Fluocinonide Topical Solution Usp, 0.05%

Fluocinonide Topical Solution Usp, 0.05%
SPL v3
SPL
SPL Set ID 272a4467-b5f8-430b-8fab-7fbb07dc8114
Route
TOPICAL
Published
Effective Date 2025-08-01
Document Type 34391-3 HUMAN PRESCRIPTION DRUG LABEL

Drug Facts

Composition & Product

Active Ingredients
Fluocinonide (0.5 mg)
Inactive Ingredients
Alcohol Anhydrous Citric Acid Diisopropyl Adipate Propylene Glycol

Identifiers & Packaging

Marketing Status
ANDA Active Since 2025-03-15

Description

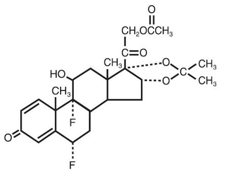
Fluocinonide topical solution USP, 0.05% is intended for topical administration. The active component is the corticosteroid fluocinonide, which is the 21-acetate ester of fluocinolone acetonide and has the chemical name pregna-1,4-diene-3,20-dione,21-(acetyloxy)-6,9-difluoro-11-hydroxy-16,17-[(1-methylethylidene)bis(oxy)]-,(6α,11β,16α)-. It has the following chemical structure: Fluocinonide topical solution USP, 0.05% contains fluocinonide 0.5 mg/mL in a clear, colorless to pale yellow solution of alcohol (35%), citric acid anhydrous, diisopropyl adipate, and propylene glycol.

Indications and Usage

Fluocinonide topical solution USP, 0.05% is indicated for the relief of the inflammatory and pruritic manifestations of corticosteroid-responsive dermatoses.

Dosage and Administration

Fluocinonide topical solution USP, 0.05% is generally applied to the affected area as a thin film from two to four times daily depending on the severity of the condition. Occlusive dressings may be used for the management of psoriasis or recalcitrant conditions. If an infection develops, the use of occlusive dressings should be discontinued and appropriate antimicrobial therapy instituted.

Contraindications

Topical corticosteroids are contraindicated in those patients with a history of hypersensitivity to any of the components of the preparation.

Adverse Reactions

The following local adverse reactions are reported infrequently with topical corticosteroids, but may occur more frequently with the use of occlusive dressings. These reactions are listed in an approximate decreasing order of occurrence: Burning Itching Irritation Dryness Folliculitis Hypertrichosis Acneiform eruptions Hypopigmentation Perioral dermatitis Allergic contact dermatitis Maceration of the skin Secondary infection Skin atrophy Striae Miliaria To report SUSPECTED ADVERSE REACTIONS, contact Quagen Pharmaceuticals LLC. at 1-888-344-9603 or FDA at 1-800-FDA-1088 or www.fda.gov/medwatch for voluntary reporting of adverse reactions.

How Supplied

Fluocinonide Topical Solution USP, 0.05% is a clear, colorless to pale yellow solution supplied in plastic squeeze bottle: 60 mL - NDC 70752-154-05 Tamper Evident - Do not use if shrink seal is broken or missing Store at 20°-25°C (68°-77°F); excursions permitted to 15°-30°C (59°-86°F). See USP Controlled Room Temperature. Avoid excess heat, above 40°C (104°F). Manufactured by: Quagen Pharmaceuticals LLC West Caldwell, NJ 07006 52037   Rev. 04/25


Medication Information

Indications and Usage

Fluocinonide topical solution USP, 0.05% is indicated for the relief of the inflammatory and pruritic manifestations of corticosteroid-responsive dermatoses.

Dosage and Administration

Fluocinonide topical solution USP, 0.05% is generally applied to the affected area as a thin film from two to four times daily depending on the severity of the condition.

Occlusive dressings may be used for the management of psoriasis or recalcitrant conditions.

If an infection develops, the use of occlusive dressings should be discontinued and appropriate antimicrobial therapy instituted.

Contraindications

Topical corticosteroids are contraindicated in those patients with a history of hypersensitivity to any of the components of the preparation.

Adverse Reactions

The following local adverse reactions are reported infrequently with topical corticosteroids, but may occur more frequently with the use of occlusive dressings. These reactions are listed in an approximate decreasing order of occurrence: Burning Itching Irritation Dryness Folliculitis Hypertrichosis Acneiform eruptions Hypopigmentation Perioral dermatitis Allergic contact dermatitis Maceration of the skin Secondary infection Skin atrophy Striae Miliaria To report SUSPECTED ADVERSE REACTIONS, contact Quagen Pharmaceuticals LLC. at 1-888-344-9603 or FDA at 1-800-FDA-1088 or www.fda.gov/medwatch for voluntary reporting of adverse reactions.

How Supplied

Fluocinonide Topical Solution USP, 0.05% is a clear, colorless to pale yellow solution supplied in plastic squeeze bottle:

60 mL - NDC 70752-154-05

Tamper Evident - Do not use if shrink seal is broken or missing

Store at 20°-25°C (68°-77°F); excursions permitted to 15°-30°C (59°-86°F). See USP Controlled Room Temperature. Avoid excess heat, above 40°C (104°F).

Manufactured by:

Quagen Pharmaceuticals LLC

West Caldwell, NJ 07006

52037  

Rev. 04/25

Description

Fluocinonide topical solution USP, 0.05% is intended for topical administration. The active component is the corticosteroid fluocinonide, which is the 21-acetate ester of fluocinolone acetonide and has the chemical name pregna-1,4-diene-3,20-dione,21-(acetyloxy)-6,9-difluoro-11-hydroxy-16,17-[(1-methylethylidene)bis(oxy)]-,(6α,11β,16α)-. It has the following chemical structure:

Fluocinonide topical solution USP, 0.05% contains fluocinonide 0.5 mg/mL in a clear, colorless to pale yellow solution of alcohol (35%), citric acid anhydrous, diisopropyl adipate, and propylene glycol.

General

Systemic absorption of topical corticosteroids has produced reversible hypothalamic-pituitary-adrenal (HPA) axis suppression, manifestations of Cushing's syndrome, hyperglycemia, and glucosuria in some patients. Conditions which augment systemic absorption include the application of the more potent steroids, use over large surface areas, prolonged use, the addition of occlusive dressings, and dosage form.

Therefore, patients receiving a large dose of a potent topical steroid applied to a large surface area or under an occlusive dressing should be evaluated periodically for evidence of HPA axis suppression by using the urinary free cortisol and ACTH stimulation tests. If HPA axis suppression is noted, an attempt should be made to withdraw the drug, to reduce the frequency of application, or to substitute a less potent steroid.

Recovery of HPA axis function is generally prompt and complete upon discontinuation of the drug. Infrequently, signs and symptoms of steroid withdrawal may occur, requiring supplemental systemic corticosteroids.

Children may absorb proportionally larger amounts of topical corticosteroids and thus be more susceptible to systemic toxicity. (See PRECAUTIONS—Pediatric Use )

This preparation is not for ophthalmic use. Severe irritation is possible if fluocinonide solution contacts the eye. If that should occur, immediate flushing of the eye with a large volume of water is recommended.

If irritation develops, topical corticosteroids should be discontinued and appropriate therapy instituted.

As with any topical corticosteroid product, prolonged use may produce atrophy of the skin and subcutaneous tissues. When used on intertriginous or flexor areas, or on the face, this may occur even with short-term use. In the presence of dermatological infections, the use of an appropriate antifungal or antibacterial agent should be instituted. If a favorable response does not occur promptly, the corticosteroid should be discontinued until the infection has been adequately controlled.

Overdosage

Topically applied corticosteroids can be absorbed in sufficient amounts to produce systemic effects. (See PRECAUTIONS .)

Precautions

Pediatric Use

Pediatric patients may demonstrate greater susceptibility to topical corticosteroid-induced HPA axis suppression and Cushing's syndrome than mature patients because of a larger skin surface area to body weight ratio.

Hypothalamic-pituitary-adrenal (HPA) axis suppression, Cushing's syndrome, and intracranial hypertension have been reported in children receiving topical corticosteroids.

Manifestations of adrenal suppression in children include linear growth retardation, delayed weight gain, low plasma cortisol levels, and absence of response to ACTH stimulation.

Manifestations of intracranial hypertension include bulging fontanelles, headaches, and bilateral papilledema.

Administration of topical corticosteroids to children should be limited to the least amount compatible with an effective therapeutic regimen. Chronic corticosteroid therapy may interfere with the growth and development of children.

Nursing Mothers

It is not known whether topical administration of corticosteroids could result in sufficient systemic absorption to produce detectable quantities in breast milk. Systemically administered corticosteroids are secreted into breast milk in quantities not likely to have a deleterious effect on the infant. Nevertheless, caution should be exercised when topical corticosteroids are administered to a nursing woman.

Laboratory Tests

The following tests may be helpful in evaluating the HPA axis suppression:

Urinary free cortisol test

ACTH stimulation test

Pharmacokinetics

The extent of percutaneous absorption of topical corticosteroids is determined by many factors including the vehicle, the integrity of the epidermal barrier, and the use of occlusive dressings. A significantly greater amount of fluocinonide is absorbed from the solution than from the cream or gel formulations.

Topical corticosteroids can be absorbed from normal intact skin. Inflammation and/or other disease processes in the skin increase percutaneous absorption. Occlusive dressings substantially increase the percutaneous absorption of topical corticosteroids. Thus, occlusive dressings may be a valuable therapeutic adjunct for treatment of resistant dermatoses. (See DOSAGE AND ADMINISTRATION .)

Once absorbed through the skin, topical corticosteroids are handled through pharmacokinetic pathways similar to systemically administered corticosteroids. Corticosteroids are bound to plasma proteins in varying degrees. Corticosteroids are metabolized primarily in the liver and are then excreted by the kidneys. Some of the topical corticosteroids and their metabolites are also excreted into the bile.

Adverse Reactions:

The following local adverse reactions are reported infrequently with topical corticosteroids, but may occur more frequently with the use of occlusive dressings. These reactions are listed in an approximate decreasing order of occurrence:

Burning

Itching

Irritation

Dryness

Folliculitis

Hypertrichosis

Acneiform eruptions

Hypopigmentation

Perioral dermatitis

Allergic contact dermatitis

Maceration of the skin

Secondary infection

Skin atrophy

Striae

Miliaria

To report SUSPECTED ADVERSE REACTIONS, contact Quagen Pharmaceuticals LLC. at 1-888-344-9603 or FDA at 1-800-FDA-1088 or www.fda.gov/medwatch for voluntary reporting of adverse reactions.

Pregnancy Category C

Corticosteroids are generally teratogenic in laboratory animals when administered systemically at relatively low dosage levels. The more potent corticosteroids have been shown to be teratogenic after dermal application in laboratory animals. There are no adequate and well-controlled studies in pregnant women on teratogenic effects from topically applied corticosteroids.

Therefore, topical corticosteroids should be used during pregnancy only if the potential benefit justifies the potential risk to the fetus. Drugs of this class should not be used extensively on pregnant patients, in large amounts, or for prolonged periods of time.

Clinical Pharmacology

Topical corticosteroids share anti-inflammatory, anti-pruritic and vasoconstrictive actions. The mechanism of anti-inflammatory activity of the topical corticosteroids is unclear. Various laboratory methods, including vasoconstrictor assays, are used to compare and predict potencies and/or clinical efficacies of the topical corticosteroids. There is some evidence to suggest that a recognizable correlation exists between vasoconstrictor potency and therapeutic efficacy in man.

Principal Display Panel

NDC 70752- 154 -05

Fluocinonide Topical Solution, USP

0.05%

Rx only

60 mL

Information for the Patient

Patients using topical corticosteroids should receive the following information and instructions:

  • This medication is to be used as directed by the physician. It is for external use only. Avoid contact with the eyes. If there is contact with the eyes and severe irritation occurs, immediately flush with a large volume of water.
  • Patients should be advised not to use this medication for any disorder other than for which it was prescribed.
  • The treated skin area should not be bandaged or otherwise covered or wrapped as to be occlusive unless directed by the physician.
  • Patients should report any signs of local adverse reactions especially under occlusive dressing.
  • Parents of pediatric patients should be advised not to use tight-fitting diapers or plastic pants on a child being treated in the diaper area, as these garments may constitute occlusive dressings.
Carcinogenesis, Mutagenesis, and Impairment of Fertility

Long-term animal studies have not been performed to evaluate the carcinogenic potential or the effect on fertility of topical corticosteroids.

Studies to determine mutagenicity with prednisolone and hydrocortisone have revealed negative results.


Structured Label Content

General

Systemic absorption of topical corticosteroids has produced reversible hypothalamic-pituitary-adrenal (HPA) axis suppression, manifestations of Cushing's syndrome, hyperglycemia, and glucosuria in some patients. Conditions which augment systemic absorption include the application of the more potent steroids, use over large surface areas, prolonged use, the addition of occlusive dressings, and dosage form.

Therefore, patients receiving a large dose of a potent topical steroid applied to a large surface area or under an occlusive dressing should be evaluated periodically for evidence of HPA axis suppression by using the urinary free cortisol and ACTH stimulation tests. If HPA axis suppression is noted, an attempt should be made to withdraw the drug, to reduce the frequency of application, or to substitute a less potent steroid.

Recovery of HPA axis function is generally prompt and complete upon discontinuation of the drug. Infrequently, signs and symptoms of steroid withdrawal may occur, requiring supplemental systemic corticosteroids.

Children may absorb proportionally larger amounts of topical corticosteroids and thus be more susceptible to systemic toxicity. (See PRECAUTIONS—Pediatric Use )

This preparation is not for ophthalmic use. Severe irritation is possible if fluocinonide solution contacts the eye. If that should occur, immediate flushing of the eye with a large volume of water is recommended.

If irritation develops, topical corticosteroids should be discontinued and appropriate therapy instituted.

As with any topical corticosteroid product, prolonged use may produce atrophy of the skin and subcutaneous tissues. When used on intertriginous or flexor areas, or on the face, this may occur even with short-term use. In the presence of dermatological infections, the use of an appropriate antifungal or antibacterial agent should be instituted. If a favorable response does not occur promptly, the corticosteroid should be discontinued until the infection has been adequately controlled.

Overdosage (OVERDOSAGE)

Topically applied corticosteroids can be absorbed in sufficient amounts to produce systemic effects. (See PRECAUTIONS .)

Description (DESCRIPTION)

Fluocinonide topical solution USP, 0.05% is intended for topical administration. The active component is the corticosteroid fluocinonide, which is the 21-acetate ester of fluocinolone acetonide and has the chemical name pregna-1,4-diene-3,20-dione,21-(acetyloxy)-6,9-difluoro-11-hydroxy-16,17-[(1-methylethylidene)bis(oxy)]-,(6α,11β,16α)-. It has the following chemical structure:

Fluocinonide topical solution USP, 0.05% contains fluocinonide 0.5 mg/mL in a clear, colorless to pale yellow solution of alcohol (35%), citric acid anhydrous, diisopropyl adipate, and propylene glycol.

Precautions (PRECAUTIONS)

How Supplied (HOW SUPPLIED)

Fluocinonide Topical Solution USP, 0.05% is a clear, colorless to pale yellow solution supplied in plastic squeeze bottle:

60 mL - NDC 70752-154-05

Tamper Evident - Do not use if shrink seal is broken or missing

Store at 20°-25°C (68°-77°F); excursions permitted to 15°-30°C (59°-86°F). See USP Controlled Room Temperature. Avoid excess heat, above 40°C (104°F).

Manufactured by:

Quagen Pharmaceuticals LLC

West Caldwell, NJ 07006

52037  

Rev. 04/25

Pediatric Use

Pediatric patients may demonstrate greater susceptibility to topical corticosteroid-induced HPA axis suppression and Cushing's syndrome than mature patients because of a larger skin surface area to body weight ratio.

Hypothalamic-pituitary-adrenal (HPA) axis suppression, Cushing's syndrome, and intracranial hypertension have been reported in children receiving topical corticosteroids.

Manifestations of adrenal suppression in children include linear growth retardation, delayed weight gain, low plasma cortisol levels, and absence of response to ACTH stimulation.

Manifestations of intracranial hypertension include bulging fontanelles, headaches, and bilateral papilledema.

Administration of topical corticosteroids to children should be limited to the least amount compatible with an effective therapeutic regimen. Chronic corticosteroid therapy may interfere with the growth and development of children.

Nursing Mothers

It is not known whether topical administration of corticosteroids could result in sufficient systemic absorption to produce detectable quantities in breast milk. Systemically administered corticosteroids are secreted into breast milk in quantities not likely to have a deleterious effect on the infant. Nevertheless, caution should be exercised when topical corticosteroids are administered to a nursing woman.

Laboratory Tests

The following tests may be helpful in evaluating the HPA axis suppression:

Urinary free cortisol test

ACTH stimulation test

Pharmacokinetics

The extent of percutaneous absorption of topical corticosteroids is determined by many factors including the vehicle, the integrity of the epidermal barrier, and the use of occlusive dressings. A significantly greater amount of fluocinonide is absorbed from the solution than from the cream or gel formulations.

Topical corticosteroids can be absorbed from normal intact skin. Inflammation and/or other disease processes in the skin increase percutaneous absorption. Occlusive dressings substantially increase the percutaneous absorption of topical corticosteroids. Thus, occlusive dressings may be a valuable therapeutic adjunct for treatment of resistant dermatoses. (See DOSAGE AND ADMINISTRATION .)

Once absorbed through the skin, topical corticosteroids are handled through pharmacokinetic pathways similar to systemically administered corticosteroids. Corticosteroids are bound to plasma proteins in varying degrees. Corticosteroids are metabolized primarily in the liver and are then excreted by the kidneys. Some of the topical corticosteroids and their metabolites are also excreted into the bile.

Contraindications (CONTRAINDICATIONS)

Topical corticosteroids are contraindicated in those patients with a history of hypersensitivity to any of the components of the preparation.

Adverse Reactions: (ADVERSE REACTIONS:)

The following local adverse reactions are reported infrequently with topical corticosteroids, but may occur more frequently with the use of occlusive dressings. These reactions are listed in an approximate decreasing order of occurrence:

Burning

Itching

Irritation

Dryness

Folliculitis

Hypertrichosis

Acneiform eruptions

Hypopigmentation

Perioral dermatitis

Allergic contact dermatitis

Maceration of the skin

Secondary infection

Skin atrophy

Striae

Miliaria

To report SUSPECTED ADVERSE REACTIONS, contact Quagen Pharmaceuticals LLC. at 1-888-344-9603 or FDA at 1-800-FDA-1088 or www.fda.gov/medwatch for voluntary reporting of adverse reactions.

Pregnancy Category C

Corticosteroids are generally teratogenic in laboratory animals when administered systemically at relatively low dosage levels. The more potent corticosteroids have been shown to be teratogenic after dermal application in laboratory animals. There are no adequate and well-controlled studies in pregnant women on teratogenic effects from topically applied corticosteroids.

Therefore, topical corticosteroids should be used during pregnancy only if the potential benefit justifies the potential risk to the fetus. Drugs of this class should not be used extensively on pregnant patients, in large amounts, or for prolonged periods of time.

Clinical Pharmacology (CLINICAL PHARMACOLOGY)

Topical corticosteroids share anti-inflammatory, anti-pruritic and vasoconstrictive actions. The mechanism of anti-inflammatory activity of the topical corticosteroids is unclear. Various laboratory methods, including vasoconstrictor assays, are used to compare and predict potencies and/or clinical efficacies of the topical corticosteroids. There is some evidence to suggest that a recognizable correlation exists between vasoconstrictor potency and therapeutic efficacy in man.

Indications and Usage (INDICATIONS AND USAGE)

Fluocinonide topical solution USP, 0.05% is indicated for the relief of the inflammatory and pruritic manifestations of corticosteroid-responsive dermatoses.

Principal Display Panel (PRINCIPAL DISPLAY PANEL)

NDC 70752- 154 -05

Fluocinonide Topical Solution, USP

0.05%

Rx only

60 mL

Dosage and Administration (DOSAGE AND ADMINISTRATION)

Fluocinonide topical solution USP, 0.05% is generally applied to the affected area as a thin film from two to four times daily depending on the severity of the condition.

Occlusive dressings may be used for the management of psoriasis or recalcitrant conditions.

If an infection develops, the use of occlusive dressings should be discontinued and appropriate antimicrobial therapy instituted.

Information for the Patient

Patients using topical corticosteroids should receive the following information and instructions:

  • This medication is to be used as directed by the physician. It is for external use only. Avoid contact with the eyes. If there is contact with the eyes and severe irritation occurs, immediately flush with a large volume of water.
  • Patients should be advised not to use this medication for any disorder other than for which it was prescribed.
  • The treated skin area should not be bandaged or otherwise covered or wrapped as to be occlusive unless directed by the physician.
  • Patients should report any signs of local adverse reactions especially under occlusive dressing.
  • Parents of pediatric patients should be advised not to use tight-fitting diapers or plastic pants on a child being treated in the diaper area, as these garments may constitute occlusive dressings.
Carcinogenesis, Mutagenesis, and Impairment of Fertility

Long-term animal studies have not been performed to evaluate the carcinogenic potential or the effect on fertility of topical corticosteroids.

Studies to determine mutagenicity with prednisolone and hydrocortisone have revealed negative results.


Advanced Ingredient Data


Raw Label Data

All Sections (JSON)