell the healthcare provider where on your body you received the accidental injection.
    • Rarely, patients who use AUVI-Q may develop infections at the injection site within a few days of an injection. Some of these infections can be serious. Call your healthcare provider right away if you have any of the following at an injection site:
      • redness that does not go away
      • swelling
      • tenderness
      • the area feels warm to the touch
    • If you inject a young child or infant with AUVI-Q, hold their leg firmly in place before and during the injection to prevent injuries. Ask your healthcare provider to show you how to properly hold the leg of a young child or infant during an injection.
  • If you have certain medical conditions, or take certain medicines, your condition may get worse or you may have more or longer lasting side effects when you use AUVI-Q. Talk to your healthcare provider about all your medical conditions.

Common side effects of AUVI-Q include:

  • fast, irregular, or ‘pounding’ heart beat
  • sweating
  • shakiness
  • headache
  • paleness
  • feelings of over excitement, nervousness, or anxiety
  • weakness
  • dizziness
  • nausea and vomiting
  • breathing problems

Tell your healthcare provider if you have any side effect that bothers you or that does not go away.

These are not all of the possible side effects of AUVI-Q. For more information, ask your healthcare provider or pharmacist.

Call your doctor for medical advice about side effects. You may report side effects to FDA at 1-800-FDA-1088.

How should I store AUVI-Q?

  • Store AUVI-Q at 68° to 77°F (20° to 25°C).
  • Do NOT freeze. Do NOT expose to extreme heat or cold. For example, do NOT store in your vehicle’s glove box.
  • Examine contents in the viewing window periodically. Solution should be clear. If the solution is discolored (pinkish color or darker than slightly yellow), cloudy or contains solid particles, replace the unit.
  • Your AUVI-Q has an expiration date. Replace it before the expiration date.
  • Keep AUVI-Q in the outer case it comes in to protect it from light.

Keep AUVI-Q and all medicines out of the reach of children.

General information about the safe and effective use of AUVI-Q:

Medicines are sometimes prescribed for purposes other than those listed in a Patient Information Leaflet. Do not use AUVI-Q for a condition for which it was not prescribed. Do not give AUVI-Q to other people, even if they have an allergic reaction or the same symptoms that you have. It may harm them.

This Patient Information Leaflet summarizes the most important information about AUVI-Q. If you would like more information, talk to your healthcare provider. You can ask your pharmacist or healthcare provider for information about AUVI-Q that is written for health professionals.

For more information and video instructions on the use of AUVI-Q, go to www.auvi-q.comor call 1-877-302-8847.

What are the ingredients in AUVI-Q?

Active ingredient:
epinephrine.

Inactive Ingredients:sodium chloride, sodium bisulfite, hydrochloric acid, and water.

AUVI-Q does not contain latex.

Trainer for Auvi Q® (TRAINER FOR AUVI-Q®)

Important:

The TRAINER for AUVI-Q Does Not contain a needle or medicine.

In case of an allergic emergency, use the real AUVI-Q and not the gray Trainer.

Always carry your real Auvi-Q with you in case of an allergic emergency.

Important Information about the TRAINER for AUVI-Q:

Inside your TRAINER for AUVI-Q are:

  • batteries
  • a speaker that will make a beeping sound and that produces electronic voice instructions
  • red and green blinking lights

The TRAINER for AUVI-Q batteries are made to last long enough for you to practice 1 time each day for 2 years. If your TRAINER for AUVI-Q does not work properly call your healthcare provider for a new Trainer.

What is the TRAINER for AUVI-Q?
  • The TRAINER for AUVI-Q does not contain a needle or medicine and can be reused to practice your injection.
  • Practice with the TRAINER for AUVI-Q before an allergic emergency happens to make sure you are able to safely use the real AUVI-Q in an emergency.
Your TRAINER for AUVI-Q

Figure A
TRAINER for AUVI-Q



Top view
AUVI-Q



AUVI-Q 0.3 mg is orange



AUVI-Q 0.15 mg is blue



AUVI-Q 0.1 mg is white and lavender
TRAINER for AUVI-Q:
  • is inside a gray outer case
  • does not have a needle or medicine inside
  • can be reused (the red safety guard can be placed back on the base of the Trainer after use)
  • has no expiration date
  • has embossed “TRAINER” on top of the device
AUVI-Q:
  • is inside an orange (0.3 mg)or blue (0.15 mg)or white and lavender (0.1 mg) outer case
  • contains a needle and epinephrine medicine
  • cannot be reused(AUVI-Q must be used or properly disposed once the red safety guard is removed)
  • has a medicine expiration date listed on the device
In case of an allergic emergency, use the real AUVI-Q and notthe gray Trainer.


Who should practice using the TRAINER for AUVI-Q?



Anyone who may need to help you with AUVI-Q in case of an allergic emergency:
  • You
  • Caregivers
  • Family
  • Friends
  • Co-workers
  • Teachers
  • Child Care or Day Care Workers
Have them practice using the Trainer and review the Patient Information Leaflet included in the packaging with each prescription of AUVI-Q.



For more information and video instructions on the use of AUVI -Q, go to www.AUVI-Q.comor call 1-877-302-8847.


Practicing with the TRAINER for AUVI-Q



Practice with the TRAINER for AUVI-Q before an allergic emergency happens to make sure you are able to safely use the real AUVI-Q in an emergency.



  • You should practice daily for the first week after you receive your TRAINER for AUVI-Q to help you feel comfortable using AUVI-Q quickly and safely. Even when you are comfortable using the Trainer, continue to practice using it often.
How to Use the Trainer



How the TRAINER for AUVI-Q works



Although the Trainer does not have a needle and contains no medicine, it works the same way as the real AUVI-Q.



As with the real AUVI-Q, the TRAINER for AUVI-Q contains an electronic voice instruction system to help guide you through each step of your injection. If the voice instructions do not work for the TRAINER for AUVI-Q for any reason, you can still use the TRAINER for AUVI-Q as instructed in this leaflet to practice.



The TRAINER for AUVI-Q has the same blinking red and green lights as the real AUVI-Q.



As with the real AUVI-Q, if practicing with a young child or infant, hold the leg firmly in place while using the TRAINER for AUVI-Q. Ask your healthcare provider to show you how to properly hold the leg to practice so that you will be prepared before an allergic emergency happens.



Follow These Steps
1.Pull the TRAINER for AUVI-Q from the outer case.See Figure B

2. Pull Red safety guard down and off of the Trainer.See Figure C.

Figure B

Figure C

Note: The red safety guard is made to fit tight similar to the safety guard on the real AUVI-Q. Pull firmly to remove.
3. Place black end against the middle of the outer thigh (through clothing, if needed), then push firmly until you hear a click and hiss sound, and hold in place for 2 seconds.See Figure D.



As with the real AUVI-Q, if practicing with a young child or infant, hold the leg firmly in place while using the TRAINER for AUVI-Q.(See Figure E).
Figure D

Figure E

Note: In an actual emergency, after the injection you would need to seek medical help right away.



Onlypractice using the middle of your outer thigh. The outer thigh is where you would inject with the real AUVI-Q.



Note: The TRAINER for AUVI-Q makes a distinct sound (click and hiss) when you push it firmly against your outer thigh. This is the same sound that is made with the real AUVI-Q. This is normal, and indicates AUVI-Q is working correctly. Do not pull AUVI-Q away from your leg when you hear the click and hiss sound.
4. After practicing, reset the TRAINER for AUVI-Q:

    a. Replace the Red safety guard.Do not hold the black base while inserting the Red safety guard. The Black base will drop down into its original location during Red safety guard insertion. See Figure F.

    b. Slide the TRAINER for AUVI-Q all the way back into the gray outer case to reset the electronic voice system.See Figure G.
Figure F

Figure G

Note: Leave the TRAINER for AUVI-Q in its outer case for at least 5 seconds between each time you practice to allow the electronic voice system to reset.

Storage:

  • Store the TRAINER for AUVI-Q at room temperature; the TRAINER for AUVI-Q should not be used at temperatures less than 50°F (10°C) or greater than 104°F (40°C).
  • Store the TRAINER for AUVI-Q in its outer case.
  • Keep the TRAINER for AUVI-Q away from dirt, chemicals, and water.

Disposal:

The TRAINER for AUVI-Q contains electronics and lithium coin cell batteries, and should be disposed of in the correct manner. Follow your State and local environmental regulations for disposal.

For California Only: This product uses batteries containing Perchlorate Material - special handling may apply. See www.dtsc.ca.gov/hazardouswaste/perchlorate



Manufactured for:

kaleo, Inc.

Richmond, VA 23219 USA

This product may be covered by one or more U.S. patents or pending patent applications; see www.kaleo.comfor details. KALÉO® and AUVI-Q® are registered trademarks of kaleo, Inc.

© 2024 kaleo, Inc.

Rev. Feb 2024





12.2 Pharmacodynamics

Through its action on alpha-adrenergic receptors, epinephrine lessens the vasodilation and increased vascular permeability that occurs during anaphylaxis, which can lead to loss of intravascular fluid volume and hypotension.

Through its action on beta-adrenergic receptors, epinephrine causes bronchial smooth muscle relaxation and helps alleviate bronchospasm, wheezing and dyspnea that may occur during anaphylaxis.

Epinephrine also alleviates pruritus, urticaria, and angioedema and may relieve gastrointestinal and genitourinary symptoms associated with anaphylaxis because of its relaxer effects on the smooth muscle of the stomach, intestine, uterus and urinary bladder.

When given subcutaneously or intramuscularly, epinephrine has a rapid onset and short duration of action.

1 Indications and Usage (1 INDICATIONS AND USAGE)

AUVI-Q® is indicated in the emergency treatment of allergic reactions (Type I) including anaphylaxis to stinging insects (e.g., order Hymenoptera, which include bees, wasps, hornets, yellow jackets and fire ants) and biting insects (e.g., triatoma, mosquitoes), allergen immunotherapy, foods, drugs, diagnostic testing substances (e.g., radiocontrast media) and other allergens, as well as idiopathic anaphylaxis or exercise-induced anaphylaxis.

AUVI-Q is intended for immediate administration in patients who are determined to be at increased risk for anaphylaxis, including individuals with a history of anaphylactic reactions.

Anaphylactic reactions may occur within minutes after exposure and consist of flushing, apprehension, syncope, tachycardia, thready or unobtainable pulse associated with a fall in blood pressure, convulsions, vomiting, diarrhea and abdominal cramps, involuntary voiding, wheezing, dyspnea due to laryngeal spasm, pruritus, rashes, urticaria or angioedema.

AUVI-Q is intended for immediate self-administration as emergency supportive therapy only and is not a substitute for immediate medical care.

5.1 Emergency Treatment

AUVI-Q is not intended as a substitute for immediate medical care. In conjunction with the administration of epinephrine, the patient should seek immediate medical or hospital care.More than two sequential doses of epinephrine should only be administered under direct medical supervision [see Indications and Usage ( 1), Dosage and Administration ( 2) and Patient Counseling Information ( 17)] .

12.1 Mechanism of Action

Epinephrine acts on both alpha and beta-adrenergic receptors.

5.5 Disease Interactions

Some patients may be at greater risk for developing adverse reactions after epinephrine administration. Despite these concerns, it should be recognized that the presence of these conditions is not a contraindication to epinephrine administration in an acute, life-threatening situation. Therefore, patients with these conditions, and/or any other person who might be in a position to administer AUVI-Q to a patient experiencing anaphylaxis should be carefully instructed in regard to the circumstances under which epinephrine should be used.

  • Patients with Heart Disease

Epinephrine should be administered with caution to patients who have heart disease, including patients with cardiac arrhythmias, coronary artery or organic heart disease, or hypertension. In such patients, or in patients who are on drugs that may sensitize the heart to arrhythmias, epinephrine may precipitate or aggravate angina pectoris as well as produce ventricular arrhythmias [see Drug Interactions ( 7) and Adverse Reactions ( 6)] .

  • Other Patients and Diseases

Epinephrine should be administered with caution to patients with hyperthyroidism, diabetes, elderly individuals, and pregnant women. Patients with Parkinson’s disease may notice a temporary worsening of symptoms.

5 Warnings and Precautions (5 WARNINGS AND PRECAUTIONS)
  • In conjunction with use, seek immediate medical or hospital care. ( 5.1)
  • Do not inject intravenously, into buttock, or into digits, hands, or feet. ( 5.2)
  • To minimize the risk of injection-related injury, instruct caregivers to hold the child’s leg firmly in place and limit movement prior to and during injection when administering to young children or infants. ( 5.2)
  • Rare cases of serious skin and soft tissue infections have been reported following epinephrine injection. Advise patients to seek medical care if they develop signs or symptoms of infection at the epinephrine injection site. ( 5.3)
  • The presence of a sulfite in this product should not deter use. ( 5.4)
  • Administer with caution in patients with heart disease; may aggravate angina pectoris or produce ventricular arrhythmias. ( 5.5)
2 Dosage and Administration (2 DOSAGE AND ADMINISTRATION)

Selection of the appropriate dosage strength (AUVI-Q 0.3 mg, AUVI-Q 0.15 mg or AUVI-Q 0.1 mg) is determined according to patient body weight.

  • Patients greater than or equal to 30 kg (approximately 66 pounds or more): AUVI-Q 0.3 mg
  • Patients 15 to 30 kg (33 to 66 pounds): AUVI-Q 0.15 mg
  • Patients 7.5 to 15 kg (16.5 to 33 pounds): AUVI-Q 0.1 mg

Inject AUVI-Q intramuscularly or subcutaneously into the anterolateral aspect of the thigh, through clothing if necessary. Instruct caregivers of young children and infants who are prescribed AUVI-Q and who may be uncooperative and kick or move during an injection to hold the child’s leg firmly in place and limit movement prior to and during an injection [see Warnings and Precautions ( 5.2)] .

Each AUVI-Q contains a single dose of epinephrine for single-dose injection. Since the doses of epinephrine delivered from AUVI-Q are fixed, consider using other forms of injectable epinephrine if doses lower than 0.1 mg are deemed necessary.

The prescriber should carefully assess each patient to determine the most appropriate dose of epinephrine, recognizing the life-threatening nature of the reactions for which this drug is indicated. With severe persistent anaphylaxis, repeat injections with an additional AUVI-Q may be necessary. More than two sequential doses of epinephrine should only be administered under direct medical supervision [see Warnings and Precautions ( 5.1)] .

The epinephrine solution in the viewing window of AUVI-Q should be inspected visually for particulate matter and discoloration. Epinephrine is light sensitive and should be stored in the outer case provided to protect it from light [see How Supplied/ Storage and Handling ( 16)] .

3 Dosage Forms and Strengths (3 DOSAGE FORMS AND STRENGTHS)

Injection:

  • 0.3 mg/0.3 mL epinephrine injection, USP, pre-filled autoinjector
  • 0.15 mg/0.15 mL epinephrine injection, USP, pre-filled autoinjector
  • 0.1 mg/0.1 mL epinephrine injection, USP, pre-filled autoinjector
8 Use in Specific Populations (8 USE IN SPECIFIC POPULATIONS)
  • Elderly patients may be at greater risk of developing adverse reactions. ( 5.5, 8.5)
17 Patient Counseling Information (17 PATIENT COUNSELING INFORMATION)

Advise the patient to read the FDA-approved patient labeling (Patient Information and Instructions for Use).

A healthcare provider should review the patient instructions and operation of AUVI-Q, in detail, with the patient or caregiver.

Epinephrine is essential for the treatment of anaphylaxis. Patients who are at risk of or with a history of severe allergic reactions (anaphylaxis) to insect stings or bites, foods, drugs, and other allergens, as well as idiopathic and exercise-induced anaphylaxis, should be carefully instructed about the circumstances under which epinephrine should be used.

5.2 Injection Related Complications (5.2 Injection-Related Complications)

AUVI-Q should ONLYbe injected into the anterolateral aspect of the thigh [see Dosage and Administration ( 2) and Patient Counseling Information ( 17)] .

  • Do not inject intravenously.Large doses or accidental intravenous injection of epinephrine may result in cerebral hemorrhage due to sharp rise in blood pressure. Rapidly acting vasodilators can counteract the marked pressor effects of epinephrine if there is such inadvertent administration.
  • Do not inject into buttock.Injection into the buttock may not provide effective treatment of anaphylaxis. Advise the patient to go immediately to the nearest emergency room for further treatment of anaphylaxis. Additionally, injection into the buttock has been associated with Clostridial infections (gas gangrene). Cleansing with alcohol does not kill bacterial spores, and therefore, does not lower this risk.
  • Do not inject into digits, hands or feet.Since epinephrine is a strong vasoconstrictor, accidental injection into the digits, hands or feet may result in loss of blood flow to the affected area. Advise the patient to go immediately to the nearest emergency room and to inform the healthcare provider in the emergency room of the location of the accidental injection. Treatment of such inadvertent administration should consist of vasodilation, in addition to further appropriate treatment of anaphylaxis [see Adverse Reactions ( 6)] .
  • Hold leg firmly during injection.To minimize the risk of injection-related injury when administering AUVI-Q to young children or infants, instruct caregivers to hold the child’s leg firmly in place and limit movement prior to and during injection.
16 How Supplied/storage and Handling (16 HOW SUPPLIED/STORAGE AND HANDLING)

How Supplied

AUVI-Q (epinephrine injection) is available as an autoinjector as described in Table 1.

Table 1 AUVI-Q Autoinjector Package Configurations and Strengths

Package Configuration Strength National Drug Code (NDC)
2 autoinjectors 0.3 mg NDC 60842-023-02
2 autoinjectors 0.15 mg NDC 60842-022-02
2 autoinjectors 0.1 mg NDC 60842-021-02

Storage and Handling

Epinephrine is light sensitive and should be stored in the outer case provided to protect it from light. Store at 20℃ to 25℃ (68℉ to 77℉); excursions permitted to 15℃ to 30℃℉ (59℉ to 86℉) [See USP Controlled Room Temperature]. Do not freeze. Before using, check to make sure the solution in the autoinjector is clear and colorless. Replace the autoinjector if the solution is discolored, cloudy, or contains particles.

Principal Display Panel Device Label (PRINCIPAL DISPLAY PANEL - Device Label)

Principal Display Panel Outer Package (PRINCIPAL DISPLAY PANEL - OUTER PACKAGE)

NDC 71872-7333-1

Auvi-Q epinephrine Injection, USP

0.15mg

1 x prefilled auto-injector

RX Only

Principal Display Panel Outer Case Label (PRINCIPAL DISPLAY PANEL - Outer Case Label)

5.3 Serious Infections At the Injection Site (5.3 Serious Infections at the Injection Site)

Rare cases of serious skin and soft tissue infections, including necrotizing fasciitis and myonecrosis caused by Clostridia (gas gangrene), have been reported at the injection site following epinephrine injection for anaphylaxis. Clostridiumspores can be present on the skin and introduced into the deep tissue with subcutaneous or intramuscular injection. While cleansing with alcohol may reduce the presence of bacteria on the skin, alcohol cleansing does not kill Clostridiumspores. To decrease the potential risk of a rare, but serious Clostridiuminfection, do not inject AUVI-Q into the buttock [see Warnings and Precautions ( 5.2)] . Advise patients to seek medical care if they develop signs or symptoms of infection, such as persistent redness, warmth, swelling, or tenderness, at the epinephrine injection site.

7.2 Drugs Potentiating Effects of Epinephrine

The effects of epinephrine may be potentiated by tricyclic antidepressants, monoamine oxidase inhibitors, levothyroxine sodium, and certain antihistamines, notably chlorpheniramine, tripelennamine, and diphenhydramine.

7.3 Drugs Antagonizing Effects of Epinephrine

The cardiostimulating and bronchodilating effects of epinephrine are antagonized by beta-adrenergic blocking drugs, such as propranolol.

The vasoconstricting and hypertensive effects of epinephrine are antagonized by alpha-adrenergic blocking drugs, such as phentolamine.

Ergot alkaloids may also reverse the pressor effects of epinephrine.

5.4 Allergic Reactions Associated With Sulfite (5.4 Allergic Reactions Associated with Sulfite)

Epinephrine is the preferred treatment for serious allergic reactions or other emergency situations even though this product contains sodium bisulfite, a sulfite that may, in other products, cause allergic-type reactions including anaphylactic symptoms or life-threatening or less severe asthmatic episodes in certain susceptible persons.

The presence of a sulfite in this product should not deter administration of the drug for treatment of serious allergic or other emergency situations even if the patient is sulfite-sensitive.

The alternatives to using epinephrine in a life-threatening situation may not be satisfactory.

7.1 Drugs Increasing Risk of Cardiac Arrhythmias

Patients who receive epinephrine while concomitantly taking cardiac glycosides, diuretics, or anti-arrhythmics should be observed carefully for the development of cardiac arrhythmias [see Warnings and Precautions ( 5.5)] .

13.1 Carcinogenesis, Mutagenesis, Impairment of Fertility

Long-term studies to evaluate the carcinogenic potential of epinephrine have not been conducted.

Epinephrine and other catecholamines have been shown to have mutagenic potential in vitro. Epinephrine was positive in the Salmonellabacterial reverse mutation assay, positive in the mouse lymphoma assay, and negative in the in vivomicronucleus assay. Epinephrine is an oxidative mutagen based on the E. coliWP2 Mutoxitest bacterial reverse mutation assay. This should not prevent the use of epinephrine under the conditions noted under the Indications and Usage ( 1) .

The potential for epinephrine to impair reproductive performance has not been evaluated, but epinephrine has been shown to decrease implantation in female rabbits dosed subcutaneously with 1.2 mg/kg/day (40-fold the highest human intramuscular or subcutaneous daily dose) during gestation days 3 to 9.


Advanced Ingredient Data


Raw Label Data

All Sections (JSON)