These Highlights Do Not Include All The Information Needed To Use Lisdexamfetamine Dimesylate Capsules Safely And Effectively. See Full Prescribing Information For Lisdexamfetamine Dimesylate Capsules.

These Highlights Do Not Include All The Information Needed To Use Lisdexamfetamine Dimesylate Capsules Safely And Effectively. See Full Prescribing Information For Lisdexamfetamine Dimesylate Capsules.
SPL v101
SPL
SPL Set ID 281842ea-d165-4b6d-a366-791239be8c2e
Route
ORAL
Published
Effective Date 2011-12-30
Document Type 34391-3 HUMAN PRESCRIPTION DRUG LABEL

Drug Facts

Composition & Product

Active Ingredients
Lisdexamfetamine (60 mg)
Inactive Ingredients
Silicon Dioxide Croscarmellose Sodium Magnesium Stearate Microcrystalline Cellulose 102 Gelatin, Unspecified Titanium Dioxide Fd&c Blue No. 1 Shellac Ferrosoferric Oxide Potassium Hydroxide

Identifiers & Packaging

Pill Appearance
Imprint: RP;60mg Shape: capsule Color: blue Size: 16 mm Score: 1
Marketing Status
ANDA Active Since 2024-01-30

Description

Lisdexamfetamine dimesylate capsules have a high potential for abuse and misuse, which can lead to the development of a substance use disorder, including addiction. Misuse and abuse of CNS stimulants, including lisdexamfetamine dimesylate capsules, can result in overdose and death [see Overdosage (10) ] , and this risk is increased with higher doses or unapproved methods of administration, such as snorting or injection. Before prescribing lisdexamfetamine dimesylate capsules, assess each patient's risk for abuse, misuse, and addiction. Educate patients and their families about these risks, proper storage of the drug, and proper disposal of any unused drug. Throughout lisdexamfetamine dimesylate capsules treatment, reassess each patient's risk of abuse, misuse, and addiction and frequently monitor for signs and symptoms of abuse, misuse, and addiction [see Warnings and Precautions (5.1) , Drug Abuse and Dependence (9.2) ].

Indications and Usage

Lisdexamfetamine Dimesylate Capsules are indicated for the treatment of: Attention Deficit Hyperactivity Disorder (ADHD) in adults and pediatric patients 6 years and older [see Clinical Studies (14.1) ]. Moderate to severe binge eating disorder (BED) in adults [see Clinical Studies (14.2) ] .

Dosage and Administration

Indicated Population Initial Dose Titration Schedule Recommended Dose Maximum Dose ADHD (Adults and pediatric patients 6 years and older) ( 2.2 ) 30 mg every morning 10 mg or 20 mg weekly 30 mg to 70 mg per day 70 mg per day BED (Adults) ( 2.3 ) 30 mg every morning 20 mg weekly 50 mg to 70 mg per day 70 mg per day Prior to treatment, assess for presence of cardiac disease. ( 2.4 ) Severe renal impairment: Maximum dose is 50 mg/day. ( 2.5 ) End stage renal disease (ESRD): Maximum dose is 30 mg/day. ( 2.5 )

Warnings and Precautions

Risks to Patients with Serious Cardiac Disease: Avoid use in patients with known structural cardiac abnormalities, cardiomyopathy, serious cardiac arrhythmia, coronary artery disease, or other serious cardiac disease. ( 5.2 ) Increased Blood Pressure and Heart Rate: Monitor blood pressure and pulse. ( 5.3 ) Psychiatric Adverse Reactions: Prior to initiating lisdexamfetamine dimesylate capsules, screen patients for risk factors for developing a manic episode. If new psychotic or manic symptoms occur, consider discontinuing lisdexamfetamine dimesylate capsules. ( 5.4 ) Long-Term Suppression of Growth in Pediatric Patients: Closely monitor growth (height and weight) in pediatric patients. Pediatric patients not growing or gaining height or weight as expected may need to have their treatment interrupted. ( 5.5 ) Peripheral Vasculopathy, including Raynaud's phenomenon: Careful observation for digital changes is necessary during lisdexamfetamine dimesylate treatment. Further clinical evaluation (e.g., rheumatology referral) may be appropriate for patients who develop signs or symptoms of peripheral vasculopathy. ( 5.6 ) Serotonin Syndrome: Increased risk when co-administered with serotonergic agents (e.g., SSRIs, SNRIs, triptans), but also during overdosage situations. If it occurs, discontinue lisdexamfetamine dimesylate capsules and initiate supportive treatment. ( 4 , 5.7 , 10 ) Motor and Verbal Tics, and Worsening of Tourette's Syndrome: Before initiating lisdexamfetamine dimesylate capsules, assess the family history and clinically evaluate patients for tics or Tourette's syndrome. Regularly monitor patients for the emergence or worsening of tics or Tourette's syndrome. Discontinue treatment if clinically appropriate. ( 5.8 )

Contraindications

Lisdexamfetamine dimesylate capsules are contraindicated in patients with: Known hypersensitivity to amphetamine products or other ingredients of lisdexamfetamine dimesylate capsules. Anaphylactic reactions, Stevens-Johnson Syndrome, angioedema, and urticaria have been observed in postmarketing reports [see Adverse Reactions (6.2) ] . Patients taking monoamine oxidase inhibitors (MAOIs), or within 14 days of stopping MAOIs (including MAOIs such as linezolid or intravenous methylene blue), because of an increased risk of hypertensive crisis [see Warnings and Precautions (5.7) and Drug Interactions (7.1) ] .

Adverse Reactions

The following adverse reactions are discussed in greater detail in other sections of the labeling: Known hypersensitivity to amphetamine products or other ingredients of lisdexamfetamine dimesylate capsules [see Contraindications (4) ] Hypertensive Crisis When Used Concomitantly with Monoamine Oxidase Inhibitors [see Contraindications (4) and Drug Interactions (7.1) ] Abuse, Misuse, and Addiction [see Boxed Warning , Warnings and Precautions (5.1) , and Drug Abuse and Dependence (9.2 , 9.3) ] Risks to Patients with Serious Cardiac Disease [see Warnings and Precautions (5.2) ] Increased Blood Pressure and Heart Rate [see Warnings and Precautions (5.3) ] Psychiatric Adverse Reactions [see Warnings and Precautions (5.4) ] Long-Term Suppression of Growth in Pediatric Patients [see Warnings and Precautions (5.5) ] Peripheral Vasculopathy, including Raynaud's phenomenon [see Warnings and Precautions (5.6) ] Serotonin Syndrome [see Warnings and Precautions (5.7) ] Motor and Verbal Tics, and Worsening of Tourette's Syndrome [see Warnings and Precautions (5.8) ]

Drug Interactions

Acidifying and Alkalinizing Agents: Agents that alter urinary pH can alter blood levels of amphetamine. Acidifying agents decrease amphetamine blood levels, while alkalinizing agents increase amphetamine blood levels. Adjust lisdexamfetamine dimesylate capsules dosage accordingly. ( 2.6 , 7.1 )

Storage and Handling

16.1 How Supplied Lisdexamfetamine Dimesylate Capsules: NDC: 72162-2457-1: 100 Capsules in a Bottle NDC: 72162-2457-9: 90 Capsules in a Bottle 60 mg: aqua opaque cap/aqua opaque body (imprinted with "RP" on cap and "60mg" on body). 16.2 Storage and Handling Dispense in a tight, light-resistant container as defined in the USP. Store at 20º to 25ºC (68º to 77ºF); excursions permitted to 15° to 30°C (59° to 86°F) [see USP Controlled Room Temperature]. Repackaged/Relabeled by: Bryant Ranch Prepack, Inc. Burbank, CA 91504

How Supplied

16.1 How Supplied Lisdexamfetamine Dimesylate Capsules: NDC: 72162-2457-1: 100 Capsules in a Bottle NDC: 72162-2457-9: 90 Capsules in a Bottle 60 mg: aqua opaque cap/aqua opaque body (imprinted with "RP" on cap and "60mg" on body). 16.2 Storage and Handling Dispense in a tight, light-resistant container as defined in the USP. Store at 20º to 25ºC (68º to 77ºF); excursions permitted to 15° to 30°C (59° to 86°F) [see USP Controlled Room Temperature]. Repackaged/Relabeled by: Bryant Ranch Prepack, Inc. Burbank, CA 91504


Medication Information

Warnings and Precautions

Risks to Patients with Serious Cardiac Disease: Avoid use in patients with known structural cardiac abnormalities, cardiomyopathy, serious cardiac arrhythmia, coronary artery disease, or other serious cardiac disease. ( 5.2 ) Increased Blood Pressure and Heart Rate: Monitor blood pressure and pulse. ( 5.3 ) Psychiatric Adverse Reactions: Prior to initiating lisdexamfetamine dimesylate capsules, screen patients for risk factors for developing a manic episode. If new psychotic or manic symptoms occur, consider discontinuing lisdexamfetamine dimesylate capsules. ( 5.4 ) Long-Term Suppression of Growth in Pediatric Patients: Closely monitor growth (height and weight) in pediatric patients. Pediatric patients not growing or gaining height or weight as expected may need to have their treatment interrupted. ( 5.5 ) Peripheral Vasculopathy, including Raynaud's phenomenon: Careful observation for digital changes is necessary during lisdexamfetamine dimesylate treatment. Further clinical evaluation (e.g., rheumatology referral) may be appropriate for patients who develop signs or symptoms of peripheral vasculopathy. ( 5.6 ) Serotonin Syndrome: Increased risk when co-administered with serotonergic agents (e.g., SSRIs, SNRIs, triptans), but also during overdosage situations. If it occurs, discontinue lisdexamfetamine dimesylate capsules and initiate supportive treatment. ( 4 , 5.7 , 10 ) Motor and Verbal Tics, and Worsening of Tourette's Syndrome: Before initiating lisdexamfetamine dimesylate capsules, assess the family history and clinically evaluate patients for tics or Tourette's syndrome. Regularly monitor patients for the emergence or worsening of tics or Tourette's syndrome. Discontinue treatment if clinically appropriate. ( 5.8 )

Indications and Usage

Lisdexamfetamine Dimesylate Capsules are indicated for the treatment of: Attention Deficit Hyperactivity Disorder (ADHD) in adults and pediatric patients 6 years and older [see Clinical Studies (14.1) ]. Moderate to severe binge eating disorder (BED) in adults [see Clinical Studies (14.2) ] .

Dosage and Administration

Indicated Population Initial Dose Titration Schedule Recommended Dose Maximum Dose ADHD (Adults and pediatric patients 6 years and older) ( 2.2 ) 30 mg every morning 10 mg or 20 mg weekly 30 mg to 70 mg per day 70 mg per day BED (Adults) ( 2.3 ) 30 mg every morning 20 mg weekly 50 mg to 70 mg per day 70 mg per day Prior to treatment, assess for presence of cardiac disease. ( 2.4 ) Severe renal impairment: Maximum dose is 50 mg/day. ( 2.5 ) End stage renal disease (ESRD): Maximum dose is 30 mg/day. ( 2.5 )

Contraindications

Lisdexamfetamine dimesylate capsules are contraindicated in patients with: Known hypersensitivity to amphetamine products or other ingredients of lisdexamfetamine dimesylate capsules. Anaphylactic reactions, Stevens-Johnson Syndrome, angioedema, and urticaria have been observed in postmarketing reports [see Adverse Reactions (6.2) ] . Patients taking monoamine oxidase inhibitors (MAOIs), or within 14 days of stopping MAOIs (including MAOIs such as linezolid or intravenous methylene blue), because of an increased risk of hypertensive crisis [see Warnings and Precautions (5.7) and Drug Interactions (7.1) ] .

Adverse Reactions

The following adverse reactions are discussed in greater detail in other sections of the labeling: Known hypersensitivity to amphetamine products or other ingredients of lisdexamfetamine dimesylate capsules [see Contraindications (4) ] Hypertensive Crisis When Used Concomitantly with Monoamine Oxidase Inhibitors [see Contraindications (4) and Drug Interactions (7.1) ] Abuse, Misuse, and Addiction [see Boxed Warning , Warnings and Precautions (5.1) , and Drug Abuse and Dependence (9.2 , 9.3) ] Risks to Patients with Serious Cardiac Disease [see Warnings and Precautions (5.2) ] Increased Blood Pressure and Heart Rate [see Warnings and Precautions (5.3) ] Psychiatric Adverse Reactions [see Warnings and Precautions (5.4) ] Long-Term Suppression of Growth in Pediatric Patients [see Warnings and Precautions (5.5) ] Peripheral Vasculopathy, including Raynaud's phenomenon [see Warnings and Precautions (5.6) ] Serotonin Syndrome [see Warnings and Precautions (5.7) ] Motor and Verbal Tics, and Worsening of Tourette's Syndrome [see Warnings and Precautions (5.8) ]

Drug Interactions

Acidifying and Alkalinizing Agents: Agents that alter urinary pH can alter blood levels of amphetamine. Acidifying agents decrease amphetamine blood levels, while alkalinizing agents increase amphetamine blood levels. Adjust lisdexamfetamine dimesylate capsules dosage accordingly. ( 2.6 , 7.1 )

Storage and Handling

16.1 How Supplied Lisdexamfetamine Dimesylate Capsules: NDC: 72162-2457-1: 100 Capsules in a Bottle NDC: 72162-2457-9: 90 Capsules in a Bottle 60 mg: aqua opaque cap/aqua opaque body (imprinted with "RP" on cap and "60mg" on body). 16.2 Storage and Handling Dispense in a tight, light-resistant container as defined in the USP. Store at 20º to 25ºC (68º to 77ºF); excursions permitted to 15° to 30°C (59° to 86°F) [see USP Controlled Room Temperature]. Repackaged/Relabeled by: Bryant Ranch Prepack, Inc. Burbank, CA 91504

How Supplied

16.1 How Supplied Lisdexamfetamine Dimesylate Capsules: NDC: 72162-2457-1: 100 Capsules in a Bottle NDC: 72162-2457-9: 90 Capsules in a Bottle 60 mg: aqua opaque cap/aqua opaque body (imprinted with "RP" on cap and "60mg" on body). 16.2 Storage and Handling Dispense in a tight, light-resistant container as defined in the USP. Store at 20º to 25ºC (68º to 77ºF); excursions permitted to 15° to 30°C (59° to 86°F) [see USP Controlled Room Temperature]. Repackaged/Relabeled by: Bryant Ranch Prepack, Inc. Burbank, CA 91504

Description

Lisdexamfetamine dimesylate capsules have a high potential for abuse and misuse, which can lead to the development of a substance use disorder, including addiction. Misuse and abuse of CNS stimulants, including lisdexamfetamine dimesylate capsules, can result in overdose and death [see Overdosage (10) ] , and this risk is increased with higher doses or unapproved methods of administration, such as snorting or injection. Before prescribing lisdexamfetamine dimesylate capsules, assess each patient's risk for abuse, misuse, and addiction. Educate patients and their families about these risks, proper storage of the drug, and proper disposal of any unused drug. Throughout lisdexamfetamine dimesylate capsules treatment, reassess each patient's risk of abuse, misuse, and addiction and frequently monitor for signs and symptoms of abuse, misuse, and addiction [see Warnings and Precautions (5.1) , Drug Abuse and Dependence (9.2) ].

Section 42229-5

Limitations of Use:

  • Pediatric patients with ADHD younger than 6 years of age experienced more long-term weight loss than patients 6 years and older [see Use in Specific Populations (8.4)].
  • Lisdexamfetamine Dimesylate Capsules are not indicated or recommended for weight loss. Use of other sympathomimetic drugs for weight loss has been associated with serious cardiovascular adverse events. The safety and effectiveness of Lisdexamfetamine Dimesylate Capsules for the treatment of obesity have not been established [see Warnings and Precautions (5.2)].
Section 42231-1

MEDICATION GUIDE

Lisdexamfetamine dimesylate


(lis dex″ am fet′ a meen dye mes′ i late)

Capsules, CII

 This Medication Guide has been approved by the U.S. Food and Drug Administration. Revised: 10/2024   
What is the most important information I should know about lisdexamfetamine dimesylate capsules?

Lisdexamfetamine dimesylate capsules may cause serious side effects, including:
  • Abuse, misuse, and addiction. Lisdexamfetamine dimesylate capsules have a high chance for abuse and misuse and may lead to substance use problems, including addiction. Misuse and abuse of lisdexamfetamine dimesylate capsules, other amphetamine containing medicines, and methylphenidate containing medicines, can lead to overdose and death. The risk of overdose and death is increased with higher doses of lisdexamfetamine dimesylate capsules or when it is used in ways that are not approved, such as snorting or injection.
  • Your healthcare provider should check you or your child's risk for abuse, misuse, and addiction before starting treatment with lisdexamfetamine dimesylate capsules and will monitor you or your child during treatment.
  • Lisdexamfetamine dimesylate capsules may lead to physical dependence after prolonged use, even if taken as directed by your healthcare provider.
  • Do not give lisdexamfetamine dimesylate capsules to anyone else. See " What are lisdexamfetamine dimesylate capsules ?" for more information.
  • Keep lisdexamfetamine dimesylate capsules in a safe place and properly dispose of any unused medicine. See " How should I store lisdexamfetamine dimesylate capsules? " for more information.
  • Tell your healthcare provider if you or your child have ever abused or been dependent on alcohol, prescription medicines, or street drugs.
  • Risks for people with serious heart disease. Sudden death has happened in people who have heart defects or other serious heart disease.
Your healthcare provider should check you or your child carefully for heart problems before starting treatment with lisdexamfetamine dimesylate capsules. Tell your healthcare provider if you or your child have any heart problems, heart disease, or heart defects.

Call your healthcare provider right away or go to the nearest hospital emergency room right away if you or your child have any signs of heart problems such as chest pain, shortness of breath, or fainting during treatment with lisdexamfetamine dimesylate capsules.
  • Increased blood pressure and heart rate.
Your healthcare provider should check you or your child's blood pressure and heart rate regularly during treatment with lisdexamfetamine dimesylate capsules.
  • Mental (psychiatric) problems, including:
    • new or worse behavior and thought problems
    • new or worse bipolar illness
    • new psychotic symptoms (such as hearing voices, or seeing or believing things that are not real) or new manic symptoms
Tell your healthcare provider about any mental problems you or your child have or about a family history of suicide, bipolar illness, or depression.

Call your healthcare provider right away if you or your child have any new or worsening mental symptoms or problems during treatment with lisdexamfetamine dimesylate capsules, especially hearing voices, seeing or believing things that are not real, or new manic symptoms.
What are lisdexamfetamine dimesylate capsules?

Lisdexamfetamine dimesylate capsules are a central nervous system (CNS) stimulant prescription medicine used for the treatment of:
  • Attention Deficit Hyperactivity Disorder (ADHD) in adults and children 6 years of age and older. Lisdexamfetamine dimesylate capsules may help increase attention and decrease impulsiveness and hyperactivity in people with ADHD.
  • Moderate to severe binge eating disorder (BED) in adults. Lisdexamfetamine dimesylate capsules may help reduce the number of binge eating days in people with BED.
Lisdexamfetamine dimesylate capsules are not for use in children under 6 years of age with ADHD.

Lisdexamfetamine dimesylate capsules are not for weight loss. It is not known if lisdexamfetamine dimesylate capsules are safe and effective for the treatment of obesity.

It is not known if lisdexamfetamine dimesylate capsules are safe and effective for use in children with BED.

Lisdexamfetamine dimesylate capsules are a federally controlled substance (CII) because it contains lisdexamfetamine dimesylate that can be a target for people who abuse prescription medicines or street drugs. Keep lisdexamfetamine dimesylate capsules in a safe place to protect it from theft. Never give your lisdexamfetamine dimesylate capsules to anyone else because it may cause death or harm them. Selling or giving away lisdexamfetamine dimesylate capsules may harm others and is against the law.
Do not take lisdexamfetamine dimesylate capsules if you or your child are:
  • allergic to amphetamine products or any of the ingredients in lisdexamfetamine dimesylate capsules. See the end of this Medication Guide for a complete list of ingredients in lisdexamfetamine dimesylate capsules.
  • taking, or have stopped taking in the last 14 days, a medicine called a Monoamine Oxidase Inhibitor (MAOI).
  • being treated with the antibiotic linezolid or intravenous methylene blue.
Before taking lisdexamfetamine dimesylate capsules, tell your healthcare provider about all medical conditions, including if you or your child:
  • have heart problems, heart disease, heart defects, or high blood pressure
  • have mental problems including psychosis, mania, bipolar illness, or depression or have a family history of suicide, bipolar illness, or depression
  • have circulation problems in fingers and toes
  • have kidney problems
  • have or had repeated movements or sounds (tics) or Tourette's syndrome, or have a family history of tics or Tourette's syndrome
  • are pregnant or plan to become pregnant. Lisdexamfetamine dimesylate capsules may harm the unborn baby.
  • are breastfeeding or plan to breastfeed. Lisdexamfetamine dimesylate passes into breast milk. You should not breastfeed during treatment with lisdexamfetamine dimesylate capsules. Talk to your healthcare provider about the best way to feed the baby during treatment with lisdexamfetamine dimesylate capsules.
Tell your healthcare provider about all the medicines that you or your child take, including prescription and over-the-counter medicines, vitamins, and herbal supplements.

Lisdexamfetamine dimesylate capsules can affect the way other medicines work and other medicines may affect how lisdexamfetamine dimesylate capsules work. Taking lisdexamfetamine dimesylate capsules with other medicines can cause serious side effects. Sometimes the doses of other medicines will need to be changed while taking lisdexamfetamine dimesylate capsules.

Especially tell your healthcare provider if you or your child take:
  • selective serotonin reuptake inhibitors (SSRIs)
  • serotonin norepinephrine reuptake inhibitors (SNRIs)
  • medicines used to treat migraine headaches called triptans
  • tricyclic antidepressants
  • lithium
  • fentanyl
  • tramadol
  • tryptophan
  • buspirone
  • St. John's Wort
Keep a list of all medicines to show your healthcare provider and pharmacist when you get a new medicine. Your healthcare provider will decide if lisdexamfetamine dimesylate capsules can be taken with other medicines.

Do not start any new medicine during treatment with lisdexamfetamine dimesylate capsules without talking to your healthcare provider first.
How should lisdexamfetamine dimesylate capsules be taken?
  • Take lisdexamfetamine dimesylate capsules exactly as prescribed by your healthcare provider.
  • Your healthcare provider may change the dose if needed.
  • Take lisdexamfetamine dimesylate capsules 1 time each day in the morning with or without food.

    Taking lisdexamfetamine dimesylate capsules:
    • Lisdexamfetamine dimesylate capsules may be swallowed whole.
    • If lisdexamfetamine dimesylate capsules cannot be swallowed whole, the capsule may be opened and the entire contents sprinkled onto yogurt, or poured into water or orange juice.
      • Using a spoon, break apart any powder that is stuck together. Stir the lisdexamfetamine dimesylate capsules powder and yogurt, water, or orange juice until they are completely mixed together.
      • Swallow all the yogurt, water, or orange juice mixture right away. Do not store the yogurt, water, or orange juice mixture.
      • It is normal to see a filmy coating on the inside of your glass or container after you eat or drink all the lisdexamfetamine dimesylate capsules mixture.
If you or your child take too much lisdexamfetamine dimesylate capsules, call your healthcare provider or Poison Help line at 1-800-222-1222 or go to the nearest hospital emergency room right away.
What are the possible side effects of lisdexamfetamine dimesylate capsules?

Lisdexamfetamine dimesylate capsules may cause serious side effects, including:
  • See "What is the most important information I should know about lisdexamfetamine dimesylate capsules?"
  • Slowing of growth (height and weight) in children. Children should have their height and weight checked often during treatment with lisdexamfetamine dimesylate capsules. Lisdexamfetamine dimesylate capsules treatment may be stopped if your child is not growing or gaining weight.
  • Circulation problems in fingers and toes (Peripheral vasculopathy, including Raynaud's phenomenon).

    Signs and symptoms may include:
    • Fingers or toes may feel numb, cool, painful
    • Fingers or toes may change color from pale, to blue, to red
    Tell your healthcare provider if you or your child have numbness, pain, skin color change, or sensitivity to temperature in your fingers or toes.

    Call your healthcare provider right away if you or your child have any signs of unexplained wounds appearing on fingers or toes during treatment with lisdexamfetamine dimesylate capsules.
  • New or worsening tics or worsening Tourette's syndrome. Tell your healthcare provider if you or your child get any new or worsening tics or worsening Tourette's syndrome during treatment with lisdexamfetamine dimesylate capsules.
  • Serotonin Syndrome. A potentially life-threatening problem called serotonin syndrome may happen when lisdexamfetamine dimesylate capsules are taken with certain other medicines. Stop taking lisdexamfetamine dimesylate capsules and call your healthcare provider or go to the nearest hospital emergency room right away if you or your child develop any of the following signs and symptoms of serotonin syndrome:
  • agitation
  • fast heartbeat
  • flushing
  • seizures
  • coma
  • sweating
  • loss of coordination
  • confusion
  • dizziness
  • tremors, stiff muscles, or muscle twitching
  • seeing or hearing things that are not real (hallucination)
  • changes in blood pressure
  • high body temperature (hyperthermia)
  • nausea, vomiting, diarrhea
The most common side effects of lisdexamfetamine dimesylate capsules in children 6 to 17 years old and adults with ADHD include:
  • loss of appetite (anorexia)
  • anxiety
  • decreased appetite
  • weight loss
  • diarrhea
  • dizziness
  • dry mouth
  • irritability
  • trouble sleeping
  • nausea
  • stomach pain
  • vomiting
The most common side effects of lisdexamfetamine dimesylate capsules in adults with BED include:
  • dry mouth
  • trouble sleeping
  • decreased appetite
  • increased heart rate
  • constipation
  • feeling jittery
  • anxiety
These are not all the possible side effects of lisdexamfetamine dimesylate capsules.

Call your doctor for medical advice about side effects. You may report side effects to FDA at 1-800-FDA-1088.
How should I store lisdexamfetamine dimesylate capsules?
  • Store lisdexamfetamine dimesylate capsules in a safe place (like a locked cabinet) and in a tightly closed container at room temperature between 68° to 77°F (20° to 25°C).
  • Protect lisdexamfetamine dimesylate capsules from light.
  • Dispose of remaining, unused, or expired lisdexamfetamine dimesylate capsules by a medicine take-back program at a U.S. Drug Enforcement Administration (DEA) authorized collection site. If no take-back program or DEA authorized collector is available, mix lisdexamfetamine dimesylate capsules with an undesirable, nontoxic substance such as dirt, cat litter, or used coffee grounds to make it less appealing to children and pets. Place the mixture in a container such as a sealed plastic bag and throw away lisdexamfetamine dimesylate capsules in the household trash. Visit www.fda.gov/drugdisposal for additional information on disposal of unused medicines.
Keep lisdexamfetamine dimesylate capsules and all medicines out of the reach of children.
General information about the safe and effective use of lisdexamfetamine dimesylate capsules.

Medicines are sometimes prescribed for purposes other than those listed in a Medication Guide. Do not use lisdexamfetamine dimesylate capsules for a condition for which it was not prescribed. Do not give lisdexamfetamine dimesylate capsules to other people, even if they have the same symptoms that you have. It may harm them and it is against the law. You can ask your pharmacist or healthcare provider for information about lisdexamfetamine dimesylate capsules that is written for healthcare professionals.
What are the ingredients in lisdexamfetamine dimesylate capsules?

Active ingredient: lisdexamfetamine dimesylate

Capsule inactive ingredients: colloidal silicon dioxide, croscarmellose sodium, magnesium stearate, and microcrystalline cellulose. The capsule shells (imprinted with RP##) contain gelatin, titanium dioxide, and one or more of the following: D&C Red #28, FD&C Blue #1, FD&C Red #3, FD&C Red #40, FD&C Yellow #6, Iron Oxide Black, Iron Oxide Red, and Iron Oxide Yellow. Additionally, the imprint ink contains the following non-volatile ingredients: shellac, black iron oxide, and potassium hydroxide.

Manufactured by:

Purdue Pharma L.P.

Stamford, CT 06901

Marketed by:

Rhodes Pharmaceuticals

Wilson, NC 27893

For more information, call Rhodes Pharmaceuticals @ 1-888-827-0616.
Section 43683-2
Boxed Warning 10/2023
Dosage and Administration (2.1) 10/2023
Warnings and Precautions (5.1, 5.2, 5.3, 5.4, 5.5, 5.6, 5.8) 10/2023
Section 51945-4

Lisdexamfetamine Dimesylate 60mg Cap #100

9.2 Abuse

Lisdexamfetamine dimesylate capsules have a high potential for abuse and misuse which can lead to the development of a substance use disorder, including addiction [see Warnings and Precautions (5.1)]. Lisdexamfetamine dimesylate capsules can be diverted for non-medical use into illicit channels or distribution.

Abuse is the intentional non-therapeutic use of a drug, even once, to achieve a desired psychological or physiological effect. Misuse is the intentional use, for therapeutic purposes, of a drug by an individual in a way other than prescribed by a health care provider or for whom it was not prescribed. Drug addiction is a cluster of behavioral, cognitive, and physiological phenomena that may include a strong desire to take the drug, difficulties in controlling drug use (e.g., continuing drug use despite harmful consequences, giving a higher priority to drug use than other activities and obligations), and possible tolerance or physical dependence.

Misuse and abuse of lisdexamfetamine, a prodrug of amphetamine, may cause increased heart rate, respiratory rate, or blood pressure; sweating; dilated pupils; hyperactivity; restlessness; insomnia; decreased appetite; loss of coordination; tremors; flushed skin; vomiting; and/or abdominal pain. Anxiety, psychosis, hostility, aggression, and suicidal or homicidal ideation have also been observed with CNS stimulants abuse and/or misuse. Misuse and abuse of CNS stimulants, including lisdexamfetamine dimesylate capsules, can result in overdose and death [see Overdosage (10)], and this risk is increased with higher doses or unapproved methods of administration, such as snorting or injection.

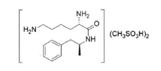
11 Description

Lisdexamfetamine dimesylate capsules, a CNS stimulant, are for once-a-day oral administration. The chemical designation for lisdexamfetamine dimesylate is (2S)-2,6-diamino-N-[(1S)-1-methyl-2-phenylethyl] hexanamide dimethanesulfonate. The molecular formula is C15H25N3O∙(CH4O3S)2, which corresponds to a molecular weight of 455.60. The chemical structure is:

Lisdexamfetamine dimesylate is a white to off-white powder that is soluble in water (792 mg/mL).

Lisdexamfetamine dimesylate capsules contain 10 mg, 20 mg, 30 mg, 40 mg, 50 mg, 60 mg, and 70 mg of lisdexamfetamine dimesylate (equivalent to 5.8 mg, 11.6 mg, 17.3 mg, 23.1 mg, 28.9 mg, 34.7 mg, and 40.5 mg of lisdexamfetamine).

Inactive ingredients: colloidal silicon dioxide, croscarmellose sodium, magnesium stearate, and microcrystalline cellulose. The capsule shells (imprinted with RP##) contain gelatin, titanium dioxide, and one or more of the following: D&C Red #28, FD&C Blue #1, FD&C Red #3, FD&C Red #40, FD&C Yellow #6, Iron Oxide Black, Iron Oxide Red, and Iron Oxide Yellow. Additionally, the imprint ink contains the following non-volatile ingredients: shellac, black iron oxide, and potassium hydroxide.

8.5 Geriatric Use

Clinical studies of lisdexamfetamine dimesylate capsules did not include sufficient numbers of subjects aged 65 and over to determine whether they respond differently from younger subjects. Other reported clinical experience and pharmacokinetic data [see Clinical Pharmacology (12.3)] have not identified differences in responses between the elderly and younger patients. In general, dose selection for an elderly patient should start at the low end of the dosing range, reflecting the greater frequency of decreased hepatic, renal, or cardiac function, and of concomitant disease or other drug therapy.

4 Contraindications

Lisdexamfetamine dimesylate capsules are contraindicated in patients with:

  • Known hypersensitivity to amphetamine products or other ingredients of lisdexamfetamine dimesylate capsules. Anaphylactic reactions, Stevens-Johnson Syndrome, angioedema, and urticaria have been observed in postmarketing reports [see Adverse Reactions (6.2)].
  • Patients taking monoamine oxidase inhibitors (MAOIs), or within 14 days of stopping MAOIs (including MAOIs such as linezolid or intravenous methylene blue), because of an increased risk of hypertensive crisis [see Warnings and Precautions (5.7) and Drug Interactions (7.1)].
6 Adverse Reactions

The following adverse reactions are discussed in greater detail in other sections of the labeling:

7 Drug Interactions

Acidifying and Alkalinizing Agents: Agents that alter urinary pH can alter blood levels of amphetamine. Acidifying agents decrease amphetamine blood levels, while alkalinizing agents increase amphetamine blood levels. Adjust lisdexamfetamine dimesylate capsules dosage accordingly. (2.6, 7.1)

8.6 Renal Impairment

Due to reduced clearance in patients with severe renal impairment (GFR 15 to < 30 mL/min/1.73 m2), the maximum dose should not exceed 50 mg/day. The maximum recommended dose in ESRD (GFR < 15 mL/min/1.73 m2) patients is 30 mg/day [see Clinical Pharmacology (12.3)].

Lisdexamfetamine and d-amphetamine are not dialyzable.

12.2 Pharmacodynamics

Amphetamines block the reuptake of norepinephrine and dopamine into the presynaptic neuron and increase the release of these monoamines into the extraneuronal space. The parent drug, lisdexamfetamine, does not bind to the sites responsible for the reuptake of norepinephrine and dopamine in vitro.

12.3 Pharmacokinetics

Pharmacokinetic studies after oral administration of lisdexamfetamine dimesylate have been conducted in healthy adult (capsule and chewable tablet formulations) and pediatric (6 to 12 years) patients with ADHD (capsule formulation). After single dose administration of lisdexamfetamine dimesylate, pharmacokinetics of dextroamphetamine was found to be linear between 30 mg and 70 mg in a pediatric study (6 to 12 years), and between 50 mg and 250 mg in an adult study. Dextroamphetamine pharmacokinetic parameters following administration of lisdexamfetamine dimesylate in adults exhibited low inter-subject (<25%) and intra-subject (<8%) variability. There is no accumulation of lisdexamfetamine and dextroamphetamine at steady state in healthy adults.

5.7 Serotonin Syndrome

Serotonin syndrome, a potentially life-threatening reaction, may occur when amphetamines are used in combination with other drugs that affect the serotonergic neurotransmitter systems such as monoamine oxidase inhibitors (MAOIs), selective serotonin reuptake inhibitors (SSRIs), serotonin norepinephrine reuptake inhibitors (SNRIs), triptans, tricyclic antidepressants, fentanyl, lithium, tramadol, tryptophan, buspirone, and St. John's Wort [see Drug Interactions (7.1)]. The co-administration with cytochrome P450 2D6 (CYP2D6) inhibitors may also increase the risk with increased exposure to the active metabolite of lisdexamfetamine dimesylate capsules (dextroamphetamine). In these situations, consider an alternative non-serotonergic drug or an alternative drug that does not inhibit CYP2D6 [see Drug Interactions (7.1)].

Serotonin syndrome symptoms may include mental status changes (e.g., agitation, hallucinations, delirium, and coma), autonomic instability (e.g., tachycardia, labile blood pressure, dizziness, diaphoresis, flushing, hyperthermia), neuromuscular symptoms (e.g., tremor, rigidity, myoclonus, hyperreflexia, incoordination), seizures, and/or gastrointestinal symptoms (e.g., nausea, vomiting, diarrhea).

Concomitant use of lisdexamfetamine dimesylate capsules with MAOI drugs is contraindicated [see Contraindications (4)].

Discontinue treatment with lisdexamfetamine dimesylate capsules and any concomitant serotonergic agents immediately if symptoms of serotonin syndrome occur, and initiate supportive symptomatic treatment. If concomitant use of lisdexamfetamine dimesylate capsules with other serotonergic drugs or CYP2D6 inhibitors is clinically warranted, initiate lisdexamfetamine dimesylate capsules with lower doses, monitor patients for the emergence of serotonin syndrome during drug initiation or titration, and inform patients of the increased risk for serotonin syndrome.

1 Indications and Usage

Lisdexamfetamine Dimesylate Capsules are indicated for the treatment of:

12.1 Mechanism of Action

Lisdexamfetamine is a prodrug of dextroamphetamine. Amphetamines are non-catecholamine sympathomimetic amines with CNS stimulant activity. The exact mode of therapeutic action in ADHD and BED is not known.

9.1 Controlled Substance

Lisdexamfetamine dimesylate capsules contain lisdexamfetamine, a prodrug of amphetamine, a Schedule II controlled substance.

2.1 Pretreatment Screening

Prior to treating patients with lisdexamfetamine dimesylate capsules, assess:

  • for the presence of cardiac disease (i.e., perform a careful history, family history of sudden death or ventricular arrhythmia, and physical exam) [see Warnings and Precautions (5.2)].
  • the family history and clinically evaluate patients for motor or verbal tics or Tourette's syndrome before initiating lisdexamfetamine dimesylate capsules [see Warnings and Precautions (5.8)].
5 Warnings and Precautions
  • Risks to Patients with Serious Cardiac Disease: Avoid use in patients with known structural cardiac abnormalities, cardiomyopathy, serious cardiac arrhythmia, coronary artery disease, or other serious cardiac disease. (5.2)
  • Increased Blood Pressure and Heart Rate: Monitor blood pressure and pulse. (5.3)
  • Psychiatric Adverse Reactions: Prior to initiating lisdexamfetamine dimesylate capsules, screen patients for risk factors for developing a manic episode. If new psychotic or manic symptoms occur, consider discontinuing lisdexamfetamine dimesylate capsules. (5.4)
  • Long-Term Suppression of Growth in Pediatric Patients: Closely monitor growth (height and weight) in pediatric patients. Pediatric patients not growing or gaining height or weight as expected may need to have their treatment interrupted. (5.5)
  • Peripheral Vasculopathy, including Raynaud's phenomenon: Careful observation for digital changes is necessary during lisdexamfetamine dimesylate treatment. Further clinical evaluation (e.g., rheumatology referral) may be appropriate for patients who develop signs or symptoms of peripheral vasculopathy. (5.6)
  • Serotonin Syndrome: Increased risk when co-administered with serotonergic agents (e.g., SSRIs, SNRIs, triptans), but also during overdosage situations. If it occurs, discontinue lisdexamfetamine dimesylate capsules and initiate supportive treatment. (4, 5.7, 10)
  • Motor and Verbal Tics, and Worsening of Tourette's Syndrome: Before initiating lisdexamfetamine dimesylate capsules, assess the family history and clinically evaluate patients for tics or Tourette's syndrome. Regularly monitor patients for the emergence or worsening of tics or Tourette's syndrome. Discontinue treatment if clinically appropriate. (5.8)
2 Dosage and Administration
Indicated Population Initial Dose Titration Schedule Recommended Dose Maximum Dose
ADHD (Adults and pediatric patients 6 years and older) (2.2) 30 mg every morning 10 mg or 20 mg weekly 30 mg to 70 mg per day 70 mg per day
BED (Adults) (2.3) 30 mg every morning 20 mg weekly 50 mg to 70 mg per day 70 mg per day
  • Prior to treatment, assess for presence of cardiac disease. (2.4)
  • Severe renal impairment: Maximum dose is 50 mg/day. (2.5)
  • End stage renal disease (ESRD): Maximum dose is 30 mg/day. (2.5)
3 Dosage Forms and Strengths

Lisdexamfetamine dimesylate capsules:

  • 10 mg: pink opaque cap/pink opaque body gelatin capsule. Printed "RP" on the cap and "10mg" on the body in black ink.
  • 20 mg: ivory opaque cap/ivory opaque body gelatin capsule. Printed "RP" on the cap and "20mg" on the body in black ink.
  • 30 mg: orange opaque cap/white opaque body gelatin capsule. Printed "RP" on the cap and "30mg" on the body in black ink.
  • 40 mg: blue green opaque cap/white opaque body gelatin capsule. Printed "RP" on the cap and "40mg" on the body in black ink.
  • 50 mg: blue opaque cap/white opaque body gelatin capsule. Printed "RP" on the cap and "50mg" on the body in black ink.
  • 60 mg: aqua opaque cap/aqua opaque body gelatin capsule. Printed "RP" on the cap and "60mg" on the body in black ink.
  • 70 mg: orange opaque cap/blue opaque body gelatin capsule. Printed "RP" on the cap and "70mg" on the body in black ink.
6.2 Postmarketing Experience

The following adverse reactions have been identified during postapproval use of lisdexamfetamine dimesylate capsules. Because these reactions are reported voluntarily from a population of uncertain size, it is not always possible to reliably estimate their frequency or establish a causal relationship to drug exposure. These events are as follows: cardiomyopathy, mydriasis, diplopia, difficulties with visual accommodation, blurred vision, eosinophilic hepatitis, anaphylactic reaction, hypersensitivity, dyskinesia, dysgeusia, motor and verbal tics, bruxism, depression, dermatillomania, alopecia, aggression, Stevens-Johnson Syndrome, chest pain, angioedema, urticaria, seizures, libido changes, frequent or prolonged erections, constipation, rhabdomyolysis, and intestinal ischemia.

8 Use in Specific Populations
  • Pregnancy: May cause fetal harm. (8.1)
  • Lactation: Breastfeeding not recommended. (8.2)
6.1 Clinical Trials Experience

Because clinical trials are conducted under widely varying conditions, adverse reaction rates observed in the clinical trials of a drug cannot be directly compared to rates in the clinical trials of another drug and may not reflect the rates observed in practice.

14.2 Binge Eating Disorder (bed)

A phase 2 study evaluated the efficacy of lisdexamfetamine dimesylate capsules 30, 50, and 70 mg/day compared to placebo in reducing the number of binge days/week in adults with at least moderate to severe BED. This randomized, double-blind, parallel-group, placebo-controlled, forced-dose titration study (Study 10) consisted of an 11-week double-blind treatment period (3 weeks of forced-dose titration followed by 8 weeks of dose maintenance). Lisdexamfetamine dimesylate capsule 30 mg/day was not statistically different from placebo on the primary endpoint. The 50 and 70 mg/day doses were statistically superior to placebo on the primary endpoint.

The efficacy of lisdexamfetamine dimesylate capsules in the treatment of BED was demonstrated in two 12-week randomized, double-blind, multi-center, parallel-group, placebo-controlled, dose-optimization studies (Study 11 and Study 12) in adults aged 18 to 55 years (Study 11: N=374, Study 12: N=350) with moderate to severe BED. A diagnosis of BED was confirmed using DSM-IV criteria for BED. Severity of BED was determined based on having at least 3 binge days per week for 2 weeks prior to the baseline visit and on having a Clinical Global Impression Severity (CGI-S) score of ≥4 at the baseline visit. For both studies, a binge day was defined as a day with at least 1 binge episode, as determined from the subject's daily binge diary.

Both 12-week studies consisted of a 4-week dose-optimization period and an 8-week dose-maintenance period. During dose-optimization, subjects assigned to lisdexamfetamine dimesylate capsules began treatment at the titration dose of 30 mg/day and, after 1 week of treatment, were subsequently titrated to 50 mg/day. Additional increases to 70 mg/day were made as tolerated and clinically indicated. Following the dose-optimization period, subjects continued on their optimized dose for the duration of the dose-maintenance period.

The primary efficacy outcome for the two studies was defined as the change from baseline at Week 12 in the number of binge days per week. Baseline is defined as the weekly average of the number of binge days per week for the 14 days prior to the baseline visit. Subjects from both studies on lisdexamfetamine dimesylate capsules had a statistically significantly greater reduction from baseline in mean number of binge days per week at Week 12. In addition, subjects on lisdexamfetamine dimesylate capsules showed greater improvement as compared to placebo across key secondary outcomes with higher proportion of subjects rated improved on the CGI-I rating scale, higher proportion of subjects with 4-week binge cessation, and greater reduction in the Yale-Brown Obsessive Compulsive Scale Modified for Binge Eating (Y-BOCS-BE) total score.

Table 7: Summary of Primary Efficacy Results in BED
Study Number Treatment Group Primary Efficacy Measure: Binge Days per Week at Week 12
Mean Baseline Score (SD) LS Mean Change from Baseline (SE) Placebo-subtracted Difference
Difference (drug minus placebo) in least-squares mean change from baseline.
(95% CI)
SD: standard deviation; SE: standard error; LS Mean: least-squares mean; CI: confidence interval.
Study 11 Lisdexamfetamine dimesylate capsules (50 or 70 mg/day)
Doses statistically significantly superior to placebo.
4.79 (1.27) -3.87 (0.12) -1.35 (-1.70, -1.01)
Placebo 4.60 (1.21) -2.51 (0.13) - -
Study 12 Lisdexamfetamine dimesylate capsules (50 or 70 mg/day)
4.66 (1.27) -3.92 (0.14) -1.66 (-2.04, -1.28)
Placebo 4.82 (1.42) -2.26 (0.14) - -

A double-blind, placebo controlled, randomized withdrawal design study (Study 13) was conducted to evaluate maintenance of efficacy based on time to relapse between lisdexamfetamine dimesylate capsules and placebo in adults aged 18 to 55 (N=267) with moderate to severe BED. In this longer-term study patients who had responded to lisdexamfetamine dimesylate capsules in the preceding 12-week open-label treatment phase were randomized to continuation of lisdexamfetamine dimesylate capsules or placebo for up to 26 weeks of observation for relapse. Response in the open-label phase was defined as 1 or fewer binge days each week for four consecutive weeks prior to the last visit at the end of the 12-week open-label phase and a CGI-S score of 2 or less at the same visit. Relapse during the double-blind phase was defined as having 2 or more binge days each week for two consecutive weeks (14 days) prior to any visit and having an increase in CGI-S score of 2 or more points compared to the randomized-withdrawal baseline. Maintenance of efficacy for patients who had an initial response during the open-label period and then continued on lisdexamfetamine dimesylate capsules during the 26-week double-blind randomized-withdrawal phase was demonstrated with lisdexamfetamine dimesylate capsules being superior over placebo as measured by time to relapse.

Figure 8 Kaplan-Meier Estimated Proportions of Subjects with Relapse in Adults with BED (Study 13)

Examination of population subgroups based on age (there were no patients over 65), gender, and race did not reveal any clear evidence of differential responsiveness in the treatment of BED.

2.3 Dosage for Treatment of Adhd

The recommended starting dosage in adults and pediatric patients 6 years and older is 30 mg once daily in the morning. Dosage may be adjusted in increments of 10 mg or 20 mg at approximately weekly intervals up to maximum recommended dosage of 70 mg once daily [see Clinical Studies (14.1)].

5.1 Abuse, Misuse, and Addiction

Lisdexamfetamine dimesylate capsules have a high potential for abuse and misuse. The use of lisdexamfetamine dimesylate capsules exposes individuals to the risks of abuse and misuse, which can lead to the development of a substance use disorder, including addiction. Lisdexamfetamine dimesylate capsules can be diverted for non-medical use into illicit channels or distribution [see Drug Abuse and Dependence (9.2)]. Misuse and abuse of CNS stimulants, including lisdexamfetamine dimesylate capsules, can result in overdose and death [see Overdosage (10)], and this risk is increased with higher doses or unapproved methods of administration, such as snorting or injection.

Before prescribing lisdexamfetamine dimesylate capsules, assess each patient's risk for abuse, misuse, and addiction. Educate patients and their families about these risks and proper disposal of any unused drug. Advise patients to store lisdexamfetamine dimesylate capsules in a safe place, preferably locked, and instruct patients to not give lisdexamfetamine dimesylate capsules to anyone else. Throughout lisdexamfetamine dimesylate capsules treatment, reassess each patient's risk of abuse, misuse, and addiction and frequently monitor for signs and symptoms of abuse, misuse, and addiction.

17 Patient Counseling Information

Advise the patient to read the FDA-approved patient labeling (Medication Guide).

16 How Supplied/storage and Handling

16.1 How Supplied

Lisdexamfetamine Dimesylate Capsules:

NDC: 72162-2457-1: 100 Capsules in a Bottle

NDC: 72162-2457-9: 90 Capsules in a Bottle

60 mg: aqua opaque cap/aqua opaque body (imprinted with "RP" on cap and "60mg" on body).

16.2 Storage and Handling

Dispense in a tight, light-resistant container as defined in the USP.

Store at 20º to 25ºC (68º to 77ºF); excursions permitted to 15° to 30°C (59° to 86°F) [see USP Controlled Room Temperature].

Repackaged/Relabeled by:

Bryant Ranch Prepack, Inc.

Burbank, CA 91504

Warning: Abuse, Misuse, and Addiction

Lisdexamfetamine dimesylate capsules have a high potential for abuse and misuse, which can lead to the development of a substance use disorder, including addiction. Misuse and abuse of CNS stimulants, including lisdexamfetamine dimesylate capsules, can result in overdose and death [see Overdosage (10)], and this risk is increased with higher doses or unapproved methods of administration, such as snorting or injection.

Before prescribing lisdexamfetamine dimesylate capsules, assess each patient's risk for abuse, misuse, and addiction. Educate patients and their families about these risks, proper storage of the drug, and proper disposal of any unused drug. Throughout lisdexamfetamine dimesylate capsules treatment, reassess each patient's risk of abuse, misuse, and addiction and frequently monitor for signs and symptoms of abuse, misuse, and addiction [see Warnings and Precautions (5.1), Drug Abuse and Dependence (9.2)].

2.2 General Administration Information

Take lisdexamfetamine dimesylate capsules orally in the morning with or without food; avoid afternoon doses because of the potential for insomnia. Lisdexamfetamine dimesylate capsules may be administered in one of the following ways:

  • Swallow lisdexamfetamine dimesylate capsules whole, or
  • Open capsules, empty and mix the entire contents with yogurt, water, or orange juice. If the contents of the capsule include any compacted powder, a spoon may be used to break apart the powder. The contents should be mixed until completely dispersed. Consume the entire mixture immediately. It should not be stored. The active ingredient dissolves completely once dispersed; however, a film containing the inactive ingredients may remain in the glass or container once the mixture is consumed.

Lisdexamfetamine dimesylate capsules can be substituted with Vyvanse chewable tablets on a unit per unit/mg per mg basis (for example, 30 mg capsules for 30 mg chewable tablet) [see Clinical Pharmacology (12.3)].

Do not take anything less than one capsule or chewable tablet per day. A single dose should not be divided.

13.2 Animal Toxicology And/or Pharmacology

Acute administration of high doses of amphetamine (d- or d, l-) has been shown to produce long-lasting neurotoxic effects, including irreversible nerve fiber damage, in rodents. The significance of these findings to humans is unknown.

5.3 Increased Blood Pressure and Heart Rate

CNS stimulants cause an increase in blood pressure (mean increase about 2 to 4 mm Hg) and heart rate (mean increase about 3 to 6 bpm). Some patients may have larger increases.

Monitor all lisdexamfetamine dimesylate capsules-treated patients for potential tachycardia and hypertension.

2.5 Dosage in Patients With Renal Impairment

In patients with severe renal impairment (GFR 15 to < 30 mL/min/1.73 m2), the maximum dosage should not exceed 50 mg once daily. In patients with end stage renal disease (ESRD, GFR < 15 mL/min/1.73 m2), the maximum recommended dosage is 30 mg once daily [see Use in Specific Populations (8.6)].

2.6 Dosage Modifications Due to Drug Interactions

Agents that alter urinary pH can impact urinary excretion and alter blood levels of amphetamine. Acidifying agents (e.g., ascorbic acid) decrease blood levels, while alkalinizing agents (e.g., sodium bicarbonate) increase blood levels. Adjust lisdexamfetamine dimesylate capsules dosage accordingly [see Drug Interactions (7.1)].

5.2 Risks to Patients With Serious Cardiac Disease

Sudden death has been reported in patients with structural cardiac abnormalities or other serious cardiac disease who were treated with CNS stimulants at the recommended ADHD dosage. Avoid lisdexamfetamine dimesylate capsules use in patients with known structural cardiac abnormalities, cardiomyopathy, serious cardiac arrhythmia, coronary artery disease, or other serious cardiac disease.

5.5 Long Term Suppression of Growth in Pediatric Patients

CNS stimulants have been associated with weight loss and slowing of growth rate in pediatric patients.

In a 4-week, placebo-controlled trial of lisdexamfetamine dimesylate capsules in pediatric patients ages 6 to 12 years old with ADHD, there was a dose-related decrease in weight in the lisdexamfetamine dimesylate capsules groups compared to weight gain in the placebo group. Additionally, in studies of another stimulant, there was slowing of the increase in height [see Adverse Reactions (6.1)].

Closely monitor growth (weight and height) in lisdexamfetamine dimesylate capsules-treated pediatric patients. Patients who are not growing or gaining height or weight as expected may need to have their treatment interrupted. Lisdexamfetamine dimesylate capsules are not approved for use in pediatric patients below 6 years of age [see Use in Specific Populations (8.4)].

5.6 Peripheral Vasculopathy, Including Raynaud's Phenomenon

CNS stimulants, including lisdexamfetamine dimesylate capsules, used to treat ADHD are associated with peripheral vasculopathy, including Raynaud's phenomenon. Signs and symptoms are usually intermittent and mild; however, sequelae have included digital ulceration and/or soft tissue breakdown. Effects of peripheral vasculopathy, including Raynaud's phenomenon, were observed in post-marketing reports and at the therapeutic dosages of CNS stimulants in all age groups throughout the course of treatment. Signs and symptoms generally improved after dosage reduction or discontinuation of the CNS stimulant.

Careful observation for digital changes is necessary during lisdexamfetamine dimesylate capsules treatment. Further clinical evaluation (e.g., rheumatology referral) may be appropriate for lisdexamfetamine dimesylate capsules-treated patients who develop signs or symptoms of peripheral vasculopathy.

2.4 Dosage for Treatment of Moderate to Severe Bed in Adults

The recommended starting dosage in adults is 30 mg once daily to be titrated in increments of 20 mg at approximately weekly intervals to achieve the recommended target dose of 50 mg to 70 mg once daily. The maximum recommended dosage is 70 mg once daily [see Clinical Studies (14.2)]. Discontinue lisdexamfetamine dimesylate capsules if binge eating does not improve.

5.8 Motor and Verbal Tics, and Worsening of Tourette's Syndrome

CNS stimulants, including amphetamine, have been associated with the onset or exacerbation of motor and verbal tics. Worsening of Tourette's syndrome has also been reported [see Adverse Reactions (6.2)].

Before initiating lisdexamfetamine dimesylate capsules, assess the family history and clinically evaluate patients for tics or Tourette's syndrome. Regularly monitor lisdexamfetamine dimesylate capsules-treated patients for the emergence or worsening of tics or Tourette's syndrome, and discontinue treatment if clinically appropriate.

7.1 Drugs Having Clinically Important Interactions With Amphetamines
Table 5 Drugs having clinically important interactions with amphetamines.
MAO Inhibitors (MAOI)
Clinical Impact MAOI antidepressants slow amphetamine metabolism, increasing amphetamines effect on the release of norepinephrine and other monoamines from adrenergic nerve endings causing headaches and other signs of hypertensive crisis. Toxic neurological effects and malignant hyperpyrexia can occur, sometimes with fatal results.
Intervention Do not administer lisdexamfetamine dimesylate capsules during or within 14 days following the administration of MAOI [see Contraindications (4)].
Serotonergic Drugs
Clinical Impact The concomitant use of lisdexamfetamine dimesylate capsules and serotonergic drugs increases the risk of serotonin syndrome.
Intervention Initiate with lower doses and monitor patients for signs and symptoms of serotonin syndrome, particularly during lisdexamfetamine dimesylate capsules initiation or dosage increase. If serotonin syndrome occurs, discontinue lisdexamfetamine dimesylate capsules and the concomitant serotonergic drug(s) [see Warnings and Precautions (5.7)].
CYP2D6 Inhibitors
Clinical Impact The concomitant use of lisdexamfetamine dimesylate capsules and CYP2D6 inhibitors may increase the exposure of dextroamphetamine, the active metabolite of lisdexamfetamine dimesylate capsules, compared to the use of the drug alone and increase the risk of serotonin syndrome.
Intervention Initiate with lower doses and monitor patients for signs and symptoms of serotonin syndrome particularly during lisdexamfetamine dimesylate capsules initiation and after a dosage increase. If serotonin syndrome occurs, discontinue lisdexamfetamine dimesylate capsules and the CYP2D6 inhibitor [see Warnings and Precautions (5.7) and Overdosage (10)].
Alkalinizing Agents
Clinical Impact Urinary alkalinizing agents can increase blood levels and potentiate the action of amphetamine.
Intervention Co-administration of lisdexamfetamine dimesylate capsules and urinary alkalinizing agents should be avoided.
Acidifying Agents
Clinical Impact Urinary acidifying agents can lower blood levels and efficacy of amphetamines.
Intervention Increase dose based on clinical response.
Tricyclic Antidepressants
Clinical Impact May enhance the activity of tricyclic or sympathomimetic agents causing striking and sustained increases in the concentration of d-amphetamine in the brain; cardiovascular effects can be potentiated.
Intervention Monitor frequently and adjust or use alternative therapy based on clinical response.
7.2 Drugs Having No Clinically Important Interactions With Lisdexamfetamine Dimesylate Capsules

From a pharmacokinetic perspective, no dose adjustment of lisdexamfetamine dimesylate capsules is necessary when lisdexamfetamine dimesylate capsules are co-administered with guanfacine, venlafaxine, or omeprazole. In addition, no dose adjustment of guanfacine or venlafaxine is needed when lisdexamfetamine dimesylate capsules are co-administered [see Clinical Pharmacology (12.3)].

From a pharmacokinetic perspective, no dose adjustment for drugs that are substrates of CYP1A2 (e.g., theophylline, duloxetine, melatonin), CYP2D6 (e.g., atomoxetine, desipramine, venlafaxine), CYP2C19 (e.g., omeprazole, lansoprazole, clobazam), and CYP3A4 (e.g., midazolam, pimozide, simvastatin) is necessary when lisdexamfetamine dimesylate capsules are co-administered [see Clinical Pharmacology (12.3)].


Structured Label Content

Section 42229-5 (42229-5)

Limitations of Use:

  • Pediatric patients with ADHD younger than 6 years of age experienced more long-term weight loss than patients 6 years and older [see Use in Specific Populations (8.4)].
  • Lisdexamfetamine Dimesylate Capsules are not indicated or recommended for weight loss. Use of other sympathomimetic drugs for weight loss has been associated with serious cardiovascular adverse events. The safety and effectiveness of Lisdexamfetamine Dimesylate Capsules for the treatment of obesity have not been established [see Warnings and Precautions (5.2)].
Section 42231-1 (42231-1)

MEDICATION GUIDE

Lisdexamfetamine dimesylate


(lis dex″ am fet′ a meen dye mes′ i late)

Capsules, CII

 This Medication Guide has been approved by the U.S. Food and Drug Administration. Revised: 10/2024   
What is the most important information I should know about lisdexamfetamine dimesylate capsules?

Lisdexamfetamine dimesylate capsules may cause serious side effects, including:
  • Abuse, misuse, and addiction. Lisdexamfetamine dimesylate capsules have a high chance for abuse and misuse and may lead to substance use problems, including addiction. Misuse and abuse of lisdexamfetamine dimesylate capsules, other amphetamine containing medicines, and methylphenidate containing medicines, can lead to overdose and death. The risk of overdose and death is increased with higher doses of lisdexamfetamine dimesylate capsules or when it is used in ways that are not approved, such as snorting or injection.
  • Your healthcare provider should check you or your child's risk for abuse, misuse, and addiction before starting treatment with lisdexamfetamine dimesylate capsules and will monitor you or your child during treatment.
  • Lisdexamfetamine dimesylate capsules may lead to physical dependence after prolonged use, even if taken as directed by your healthcare provider.
  • Do not give lisdexamfetamine dimesylate capsules to anyone else. See " What are lisdexamfetamine dimesylate capsules ?" for more information.
  • Keep lisdexamfetamine dimesylate capsules in a safe place and properly dispose of any unused medicine. See " How should I store lisdexamfetamine dimesylate capsules? " for more information.
  • Tell your healthcare provider if you or your child have ever abused or been dependent on alcohol, prescription medicines, or street drugs.
  • Risks for people with serious heart disease. Sudden death has happened in people who have heart defects or other serious heart disease.
Your healthcare provider should check you or your child carefully for heart problems before starting treatment with lisdexamfetamine dimesylate capsules. Tell your healthcare provider if you or your child have any heart problems, heart disease, or heart defects.

Call your healthcare provider right away or go to the nearest hospital emergency room right away if you or your child have any signs of heart problems such as chest pain, shortness of breath, or fainting during treatment with lisdexamfetamine dimesylate capsules.
  • Increased blood pressure and heart rate.
Your healthcare provider should check you or your child's blood pressure and heart rate regularly during treatment with lisdexamfetamine dimesylate capsules.
  • Mental (psychiatric) problems, including:
    • new or worse behavior and thought problems
    • new or worse bipolar illness
    • new psychotic symptoms (such as hearing voices, or seeing or believing things that are not real) or new manic symptoms
Tell your healthcare provider about any mental problems you or your child have or about a family history of suicide, bipolar illness, or depression.

Call your healthcare provider right away if you or your child have any new or worsening mental symptoms or problems during treatment with lisdexamfetamine dimesylate capsules, especially hearing voices, seeing or believing things that are not real, or new manic symptoms.
What are lisdexamfetamine dimesylate capsules?

Lisdexamfetamine dimesylate capsules are a central nervous system (CNS) stimulant prescription medicine used for the treatment of:
  • Attention Deficit Hyperactivity Disorder (ADHD) in adults and children 6 years of age and older. Lisdexamfetamine dimesylate capsules may help increase attention and decrease impulsiveness and hyperactivity in people with ADHD.
  • Moderate to severe binge eating disorder (BED) in adults. Lisdexamfetamine dimesylate capsules may help reduce the number of binge eating days in people with BED.
Lisdexamfetamine dimesylate capsules are not for use in children under 6 years of age with ADHD.

Lisdexamfetamine dimesylate capsules are not for weight loss. It is not known if lisdexamfetamine dimesylate capsules are safe and effective for the treatment of obesity.

It is not known if lisdexamfetamine dimesylate capsules are safe and effective for use in children with BED.

Lisdexamfetamine dimesylate capsules are a federally controlled substance (CII) because it contains lisdexamfetamine dimesylate that can be a target for people who abuse prescription medicines or street drugs. Keep lisdexamfetamine dimesylate capsules in a safe place to protect it from theft. Never give your lisdexamfetamine dimesylate capsules to anyone else because it may cause death or harm them. Selling or giving away lisdexamfetamine dimesylate capsules may harm others and is against the law.
Do not take lisdexamfetamine dimesylate capsules if you or your child are:
  • allergic to amphetamine products or any of the ingredients in lisdexamfetamine dimesylate capsules. See the end of this Medication Guide for a complete list of ingredients in lisdexamfetamine dimesylate capsules.
  • taking, or have stopped taking in the last 14 days, a medicine called a Monoamine Oxidase Inhibitor (MAOI).
  • being treated with the antibiotic linezolid or intravenous methylene blue.
Before taking lisdexamfetamine dimesylate capsules, tell your healthcare provider about all medical conditions, including if you or your child:
  • have heart problems, heart disease, heart defects, or high blood pressure
  • have mental problems including psychosis, mania, bipolar illness, or depression or have a family history of suicide, bipolar illness, or depression
  • have circulation problems in fingers and toes
  • have kidney problems
  • have or had repeated movements or sounds (tics) or Tourette's syndrome, or have a family history of tics or Tourette's syndrome
  • are pregnant or plan to become pregnant. Lisdexamfetamine dimesylate capsules may harm the unborn baby.
  • are breastfeeding or plan to breastfeed. Lisdexamfetamine dimesylate passes into breast milk. You should not breastfeed during treatment with lisdexamfetamine dimesylate capsules. Talk to your healthcare provider about the best way to feed the baby during treatment with lisdexamfetamine dimesylate capsules.
Tell your healthcare provider about all the medicines that you or your child take, including prescription and over-the-counter medicines, vitamins, and herbal supplements.

Lisdexamfetamine dimesylate capsules can affect the way other medicines work and other medicines may affect how lisdexamfetamine dimesylate capsules work. Taking lisdexamfetamine dimesylate capsules with other medicines can cause serious side effects. Sometimes the doses of other medicines will need to be changed while taking lisdexamfetamine dimesylate capsules.

Especially tell your healthcare provider if you or your child take:
  • selective serotonin reuptake inhibitors (SSRIs)
  • serotonin norepinephrine reuptake inhibitors (SNRIs)
  • medicines used to treat migraine headaches called triptans
  • tricyclic antidepressants
  • lithium
  • fentanyl
  • tramadol
  • tryptophan
  • buspirone
  • St. John's Wort
Keep a list of all medicines to show your healthcare provider and pharmacist when you get a new medicine. Your healthcare provider will decide if lisdexamfetamine dimesylate capsules can be taken with other medicines.

Do not start any new medicine during treatment with lisdexamfetamine dimesylate capsules without talking to your healthcare provider first.
How should lisdexamfetamine dimesylate capsules be taken?
  • Take lisdexamfetamine dimesylate capsules exactly as prescribed by your healthcare provider.
  • Your healthcare provider may change the dose if needed.
  • Take lisdexamfetamine dimesylate capsules 1 time each day in the morning with or without food.

    Taking lisdexamfetamine dimesylate capsules:
    • Lisdexamfetamine dimesylate capsules may be swallowed whole.
    • If lisdexamfetamine dimesylate capsules cannot be swallowed whole, the capsule may be opened and the entire contents sprinkled onto yogurt, or poured into water or orange juice.
      • Using a spoon, break apart any powder that is stuck together. Stir the lisdexamfetamine dimesylate capsules powder and yogurt, water, or orange juice until they are completely mixed together.
      • Swallow all the yogurt, water, or orange juice mixture right away. Do not store the yogurt, water, or orange juice mixture.
      • It is normal to see a filmy coating on the inside of your glass or container after you eat or drink all the lisdexamfetamine dimesylate capsules mixture.
If you or your child take too much lisdexamfetamine dimesylate capsules, call your healthcare provider or Poison Help line at 1-800-222-1222 or go to the nearest hospital emergency room right away.
What are the possible side effects of lisdexamfetamine dimesylate capsules?

Lisdexamfetamine dimesylate capsules may cause serious side effects, including:
  • See "What is the most important information I should know about lisdexamfetamine dimesylate capsules?"
  • Slowing of growth (height and weight) in children. Children should have their height and weight checked often during treatment with lisdexamfetamine dimesylate capsules. Lisdexamfetamine dimesylate capsules treatment may be stopped if your child is not growing or gaining weight.
  • Circulation problems in fingers and toes (Peripheral vasculopathy, including Raynaud's phenomenon).

    Signs and symptoms may include:
    • Fingers or toes may feel numb, cool, painful
    • Fingers or toes may change color from pale, to blue, to red
    Tell your healthcare provider if you or your child have numbness, pain, skin color change, or sensitivity to temperature in your fingers or toes.

    Call your healthcare provider right away if you or your child have any signs of unexplained wounds appearing on fingers or toes during treatment with lisdexamfetamine dimesylate capsules.
  • New or worsening tics or worsening Tourette's syndrome. Tell your healthcare provider if you or your child get any new or worsening tics or worsening Tourette's syndrome during treatment with lisdexamfetamine dimesylate capsules.
  • Serotonin Syndrome. A potentially life-threatening problem called serotonin syndrome may happen when lisdexamfetamine dimesylate capsules are taken with certain other medicines. Stop taking lisdexamfetamine dimesylate capsules and call your healthcare provider or go to the nearest hospital emergency room right away if you or your child develop any of the following signs and symptoms of serotonin syndrome:
  • agitation
  • fast heartbeat
  • flushing
  • seizures
  • coma
  • sweating
  • loss of coordination
  • confusion
  • dizziness
  • tremors, stiff muscles, or muscle twitching
  • seeing or hearing things that are not real (hallucination)
  • changes in blood pressure
  • high body temperature (hyperthermia)
  • nausea, vomiting, diarrhea
The most common side effects of lisdexamfetamine dimesylate capsules in children 6 to 17 years old and adults with ADHD include:
  • loss of appetite (anorexia)
  • anxiety
  • decreased appetite
  • weight loss
  • diarrhea
  • dizziness
  • dry mouth
  • irritability
  • trouble sleeping
  • nausea
  • stomach pain
  • vomiting
The most common side effects of lisdexamfetamine dimesylate capsules in adults with BED include:
  • dry mouth
  • trouble sleeping
  • decreased appetite
  • increased heart rate
  • constipation
  • feeling jittery
  • anxiety
These are not all the possible side effects of lisdexamfetamine dimesylate capsules.

Call your doctor for medical advice about side effects. You may report side effects to FDA at 1-800-FDA-1088.
How should I store lisdexamfetamine dimesylate capsules?
  • Store lisdexamfetamine dimesylate capsules in a safe place (like a locked cabinet) and in a tightly closed container at room temperature between 68° to 77°F (20° to 25°C).
  • Protect lisdexamfetamine dimesylate capsules from light.
  • Dispose of remaining, unused, or expired lisdexamfetamine dimesylate capsules by a medicine take-back program at a U.S. Drug Enforcement Administration (DEA) authorized collection site. If no take-back program or DEA authorized collector is available, mix lisdexamfetamine dimesylate capsules with an undesirable, nontoxic substance such as dirt, cat litter, or used coffee grounds to make it less appealing to children and pets. Place the mixture in a container such as a sealed plastic bag and throw away lisdexamfetamine dimesylate capsules in the household trash. Visit www.fda.gov/drugdisposal for additional information on disposal of unused medicines.
Keep lisdexamfetamine dimesylate capsules and all medicines out of the reach of children.
General information about the safe and effective use of lisdexamfetamine dimesylate capsules.

Medicines are sometimes prescribed for purposes other than those listed in a Medication Guide. Do not use lisdexamfetamine dimesylate capsules for a condition for which it was not prescribed. Do not give lisdexamfetamine dimesylate capsules to other people, even if they have the same symptoms that you have. It may harm them and it is against the law. You can ask your pharmacist or healthcare provider for information about lisdexamfetamine dimesylate capsules that is written for healthcare professionals.
What are the ingredients in lisdexamfetamine dimesylate capsules?

Active ingredient: lisdexamfetamine dimesylate

Capsule inactive ingredients: colloidal silicon dioxide, croscarmellose sodium, magnesium stearate, and microcrystalline cellulose. The capsule shells (imprinted with RP##) contain gelatin, titanium dioxide, and one or more of the following: D&C Red #28, FD&C Blue #1, FD&C Red #3, FD&C Red #40, FD&C Yellow #6, Iron Oxide Black, Iron Oxide Red, and Iron Oxide Yellow. Additionally, the imprint ink contains the following non-volatile ingredients: shellac, black iron oxide, and potassium hydroxide.

Manufactured by:

Purdue Pharma L.P.

Stamford, CT 06901

Marketed by:

Rhodes Pharmaceuticals

Wilson, NC 27893

For more information, call Rhodes Pharmaceuticals @ 1-888-827-0616.
Section 43683-2 (43683-2)
Boxed Warning 10/2023
Dosage and Administration (2.1) 10/2023
Warnings and Precautions (5.1, 5.2, 5.3, 5.4, 5.5, 5.6, 5.8) 10/2023
Section 51945-4 (51945-4)

Lisdexamfetamine Dimesylate 60mg Cap #100

9.2 Abuse

Lisdexamfetamine dimesylate capsules have a high potential for abuse and misuse which can lead to the development of a substance use disorder, including addiction [see Warnings and Precautions (5.1)]. Lisdexamfetamine dimesylate capsules can be diverted for non-medical use into illicit channels or distribution.

Abuse is the intentional non-therapeutic use of a drug, even once, to achieve a desired psychological or physiological effect. Misuse is the intentional use, for therapeutic purposes, of a drug by an individual in a way other than prescribed by a health care provider or for whom it was not prescribed. Drug addiction is a cluster of behavioral, cognitive, and physiological phenomena that may include a strong desire to take the drug, difficulties in controlling drug use (e.g., continuing drug use despite harmful consequences, giving a higher priority to drug use than other activities and obligations), and possible tolerance or physical dependence.

Misuse and abuse of lisdexamfetamine, a prodrug of amphetamine, may cause increased heart rate, respiratory rate, or blood pressure; sweating; dilated pupils; hyperactivity; restlessness; insomnia; decreased appetite; loss of coordination; tremors; flushed skin; vomiting; and/or abdominal pain. Anxiety, psychosis, hostility, aggression, and suicidal or homicidal ideation have also been observed with CNS stimulants abuse and/or misuse. Misuse and abuse of CNS stimulants, including lisdexamfetamine dimesylate capsules, can result in overdose and death [see Overdosage (10)], and this risk is increased with higher doses or unapproved methods of administration, such as snorting or injection.

11 Description (11 DESCRIPTION)

Lisdexamfetamine dimesylate capsules, a CNS stimulant, are for once-a-day oral administration. The chemical designation for lisdexamfetamine dimesylate is (2S)-2,6-diamino-N-[(1S)-1-methyl-2-phenylethyl] hexanamide dimethanesulfonate. The molecular formula is C15H25N3O∙(CH4O3S)2, which corresponds to a molecular weight of 455.60. The chemical structure is:

Lisdexamfetamine dimesylate is a white to off-white powder that is soluble in water (792 mg/mL).

Lisdexamfetamine dimesylate capsules contain 10 mg, 20 mg, 30 mg, 40 mg, 50 mg, 60 mg, and 70 mg of lisdexamfetamine dimesylate (equivalent to 5.8 mg, 11.6 mg, 17.3 mg, 23.1 mg, 28.9 mg, 34.7 mg, and 40.5 mg of lisdexamfetamine).

Inactive ingredients: colloidal silicon dioxide, croscarmellose sodium, magnesium stearate, and microcrystalline cellulose. The capsule shells (imprinted with RP##) contain gelatin, titanium dioxide, and one or more of the following: D&C Red #28, FD&C Blue #1, FD&C Red #3, FD&C Red #40, FD&C Yellow #6, Iron Oxide Black, Iron Oxide Red, and Iron Oxide Yellow. Additionally, the imprint ink contains the following non-volatile ingredients: shellac, black iron oxide, and potassium hydroxide.

8.5 Geriatric Use

Clinical studies of lisdexamfetamine dimesylate capsules did not include sufficient numbers of subjects aged 65 and over to determine whether they respond differently from younger subjects. Other reported clinical experience and pharmacokinetic data [see Clinical Pharmacology (12.3)] have not identified differences in responses between the elderly and younger patients. In general, dose selection for an elderly patient should start at the low end of the dosing range, reflecting the greater frequency of decreased hepatic, renal, or cardiac function, and of concomitant disease or other drug therapy.

4 Contraindications (4 CONTRAINDICATIONS)

Lisdexamfetamine dimesylate capsules are contraindicated in patients with:

  • Known hypersensitivity to amphetamine products or other ingredients of lisdexamfetamine dimesylate capsules. Anaphylactic reactions, Stevens-Johnson Syndrome, angioedema, and urticaria have been observed in postmarketing reports [see Adverse Reactions (6.2)].
  • Patients taking monoamine oxidase inhibitors (MAOIs), or within 14 days of stopping MAOIs (including MAOIs such as linezolid or intravenous methylene blue), because of an increased risk of hypertensive crisis [see Warnings and Precautions (5.7) and Drug Interactions (7.1)].
6 Adverse Reactions (6 ADVERSE REACTIONS)

The following adverse reactions are discussed in greater detail in other sections of the labeling:

7 Drug Interactions (7 DRUG INTERACTIONS)

Acidifying and Alkalinizing Agents: Agents that alter urinary pH can alter blood levels of amphetamine. Acidifying agents decrease amphetamine blood levels, while alkalinizing agents increase amphetamine blood levels. Adjust lisdexamfetamine dimesylate capsules dosage accordingly. (2.6, 7.1)

8.6 Renal Impairment

Due to reduced clearance in patients with severe renal impairment (GFR 15 to < 30 mL/min/1.73 m2), the maximum dose should not exceed 50 mg/day. The maximum recommended dose in ESRD (GFR < 15 mL/min/1.73 m2) patients is 30 mg/day [see Clinical Pharmacology (12.3)].

Lisdexamfetamine and d-amphetamine are not dialyzable.

12.2 Pharmacodynamics

Amphetamines block the reuptake of norepinephrine and dopamine into the presynaptic neuron and increase the release of these monoamines into the extraneuronal space. The parent drug, lisdexamfetamine, does not bind to the sites responsible for the reuptake of norepinephrine and dopamine in vitro.

12.3 Pharmacokinetics

Pharmacokinetic studies after oral administration of lisdexamfetamine dimesylate have been conducted in healthy adult (capsule and chewable tablet formulations) and pediatric (6 to 12 years) patients with ADHD (capsule formulation). After single dose administration of lisdexamfetamine dimesylate, pharmacokinetics of dextroamphetamine was found to be linear between 30 mg and 70 mg in a pediatric study (6 to 12 years), and between 50 mg and 250 mg in an adult study. Dextroamphetamine pharmacokinetic parameters following administration of lisdexamfetamine dimesylate in adults exhibited low inter-subject (<25%) and intra-subject (<8%) variability. There is no accumulation of lisdexamfetamine and dextroamphetamine at steady state in healthy adults.

5.7 Serotonin Syndrome

Serotonin syndrome, a potentially life-threatening reaction, may occur when amphetamines are used in combination with other drugs that affect the serotonergic neurotransmitter systems such as monoamine oxidase inhibitors (MAOIs), selective serotonin reuptake inhibitors (SSRIs), serotonin norepinephrine reuptake inhibitors (SNRIs), triptans, tricyclic antidepressants, fentanyl, lithium, tramadol, tryptophan, buspirone, and St. John's Wort [see Drug Interactions (7.1)]. The co-administration with cytochrome P450 2D6 (CYP2D6) inhibitors may also increase the risk with increased exposure to the active metabolite of lisdexamfetamine dimesylate capsules (dextroamphetamine). In these situations, consider an alternative non-serotonergic drug or an alternative drug that does not inhibit CYP2D6 [see Drug Interactions (7.1)].

Serotonin syndrome symptoms may include mental status changes (e.g., agitation, hallucinations, delirium, and coma), autonomic instability (e.g., tachycardia, labile blood pressure, dizziness, diaphoresis, flushing, hyperthermia), neuromuscular symptoms (e.g., tremor, rigidity, myoclonus, hyperreflexia, incoordination), seizures, and/or gastrointestinal symptoms (e.g., nausea, vomiting, diarrhea).

Concomitant use of lisdexamfetamine dimesylate capsules with MAOI drugs is contraindicated [see Contraindications (4)].

Discontinue treatment with lisdexamfetamine dimesylate capsules and any concomitant serotonergic agents immediately if symptoms of serotonin syndrome occur, and initiate supportive symptomatic treatment. If concomitant use of lisdexamfetamine dimesylate capsules with other serotonergic drugs or CYP2D6 inhibitors is clinically warranted, initiate lisdexamfetamine dimesylate capsules with lower doses, monitor patients for the emergence of serotonin syndrome during drug initiation or titration, and inform patients of the increased risk for serotonin syndrome.

1 Indications and Usage (1 INDICATIONS AND USAGE)

Lisdexamfetamine Dimesylate Capsules are indicated for the treatment of:

12.1 Mechanism of Action

Lisdexamfetamine is a prodrug of dextroamphetamine. Amphetamines are non-catecholamine sympathomimetic amines with CNS stimulant activity. The exact mode of therapeutic action in ADHD and BED is not known.

9.1 Controlled Substance

Lisdexamfetamine dimesylate capsules contain lisdexamfetamine, a prodrug of amphetamine, a Schedule II controlled substance.

2.1 Pretreatment Screening

Prior to treating patients with lisdexamfetamine dimesylate capsules, assess:

  • for the presence of cardiac disease (i.e., perform a careful history, family history of sudden death or ventricular arrhythmia, and physical exam) [see Warnings and Precautions (5.2)].
  • the family history and clinically evaluate patients for motor or verbal tics or Tourette's syndrome before initiating lisdexamfetamine dimesylate capsules [see Warnings and Precautions (5.8)].
5 Warnings and Precautions (5 WARNINGS AND PRECAUTIONS)
  • Risks to Patients with Serious Cardiac Disease: Avoid use in patients with known structural cardiac abnormalities, cardiomyopathy, serious cardiac arrhythmia, coronary artery disease, or other serious cardiac disease. (5.2)
  • Increased Blood Pressure and Heart Rate: Monitor blood pressure and pulse. (5.3)
  • Psychiatric Adverse Reactions: Prior to initiating lisdexamfetamine dimesylate capsules, screen patients for risk factors for developing a manic episode. If new psychotic or manic symptoms occur, consider discontinuing lisdexamfetamine dimesylate capsules. (5.4)
  • Long-Term Suppression of Growth in Pediatric Patients: Closely monitor growth (height and weight) in pediatric patients. Pediatric patients not growing or gaining height or weight as expected may need to have their treatment interrupted. (5.5)
  • Peripheral Vasculopathy, including Raynaud's phenomenon: Careful observation for digital changes is necessary during lisdexamfetamine dimesylate treatment. Further clinical evaluation (e.g., rheumatology referral) may be appropriate for patients who develop signs or symptoms of peripheral vasculopathy. (5.6)
  • Serotonin Syndrome: Increased risk when co-administered with serotonergic agents (e.g., SSRIs, SNRIs, triptans), but also during overdosage situations. If it occurs, discontinue lisdexamfetamine dimesylate capsules and initiate supportive treatment. (4, 5.7, 10)
  • Motor and Verbal Tics, and Worsening of Tourette's Syndrome: Before initiating lisdexamfetamine dimesylate capsules, assess the family history and clinically evaluate patients for tics or Tourette's syndrome. Regularly monitor patients for the emergence or worsening of tics or Tourette's syndrome. Discontinue treatment if clinically appropriate. (5.8)
2 Dosage and Administration (2 DOSAGE AND ADMINISTRATION)
Indicated Population Initial Dose Titration Schedule Recommended Dose Maximum Dose
ADHD (Adults and pediatric patients 6 years and older) (2.2) 30 mg every morning 10 mg or 20 mg weekly 30 mg to 70 mg per day 70 mg per day
BED (Adults) (2.3) 30 mg every morning 20 mg weekly 50 mg to 70 mg per day 70 mg per day
  • Prior to treatment, assess for presence of cardiac disease. (2.4)
  • Severe renal impairment: Maximum dose is 50 mg/day. (2.5)
  • End stage renal disease (ESRD): Maximum dose is 30 mg/day. (2.5)
3 Dosage Forms and Strengths (3 DOSAGE FORMS AND STRENGTHS)

Lisdexamfetamine dimesylate capsules:

  • 10 mg: pink opaque cap/pink opaque body gelatin capsule. Printed "RP" on the cap and "10mg" on the body in black ink.
  • 20 mg: ivory opaque cap/ivory opaque body gelatin capsule. Printed "RP" on the cap and "20mg" on the body in black ink.
  • 30 mg: orange opaque cap/white opaque body gelatin capsule. Printed "RP" on the cap and "30mg" on the body in black ink.
  • 40 mg: blue green opaque cap/white opaque body gelatin capsule. Printed "RP" on the cap and "40mg" on the body in black ink.
  • 50 mg: blue opaque cap/white opaque body gelatin capsule. Printed "RP" on the cap and "50mg" on the body in black ink.
  • 60 mg: aqua opaque cap/aqua opaque body gelatin capsule. Printed "RP" on the cap and "60mg" on the body in black ink.
  • 70 mg: orange opaque cap/blue opaque body gelatin capsule. Printed "RP" on the cap and "70mg" on the body in black ink.
6.2 Postmarketing Experience

The following adverse reactions have been identified during postapproval use of lisdexamfetamine dimesylate capsules. Because these reactions are reported voluntarily from a population of uncertain size, it is not always possible to reliably estimate their frequency or establish a causal relationship to drug exposure. These events are as follows: cardiomyopathy, mydriasis, diplopia, difficulties with visual accommodation, blurred vision, eosinophilic hepatitis, anaphylactic reaction, hypersensitivity, dyskinesia, dysgeusia, motor and verbal tics, bruxism, depression, dermatillomania, alopecia, aggression, Stevens-Johnson Syndrome, chest pain, angioedema, urticaria, seizures, libido changes, frequent or prolonged erections, constipation, rhabdomyolysis, and intestinal ischemia.

8 Use in Specific Populations (8 USE IN SPECIFIC POPULATIONS)
  • Pregnancy: May cause fetal harm. (8.1)
  • Lactation: Breastfeeding not recommended. (8.2)
6.1 Clinical Trials Experience

Because clinical trials are conducted under widely varying conditions, adverse reaction rates observed in the clinical trials of a drug cannot be directly compared to rates in the clinical trials of another drug and may not reflect the rates observed in practice.

14.2 Binge Eating Disorder (bed) (14.2 Binge Eating Disorder (BED))

A phase 2 study evaluated the efficacy of lisdexamfetamine dimesylate capsules 30, 50, and 70 mg/day compared to placebo in reducing the number of binge days/week in adults with at least moderate to severe BED. This randomized, double-blind, parallel-group, placebo-controlled, forced-dose titration study (Study 10) consisted of an 11-week double-blind treatment period (3 weeks of forced-dose titration followed by 8 weeks of dose maintenance). Lisdexamfetamine dimesylate capsule 30 mg/day was not statistically different from placebo on the primary endpoint. The 50 and 70 mg/day doses were statistically superior to placebo on the primary endpoint.

The efficacy of lisdexamfetamine dimesylate capsules in the treatment of BED was demonstrated in two 12-week randomized, double-blind, multi-center, parallel-group, placebo-controlled, dose-optimization studies (Study 11 and Study 12) in adults aged 18 to 55 years (Study 11: N=374, Study 12: N=350) with moderate to severe BED. A diagnosis of BED was confirmed using DSM-IV criteria for BED. Severity of BED was determined based on having at least 3 binge days per week for 2 weeks prior to the baseline visit and on having a Clinical Global Impression Severity (CGI-S) score of ≥4 at the baseline visit. For both studies, a binge day was defined as a day with at least 1 binge episode, as determined from the subject's daily binge diary.

Both 12-week studies consisted of a 4-week dose-optimization period and an 8-week dose-maintenance period. During dose-optimization, subjects assigned to lisdexamfetamine dimesylate capsules began treatment at the titration dose of 30 mg/day and, after 1 week of treatment, were subsequently titrated to 50 mg/day. Additional increases to 70 mg/day were made as tolerated and clinically indicated. Following the dose-optimization period, subjects continued on their optimized dose for the duration of the dose-maintenance period.

The primary efficacy outcome for the two studies was defined as the change from baseline at Week 12 in the number of binge days per week. Baseline is defined as the weekly average of the number of binge days per week for the 14 days prior to the baseline visit. Subjects from both studies on lisdexamfetamine dimesylate capsules had a statistically significantly greater reduction from baseline in mean number of binge days per week at Week 12. In addition, subjects on lisdexamfetamine dimesylate capsules showed greater improvement as compared to placebo across key secondary outcomes with higher proportion of subjects rated improved on the CGI-I rating scale, higher proportion of subjects with 4-week binge cessation, and greater reduction in the Yale-Brown Obsessive Compulsive Scale Modified for Binge Eating (Y-BOCS-BE) total score.

Table 7: Summary of Primary Efficacy Results in BED
Study Number Treatment Group Primary Efficacy Measure: Binge Days per Week at Week 12
Mean Baseline Score (SD) LS Mean Change from Baseline (SE) Placebo-subtracted Difference
Difference (drug minus placebo) in least-squares mean change from baseline.
(95% CI)
SD: standard deviation; SE: standard error; LS Mean: least-squares mean; CI: confidence interval.
Study 11 Lisdexamfetamine dimesylate capsules (50 or 70 mg/day)
Doses statistically significantly superior to placebo.
4.79 (1.27) -3.87 (0.12) -1.35 (-1.70, -1.01)
Placebo 4.60 (1.21) -2.51 (0.13) - -
Study 12 Lisdexamfetamine dimesylate capsules (50 or 70 mg/day)
4.66 (1.27) -3.92 (0.14) -1.66 (-2.04, -1.28)
Placebo 4.82 (1.42) -2.26 (0.14) - -

A double-blind, placebo controlled, randomized withdrawal design study (Study 13) was conducted to evaluate maintenance of efficacy based on time to relapse between lisdexamfetamine dimesylate capsules and placebo in adults aged 18 to 55 (N=267) with moderate to severe BED. In this longer-term study patients who had responded to lisdexamfetamine dimesylate capsules in the preceding 12-week open-label treatment phase were randomized to continuation of lisdexamfetamine dimesylate capsules or placebo for up to 26 weeks of observation for relapse. Response in the open-label phase was defined as 1 or fewer binge days each week for four consecutive weeks prior to the last visit at the end of the 12-week open-label phase and a CGI-S score of 2 or less at the same visit. Relapse during the double-blind phase was defined as having 2 or more binge days each week for two consecutive weeks (14 days) prior to any visit and having an increase in CGI-S score of 2 or more points compared to the randomized-withdrawal baseline. Maintenance of efficacy for patients who had an initial response during the open-label period and then continued on lisdexamfetamine dimesylate capsules during the 26-week double-blind randomized-withdrawal phase was demonstrated with lisdexamfetamine dimesylate capsules being superior over placebo as measured by time to relapse.

Figure 8 Kaplan-Meier Estimated Proportions of Subjects with Relapse in Adults with BED (Study 13)

Examination of population subgroups based on age (there were no patients over 65), gender, and race did not reveal any clear evidence of differential responsiveness in the treatment of BED.

2.3 Dosage for Treatment of Adhd (2.3 Dosage for Treatment of ADHD)

The recommended starting dosage in adults and pediatric patients 6 years and older is 30 mg once daily in the morning. Dosage may be adjusted in increments of 10 mg or 20 mg at approximately weekly intervals up to maximum recommended dosage of 70 mg once daily [see Clinical Studies (14.1)].

5.1 Abuse, Misuse, and Addiction

Lisdexamfetamine dimesylate capsules have a high potential for abuse and misuse. The use of lisdexamfetamine dimesylate capsules exposes individuals to the risks of abuse and misuse, which can lead to the development of a substance use disorder, including addiction. Lisdexamfetamine dimesylate capsules can be diverted for non-medical use into illicit channels or distribution [see Drug Abuse and Dependence (9.2)]. Misuse and abuse of CNS stimulants, including lisdexamfetamine dimesylate capsules, can result in overdose and death [see Overdosage (10)], and this risk is increased with higher doses or unapproved methods of administration, such as snorting or injection.

Before prescribing lisdexamfetamine dimesylate capsules, assess each patient's risk for abuse, misuse, and addiction. Educate patients and their families about these risks and proper disposal of any unused drug. Advise patients to store lisdexamfetamine dimesylate capsules in a safe place, preferably locked, and instruct patients to not give lisdexamfetamine dimesylate capsules to anyone else. Throughout lisdexamfetamine dimesylate capsules treatment, reassess each patient's risk of abuse, misuse, and addiction and frequently monitor for signs and symptoms of abuse, misuse, and addiction.

17 Patient Counseling Information (17 PATIENT COUNSELING INFORMATION)

Advise the patient to read the FDA-approved patient labeling (Medication Guide).

16 How Supplied/storage and Handling (16 HOW SUPPLIED/STORAGE AND HANDLING)

16.1 How Supplied

Lisdexamfetamine Dimesylate Capsules:

NDC: 72162-2457-1: 100 Capsules in a Bottle

NDC: 72162-2457-9: 90 Capsules in a Bottle

60 mg: aqua opaque cap/aqua opaque body (imprinted with "RP" on cap and "60mg" on body).

16.2 Storage and Handling

Dispense in a tight, light-resistant container as defined in the USP.

Store at 20º to 25ºC (68º to 77ºF); excursions permitted to 15° to 30°C (59° to 86°F) [see USP Controlled Room Temperature].

Repackaged/Relabeled by:

Bryant Ranch Prepack, Inc.

Burbank, CA 91504

Warning: Abuse, Misuse, and Addiction (WARNING: ABUSE, MISUSE, AND ADDICTION)

Lisdexamfetamine dimesylate capsules have a high potential for abuse and misuse, which can lead to the development of a substance use disorder, including addiction. Misuse and abuse of CNS stimulants, including lisdexamfetamine dimesylate capsules, can result in overdose and death [see Overdosage (10)], and this risk is increased with higher doses or unapproved methods of administration, such as snorting or injection.

Before prescribing lisdexamfetamine dimesylate capsules, assess each patient's risk for abuse, misuse, and addiction. Educate patients and their families about these risks, proper storage of the drug, and proper disposal of any unused drug. Throughout lisdexamfetamine dimesylate capsules treatment, reassess each patient's risk of abuse, misuse, and addiction and frequently monitor for signs and symptoms of abuse, misuse, and addiction [see Warnings and Precautions (5.1), Drug Abuse and Dependence (9.2)].

2.2 General Administration Information

Take lisdexamfetamine dimesylate capsules orally in the morning with or without food; avoid afternoon doses because of the potential for insomnia. Lisdexamfetamine dimesylate capsules may be administered in one of the following ways:

  • Swallow lisdexamfetamine dimesylate capsules whole, or
  • Open capsules, empty and mix the entire contents with yogurt, water, or orange juice. If the contents of the capsule include any compacted powder, a spoon may be used to break apart the powder. The contents should be mixed until completely dispersed. Consume the entire mixture immediately. It should not be stored. The active ingredient dissolves completely once dispersed; however, a film containing the inactive ingredients may remain in the glass or container once the mixture is consumed.

Lisdexamfetamine dimesylate capsules can be substituted with Vyvanse chewable tablets on a unit per unit/mg per mg basis (for example, 30 mg capsules for 30 mg chewable tablet) [see Clinical Pharmacology (12.3)].

Do not take anything less than one capsule or chewable tablet per day. A single dose should not be divided.

13.2 Animal Toxicology And/or Pharmacology (13.2 Animal Toxicology and/or Pharmacology)

Acute administration of high doses of amphetamine (d- or d, l-) has been shown to produce long-lasting neurotoxic effects, including irreversible nerve fiber damage, in rodents. The significance of these findings to humans is unknown.

5.3 Increased Blood Pressure and Heart Rate

CNS stimulants cause an increase in blood pressure (mean increase about 2 to 4 mm Hg) and heart rate (mean increase about 3 to 6 bpm). Some patients may have larger increases.

Monitor all lisdexamfetamine dimesylate capsules-treated patients for potential tachycardia and hypertension.

2.5 Dosage in Patients With Renal Impairment (2.5 Dosage in Patients with Renal Impairment)

In patients with severe renal impairment (GFR 15 to < 30 mL/min/1.73 m2), the maximum dosage should not exceed 50 mg once daily. In patients with end stage renal disease (ESRD, GFR < 15 mL/min/1.73 m2), the maximum recommended dosage is 30 mg once daily [see Use in Specific Populations (8.6)].

2.6 Dosage Modifications Due to Drug Interactions (2.6 Dosage Modifications due to Drug Interactions)

Agents that alter urinary pH can impact urinary excretion and alter blood levels of amphetamine. Acidifying agents (e.g., ascorbic acid) decrease blood levels, while alkalinizing agents (e.g., sodium bicarbonate) increase blood levels. Adjust lisdexamfetamine dimesylate capsules dosage accordingly [see Drug Interactions (7.1)].

5.2 Risks to Patients With Serious Cardiac Disease (5.2 Risks to Patients with Serious Cardiac Disease)

Sudden death has been reported in patients with structural cardiac abnormalities or other serious cardiac disease who were treated with CNS stimulants at the recommended ADHD dosage. Avoid lisdexamfetamine dimesylate capsules use in patients with known structural cardiac abnormalities, cardiomyopathy, serious cardiac arrhythmia, coronary artery disease, or other serious cardiac disease.

5.5 Long Term Suppression of Growth in Pediatric Patients (5.5 Long-Term Suppression of Growth in Pediatric Patients)

CNS stimulants have been associated with weight loss and slowing of growth rate in pediatric patients.

In a 4-week, placebo-controlled trial of lisdexamfetamine dimesylate capsules in pediatric patients ages 6 to 12 years old with ADHD, there was a dose-related decrease in weight in the lisdexamfetamine dimesylate capsules groups compared to weight gain in the placebo group. Additionally, in studies of another stimulant, there was slowing of the increase in height [see Adverse Reactions (6.1)].

Closely monitor growth (weight and height) in lisdexamfetamine dimesylate capsules-treated pediatric patients. Patients who are not growing or gaining height or weight as expected may need to have their treatment interrupted. Lisdexamfetamine dimesylate capsules are not approved for use in pediatric patients below 6 years of age [see Use in Specific Populations (8.4)].

5.6 Peripheral Vasculopathy, Including Raynaud's Phenomenon (5.6 Peripheral Vasculopathy, including Raynaud's Phenomenon)

CNS stimulants, including lisdexamfetamine dimesylate capsules, used to treat ADHD are associated with peripheral vasculopathy, including Raynaud's phenomenon. Signs and symptoms are usually intermittent and mild; however, sequelae have included digital ulceration and/or soft tissue breakdown. Effects of peripheral vasculopathy, including Raynaud's phenomenon, were observed in post-marketing reports and at the therapeutic dosages of CNS stimulants in all age groups throughout the course of treatment. Signs and symptoms generally improved after dosage reduction or discontinuation of the CNS stimulant.

Careful observation for digital changes is necessary during lisdexamfetamine dimesylate capsules treatment. Further clinical evaluation (e.g., rheumatology referral) may be appropriate for lisdexamfetamine dimesylate capsules-treated patients who develop signs or symptoms of peripheral vasculopathy.

2.4 Dosage for Treatment of Moderate to Severe Bed in Adults (2.4 Dosage for Treatment of Moderate to Severe BED in Adults)

The recommended starting dosage in adults is 30 mg once daily to be titrated in increments of 20 mg at approximately weekly intervals to achieve the recommended target dose of 50 mg to 70 mg once daily. The maximum recommended dosage is 70 mg once daily [see Clinical Studies (14.2)]. Discontinue lisdexamfetamine dimesylate capsules if binge eating does not improve.

5.8 Motor and Verbal Tics, and Worsening of Tourette's Syndrome

CNS stimulants, including amphetamine, have been associated with the onset or exacerbation of motor and verbal tics. Worsening of Tourette's syndrome has also been reported [see Adverse Reactions (6.2)].

Before initiating lisdexamfetamine dimesylate capsules, assess the family history and clinically evaluate patients for tics or Tourette's syndrome. Regularly monitor lisdexamfetamine dimesylate capsules-treated patients for the emergence or worsening of tics or Tourette's syndrome, and discontinue treatment if clinically appropriate.

7.1 Drugs Having Clinically Important Interactions With Amphetamines (7.1 Drugs Having Clinically Important Interactions with Amphetamines)
Table 5 Drugs having clinically important interactions with amphetamines.
MAO Inhibitors (MAOI)
Clinical Impact MAOI antidepressants slow amphetamine metabolism, increasing amphetamines effect on the release of norepinephrine and other monoamines from adrenergic nerve endings causing headaches and other signs of hypertensive crisis. Toxic neurological effects and malignant hyperpyrexia can occur, sometimes with fatal results.
Intervention Do not administer lisdexamfetamine dimesylate capsules during or within 14 days following the administration of MAOI [see Contraindications (4)].
Serotonergic Drugs
Clinical Impact The concomitant use of lisdexamfetamine dimesylate capsules and serotonergic drugs increases the risk of serotonin syndrome.
Intervention Initiate with lower doses and monitor patients for signs and symptoms of serotonin syndrome, particularly during lisdexamfetamine dimesylate capsules initiation or dosage increase. If serotonin syndrome occurs, discontinue lisdexamfetamine dimesylate capsules and the concomitant serotonergic drug(s) [see Warnings and Precautions (5.7)].
CYP2D6 Inhibitors
Clinical Impact The concomitant use of lisdexamfetamine dimesylate capsules and CYP2D6 inhibitors may increase the exposure of dextroamphetamine, the active metabolite of lisdexamfetamine dimesylate capsules, compared to the use of the drug alone and increase the risk of serotonin syndrome.
Intervention Initiate with lower doses and monitor patients for signs and symptoms of serotonin syndrome particularly during lisdexamfetamine dimesylate capsules initiation and after a dosage increase. If serotonin syndrome occurs, discontinue lisdexamfetamine dimesylate capsules and the CYP2D6 inhibitor [see Warnings and Precautions (5.7) and Overdosage (10)].
Alkalinizing Agents
Clinical Impact Urinary alkalinizing agents can increase blood levels and potentiate the action of amphetamine.
Intervention Co-administration of lisdexamfetamine dimesylate capsules and urinary alkalinizing agents should be avoided.
Acidifying Agents
Clinical Impact Urinary acidifying agents can lower blood levels and efficacy of amphetamines.
Intervention Increase dose based on clinical response.
Tricyclic Antidepressants
Clinical Impact May enhance the activity of tricyclic or sympathomimetic agents causing striking and sustained increases in the concentration of d-amphetamine in the brain; cardiovascular effects can be potentiated.
Intervention Monitor frequently and adjust or use alternative therapy based on clinical response.
7.2 Drugs Having No Clinically Important Interactions With Lisdexamfetamine Dimesylate Capsules (7.2 Drugs Having No Clinically Important Interactions with Lisdexamfetamine Dimesylate Capsules)

From a pharmacokinetic perspective, no dose adjustment of lisdexamfetamine dimesylate capsules is necessary when lisdexamfetamine dimesylate capsules are co-administered with guanfacine, venlafaxine, or omeprazole. In addition, no dose adjustment of guanfacine or venlafaxine is needed when lisdexamfetamine dimesylate capsules are co-administered [see Clinical Pharmacology (12.3)].

From a pharmacokinetic perspective, no dose adjustment for drugs that are substrates of CYP1A2 (e.g., theophylline, duloxetine, melatonin), CYP2D6 (e.g., atomoxetine, desipramine, venlafaxine), CYP2C19 (e.g., omeprazole, lansoprazole, clobazam), and CYP3A4 (e.g., midazolam, pimozide, simvastatin) is necessary when lisdexamfetamine dimesylate capsules are co-administered [see Clinical Pharmacology (12.3)].


Advanced Ingredient Data


Raw Label Data

All Sections (JSON)