Ampicillin And Sulbactam For Injection, Usp

Ampicillin And Sulbactam For Injection, Usp
SPL v14
SPL
SPL Set ID 2709e9fc-2341-4382-af72-c2e3201bd77a
Route
INTRAVENOUS
Published
Effective Date 2025-08-12
Document Type 34391-3 Human Prescription Drug Label

Drug Facts

Composition & Product

Active Ingredients
Ampicillin (100 mg) Sulbactam (50 mg)

Identifiers & Packaging

Pill Appearance
Color: white
Marketing Status
ANDA Active Since 2012-02-10

Description

To reduce the development of drug-resistant bacteria and maintain the effectiveness of ampicillin and sulbactam for injection, USP and other antibacterial drugs, ampicillin and sulbactam for injection, USP should be used only to treat infections that are proven or strongly suspected to be caused by bacteria.

Indications and Usage

Ampicillin and sulbactam for injection, USP is indicated for the treatment of infections due to susceptible strains of the designated microorganisms in the conditions listed below. Skin and Skin Structure Infections caused by beta-lactamase producing strains of Staphylococcus aureus , Escherichia coli ,* Klebsiella spp.* (including K. pneumoniae *), Proteus mirabilis ,* Bacteroides fragilis ,* Enterobacter spp.,* and Acinetobacter calcoaceticus .* NOTE: For information on use in pediatric patients (see  PRECAUTIONS–Pediatric Use and  CLINICAL STUDIES sections). Intra-Abdominal Infections caused by beta-lactamase producing strains of Escherichia coli , Klebsiella spp. (including K. pneumoniae *), Bacteroides spp. (including B. fragilis ), and Enterobacter spp.* Gynecological Infections caused by beta-lactamase producing strains of Escherichia coli ,* and Bacteroides spp.* (including B. fragilis *). *   Efficacy for this organism in this organ system was studied in fewer than 10 infections. While ampicillin and sulbactam for injection, USP is indicated only for the conditions listed above, infections caused by ampicillin-susceptible organisms are also amenable to treatment with ampicillin and sulbactam for injection, USP due to its ampicillin content. Therefore, mixed infections caused by ampicillin-susceptible organisms and beta-lactamase producing organisms susceptible to ampicillin and sulbactam for injection, USP should not require the addition of another antibacterial. Appropriate culture and susceptibility tests should be performed before treatment in order to isolate and identify the organisms causing infection and to determine their susceptibility to ampicillin and sulbactam for injection, USP. Therapy may be instituted prior to obtaining the results from bacteriological and susceptibility studies when there is reason to believe the infection may involve any of the beta-lactamase producing organisms listed above in the indicated organ systems. Once the results are known, therapy should be adjusted if appropriate. To reduce the development of drug-resistant bacteria and maintain effectiveness of ampicillin and sulbactam for injection, USP and other antibacterial drugs, ampicillin and sulbactam for injection, USP should be used only to treat infections that are proven or strongly suspected to be caused by susceptible bacteria. When culture and susceptibility information are available, they should be considered in selecting or modifying antibacterial therapy. In the absence of such data, local epidemiology and susceptibility patterns may contribute to the empiric selection of therapy.

Dosage and Administration

The pharmacy bulk package is for preparation of solutions for IV infusion only. Ampicillin and sulbactam for injection should be administered by slow intravenous injection over at least 10 to 15 minutes or can also be delivered in greater dilutions with 50 to 100 mL of a compatible diluent as an intravenous infusion over 15 to 30 minutes. The recommended adult dosage of ampicillin and sulbactam for injection is 1.5 g (1 g ampicillin as the sodium salt plus 0.5 g sulbactam as the sodium salt) to 3 g (2 g ampicillin as the sodium salt plus 1 g sulbactam as the sodium salt) every six hours. This 1.5 to 3 g range represents the total of ampicillin content plus the sulbactam content of ampicillin and sulbactam for injection, and corresponds to a range of 1 g ampicillin/0.5 g sulbactam to 2 g ampicillin/1 g sulbactam. The total dose of sulbactam should not exceed 4 grams per day. Pediatric Patients 1 Year of Age or Older   The recommended daily dose of ampicillin and sulbactam for injection in pediatric patients is 300 mg per kg of body weight administered via intravenous infusion in equally divided doses every 6 hours. This 300 mg/kg/day dosage represents the total ampicillin content plus the sulbactam content of ampicillin and sulbactam for injection, and corresponds to 200 mg ampicillin/100 mg sulbactam per kg per day. The safety and efficacy of ampicillin and sulbactam for injection administered via intramuscular injection in pediatric patients have not been established. Pediatric patients weighing 40 kg or more should be dosed according to adult recommendations, and the total dose of sulbactam should not exceed 4 grams per day. The course of intravenous therapy should not routinely exceed 14 days. In clinical trials, most children received a course of oral antimicrobials following initial treatment with intravenous ampicillin and sulbactam for injection. (see CLINICAL STUDIES section). Impaired Renal Function In patients with impairment of renal function the elimination kinetics of ampicillin and sulbactam are similarly affected, hence the ratio of one to the other will remain constant whatever the renal function. The dose of ampicillin and sulbactam in such patients should be administered less frequently in accordance with the usual practice for ampicillin and according to the following recommendations:  TABLE 3 Ampicillin and Sulbactam for Injection Dosage Guide for Patients with Renal Impairment Creatinine Clearance (mL/min/1.73 m 2 ) Ampicillin/Sulbactam Half-Life (Hours) Recommended Ampicillin and Sulbactam for Injection Dosage ≥30 1 1.5 to 3 g q 6h to q 8h 15 to 29 5 1.5 to 3 g q 12h 5 to 14 9 1.5 to 3 g q 24h When only serum creatinine is available, the following formula (based on sex, weight, and age of the patient) may be used to convert this value into creatinine clearance. The serum creatinine should represent a steady state of renal function. Males                      weight (kg) × (140 – age)                                      72 × serum creatinine  Females                  0.85 × above value

Contraindications

The use of ampicillin and sulbactam for injection is contraindicated in individuals with a history of serious hypersensitivity reactions (e.g., anaphylaxis or Stevens-Johnson syndrome) to ampicillin, sulbactam or to other beta-lactam antibacterial drugs (e.g., penicillins and cephalosporins). Ampicillin and sulbactam for injection is contraindicated in patients with a previous history of cholestatic jaundice/hepatic dysfunction associated with ampicillin and sulbactam for injection.

Adverse Reactions

Adult Patients Ampicillin and sulbactam for injection is generally well tolerated. The following adverse reactions have been reported in clinical trials. Local Adverse Reactions Pain at IM injection site – 16% Pain at IV injection site – 3% Thrombophlebitis – 3% Phlebitis – 1.2% Systemic Adverse Reactions The most frequently reported adverse reactions were diarrhea in 3% of the patients and rash in less than 2% of the patients. Additional systemic reactions reported in less than 1% of the patients were: itching, nausea, vomiting, candidiasis, fatigue, malaise, headache, chest pain, flatulence, abdominal distension, glossitis, urine retention, dysuria, edema, facial swelling, erythema, chills, tightness in throat, substernal pain, epistaxis and mucosal bleeding. Pediatric Patients Available safety data for pediatric patients treated with ampicillin and sulbactam demonstrate a similar adverse events profile to those observed in adult patients. Additionally, atypical lymphocytosis has been observed in one pediatric patient receiving ampicillin and sulbactam for injection. Adverse Laboratory Changes Adverse laboratory changes without regard to drug relationship that were reported during clinical trials were: Hepatic: Increased AST (SGOT), ALT (SGPT), alkaline phosphatase, and LDH. Hematologic: Decreased hemoglobin, hematocrit, RBC, WBC, neutrophils, lymphocytes, platelets and increased lymphocytes, monocytes, basophils, eosinophils, and platelets. Blood Chemistry: Decreased serum albumin and total proteins. Renal: Increased BUN and creatinine. Urinalysis: Presence of RBC’s and hyaline casts in urine. Postmarketing Experience In addition to adverse reactions reported from clinical trials, the following have been identified during post-marketing use of ampicillin sodium/sulbactam sodium or other products containing ampicillin. Because they are reported voluntarily from a population of unknown size, estimates of frequency cannot be made. These events have been chosen for inclusion due to a combination of their seriousness, frequency, or potential causal connection to ampicillin sodium/sulbactam sodium.  Blood and Lymphatic System Disorders: Hemolytic anemia, thrombocytopenic purpura, and agranulocytosis have been reported. These reactions are usually reversible on discontinuation of therapy and are believed to be hypersensitivity phenomena. Some individuals have developed positive direct Coombs Tests during treatment with ampicillin and sulbactam for injection, as with other beta-lactam antibacterials. Gastrointestinal Disorders: Abdominal pain, cholestatic hepatitis, cholestasis, hyperbilirubinemia, jaundice, abnormal hepatic function, melena, gastritis, stomatitis, dyspepsia, black “hairy” tongue, and Clostridium difficile associated diarrhea (see  CONTRAINDICATIONS and  WARNINGS sections). General Disorders and Administration Site Conditions : Injection site reaction Immune System Disorders: Serious and fatal hypersensitivity (anaphylactic) reactions (see  WARNINGS section), Acute myocardial ischemia with or without myocardial infarction may occur as part of an allergic reaction. Nervous System Disorders: Convulsion and dizziness Renal and Urinary Disorders: Tubulointerstitial nephritis Respiratory, Thoracic and Mediastinal Disorders: Dyspnea Skin and Subcutaneous Tissue Disorders: Toxic epidermal necrolysis, Stevens-Johnson syndrome, angioedema, Acute generalized exanthematous pustulosis (AGEP), erythema multiforme, exfoliative dermatitis, urticaria (see  CONTRAINDICATIONS and  WARNINGS sections), and linear IgA bullous dermatosis.

Drug Interactions

Probenecid decreases the renal tubular secretion of ampicillin and sulbactam. Concurrent use of probenecid with ampicillin and sulbactam may result in increased and prolonged blood levels of ampicillin and sulbactam. The concurrent administration of allopurinol and ampicillin increases substantially the incidence of rashes in patients receiving both drugs as compared to patients receiving ampicillin alone. It is not known whether this potentiation of ampicillin rashes is due to allopurinol or the hyperuricemia present in these patients. There are no data with ampicillin and sulbactam and allopurinol administered concurrently. Ampicillin and sulbactam and aminoglycosides should not be reconstituted together due to the in vitro inactivation of aminoglycosides by the ampicillin component of ampicillin and sulbactam.

How Supplied

Ampicillin and Sulbactam for Injection, USP (Pharmacy Bulk Package) is supplied as follows:     NDC Ampicillin and Sulbactam for Injection, USP Package Factor    55150-118-99 15 g of ampicillin and sulbactam for injection (equivalent to 10 g ampicillin as the sodium salt plus 5 g sulbactam as the sodium salt) in a Pharmacy Bulk Package bottle    1 bottle per carton Ampicillin and Sulbactam for Injection, USP is a white to off-white powder. Store dry powder at 20° to 25°C (68° to 77°F); excursions permitted to 15° to 30°C (59° to 86°F) [see USP Controlled Room Temperature]. Sterile, Nonpyrogenic, Preservative-free. The vial stopper is not made with natural rubber latex. To report SUSPECTED ADVERSE EVENTS, contact Eugia US LLC at 1-866-850-2876 or FDA at 1-800-FDA-1088 or http://www.fda.gov/ for voluntary reporting of adverse reactions. All brands listed are the trademarks of their respective owners and are not trademarks of Eugia Pharma Specialities Limited. For medical information about Ampicillin and sulbactam for injection, USP, please visit eugiaus.com or call 1-866-850-2876. Distributed by: Eugia US LLC 279 Princeton-Hightstown Rd. E. Windsor, NJ 08520 Manufactured by: Eugia Pharma Specialities Limited Hyderabad - 500032 India Revised: June 2024


Medication Information

Indications and Usage

Ampicillin and sulbactam for injection, USP is indicated for the treatment of infections due to susceptible strains of the designated microorganisms in the conditions listed below.



Skin and Skin Structure Infections
caused by beta-lactamase producing strains of Staphylococcus aureus, Escherichia coli,*Klebsiella spp.* (including K. pneumoniae*), Proteus mirabilis,*Bacteroides fragilis,*Enterobacter spp.,* and Acinetobacter calcoaceticus.*



NOTE: For information on use in pediatric patients (see  PRECAUTIONS–Pediatric Use and  CLINICAL STUDIES sections).



Intra-Abdominal Infections
caused by beta-lactamase producing strains of Escherichia coli, Klebsiella spp. (including K. pneumoniae*), Bacteroides spp. (including B. fragilis), and Enterobacter spp.*



Gynecological Infections
caused by beta-lactamase producing strains of Escherichia coli,* and Bacteroides spp.* (including B. fragilis*).



*  Efficacy for this organism in this organ system was studied in fewer than 10 infections.



While ampicillin and sulbactam for injection, USP is indicated only for the conditions listed above, infections caused by ampicillin-susceptible organisms are also amenable to treatment with ampicillin and sulbactam for injection, USP due to its ampicillin content. Therefore, mixed infections caused by ampicillin-susceptible organisms and beta-lactamase producing organisms susceptible to ampicillin and sulbactam for injection, USP should not require the addition of another antibacterial.



Appropriate culture and susceptibility tests should be performed before treatment in order to isolate and identify the organisms causing infection and to determine their susceptibility to ampicillin and sulbactam for injection, USP.



Therapy may be instituted prior to obtaining the results from bacteriological and susceptibility studies when there is reason to believe the infection may involve any of the beta-lactamase producing organisms listed above in the indicated organ systems. Once the results are known, therapy should be adjusted if appropriate.



To reduce the development of drug-resistant bacteria and maintain effectiveness of ampicillin and sulbactam for injection, USP and other antibacterial drugs, ampicillin and sulbactam for injection, USP should be used only to treat infections that are proven or strongly suspected to be caused by susceptible bacteria. When culture and susceptibility information are available, they should be considered in selecting or modifying antibacterial therapy. In the absence of such data, local epidemiology and susceptibility patterns may contribute to the empiric selection of therapy.

Dosage and Administration


The pharmacy bulk package is for preparation of solutions for IV infusion only. Ampicillin and sulbactam for injection should be administered by slow intravenous injection over at least 10 to 15 minutes or can also be delivered in greater dilutions with 50 to 100 mL of a compatible diluent as an intravenous infusion over 15 to 30 minutes.



The recommended adult dosage of ampicillin and sulbactam for injection is 1.5 g (1 g ampicillin as the sodium salt plus 0.5 g sulbactam as the sodium salt) to 3 g (2 g ampicillin as the sodium salt plus 1 g sulbactam as the sodium salt) every six hours. This 1.5 to 3 g range represents the total of ampicillin content plus the sulbactam content of ampicillin and sulbactam for injection, and corresponds to a range of 1 g ampicillin/0.5 g sulbactam to 2 g ampicillin/1 g sulbactam. The total dose of sulbactam should not exceed 4 grams per day.



Pediatric Patients 1 Year of Age or Older
 

The recommended daily dose of ampicillin and sulbactam for injection in pediatric patients is 300 mg per kg of body weight administered via intravenous infusion in equally divided doses every 6 hours. This 300 mg/kg/day dosage represents the total ampicillin content plus the sulbactam content of ampicillin and sulbactam for injection, and corresponds to 200 mg ampicillin/100 mg sulbactam per kg per day. The safety and efficacy of ampicillin and sulbactam for injection administered via intramuscular injection in pediatric patients have not been established. Pediatric patients weighing 40 kg or more should be dosed according to adult recommendations, and the total dose of sulbactam should not exceed 4 grams per day. The course of intravenous therapy should not routinely exceed 14 days. In clinical trials, most children received a course of oral antimicrobials following initial treatment with intravenous ampicillin and sulbactam for injection. (see CLINICAL STUDIES section).



Impaired Renal Function



In patients with impairment of renal function the elimination kinetics of ampicillin and sulbactam are similarly affected, hence the ratio of one to the other will remain constant whatever the renal function. The dose of ampicillin and sulbactam in such patients should be administered less frequently in accordance with the usual practice for ampicillin and according to the following recommendations: 





TABLE 3 Ampicillin and Sulbactam for Injection Dosage Guide for Patients with Renal Impairment
Creatinine Clearance

(mL/min/1.73 m2)
Ampicillin/Sulbactam

Half-Life (Hours)
Recommended

Ampicillin and Sulbactam for Injection Dosage
≥30

1

1.5 to 3 g q 6h to q 8h

15 to 29

5

1.5 to 3 g q 12h

5 to 14

9

1.5 to 3 g q 24h



When only serum creatinine is available, the following formula (based on sex, weight, and age of the patient) may be used to convert this value into creatinine clearance. The serum creatinine should represent a steady state of renal function.



Males                     weight (kg) × (140 – age)    

                                 72 × serum creatinine 



Females                  0.85 × above value

Contraindications

The use of ampicillin and sulbactam for injection is contraindicated in individuals with a history of serious hypersensitivity reactions (e.g., anaphylaxis or Stevens-Johnson syndrome) to ampicillin, sulbactam or to other beta-lactam antibacterial drugs (e.g., penicillins and cephalosporins).



Ampicillin and sulbactam for injection is contraindicated in patients with a previous history of cholestatic jaundice/hepatic dysfunction associated with ampicillin and sulbactam for injection.

Adverse Reactions

Adult Patients

Ampicillin and sulbactam for injection is generally well tolerated. The following adverse reactions have been reported in clinical trials.



Local Adverse Reactions



Pain at IM injection site – 16%

Pain at IV injection site – 3%

Thrombophlebitis – 3%

Phlebitis – 1.2%



Systemic Adverse Reactions



The most frequently reported adverse reactions were diarrhea in 3% of the patients and rash in less than 2% of the patients.



Additional systemic reactions reported in less than 1% of the patients were: itching, nausea, vomiting, candidiasis, fatigue, malaise, headache, chest pain, flatulence, abdominal distension, glossitis, urine retention, dysuria, edema, facial swelling, erythema, chills, tightness in throat, substernal pain, epistaxis and mucosal bleeding.



Pediatric Patients

Available safety data for pediatric patients treated with ampicillin and sulbactam demonstrate a similar adverse events profile to those observed in adult patients. Additionally, atypical lymphocytosis has been observed in one pediatric patient receiving ampicillin and sulbactam for injection.



Adverse Laboratory Changes

Adverse laboratory changes without regard to drug relationship that were reported during clinical trials were:



Hepatic: Increased AST (SGOT), ALT (SGPT), alkaline phosphatase, and LDH.



Hematologic: Decreased hemoglobin, hematocrit, RBC, WBC, neutrophils, lymphocytes, platelets and increased lymphocytes, monocytes, basophils, eosinophils, and platelets.



Blood Chemistry: Decreased serum albumin and total proteins.



Renal: Increased BUN and creatinine.



Urinalysis: Presence of RBC’s and hyaline casts in urine.



Postmarketing Experience



In addition to adverse reactions reported from clinical trials, the following have been identified during post-marketing use of ampicillin sodium/sulbactam sodium or other products containing ampicillin. Because they are reported voluntarily from a population of unknown size, estimates of frequency cannot be made. These events have been chosen for inclusion due to a combination of their seriousness, frequency, or potential causal connection to ampicillin sodium/sulbactam sodium. 



Blood and Lymphatic System Disorders: Hemolytic anemia, thrombocytopenic purpura, and agranulocytosis have been reported. These reactions are usually reversible on discontinuation of therapy and are believed to be hypersensitivity phenomena. Some individuals have developed positive direct Coombs Tests during treatment with ampicillin and sulbactam for injection, as with other beta-lactam antibacterials.



Gastrointestinal Disorders: Abdominal pain, cholestatic hepatitis, cholestasis, hyperbilirubinemia, jaundice, abnormal hepatic function, melena, gastritis, stomatitis, dyspepsia, black “hairy” tongue, and Clostridium difficile associated diarrhea (see  CONTRAINDICATIONS and  WARNINGS sections).



General Disorders and Administration Site Conditions : Injection site reaction



Immune System Disorders: Serious and fatal hypersensitivity (anaphylactic) reactions (see  WARNINGS section), Acute myocardial ischemia with or without myocardial infarction may occur as part of an allergic reaction.



Nervous System Disorders: Convulsion and dizziness



Renal and Urinary Disorders: Tubulointerstitial nephritis



Respiratory, Thoracic and Mediastinal Disorders: Dyspnea



Skin and Subcutaneous Tissue Disorders: Toxic epidermal necrolysis, Stevens-Johnson syndrome, angioedema, Acute generalized exanthematous pustulosis (AGEP), erythema multiforme, exfoliative dermatitis, urticaria (see  CONTRAINDICATIONS and  WARNINGS sections), and linear IgA bullous dermatosis.

Drug Interactions


Probenecid decreases the renal tubular secretion of ampicillin and sulbactam. Concurrent use of probenecid with ampicillin and sulbactam may result in increased and prolonged blood levels of ampicillin and sulbactam. The concurrent administration of allopurinol and ampicillin increases substantially the incidence of rashes in patients receiving both drugs as compared to patients receiving ampicillin alone. It is not known whether this potentiation of ampicillin rashes is due to allopurinol or the hyperuricemia present in these patients. There are no data with ampicillin and sulbactam and allopurinol administered concurrently. Ampicillin and sulbactam and aminoglycosides should not be reconstituted together due to the in vitro inactivation of aminoglycosides by the ampicillin component of ampicillin and sulbactam.

How Supplied


Ampicillin and Sulbactam for Injection, USP (Pharmacy Bulk Package) is supplied as follows:    



NDC Ampicillin and Sulbactam for Injection, USP Package Factor
   55150-118-99

15 g of ampicillin and sulbactam for injection (equivalent to 10 g ampicillin as the sodium salt plus 5 g sulbactam as the sodium salt) in a Pharmacy Bulk Package bottle

   1 bottle per carton



Ampicillin and Sulbactam for Injection, USP is a white to off-white powder.



Store dry powder at 20° to 25°C (68° to 77°F); excursions permitted to 15° to 30°C (59° to 86°F) [see USP Controlled Room Temperature].



Sterile, Nonpyrogenic, Preservative-free.




The vial stopper is not made with natural rubber latex.



To report SUSPECTED ADVERSE EVENTS, contact Eugia US LLC at 1-866-850-2876 or FDA at 1-800-FDA-1088 or http://www.fda.gov/ for voluntary reporting of adverse reactions.



All brands listed are the trademarks of their respective owners and are not trademarks of Eugia Pharma Specialities Limited.



For medical information about Ampicillin and sulbactam for injection, USP, please visit eugiaus.com or call 1-866-850-2876.



Distributed by:

Eugia US LLC

279 Princeton-Hightstown Rd.

E. Windsor, NJ 08520



Manufactured by:

Eugia Pharma Specialities Limited

Hyderabad - 500032

India



Revised: June 2024

Description


Ampicillin and sulbactam for injection, USP is an injectable antibacterial combination consisting of the semisynthetic antibacterial ampicillin sodium and the beta-lactamase inhibitor sulbactam sodium for intravenous and intramuscular administration. HOWEVER, THE INTENT OF THE PHARMACY BULK PACKAGE IS FOR PREPARATION OF SOLUTIONS FOR IV INFUSION ONLY.



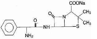
Ampicillin sodium is derived from the penicillin nucleus, 6-aminopenicillanic acid. Chemically, it is monosodium (2S, 5R, 6R)-6-[(R)-2-amino-2-phenylacetamido]-3,3-dimethyl-7-oxo-4-thia-1-azabicyclo[3.2.0]heptane-2-carboxylate and has a molecular weight of 371.39. Its chemical formula is C16H18N3NaO4S. The structural formula is:





Sulbactam sodium is a derivative of the basic penicillin nucleus. Chemically, sulbactam sodium is sodium penicillinate sulfone; sodium (2S, 5R)-3,3-dimethyl-7-oxo-4-thia-1-azabicyclo [3.2.0] heptane-2-carboxylate 4,4-dioxide. Its chemical formula is C8H10NNaO5S with a molecular weight of 255.22. The structural formula is:







Ampicillin and sulbactam for injection parenteral combination, is available as a white to off-white, crystalline powder for reconstitution. Ampicillin and sulbactam for injection crystalline powder is freely soluble in aqueous diluents to yield pale yellow to yellow solutions containing ampicillin sodium and sulbactam sodium equivalent to 250 mg ampicillin per mL and 125 mg sulbactam per mL. The pH of the solutions is between 8 and 10.



Dilute solutions (up to 30 mg ampicillin and 15 mg sulbactam per mL) are essentially colorless to pale yellow. The pH of dilute solutions remains the same.



Each sterile Pharmacy Bulk Package contains 15 g ampicillin and sulbactam for injection (10 g ampicillin as the sodium salt plus 5 g sulbactam as the sodium salt) and approximately 1150 mg (50 mEq) sodium. Ampicillin and sulbactam for injection Pharmacy Bulk Package is a bottle containing a sterile preparation of ampicillin sodium and sulbactam sodium for parenteral use that contains many single doses. The Pharmacy Bulk Package is for use in a pharmacy admixture setting; it provides many single doses of ampicillin and sulbactam for addition to suitable parenteral fluids in the preparation of admixtures for intravenous infusion (see DIRECTIONS FOR PROPER USE OF PHARMACY BULK PACKAGE ). FURTHER DILUTION IS REQUIRED BEFORE USE.

Section 42229-5


To reduce the development of drug-resistant bacteria and maintain the effectiveness of ampicillin and sulbactam for injection, USP and other antibacterial drugs, ampicillin and sulbactam for injection, USP should be used only to treat infections that are proven or strongly suspected to be caused by bacteria.

General


Immediately after completion of a 15-minute intravenous infusion of ampicillin and sulbactam for injection, peak serum concentrations of ampicillin and sulbactam are attained. Ampicillin serum levels are similar to those produced by the administration of equivalent amounts of ampicillin alone. Peak ampicillin serum levels ranging from 109 to 150 mcg/mL are attained after administration of 2,000 mg of ampicillin plus 1,000 mg sulbactam and 40 to 71 mcg/mL after administration of 1,000 mg ampicillin plus 500 mg sulbactam. The corresponding mean peak serum levels for sulbactam range from 48 to 88 mcg/mL and 21 to 40 mcg/mL, respectively. After an intramuscular injection of 1,000 mg ampicillin plus 500 mg sulbactam, peak ampicillin serum levels ranging from 8 to 37 mcg/mL and peak sulbactam serum levels ranging from 6 to 24 mcg/mL are attained.



The mean serum half-life of both drugs is approximately 1 hour in healthy volunteers.



Approximately 75 to 85% of both ampicillin and sulbactam are excreted unchanged in the urine during the first 8 hours after administration of ampicillin and sulbactam for injection to individuals with normal renal function. Somewhat higher and more prolonged serum levels of ampicillin and sulbactam can be achieved with the concurrent administration of probenecid.



In patients with impaired renal function the elimination kinetics of ampicillin and sulbactam are similarly affected, hence the ratio of one to the other will remain constant whatever the renal function. The dose of ampicillin and sulbactam for injection in such patients should be administered less frequently in accordance with the usual practice for ampicillin (see DOSAGE and ADMINISTRATION  section).



Ampicillin has been found to be approximately 28% reversibly bound to human serum protein and sulbactam approximately 38% reversibly bound.



The following average levels of ampicillin and sulbactam were measured in the tissues and fluids listed: 



TABLE 1 Concentration of Ampicillin and Sulbactam for Injection in Various Body Tissues and Fluids
Fluid or Tissue Dose

(grams)

Ampicillin/Sulbactam
Concentration

(mcg/mL or mcg/g)

Ampicillin/Sulbactam
   Peritoneal Fluid

0.5/0.5 IV

7/14

   Blister Fluid (Cantharides)

0.5/0.5 IV

8/20

   Tissue Fluid

1/0.5 IV

8/4

   Intestinal Mucosa

0.5/0.5 IV

11/18

   Appendix

2/1 IV

3/40



Penetration of both ampicillin and sulbactam into cerebrospinal fluid in the presence of inflamed meninges has been demonstrated after IV administration of ampicillin and sulbactam.



The pharmacokinetics of ampicillin and sulbactam in pediatric patients receiving ampicillin and sulbactam are similar to those observed in adults. Immediately after a 15-minute infusion of 50 to 75 mg ampicillin and sulbactam/kg body weight, peak serum and plasma concentrations of 82 to 446 mcg ampicillin/mL and 44 to 203 mcg sulbactam/mL were obtained. Mean half-life values were approximately 1 hour.

Warnings

Hypersensitivity



Serious and occasionally fatal hypersensitivity (anaphylactic) reactions have been reported in patients on penicillin therapy. These reactions are more apt to occur in individuals with a history of penicillin hypersensitivity and/or hypersensitivity reactions to multiple allergens. There have been reports of individuals with a history of penicillin hypersensitivity who have experienced severe reactions when treated with cephalosporins. Before therapy with a penicillin, careful inquiry should be made concerning previous hypersensitivity reactions to penicillins, cephalosporins, and other allergens. If an allergic reaction occurs, ampicillin and sulbactam for injection should be discontinued and the appropriate therapy instituted.



Hepatotoxicity



Hepatic dysfunction, including hepatitis and cholestatic jaundice has been associated with the use of ampicillin and sulbactam for injection. Hepatic toxicity is usually reversible; however, deaths have been reported. Hepatic function should be monitored at regular intervals in patients with hepatic impairment.



Severe Cutaneous Adverse Reactions



Ampicillin and sulbactam for injection may cause severe skin reactions, such as toxic epidermal necrolysis (TEN), Stevens-Johnson syndrome (SJS), dermatitis exfoliative, erythema multiforme, and Acute generalized exanthematous pustulosis (AGEP). If patients develop a skin rash they should be monitored closely and ampicillin and sulbactam for injection discontinued if lesions progress (see  CONTRAINDICATIONS and  ADVERSE REACTIONS sections).



Clostridium difficile-
Associated Diarrhea



Clostridium difficile
associated diarrhea (CDAD) has been reported with use of nearly all antibacterial agents, including ampicillin and sulbactam for injection, and may range in severity from mild diarrhea to fatal colitis. Treatment with antibacterial agents alters the normal flora of the colon leading to overgrowth of C. difficile.



C. difficile
produces toxins A and B which contribute to the development of CDAD. Hypertoxin producing strains of C. difficile cause increased morbidity and mortality, as these infections can be refractory to antimicrobial therapy and may require colectomy. CDAD must be considered in all patients who present with diarrhea following antibacterial drug use. Careful medical history is necessary since CDAD has been reported to occur over two months after the administration of antibacterial agents.



If CDAD is suspected or confirmed, ongoing antibacterial drug use not directed against C. difficile may need to be discontinued. Appropriate fluid and electrolyte management, protein supplementation, antibacterial treatment of C. difficile, and surgical evaluation should be instituted as clinically indicated.

Pregnancy


Reproduction studies have been performed in mice, rats, and rabbits at doses up to ten (10) times the human dose and have revealed no evidence of impaired fertility or harm to the fetus due to ampicillin and sulbactam. There are, however, no adequate and well-controlled studies in pregnant women. Because animal reproduction studies are not always predictive of human response, this drug should be used during pregnancy only if clearly needed. (see– PRECAUTIONS-Drug/Laboratory Test Interactions section).

Overdosage


Neurological adverse reactions, including convulsions, may occur with the attainment of high CSF levels of beta-lactams. Ampicillin may be removed from circulation by hemodialysis. The molecular weight, degree of protein binding and pharmacokinetics profile of sulbactam suggest that this compound may also be removed by hemodialysis.

Microbiology


Ampicillin is similar to benzyl penicillin in its bactericidal action against susceptible organisms during the stage of active multiplication. It acts through the inhibition of cell wall mucopeptide biosynthesis. Ampicillin has a broad spectrum of bactericidal activity against many gram-positive and gram-negative aerobic and anaerobic bacteria. (Ampicillin is, however, degraded by beta-lactamases and therefore the spectrum of activity does not normally include organisms which produce these enzymes).



A wide range of beta-lactamases found in microorganisms resistant to penicillins and cephalosporins have been shown in biochemical studies with cell free bacterial systems to be irreversibly inhibited by sulbactam. Although sulbactam alone possesses little useful antibacterial activity except against the Neisseriaceae, whole organism studies have shown that sulbactam restores ampicillin activity against beta-lactamase producing strains. In particular, sulbactam has good inhibitory activity against the clinically important plasmid mediated beta-lactamases most frequently responsible for transferred drug resistance. Sulbactam has no effect on the activity of ampicillin against ampicillin susceptible strains.



The presence of sulbactam in the ampicillin and sulbactam for injection formulation effectively extends the antibacterial spectrum of ampicillin to include many bacteria normally resistant to it and to other beta-lactam antibacterials. Thus, ampicillin and sulbactam for injection possesses the properties of a broad-spectrum antibacterial and a beta-lactamase inhibitor.



While in vitro studies have demonstrated the susceptibility of most strains of the following organisms, clinical efficacy for infections other than those included in the INDICATIONS and USAGE section has not been documented.



Gram-Positive Bacteria



Staphylococcus aureus (beta-lactamase and non-beta-lactamase producing), Staphylococcus epidermidis (beta-lactamase and non-beta-lactamase producing), Staphylococcus saprophyticus (beta-lactamase and non-beta-lactamase producing), Streptococcus faecalis (Enterococcus), Streptococcus pneumoniae (formerly D. pneumoniae), Streptococcus pyogenes , Streptococcus viridans .



Gram-Negative Bacteria



Hemophilus influenzae (beta-lactamase and non-beta-lactamase producing), Moraxella (Branhamella) catarrhalis (beta-lactamase and non-beta-lactamase producing), Escherichia coli (beta-lactamase and non-beta-lactamase producing), Klebsiella species (all known strains are beta-lactamase producing), Proteus mirabilis (beta-lactamase and non-beta-lactamase producing), Proteus vulgaris, Providencia rettgeri, Providencia stuartii, Morganella morganii, and Neisseria gonorrhoeae (beta-lactamase and non-beta-lactamase producing).



Anaerobes



Clostridium species, Peptococcus species, Peptostreptococcus species, Bacteroides species, including B. fragilis.



 †These are not beta-lactamase producing strains and, therefore, are susceptible to ampicillin alone.



 
Susceptibility Testing  



For specific information regarding susceptibility test interpretive criteria and associated test methods and quality control standards recognized by FDA for this drug, please see: https://www.fda.gov/STIC.

Pediatric Use


The safety and effectiveness of ampicillin and sulbactam for injection have been established for pediatric patients one year of age and older for skin and skin structure infections as approved in adults. Use of ampicillin and sulbactam for injection in pediatric patients is supported by evidence from adequate and well-controlled studies in adults with additional data from pediatric pharmacokinetic studies, a controlled clinical trial conducted in pediatric patients and post-marketing adverse events surveillance. (see CLINICAL PHARMACOLOGY,   INDICATIONS AND USAGE,   ADVERSE REACTIONS,   DOSAGE AND ADMINISTRATION, and CLINICAL STUDIES sections).



The safety and effectiveness of ampicillin and sulbactam for injection have not been established for pediatric patients for intra-abdominal infections.

Nursing Mothers


Low concentrations of ampicillin and sulbactam are excreted in the milk; therefore, caution should be exercised when ampicillin and sulbactam is administered to a nursing woman.

Clinical Studies


Skin and Skin Structure Infections in Pediatric Patients



Data from a controlled clinical trial conducted in pediatric patients provided evidence supporting the safety and efficacy of ampicillin and sulbactam for injection for the treatment of skin and skin structure infections. Of 99 pediatric patients evaluable for clinical efficacy, 60 patients received a regimen containing intravenous ampicillin and sulbactam, and 39 patients received a regimen containing intravenous cefuroxime. This trial demonstrated similar outcomes (assessed at an appropriate interval after discontinuation of all antimicrobial therapy) for ampicillin and sulbactam- and cefuroxime-treated patients:



TABLE 2
Therapeutic Regimen Clinical Success Clinical Failure
 Ampicillin and Sulbactam

51/60 (85%)

9/60 (15%)

 Cefuroxime

34/39 (87%)

5/39 (13%)



Most patients received a course of oral antimicrobials following initial treatment with intravenous administration of parenteral antimicrobials. The study protocol required that the following three criteria be met prior to transition from intravenous to oral antimicrobial therapy: (1) receipt of a minimum of 72 hours of intravenous therapy; (2) no documented fever for prior 24 hours; and (3) improvement or resolution of the signs and symptoms of infection.



The choice of oral antimicrobial agent used in this trial was determined by susceptibility testing of the original pathogen, if isolated, to oral agents available. The course of oral antimicrobial therapy should not routinely exceed 14 days.

Directions for Use


Intravenous Administration



Directions for Proper Use of Pharmacy Bulk Package



Ampicillin and sulbactam for injection sterile powder for intravenous use may be reconstituted with any of the compatible diluents described in this insert. Solutions should be allowed to stand after dissolution to allow any foaming to dissipate in order to permit visual inspection for complete solubilization.



Ampicillin and sulbactam for injection concentrations between 3 and 45 mg (2 to 30 mg ampicillin/1 to 15 mg sulbactam/mL) are recommended for intravenous use.



The 15 gram bottle may be reconstituted with either 92 mL Sterile Water for Injection or 0.9% Sodium Chloride Injection. The diluent should be added in two separate aliquots in a suitable work area, such as a laminar flow hood. Add 50 mL of solution, shake to dissolve. Then add an additional 42 mL and shake. The solution should be allowed to stand after dissolution to allow any foaming to dissipate in order to permit visual inspection for complete solubilization. The resultant solution will have a final concentration of approximately 100 mg/mL ampicillin and 50 mg/mL sulbactam. The closure may be penetrated only one time after reconstitution, if needed, using a suitable sterile transfer device or dispensing set that allows for measured dispensing of the contents.



After reconstitution, use within two hours if stored at room temperature, or within four hours if stored under refrigeration.





Reconstituted Bulk Solution Should Not be Used For Direct Infusion



If the reconstituted bulk solution is stored for less than one hour at room temperature (20°C/68°F) prior to further dilution, the use periods indicated in Table 4 apply for the diluted solutions.



If the bulk solution is stored for one to two hours at room temperature (20°C/68°F) and then diluted with Sterile Water for Injection or 0.9% Sodium Chloride Injection to the following concentrations, the use periods indicated in Table 5 apply.



Any unused portions of solution that remain after the indicated time periods should be discarded.



TABLE 4
Maximum Concentration (mg/mL)
Diluent Ampicillin/Sulbactam Use Periods
   Sterile Water for Injection

45 (30/15)

8 hrs at 21°C

45 (30/15)

48 hrs at 4°C

30 (20/10)

72 hrs at 4°C

   0.9% Sodium Chloride Injection

45 (30/15)

8 hrs at 21°C

45 (30/15)

48 hrs at 4°C

30 (20/10)

72 hrs at 4°C

   5% Dextrose Injection

30 (20/10)

2 hrs at 21°C

30 (20/10)

4 hrs at 4°C

3 (2/1)

2 hrs at 21°C

   Lactated Ringer's Injection

45 (30/15)

8 hrs at 21°C

45 (30/15)

24 hrs at 4°C

   M/6 Sodium Lactate Injection

45 (30/15)

8 hrs at 21°C

45 (30/15)

12 hrs at 4°C

   5% Dextrose in 0.45% Saline

3 (2/1)

4 hrs at 21°C

15 (10/5)

4 hrs at 4°C

   10% Invert Sugar

3 (2/1)

4 hrs at 21°C

30 (20/10)

3 hrs at 4°C



TABLE 5
Maximum Concentration (mg/mL)
IV Solution Ampicillin/Sulbactam Use Period
   Sterile Water for Injection, USP

45 (30/15)

4 hrs at 21°C

45 (30/15)

24 hrs at 4°C

   0.9% Sodium Chloride Injection, USP

45 (30/15)

4 hrs at 21°C

45 (30/15)

24 hrs at 4°C

Labor and Delivery


Studies in guinea pigs have shown that intravenous administration of ampicillin decreased the uterine tone, frequency of contractions, height of contractions, and duration of contractions. However, it is not known whether the use of ampicillin and sulbactam in humans during labor or delivery has immediate or delayed adverse effects on the fetus, prolongs the duration of labor, or increases the likelihood that forceps delivery or other obstetrical intervention or resuscitation of the newborn will be necessary.

Animal Pharmacology


While reversible glycogenosis was observed in laboratory animals, this phenomenon was dose- and time-dependent and is not expected to develop at the therapeutic doses and corresponding plasma levels attained during the relatively short periods of combined ampicillin/sulbactam therapy in man.

Information for Patients

Patients should be counseled that antibacterial drugs including ampicillin and sulbactam for injection should only be used to treat bacterial infections. They do not treat viral infections (e.g., the common cold). When ampicillin and sulbactam for injection is prescribed to treat a bacterial infection, patients should be told that although it is common to feel better early in the course of therapy, the medication should be taken exactly as directed. Skipping doses or not completing the full course of therapy may (1) decrease the effectiveness of the immediate treatment and (2) increase the likelihood that bacteria will develop resistance and will not be treatable by ampicillin and sulbactam for injection or other antibacterial drugs in the future.



Diarrhea is a common problem caused by antibacterials which usually ends when the antibacterial is discontinued. Sometimes after starting treatment with antibacterials, patients can develop watery and bloody stools (with or without stomach cramps and fever) even as late as two or more months after having taken the last dose of the antibacterial. If this occurs, patients should contact their physician as soon as possible.

Drug/laboratory Test Interactions


Administration of ampicillin and sulbactam will result in high urine concentration of ampicillin. High urine concentrations of ampicillin may result in false positive reactions when testing for the presence of glucose in urine using Clinitest™, Benedict's Solution or Fehling's Solution. It is recommended that glucose tests based on enzymatic glucose oxidase reactions (such as Clinistix™ or Testape™) be used. Following administration of ampicillin to pregnant women, a transient decrease in plasma concentration of total conjugated estriol, estriol-glucuronide, conjugated estrone and estradiol has been noted. This effect may also occur with ampicillin and sulbactam.

Compatibility, Reconstitution and Stability


When concomitant therapy with aminoglycosides is indicated, ampicillin and sulbactam and aminoglycosides should be reconstituted and administered separately, due to the in vitro inactivation of aminoglycosides by any of the aminopenicillins.

Carcinogenesis, Mutagenesis, Impairment of Fertility


Long-term studies in animals have not been performed to evaluate carcinogenic or mutagenic potential.

Package Label Principal Display Panel 15 Grams/pharmacy Bulk Package Container Carton

Rx only                   NDC 55150-118-99

Ampicillin

and Sulbactam

for Injection, USP

15 grams*/

Pharmacy

Bulk Package

For Intravenous Use

PHARMACY BULK PACKAGE

NOT FOR DIRECT INFUSION

STERILE

NOT TO BE DISPENSED AS A UNIT

eugia



Package Label Principal Display Panel  15 Grams/pharmacy Bulk Package Container Label


Rx only               NDC 55150-118-99

Ampicillin

and Sulbactam

for Injection, USP

15 grams*/

Pharmacy

Bulk Package

For Intravenous Use

PHARMACY BULK PACKAGE


NOT FOR DIRECT INFUSION

STERILE

NOT TO BE DISPENSED AS A UNIT

eugia




Structured Label Content

Section 42229-5 (42229-5)


To reduce the development of drug-resistant bacteria and maintain the effectiveness of ampicillin and sulbactam for injection, USP and other antibacterial drugs, ampicillin and sulbactam for injection, USP should be used only to treat infections that are proven or strongly suspected to be caused by bacteria.

General


Immediately after completion of a 15-minute intravenous infusion of ampicillin and sulbactam for injection, peak serum concentrations of ampicillin and sulbactam are attained. Ampicillin serum levels are similar to those produced by the administration of equivalent amounts of ampicillin alone. Peak ampicillin serum levels ranging from 109 to 150 mcg/mL are attained after administration of 2,000 mg of ampicillin plus 1,000 mg sulbactam and 40 to 71 mcg/mL after administration of 1,000 mg ampicillin plus 500 mg sulbactam. The corresponding mean peak serum levels for sulbactam range from 48 to 88 mcg/mL and 21 to 40 mcg/mL, respectively. After an intramuscular injection of 1,000 mg ampicillin plus 500 mg sulbactam, peak ampicillin serum levels ranging from 8 to 37 mcg/mL and peak sulbactam serum levels ranging from 6 to 24 mcg/mL are attained.



The mean serum half-life of both drugs is approximately 1 hour in healthy volunteers.



Approximately 75 to 85% of both ampicillin and sulbactam are excreted unchanged in the urine during the first 8 hours after administration of ampicillin and sulbactam for injection to individuals with normal renal function. Somewhat higher and more prolonged serum levels of ampicillin and sulbactam can be achieved with the concurrent administration of probenecid.



In patients with impaired renal function the elimination kinetics of ampicillin and sulbactam are similarly affected, hence the ratio of one to the other will remain constant whatever the renal function. The dose of ampicillin and sulbactam for injection in such patients should be administered less frequently in accordance with the usual practice for ampicillin (see DOSAGE and ADMINISTRATION  section).



Ampicillin has been found to be approximately 28% reversibly bound to human serum protein and sulbactam approximately 38% reversibly bound.



The following average levels of ampicillin and sulbactam were measured in the tissues and fluids listed: 



TABLE 1 Concentration of Ampicillin and Sulbactam for Injection in Various Body Tissues and Fluids
Fluid or Tissue Dose

(grams)

Ampicillin/Sulbactam
Concentration

(mcg/mL or mcg/g)

Ampicillin/Sulbactam
   Peritoneal Fluid

0.5/0.5 IV

7/14

   Blister Fluid (Cantharides)

0.5/0.5 IV

8/20

   Tissue Fluid

1/0.5 IV

8/4

   Intestinal Mucosa

0.5/0.5 IV

11/18

   Appendix

2/1 IV

3/40



Penetration of both ampicillin and sulbactam into cerebrospinal fluid in the presence of inflamed meninges has been demonstrated after IV administration of ampicillin and sulbactam.



The pharmacokinetics of ampicillin and sulbactam in pediatric patients receiving ampicillin and sulbactam are similar to those observed in adults. Immediately after a 15-minute infusion of 50 to 75 mg ampicillin and sulbactam/kg body weight, peak serum and plasma concentrations of 82 to 446 mcg ampicillin/mL and 44 to 203 mcg sulbactam/mL were obtained. Mean half-life values were approximately 1 hour.

Warnings (WARNINGS)

Hypersensitivity



Serious and occasionally fatal hypersensitivity (anaphylactic) reactions have been reported in patients on penicillin therapy. These reactions are more apt to occur in individuals with a history of penicillin hypersensitivity and/or hypersensitivity reactions to multiple allergens. There have been reports of individuals with a history of penicillin hypersensitivity who have experienced severe reactions when treated with cephalosporins. Before therapy with a penicillin, careful inquiry should be made concerning previous hypersensitivity reactions to penicillins, cephalosporins, and other allergens. If an allergic reaction occurs, ampicillin and sulbactam for injection should be discontinued and the appropriate therapy instituted.



Hepatotoxicity



Hepatic dysfunction, including hepatitis and cholestatic jaundice has been associated with the use of ampicillin and sulbactam for injection. Hepatic toxicity is usually reversible; however, deaths have been reported. Hepatic function should be monitored at regular intervals in patients with hepatic impairment.



Severe Cutaneous Adverse Reactions



Ampicillin and sulbactam for injection may cause severe skin reactions, such as toxic epidermal necrolysis (TEN), Stevens-Johnson syndrome (SJS), dermatitis exfoliative, erythema multiforme, and Acute generalized exanthematous pustulosis (AGEP). If patients develop a skin rash they should be monitored closely and ampicillin and sulbactam for injection discontinued if lesions progress (see  CONTRAINDICATIONS and  ADVERSE REACTIONS sections).



Clostridium difficile-
Associated Diarrhea



Clostridium difficile
associated diarrhea (CDAD) has been reported with use of nearly all antibacterial agents, including ampicillin and sulbactam for injection, and may range in severity from mild diarrhea to fatal colitis. Treatment with antibacterial agents alters the normal flora of the colon leading to overgrowth of C. difficile.



C. difficile
produces toxins A and B which contribute to the development of CDAD. Hypertoxin producing strains of C. difficile cause increased morbidity and mortality, as these infections can be refractory to antimicrobial therapy and may require colectomy. CDAD must be considered in all patients who present with diarrhea following antibacterial drug use. Careful medical history is necessary since CDAD has been reported to occur over two months after the administration of antibacterial agents.



If CDAD is suspected or confirmed, ongoing antibacterial drug use not directed against C. difficile may need to be discontinued. Appropriate fluid and electrolyte management, protein supplementation, antibacterial treatment of C. difficile, and surgical evaluation should be instituted as clinically indicated.

Pregnancy


Reproduction studies have been performed in mice, rats, and rabbits at doses up to ten (10) times the human dose and have revealed no evidence of impaired fertility or harm to the fetus due to ampicillin and sulbactam. There are, however, no adequate and well-controlled studies in pregnant women. Because animal reproduction studies are not always predictive of human response, this drug should be used during pregnancy only if clearly needed. (see– PRECAUTIONS-Drug/Laboratory Test Interactions section).

Overdosage (OVERDOSAGE)


Neurological adverse reactions, including convulsions, may occur with the attainment of high CSF levels of beta-lactams. Ampicillin may be removed from circulation by hemodialysis. The molecular weight, degree of protein binding and pharmacokinetics profile of sulbactam suggest that this compound may also be removed by hemodialysis.

Description (DESCRIPTION)


Ampicillin and sulbactam for injection, USP is an injectable antibacterial combination consisting of the semisynthetic antibacterial ampicillin sodium and the beta-lactamase inhibitor sulbactam sodium for intravenous and intramuscular administration. HOWEVER, THE INTENT OF THE PHARMACY BULK PACKAGE IS FOR PREPARATION OF SOLUTIONS FOR IV INFUSION ONLY.



Ampicillin sodium is derived from the penicillin nucleus, 6-aminopenicillanic acid. Chemically, it is monosodium (2S, 5R, 6R)-6-[(R)-2-amino-2-phenylacetamido]-3,3-dimethyl-7-oxo-4-thia-1-azabicyclo[3.2.0]heptane-2-carboxylate and has a molecular weight of 371.39. Its chemical formula is C16H18N3NaO4S. The structural formula is:





Sulbactam sodium is a derivative of the basic penicillin nucleus. Chemically, sulbactam sodium is sodium penicillinate sulfone; sodium (2S, 5R)-3,3-dimethyl-7-oxo-4-thia-1-azabicyclo [3.2.0] heptane-2-carboxylate 4,4-dioxide. Its chemical formula is C8H10NNaO5S with a molecular weight of 255.22. The structural formula is:







Ampicillin and sulbactam for injection parenteral combination, is available as a white to off-white, crystalline powder for reconstitution. Ampicillin and sulbactam for injection crystalline powder is freely soluble in aqueous diluents to yield pale yellow to yellow solutions containing ampicillin sodium and sulbactam sodium equivalent to 250 mg ampicillin per mL and 125 mg sulbactam per mL. The pH of the solutions is between 8 and 10.



Dilute solutions (up to 30 mg ampicillin and 15 mg sulbactam per mL) are essentially colorless to pale yellow. The pH of dilute solutions remains the same.



Each sterile Pharmacy Bulk Package contains 15 g ampicillin and sulbactam for injection (10 g ampicillin as the sodium salt plus 5 g sulbactam as the sodium salt) and approximately 1150 mg (50 mEq) sodium. Ampicillin and sulbactam for injection Pharmacy Bulk Package is a bottle containing a sterile preparation of ampicillin sodium and sulbactam sodium for parenteral use that contains many single doses. The Pharmacy Bulk Package is for use in a pharmacy admixture setting; it provides many single doses of ampicillin and sulbactam for addition to suitable parenteral fluids in the preparation of admixtures for intravenous infusion (see DIRECTIONS FOR PROPER USE OF PHARMACY BULK PACKAGE ). FURTHER DILUTION IS REQUIRED BEFORE USE.

How Supplied (HOW SUPPLIED)


Ampicillin and Sulbactam for Injection, USP (Pharmacy Bulk Package) is supplied as follows:    



NDC Ampicillin and Sulbactam for Injection, USP Package Factor
   55150-118-99

15 g of ampicillin and sulbactam for injection (equivalent to 10 g ampicillin as the sodium salt plus 5 g sulbactam as the sodium salt) in a Pharmacy Bulk Package bottle

   1 bottle per carton



Ampicillin and Sulbactam for Injection, USP is a white to off-white powder.



Store dry powder at 20° to 25°C (68° to 77°F); excursions permitted to 15° to 30°C (59° to 86°F) [see USP Controlled Room Temperature].



Sterile, Nonpyrogenic, Preservative-free.




The vial stopper is not made with natural rubber latex.



To report SUSPECTED ADVERSE EVENTS, contact Eugia US LLC at 1-866-850-2876 or FDA at 1-800-FDA-1088 or http://www.fda.gov/ for voluntary reporting of adverse reactions.



All brands listed are the trademarks of their respective owners and are not trademarks of Eugia Pharma Specialities Limited.



For medical information about Ampicillin and sulbactam for injection, USP, please visit eugiaus.com or call 1-866-850-2876.



Distributed by:

Eugia US LLC

279 Princeton-Hightstown Rd.

E. Windsor, NJ 08520



Manufactured by:

Eugia Pharma Specialities Limited

Hyderabad - 500032

India



Revised: June 2024

Microbiology (MICROBIOLOGY)


Ampicillin is similar to benzyl penicillin in its bactericidal action against susceptible organisms during the stage of active multiplication. It acts through the inhibition of cell wall mucopeptide biosynthesis. Ampicillin has a broad spectrum of bactericidal activity against many gram-positive and gram-negative aerobic and anaerobic bacteria. (Ampicillin is, however, degraded by beta-lactamases and therefore the spectrum of activity does not normally include organisms which produce these enzymes).



A wide range of beta-lactamases found in microorganisms resistant to penicillins and cephalosporins have been shown in biochemical studies with cell free bacterial systems to be irreversibly inhibited by sulbactam. Although sulbactam alone possesses little useful antibacterial activity except against the Neisseriaceae, whole organism studies have shown that sulbactam restores ampicillin activity against beta-lactamase producing strains. In particular, sulbactam has good inhibitory activity against the clinically important plasmid mediated beta-lactamases most frequently responsible for transferred drug resistance. Sulbactam has no effect on the activity of ampicillin against ampicillin susceptible strains.



The presence of sulbactam in the ampicillin and sulbactam for injection formulation effectively extends the antibacterial spectrum of ampicillin to include many bacteria normally resistant to it and to other beta-lactam antibacterials. Thus, ampicillin and sulbactam for injection possesses the properties of a broad-spectrum antibacterial and a beta-lactamase inhibitor.



While in vitro studies have demonstrated the susceptibility of most strains of the following organisms, clinical efficacy for infections other than those included in the INDICATIONS and USAGE section has not been documented.



Gram-Positive Bacteria



Staphylococcus aureus (beta-lactamase and non-beta-lactamase producing), Staphylococcus epidermidis (beta-lactamase and non-beta-lactamase producing), Staphylococcus saprophyticus (beta-lactamase and non-beta-lactamase producing), Streptococcus faecalis (Enterococcus), Streptococcus pneumoniae (formerly D. pneumoniae), Streptococcus pyogenes , Streptococcus viridans .



Gram-Negative Bacteria



Hemophilus influenzae (beta-lactamase and non-beta-lactamase producing), Moraxella (Branhamella) catarrhalis (beta-lactamase and non-beta-lactamase producing), Escherichia coli (beta-lactamase and non-beta-lactamase producing), Klebsiella species (all known strains are beta-lactamase producing), Proteus mirabilis (beta-lactamase and non-beta-lactamase producing), Proteus vulgaris, Providencia rettgeri, Providencia stuartii, Morganella morganii, and Neisseria gonorrhoeae (beta-lactamase and non-beta-lactamase producing).



Anaerobes



Clostridium species, Peptococcus species, Peptostreptococcus species, Bacteroides species, including B. fragilis.



 †These are not beta-lactamase producing strains and, therefore, are susceptible to ampicillin alone.



 
Susceptibility Testing  



For specific information regarding susceptibility test interpretive criteria and associated test methods and quality control standards recognized by FDA for this drug, please see: https://www.fda.gov/STIC.

Pediatric Use


The safety and effectiveness of ampicillin and sulbactam for injection have been established for pediatric patients one year of age and older for skin and skin structure infections as approved in adults. Use of ampicillin and sulbactam for injection in pediatric patients is supported by evidence from adequate and well-controlled studies in adults with additional data from pediatric pharmacokinetic studies, a controlled clinical trial conducted in pediatric patients and post-marketing adverse events surveillance. (see CLINICAL PHARMACOLOGY,   INDICATIONS AND USAGE,   ADVERSE REACTIONS,   DOSAGE AND ADMINISTRATION, and CLINICAL STUDIES sections).



The safety and effectiveness of ampicillin and sulbactam for injection have not been established for pediatric patients for intra-abdominal infections.

Nursing Mothers


Low concentrations of ampicillin and sulbactam are excreted in the milk; therefore, caution should be exercised when ampicillin and sulbactam is administered to a nursing woman.

Clinical Studies (CLINICAL STUDIES)


Skin and Skin Structure Infections in Pediatric Patients



Data from a controlled clinical trial conducted in pediatric patients provided evidence supporting the safety and efficacy of ampicillin and sulbactam for injection for the treatment of skin and skin structure infections. Of 99 pediatric patients evaluable for clinical efficacy, 60 patients received a regimen containing intravenous ampicillin and sulbactam, and 39 patients received a regimen containing intravenous cefuroxime. This trial demonstrated similar outcomes (assessed at an appropriate interval after discontinuation of all antimicrobial therapy) for ampicillin and sulbactam- and cefuroxime-treated patients:



TABLE 2
Therapeutic Regimen Clinical Success Clinical Failure
 Ampicillin and Sulbactam

51/60 (85%)

9/60 (15%)

 Cefuroxime

34/39 (87%)

5/39 (13%)



Most patients received a course of oral antimicrobials following initial treatment with intravenous administration of parenteral antimicrobials. The study protocol required that the following three criteria be met prior to transition from intravenous to oral antimicrobial therapy: (1) receipt of a minimum of 72 hours of intravenous therapy; (2) no documented fever for prior 24 hours; and (3) improvement or resolution of the signs and symptoms of infection.



The choice of oral antimicrobial agent used in this trial was determined by susceptibility testing of the original pathogen, if isolated, to oral agents available. The course of oral antimicrobial therapy should not routinely exceed 14 days.

Adverse Reactions (ADVERSE REACTIONS)

Adult Patients

Ampicillin and sulbactam for injection is generally well tolerated. The following adverse reactions have been reported in clinical trials.



Local Adverse Reactions



Pain at IM injection site – 16%

Pain at IV injection site – 3%

Thrombophlebitis – 3%

Phlebitis – 1.2%



Systemic Adverse Reactions



The most frequently reported adverse reactions were diarrhea in 3% of the patients and rash in less than 2% of the patients.



Additional systemic reactions reported in less than 1% of the patients were: itching, nausea, vomiting, candidiasis, fatigue, malaise, headache, chest pain, flatulence, abdominal distension, glossitis, urine retention, dysuria, edema, facial swelling, erythema, chills, tightness in throat, substernal pain, epistaxis and mucosal bleeding.



Pediatric Patients

Available safety data for pediatric patients treated with ampicillin and sulbactam demonstrate a similar adverse events profile to those observed in adult patients. Additionally, atypical lymphocytosis has been observed in one pediatric patient receiving ampicillin and sulbactam for injection.



Adverse Laboratory Changes

Adverse laboratory changes without regard to drug relationship that were reported during clinical trials were:



Hepatic: Increased AST (SGOT), ALT (SGPT), alkaline phosphatase, and LDH.



Hematologic: Decreased hemoglobin, hematocrit, RBC, WBC, neutrophils, lymphocytes, platelets and increased lymphocytes, monocytes, basophils, eosinophils, and platelets.



Blood Chemistry: Decreased serum albumin and total proteins.



Renal: Increased BUN and creatinine.



Urinalysis: Presence of RBC’s and hyaline casts in urine.



Postmarketing Experience



In addition to adverse reactions reported from clinical trials, the following have been identified during post-marketing use of ampicillin sodium/sulbactam sodium or other products containing ampicillin. Because they are reported voluntarily from a population of unknown size, estimates of frequency cannot be made. These events have been chosen for inclusion due to a combination of their seriousness, frequency, or potential causal connection to ampicillin sodium/sulbactam sodium. 



Blood and Lymphatic System Disorders: Hemolytic anemia, thrombocytopenic purpura, and agranulocytosis have been reported. These reactions are usually reversible on discontinuation of therapy and are believed to be hypersensitivity phenomena. Some individuals have developed positive direct Coombs Tests during treatment with ampicillin and sulbactam for injection, as with other beta-lactam antibacterials.



Gastrointestinal Disorders: Abdominal pain, cholestatic hepatitis, cholestasis, hyperbilirubinemia, jaundice, abnormal hepatic function, melena, gastritis, stomatitis, dyspepsia, black “hairy” tongue, and Clostridium difficile associated diarrhea (see  CONTRAINDICATIONS and  WARNINGS sections).



General Disorders and Administration Site Conditions : Injection site reaction



Immune System Disorders: Serious and fatal hypersensitivity (anaphylactic) reactions (see  WARNINGS section), Acute myocardial ischemia with or without myocardial infarction may occur as part of an allergic reaction.



Nervous System Disorders: Convulsion and dizziness



Renal and Urinary Disorders: Tubulointerstitial nephritis



Respiratory, Thoracic and Mediastinal Disorders: Dyspnea



Skin and Subcutaneous Tissue Disorders: Toxic epidermal necrolysis, Stevens-Johnson syndrome, angioedema, Acute generalized exanthematous pustulosis (AGEP), erythema multiforme, exfoliative dermatitis, urticaria (see  CONTRAINDICATIONS and  WARNINGS sections), and linear IgA bullous dermatosis.

Contraindications (CONTRAINDICATIONS)

The use of ampicillin and sulbactam for injection is contraindicated in individuals with a history of serious hypersensitivity reactions (e.g., anaphylaxis or Stevens-Johnson syndrome) to ampicillin, sulbactam or to other beta-lactam antibacterial drugs (e.g., penicillins and cephalosporins).



Ampicillin and sulbactam for injection is contraindicated in patients with a previous history of cholestatic jaundice/hepatic dysfunction associated with ampicillin and sulbactam for injection.

Drug Interactions


Probenecid decreases the renal tubular secretion of ampicillin and sulbactam. Concurrent use of probenecid with ampicillin and sulbactam may result in increased and prolonged blood levels of ampicillin and sulbactam. The concurrent administration of allopurinol and ampicillin increases substantially the incidence of rashes in patients receiving both drugs as compared to patients receiving ampicillin alone. It is not known whether this potentiation of ampicillin rashes is due to allopurinol or the hyperuricemia present in these patients. There are no data with ampicillin and sulbactam and allopurinol administered concurrently. Ampicillin and sulbactam and aminoglycosides should not be reconstituted together due to the in vitro inactivation of aminoglycosides by the ampicillin component of ampicillin and sulbactam.

Directions for Use (DIRECTIONS FOR USE)


Intravenous Administration



Directions for Proper Use of Pharmacy Bulk Package



Ampicillin and sulbactam for injection sterile powder for intravenous use may be reconstituted with any of the compatible diluents described in this insert. Solutions should be allowed to stand after dissolution to allow any foaming to dissipate in order to permit visual inspection for complete solubilization.



Ampicillin and sulbactam for injection concentrations between 3 and 45 mg (2 to 30 mg ampicillin/1 to 15 mg sulbactam/mL) are recommended for intravenous use.



The 15 gram bottle may be reconstituted with either 92 mL Sterile Water for Injection or 0.9% Sodium Chloride Injection. The diluent should be added in two separate aliquots in a suitable work area, such as a laminar flow hood. Add 50 mL of solution, shake to dissolve. Then add an additional 42 mL and shake. The solution should be allowed to stand after dissolution to allow any foaming to dissipate in order to permit visual inspection for complete solubilization. The resultant solution will have a final concentration of approximately 100 mg/mL ampicillin and 50 mg/mL sulbactam. The closure may be penetrated only one time after reconstitution, if needed, using a suitable sterile transfer device or dispensing set that allows for measured dispensing of the contents.



After reconstitution, use within two hours if stored at room temperature, or within four hours if stored under refrigeration.





Reconstituted Bulk Solution Should Not be Used For Direct Infusion



If the reconstituted bulk solution is stored for less than one hour at room temperature (20°C/68°F) prior to further dilution, the use periods indicated in Table 4 apply for the diluted solutions.



If the bulk solution is stored for one to two hours at room temperature (20°C/68°F) and then diluted with Sterile Water for Injection or 0.9% Sodium Chloride Injection to the following concentrations, the use periods indicated in Table 5 apply.



Any unused portions of solution that remain after the indicated time periods should be discarded.



TABLE 4
Maximum Concentration (mg/mL)
Diluent Ampicillin/Sulbactam Use Periods
   Sterile Water for Injection

45 (30/15)

8 hrs at 21°C

45 (30/15)

48 hrs at 4°C

30 (20/10)

72 hrs at 4°C

   0.9% Sodium Chloride Injection

45 (30/15)

8 hrs at 21°C

45 (30/15)

48 hrs at 4°C

30 (20/10)

72 hrs at 4°C

   5% Dextrose Injection

30 (20/10)

2 hrs at 21°C

30 (20/10)

4 hrs at 4°C

3 (2/1)

2 hrs at 21°C

   Lactated Ringer's Injection

45 (30/15)

8 hrs at 21°C

45 (30/15)

24 hrs at 4°C

   M/6 Sodium Lactate Injection

45 (30/15)

8 hrs at 21°C

45 (30/15)

12 hrs at 4°C

   5% Dextrose in 0.45% Saline

3 (2/1)

4 hrs at 21°C

15 (10/5)

4 hrs at 4°C

   10% Invert Sugar

3 (2/1)

4 hrs at 21°C

30 (20/10)

3 hrs at 4°C



TABLE 5
Maximum Concentration (mg/mL)
IV Solution Ampicillin/Sulbactam Use Period
   Sterile Water for Injection, USP

45 (30/15)

4 hrs at 21°C

45 (30/15)

24 hrs at 4°C

   0.9% Sodium Chloride Injection, USP

45 (30/15)

4 hrs at 21°C

45 (30/15)

24 hrs at 4°C

Labor and Delivery


Studies in guinea pigs have shown that intravenous administration of ampicillin decreased the uterine tone, frequency of contractions, height of contractions, and duration of contractions. However, it is not known whether the use of ampicillin and sulbactam in humans during labor or delivery has immediate or delayed adverse effects on the fetus, prolongs the duration of labor, or increases the likelihood that forceps delivery or other obstetrical intervention or resuscitation of the newborn will be necessary.

Animal Pharmacology


While reversible glycogenosis was observed in laboratory animals, this phenomenon was dose- and time-dependent and is not expected to develop at the therapeutic doses and corresponding plasma levels attained during the relatively short periods of combined ampicillin/sulbactam therapy in man.

Indications and Usage (INDICATIONS AND USAGE)

Ampicillin and sulbactam for injection, USP is indicated for the treatment of infections due to susceptible strains of the designated microorganisms in the conditions listed below.



Skin and Skin Structure Infections
caused by beta-lactamase producing strains of Staphylococcus aureus, Escherichia coli,*Klebsiella spp.* (including K. pneumoniae*), Proteus mirabilis,*Bacteroides fragilis,*Enterobacter spp.,* and Acinetobacter calcoaceticus.*



NOTE: For information on use in pediatric patients (see  PRECAUTIONS–Pediatric Use and  CLINICAL STUDIES sections).



Intra-Abdominal Infections
caused by beta-lactamase producing strains of Escherichia coli, Klebsiella spp. (including K. pneumoniae*), Bacteroides spp. (including B. fragilis), and Enterobacter spp.*



Gynecological Infections
caused by beta-lactamase producing strains of Escherichia coli,* and Bacteroides spp.* (including B. fragilis*).



*  Efficacy for this organism in this organ system was studied in fewer than 10 infections.



While ampicillin and sulbactam for injection, USP is indicated only for the conditions listed above, infections caused by ampicillin-susceptible organisms are also amenable to treatment with ampicillin and sulbactam for injection, USP due to its ampicillin content. Therefore, mixed infections caused by ampicillin-susceptible organisms and beta-lactamase producing organisms susceptible to ampicillin and sulbactam for injection, USP should not require the addition of another antibacterial.



Appropriate culture and susceptibility tests should be performed before treatment in order to isolate and identify the organisms causing infection and to determine their susceptibility to ampicillin and sulbactam for injection, USP.



Therapy may be instituted prior to obtaining the results from bacteriological and susceptibility studies when there is reason to believe the infection may involve any of the beta-lactamase producing organisms listed above in the indicated organ systems. Once the results are known, therapy should be adjusted if appropriate.



To reduce the development of drug-resistant bacteria and maintain effectiveness of ampicillin and sulbactam for injection, USP and other antibacterial drugs, ampicillin and sulbactam for injection, USP should be used only to treat infections that are proven or strongly suspected to be caused by susceptible bacteria. When culture and susceptibility information are available, they should be considered in selecting or modifying antibacterial therapy. In the absence of such data, local epidemiology and susceptibility patterns may contribute to the empiric selection of therapy.

Information for Patients

Patients should be counseled that antibacterial drugs including ampicillin and sulbactam for injection should only be used to treat bacterial infections. They do not treat viral infections (e.g., the common cold). When ampicillin and sulbactam for injection is prescribed to treat a bacterial infection, patients should be told that although it is common to feel better early in the course of therapy, the medication should be taken exactly as directed. Skipping doses or not completing the full course of therapy may (1) decrease the effectiveness of the immediate treatment and (2) increase the likelihood that bacteria will develop resistance and will not be treatable by ampicillin and sulbactam for injection or other antibacterial drugs in the future.



Diarrhea is a common problem caused by antibacterials which usually ends when the antibacterial is discontinued. Sometimes after starting treatment with antibacterials, patients can develop watery and bloody stools (with or without stomach cramps and fever) even as late as two or more months after having taken the last dose of the antibacterial. If this occurs, patients should contact their physician as soon as possible.

Dosage and Administration (DOSAGE AND ADMINISTRATION)


The pharmacy bulk package is for preparation of solutions for IV infusion only. Ampicillin and sulbactam for injection should be administered by slow intravenous injection over at least 10 to 15 minutes or can also be delivered in greater dilutions with 50 to 100 mL of a compatible diluent as an intravenous infusion over 15 to 30 minutes.



The recommended adult dosage of ampicillin and sulbactam for injection is 1.5 g (1 g ampicillin as the sodium salt plus 0.5 g sulbactam as the sodium salt) to 3 g (2 g ampicillin as the sodium salt plus 1 g sulbactam as the sodium salt) every six hours. This 1.5 to 3 g range represents the total of ampicillin content plus the sulbactam content of ampicillin and sulbactam for injection, and corresponds to a range of 1 g ampicillin/0.5 g sulbactam to 2 g ampicillin/1 g sulbactam. The total dose of sulbactam should not exceed 4 grams per day.



Pediatric Patients 1 Year of Age or Older
 

The recommended daily dose of ampicillin and sulbactam for injection in pediatric patients is 300 mg per kg of body weight administered via intravenous infusion in equally divided doses every 6 hours. This 300 mg/kg/day dosage represents the total ampicillin content plus the sulbactam content of ampicillin and sulbactam for injection, and corresponds to 200 mg ampicillin/100 mg sulbactam per kg per day. The safety and efficacy of ampicillin and sulbactam for injection administered via intramuscular injection in pediatric patients have not been established. Pediatric patients weighing 40 kg or more should be dosed according to adult recommendations, and the total dose of sulbactam should not exceed 4 grams per day. The course of intravenous therapy should not routinely exceed 14 days. In clinical trials, most children received a course of oral antimicrobials following initial treatment with intravenous ampicillin and sulbactam for injection. (see CLINICAL STUDIES section).



Impaired Renal Function



In patients with impairment of renal function the elimination kinetics of ampicillin and sulbactam are similarly affected, hence the ratio of one to the other will remain constant whatever the renal function. The dose of ampicillin and sulbactam in such patients should be administered less frequently in accordance with the usual practice for ampicillin and according to the following recommendations: 





TABLE 3 Ampicillin and Sulbactam for Injection Dosage Guide for Patients with Renal Impairment
Creatinine Clearance

(mL/min/1.73 m2)
Ampicillin/Sulbactam

Half-Life (Hours)
Recommended

Ampicillin and Sulbactam for Injection Dosage
≥30

1

1.5 to 3 g q 6h to q 8h

15 to 29

5

1.5 to 3 g q 12h

5 to 14

9

1.5 to 3 g q 24h



When only serum creatinine is available, the following formula (based on sex, weight, and age of the patient) may be used to convert this value into creatinine clearance. The serum creatinine should represent a steady state of renal function.



Males                     weight (kg) × (140 – age)    

                                 72 × serum creatinine 



Females                  0.85 × above value

Drug/laboratory Test Interactions (Drug/Laboratory Test Interactions)


Administration of ampicillin and sulbactam will result in high urine concentration of ampicillin. High urine concentrations of ampicillin may result in false positive reactions when testing for the presence of glucose in urine using Clinitest™, Benedict's Solution or Fehling's Solution. It is recommended that glucose tests based on enzymatic glucose oxidase reactions (such as Clinistix™ or Testape™) be used. Following administration of ampicillin to pregnant women, a transient decrease in plasma concentration of total conjugated estriol, estriol-glucuronide, conjugated estrone and estradiol has been noted. This effect may also occur with ampicillin and sulbactam.

Compatibility, Reconstitution and Stability (COMPATIBILITY, RECONSTITUTION AND STABILITY)


When concomitant therapy with aminoglycosides is indicated, ampicillin and sulbactam and aminoglycosides should be reconstituted and administered separately, due to the in vitro inactivation of aminoglycosides by any of the aminopenicillins.

Carcinogenesis, Mutagenesis, Impairment of Fertility


Long-term studies in animals have not been performed to evaluate carcinogenic or mutagenic potential.

Package Label Principal Display Panel 15 Grams/pharmacy Bulk Package Container Carton (PACKAGE LABEL-PRINCIPAL DISPLAY PANEL - 15 grams/Pharmacy Bulk Package - Container-Carton)

Rx only                   NDC 55150-118-99

Ampicillin

and Sulbactam

for Injection, USP

15 grams*/

Pharmacy

Bulk Package

For Intravenous Use

PHARMACY BULK PACKAGE

NOT FOR DIRECT INFUSION

STERILE

NOT TO BE DISPENSED AS A UNIT

eugia



Package Label Principal Display Panel  15 Grams/pharmacy Bulk Package Container Label (PACKAGE LABEL-PRINCIPAL DISPLAY PANEL - 15 grams/Pharmacy Bulk Package - Container Label)


Rx only               NDC 55150-118-99

Ampicillin

and Sulbactam

for Injection, USP

15 grams*/

Pharmacy

Bulk Package

For Intravenous Use

PHARMACY BULK PACKAGE


NOT FOR DIRECT INFUSION

STERILE

NOT TO BE DISPENSED AS A UNIT

eugia




Advanced Ingredient Data


Raw Label Data

All Sections (JSON)