These Highlights Do Not Include All The Information Needed To Use Alosetron Tablets Safely And Effectively. See Full Prescribing Information For Alosetron Tablets.

These Highlights Do Not Include All The Information Needed To Use Alosetron Tablets Safely And Effectively. See Full Prescribing Information For Alosetron Tablets.
SPL v1
SPL
SPL Set ID 2927e7d0-b1b8-4944-a7e8-97b60eb9bb71
Route
ORAL
Published
Effective Date 2023-03-26
Document Type 34391-3 HUMAN PRESCRIPTION DRUG LABEL

Drug Facts

Composition & Product

Active Ingredients
Alosetron (0.5 mg)
Inactive Ingredients
Lactose Monohydrate Magnesium Stearate Cellulose, Microcrystalline Starch, Corn Hypromelloses Polyethylene Glycol, Unspecified Polysorbate 80 Titanium Dioxide Fd&c Blue No. 2

Identifiers & Packaging

Pill Appearance
Imprint: AN249 Shape: oval Color: white Color: blue Size: 11 mm Score: 1
Marketing Status
ANDA Active Since 2023-09-06

Description

Infrequent but serious gastrointestinal adverse reactions have been reported with the use of alosetron hydrochloride. These events, including ischemic colitis and serious complications of constipation, have resulted in hospitalization and rarely, blood transfusion, surgery and death. Alosetron hydrochloride is indicated only for women with severe diarrhea-predominant irritable bowel syndrome (IBS) who have not responded adequately to conventional therapy [see Indications and Usage (1) ] . Alosetron hydrochloride should be discontinued immediately in patients who develop constipation or symptoms of ischemic colitis. Patients should immediately report constipation or symptoms of ischemic colitis to their prescriber. Alosetron hydrochloride should not be resumed in patients who develop ischemic colitis. Patients who have constipation should immediately contact their prescriber if the constipation does not resolve after alosetron hydrochloride is discontinued. Patients with resolved constipation should resume alosetron hydrochloride only on the advice of their treating prescriber [see Dosage and Administration (2.1) , Warnings and Precautions (5.1) , (5.2) ] .

Indications and Usage

Alosetron tablets are indicated only for women with severe diarrhea-predominant irritable bowel syndrome (IBS) who have: chronic IBS symptoms (generally lasting 6 months or longer), had anatomic or biochemical abnormalities of the gastrointestinal tract excluded, and not responded adequately to conventional therapy. Diarrhea-predominant IBS is severe if it includes diarrhea and one or more of the following: frequent and severe abdominal pain/discomfort, frequent bowel urgency or fecal incontinence, disability or restriction of daily activities due to IBS. Because of infrequent but serious gastrointestinal adverse reactions associated with alosetron tablets, the indication is restricted to those patients for whom the benefit-to-risk balance is most favorable. Clinical studies have not been performed to adequately confirm the benefits of alosetron tablets in men.

Dosage and Administration

Starting dose is 0.5 mg twice a day.  (2.1) May increase dose to 1 mg twice a day after 4 weeks if starting dosage is well tolerated but does not adequately control IBS symptoms.  (2.1) Discontinue alosetron tablets in patients who have not had adequate control of IBS symptoms after 4 weeks of treatment with 1 mg twice a day.  (2.1)

Warnings and Precautions

Serious Complications of Constipation: May occur in some patients without warning. Includes obstruction, ileus, impaction, toxic megacolon and secondary bowel ischemia and in rare cases perforation and death have been reported. Risk is increased in patients who are elderly, debilitated, or taking medications that decrease bowel motility.  (5.1) Discontinue alosetron hydrochloride immediately if constipation occurs.  (5.1) Ischemic colitis: May occur in some patients without warning. Promptly evaluate patients with signs of ischemic colitis (e.g., rectal bleeding, bloody diarrhea, new or worsening abdominal pain).  (5.2) Discontinue alosetron hydrochloride immediately if signs of ischemic colitis occur, such as rectal bleeding, bloody diarrhea, or new or worsening abdominal pain.  (5.2)

Contraindications

Do not initiate in patients with constipation.  (4.1) History of chronic or severe constipation or sequelae from constipation; intestinal obstruction, stricture, toxic megacolon, gastrointestinal perforation and/or adhesions; ischemic colitis; impaired intestinal circulation, thrombophlebitis, or hypercoagulable state; Crohn’s disease or ulcerative colitis; diverticulitis; severe hepatic impairment.  (4.2) Concomitant use of fluvoxamine.  (4.3)

Adverse Reactions

The following adverse reactions are described in more detail in other sections of the label: Complications of constipation [see  Boxed Warning,   Warnings and Precautions (5.1) ] Ischemic colitis [see  Boxed Warning,   Warnings and Precautions (5.2) ]

Drug Interactions

In vivo data suggest that alosetron is primarily metabolized by cytochrome P450 (CYP) 1A2, with minor contributions from CYP3A4 and CYP2C9. Therefore, inducers or inhibitors of these enzymes may change the clearance of alosetron.

Storage and Handling

Alosetron tablets USP, 0.5 mg (0.562 mg alosetron hydrochloride, USP equivalent to 0.5 mg alosetron), are supplied as white, oval shaped, film coated tablets debossed with “AN248” on one side and plain on the other side. They are available as follows: Bottles of 30:                                     NDC 53746-248-30 with child-resistant closures. Alosetron tablets USP, 1 mg (1.124 mg alosetron hydrochloride, USP equivalent to 1 mg alosetron), are supplied as light blue, oval shaped, film coated tablets debossed with “AN249” on one side and plain on the other side. They are available as follows: Bottles of 30:                                     NDC 53746-249-30 with child-resistant closures. Store at 20° to 25°C (68° to 77°F) [see USP Controlled Room Temperature]. Protect from light and moisture.

How Supplied

Alosetron tablets USP, 0.5 mg (0.562 mg alosetron hydrochloride, USP equivalent to 0.5 mg alosetron), are supplied as white, oval shaped, film coated tablets debossed with “AN248” on one side and plain on the other side. They are available as follows: Bottles of 30:                                     NDC 53746-248-30 with child-resistant closures. Alosetron tablets USP, 1 mg (1.124 mg alosetron hydrochloride, USP equivalent to 1 mg alosetron), are supplied as light blue, oval shaped, film coated tablets debossed with “AN249” on one side and plain on the other side. They are available as follows: Bottles of 30:                                     NDC 53746-249-30 with child-resistant closures. Store at 20° to 25°C (68° to 77°F) [see USP Controlled Room Temperature]. Protect from light and moisture.


Medication Information

Warnings and Precautions

Serious Complications of Constipation: May occur in some patients without warning. Includes obstruction, ileus, impaction, toxic megacolon and secondary bowel ischemia and in rare cases perforation and death have been reported. Risk is increased in patients who are elderly, debilitated, or taking medications that decrease bowel motility.  (5.1) Discontinue alosetron hydrochloride immediately if constipation occurs.  (5.1) Ischemic colitis: May occur in some patients without warning. Promptly evaluate patients with signs of ischemic colitis (e.g., rectal bleeding, bloody diarrhea, new or worsening abdominal pain).  (5.2) Discontinue alosetron hydrochloride immediately if signs of ischemic colitis occur, such as rectal bleeding, bloody diarrhea, or new or worsening abdominal pain.  (5.2)

Indications and Usage

Alosetron tablets are indicated only for women with severe diarrhea-predominant irritable bowel syndrome (IBS) who have: chronic IBS symptoms (generally lasting 6 months or longer), had anatomic or biochemical abnormalities of the gastrointestinal tract excluded, and not responded adequately to conventional therapy. Diarrhea-predominant IBS is severe if it includes diarrhea and one or more of the following: frequent and severe abdominal pain/discomfort, frequent bowel urgency or fecal incontinence, disability or restriction of daily activities due to IBS. Because of infrequent but serious gastrointestinal adverse reactions associated with alosetron tablets, the indication is restricted to those patients for whom the benefit-to-risk balance is most favorable. Clinical studies have not been performed to adequately confirm the benefits of alosetron tablets in men.

Dosage and Administration

Starting dose is 0.5 mg twice a day.  (2.1) May increase dose to 1 mg twice a day after 4 weeks if starting dosage is well tolerated but does not adequately control IBS symptoms.  (2.1) Discontinue alosetron tablets in patients who have not had adequate control of IBS symptoms after 4 weeks of treatment with 1 mg twice a day.  (2.1)

Contraindications

Do not initiate in patients with constipation.  (4.1) History of chronic or severe constipation or sequelae from constipation; intestinal obstruction, stricture, toxic megacolon, gastrointestinal perforation and/or adhesions; ischemic colitis; impaired intestinal circulation, thrombophlebitis, or hypercoagulable state; Crohn’s disease or ulcerative colitis; diverticulitis; severe hepatic impairment.  (4.2) Concomitant use of fluvoxamine.  (4.3)

Adverse Reactions

The following adverse reactions are described in more detail in other sections of the label: Complications of constipation [see  Boxed Warning,   Warnings and Precautions (5.1) ] Ischemic colitis [see  Boxed Warning,   Warnings and Precautions (5.2) ]

Drug Interactions

In vivo data suggest that alosetron is primarily metabolized by cytochrome P450 (CYP) 1A2, with minor contributions from CYP3A4 and CYP2C9. Therefore, inducers or inhibitors of these enzymes may change the clearance of alosetron.

Storage and Handling

Alosetron tablets USP, 0.5 mg (0.562 mg alosetron hydrochloride, USP equivalent to 0.5 mg alosetron), are supplied as white, oval shaped, film coated tablets debossed with “AN248” on one side and plain on the other side. They are available as follows: Bottles of 30:                                     NDC 53746-248-30 with child-resistant closures. Alosetron tablets USP, 1 mg (1.124 mg alosetron hydrochloride, USP equivalent to 1 mg alosetron), are supplied as light blue, oval shaped, film coated tablets debossed with “AN249” on one side and plain on the other side. They are available as follows: Bottles of 30:                                     NDC 53746-249-30 with child-resistant closures. Store at 20° to 25°C (68° to 77°F) [see USP Controlled Room Temperature]. Protect from light and moisture.

How Supplied

Alosetron tablets USP, 0.5 mg (0.562 mg alosetron hydrochloride, USP equivalent to 0.5 mg alosetron), are supplied as white, oval shaped, film coated tablets debossed with “AN248” on one side and plain on the other side. They are available as follows: Bottles of 30:                                     NDC 53746-248-30 with child-resistant closures. Alosetron tablets USP, 1 mg (1.124 mg alosetron hydrochloride, USP equivalent to 1 mg alosetron), are supplied as light blue, oval shaped, film coated tablets debossed with “AN249” on one side and plain on the other side. They are available as follows: Bottles of 30:                                     NDC 53746-249-30 with child-resistant closures. Store at 20° to 25°C (68° to 77°F) [see USP Controlled Room Temperature]. Protect from light and moisture.

Description

Infrequent but serious gastrointestinal adverse reactions have been reported with the use of alosetron hydrochloride. These events, including ischemic colitis and serious complications of constipation, have resulted in hospitalization and rarely, blood transfusion, surgery and death. Alosetron hydrochloride is indicated only for women with severe diarrhea-predominant irritable bowel syndrome (IBS) who have not responded adequately to conventional therapy [see Indications and Usage (1) ] . Alosetron hydrochloride should be discontinued immediately in patients who develop constipation or symptoms of ischemic colitis. Patients should immediately report constipation or symptoms of ischemic colitis to their prescriber. Alosetron hydrochloride should not be resumed in patients who develop ischemic colitis. Patients who have constipation should immediately contact their prescriber if the constipation does not resolve after alosetron hydrochloride is discontinued. Patients with resolved constipation should resume alosetron hydrochloride only on the advice of their treating prescriber [see Dosage and Administration (2.1) , Warnings and Precautions (5.1) , (5.2) ] .

Data

Animal Data

No adverse developmental effects were observed with oral administration of alosetron during the period of organogenesis to pregnant rats at doses up to 40 mg/kg/day (about 160 times the recommended human dose based on body surface area) or to pregnant rabbits at doses up to 30 mg/kg/day (about 240 times the recommended daily human dose based on body surface area).

10 Overdosage

There is no specific antidote for overdose of alosetron hydrochloride. Patients should be managed with appropriate supportive therapy. Individual oral doses as large as 16 mg have been administered in clinical studies without significant adverse reactions. This dose is 8 times higher than the recommended total daily dose. Inhibition of the metabolic elimination and reduced first pass of other drugs might occur with overdoses of alosetron hydrochloride [see Drug Interactions (7)].

15 References

1. Thompson WG, Creed F, Drossman DA, et al. Functional bowel disease and functional abdominal pain. Gastroenterol Int. 1992;5:75-91.

8.1 Pregnancy

Risk Summary

The available data with alosetron hydrochloride use in pregnant women are insufficient to draw conclusions about any drug-associated risks for major birth defects, miscarriage, or adverse maternal or fetal outcomes. In animal reproduction studies, no adverse developmental effects were observed with oral administration of alosetron in rats and rabbits during organogenesis at doses 160 to 240 times, respectively, the recommended human dosage (see Data).

The estimated background risk of major birth defects and miscarriage for the indicated populations is unknown. All pregnancies have a background risk of birth defect, loss, or other adverse outcomes. In the U.S. general population, the estimated background risk of major birth defects and miscarriage in clinically recognized pregnancies is 2% to 4% and miscarriage is 15% to 20%, respectively.

8.2 Lactation

Risk Summary

There are no data regarding the presence of alosetron in human milk, the effects on the breastfed infant, or the effects on milk production. Alosetron and/or metabolites of alosetron are present in the breast milk of lactating rats. When a drug is present in animal milk, it is likely that the drug will be present in human milk. The developmental and health benefits of breastfeeding should be considered along with the mother’s clinical need for alosetron hydrochloride and any potential adverse effects on the breastfed infant from alosetron hydrochloride or from the underlying maternal condition.

Clinical Considerations

Monitor infants exposed to alosetron through breast milk for severe constipation and blood in stools.

11 Description

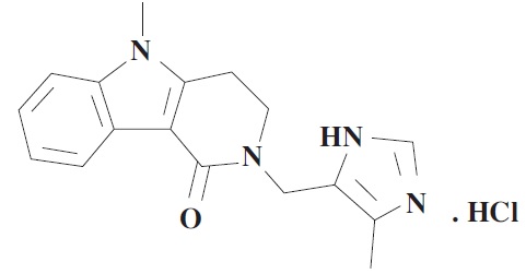
The active ingredient in alosetron tablets, USP is alosetron hydrochloride (HCl) USP, a potent and selective antagonist of the serotonin 5-HT3 receptor type. Chemically, alosetron is designated as 2,3,4,5-tetrahydro-5-methyl-2-[(5-methyl-1H-imidazol-4-yl)methyl]-1H-pyrido[4,3-b]indol-1-one, monohydrochloride. Alosetron is achiral and has the molecular formula C17H18N4O•HCl, representing a molecular weight of 330.81 g/mol. Alosetron is a white to pale brown color powder that has a solubility of 70.5 mg/mL in DI Water, 45.7 mg/mL in 0.1 N HCl, 79.4 mg/mL in pH 4.5 Acetate Buffer, 3.2 mg/mL in pH 6.8 Phosphate Buffer and 0.1 mg/mL in pH 7.5 Phosphate Buffer. The chemical structure of alosetron is:

Alosetron tablets, USP are supplied for oral administration as 0.5 mg (white) and 1 mg (light blue) tablets. The 0.5 mg tablet contains 0.562 mg alosetron hydrochloride, USP equivalent to 0.5 mg alosetron and the 1 mg tablet contains 1.124 mg alosetron hydrochloride, USP equivalent to 1 mg of alosetron. Each tablet also contains the inactive ingredients lactose anhydrous, magnesium stearate, microcrystalline cellulose and pregelatinized starch (maize). The white film coat for the 0.5 mg tablet contains hypromellose, polyethylene glycol, polysorbate 80 and titanium dioxide. The light blue film coat for the 1 mg tablet contains FD&C blue #2, hypromellose, macrogol, polysorbate 80 and titanium dioxide.

4.1 Constipation

Alosetron hydrochloride should not be initiated in patients with constipation [see Warnings and Precautions (5.1)].

Medication Guide

Dispense with Medication Guide available at:

documents.amneal.com/mg/alosetron-in.pdf

  Alosetron (a-LO-ze-tron) Tablets, USP 
Read the Medication Guide you get with each refill for alosetron tablets. There may be new information. This Medication Guide does not take the place of talking with your doctor.
What is the most important information I should know about alosetron  tablets?

Alosetron tablets are a medicine only for some women with severe chronic irritable bowel syndrome (IBS) whose:

  • main problem is diarrhea and
  • IBS symptoms have not been helped enough by other treatments.

Some people have developed serious bowel side effects while taking alosetron tablets. Serious bowel (intestine) side effects can happen suddenly, including the following:

  • Serious complications of constipation:

These complications may lead to a hospital stay and, in rare cases, blood transfusions, surgery and death. People who are older, who are weak from illness, or who take other constipating medicines may be more likely to have serious complications of constipation with alosetron tablets.

To lower your chances of getting serious complications of constipation, do the following:

  • If you are constipated, do not start taking alosetron tablets.
  • If you get constipated while taking alosetron  tablets, stop taking it right away and call your doctor.
  • If your constipation does not get better after stopping alosetron  tablets, call your doctor again.
  • If you stopped taking alosetron  tablets, do not start taking alosetron tablets again unless your doctor tells you to do so.
  • Inflammation and injury of the intestines caused by reduced blood flow (ischemic colitis): Ischemic colitis is caused by reduced blood flow to parts of the large bowel. The chance of getting ischemic colitis when you take alosetron tablets for more than 6 months is not known. Ischemic colitis may lead to a hospital stay and, in rare cases, blood transfusions, surgery, and death.

Stop taking alosetron tablets and call your doctor or get medical help if you have symptoms of ischemic colitis such as new or worsening stomach-area (abdominal) pain, bloody diarrhea or blood in the stool.

What are alosetron  tablets?

Alosetron tablets are a prescription medicine used only for some women with severe chronic IBS whose:

  • main problem is diarrhea and
  • IBS symptoms have not been helped enough by other treatments.

Alosetron tablets do not cure IBS and it may not help every person who takes it. For those who are helped, alosetron tablets reduces lower stomach area (abdominal) pain and discomfort, the sudden need to have a bowel movement (bowel urgency) and diarrhea from IBS. If you stop taking alosetron tablets, your IBS symptoms may return within 1 or 2 weeks to what they were before you started taking alosetron tablets.

It is not known if alosetron tablets are safe and effective in men with IBS.

It is not known if alosetron tablets are safe and effective in children.

Who should not take alosetron  tablets?

Do not take alosetron tablets if you:

  • have constipation or you are constipated most of the time.
  • have had a serious problem from constipation. If you are constipated now, do not start taking alosetron  tablets.
  • have had serious bowel blockages.
  • have had blood flow problems to your bowels, such as ischemic colitis.
  • have had blood clots.
  • have had Crohn’s disease, ulcerative colitis, diverticulitis, or severe liver disease.
  • are taking fluvoxamine (LUVOX).
What should I talk about with my doctor before taking alosetron  tablets?

Talk with your doctor:

  • about the possible benefits and risks of alosetron tablets.
  • about how much of a problem IBS is in your life and what treatments you have tried.
  • about any other illnesses you have and medicines you take or plan to take. These include prescription and non-prescription medicines, supplements and herbal remedies. Certain illnesses and medicines can increase your chance of getting serious side effects while taking alosetron tablets. Other medicines may interact with how the body handles alosetron tablets.
  • any allergies that you have. See the end of the Medication Guide for a complete list of ingredients in alosetron tablets.
  • if you have liver problems.
  • if you are pregnant or planning to become pregnant. It is not known if alosetron tablets can harm your unborn baby.
  • if you are breastfeeding or plan to breastfeed. It is not known if alosetron tablets can harm your baby. Talk to your doctor about the best way to feed your baby if you take alosetron tablets.
How should I take alosetron tablets?
  • Take alosetron tablets exactly as your doctor prescribes it. You can take alosetron tablets with or without food.
  • Begin with 0.5 mg two times a day for 4 weeks to see how alosetron tablets affects you. You and your doctor may decide that you should keep taking this dose if you are doing well.
  • Check with your doctor 4 weeks after starting alosetron tablets:
  • If you try 0.5 mg two times a day for 4 weeks, it may not control your symptoms. If you do not get constipation or other side effects from alosetron tablets, your doctor may increase your dose up to 1 mg two times a day.
  • If 1 mg two times a day does not work after 4 weeks, alosetron tablets is not likely to help you. You should stop taking it and call your doctor.
  • Follow the instructions in the section “What is the most important information I should know about alosetron  tablets?” about when you must stop taking the medicine and when you should call your doctor.
What are the possible side effects of alosetron  tablets?

Alosetron tablets may cause serious side effects, including:

See “What is the most important information I should know about alosetron tablets?”

The most common side effects of alosetron tablets include:

  • constipation
  • stomach (abdominal) discomfort and pain
  • nausea
  • intestinal discomfort and pain

These are not all the possible side effects of alosetron tablets.

Call your doctor for medical advice about side effects. You may report side effects to FDA at 1-800-FDA-1088.

How should I store alosetron tablets?
  • Store alosetron tablets at room temperature between 68º to 77ºF (20º to 25ºC).
  • Protect alosetron tablets from light and moisture.

Keep alosetron tablets and all medicines out of the reach of children.

General information about the safe and effective use of alosetron tablets

Medicines are sometimes prescribed for purposes other than those listed in a Medication Guide. Do not use alosetron tablets for a condition for which it was not prescribed. Do not give alosetron tablets to other people, even if they have the same symptoms that you have. It may harm them.

You can ask your pharmacist or healthcare provider for information about alosetron tablets that is written for healthcare professionals. You can also contact the company that makes alosetron tablets (toll free) at 1-877-835-5472 or at www.amneal.com.

What are the ingredients of alosetron tablets?

Active Ingredient: alosetron hydrochloride, USP.

Inactive Ingredients: lactose anhydrous, magnesium stearate, microcrystalline cellulose and pregelatinized starch (maize). The white film-coat for the 0.5 mg tablet contains hypromellose, polyethylene glycol, polysorbate 80 and titanium dioxide. The light blue film-coat for the 1 mg tablet contains FD&C blue #2, hypromellose, macrogol, polysorbate 80 and titanium dioxide.



*Trademarks are the property of their respective owners.



Manufactured by:

Amneal Pharmaceuticals Pvt. Ltd.

Oral Solid Dosage Unit

Ahmedabad 382213, INDIA



Distributed by:

Amneal Pharmaceuticals LLC

Bridgewater, NJ 08807



This Medication Guide has been approved by the U.S. Food and Drug Administration.



Rev. 03-2023-00



8.4 Pediatric Use

Safety and effectiveness in pediatric patients have not been established. Use of alosetron hydrochloride is not recommended in the pediatric population, based upon the risk of serious complications of constipation and ischemic colitis in adults.

8.5 Geriatric Use

In some studies in healthy men or women, plasma concentrations were elevated by approximately 40% in individuals 65 years and older compared to young adults [see Warnings and Precautions (5.1)]. However, this effect was not consistently observed in men.

Post-marketing experience suggests that elderly patients may be at greater risk for complications of constipation therefore, appropriate caution and follow-up should be exercised if alosetron hydrochloride is prescribed for these patients [see Warnings and Precautions (5.1)].

14.3 Long Term Use

In a 48-week multinational, double-blind, placebo-controlled study, alosetron hydrochloride 1 mg twice daily was evaluated in 714 women with non-constipated IBS. A retrospective analysis of the subset of women with severe diarrhea-predominant IBS (urgency on at least 10 days during the 2-week baseline period) was performed. Of the 417 patients with severe diarrhea-predominant IBS, 62% completed the trial.

Alosetron hydrochloride (n = 198) provided a greater average rate of adequate relief of IBS pain and discomfort (52% vs. 41%) and a greater average rate of satisfactory control of bowel urgency (60% vs. 48%) compared with placebo (n = 219). Significant improvement of these symptoms occurred for most of the 48-week treatment period with no evidence of tachyphylaxis.

2.1 Adult Patients

To lower the risk of constipation, alosetron tablets should be started at a dosage of 0.5 mg twice a day. Patients who become constipated at this dosage should stop taking alosetron tablets until the constipation resolves. They may be restarted at 0.5 mg once a day. If constipation recurs at the lower dose, alosetron tablets should be discontinued immediately.

Patients well controlled on 0.5 mg once or twice a day may be maintained on this regimen. If after 4 weeks the dosage is well tolerated but does not adequately control IBS symptoms, then the dosage can be increased to up to 1 mg twice a day. Alosetron tablets should be discontinued in patients who have not had adequate control of IBS symptoms after 4 weeks of treatment with 1 mg twice a day.

Alosetron tablets can be taken with or without food [see Clinical Pharmacology (12.3)].

Alosetron tablets should be discontinued immediately in patients who develop constipation or signs of ischemic colitis. Alosetron tablets should not be restarted in patients who develop ischemic colitis.

Clinical trial and post-marketing experience suggest that debilitated patients or patients taking additional medications that decrease gastrointestinal motility may be at greater risk of serious complications of constipation. Therefore, appropriate caution and follow-up should be exercised if alosetron tablets are prescribed for these patients.

Post-marketing experience suggests that elderly patients may be at greater risk for complications of constipation; therefore, appropriate caution and follow-up should be exercised if alosetron tablets are prescribed for these patients [see Warnings and Precautions (5.1)].

4 Contraindications
  • Do not initiate in patients with constipation. (4.1)
  • History of chronic or severe constipation or sequelae from constipation; intestinal obstruction, stricture, toxic megacolon, gastrointestinal perforation and/or adhesions; ischemic colitis; impaired intestinal circulation, thrombophlebitis, or hypercoagulable state; Crohn’s disease or ulcerative colitis; diverticulitis; severe hepatic impairment. (4.2)
  • Concomitant use of fluvoxamine. (4.3)
6 Adverse Reactions

The following adverse reactions are described in more detail in other sections of the label:

7 Drug Interactions

In vivo data suggest that alosetron is primarily metabolized by cytochrome P450 (CYP) 1A2, with minor contributions from CYP3A4 and CYP2C9. Therefore, inducers or inhibitors of these enzymes may change the clearance of alosetron.

5.2 Ischemic Colitis

Some patients have experienced ischemic colitis without warning.

Ischemic colitis has been reported in patients receiving alosetron hydrochloride in clinical trials as well as during marketed use of the drug. In IBS clinical trials, the cumulative incidence of ischemic colitis in women receiving alosetron hydrochloride was 0.2% (2 per 1,000 patients, 95% confidence interval 1 to 3) through 3 months and was 0.3% (3 per 1,000 patients, 95% confidence interval 1 to 4) through 6 months. Ischemic colitis has been reported with use of 1 mg twice daily and with lower doses. A dose-response relationship has not been established. Ischemic colitis was reported in one patient receiving placebo. The patient experience in controlled clinical trials is insufficient to estimate the incidence of ischemic colitis in patients taking alosetron hydrochloride for longer than 6 months.

Alosetron hydrochloride should be discontinued immediately in patients with signs of ischemic colitis such as rectal bleeding, bloody diarrhea, or new or worsening abdominal pain. Because ischemic colitis can be life-threatening, patients with signs or symptoms of ischemic colitis should be evaluated promptly and have appropriate diagnostic testing performed. Treatment with alosetron hydrochloride should not be resumed in patients who develop ischemic colitis.

8.7 Renal Impairment

Renal impairment (creatinine clearance 4 mL/min to 56 mL/min) has no effect on the renal elimination of alosetron due to the minor contribution of this pathway to elimination. The effect of renal impairment on metabolite pharmacokinetics and the effect of end-stage renal disease have not been assessed.

12.2 Pharmacodynamics

In healthy volunteers and patients with IBS, alosetron (2 mg orally, twice daily for 8 days) increased colonic transit time without affecting orocecal transit time. In healthy volunteers, alosetron also increased basal jejunal water and sodium absorption after a single 4 mg dose. In patients with IBS, multiple oral dosages of alosetron (4 mg twice daily for 6.5 days) significantly increased colonic compliance.

Single oral doses of alosetron administered to healthy men produced a dose-dependent reduction in the flare response seen after intradermal injection of serotonin. Urinary 6-β-hydroxycortisol excretion decreased by 52% in elderly subjects after 27.5 days of alosetron 2 mg administered orally twice daily. This decrease was not statistically significant. In another study utilizing alosetron 1 mg administered orally twice daily for 4 days, there was a significant decrease in urinary 6-β-hydroxycortisol excretion. However, there was no change in the ratio of 6-β-hydroxycortisol to cortisol, indicating a possible decrease in cortisol production. The clinical significance of these findings is unknown.

12.3 Pharmacokinetics

The pharmacokinetics of alosetron have been studied after single oral doses ranging from 0.05 mg to 16 mg in healthy men. The pharmacokinetics of alosetron have also been evaluated in healthy women and men and in patients with IBS after repeated oral dosages ranging from 1 mg twice daily to 8 mg twice daily.

Absorption: Alosetron was rapidly absorbed after oral administration with a mean absolute bioavailability of approximately 50% to 60% (approximate range, 30% to > 90%). After administration of radiolabeled alosetron, only 1% of the dose was recovered in the feces as unchanged drug. Following oral administration of a 1 mg alosetron dose to young men, a peak plasma concentration of approximately 5 ng/mL occurred at 1 hour. In young women, the mean peak plasma concentration was approximately 9 ng/mL, with a similar time to peak.

Plasma concentrations were 30% to 50% lower and less variable in men compared to women given the same oral dose. Population pharmacokinetic analysis in IBS patients confirmed that alosetron concentrations were influenced by gender (27% lower in men).

Food Effects: Alosetron absorption is decreased by approximately 25% by co-administration with food, with a mean delay in time to peak concentration of 15 minutes [see Dosage and Administration (2.1)].

Distribution: Alosetron demonstrates a volume of distribution of approximately 65 L to 95 L. Plasma protein binding is 82% over a concentration range of 20 ng/mL to 4,000 ng/mL.

Metabolism and Elimination: Plasma concentrations of alosetron increase proportionately with increasing single oral doses up to 8 mg and more than proportionately at a single oral dose of 16 mg. Twice-daily oral dosing of alosetron does not result in accumulation. The terminal elimination half-life of alosetron is approximately 1.5 hours (plasma clearance is approximately 600 mL/min). Population pharmacokinetic analysis in patients with IBS confirmed that alosetron clearance is minimally influenced by doses up to 8 mg.

Renal elimination of unchanged alosetron accounts for only 13% of the dose. Renal clearance is approximately 112 mL/min.

A study with 14C-labeled alosetron in Caucasian males (n = 3) and females (n = 3) and an Asian male (n = 1) showed similar serum metabolite profiles. Unchanged alosetron was the major component in serum, with other metabolites being present at low concentrations, none amounting to more than 15% of the unmetabolized alosetron concentration. The circulating metabolites were identified as 6-hydroxy glucuronide, 6-hydroxy sulphate, 7-hydroxy sulphate, hydroxymethyl imidazole and mono- and bis-oxygenated imidazole derivatives of alosetron. The metabolites are unlikely to contribute to the biological activity of alosetron. Of the circulating Phase I metabolites, only the hydroxymethyl imidazole has weak pharmacological activity, around 10-fold less potent than alosetron. Total recovery of radioactivity in the excreta was 85% ± 6%. The majority of the radiolabeled dose is excreted in the urine (74% ± 5%). The major urinary metabolites were the 6-hydroxy glucuronide and the mono- and bis-oxygenated imidazole derivatives of alosetron. 11% ± 4% of the radiolabeled dose was excreted in the feces with less than 1% of the dose being excreted as the unchanged alosetron.

Alosetron is metabolized by human microsomal cytochrome P450 (CYP), shown in vitro to involve enzymes 2C9 (30%), 3A4 (18%) and 1A2 (10%). Non–CYP-mediated Phase I metabolic conversion also contributes to an extent of about 11%. However, in vivo data suggest that CYP1A2 plays a more prominent role in alosetron metabolism (62% to 97% of alosetron clearance) based on correlation of alosetron clearance with in vivo CYP1A2 activity measured by probe substrate, increased clearance induced by smoking and inhibition of clearance by fluvoxamine [see Contraindications (4), Drug Interactions (7)].

14.2 Efficacy Studies

Alosetron hydrochloride has been studied in women with IBS in five 12-week US multicenter, randomized, double-blind, placebo-controlled clinical studies.

Table 3: Efficacy Studies Conducted in Women with Irritable Bowel Syndrome (IBS)  

Study

 Patient Population                                                     

Placebo

(n)

Alosetron Hydrochloride

Dose

(n)

1 and 2

 Non-constipated women with IBS                           

(640)

1 mg twice daily

(633)

3 and 4

 Women with severe diarrhea-predominant IBS

 (defined as bowel urgency ≥ 50% of days)             

(515)

1 mg twice daily

(778)

5

 Women with severe diarrhea- predominant IBS

 (defined as average pain ≥ moderate, urgency ≥ 50%

 of days and/or restriction of daily activities ≥ 25% of

 days)                                                                             

(176)

0.5 mg once daily

(177)

1 mg once daily

(175)

1 mg twice daily

(177)

Studies in Non-Constipated Women with Irritable Bowel Syndrome: Studies 1 and 2 were conducted in non-constipated women with IBS meeting the Rome Criteria1 for at least 6 months. Women with severe pain or a history of severe constipation were excluded. A 2-week run-in period established baseline IBS symptoms.

About two thirds of the women had diarrhea-predominant IBS. Compared with placebo, 10% to 19% more women with diarrhea-predominant IBS who received alosetron hydrochloride had adequate relief of IBS abdominal pain and discomfort during each month of the study.

Studies in Women with Severe Diarrhea-Predominant Irritable Bowel Syndrome: Alosetron hydrochloride is indicated only for women with severe diarrhea-predominant IBS [see Indications and Usage (1)]. The efficacy of alosetron hydrochloride in this subset of the women studied in clinical trials is supported by prospective and retrospective analyses.

Prospective Analyses: Studies 3 and 4 were conducted in women with diarrhea-predominant IBS and bowel urgency on at least 50% of days at entry. Women receiving alosetron hydrochloride had significant increases over placebo (13% to 16%) in the median percentage of days with urgency control.

The lower gastrointestinal functions of stool consistency, stool frequency and sense of incomplete evacuation were also evaluated by patients’ daily reports. Stool consistency was evaluated on a scale of 1 to 5 (1 = very hard, 2 = hard, 3 = formed, 4 = loose and 5 = watery). At baseline, average stool consistency was approximately 4 (loose) for both treatment groups. During the 12 weeks of treatment, the average stool consistency decreased to approximately 3.0 (formed) for patients who received alosetron hydrochloride and 3.5 for the patients who received placebo in the 2 studies.

At baseline, average stool frequency was approximately 3.2 per day for both treatment groups. During the 12 weeks of treatment, the average daily stool frequency decreased to approximately 2.1 and 2.2 for patients receiving alosetron hydrochloride and 2.7 and 2.8 for patients receiving placebo in the 2 studies.

There was no consistent effect upon the sense of incomplete evacuation during the 12 weeks of treatment for patients receiving alosetron hydrochloride as compared to patients receiving placebo in either study.

Study 5 was conducted in women with severe diarrhea-predominant IBS and 1 or more of the following: frequent and severe abdominal pain or discomfort, frequent bowel urgency or fecal incontinence, disability or restriction of daily activities due to IBS. To evaluate the proportion of patients who responded to treatment, patients were asked every 4 weeks to compare their IBS symptoms during the previous month of treatment with how they usually felt during the 3 months prior to the study using an ordered 7-point scale (substantially worse to substantially improved). A responder was defined as a subject who reported moderate or substantial improvement on this global improvement scale (GIS). At Week 12, all three groups receiving alosetron hydrochloride had significantly greater percentages of GIS responders compared to the placebo group (43% to 51% vs. 31%) using a Last Observation Carried Forward (LOCF) analysis. It should be noted that approximately 4% of subjects in each alosetron hydrochloride dose group who were classified as responders using this approach were observed only through week 4. At each of the 4 week intervals of the treatment phase, all three dosages of alosetron hydrochloride provided improvement in the average adequate relief rate of IBS pain and discomfort, stool consistency, stool frequency and sense of urgency compared with placebo.

Retrospective Analyses: In analyses of patients from Studies 1 and 2 who had diarrhea-predominant IBS and indicated their baseline run-in IBS symptoms were severe at the start of the trial, alosetron hydrochloride provided greater adequate relief of IBS pain and discomfort than placebo. In further analyses of Studies 1 and 2, 57% of patients had urgency at baseline on 5 or more days per week. In this subset, 32% of patients on alosetron hydrochloride had urgency no more than 1 day in the last week of the trial, compared with 19% of patients on placebo.

In Studies 3 and 4, 66% of patients had urgency at baseline on 5 or more days per week. In this subset, 50% of patients on alosetron hydrochloride had urgency no more than 1 day in the last week of the trial, compared with 29% of patients on placebo. Moreover, in the same subset, 12% on alosetron hydrochloride had urgency no more than 2 days per week in any of the 12 weeks on treatment compared with 1% of placebo patients.

Figure 1: Percent of Patients with Urgency on > 5 Days/Week at Baseline Who Improved to No More Than 1 Day in the Final Week

In Studies 1 and 2, patient-reported subjective outcomes related to IBS were assessed by questionnaires obtained at baseline and week 12. Patients in the more severe subset who received alosetron hydrochloride reported less difficulty sleeping, less tiredness, fewer eating problems and less interference with social activities and work/main activities due to IBS symptoms or problems compared to those who received placebo. Change in the impact of IBS symptoms and problems on emotional and mental distress and on physical and sexual activity in women who received alosetron hydrochloride were not statistically different from those reported by women who received placebo.

7.1 Cyp1a2 Inhibitors

Fluvoxamine is a known strong inhibitor of CYP1A2 and also inhibits CYP3A4, CYP2C9 and CYP2C19. In a pharmacokinetic study, 40 healthy female subjects received fluvoxamine in escalating doses from 50 mg/day to 200 mg/day for 16 days, with co-administration of alosetron 1 mg on the last day. Fluvoxamine increased mean alosetron plasma concentrations (AUC) approximately 6-fold and prolonged the half-life by approximately 3-fold. Concomitant administration of alosetron and fluvoxamine is contraindicated [see Contraindications (4.3)].

Concomitant administration of alosetron and moderate CYP1A2 inhibitors, including quinolone antibiotics and cimetidine, has not been evaluated, but should be avoided unless clinically necessary because of similar potential drug interactions.

7.2 Cyp3a4 Inhibitors

Ketoconazole is a known strong inhibitor of CYP3A4. In a pharmacokinetic study, 38 healthy female subjects received ketoconazole 200 mg twice daily for 7 days, with co-administration of alosetron 1 mg on the last day. Ketoconazole increased mean alosetron plasma concentrations (AUC) by 29%. Caution should be used when alosetron and ketoconazole are administered concomitantly. Co-administration of alosetron and strong CYP3A4 inhibitors such as clarithromycin, telithromycin, protease inhibitors, voriconazole and itraconazole has not been evaluated but should be undertaken with caution because of similar potential drug interactions. The effect of induction or inhibition of other pathways on exposure to alosetron and its metabolites is not known.

7.3 Other Cyp Enzymes

In vitro human liver microsome studies and an in vivo metabolic probe study demonstrated that alosetron did not inhibit CYP enzymes 3A4, 2C9, or 2C19. In vitro at total drug concentrations 27-fold higher than peak plasma concentrations observed with the 1 mg dose, alosetron inhibited CYP enzymes 1A2 (60%) and 2E1 (50%). In an in vivo metabolic probe study, alosetron did not inhibit CYP2E1 but did produce 30% inhibition of both CYP1A2 and N-acetyltransferase. Although not studied with alosetron, inhibition of N-acetyltransferase may have clinically relevant consequences for drugs such as isoniazid, procainamide and hydralazine. The effect on CYP1A2 was explored further in a clinical interaction study with theophylline and no effect on metabolism was observed. Another study showed that alosetron had no clinically significant effect on plasma concentrations of the oral contraceptive agents ethinyl estradiol and levonorgestrel (CYP3A4 substrates). A clinical interaction study was also conducted with alosetron and the CYP3A4 substrate cisapride. No significant effects on cisapride metabolism or QT interval were noted. The effects of alosetron on monoamine oxidases and on intestinal first pass secondary to high intraluminal concentrations have not been examined. Based on the above data from in vitro and in vivo studies, it is unlikely that alosetron will inhibit the hepatic metabolic clearance of drugs metabolized by the CYP enzymes 2C9, 2C19, or 2E1.

Alosetron does not appear to induce the major cytochrome P450 drug-metabolizing enzyme 3A. Alosetron also does not appear to induce CYP enzymes 2E1 or 2C19. It is not known whether alosetron might induce other enzymes.

8.6 Hepatic Impairment

Due to the extensive hepatic metabolism of alosetron, increased exposure to alosetron and/or its metabolites is likely to occur in patients with hepatic impairment. Alosetron should not be used in patients with severe hepatic impairment and should be used with caution in patients with mild or moderate hepatic impairment.

A single 1 mg oral dose of alosetron was administered to 1 female and 5 male patients with moderate hepatic impairment (Child-Pugh score of 7 to 9) and to 1 female and 2 male patients with severe hepatic impairment (Child-Pugh score of > 9). In comparison with historical data from healthy subjects, patients with severe hepatic impairment displayed higher systemic exposure to alosetron. The female with severe hepatic impairment displayed approximately 14-fold higher exposure, while the female with moderate hepatic impairment displayed approximately 1.6-fold higher exposure, than healthy females. Due to the small number of subjects and high intersubject variability in the pharmacokinetic findings, no definitive quantitative conclusions can be made. However, due to the greater exposure to alosetron in the female with severe hepatic impairment, alosetron should not be used in females with severe hepatic impairment [see Dosage and Administration (2.2), Contraindications (4)].

1 Indications and Usage

Alosetron tablets are indicated only for women with severe diarrhea-predominant irritable bowel syndrome (IBS) who have:

  • chronic IBS symptoms (generally lasting 6 months or longer),
  • had anatomic or biochemical abnormalities of the gastrointestinal tract excluded, and
  • not responded adequately to conventional therapy.

Diarrhea-predominant IBS is severe if it includes diarrhea and one or more of the following:

  • frequent and severe abdominal pain/discomfort,
  • frequent bowel urgency or fecal incontinence,
  • disability or restriction of daily activities due to IBS.

Because of infrequent but serious gastrointestinal adverse reactions associated with alosetron tablets, the indication is restricted to those patients for whom the benefit-to-risk balance is most favorable.

Clinical studies have not been performed to adequately confirm the benefits of alosetron tablets in men.

14.1 Dose Ranging Study

Data from a dose-ranging study of women (n = 85) who received alosetron hydrochloride 0.5 mg twice daily indicated that the incidence of constipation (14%) was lower than that experienced by women receiving 1 mg twice daily (29%). Therefore, to lower the risk of constipation, alosetron hydrochloride should be started at a dosage of 0.5 mg twice a day. The efficacy of the 0.5 mg twice-daily dosage in treating severe diarrhea-predominant IBS has not been adequately evaluated in clinical trials [See Dosage and Administration (2.1)].

Principal Display Panel

NDC 53746-248-30

Alosetron tablets USP

0.5 mg

Rx only

300 Tablets

Amneal Pharmaceuticals LLC

NDC 53746-248-30

Alosetron tablets USP

1 mg

Rx only

30 Tablets

Amneal Pharmaceuticals LLC

12.1 Mechanism of Action

Alosetron is a potent and selective 5-HT3 receptor antagonist. 5-HT3 receptors are ligand-gated cation channels that are extensively distributed on enteric neurons in the human gastrointestinal tract, as well as other peripheral and central locations. Activation of these channels and the resulting neuronal depolarization affect the regulation of visceral pain, colonic transit and gastrointestinal secretions, processes that relate to the pathophysiology of IBS. 5-HT3 receptor antagonists such as alosetron inhibit activation of non-selective cation channels, which results in the modulation of the enteric nervous system.

The cause of IBS is unknown. IBS is characterized by visceral hypersensitivity and hyperactivity of the gastrointestinal tract, which lead to abnormal sensations of pain and motor activity. Following distention of the rectum, patients with IBS exhibit pain and discomfort at lower volumes than healthy volunteers. Following such distention, alosetron reduced pain and exaggerated motor responses, possibly due to blockade of 5-HT3 receptors.

5 Warnings and Precautions
  • Serious Complications of Constipation: May occur in some patients without warning. Includes obstruction, ileus, impaction, toxic megacolon and secondary bowel ischemia and in rare cases perforation and death have been reported. Risk is increased in patients who are elderly, debilitated, or taking medications that decrease bowel motility. (5.1)
  • Discontinue alosetron hydrochloride immediately if constipation occurs. (5.1)
  • Ischemic colitis: May occur in some patients without warning. Promptly evaluate patients with signs of ischemic colitis (e.g., rectal bleeding, bloody diarrhea, new or worsening abdominal pain). (5.2)
  • Discontinue alosetron hydrochloride immediately if signs of ischemic colitis occur, such as rectal bleeding, bloody diarrhea, or new or worsening abdominal pain. (5.2)
2 Dosage and Administration
  • Starting dose is 0.5 mg twice a day. (2.1)
  • May increase dose to 1 mg twice a day after 4 weeks if starting dosage is well tolerated but does not adequately control IBS symptoms. (2.1)
  • Discontinue alosetron tablets in patients who have not had adequate control of IBS symptoms after 4 weeks of treatment with 1 mg twice a day. (2.1)
3 Dosage Forms and Strengths

0.5 mg and 1 mg tablets

Alosetron tablets USP, 0.5 mg (0.562 mg alosetron hydrochloride, USP equivalent to 0.5 mg alosetron), are white, oval shaped, film coated tablets debossed with “AN248” on one side and plain on the other side.

Alosetron tablets USP, 1 mg (1.124 mg alosetron hydrochloride, USP equivalent to 1 mg alosetron), are light blue, oval shaped, film coated tablets debossed with “AN249” on one side and plain on the other side.

6.2 Post Marketing Experience

In addition to events reported in clinical trials, the following events have been identified during use of alosetron hydrochloride in clinical practice. Because they were reported voluntarily from a population of unknown size, estimates of frequency cannot be made. These events have been chosen for inclusion due to a combination of their seriousness, frequency of reporting, or potential causal connection to alosetron hydrochloride.

Gastrointestinal: Impaction, perforation, ulceration, small bowel mesenteric ischemia.

Neurological : Headache.

Skin : Rash.

8 Use in Specific Populations
  • Hepatic impairment: Contraindicated in severe hepatic impairment. Use with caution in patients with mild or moderate hepatic impairment. (4.2, 8.6)
  • Geriatric use: Elderly patients may be at greater risk for complications of constipation. (8.5)
6.1 Clinical Trials Experience

Because clinical trials are conducted under widely varying conditions, adverse reaction rates observed in the clinical trials of a drug cannot be directly compared to rates in the clinical trials of another drug and may not reflect the rates observed in practice.

Patients with Irritable Bowel Syndrome: Table 1 summarizes adverse reactions from 22 repeat-dose studies in patients with IBS who were treated with 1 mg of alosetron hydrochloride twice daily for 8 to 24 weeks. The adverse reactions in Table 1 were reported in 1% or more of patients who received alosetron hydrochloride and occurred more frequently on alosetron hydrochloride than on placebo. A statistically significant difference was observed for constipation in patients treated with alosetron hydrochloride compared to placebo (p < 0.0001).

Table 1: Adverse Reactions Reported in ≥ 1% of Patients with Irritable Bowel Syndrome and More Frequently on Alosetron Hydrochloride  1 mg Twice Daily Than Placebo

Body System

Adverse Reaction

Placebo

(n = 2,363)

Alosetron Hydrochloride

1 mg twice daily

(n = 8,328)

Gastrointestinal

Constipation

6%

29%

Abdominal discomfort and pain

4%

7%

Nausea

5%

6%

Gastrointestinal discomfort and pain

3%

5%

Abdominal distention

1%

2%

Regurgitation and reflux

2%

2%

Hemorrhoids

1%

2%

Gastrointestinal: Constipation is a frequent and dose-related side effect of treatment with alosetron hydrochloride [see Warnings and Precautions (5.1)]. In clinical studies constipation was reported in approximately 29% of patients with IBS treated with alosetron hydrochloride 1 mg twice daily (n = 9,316). This effect was statistically significant compared to placebo (p < 0.0001). Eleven percent (11%) of patients treated with alosetron hydrochloride 1 mg twice daily withdrew from the studies due to constipation. Although the number of patients with IBS treated with alosetron hydrochloride 0.5 mg twice daily is relatively small (n = 243), only 11% of those patients reported constipation and 4% withdrew from clinical studies due to constipation. Among the patients treated with alosetron hydrochloride 1 mg twice daily who reported constipation, 75% reported a single episode and most reports of constipation (70%) occurred during the first month of treatment, with the median time to first report of constipation onset of 8 days. Occurrences of constipation in clinical trials were generally mild to moderate in intensity, transient in nature and resolved either spontaneously with continued treatment or with an interruption of treatment. However, serious complications of constipation have been reported in clinical studies and in post-marketing experience [see Boxed Warning and  Warnings and Precautions (5.1)]. In Studies 1 and 2, 9% of patients treated with alosetron hydrochloride reported constipation and 4 consecutive days with no bowel movement [see Clinical Studies (14.2)]. Following interruption of treatment, 78% of the affected patients resumed bowel movements within a 2-day period and were able to re-initiate treatment with alosetron hydrochloride.

Hepatic: A similar incidence in elevation of ALT (> 2-fold) was seen in patients receiving alosetron hydrochloride or placebo (1.0% vs. 1.2%). A single case of hepatitis (elevated ALT, AST, alkaline phosphatase and bilirubin) without jaundice in a patient receiving alosetron hydrochloride was reported in a 12-week study. A causal association with alosetron hydrochloride has not been established.

Long-Term Safety: Patient experience in controlled clinical trials is insufficient to estimate the incidence of ischemic colitis in patients taking alosetron hydrochloride for longer than 6 months.

Women with Severe Diarrhea-Predominant Irritable Bowel Syndrome: Table 2 summarizes the gastrointestinal adverse reactions from 1 repeat-dose study in female patients with severe diarrhea-predominant IBS who were treated for 12 weeks. The adverse reactions in Table 2 were reported in 3% or more of patients who received alosetron hydrochloride and occurred more frequently with alosetron hydrochloride than with placebo. Other events reported in 3% or more of patients who received alosetron hydrochloride and occurring more frequently with alosetron hydrochloride than with placebo included upper respiratory tract infection, viral gastroenteritis, muscle spasms, headaches and fatigue.

Table 2: Gastrointestinal Adverse Reactions Reported in ≥ 3% of Women with Severe Diarrhea-Predominant Irritable Bowel Syndrome and More Frequently on Alosetron Hydrochloride  Than Placebo

Adverse

Reaction

Placebo

(n = 176)

Alosetron Hydrochloride

0.5 mg once daily

(n = 175)

Alosetron Hydrochloride

1 mg once daily

(n = 172)

Alosetron Hydrochloride

1 mg twice daily

(n = 176)

Constipation

5%

9%

16%

19%

Abdominal pain

3%

5%

6%

7%

Diarrhea

2%

3%

2%

2%

Hemorrhoidal

hemorrhage

2%

3%

2%

2%

Flatulence

2%

2%

1%

3%

Hemorrhoids

2%

1%

1%

3%

Abdominal pain

upper

1%

3%

1%

1%

Adverse reactions reported in another study of 701 women with severe diarrhea-predominant IBS were similar to those shown in Table 2. Gastrointestinal adverse reactions reported in 3% or more of patients who received alosetron hydrochloride and occurring more frequently with alosetron hydrochloride than with placebo included constipation (14% and 10% of patients taking alosetron hydrochloride 1 mg twice daily or 0.5 mg as needed, respectively, compared with 2% taking placebo), abdominal pain, nausea, vomiting and flatulence. Other events reported in 3% or more of patients who received alosetron hydrochloride and occurring more frequently with alosetron hydrochloride than with placebo included nasopharyngitis, sinusitis, upper respiratory tract infection, urinary tract infection, viral gastroenteritis and cough.

Constipation: Constipation was the most frequent adverse reaction among women with severe diarrhea-predominant IBS represented in Table 2. There was a dose response in the groups treated with alosetron hydrochloride in the number of patients withdrawn due to constipation (2% on placebo, 5% on 0.5 mg once daily, 8% on 1 mg once daily and 11% on 1 mg twice daily). Among these patients with severe diarrhea-predominant IBS treated with alosetron hydrochloride who reported constipation most (75%) reported one episode which occurred within the first 15 days of treatment and persisted for 4 to 5 days.

Other Events Observed During Clinical Evaluation of Alosetron Hydrochloride: During its assessment in clinical trials, multiple and single doses of alosetron hydrochloride were administered, resulting in 11,874 subject exposures in 86 completed clinical studies. The conditions, dosages and duration of exposure to alosetron hydrochloride varied between trials and the studies included healthy male and female volunteers as well as male and female patients with IBS and other indications.

In the listing that follows, reported adverse reactions were classified using a standardized coding dictionary. Only those events that an investigator believed were possibly related to alosetron hydrochloride, occurred in at least 2 patients and occurred at a greater frequency during treatment with alosetron hydrochloride than during placebo administration are presented. Serious adverse reactions occurring in at least 1 patient for whom an investigator believed there was reasonable possibility that the event was related to treatment with alosetron hydrochloride and occurring at a greater frequency in patients treated with alosetron hydrochloride than placebo-treated patients are also presented.

In the following listing, events are categorized by body system. Within each body system, events are presented in descending order of frequency. The following definitions are used: infrequent adverse reactions are those occurring on one or more occasion in 1/100 to 1/1,000 patients; rare adverse reactions are those occurring on one or more occasion in fewer than 1/1,000 patients.

Although the events reported occurred during treatment with alosetron hydrochloride, they were not necessarily caused by it.

Blood and Lymphatic: Rare: Quantitative red cell or hemoglobin defects and hemorrhage.

Cardiovascular: Infrequent: Tachyarrhythmias. Rare: Arrhythmias, increased blood pressure and extrasystoles.

Drug Interaction, Overdose and Trauma: Rare: Contusions and hematomas.

Ear, Nose and Throat: Rare: Ear, nose and throat infections; viral ear, nose and throat infections; and laryngitis.

Endocrine and Metabolic: Rare: Disorders of calcium and phosphate metabolism, hyperglycemia, hypothalamus/pituitary hypofunction, hypoglycemia and fluid disturbances.

Eye: Rare: Light sensitivity of eyes.

Gastrointestinal: Infrequent: Hyposalivation, dyspeptic symptoms, gastrointestinal spasms, ischemic colitis [see Warnings and Precautions (5.2)] and gastrointestinal lesions. Rare: Abnormal tenderness, colitis, gastrointestinal signs and symptoms, proctitis, diverticulitis, positive fecal occult blood, hyperacidity, decreased gastrointestinal motility and ileus, gastrointestinal obstructions, oral symptoms, gastrointestinal intussusception, gastritis, gastroduodenitis, gastroenteritis and ulcerative colitis.

Hepatobiliary Tract and Pancreas: Rare: Abnormal bilirubin levels and cholecystitis.

Lower Respiratory: Infrequent: Breathing disorders.

Musculoskeletal: Rare: Muscle pain; muscle stiffness, tightness and rigidity; and bone and skeletal pain.

Neurological: Infrequent: Hypnagogic effects. Rare: Memory effects, tremors, dreams, cognitive function disorders, disturbances of sense of taste, disorders of equilibrium, confusion, sedation and hypoesthesia.

Non-Site Specific: Infrequent: Malaise and fatigue, cramps, pain, temperature regulation disturbances. Rare: Burning sensations, hot and cold sensations, cold sensations and fungal infections.

Psychiatry: Infrequent: Anxiety. Rare: Depressive moods.

Reproduction: Rare: Sexual function disorders, female reproductive tract bleeding and hemorrhage, reproductive infections and fungal reproductive infections.

Skin: Infrequent: Sweating and urticaria. Rare: Hair loss and alopecia; acne and folliculitis; disorders of sweat and sebum; allergic skin reaction; eczema; skin infections; dermatitis and dermatosis; and nail disorders.

Urology: Infrequent: Urinary frequency. Rare: Bladder inflammation; polyuria and diuresis; and urinary tract hemorrhage.

17 Patient Counseling Information

Advise the patient to read the FDA-approved patient labeling (Medication Guide).

Prescriber and Patient Responsibilities

Patients should be fully counseled on and understand the risks and benefits of alosetron hydrochloride before an initial prescription is written. The patient may be educated by the prescriber or a healthcare provider under a prescriber’s direction.

Prescribers must:

  • counsel patients for whom alosetron hydrochloride is appropriate about the benefits and risks of alosetron hydrochloride and discuss the impact of IBS symptoms on the patient’s life.
  • review the Medication Guide, which outlines the benefits and risks of alosetron hydrochloride and instruct the patient to read it carefully. Answer all questions the patient may have about alosetron hydrochloride. The complete text of the Medication Guide is printed at the end of this document.
  • provide each patient with appropriate instructions for taking alosetron hydrochloride.

Additional copies of the Medication Guide are available by contacting Amneal Pharmaceuticals at 1-877-835-5472 or visiting www.amneal.com.

Patients who are prescribed alosetron hydrochloride should be instructed to:

  • read the Medication Guide before starting alosetron hydrochloride and each time they refill their prescription.
  • not start taking alosetron hydrochloride if they are constipated.
  • immediately discontinue alosetron hydrochloride and contact their prescriber if they become constipated, or have symptoms of ischemic colitis such as new or worsening abdominal pain, bloody diarrhea, or blood in the stool. Contact their prescriber again if their constipation does not resolve after discontinuation of alosetron hydrochloride. Resume alosetron hydrochloride only if their constipation has resolved and after discussion with and the agreement of their treating prescriber.
  • stop taking alosetron hydrochloride and contact their prescriber if alosetron hydrochloride does not adequately control IBS symptoms after 4 weeks of taking 1 mg twice a day.

Manufactured by:

Amneal Pharmaceuticals Pvt. Ltd.

Oral Solid Dosage Unit

Ahmedabad 382213, INDIA

Distributed by:

Amneal Pharmaceuticals LLC

Bridgewater, NJ 08807

Rev. 03-2023-00

Dispense with Medication Guide available at:

documents.amneal.com/mg/alosetron-in.pdf

4.3 Concomitant Use of Fluvoxamine

Concomitant administration of alosetron hydrochloride with fluvoxamine is contraindicated. Fluvoxamine, a known strong inhibitor of CYP1A2, has been shown to increase mean alosetron plasma concentrations (AUC) approximately 6-fold and prolong the half-life by approximately 3-fold [see Drug Interactions (7.1)].

16 How Supplied/storage and Handling

Alosetron tablets USP, 0.5 mg (0.562 mg alosetron hydrochloride, USP equivalent to 0.5 mg alosetron), are supplied as white, oval shaped, film coated tablets debossed with “AN248” on one side and plain on the other side.

They are available as follows:

Bottles of 30:                                     NDC 53746-248-30 with child-resistant closures.

Alosetron tablets USP, 1 mg (1.124 mg alosetron hydrochloride, USP equivalent to 1 mg alosetron), are supplied as light blue, oval shaped, film coated tablets debossed with “AN249” on one side and plain on the other side.

They are available as follows:

Bottles of 30:                                     NDC 53746-249-30 with child-resistant closures.

Store at 20° to 25°C (68° to 77°F) [see USP Controlled Room Temperature]. Protect from light and moisture.

2.2 Patients With Hepatic Impairment

Alosetron tablets are extensively metabolized by the liver and increased exposure to alosetron tablets are likely to occur in patients with hepatic impairment. Increased drug exposure may increase the risk of serious adverse reactions. Alosetron tablets should be used with caution in patients with mild or moderate hepatic impairment and is contraindicated in patients with severe hepatic impairment [see Contraindications (4), Use in Specific Populations (8.6)].

5.1 Serious Complications of Constipation

Some patients have experienced serious complications of constipation without warning.

Serious complications of constipation, including obstruction, ileus, impaction, toxic megacolon and secondary bowel ischemia, have been reported with use of alosetron hydrochloride during clinical trials. Complications of constipation have been reported with use of 1 mg twice daily and with lower doses. A dose response relationship has not been established for serious complications of constipation. The incidence of serious complications of constipation was approximately 0.1% (1 per 1,000 patients) in women receiving either alosetron hydrochloride or placebo. In addition, rare cases of perforation and death have been reported from post-marketing clinical practice. In some cases, complications of constipation required intestinal surgery, including colectomy. Patients who are elderly, debilitated, or taking additional medications that decrease gastrointestinal motility may be at greater risk for complications of constipation.

Alosetron hydrochloride should be discontinued immediately in patients who develop constipation [see Boxed Warning].

4.2 History of Severe Bowel Or Hepatic Disorders

Alosetron hydrochloride is contraindicated in patients with a history of the following:

  • chronic or severe constipation or sequelae from constipation
  • intestinal obstruction, stricture, toxic megacolon, gastrointestinal perforation and/or adhesions
  • ischemic colitis, impaired intestinal circulation, thrombophlebitis, or hypercoagulable state
  • Crohn’s disease or ulcerative colitis
  • diverticulitis
  • severe hepatic impairment
Warning: Serious Gastrointestinal Adverse Reactions

Infrequent but serious gastrointestinal adverse reactions have been reported with the use of alosetron hydrochloride. These events, including ischemic colitis and serious complications of constipation, have resulted in hospitalization and rarely, blood transfusion, surgery and death.

  • Alosetron hydrochloride is indicated only for women with severe diarrhea-predominant irritable bowel syndrome (IBS) who have not responded adequately to conventional therapy [see Indications and Usage (1)].
  • Alosetron hydrochloride should be discontinued immediately in patients who develop constipation or symptoms of ischemic colitis. Patients should immediately report constipation or symptoms of ischemic colitis to their prescriber. Alosetron hydrochloride should not be resumed in patients who develop ischemic colitis. Patients who have constipation should immediately contact their prescriber if the constipation does not resolve after alosetron hydrochloride is discontinued. Patients with resolved constipation should resume alosetron hydrochloride only on the advice of their treating prescriber [see Dosage and Administration (2.1), Warnings and Precautions (5.1), (5.2)].
13.1 Carcinogenesis, Mutagenesis, Impairment of Fertility

In 2-year oral studies, alosetron was not carcinogenic in mice at doses up to 30 mg/kg/day or in rats at doses up to 40 mg/kg/day. These doses are about 60 to 160 times, respectively, the recommended human dose of alosetron of 2 mg/day (1 mg twice daily) based on body surface area. Alosetron was not genotoxic in the Ames tests, the mouse lymphoma cell (L5178Y/TK±) forward gene mutation test, the human lymphocyte chromosome aberration test, the ex vivo rat hepatocyte unscheduled DNA synthesis (UDS) test, or the in vivo rat micronucleus test for mutagenicity. Alosetron at oral doses up to 40 mg/kg/day (about 160 times the recommended daily human dose based on body surface area) was found to have no effect on fertility and reproductive performance of male or female rats.


Structured Label Content

Data

Animal Data

No adverse developmental effects were observed with oral administration of alosetron during the period of organogenesis to pregnant rats at doses up to 40 mg/kg/day (about 160 times the recommended human dose based on body surface area) or to pregnant rabbits at doses up to 30 mg/kg/day (about 240 times the recommended daily human dose based on body surface area).

10 Overdosage (10 OVERDOSAGE)

There is no specific antidote for overdose of alosetron hydrochloride. Patients should be managed with appropriate supportive therapy. Individual oral doses as large as 16 mg have been administered in clinical studies without significant adverse reactions. This dose is 8 times higher than the recommended total daily dose. Inhibition of the metabolic elimination and reduced first pass of other drugs might occur with overdoses of alosetron hydrochloride [see Drug Interactions (7)].

15 References (15 REFERENCES)

1. Thompson WG, Creed F, Drossman DA, et al. Functional bowel disease and functional abdominal pain. Gastroenterol Int. 1992;5:75-91.

8.1 Pregnancy

Risk Summary

The available data with alosetron hydrochloride use in pregnant women are insufficient to draw conclusions about any drug-associated risks for major birth defects, miscarriage, or adverse maternal or fetal outcomes. In animal reproduction studies, no adverse developmental effects were observed with oral administration of alosetron in rats and rabbits during organogenesis at doses 160 to 240 times, respectively, the recommended human dosage (see Data).

The estimated background risk of major birth defects and miscarriage for the indicated populations is unknown. All pregnancies have a background risk of birth defect, loss, or other adverse outcomes. In the U.S. general population, the estimated background risk of major birth defects and miscarriage in clinically recognized pregnancies is 2% to 4% and miscarriage is 15% to 20%, respectively.

8.2 Lactation

Risk Summary

There are no data regarding the presence of alosetron in human milk, the effects on the breastfed infant, or the effects on milk production. Alosetron and/or metabolites of alosetron are present in the breast milk of lactating rats. When a drug is present in animal milk, it is likely that the drug will be present in human milk. The developmental and health benefits of breastfeeding should be considered along with the mother’s clinical need for alosetron hydrochloride and any potential adverse effects on the breastfed infant from alosetron hydrochloride or from the underlying maternal condition.

Clinical Considerations

Monitor infants exposed to alosetron through breast milk for severe constipation and blood in stools.

11 Description (11 DESCRIPTION)

The active ingredient in alosetron tablets, USP is alosetron hydrochloride (HCl) USP, a potent and selective antagonist of the serotonin 5-HT3 receptor type. Chemically, alosetron is designated as 2,3,4,5-tetrahydro-5-methyl-2-[(5-methyl-1H-imidazol-4-yl)methyl]-1H-pyrido[4,3-b]indol-1-one, monohydrochloride. Alosetron is achiral and has the molecular formula C17H18N4O•HCl, representing a molecular weight of 330.81 g/mol. Alosetron is a white to pale brown color powder that has a solubility of 70.5 mg/mL in DI Water, 45.7 mg/mL in 0.1 N HCl, 79.4 mg/mL in pH 4.5 Acetate Buffer, 3.2 mg/mL in pH 6.8 Phosphate Buffer and 0.1 mg/mL in pH 7.5 Phosphate Buffer. The chemical structure of alosetron is:

Alosetron tablets, USP are supplied for oral administration as 0.5 mg (white) and 1 mg (light blue) tablets. The 0.5 mg tablet contains 0.562 mg alosetron hydrochloride, USP equivalent to 0.5 mg alosetron and the 1 mg tablet contains 1.124 mg alosetron hydrochloride, USP equivalent to 1 mg of alosetron. Each tablet also contains the inactive ingredients lactose anhydrous, magnesium stearate, microcrystalline cellulose and pregelatinized starch (maize). The white film coat for the 0.5 mg tablet contains hypromellose, polyethylene glycol, polysorbate 80 and titanium dioxide. The light blue film coat for the 1 mg tablet contains FD&C blue #2, hypromellose, macrogol, polysorbate 80 and titanium dioxide.

4.1 Constipation

Alosetron hydrochloride should not be initiated in patients with constipation [see Warnings and Precautions (5.1)].

Medication Guide

Dispense with Medication Guide available at:

documents.amneal.com/mg/alosetron-in.pdf

  Alosetron (a-LO-ze-tron) Tablets, USP 
Read the Medication Guide you get with each refill for alosetron tablets. There may be new information. This Medication Guide does not take the place of talking with your doctor.
What is the most important information I should know about alosetron  tablets?

Alosetron tablets are a medicine only for some women with severe chronic irritable bowel syndrome (IBS) whose:

  • main problem is diarrhea and
  • IBS symptoms have not been helped enough by other treatments.

Some people have developed serious bowel side effects while taking alosetron tablets. Serious bowel (intestine) side effects can happen suddenly, including the following:

  • Serious complications of constipation:

These complications may lead to a hospital stay and, in rare cases, blood transfusions, surgery and death. People who are older, who are weak from illness, or who take other constipating medicines may be more likely to have serious complications of constipation with alosetron tablets.

To lower your chances of getting serious complications of constipation, do the following:

  • If you are constipated, do not start taking alosetron tablets.
  • If you get constipated while taking alosetron  tablets, stop taking it right away and call your doctor.
  • If your constipation does not get better after stopping alosetron  tablets, call your doctor again.
  • If you stopped taking alosetron  tablets, do not start taking alosetron tablets again unless your doctor tells you to do so.
  • Inflammation and injury of the intestines caused by reduced blood flow (ischemic colitis): Ischemic colitis is caused by reduced blood flow to parts of the large bowel. The chance of getting ischemic colitis when you take alosetron tablets for more than 6 months is not known. Ischemic colitis may lead to a hospital stay and, in rare cases, blood transfusions, surgery, and death.

Stop taking alosetron tablets and call your doctor or get medical help if you have symptoms of ischemic colitis such as new or worsening stomach-area (abdominal) pain, bloody diarrhea or blood in the stool.

What are alosetron  tablets?

Alosetron tablets are a prescription medicine used only for some women with severe chronic IBS whose:

  • main problem is diarrhea and
  • IBS symptoms have not been helped enough by other treatments.

Alosetron tablets do not cure IBS and it may not help every person who takes it. For those who are helped, alosetron tablets reduces lower stomach area (abdominal) pain and discomfort, the sudden need to have a bowel movement (bowel urgency) and diarrhea from IBS. If you stop taking alosetron tablets, your IBS symptoms may return within 1 or 2 weeks to what they were before you started taking alosetron tablets.

It is not known if alosetron tablets are safe and effective in men with IBS.

It is not known if alosetron tablets are safe and effective in children.

Who should not take alosetron  tablets?

Do not take alosetron tablets if you:

  • have constipation or you are constipated most of the time.
  • have had a serious problem from constipation. If you are constipated now, do not start taking alosetron  tablets.
  • have had serious bowel blockages.
  • have had blood flow problems to your bowels, such as ischemic colitis.
  • have had blood clots.
  • have had Crohn’s disease, ulcerative colitis, diverticulitis, or severe liver disease.
  • are taking fluvoxamine (LUVOX).
What should I talk about with my doctor before taking alosetron  tablets?

Talk with your doctor:

  • about the possible benefits and risks of alosetron tablets.
  • about how much of a problem IBS is in your life and what treatments you have tried.
  • about any other illnesses you have and medicines you take or plan to take. These include prescription and non-prescription medicines, supplements and herbal remedies. Certain illnesses and medicines can increase your chance of getting serious side effects while taking alosetron tablets. Other medicines may interact with how the body handles alosetron tablets.
  • any allergies that you have. See the end of the Medication Guide for a complete list of ingredients in alosetron tablets.
  • if you have liver problems.
  • if you are pregnant or planning to become pregnant. It is not known if alosetron tablets can harm your unborn baby.
  • if you are breastfeeding or plan to breastfeed. It is not known if alosetron tablets can harm your baby. Talk to your doctor about the best way to feed your baby if you take alosetron tablets.
How should I take alosetron tablets?
  • Take alosetron tablets exactly as your doctor prescribes it. You can take alosetron tablets with or without food.
  • Begin with 0.5 mg two times a day for 4 weeks to see how alosetron tablets affects you. You and your doctor may decide that you should keep taking this dose if you are doing well.
  • Check with your doctor 4 weeks after starting alosetron tablets:
  • If you try 0.5 mg two times a day for 4 weeks, it may not control your symptoms. If you do not get constipation or other side effects from alosetron tablets, your doctor may increase your dose up to 1 mg two times a day.
  • If 1 mg two times a day does not work after 4 weeks, alosetron tablets is not likely to help you. You should stop taking it and call your doctor.
  • Follow the instructions in the section “What is the most important information I should know about alosetron  tablets?” about when you must stop taking the medicine and when you should call your doctor.
What are the possible side effects of alosetron  tablets?

Alosetron tablets may cause serious side effects, including:

See “What is the most important information I should know about alosetron tablets?”

The most common side effects of alosetron tablets include:

  • constipation
  • stomach (abdominal) discomfort and pain
  • nausea
  • intestinal discomfort and pain

These are not all the possible side effects of alosetron tablets.

Call your doctor for medical advice about side effects. You may report side effects to FDA at 1-800-FDA-1088.

How should I store alosetron tablets?
  • Store alosetron tablets at room temperature between 68º to 77ºF (20º to 25ºC).
  • Protect alosetron tablets from light and moisture.

Keep alosetron tablets and all medicines out of the reach of children.

General information about the safe and effective use of alosetron tablets

Medicines are sometimes prescribed for purposes other than those listed in a Medication Guide. Do not use alosetron tablets for a condition for which it was not prescribed. Do not give alosetron tablets to other people, even if they have the same symptoms that you have. It may harm them.

You can ask your pharmacist or healthcare provider for information about alosetron tablets that is written for healthcare professionals. You can also contact the company that makes alosetron tablets (toll free) at 1-877-835-5472 or at www.amneal.com.

What are the ingredients of alosetron tablets?

Active Ingredient: alosetron hydrochloride, USP.

Inactive Ingredients: lactose anhydrous, magnesium stearate, microcrystalline cellulose and pregelatinized starch (maize). The white film-coat for the 0.5 mg tablet contains hypromellose, polyethylene glycol, polysorbate 80 and titanium dioxide. The light blue film-coat for the 1 mg tablet contains FD&C blue #2, hypromellose, macrogol, polysorbate 80 and titanium dioxide.



*Trademarks are the property of their respective owners.



Manufactured by:

Amneal Pharmaceuticals Pvt. Ltd.

Oral Solid Dosage Unit

Ahmedabad 382213, INDIA



Distributed by:

Amneal Pharmaceuticals LLC

Bridgewater, NJ 08807



This Medication Guide has been approved by the U.S. Food and Drug Administration.



Rev. 03-2023-00



8.4 Pediatric Use

Safety and effectiveness in pediatric patients have not been established. Use of alosetron hydrochloride is not recommended in the pediatric population, based upon the risk of serious complications of constipation and ischemic colitis in adults.

8.5 Geriatric Use

In some studies in healthy men or women, plasma concentrations were elevated by approximately 40% in individuals 65 years and older compared to young adults [see Warnings and Precautions (5.1)]. However, this effect was not consistently observed in men.

Post-marketing experience suggests that elderly patients may be at greater risk for complications of constipation therefore, appropriate caution and follow-up should be exercised if alosetron hydrochloride is prescribed for these patients [see Warnings and Precautions (5.1)].

14.3 Long Term Use (14.3 Long-Term Use)

In a 48-week multinational, double-blind, placebo-controlled study, alosetron hydrochloride 1 mg twice daily was evaluated in 714 women with non-constipated IBS. A retrospective analysis of the subset of women with severe diarrhea-predominant IBS (urgency on at least 10 days during the 2-week baseline period) was performed. Of the 417 patients with severe diarrhea-predominant IBS, 62% completed the trial.

Alosetron hydrochloride (n = 198) provided a greater average rate of adequate relief of IBS pain and discomfort (52% vs. 41%) and a greater average rate of satisfactory control of bowel urgency (60% vs. 48%) compared with placebo (n = 219). Significant improvement of these symptoms occurred for most of the 48-week treatment period with no evidence of tachyphylaxis.

2.1 Adult Patients

To lower the risk of constipation, alosetron tablets should be started at a dosage of 0.5 mg twice a day. Patients who become constipated at this dosage should stop taking alosetron tablets until the constipation resolves. They may be restarted at 0.5 mg once a day. If constipation recurs at the lower dose, alosetron tablets should be discontinued immediately.

Patients well controlled on 0.5 mg once or twice a day may be maintained on this regimen. If after 4 weeks the dosage is well tolerated but does not adequately control IBS symptoms, then the dosage can be increased to up to 1 mg twice a day. Alosetron tablets should be discontinued in patients who have not had adequate control of IBS symptoms after 4 weeks of treatment with 1 mg twice a day.

Alosetron tablets can be taken with or without food [see Clinical Pharmacology (12.3)].

Alosetron tablets should be discontinued immediately in patients who develop constipation or signs of ischemic colitis. Alosetron tablets should not be restarted in patients who develop ischemic colitis.

Clinical trial and post-marketing experience suggest that debilitated patients or patients taking additional medications that decrease gastrointestinal motility may be at greater risk of serious complications of constipation. Therefore, appropriate caution and follow-up should be exercised if alosetron tablets are prescribed for these patients.

Post-marketing experience suggests that elderly patients may be at greater risk for complications of constipation; therefore, appropriate caution and follow-up should be exercised if alosetron tablets are prescribed for these patients [see Warnings and Precautions (5.1)].

4 Contraindications (4 CONTRAINDICATIONS)
  • Do not initiate in patients with constipation. (4.1)
  • History of chronic or severe constipation or sequelae from constipation; intestinal obstruction, stricture, toxic megacolon, gastrointestinal perforation and/or adhesions; ischemic colitis; impaired intestinal circulation, thrombophlebitis, or hypercoagulable state; Crohn’s disease or ulcerative colitis; diverticulitis; severe hepatic impairment. (4.2)
  • Concomitant use of fluvoxamine. (4.3)
6 Adverse Reactions (6 ADVERSE REACTIONS)

The following adverse reactions are described in more detail in other sections of the label:

7 Drug Interactions (7 DRUG INTERACTIONS)

In vivo data suggest that alosetron is primarily metabolized by cytochrome P450 (CYP) 1A2, with minor contributions from CYP3A4 and CYP2C9. Therefore, inducers or inhibitors of these enzymes may change the clearance of alosetron.

5.2 Ischemic Colitis

Some patients have experienced ischemic colitis without warning.

Ischemic colitis has been reported in patients receiving alosetron hydrochloride in clinical trials as well as during marketed use of the drug. In IBS clinical trials, the cumulative incidence of ischemic colitis in women receiving alosetron hydrochloride was 0.2% (2 per 1,000 patients, 95% confidence interval 1 to 3) through 3 months and was 0.3% (3 per 1,000 patients, 95% confidence interval 1 to 4) through 6 months. Ischemic colitis has been reported with use of 1 mg twice daily and with lower doses. A dose-response relationship has not been established. Ischemic colitis was reported in one patient receiving placebo. The patient experience in controlled clinical trials is insufficient to estimate the incidence of ischemic colitis in patients taking alosetron hydrochloride for longer than 6 months.

Alosetron hydrochloride should be discontinued immediately in patients with signs of ischemic colitis such as rectal bleeding, bloody diarrhea, or new or worsening abdominal pain. Because ischemic colitis can be life-threatening, patients with signs or symptoms of ischemic colitis should be evaluated promptly and have appropriate diagnostic testing performed. Treatment with alosetron hydrochloride should not be resumed in patients who develop ischemic colitis.

8.7 Renal Impairment

Renal impairment (creatinine clearance 4 mL/min to 56 mL/min) has no effect on the renal elimination of alosetron due to the minor contribution of this pathway to elimination. The effect of renal impairment on metabolite pharmacokinetics and the effect of end-stage renal disease have not been assessed.

12.2 Pharmacodynamics

In healthy volunteers and patients with IBS, alosetron (2 mg orally, twice daily for 8 days) increased colonic transit time without affecting orocecal transit time. In healthy volunteers, alosetron also increased basal jejunal water and sodium absorption after a single 4 mg dose. In patients with IBS, multiple oral dosages of alosetron (4 mg twice daily for 6.5 days) significantly increased colonic compliance.

Single oral doses of alosetron administered to healthy men produced a dose-dependent reduction in the flare response seen after intradermal injection of serotonin. Urinary 6-β-hydroxycortisol excretion decreased by 52% in elderly subjects after 27.5 days of alosetron 2 mg administered orally twice daily. This decrease was not statistically significant. In another study utilizing alosetron 1 mg administered orally twice daily for 4 days, there was a significant decrease in urinary 6-β-hydroxycortisol excretion. However, there was no change in the ratio of 6-β-hydroxycortisol to cortisol, indicating a possible decrease in cortisol production. The clinical significance of these findings is unknown.

12.3 Pharmacokinetics

The pharmacokinetics of alosetron have been studied after single oral doses ranging from 0.05 mg to 16 mg in healthy men. The pharmacokinetics of alosetron have also been evaluated in healthy women and men and in patients with IBS after repeated oral dosages ranging from 1 mg twice daily to 8 mg twice daily.

Absorption: Alosetron was rapidly absorbed after oral administration with a mean absolute bioavailability of approximately 50% to 60% (approximate range, 30% to > 90%). After administration of radiolabeled alosetron, only 1% of the dose was recovered in the feces as unchanged drug. Following oral administration of a 1 mg alosetron dose to young men, a peak plasma concentration of approximately 5 ng/mL occurred at 1 hour. In young women, the mean peak plasma concentration was approximately 9 ng/mL, with a similar time to peak.

Plasma concentrations were 30% to 50% lower and less variable in men compared to women given the same oral dose. Population pharmacokinetic analysis in IBS patients confirmed that alosetron concentrations were influenced by gender (27% lower in men).

Food Effects: Alosetron absorption is decreased by approximately 25% by co-administration with food, with a mean delay in time to peak concentration of 15 minutes [see Dosage and Administration (2.1)].

Distribution: Alosetron demonstrates a volume of distribution of approximately 65 L to 95 L. Plasma protein binding is 82% over a concentration range of 20 ng/mL to 4,000 ng/mL.

Metabolism and Elimination: Plasma concentrations of alosetron increase proportionately with increasing single oral doses up to 8 mg and more than proportionately at a single oral dose of 16 mg. Twice-daily oral dosing of alosetron does not result in accumulation. The terminal elimination half-life of alosetron is approximately 1.5 hours (plasma clearance is approximately 600 mL/min). Population pharmacokinetic analysis in patients with IBS confirmed that alosetron clearance is minimally influenced by doses up to 8 mg.

Renal elimination of unchanged alosetron accounts for only 13% of the dose. Renal clearance is approximately 112 mL/min.

A study with 14C-labeled alosetron in Caucasian males (n = 3) and females (n = 3) and an Asian male (n = 1) showed similar serum metabolite profiles. Unchanged alosetron was the major component in serum, with other metabolites being present at low concentrations, none amounting to more than 15% of the unmetabolized alosetron concentration. The circulating metabolites were identified as 6-hydroxy glucuronide, 6-hydroxy sulphate, 7-hydroxy sulphate, hydroxymethyl imidazole and mono- and bis-oxygenated imidazole derivatives of alosetron. The metabolites are unlikely to contribute to the biological activity of alosetron. Of the circulating Phase I metabolites, only the hydroxymethyl imidazole has weak pharmacological activity, around 10-fold less potent than alosetron. Total recovery of radioactivity in the excreta was 85% ± 6%. The majority of the radiolabeled dose is excreted in the urine (74% ± 5%). The major urinary metabolites were the 6-hydroxy glucuronide and the mono- and bis-oxygenated imidazole derivatives of alosetron. 11% ± 4% of the radiolabeled dose was excreted in the feces with less than 1% of the dose being excreted as the unchanged alosetron.

Alosetron is metabolized by human microsomal cytochrome P450 (CYP), shown in vitro to involve enzymes 2C9 (30%), 3A4 (18%) and 1A2 (10%). Non–CYP-mediated Phase I metabolic conversion also contributes to an extent of about 11%. However, in vivo data suggest that CYP1A2 plays a more prominent role in alosetron metabolism (62% to 97% of alosetron clearance) based on correlation of alosetron clearance with in vivo CYP1A2 activity measured by probe substrate, increased clearance induced by smoking and inhibition of clearance by fluvoxamine [see Contraindications (4), Drug Interactions (7)].

14.2 Efficacy Studies

Alosetron hydrochloride has been studied in women with IBS in five 12-week US multicenter, randomized, double-blind, placebo-controlled clinical studies.

Table 3: Efficacy Studies Conducted in Women with Irritable Bowel Syndrome (IBS)  

Study

 Patient Population                                                     

Placebo

(n)

Alosetron Hydrochloride

Dose

(n)

1 and 2

 Non-constipated women with IBS                           

(640)

1 mg twice daily

(633)

3 and 4

 Women with severe diarrhea-predominant IBS

 (defined as bowel urgency ≥ 50% of days)             

(515)

1 mg twice daily

(778)

5

 Women with severe diarrhea- predominant IBS

 (defined as average pain ≥ moderate, urgency ≥ 50%

 of days and/or restriction of daily activities ≥ 25% of

 days)                                                                             

(176)

0.5 mg once daily

(177)

1 mg once daily

(175)

1 mg twice daily

(177)

Studies in Non-Constipated Women with Irritable Bowel Syndrome: Studies 1 and 2 were conducted in non-constipated women with IBS meeting the Rome Criteria1 for at least 6 months. Women with severe pain or a history of severe constipation were excluded. A 2-week run-in period established baseline IBS symptoms.

About two thirds of the women had diarrhea-predominant IBS. Compared with placebo, 10% to 19% more women with diarrhea-predominant IBS who received alosetron hydrochloride had adequate relief of IBS abdominal pain and discomfort during each month of the study.

Studies in Women with Severe Diarrhea-Predominant Irritable Bowel Syndrome: Alosetron hydrochloride is indicated only for women with severe diarrhea-predominant IBS [see Indications and Usage (1)]. The efficacy of alosetron hydrochloride in this subset of the women studied in clinical trials is supported by prospective and retrospective analyses.

Prospective Analyses: Studies 3 and 4 were conducted in women with diarrhea-predominant IBS and bowel urgency on at least 50% of days at entry. Women receiving alosetron hydrochloride had significant increases over placebo (13% to 16%) in the median percentage of days with urgency control.

The lower gastrointestinal functions of stool consistency, stool frequency and sense of incomplete evacuation were also evaluated by patients’ daily reports. Stool consistency was evaluated on a scale of 1 to 5 (1 = very hard, 2 = hard, 3 = formed, 4 = loose and 5 = watery). At baseline, average stool consistency was approximately 4 (loose) for both treatment groups. During the 12 weeks of treatment, the average stool consistency decreased to approximately 3.0 (formed) for patients who received alosetron hydrochloride and 3.5 for the patients who received placebo in the 2 studies.

At baseline, average stool frequency was approximately 3.2 per day for both treatment groups. During the 12 weeks of treatment, the average daily stool frequency decreased to approximately 2.1 and 2.2 for patients receiving alosetron hydrochloride and 2.7 and 2.8 for patients receiving placebo in the 2 studies.

There was no consistent effect upon the sense of incomplete evacuation during the 12 weeks of treatment for patients receiving alosetron hydrochloride as compared to patients receiving placebo in either study.

Study 5 was conducted in women with severe diarrhea-predominant IBS and 1 or more of the following: frequent and severe abdominal pain or discomfort, frequent bowel urgency or fecal incontinence, disability or restriction of daily activities due to IBS. To evaluate the proportion of patients who responded to treatment, patients were asked every 4 weeks to compare their IBS symptoms during the previous month of treatment with how they usually felt during the 3 months prior to the study using an ordered 7-point scale (substantially worse to substantially improved). A responder was defined as a subject who reported moderate or substantial improvement on this global improvement scale (GIS). At Week 12, all three groups receiving alosetron hydrochloride had significantly greater percentages of GIS responders compared to the placebo group (43% to 51% vs. 31%) using a Last Observation Carried Forward (LOCF) analysis. It should be noted that approximately 4% of subjects in each alosetron hydrochloride dose group who were classified as responders using this approach were observed only through week 4. At each of the 4 week intervals of the treatment phase, all three dosages of alosetron hydrochloride provided improvement in the average adequate relief rate of IBS pain and discomfort, stool consistency, stool frequency and sense of urgency compared with placebo.

Retrospective Analyses: In analyses of patients from Studies 1 and 2 who had diarrhea-predominant IBS and indicated their baseline run-in IBS symptoms were severe at the start of the trial, alosetron hydrochloride provided greater adequate relief of IBS pain and discomfort than placebo. In further analyses of Studies 1 and 2, 57% of patients had urgency at baseline on 5 or more days per week. In this subset, 32% of patients on alosetron hydrochloride had urgency no more than 1 day in the last week of the trial, compared with 19% of patients on placebo.

In Studies 3 and 4, 66% of patients had urgency at baseline on 5 or more days per week. In this subset, 50% of patients on alosetron hydrochloride had urgency no more than 1 day in the last week of the trial, compared with 29% of patients on placebo. Moreover, in the same subset, 12% on alosetron hydrochloride had urgency no more than 2 days per week in any of the 12 weeks on treatment compared with 1% of placebo patients.

Figure 1: Percent of Patients with Urgency on > 5 Days/Week at Baseline Who Improved to No More Than 1 Day in the Final Week

In Studies 1 and 2, patient-reported subjective outcomes related to IBS were assessed by questionnaires obtained at baseline and week 12. Patients in the more severe subset who received alosetron hydrochloride reported less difficulty sleeping, less tiredness, fewer eating problems and less interference with social activities and work/main activities due to IBS symptoms or problems compared to those who received placebo. Change in the impact of IBS symptoms and problems on emotional and mental distress and on physical and sexual activity in women who received alosetron hydrochloride were not statistically different from those reported by women who received placebo.

7.1 Cyp1a2 Inhibitors (7.1 CYP1A2 Inhibitors)

Fluvoxamine is a known strong inhibitor of CYP1A2 and also inhibits CYP3A4, CYP2C9 and CYP2C19. In a pharmacokinetic study, 40 healthy female subjects received fluvoxamine in escalating doses from 50 mg/day to 200 mg/day for 16 days, with co-administration of alosetron 1 mg on the last day. Fluvoxamine increased mean alosetron plasma concentrations (AUC) approximately 6-fold and prolonged the half-life by approximately 3-fold. Concomitant administration of alosetron and fluvoxamine is contraindicated [see Contraindications (4.3)].

Concomitant administration of alosetron and moderate CYP1A2 inhibitors, including quinolone antibiotics and cimetidine, has not been evaluated, but should be avoided unless clinically necessary because of similar potential drug interactions.

7.2 Cyp3a4 Inhibitors (7.2 CYP3A4 Inhibitors)

Ketoconazole is a known strong inhibitor of CYP3A4. In a pharmacokinetic study, 38 healthy female subjects received ketoconazole 200 mg twice daily for 7 days, with co-administration of alosetron 1 mg on the last day. Ketoconazole increased mean alosetron plasma concentrations (AUC) by 29%. Caution should be used when alosetron and ketoconazole are administered concomitantly. Co-administration of alosetron and strong CYP3A4 inhibitors such as clarithromycin, telithromycin, protease inhibitors, voriconazole and itraconazole has not been evaluated but should be undertaken with caution because of similar potential drug interactions. The effect of induction or inhibition of other pathways on exposure to alosetron and its metabolites is not known.

7.3 Other Cyp Enzymes (7.3 Other CYP Enzymes)

In vitro human liver microsome studies and an in vivo metabolic probe study demonstrated that alosetron did not inhibit CYP enzymes 3A4, 2C9, or 2C19. In vitro at total drug concentrations 27-fold higher than peak plasma concentrations observed with the 1 mg dose, alosetron inhibited CYP enzymes 1A2 (60%) and 2E1 (50%). In an in vivo metabolic probe study, alosetron did not inhibit CYP2E1 but did produce 30% inhibition of both CYP1A2 and N-acetyltransferase. Although not studied with alosetron, inhibition of N-acetyltransferase may have clinically relevant consequences for drugs such as isoniazid, procainamide and hydralazine. The effect on CYP1A2 was explored further in a clinical interaction study with theophylline and no effect on metabolism was observed. Another study showed that alosetron had no clinically significant effect on plasma concentrations of the oral contraceptive agents ethinyl estradiol and levonorgestrel (CYP3A4 substrates). A clinical interaction study was also conducted with alosetron and the CYP3A4 substrate cisapride. No significant effects on cisapride metabolism or QT interval were noted. The effects of alosetron on monoamine oxidases and on intestinal first pass secondary to high intraluminal concentrations have not been examined. Based on the above data from in vitro and in vivo studies, it is unlikely that alosetron will inhibit the hepatic metabolic clearance of drugs metabolized by the CYP enzymes 2C9, 2C19, or 2E1.

Alosetron does not appear to induce the major cytochrome P450 drug-metabolizing enzyme 3A. Alosetron also does not appear to induce CYP enzymes 2E1 or 2C19. It is not known whether alosetron might induce other enzymes.

8.6 Hepatic Impairment

Due to the extensive hepatic metabolism of alosetron, increased exposure to alosetron and/or its metabolites is likely to occur in patients with hepatic impairment. Alosetron should not be used in patients with severe hepatic impairment and should be used with caution in patients with mild or moderate hepatic impairment.

A single 1 mg oral dose of alosetron was administered to 1 female and 5 male patients with moderate hepatic impairment (Child-Pugh score of 7 to 9) and to 1 female and 2 male patients with severe hepatic impairment (Child-Pugh score of > 9). In comparison with historical data from healthy subjects, patients with severe hepatic impairment displayed higher systemic exposure to alosetron. The female with severe hepatic impairment displayed approximately 14-fold higher exposure, while the female with moderate hepatic impairment displayed approximately 1.6-fold higher exposure, than healthy females. Due to the small number of subjects and high intersubject variability in the pharmacokinetic findings, no definitive quantitative conclusions can be made. However, due to the greater exposure to alosetron in the female with severe hepatic impairment, alosetron should not be used in females with severe hepatic impairment [see Dosage and Administration (2.2), Contraindications (4)].

1 Indications and Usage (1 INDICATIONS AND USAGE)

Alosetron tablets are indicated only for women with severe diarrhea-predominant irritable bowel syndrome (IBS) who have:

  • chronic IBS symptoms (generally lasting 6 months or longer),
  • had anatomic or biochemical abnormalities of the gastrointestinal tract excluded, and
  • not responded adequately to conventional therapy.

Diarrhea-predominant IBS is severe if it includes diarrhea and one or more of the following:

  • frequent and severe abdominal pain/discomfort,
  • frequent bowel urgency or fecal incontinence,
  • disability or restriction of daily activities due to IBS.

Because of infrequent but serious gastrointestinal adverse reactions associated with alosetron tablets, the indication is restricted to those patients for whom the benefit-to-risk balance is most favorable.

Clinical studies have not been performed to adequately confirm the benefits of alosetron tablets in men.

14.1 Dose Ranging Study (14.1 Dose-Ranging Study)

Data from a dose-ranging study of women (n = 85) who received alosetron hydrochloride 0.5 mg twice daily indicated that the incidence of constipation (14%) was lower than that experienced by women receiving 1 mg twice daily (29%). Therefore, to lower the risk of constipation, alosetron hydrochloride should be started at a dosage of 0.5 mg twice a day. The efficacy of the 0.5 mg twice-daily dosage in treating severe diarrhea-predominant IBS has not been adequately evaluated in clinical trials [See Dosage and Administration (2.1)].

Principal Display Panel (PRINCIPAL DISPLAY PANEL)

NDC 53746-248-30

Alosetron tablets USP

0.5 mg

Rx only

300 Tablets

Amneal Pharmaceuticals LLC

NDC 53746-248-30

Alosetron tablets USP

1 mg

Rx only

30 Tablets

Amneal Pharmaceuticals LLC

12.1 Mechanism of Action

Alosetron is a potent and selective 5-HT3 receptor antagonist. 5-HT3 receptors are ligand-gated cation channels that are extensively distributed on enteric neurons in the human gastrointestinal tract, as well as other peripheral and central locations. Activation of these channels and the resulting neuronal depolarization affect the regulation of visceral pain, colonic transit and gastrointestinal secretions, processes that relate to the pathophysiology of IBS. 5-HT3 receptor antagonists such as alosetron inhibit activation of non-selective cation channels, which results in the modulation of the enteric nervous system.

The cause of IBS is unknown. IBS is characterized by visceral hypersensitivity and hyperactivity of the gastrointestinal tract, which lead to abnormal sensations of pain and motor activity. Following distention of the rectum, patients with IBS exhibit pain and discomfort at lower volumes than healthy volunteers. Following such distention, alosetron reduced pain and exaggerated motor responses, possibly due to blockade of 5-HT3 receptors.

5 Warnings and Precautions (5 WARNINGS AND PRECAUTIONS)
  • Serious Complications of Constipation: May occur in some patients without warning. Includes obstruction, ileus, impaction, toxic megacolon and secondary bowel ischemia and in rare cases perforation and death have been reported. Risk is increased in patients who are elderly, debilitated, or taking medications that decrease bowel motility. (5.1)
  • Discontinue alosetron hydrochloride immediately if constipation occurs. (5.1)
  • Ischemic colitis: May occur in some patients without warning. Promptly evaluate patients with signs of ischemic colitis (e.g., rectal bleeding, bloody diarrhea, new or worsening abdominal pain). (5.2)
  • Discontinue alosetron hydrochloride immediately if signs of ischemic colitis occur, such as rectal bleeding, bloody diarrhea, or new or worsening abdominal pain. (5.2)
2 Dosage and Administration (2 DOSAGE AND ADMINISTRATION)
  • Starting dose is 0.5 mg twice a day. (2.1)
  • May increase dose to 1 mg twice a day after 4 weeks if starting dosage is well tolerated but does not adequately control IBS symptoms. (2.1)
  • Discontinue alosetron tablets in patients who have not had adequate control of IBS symptoms after 4 weeks of treatment with 1 mg twice a day. (2.1)
3 Dosage Forms and Strengths (3 DOSAGE FORMS AND STRENGTHS)

0.5 mg and 1 mg tablets

Alosetron tablets USP, 0.5 mg (0.562 mg alosetron hydrochloride, USP equivalent to 0.5 mg alosetron), are white, oval shaped, film coated tablets debossed with “AN248” on one side and plain on the other side.

Alosetron tablets USP, 1 mg (1.124 mg alosetron hydrochloride, USP equivalent to 1 mg alosetron), are light blue, oval shaped, film coated tablets debossed with “AN249” on one side and plain on the other side.

6.2 Post Marketing Experience (6.2 Post-marketing Experience)

In addition to events reported in clinical trials, the following events have been identified during use of alosetron hydrochloride in clinical practice. Because they were reported voluntarily from a population of unknown size, estimates of frequency cannot be made. These events have been chosen for inclusion due to a combination of their seriousness, frequency of reporting, or potential causal connection to alosetron hydrochloride.

Gastrointestinal: Impaction, perforation, ulceration, small bowel mesenteric ischemia.

Neurological : Headache.

Skin : Rash.

8 Use in Specific Populations (8 USE IN SPECIFIC POPULATIONS)
  • Hepatic impairment: Contraindicated in severe hepatic impairment. Use with caution in patients with mild or moderate hepatic impairment. (4.2, 8.6)
  • Geriatric use: Elderly patients may be at greater risk for complications of constipation. (8.5)
6.1 Clinical Trials Experience

Because clinical trials are conducted under widely varying conditions, adverse reaction rates observed in the clinical trials of a drug cannot be directly compared to rates in the clinical trials of another drug and may not reflect the rates observed in practice.

Patients with Irritable Bowel Syndrome: Table 1 summarizes adverse reactions from 22 repeat-dose studies in patients with IBS who were treated with 1 mg of alosetron hydrochloride twice daily for 8 to 24 weeks. The adverse reactions in Table 1 were reported in 1% or more of patients who received alosetron hydrochloride and occurred more frequently on alosetron hydrochloride than on placebo. A statistically significant difference was observed for constipation in patients treated with alosetron hydrochloride compared to placebo (p < 0.0001).

Table 1: Adverse Reactions Reported in ≥ 1% of Patients with Irritable Bowel Syndrome and More Frequently on Alosetron Hydrochloride  1 mg Twice Daily Than Placebo

Body System

Adverse Reaction

Placebo

(n = 2,363)

Alosetron Hydrochloride

1 mg twice daily

(n = 8,328)

Gastrointestinal

Constipation

6%

29%

Abdominal discomfort and pain

4%

7%

Nausea

5%

6%

Gastrointestinal discomfort and pain

3%

5%

Abdominal distention

1%

2%

Regurgitation and reflux

2%

2%

Hemorrhoids

1%

2%

Gastrointestinal: Constipation is a frequent and dose-related side effect of treatment with alosetron hydrochloride [see Warnings and Precautions (5.1)]. In clinical studies constipation was reported in approximately 29% of patients with IBS treated with alosetron hydrochloride 1 mg twice daily (n = 9,316). This effect was statistically significant compared to placebo (p < 0.0001). Eleven percent (11%) of patients treated with alosetron hydrochloride 1 mg twice daily withdrew from the studies due to constipation. Although the number of patients with IBS treated with alosetron hydrochloride 0.5 mg twice daily is relatively small (n = 243), only 11% of those patients reported constipation and 4% withdrew from clinical studies due to constipation. Among the patients treated with alosetron hydrochloride 1 mg twice daily who reported constipation, 75% reported a single episode and most reports of constipation (70%) occurred during the first month of treatment, with the median time to first report of constipation onset of 8 days. Occurrences of constipation in clinical trials were generally mild to moderate in intensity, transient in nature and resolved either spontaneously with continued treatment or with an interruption of treatment. However, serious complications of constipation have been reported in clinical studies and in post-marketing experience [see Boxed Warning and  Warnings and Precautions (5.1)]. In Studies 1 and 2, 9% of patients treated with alosetron hydrochloride reported constipation and 4 consecutive days with no bowel movement [see Clinical Studies (14.2)]. Following interruption of treatment, 78% of the affected patients resumed bowel movements within a 2-day period and were able to re-initiate treatment with alosetron hydrochloride.

Hepatic: A similar incidence in elevation of ALT (> 2-fold) was seen in patients receiving alosetron hydrochloride or placebo (1.0% vs. 1.2%). A single case of hepatitis (elevated ALT, AST, alkaline phosphatase and bilirubin) without jaundice in a patient receiving alosetron hydrochloride was reported in a 12-week study. A causal association with alosetron hydrochloride has not been established.

Long-Term Safety: Patient experience in controlled clinical trials is insufficient to estimate the incidence of ischemic colitis in patients taking alosetron hydrochloride for longer than 6 months.

Women with Severe Diarrhea-Predominant Irritable Bowel Syndrome: Table 2 summarizes the gastrointestinal adverse reactions from 1 repeat-dose study in female patients with severe diarrhea-predominant IBS who were treated for 12 weeks. The adverse reactions in Table 2 were reported in 3% or more of patients who received alosetron hydrochloride and occurred more frequently with alosetron hydrochloride than with placebo. Other events reported in 3% or more of patients who received alosetron hydrochloride and occurring more frequently with alosetron hydrochloride than with placebo included upper respiratory tract infection, viral gastroenteritis, muscle spasms, headaches and fatigue.

Table 2: Gastrointestinal Adverse Reactions Reported in ≥ 3% of Women with Severe Diarrhea-Predominant Irritable Bowel Syndrome and More Frequently on Alosetron Hydrochloride  Than Placebo

Adverse

Reaction

Placebo

(n = 176)

Alosetron Hydrochloride

0.5 mg once daily

(n = 175)

Alosetron Hydrochloride

1 mg once daily

(n = 172)

Alosetron Hydrochloride

1 mg twice daily

(n = 176)

Constipation

5%

9%

16%

19%

Abdominal pain

3%

5%

6%

7%

Diarrhea

2%

3%

2%

2%

Hemorrhoidal

hemorrhage

2%

3%

2%

2%

Flatulence

2%

2%

1%

3%

Hemorrhoids

2%

1%

1%

3%

Abdominal pain

upper

1%

3%

1%

1%

Adverse reactions reported in another study of 701 women with severe diarrhea-predominant IBS were similar to those shown in Table 2. Gastrointestinal adverse reactions reported in 3% or more of patients who received alosetron hydrochloride and occurring more frequently with alosetron hydrochloride than with placebo included constipation (14% and 10% of patients taking alosetron hydrochloride 1 mg twice daily or 0.5 mg as needed, respectively, compared with 2% taking placebo), abdominal pain, nausea, vomiting and flatulence. Other events reported in 3% or more of patients who received alosetron hydrochloride and occurring more frequently with alosetron hydrochloride than with placebo included nasopharyngitis, sinusitis, upper respiratory tract infection, urinary tract infection, viral gastroenteritis and cough.

Constipation: Constipation was the most frequent adverse reaction among women with severe diarrhea-predominant IBS represented in Table 2. There was a dose response in the groups treated with alosetron hydrochloride in the number of patients withdrawn due to constipation (2% on placebo, 5% on 0.5 mg once daily, 8% on 1 mg once daily and 11% on 1 mg twice daily). Among these patients with severe diarrhea-predominant IBS treated with alosetron hydrochloride who reported constipation most (75%) reported one episode which occurred within the first 15 days of treatment and persisted for 4 to 5 days.

Other Events Observed During Clinical Evaluation of Alosetron Hydrochloride: During its assessment in clinical trials, multiple and single doses of alosetron hydrochloride were administered, resulting in 11,874 subject exposures in 86 completed clinical studies. The conditions, dosages and duration of exposure to alosetron hydrochloride varied between trials and the studies included healthy male and female volunteers as well as male and female patients with IBS and other indications.

In the listing that follows, reported adverse reactions were classified using a standardized coding dictionary. Only those events that an investigator believed were possibly related to alosetron hydrochloride, occurred in at least 2 patients and occurred at a greater frequency during treatment with alosetron hydrochloride than during placebo administration are presented. Serious adverse reactions occurring in at least 1 patient for whom an investigator believed there was reasonable possibility that the event was related to treatment with alosetron hydrochloride and occurring at a greater frequency in patients treated with alosetron hydrochloride than placebo-treated patients are also presented.

In the following listing, events are categorized by body system. Within each body system, events are presented in descending order of frequency. The following definitions are used: infrequent adverse reactions are those occurring on one or more occasion in 1/100 to 1/1,000 patients; rare adverse reactions are those occurring on one or more occasion in fewer than 1/1,000 patients.

Although the events reported occurred during treatment with alosetron hydrochloride, they were not necessarily caused by it.

Blood and Lymphatic: Rare: Quantitative red cell or hemoglobin defects and hemorrhage.

Cardiovascular: Infrequent: Tachyarrhythmias. Rare: Arrhythmias, increased blood pressure and extrasystoles.

Drug Interaction, Overdose and Trauma: Rare: Contusions and hematomas.

Ear, Nose and Throat: Rare: Ear, nose and throat infections; viral ear, nose and throat infections; and laryngitis.

Endocrine and Metabolic: Rare: Disorders of calcium and phosphate metabolism, hyperglycemia, hypothalamus/pituitary hypofunction, hypoglycemia and fluid disturbances.

Eye: Rare: Light sensitivity of eyes.

Gastrointestinal: Infrequent: Hyposalivation, dyspeptic symptoms, gastrointestinal spasms, ischemic colitis [see Warnings and Precautions (5.2)] and gastrointestinal lesions. Rare: Abnormal tenderness, colitis, gastrointestinal signs and symptoms, proctitis, diverticulitis, positive fecal occult blood, hyperacidity, decreased gastrointestinal motility and ileus, gastrointestinal obstructions, oral symptoms, gastrointestinal intussusception, gastritis, gastroduodenitis, gastroenteritis and ulcerative colitis.

Hepatobiliary Tract and Pancreas: Rare: Abnormal bilirubin levels and cholecystitis.

Lower Respiratory: Infrequent: Breathing disorders.

Musculoskeletal: Rare: Muscle pain; muscle stiffness, tightness and rigidity; and bone and skeletal pain.

Neurological: Infrequent: Hypnagogic effects. Rare: Memory effects, tremors, dreams, cognitive function disorders, disturbances of sense of taste, disorders of equilibrium, confusion, sedation and hypoesthesia.

Non-Site Specific: Infrequent: Malaise and fatigue, cramps, pain, temperature regulation disturbances. Rare: Burning sensations, hot and cold sensations, cold sensations and fungal infections.

Psychiatry: Infrequent: Anxiety. Rare: Depressive moods.

Reproduction: Rare: Sexual function disorders, female reproductive tract bleeding and hemorrhage, reproductive infections and fungal reproductive infections.

Skin: Infrequent: Sweating and urticaria. Rare: Hair loss and alopecia; acne and folliculitis; disorders of sweat and sebum; allergic skin reaction; eczema; skin infections; dermatitis and dermatosis; and nail disorders.

Urology: Infrequent: Urinary frequency. Rare: Bladder inflammation; polyuria and diuresis; and urinary tract hemorrhage.

17 Patient Counseling Information (17 PATIENT COUNSELING INFORMATION)

Advise the patient to read the FDA-approved patient labeling (Medication Guide).

Prescriber and Patient Responsibilities

Patients should be fully counseled on and understand the risks and benefits of alosetron hydrochloride before an initial prescription is written. The patient may be educated by the prescriber or a healthcare provider under a prescriber’s direction.

Prescribers must:

  • counsel patients for whom alosetron hydrochloride is appropriate about the benefits and risks of alosetron hydrochloride and discuss the impact of IBS symptoms on the patient’s life.
  • review the Medication Guide, which outlines the benefits and risks of alosetron hydrochloride and instruct the patient to read it carefully. Answer all questions the patient may have about alosetron hydrochloride. The complete text of the Medication Guide is printed at the end of this document.
  • provide each patient with appropriate instructions for taking alosetron hydrochloride.

Additional copies of the Medication Guide are available by contacting Amneal Pharmaceuticals at 1-877-835-5472 or visiting www.amneal.com.

Patients who are prescribed alosetron hydrochloride should be instructed to:

  • read the Medication Guide before starting alosetron hydrochloride and each time they refill their prescription.
  • not start taking alosetron hydrochloride if they are constipated.
  • immediately discontinue alosetron hydrochloride and contact their prescriber if they become constipated, or have symptoms of ischemic colitis such as new or worsening abdominal pain, bloody diarrhea, or blood in the stool. Contact their prescriber again if their constipation does not resolve after discontinuation of alosetron hydrochloride. Resume alosetron hydrochloride only if their constipation has resolved and after discussion with and the agreement of their treating prescriber.
  • stop taking alosetron hydrochloride and contact their prescriber if alosetron hydrochloride does not adequately control IBS symptoms after 4 weeks of taking 1 mg twice a day.

Manufactured by:

Amneal Pharmaceuticals Pvt. Ltd.

Oral Solid Dosage Unit

Ahmedabad 382213, INDIA

Distributed by:

Amneal Pharmaceuticals LLC

Bridgewater, NJ 08807

Rev. 03-2023-00

Dispense with Medication Guide available at:

documents.amneal.com/mg/alosetron-in.pdf

4.3 Concomitant Use of Fluvoxamine

Concomitant administration of alosetron hydrochloride with fluvoxamine is contraindicated. Fluvoxamine, a known strong inhibitor of CYP1A2, has been shown to increase mean alosetron plasma concentrations (AUC) approximately 6-fold and prolong the half-life by approximately 3-fold [see Drug Interactions (7.1)].

16 How Supplied/storage and Handling (16 HOW SUPPLIED/STORAGE AND HANDLING)

Alosetron tablets USP, 0.5 mg (0.562 mg alosetron hydrochloride, USP equivalent to 0.5 mg alosetron), are supplied as white, oval shaped, film coated tablets debossed with “AN248” on one side and plain on the other side.

They are available as follows:

Bottles of 30:                                     NDC 53746-248-30 with child-resistant closures.

Alosetron tablets USP, 1 mg (1.124 mg alosetron hydrochloride, USP equivalent to 1 mg alosetron), are supplied as light blue, oval shaped, film coated tablets debossed with “AN249” on one side and plain on the other side.

They are available as follows:

Bottles of 30:                                     NDC 53746-249-30 with child-resistant closures.

Store at 20° to 25°C (68° to 77°F) [see USP Controlled Room Temperature]. Protect from light and moisture.

2.2 Patients With Hepatic Impairment (2.2 Patients with Hepatic Impairment)

Alosetron tablets are extensively metabolized by the liver and increased exposure to alosetron tablets are likely to occur in patients with hepatic impairment. Increased drug exposure may increase the risk of serious adverse reactions. Alosetron tablets should be used with caution in patients with mild or moderate hepatic impairment and is contraindicated in patients with severe hepatic impairment [see Contraindications (4), Use in Specific Populations (8.6)].

5.1 Serious Complications of Constipation

Some patients have experienced serious complications of constipation without warning.

Serious complications of constipation, including obstruction, ileus, impaction, toxic megacolon and secondary bowel ischemia, have been reported with use of alosetron hydrochloride during clinical trials. Complications of constipation have been reported with use of 1 mg twice daily and with lower doses. A dose response relationship has not been established for serious complications of constipation. The incidence of serious complications of constipation was approximately 0.1% (1 per 1,000 patients) in women receiving either alosetron hydrochloride or placebo. In addition, rare cases of perforation and death have been reported from post-marketing clinical practice. In some cases, complications of constipation required intestinal surgery, including colectomy. Patients who are elderly, debilitated, or taking additional medications that decrease gastrointestinal motility may be at greater risk for complications of constipation.

Alosetron hydrochloride should be discontinued immediately in patients who develop constipation [see Boxed Warning].

4.2 History of Severe Bowel Or Hepatic Disorders (4.2 History of Severe Bowel or Hepatic Disorders)

Alosetron hydrochloride is contraindicated in patients with a history of the following:

  • chronic or severe constipation or sequelae from constipation
  • intestinal obstruction, stricture, toxic megacolon, gastrointestinal perforation and/or adhesions
  • ischemic colitis, impaired intestinal circulation, thrombophlebitis, or hypercoagulable state
  • Crohn’s disease or ulcerative colitis
  • diverticulitis
  • severe hepatic impairment
Warning: Serious Gastrointestinal Adverse Reactions (WARNING: SERIOUS GASTROINTESTINAL ADVERSE REACTIONS)

Infrequent but serious gastrointestinal adverse reactions have been reported with the use of alosetron hydrochloride. These events, including ischemic colitis and serious complications of constipation, have resulted in hospitalization and rarely, blood transfusion, surgery and death.

  • Alosetron hydrochloride is indicated only for women with severe diarrhea-predominant irritable bowel syndrome (IBS) who have not responded adequately to conventional therapy [see Indications and Usage (1)].
  • Alosetron hydrochloride should be discontinued immediately in patients who develop constipation or symptoms of ischemic colitis. Patients should immediately report constipation or symptoms of ischemic colitis to their prescriber. Alosetron hydrochloride should not be resumed in patients who develop ischemic colitis. Patients who have constipation should immediately contact their prescriber if the constipation does not resolve after alosetron hydrochloride is discontinued. Patients with resolved constipation should resume alosetron hydrochloride only on the advice of their treating prescriber [see Dosage and Administration (2.1), Warnings and Precautions (5.1), (5.2)].
13.1 Carcinogenesis, Mutagenesis, Impairment of Fertility

In 2-year oral studies, alosetron was not carcinogenic in mice at doses up to 30 mg/kg/day or in rats at doses up to 40 mg/kg/day. These doses are about 60 to 160 times, respectively, the recommended human dose of alosetron of 2 mg/day (1 mg twice daily) based on body surface area. Alosetron was not genotoxic in the Ames tests, the mouse lymphoma cell (L5178Y/TK±) forward gene mutation test, the human lymphocyte chromosome aberration test, the ex vivo rat hepatocyte unscheduled DNA synthesis (UDS) test, or the in vivo rat micronucleus test for mutagenicity. Alosetron at oral doses up to 40 mg/kg/day (about 160 times the recommended daily human dose based on body surface area) was found to have no effect on fertility and reproductive performance of male or female rats.


Advanced Ingredient Data


Raw Label Data

All Sections (JSON)