These Highlights Do Not Include All The Information Needed To Use Keppra Xr ®

These Highlights Do Not Include All The Information Needed To Use Keppra Xr ®
SPL v31
SPL
SPL Set ID 2919e43b-69a8-434c-a2d2-1f3ecd7554c0
Route
ORAL
Published
Effective Date 2024-03-14
Document Type 34391-3 HUMAN PRESCRIPTION DRUG LABEL

Drug Facts

Composition & Product

Active Ingredients
Levetiracetam (750 mg)
Inactive Ingredients
Silicon Dioxide Hypromellose, Unspecified Magnesium Stearate Polyethylene Glycol 6000 Polyvinyl Alcohol, Unspecified Polyethylene Glycol 3350 Talc Shellac Fd&c Red No. 40 Butyl Alcohol Propylene Glycol Alcohol Methyl Alcohol

Identifiers & Packaging

Pill Appearance
Imprint: UCB;500XR Shape: oval Color: white Size: 19 mm Score: 1
Marketing Status
NDA Active Since 2008-09-24

Description

  Warnings and Precautions ( 5.6 ) 3/2024

Indications and Usage

KEPPRA XR ® is indicated for the treatment of partial-onset seizures in patients 12 years of age and older.

Dosage and Administration

Initiate treatment with a dose of 1000 mg once daily; increase by 1000 mg every 2 weeks to a maximum recommended dose of 3000 mg once daily ( 2 ) See full prescribing information for use in patients with impaired renal function ( 2.1 )

Warnings and Precautions

Behavioral abnormalities including psychotic symptoms, suicidal ideation, irritability, and aggressive behavior have been observed; monitor patients for psychiatric signs and symptoms ( 5.1 ) Suicidal Behavior and Ideation: Monitor patients for new or worsening depression, suicidal thoughts/behavior, and/or unusual changes in mood or behavior ( 5.2 ) Monitor for somnolence and fatigue and advise patients not to drive or operate machinery until they have gained sufficient experience on KEPPRA XR ( 5.3 ) Serious Dermatological Reactions: Discontinue KEPPRA at the first sign of rash unless clearly not drug related ( 5.5 ) Drug Reaction with Eosinophilia and Systemic Symptoms (DRESS)/Multiorgan Hypersensitivity: Discontinue if no alternative etiology ( 5.6 ) Coordination Difficulties: Monitor for ataxia, abnormal gait, and incoordination. Advise patients to not drive or operate machinery until they have gained experience on KEPPRA ( 5.7 ) Withdrawal Seizures: KEPPRA XR must be gradually withdrawn ( 5.8 )

Contraindications

KEPPRA XR is contraindicated in patients with a hypersensitivity to levetiracetam . Reactions have included anaphylaxis and angioedema [see Warnings and Precautions (5.4) ] .

Adverse Reactions

The following adverse reactions are discussed in more details in other sections of labeling: Behavioral abnormalities and Psychotic Symptoms [see Warnings and Precautions (5.1) ] Suicidal Behavior and Ideation [see Warnings and Precautions (5.2) ] Somnolence and Fatigue [see Warnings and Precautions (5.3) ] Anaphylaxis and Angioedema [see Warnings and Precautions (5.4) ] Serious Dermatological Reactions [see Warnings and Precautions (5.5) ] Drug Reaction with Eosinophilia and Systemic Symptoms (DRESS)/Multiorgan Hypersensitivity [see Warnings and Precautions (5.6) ] Coordination Difficulties [see Warnings and Precautions (5.7) ] Hematologic Abnormalities [see Warnings and Precautions (5.9) ]

How Supplied

KEPPRA XR 500 mg tablets are white, oblong-shaped, film-coated tablets imprinted with "UCB 500XR" in red on one side. They are supplied in white HDPE bottles containing 60 tablets (NDC 50474-598-66). KEPPRA XR 750 mg tablets are white, oblong-shaped, film-coated tablets imprinted with "UCB 750XR" in red on one side. They are supplied in white HDPE bottles containing 60 tablets (NDC 50474-599-66).


Medication Information

Warnings and Precautions

Behavioral abnormalities including psychotic symptoms, suicidal ideation, irritability, and aggressive behavior have been observed; monitor patients for psychiatric signs and symptoms ( 5.1 ) Suicidal Behavior and Ideation: Monitor patients for new or worsening depression, suicidal thoughts/behavior, and/or unusual changes in mood or behavior ( 5.2 ) Monitor for somnolence and fatigue and advise patients not to drive or operate machinery until they have gained sufficient experience on KEPPRA XR ( 5.3 ) Serious Dermatological Reactions: Discontinue KEPPRA at the first sign of rash unless clearly not drug related ( 5.5 ) Drug Reaction with Eosinophilia and Systemic Symptoms (DRESS)/Multiorgan Hypersensitivity: Discontinue if no alternative etiology ( 5.6 ) Coordination Difficulties: Monitor for ataxia, abnormal gait, and incoordination. Advise patients to not drive or operate machinery until they have gained experience on KEPPRA ( 5.7 ) Withdrawal Seizures: KEPPRA XR must be gradually withdrawn ( 5.8 )

Indications and Usage

KEPPRA XR ® is indicated for the treatment of partial-onset seizures in patients 12 years of age and older.

Dosage and Administration

Initiate treatment with a dose of 1000 mg once daily; increase by 1000 mg every 2 weeks to a maximum recommended dose of 3000 mg once daily ( 2 ) See full prescribing information for use in patients with impaired renal function ( 2.1 )

Contraindications

KEPPRA XR is contraindicated in patients with a hypersensitivity to levetiracetam . Reactions have included anaphylaxis and angioedema [see Warnings and Precautions (5.4) ] .

Adverse Reactions

The following adverse reactions are discussed in more details in other sections of labeling: Behavioral abnormalities and Psychotic Symptoms [see Warnings and Precautions (5.1) ] Suicidal Behavior and Ideation [see Warnings and Precautions (5.2) ] Somnolence and Fatigue [see Warnings and Precautions (5.3) ] Anaphylaxis and Angioedema [see Warnings and Precautions (5.4) ] Serious Dermatological Reactions [see Warnings and Precautions (5.5) ] Drug Reaction with Eosinophilia and Systemic Symptoms (DRESS)/Multiorgan Hypersensitivity [see Warnings and Precautions (5.6) ] Coordination Difficulties [see Warnings and Precautions (5.7) ] Hematologic Abnormalities [see Warnings and Precautions (5.9) ]

How Supplied

KEPPRA XR 500 mg tablets are white, oblong-shaped, film-coated tablets imprinted with "UCB 500XR" in red on one side. They are supplied in white HDPE bottles containing 60 tablets (NDC 50474-598-66). KEPPRA XR 750 mg tablets are white, oblong-shaped, film-coated tablets imprinted with "UCB 750XR" in red on one side. They are supplied in white HDPE bottles containing 60 tablets (NDC 50474-599-66).

Description

  Warnings and Precautions ( 5.6 ) 3/2024

Section 42229-5

Adults and Adolescents 12 Years of Age and Older Weighing 50 kg or More

Initiate treatment with a dose of 1000 mg once daily. The once daily dosage may be adjusted in increments of 1000 mg every 2 weeks to a maximum recommended daily dose of 3000 mg/day once daily.

Section 42231-1
MEDICATION GUIDE

KEPPRA XR ®(KEPP-ruh XR )(levetiracetam)

extended-release tablets, for oral use
    This Medication Guide has been approved by the U.S. Food and Drug Administration. Revised: 3/2024    
Read this Medication Guide before you start taking KEPPRA XR and each time you get a refill. There may be new information. This information does not take the place of talking to your healthcare provider about your medical condition or treatment.
What is the most important information I should know about KEPPRA XR?
Like other antiepileptic drugs, KEPPRA XR may cause suicidal thoughts or actions in a very small number of people, about 1 in 500 people taking it.
Call a healthcare provider right away if you have any of these symptoms, especially if they are new, worse, or worry you:
  • thoughts about suicide or dying
  • attempts to commit suicide
  • new or worse depression
  • new or worse anxiety
  • feeling agitated or restless
  • panic attacks
  • trouble sleeping (insomnia)
  • new or worse irritability
  • acting aggressive, being angry, or violent
  • acting on dangerous impulses
  • an extreme increase in activity and talking (mania)
  • other unusual changes in behavior or mood
Do not stop KEPPRA XR without first talking to a healthcare provider .
  • Stopping KEPPRA XR suddenly can cause serious problems. Stopping a seizure medicine suddenly can cause seizures that will not stop (status epilepticus).
  • Suicidal thoughts or actions can be caused by things other than medicines. If you have suicidal thoughts or actions, your healthcare provider may check for other causes.
How can I watch for early symptoms of suicidal thoughts and actions?
  • Pay attention to any changes, especially sudden changes, in mood, behaviors, thoughts, or feelings.
  • Keep all follow-up visits with your healthcare provider as scheduled.
Call your healthcare provider between visits as needed, especially if you are worried about symptoms.
What is KEPPRA XR?
KEPPRA XR is a prescription medicine taken by mouth that is used to treat partial-onset seizures in people 12 years of age and older.
It is not known if KEPPRA XR is safe or effective in people under 12 years of age.
Before taking your medicine, make sure you have received the correct medicine. Compare the name above with the name on your bottle and the appearance of your medicine with the description of KEPPRA XR provided below. Tell your pharmacist immediately if you think you have been given the wrong medicine.
Who should not take KEPPRA XR?Do not take KEPPRA XR if you are allergic to levetiracetam.
What should I tell my healthcare provider before starting KEPPRA XR?
Before taking KEPPRA XR, tell your healthcare provider about all of your medical conditions, including if you:
  • have or have had depression, mood problems or suicidal thoughts or behavior.
  • have kidney problems.
  • are pregnant or planning to become pregnant. It is not known if KEPPRA XR will harm your unborn baby. You and your healthcare provider will have to decide if you should take KEPPRA XR while you are pregnant. If you become pregnant while taking KEPPRA XR, talk to your healthcare provider about registering with the North American Antiepileptic Drug Pregnancy Registry. You can enroll in this registry by calling 1-888-233-2334 or go to http://www.aedpregnancyregistry.org. The purpose of this registry is to collect information about the safety of KEPPRA XR and other antiepileptic medicine during pregnancy.
  • are breastfeeding or plan to breastfeed. KEPPRA XR can pass into your breast milk. It is not known if the KEPPRA XR that passes into your breast milk can harm your baby. Talk to your doctor about the best way to feed your baby while you receive KEPPRA.
Tell your healthcare provider about all the medicines you take, including prescription and over-the counter medicines, vitamins, and herbal supplements. Do not start a new medicine without first talking with your healthcare provider.

Know the medicines you take. Keep a list of them to show your healthcare provider and pharmacist each time you get a new medicine.
How should I take KEPPRA XR?
  • Take KEPPRA XR exactly as your healthcare provider tells you to take it.
  • Your healthcare provider will tell you how much KEPPRA XR to take and when to take it. KEPPRA XR is usually taken 1 time each day.
  • Your healthcare provider may change your dose. Do notchange your dose without talking to your healthcare provider.
  • Take KEPPRA XR with or without food.
  • Swallow the tablets whole. Do notchew, break, or crush tablets.
  • The inactive part of KEPPRA XR tablets may not dissolve after all the medicine has been released in your body. You may sometimes notice something in your bowel movement that looks like swollen pieces of the original tablet. This is normal.
  • If you take too much KEPPRA XR, call your local Poison Control Center or go to the nearest emergency room right away.
What should I avoid while taking KEPPRA XR?
Do not drive, operate machinery or do other dangerous activities until you know how KEPPRA XR affects you. KEPPRA XR may make you dizzy or sleepy.
What are the possible side effects of KEPPRA XR?
KEPPRA XR can cause serious side effects including:
Call your healthcare provider right away if you have any of these symptoms:
  • mood and behavior changes such as aggression, agitation, anger, anxiety, apathy, mood swings, depression, hostility, and irritability. A few people may get psychotic symptoms such as hallucinations (seeing or hearing things that are really not there), delusions (false or strange thoughts or beliefs) and unusual behavior.
  • extreme sleepiness, tiredness, and weakness.
  • allergic reactions such as swelling of the face, lips, eyes, tongue, and throat, trouble swallowing or breathing, and hives.
  • a skin rash. Serious skin rashes can happen after you start taking KEPPRA XR. There is no way to tell if a mild rash will become a serious reaction.
  • a serious allergic reaction that may affect your skin or other parts of your body such as your liver, kidneys, heart, or blood cells. This allergic reaction can be life-threatening and can cause death, particularly if it is not treated as early as possible. Call your healthcare provider right away if you have:
  • a skin rash
  • swelling of your face
  • dark urine
  • fever or swollen glands that do not go away
  • shortness of breath
  • yellowing of the skin or whites of the eyes
  • problems with muscle coordination (problems walking and moving).
The most common side effects seen in people who take KEPPRA XR include:
  • sleepiness
  • irritability
Tell your healthcare provider if you have any side effect that bothers you or that does not go away.
These are not all the possible side effects of KEPPRA XR. For more information, ask your healthcare provider or pharmacist.
Call your doctor for medical advice about side effects. You may report side effects to FDA at 1-800-FDA-1088.
How should I store KEPPRA XR?
  • Store KEPPRA XRat room temperature, between 59°F to 86°F (15°C to 30°C) away from heat and light.
  • Keep KEPPRA XR and all medicines out of the reach of children.
General information about the safe and effective use of KEPPRA XR.
Medicines are sometimes prescribed for purposes other than those listed in a Medication Guide. Do not use KEPPRA XR for a condition for which it was not prescribed. Do not give KEPPRA XR to other people, even if they have the same symptoms that you have. It may harm them. You can ask your pharmacist or healthcare provider for information about KEPPRA XR that is written for health professionals.
What are the ingredients in KEPPRA XR?
KEPPRA XR tabletactive ingredient :levetiracetam
Inactive ingredients: colloidal anhydrous silica, hypromellose, magnesium stearate, polyethylene glycol 6000, polyvinyl alcohol-partially hydrolyzed, titanium dioxide (E171), Macrogol/PEG3350, and talc. The imprinting ink contains shellac, FD&C Red #40, n-butyl alcohol, propylene glycol, titanium dioxide, ethanol, and methanol. KEPPRA XR does not contain lactose or gluten.
Distributed by

UCB, Inc.

Smyrna, GA 30080
KEPPRA XR is a registered trademark of the UCB Group of companies

© 2024, UCB, Inc., Smyrna, GA 30080

All rights reserved.
For more information, go to www.keppraxr.com or call 1- (844) 599-CARE (2273).
Section 43683-2
  Warnings and Precautions ( 5.6) 3/2024
16.2 Storage

Store at 25°C (77°F); excursions permitted to 15°C to 30°C (59°F to 86°F) [see USP Controlled Room Temperature].

11 Description

KEPPRA XR is an antiepileptic drug available as 500 mg and 750 mg (white) extended-release tablets for oral administration.

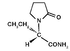
The chemical name of levetiracetam, a single enantiomer, is (-)-(S)-α-ethyl-2-oxo-1-pyrrolidine acetamide, its molecular formula is C 8H 14N 2O 2and its molecular weight is 170.21. Levetiracetam is chemically unrelated to existing antiepileptic drugs (AEDs). It has the following structural formula:

Levetiracetam is a white to off-white crystalline powder with a faint odor and a bitter taste. It is very soluble in water (104.0 g/100 mL). It is freely soluble in chloroform (65.3 g/100 mL) and in methanol (53.6 g/100 mL), soluble in ethanol (16.5 g/100 mL), sparingly soluble in acetonitrile (5.7 g/100 mL) and practically insoluble in n-hexane. (Solubility limits are expressed as g/100 mL solvent.)

KEPPRA XR tablets contain the labeled amount of levetiracetam. Inactive ingredients: colloidal anhydrous silica, hypromellose, magnesium stearate, polyethylene glycol 6000, polyvinyl alcohol-partially hydrolyzed, titanium dioxide (E171), Macrogol/PEG3350, and talc. The imprinting ink contains shellac, FD&C Red #40, n-butyl alcohol, propylene glycol, titanium dioxide, ethanol, and methanol.

The medication is combined with a drug release controlling polymer that provides a drug release at a controlled rate. The biologically inert components of the tablet may occasionally remain intact during GI transit and will be eliminated in the feces as a soft, hydrated mass.

10.3 Hemodialysis

Standard hemodialysis procedures result in significant clearance of levetiracetam (approximately 50% in 4 hours) and should be considered in cases of overdose. Although hemodialysis has not been performed in the few known cases of overdose, it may be indicated by the patient's clinical state or in patients with significant renal impairment.

16.1 How Supplied

KEPPRA XR 500 mg tablets are white, oblong-shaped, film-coated tablets imprinted with "UCB 500XR" in red on one side. They are supplied in white HDPE bottles containing 60 tablets (NDC 50474-598-66).

KEPPRA XR 750 mg tablets are white, oblong-shaped, film-coated tablets imprinted with "UCB 750XR" in red on one side. They are supplied in white HDPE bottles containing 60 tablets (NDC 50474-599-66).

8.4 Pediatric Use

Safety and effectiveness in patients 12 years of age and older have been established based on pharmacokinetic data in adults and adolescents using KEPPRA XR and efficacy and safety data in controlled pediatric studies using immediate-release KEPPRA [see Adverse Reactions (6.1), Clinical Pharmacology (12.3), and Clinical Studies (14.1)].

Safety and effectiveness in pediatric patients below the age of 12 have not been established.

A 3-month, randomized, double-blind, placebo-controlled study was performed to assess the neurocognitive and behavioral effects of immediate-release KEPPRA as adjunctive therapy in 98 pediatric patients with inadequately controlled partial seizures, ages 4 to 16 years (KEPPRA N=64; placebo N=34). The target dose of immediate-release KEPPRA was 60 mg/kg/day. Neurocognitive effects were measured by the Leiter-R Attention and Memory (AM) Battery, which assesses various aspects of a child's memory and attention. Although no substantive differences were observed between the placebo- and KEPPRA-treated groups in the median change from baseline in this battery, the study was not adequate to assess formal statistical non-inferiority between the drug and placebo. The Achenbach Child Behavior Checklist (CBCL/6-18), a standardized validated tool used to assess a child's competencies and behavioral/emotional problems, was also assessed in this study. An analysis of the CBCL/6-18 indicated a worsening in aggressive behavior, one of the eight syndrome scores, in patients treated with KEPPRA [see Warnings and Precautions (5.1)] .

8.5 Geriatric Use

There were insufficient numbers of elderly subjects in controlled trials of epilepsy to adequately assess the effectiveness of KEPPRA XR in these patients. It is expected that the safety of KEPPRA XR in elderly patients 65 and over would be comparable to the safety observed in clinical studies of immediate-release KEPPRA tablets.

There were 347 subjects in clinical studies of immediate-release KEPPRA that were 65 and over. No overall differences in safety were observed between these subjects and younger subjects. There were insufficient numbers of elderly subjects in controlled trials of epilepsy to adequately assess the effectiveness of immediate-release KEPPRA in these patients.

Levetiracetam is known to be substantially excreted by the kidney, and the risk of adverse reactions to this drug may be greater in patients with impaired renal function. Because elderly patients are more likely to have decreased renal function, care should be taken in dose selection, and it may be useful to monitor renal function [see Clinical Pharmacology (12.3)] .

14 Clinical Studies

The effectiveness of KEPPRA XR for the treatment of partial-onset seizures in adults was established in one multicenter, randomized, double-blind, placebo-controlled clinical study in patients who had refractory partial-onset seizures with or without secondary generalization. This was supported by the demonstration of efficacy of immediate-release KEPPRA tablets (see below) in partial seizures in three multicenter, randomized, double-blind, placebo-controlled clinical studies in adults, as well as a demonstration of comparable bioavailability between the XR and immediate-release formulations [see Clinical Pharmacology (12.3)] in adults. The effectiveness for KEPPRA XR for the treatment of partial-onset seizures in pediatric patients, 12 years of age and older, was based upon a single pharmacokinetic study showing comparable pharmacokinetics of KEPPRA XR in adults and adolescents [see Clinical Pharmacology (12.3)] . All studies are described below.

4 Contraindications

KEPPRA XR is contraindicated in patients with a hypersensitivity to levetiracetam .Reactions have included anaphylaxis and angioedema [see Warnings and Precautions (5.4)] .

6 Adverse Reactions

The following adverse reactions are discussed in more details in other sections of labeling:

8.6 Renal Impairment

The effect of KEPPRA XR on renally impaired patients was not assessed in the controlled study. However, it is expected that the effect on KEPPRA XR-treated patients would be similar to the effect seen in controlled studies of immediate-release KEPPRA tablets. Clearance of levetiracetam is decreased in patients with renal impairment and is correlated with creatinine clearance [see Clinical Pharmacology (12.3)] . Dose adjustment is recommended for patients with impaired renal function [see Dosage and Administration (2.2)] .

2.1 Recommended Dosing

For adults and adolescent patients, the recommended dosing for monotherapy and adjunctive therapy is the same; as outlined below.

1 Indications and Usage

KEPPRA XR ®is indicated for the treatment of partial-onset seizures in patients 12 years of age and older.

5.8 Withdrawal Seizures

As with most antiepileptic drugs, KEPPRA XR should generally be withdrawn gradually because of the risk of increased seizure frequency and status epilepticus. If withdrawal is needed because of a serious adverse reaction, rapid discontinuation can be considered.

12.1 Mechanism of Action

The precise mechanism(s) by which levetiracetam exerts its antiepileptic effect is unknown.

A saturable and stereoselective neuronal binding site in rat brain tissue has been described for levetiracetam. Experimental data indicate that this binding site is the synaptic vesicle protein SV2A, thought to be involved in the regulation of vesicle exocytosis. Although the molecular significance of levetiracetam binding to synaptic vesicle protein SV2A is not understood, levetiracetam and related analogs showed a rank order of affinity for SV2A which correlated with the potency of their antiseizure activity in audiogenic seizure-prone mice. These findings suggest that the interaction of levetiracetam with the SV2A protein may contribute to the antiepileptic mechanism of action of the drug.

14.1 Keppra Xr in Adults

The effectiveness of KEPPRA XR for the treatment of partial-onset seizures in adults was established in one multicenter, randomized, double-blind, placebo-controlled clinical study across 7 countries in patients who had refractory partial-onset seizures with or without secondary generalization (Study 1).

5 Warnings and Precautions
  • Behavioral abnormalities including psychotic symptoms, suicidal ideation, irritability, and aggressive behavior have been observed; monitor patients for psychiatric signs and symptoms ( 5.1)
  • Suicidal Behavior and Ideation: Monitor patients for new or worsening depression, suicidal thoughts/behavior, and/or unusual changes in mood or behavior ( 5.2 )
  • Monitor for somnolence and fatigue and advise patients not to drive or operate machinery until they have gained sufficient experience on KEPPRA XR ( 5.3)
  • Serious Dermatological Reactions: Discontinue KEPPRA at the first sign of rash unless clearly not drug related ( 5.5)
  • Drug Reaction with Eosinophilia and Systemic Symptoms (DRESS)/Multiorgan Hypersensitivity: Discontinue if no alternative etiology ( 5.6)
  • Coordination Difficulties: Monitor for ataxia, abnormal gait, and incoordination. Advise patients to not drive or operate machinery until they have gained experience on KEPPRA ( 5.7)
  • Withdrawal Seizures: KEPPRA XR must be gradually withdrawn ( 5.8)
5.3 Somnolence and Fatigue

KEPPRA XR may cause somnolence and fatigue. Patients should be monitored for these signs and symptoms and advised not to drive or operate machinery until they have gained sufficient experience on KEPPRA XR to gauge whether it adversely affects their ability to drive or operate machinery.

10.2 Management of Overdose

There is no specific antidote for overdose with KEPPRA XR. If indicated, elimination of unabsorbed drug should be attempted by emesis or gastric lavage; usual precautions should be observed to maintain airway. General supportive care of the patient is indicated including monitoring of vital signs and observation of the patient's clinical status. A Certified Poison Control Center should be contacted for up to date information on the management of overdose with KEPPRA XR.

2 Dosage and Administration

Initiate treatment with a dose of 1000 mg once daily; increase by 1000 mg every 2 weeks to a maximum recommended dose of 3000 mg once daily ( 2)

See full prescribing information for use in patients with impaired renal function ( 2.1)

3 Dosage Forms and Strengths

KEPPRA XR tablets are white, oblong-shaped, film-coated extended-release tablets imprinted in red with "UCB 500XR" on one side and contain 500 mg levetiracetam.

KEPPRA XR tablets are white, oblong-shaped, film-coated extended-release tablets imprinted in red with "UCB 750XR" on one side and contain 750 mg levetiracetam.

6.2 Postmarketing Experience

The following adverse reactions have been identified during postapproval use of immediate-release KEPPRA tablets. Because these reactions are reported voluntarily from a population of uncertain size, it is not always possible to reliably estimate their frequency or establish a causal relationship to drug exposure.

The listing is alphabetized: abnormal liver function test, acute kidney injury, anaphylaxis, angioedema, agranulocytosis, choreoathetosis, drug reaction with eosinophilia and systemic symptoms (DRESS), dyskinesia, erythema multiforme, hepatic failure, hepatitis, hyponatremia, muscular weakness, obsessive-compulsive disorders (OCD), pancreatitis, pancytopenia (with bone marrow suppression identified in some of these cases), panic attack, thrombocytopenia, weight loss, and worsening of seizures including in patients with SCN8A mutations. Alopecia has been reported with immediate-release KEPPRA use; recovery was observed in majority of cases where immediate-release KEPPRA was discontinued.

5.7 Coordination Difficulties

Coordination difficulties were not observed in the KEPPRA XR controlled trial, however, the number of patients exposed to KEPPRA XR was considerably smaller than the number of patients exposed to immediate-release KEPPRA tablets in controlled trials. However, adverse reactions observed in the immediate-release KEPPRA controlled trials may also occur in patients receiving KEPPRA XR.

5.9 Hematologic Abnormalities

KEPPRA XR can cause hematologic abnormalities. Hematologic abnormalities occurred in clinical trials and included decreases in white blood cell (WBC), neutrophil, and red blood cell (RBC) counts; decreases in hemoglobin and hematocrit; and increases in eosinophil counts. Cases of agranulocytosis, pancytopenia, and thrombocytopenia have also been reported in the postmarketing setting. A complete blood count is recommended in patients experiencing significant weakness, pyrexia, recurrent infections, or coagulation disorders.

In controlled trials of immediate-release KEPPRA tablets in patients experiencing partial-onset seizures, minor, but statistically significant, decreases compared to placebo in total mean RBC count (0.03 × 10 6/mm 3), mean hemoglobin (0.09 g/dL), and mean hematocrit (0.38%), were seen in immediate-release KEPPRA-treated patients.

A total of 3.2% of KEPPRA-treated and 1.8% of placebo-treated patients had at least one possibly significant (≤2.8 × 10 9/L) decreased WBC, and 2.4% of KEPPRA-treated and 1.4% of placebo-treated patients had at least one possibly significant (≤1.0 × 10 9/L) decreased neutrophil count. Of the KEPPRA-treated patients with a low neutrophil count, all but one rose towards or to baseline with continued treatment. No patient was discontinued secondary to low neutrophil counts.

In pediatric patients (4 to <16 years of age), statistically significant decreases in WBC and neutrophil counts were seen in patients treated with immediate-release KEPPRA, as compared to placebo. The mean decreases from baseline in the immediate-release KEPPRA group were -0.4 × 10 9/L and -0.3 × 10 9/L, respectively, whereas there were small increases in the placebo group. A significant increase in mean relative lymphocyte counts was observed in 1.7% of patients treated with immediate-release KEPPRA compared to a decrease of 4% in patients on placebo.

In the controlled pediatric trial, a possibly clinically significant abnormal low WBC value was observed in 3% of patients treated with immediate-release KEPPRA, compared to no patients on placebo. However, there was no apparent difference between treatment groups with respect to neutrophil count. No patient was discontinued secondary to low WBC or neutrophil counts.

In the controlled pediatric cognitive and neuropsychological safety study, two subjects (6.1%) in the placebo group and 5 subjects (8.6%) in the immediate-release KEPPRA-treated group had high eosinophil count values that were possibly clinically significant (≥10% or ≥0.7×10 9/L).

8 Use in Specific Populations

Pregnancy: Plasma levels of levetiracetam may be decreased and therefore need to be monitored closely during pregnancy. Based on animal data, may cause fetal harm ( 5.10, 8.1)

5.4 Anaphylaxis and Angioedema

KEPPRA XR can cause anaphylaxis or angioedema after the first dose or at any time during treatment. Signs and symptoms in cases reported in the postmarketing setting in patients treated with levetiracetam have included hypotension, hives, rash, respiratory distress, and swelling of the face, lip, mouth, eye, tongue, throat, and feet. In some reported cases, reactions were life-threatening and required emergency treatment. If a patient develops signs or symptoms of anaphylaxis or angioedema, KEPPRA XR should be discontinued and the patient should seek immediate medical attention. KEPPRA XR should be discontinued permanently if a clear alternative etiology for the reaction cannot be established [see Contraindications (4)] .

6.1 Clinical Trials Experience

Because clinical trials are conducted under widely varying conditions, adverse reaction rates observed in the clinical trials of a drug cannot be directly compared to rates in the clinical trials of another drug and may not reflect the rates observed in practice.

2.3 Discontinuation of Keppra Xr

Avoid abrupt withdrawal from KEPPRA XR in order to reduce the risk of increased seizure frequency and status epilepticus [see Warnings and Precautions (5.8)].

17 Patient Counseling Information

Advise the patient to read the FDA-approved patient labeling (Medication Guide). The Medication Guide accompanies the product and can also be accessed on www.keppraxr.com or by calling 1-844-599-2273.

5.2 Suicidal Behavior and Ideation

Antiepileptic drugs (AEDs), including KEPPRA XR, increase the risk of suicidal thoughts or behavior in patients taking these drugs for any indication. Patients treated with any AED for any indication should be monitored for the emergence or worsening of depression, suicidal thoughts or behavior, and/or any unusual changes in mood or behavior.

Pooled analyses of 199 placebo-controlled clinical trials (mono- and adjunctive therapy) of 11 different AEDs showed that patients randomized to one of the AEDs had approximately twice the risk (adjusted Relative Risk 1.8, 95% CI:1.2, 2.7) of suicidal thinking or behavior compared to patients randomized to placebo. In these trials, which had a median treatment duration of 12 weeks, the estimated incidence rate of suicidal behavior or ideation among 27,863 AED-treated patients was 0.43%, compared to 0.24% among 16,029 placebo-treated patients, representing an increase of approximately one case of suicidal thinking or behavior for every 530 patients treated. There were four suicides in drug-treated patients in the trials and none in placebo-treated patients, but the number is too small to allow any conclusion about drug effect on suicide.

The increased risk of suicidal thoughts or behavior with AEDs was observed as early as one week after starting drug treatment with AEDs and persisted for the duration of treatment assessed. Because most trials included in the analysis did not extend beyond 24 weeks, the risk of suicidal thoughts or behavior beyond 24 weeks could not be assessed.

The risk of suicidal thoughts or behavior was generally consistent among drugs in the data analyzed. The finding of increased risk with AEDs of varying mechanisms of action and across a range of indications suggests that the risk applies to all AEDs used for any indication. The risk did not vary substantially by age (5-100 years) in the clinical trials analyzed. Table 2 shows absolute and relative risk by indication for all evaluated AEDs.

Table 2: Risk by Indication for Antiepileptic Drugs in the Pooled Analysis
Indication Placebo Patients with Events Per 1000 Patients Drug Patients with Events Per 1000 Patients Relative Risk: Incidence of Events in Drug Patients/Incidence in Placebo Patients Risk Difference: Additional Drug Patients with Events Per 1000 Patients
Epilepsy 1.0 3.4 3.5 2.4
Psychiatric 5.7 8.5 1.5 2.9
Other 1.0 1.8 1.9 0.9
Total 2.4 4.3 1.8 1.9

The relative risk for suicidal thoughts or behavior was higher in clinical trials for epilepsy than in clinical trials for psychiatric or other conditions, but the absolute risk differences were similar for the epilepsy and psychiatric indications.

Anyone considering prescribing KEPPRA XR or any other AED must balance the risk of suicidal thoughts or behavior with the risk of untreated illness. Epilepsy and many other illnesses for which AEDs are prescribed are themselves associated with morbidity and mortality and an increased risk of suicidal thoughts and behavior. Should suicidal thoughts and behavior emerge during treatment, the prescriber needs to consider whether the emergence of these symptoms in any given patient may be related to the illness being treated.

5.5 Serious Dermatological Reactions

Serious dermatological reactions, including Stevens-Johnson syndrome (SJS) and toxic epidermal necrolysis (TEN), have been reported in patients treated with levetiracetam. The median time of onset is reported to be 14 to 17 days, but cases have been reported at least four months after initiation of treatment. Recurrence of the serious skin reactions following rechallenge with levetiracetam has also been reported. KEPPRA XR should be discontinued at the first sign of a rash, unless the rash is clearly not drug-related. If signs or symptoms suggest SJS/TEN, use of this drug should not be resumed and alternative therapy should be considered.

5.10 Seizure Control During Pregnancy

Physiological changes may gradually decrease plasma levels of levetiracetam throughout pregnancy. This decrease is more pronounced during the third trimester. It is recommended that patients be monitored carefully during pregnancy. Close monitoring should continue through the postpartum period especially if the dose was changed during pregnancy.

14.2 Immediate Release Keppra in Adults

The effectiveness of immediate-release KEPPRA for the treatment of partial-onset seizures in adults was established in three multicenter, randomized, double-blind, placebo-controlled clinical studies in patients who had refractory partial-onset seizures with or without secondary generalization (Studies 2, 3, and 4). The tablet formulation was used in all three studies. In these studies, 904 patients were randomized to placebo, KEPPRA 1000 mg, KEPPRA 2000 mg, or KEPPRA 3000 mg/day. Patients enrolled in Study 2 or Study 3 had refractory partial-onset seizures for at least two years and had taken two or more AEDs. Patients enrolled in Study 4 had refractory partial-onset seizures for at least 1 year and had taken one AED. At the time of the study, patients were taking a stable dose regimen of at least one AED and could take a maximum of two AEDs. During the baseline period, patients had to have experienced at least two partial-onset seizures during each 4-week period.

5.1 Behavioral Abnormalities and Psychotic Symptoms

KEPPRA XR may cause behavioral abnormalities and psychotic symptoms. Patients treated with KEPPRA XR should be monitored for psychiatric signs and symptoms.

Principal Display Panel 500 Mg Tablet Bottle Label

NDC 50474-598-66

60 tablets

Once Daily Dosing

KEPPRA

XR ®(levetiracetam)

extended-release tablets

500 mg tablets

Dispense accompanying

Medication Guide to

each patient.

Rx only

Principal Display Panel 750 Mg Tablet Bottle Label

NDC 50474-599-66

60 tablets

Once Daily Dosing

KEPPRA

XR ®(levetiracetam)

extended-release tablets

750 mg tablets

Dispense accompanying

Medication Guide to each patient.

Rx only

2.2 Dosage Adjustments in Adult Patients With Renal Impairment

KEPPRA XR dosing must be individualized according to the patient's renal function status. Recommended dosage adjustments for adults are shown in Table 1. In order to calculate the dose recommended for patients with renal impairment, creatinine clearance adjusted for body surface area must be calculated. To do this, an estimate of the patient's creatinine clearance (CLcr) in mL/min must first be calculated using the following formula:

CLcr= [140-age (years)] × weight (kg)

--------------------------------------
(× 0.85 for female patients)
72 × serum creatinine (mg/dL)

Then CLcr is adjusted for body surface area (BSA) as follows:

CLcr (mL/min/1.73m 2)= CLcr (mL/min)

-------------------------
× 1.73
BSA subject (m 2)
Table 1: Dosage Adjustment Regimen for Adult Patients with Renal Impairment
Group Creatinine Clearance

(mL/min/1.73m 2)
Dosage

(mg)
Frequency
Normal > 80 1000 to 3000 Every 24 hours
Mild 50 – 80 1000 to 2000 Every 24 hours
Moderate 30 – 50 500 to 1500 Every 24 hours
Severe < 30 500 to 1000 Every 24 hours
14.3 Immediate Release Keppra in Pediatric Patients 4 Years to 16 Years

The use of KEPPRA XR in pediatric patients 12 years of age and older is supported by Study 5, which was conducted using immediate-release KEPPRA. KEPPRA XR is not indicated in children below 12 years of age.

10.1 Signs, Symptoms and Laboratory Findings of Acute Overdosage in Humans

The signs and symptoms for KEPPRA XR overdose are expected to be similar to those seen with immediate-release KEPPRA tablets.

The highest known dose of oral immediate-release KEPPRA received in the clinical development program was 6000 mg/day. Other than drowsiness, there were no adverse reactions in the few known cases of overdose in clinical trials. Cases of somnolence, agitation, aggression, depressed level of consciousness, respiratory depression and coma were observed with immediate-release KEPPRA overdoses in postmarketing use.

5.6 Drug Reaction With Eosinophilia and Systemic Symptoms (dress)/multiorgan Hypersensitivity

Drug Reaction with Eosinophilia and Systemic Symptoms (DRESS), also known as multiorgan hypersensitivity, has been reported in patients taking antiepileptic drugs, including levetiracetam. These events can be fatal or life-threatening, particularly if diagnosis and treatment do not occur as early as possible. DRESS typically, although not exclusively, presents with fever, rash, lymphadenopathy, and/or facial swelling, in association with other organ system involvement, such as hepatitis, nephritis, hematological abnormalities, myocarditis, or myositis, sometimes resembling an acute viral infection. Eosinophilia is often present. Because this disorder is variable in its expression, other organ systems not noted here may be involved. It is important to note that early manifestations of hypersensitivity, such as fever or lymphadenopathy, may be present even though rash is not evident. If such signs or symptoms are present, the patient should be evaluated immediately. KEPPRA XR should be discontinued if an alternative etiology for the signs or symptoms cannot be established [see Contraindications (4)] .


Structured Label Content

Section 42229-5 (42229-5)

Adults and Adolescents 12 Years of Age and Older Weighing 50 kg or More

Initiate treatment with a dose of 1000 mg once daily. The once daily dosage may be adjusted in increments of 1000 mg every 2 weeks to a maximum recommended daily dose of 3000 mg/day once daily.

Section 42231-1 (42231-1)
MEDICATION GUIDE

KEPPRA XR ®(KEPP-ruh XR )(levetiracetam)

extended-release tablets, for oral use
    This Medication Guide has been approved by the U.S. Food and Drug Administration. Revised: 3/2024    
Read this Medication Guide before you start taking KEPPRA XR and each time you get a refill. There may be new information. This information does not take the place of talking to your healthcare provider about your medical condition or treatment.
What is the most important information I should know about KEPPRA XR?
Like other antiepileptic drugs, KEPPRA XR may cause suicidal thoughts or actions in a very small number of people, about 1 in 500 people taking it.
Call a healthcare provider right away if you have any of these symptoms, especially if they are new, worse, or worry you:
  • thoughts about suicide or dying
  • attempts to commit suicide
  • new or worse depression
  • new or worse anxiety
  • feeling agitated or restless
  • panic attacks
  • trouble sleeping (insomnia)
  • new or worse irritability
  • acting aggressive, being angry, or violent
  • acting on dangerous impulses
  • an extreme increase in activity and talking (mania)
  • other unusual changes in behavior or mood
Do not stop KEPPRA XR without first talking to a healthcare provider .
  • Stopping KEPPRA XR suddenly can cause serious problems. Stopping a seizure medicine suddenly can cause seizures that will not stop (status epilepticus).
  • Suicidal thoughts or actions can be caused by things other than medicines. If you have suicidal thoughts or actions, your healthcare provider may check for other causes.
How can I watch for early symptoms of suicidal thoughts and actions?
  • Pay attention to any changes, especially sudden changes, in mood, behaviors, thoughts, or feelings.
  • Keep all follow-up visits with your healthcare provider as scheduled.
Call your healthcare provider between visits as needed, especially if you are worried about symptoms.
What is KEPPRA XR?
KEPPRA XR is a prescription medicine taken by mouth that is used to treat partial-onset seizures in people 12 years of age and older.
It is not known if KEPPRA XR is safe or effective in people under 12 years of age.
Before taking your medicine, make sure you have received the correct medicine. Compare the name above with the name on your bottle and the appearance of your medicine with the description of KEPPRA XR provided below. Tell your pharmacist immediately if you think you have been given the wrong medicine.
Who should not take KEPPRA XR?Do not take KEPPRA XR if you are allergic to levetiracetam.
What should I tell my healthcare provider before starting KEPPRA XR?
Before taking KEPPRA XR, tell your healthcare provider about all of your medical conditions, including if you:
  • have or have had depression, mood problems or suicidal thoughts or behavior.
  • have kidney problems.
  • are pregnant or planning to become pregnant. It is not known if KEPPRA XR will harm your unborn baby. You and your healthcare provider will have to decide if you should take KEPPRA XR while you are pregnant. If you become pregnant while taking KEPPRA XR, talk to your healthcare provider about registering with the North American Antiepileptic Drug Pregnancy Registry. You can enroll in this registry by calling 1-888-233-2334 or go to http://www.aedpregnancyregistry.org. The purpose of this registry is to collect information about the safety of KEPPRA XR and other antiepileptic medicine during pregnancy.
  • are breastfeeding or plan to breastfeed. KEPPRA XR can pass into your breast milk. It is not known if the KEPPRA XR that passes into your breast milk can harm your baby. Talk to your doctor about the best way to feed your baby while you receive KEPPRA.
Tell your healthcare provider about all the medicines you take, including prescription and over-the counter medicines, vitamins, and herbal supplements. Do not start a new medicine without first talking with your healthcare provider.

Know the medicines you take. Keep a list of them to show your healthcare provider and pharmacist each time you get a new medicine.
How should I take KEPPRA XR?
  • Take KEPPRA XR exactly as your healthcare provider tells you to take it.
  • Your healthcare provider will tell you how much KEPPRA XR to take and when to take it. KEPPRA XR is usually taken 1 time each day.
  • Your healthcare provider may change your dose. Do notchange your dose without talking to your healthcare provider.
  • Take KEPPRA XR with or without food.
  • Swallow the tablets whole. Do notchew, break, or crush tablets.
  • The inactive part of KEPPRA XR tablets may not dissolve after all the medicine has been released in your body. You may sometimes notice something in your bowel movement that looks like swollen pieces of the original tablet. This is normal.
  • If you take too much KEPPRA XR, call your local Poison Control Center or go to the nearest emergency room right away.
What should I avoid while taking KEPPRA XR?
Do not drive, operate machinery or do other dangerous activities until you know how KEPPRA XR affects you. KEPPRA XR may make you dizzy or sleepy.
What are the possible side effects of KEPPRA XR?
KEPPRA XR can cause serious side effects including:
Call your healthcare provider right away if you have any of these symptoms:
  • mood and behavior changes such as aggression, agitation, anger, anxiety, apathy, mood swings, depression, hostility, and irritability. A few people may get psychotic symptoms such as hallucinations (seeing or hearing things that are really not there), delusions (false or strange thoughts or beliefs) and unusual behavior.
  • extreme sleepiness, tiredness, and weakness.
  • allergic reactions such as swelling of the face, lips, eyes, tongue, and throat, trouble swallowing or breathing, and hives.
  • a skin rash. Serious skin rashes can happen after you start taking KEPPRA XR. There is no way to tell if a mild rash will become a serious reaction.
  • a serious allergic reaction that may affect your skin or other parts of your body such as your liver, kidneys, heart, or blood cells. This allergic reaction can be life-threatening and can cause death, particularly if it is not treated as early as possible. Call your healthcare provider right away if you have:
  • a skin rash
  • swelling of your face
  • dark urine
  • fever or swollen glands that do not go away
  • shortness of breath
  • yellowing of the skin or whites of the eyes
  • problems with muscle coordination (problems walking and moving).
The most common side effects seen in people who take KEPPRA XR include:
  • sleepiness
  • irritability
Tell your healthcare provider if you have any side effect that bothers you or that does not go away.
These are not all the possible side effects of KEPPRA XR. For more information, ask your healthcare provider or pharmacist.
Call your doctor for medical advice about side effects. You may report side effects to FDA at 1-800-FDA-1088.
How should I store KEPPRA XR?
  • Store KEPPRA XRat room temperature, between 59°F to 86°F (15°C to 30°C) away from heat and light.
  • Keep KEPPRA XR and all medicines out of the reach of children.
General information about the safe and effective use of KEPPRA XR.
Medicines are sometimes prescribed for purposes other than those listed in a Medication Guide. Do not use KEPPRA XR for a condition for which it was not prescribed. Do not give KEPPRA XR to other people, even if they have the same symptoms that you have. It may harm them. You can ask your pharmacist or healthcare provider for information about KEPPRA XR that is written for health professionals.
What are the ingredients in KEPPRA XR?
KEPPRA XR tabletactive ingredient :levetiracetam
Inactive ingredients: colloidal anhydrous silica, hypromellose, magnesium stearate, polyethylene glycol 6000, polyvinyl alcohol-partially hydrolyzed, titanium dioxide (E171), Macrogol/PEG3350, and talc. The imprinting ink contains shellac, FD&C Red #40, n-butyl alcohol, propylene glycol, titanium dioxide, ethanol, and methanol. KEPPRA XR does not contain lactose or gluten.
Distributed by

UCB, Inc.

Smyrna, GA 30080
KEPPRA XR is a registered trademark of the UCB Group of companies

© 2024, UCB, Inc., Smyrna, GA 30080

All rights reserved.
For more information, go to www.keppraxr.com or call 1- (844) 599-CARE (2273).
Section 43683-2 (43683-2)
  Warnings and Precautions ( 5.6) 3/2024
16.2 Storage

Store at 25°C (77°F); excursions permitted to 15°C to 30°C (59°F to 86°F) [see USP Controlled Room Temperature].

11 Description (11 DESCRIPTION)

KEPPRA XR is an antiepileptic drug available as 500 mg and 750 mg (white) extended-release tablets for oral administration.

The chemical name of levetiracetam, a single enantiomer, is (-)-(S)-α-ethyl-2-oxo-1-pyrrolidine acetamide, its molecular formula is C 8H 14N 2O 2and its molecular weight is 170.21. Levetiracetam is chemically unrelated to existing antiepileptic drugs (AEDs). It has the following structural formula:

Levetiracetam is a white to off-white crystalline powder with a faint odor and a bitter taste. It is very soluble in water (104.0 g/100 mL). It is freely soluble in chloroform (65.3 g/100 mL) and in methanol (53.6 g/100 mL), soluble in ethanol (16.5 g/100 mL), sparingly soluble in acetonitrile (5.7 g/100 mL) and practically insoluble in n-hexane. (Solubility limits are expressed as g/100 mL solvent.)

KEPPRA XR tablets contain the labeled amount of levetiracetam. Inactive ingredients: colloidal anhydrous silica, hypromellose, magnesium stearate, polyethylene glycol 6000, polyvinyl alcohol-partially hydrolyzed, titanium dioxide (E171), Macrogol/PEG3350, and talc. The imprinting ink contains shellac, FD&C Red #40, n-butyl alcohol, propylene glycol, titanium dioxide, ethanol, and methanol.

The medication is combined with a drug release controlling polymer that provides a drug release at a controlled rate. The biologically inert components of the tablet may occasionally remain intact during GI transit and will be eliminated in the feces as a soft, hydrated mass.

10.3 Hemodialysis

Standard hemodialysis procedures result in significant clearance of levetiracetam (approximately 50% in 4 hours) and should be considered in cases of overdose. Although hemodialysis has not been performed in the few known cases of overdose, it may be indicated by the patient's clinical state or in patients with significant renal impairment.

16.1 How Supplied

KEPPRA XR 500 mg tablets are white, oblong-shaped, film-coated tablets imprinted with "UCB 500XR" in red on one side. They are supplied in white HDPE bottles containing 60 tablets (NDC 50474-598-66).

KEPPRA XR 750 mg tablets are white, oblong-shaped, film-coated tablets imprinted with "UCB 750XR" in red on one side. They are supplied in white HDPE bottles containing 60 tablets (NDC 50474-599-66).

8.4 Pediatric Use

Safety and effectiveness in patients 12 years of age and older have been established based on pharmacokinetic data in adults and adolescents using KEPPRA XR and efficacy and safety data in controlled pediatric studies using immediate-release KEPPRA [see Adverse Reactions (6.1), Clinical Pharmacology (12.3), and Clinical Studies (14.1)].

Safety and effectiveness in pediatric patients below the age of 12 have not been established.

A 3-month, randomized, double-blind, placebo-controlled study was performed to assess the neurocognitive and behavioral effects of immediate-release KEPPRA as adjunctive therapy in 98 pediatric patients with inadequately controlled partial seizures, ages 4 to 16 years (KEPPRA N=64; placebo N=34). The target dose of immediate-release KEPPRA was 60 mg/kg/day. Neurocognitive effects were measured by the Leiter-R Attention and Memory (AM) Battery, which assesses various aspects of a child's memory and attention. Although no substantive differences were observed between the placebo- and KEPPRA-treated groups in the median change from baseline in this battery, the study was not adequate to assess formal statistical non-inferiority between the drug and placebo. The Achenbach Child Behavior Checklist (CBCL/6-18), a standardized validated tool used to assess a child's competencies and behavioral/emotional problems, was also assessed in this study. An analysis of the CBCL/6-18 indicated a worsening in aggressive behavior, one of the eight syndrome scores, in patients treated with KEPPRA [see Warnings and Precautions (5.1)] .

8.5 Geriatric Use

There were insufficient numbers of elderly subjects in controlled trials of epilepsy to adequately assess the effectiveness of KEPPRA XR in these patients. It is expected that the safety of KEPPRA XR in elderly patients 65 and over would be comparable to the safety observed in clinical studies of immediate-release KEPPRA tablets.

There were 347 subjects in clinical studies of immediate-release KEPPRA that were 65 and over. No overall differences in safety were observed between these subjects and younger subjects. There were insufficient numbers of elderly subjects in controlled trials of epilepsy to adequately assess the effectiveness of immediate-release KEPPRA in these patients.

Levetiracetam is known to be substantially excreted by the kidney, and the risk of adverse reactions to this drug may be greater in patients with impaired renal function. Because elderly patients are more likely to have decreased renal function, care should be taken in dose selection, and it may be useful to monitor renal function [see Clinical Pharmacology (12.3)] .

14 Clinical Studies (14 CLINICAL STUDIES)

The effectiveness of KEPPRA XR for the treatment of partial-onset seizures in adults was established in one multicenter, randomized, double-blind, placebo-controlled clinical study in patients who had refractory partial-onset seizures with or without secondary generalization. This was supported by the demonstration of efficacy of immediate-release KEPPRA tablets (see below) in partial seizures in three multicenter, randomized, double-blind, placebo-controlled clinical studies in adults, as well as a demonstration of comparable bioavailability between the XR and immediate-release formulations [see Clinical Pharmacology (12.3)] in adults. The effectiveness for KEPPRA XR for the treatment of partial-onset seizures in pediatric patients, 12 years of age and older, was based upon a single pharmacokinetic study showing comparable pharmacokinetics of KEPPRA XR in adults and adolescents [see Clinical Pharmacology (12.3)] . All studies are described below.

4 Contraindications (4 CONTRAINDICATIONS)

KEPPRA XR is contraindicated in patients with a hypersensitivity to levetiracetam .Reactions have included anaphylaxis and angioedema [see Warnings and Precautions (5.4)] .

6 Adverse Reactions (6 ADVERSE REACTIONS)

The following adverse reactions are discussed in more details in other sections of labeling:

8.6 Renal Impairment

The effect of KEPPRA XR on renally impaired patients was not assessed in the controlled study. However, it is expected that the effect on KEPPRA XR-treated patients would be similar to the effect seen in controlled studies of immediate-release KEPPRA tablets. Clearance of levetiracetam is decreased in patients with renal impairment and is correlated with creatinine clearance [see Clinical Pharmacology (12.3)] . Dose adjustment is recommended for patients with impaired renal function [see Dosage and Administration (2.2)] .

2.1 Recommended Dosing

For adults and adolescent patients, the recommended dosing for monotherapy and adjunctive therapy is the same; as outlined below.

1 Indications and Usage (1 INDICATIONS AND USAGE)

KEPPRA XR ®is indicated for the treatment of partial-onset seizures in patients 12 years of age and older.

5.8 Withdrawal Seizures

As with most antiepileptic drugs, KEPPRA XR should generally be withdrawn gradually because of the risk of increased seizure frequency and status epilepticus. If withdrawal is needed because of a serious adverse reaction, rapid discontinuation can be considered.

12.1 Mechanism of Action

The precise mechanism(s) by which levetiracetam exerts its antiepileptic effect is unknown.

A saturable and stereoselective neuronal binding site in rat brain tissue has been described for levetiracetam. Experimental data indicate that this binding site is the synaptic vesicle protein SV2A, thought to be involved in the regulation of vesicle exocytosis. Although the molecular significance of levetiracetam binding to synaptic vesicle protein SV2A is not understood, levetiracetam and related analogs showed a rank order of affinity for SV2A which correlated with the potency of their antiseizure activity in audiogenic seizure-prone mice. These findings suggest that the interaction of levetiracetam with the SV2A protein may contribute to the antiepileptic mechanism of action of the drug.

14.1 Keppra Xr in Adults (14.1 KEPPRA XR in Adults)

The effectiveness of KEPPRA XR for the treatment of partial-onset seizures in adults was established in one multicenter, randomized, double-blind, placebo-controlled clinical study across 7 countries in patients who had refractory partial-onset seizures with or without secondary generalization (Study 1).

5 Warnings and Precautions (5 WARNINGS AND PRECAUTIONS)
  • Behavioral abnormalities including psychotic symptoms, suicidal ideation, irritability, and aggressive behavior have been observed; monitor patients for psychiatric signs and symptoms ( 5.1)
  • Suicidal Behavior and Ideation: Monitor patients for new or worsening depression, suicidal thoughts/behavior, and/or unusual changes in mood or behavior ( 5.2 )
  • Monitor for somnolence and fatigue and advise patients not to drive or operate machinery until they have gained sufficient experience on KEPPRA XR ( 5.3)
  • Serious Dermatological Reactions: Discontinue KEPPRA at the first sign of rash unless clearly not drug related ( 5.5)
  • Drug Reaction with Eosinophilia and Systemic Symptoms (DRESS)/Multiorgan Hypersensitivity: Discontinue if no alternative etiology ( 5.6)
  • Coordination Difficulties: Monitor for ataxia, abnormal gait, and incoordination. Advise patients to not drive or operate machinery until they have gained experience on KEPPRA ( 5.7)
  • Withdrawal Seizures: KEPPRA XR must be gradually withdrawn ( 5.8)
5.3 Somnolence and Fatigue

KEPPRA XR may cause somnolence and fatigue. Patients should be monitored for these signs and symptoms and advised not to drive or operate machinery until they have gained sufficient experience on KEPPRA XR to gauge whether it adversely affects their ability to drive or operate machinery.

10.2 Management of Overdose

There is no specific antidote for overdose with KEPPRA XR. If indicated, elimination of unabsorbed drug should be attempted by emesis or gastric lavage; usual precautions should be observed to maintain airway. General supportive care of the patient is indicated including monitoring of vital signs and observation of the patient's clinical status. A Certified Poison Control Center should be contacted for up to date information on the management of overdose with KEPPRA XR.

2 Dosage and Administration (2 DOSAGE AND ADMINISTRATION)

Initiate treatment with a dose of 1000 mg once daily; increase by 1000 mg every 2 weeks to a maximum recommended dose of 3000 mg once daily ( 2)

See full prescribing information for use in patients with impaired renal function ( 2.1)

3 Dosage Forms and Strengths (3 DOSAGE FORMS AND STRENGTHS)

KEPPRA XR tablets are white, oblong-shaped, film-coated extended-release tablets imprinted in red with "UCB 500XR" on one side and contain 500 mg levetiracetam.

KEPPRA XR tablets are white, oblong-shaped, film-coated extended-release tablets imprinted in red with "UCB 750XR" on one side and contain 750 mg levetiracetam.

6.2 Postmarketing Experience

The following adverse reactions have been identified during postapproval use of immediate-release KEPPRA tablets. Because these reactions are reported voluntarily from a population of uncertain size, it is not always possible to reliably estimate their frequency or establish a causal relationship to drug exposure.

The listing is alphabetized: abnormal liver function test, acute kidney injury, anaphylaxis, angioedema, agranulocytosis, choreoathetosis, drug reaction with eosinophilia and systemic symptoms (DRESS), dyskinesia, erythema multiforme, hepatic failure, hepatitis, hyponatremia, muscular weakness, obsessive-compulsive disorders (OCD), pancreatitis, pancytopenia (with bone marrow suppression identified in some of these cases), panic attack, thrombocytopenia, weight loss, and worsening of seizures including in patients with SCN8A mutations. Alopecia has been reported with immediate-release KEPPRA use; recovery was observed in majority of cases where immediate-release KEPPRA was discontinued.

5.7 Coordination Difficulties

Coordination difficulties were not observed in the KEPPRA XR controlled trial, however, the number of patients exposed to KEPPRA XR was considerably smaller than the number of patients exposed to immediate-release KEPPRA tablets in controlled trials. However, adverse reactions observed in the immediate-release KEPPRA controlled trials may also occur in patients receiving KEPPRA XR.

5.9 Hematologic Abnormalities

KEPPRA XR can cause hematologic abnormalities. Hematologic abnormalities occurred in clinical trials and included decreases in white blood cell (WBC), neutrophil, and red blood cell (RBC) counts; decreases in hemoglobin and hematocrit; and increases in eosinophil counts. Cases of agranulocytosis, pancytopenia, and thrombocytopenia have also been reported in the postmarketing setting. A complete blood count is recommended in patients experiencing significant weakness, pyrexia, recurrent infections, or coagulation disorders.

In controlled trials of immediate-release KEPPRA tablets in patients experiencing partial-onset seizures, minor, but statistically significant, decreases compared to placebo in total mean RBC count (0.03 × 10 6/mm 3), mean hemoglobin (0.09 g/dL), and mean hematocrit (0.38%), were seen in immediate-release KEPPRA-treated patients.

A total of 3.2% of KEPPRA-treated and 1.8% of placebo-treated patients had at least one possibly significant (≤2.8 × 10 9/L) decreased WBC, and 2.4% of KEPPRA-treated and 1.4% of placebo-treated patients had at least one possibly significant (≤1.0 × 10 9/L) decreased neutrophil count. Of the KEPPRA-treated patients with a low neutrophil count, all but one rose towards or to baseline with continued treatment. No patient was discontinued secondary to low neutrophil counts.

In pediatric patients (4 to <16 years of age), statistically significant decreases in WBC and neutrophil counts were seen in patients treated with immediate-release KEPPRA, as compared to placebo. The mean decreases from baseline in the immediate-release KEPPRA group were -0.4 × 10 9/L and -0.3 × 10 9/L, respectively, whereas there were small increases in the placebo group. A significant increase in mean relative lymphocyte counts was observed in 1.7% of patients treated with immediate-release KEPPRA compared to a decrease of 4% in patients on placebo.

In the controlled pediatric trial, a possibly clinically significant abnormal low WBC value was observed in 3% of patients treated with immediate-release KEPPRA, compared to no patients on placebo. However, there was no apparent difference between treatment groups with respect to neutrophil count. No patient was discontinued secondary to low WBC or neutrophil counts.

In the controlled pediatric cognitive and neuropsychological safety study, two subjects (6.1%) in the placebo group and 5 subjects (8.6%) in the immediate-release KEPPRA-treated group had high eosinophil count values that were possibly clinically significant (≥10% or ≥0.7×10 9/L).

8 Use in Specific Populations (8 USE IN SPECIFIC POPULATIONS)

Pregnancy: Plasma levels of levetiracetam may be decreased and therefore need to be monitored closely during pregnancy. Based on animal data, may cause fetal harm ( 5.10, 8.1)

5.4 Anaphylaxis and Angioedema

KEPPRA XR can cause anaphylaxis or angioedema after the first dose or at any time during treatment. Signs and symptoms in cases reported in the postmarketing setting in patients treated with levetiracetam have included hypotension, hives, rash, respiratory distress, and swelling of the face, lip, mouth, eye, tongue, throat, and feet. In some reported cases, reactions were life-threatening and required emergency treatment. If a patient develops signs or symptoms of anaphylaxis or angioedema, KEPPRA XR should be discontinued and the patient should seek immediate medical attention. KEPPRA XR should be discontinued permanently if a clear alternative etiology for the reaction cannot be established [see Contraindications (4)] .

6.1 Clinical Trials Experience

Because clinical trials are conducted under widely varying conditions, adverse reaction rates observed in the clinical trials of a drug cannot be directly compared to rates in the clinical trials of another drug and may not reflect the rates observed in practice.

2.3 Discontinuation of Keppra Xr (2.3 Discontinuation of KEPPRA XR)

Avoid abrupt withdrawal from KEPPRA XR in order to reduce the risk of increased seizure frequency and status epilepticus [see Warnings and Precautions (5.8)].

17 Patient Counseling Information (17 PATIENT COUNSELING INFORMATION)

Advise the patient to read the FDA-approved patient labeling (Medication Guide). The Medication Guide accompanies the product and can also be accessed on www.keppraxr.com or by calling 1-844-599-2273.

5.2 Suicidal Behavior and Ideation

Antiepileptic drugs (AEDs), including KEPPRA XR, increase the risk of suicidal thoughts or behavior in patients taking these drugs for any indication. Patients treated with any AED for any indication should be monitored for the emergence or worsening of depression, suicidal thoughts or behavior, and/or any unusual changes in mood or behavior.

Pooled analyses of 199 placebo-controlled clinical trials (mono- and adjunctive therapy) of 11 different AEDs showed that patients randomized to one of the AEDs had approximately twice the risk (adjusted Relative Risk 1.8, 95% CI:1.2, 2.7) of suicidal thinking or behavior compared to patients randomized to placebo. In these trials, which had a median treatment duration of 12 weeks, the estimated incidence rate of suicidal behavior or ideation among 27,863 AED-treated patients was 0.43%, compared to 0.24% among 16,029 placebo-treated patients, representing an increase of approximately one case of suicidal thinking or behavior for every 530 patients treated. There were four suicides in drug-treated patients in the trials and none in placebo-treated patients, but the number is too small to allow any conclusion about drug effect on suicide.

The increased risk of suicidal thoughts or behavior with AEDs was observed as early as one week after starting drug treatment with AEDs and persisted for the duration of treatment assessed. Because most trials included in the analysis did not extend beyond 24 weeks, the risk of suicidal thoughts or behavior beyond 24 weeks could not be assessed.

The risk of suicidal thoughts or behavior was generally consistent among drugs in the data analyzed. The finding of increased risk with AEDs of varying mechanisms of action and across a range of indications suggests that the risk applies to all AEDs used for any indication. The risk did not vary substantially by age (5-100 years) in the clinical trials analyzed. Table 2 shows absolute and relative risk by indication for all evaluated AEDs.

Table 2: Risk by Indication for Antiepileptic Drugs in the Pooled Analysis
Indication Placebo Patients with Events Per 1000 Patients Drug Patients with Events Per 1000 Patients Relative Risk: Incidence of Events in Drug Patients/Incidence in Placebo Patients Risk Difference: Additional Drug Patients with Events Per 1000 Patients
Epilepsy 1.0 3.4 3.5 2.4
Psychiatric 5.7 8.5 1.5 2.9
Other 1.0 1.8 1.9 0.9
Total 2.4 4.3 1.8 1.9

The relative risk for suicidal thoughts or behavior was higher in clinical trials for epilepsy than in clinical trials for psychiatric or other conditions, but the absolute risk differences were similar for the epilepsy and psychiatric indications.

Anyone considering prescribing KEPPRA XR or any other AED must balance the risk of suicidal thoughts or behavior with the risk of untreated illness. Epilepsy and many other illnesses for which AEDs are prescribed are themselves associated with morbidity and mortality and an increased risk of suicidal thoughts and behavior. Should suicidal thoughts and behavior emerge during treatment, the prescriber needs to consider whether the emergence of these symptoms in any given patient may be related to the illness being treated.

5.5 Serious Dermatological Reactions

Serious dermatological reactions, including Stevens-Johnson syndrome (SJS) and toxic epidermal necrolysis (TEN), have been reported in patients treated with levetiracetam. The median time of onset is reported to be 14 to 17 days, but cases have been reported at least four months after initiation of treatment. Recurrence of the serious skin reactions following rechallenge with levetiracetam has also been reported. KEPPRA XR should be discontinued at the first sign of a rash, unless the rash is clearly not drug-related. If signs or symptoms suggest SJS/TEN, use of this drug should not be resumed and alternative therapy should be considered.

5.10 Seizure Control During Pregnancy

Physiological changes may gradually decrease plasma levels of levetiracetam throughout pregnancy. This decrease is more pronounced during the third trimester. It is recommended that patients be monitored carefully during pregnancy. Close monitoring should continue through the postpartum period especially if the dose was changed during pregnancy.

14.2 Immediate Release Keppra in Adults (14.2 Immediate-Release KEPPRA in Adults)

The effectiveness of immediate-release KEPPRA for the treatment of partial-onset seizures in adults was established in three multicenter, randomized, double-blind, placebo-controlled clinical studies in patients who had refractory partial-onset seizures with or without secondary generalization (Studies 2, 3, and 4). The tablet formulation was used in all three studies. In these studies, 904 patients were randomized to placebo, KEPPRA 1000 mg, KEPPRA 2000 mg, or KEPPRA 3000 mg/day. Patients enrolled in Study 2 or Study 3 had refractory partial-onset seizures for at least two years and had taken two or more AEDs. Patients enrolled in Study 4 had refractory partial-onset seizures for at least 1 year and had taken one AED. At the time of the study, patients were taking a stable dose regimen of at least one AED and could take a maximum of two AEDs. During the baseline period, patients had to have experienced at least two partial-onset seizures during each 4-week period.

5.1 Behavioral Abnormalities and Psychotic Symptoms

KEPPRA XR may cause behavioral abnormalities and psychotic symptoms. Patients treated with KEPPRA XR should be monitored for psychiatric signs and symptoms.

Principal Display Panel 500 Mg Tablet Bottle Label (PRINCIPAL DISPLAY PANEL - 500 mg Tablet Bottle Label)

NDC 50474-598-66

60 tablets

Once Daily Dosing

KEPPRA

XR ®(levetiracetam)

extended-release tablets

500 mg tablets

Dispense accompanying

Medication Guide to

each patient.

Rx only

Principal Display Panel 750 Mg Tablet Bottle Label (PRINCIPAL DISPLAY PANEL - 750 mg Tablet Bottle Label)

NDC 50474-599-66

60 tablets

Once Daily Dosing

KEPPRA

XR ®(levetiracetam)

extended-release tablets

750 mg tablets

Dispense accompanying

Medication Guide to each patient.

Rx only

2.2 Dosage Adjustments in Adult Patients With Renal Impairment (2.2 Dosage Adjustments in Adult Patients with Renal Impairment)

KEPPRA XR dosing must be individualized according to the patient's renal function status. Recommended dosage adjustments for adults are shown in Table 1. In order to calculate the dose recommended for patients with renal impairment, creatinine clearance adjusted for body surface area must be calculated. To do this, an estimate of the patient's creatinine clearance (CLcr) in mL/min must first be calculated using the following formula:

CLcr= [140-age (years)] × weight (kg)

--------------------------------------
(× 0.85 for female patients)
72 × serum creatinine (mg/dL)

Then CLcr is adjusted for body surface area (BSA) as follows:

CLcr (mL/min/1.73m 2)= CLcr (mL/min)

-------------------------
× 1.73
BSA subject (m 2)
Table 1: Dosage Adjustment Regimen for Adult Patients with Renal Impairment
Group Creatinine Clearance

(mL/min/1.73m 2)
Dosage

(mg)
Frequency
Normal > 80 1000 to 3000 Every 24 hours
Mild 50 – 80 1000 to 2000 Every 24 hours
Moderate 30 – 50 500 to 1500 Every 24 hours
Severe < 30 500 to 1000 Every 24 hours
14.3 Immediate Release Keppra in Pediatric Patients 4 Years to 16 Years (14.3 Immediate-Release KEPPRA in Pediatric Patients 4 Years to 16 Years)

The use of KEPPRA XR in pediatric patients 12 years of age and older is supported by Study 5, which was conducted using immediate-release KEPPRA. KEPPRA XR is not indicated in children below 12 years of age.

10.1 Signs, Symptoms and Laboratory Findings of Acute Overdosage in Humans

The signs and symptoms for KEPPRA XR overdose are expected to be similar to those seen with immediate-release KEPPRA tablets.

The highest known dose of oral immediate-release KEPPRA received in the clinical development program was 6000 mg/day. Other than drowsiness, there were no adverse reactions in the few known cases of overdose in clinical trials. Cases of somnolence, agitation, aggression, depressed level of consciousness, respiratory depression and coma were observed with immediate-release KEPPRA overdoses in postmarketing use.

5.6 Drug Reaction With Eosinophilia and Systemic Symptoms (dress)/multiorgan Hypersensitivity (5.6 Drug Reaction with Eosinophilia and Systemic Symptoms (DRESS)/Multiorgan Hypersensitivity)

Drug Reaction with Eosinophilia and Systemic Symptoms (DRESS), also known as multiorgan hypersensitivity, has been reported in patients taking antiepileptic drugs, including levetiracetam. These events can be fatal or life-threatening, particularly if diagnosis and treatment do not occur as early as possible. DRESS typically, although not exclusively, presents with fever, rash, lymphadenopathy, and/or facial swelling, in association with other organ system involvement, such as hepatitis, nephritis, hematological abnormalities, myocarditis, or myositis, sometimes resembling an acute viral infection. Eosinophilia is often present. Because this disorder is variable in its expression, other organ systems not noted here may be involved. It is important to note that early manifestations of hypersensitivity, such as fever or lymphadenopathy, may be present even though rash is not evident. If such signs or symptoms are present, the patient should be evaluated immediately. KEPPRA XR should be discontinued if an alternative etiology for the signs or symptoms cannot be established [see Contraindications (4)] .


Advanced Ingredient Data


Raw Label Data

All Sections (JSON)