Propranolol Hydrochloride Tablets, Usp

Propranolol Hydrochloride Tablets, Usp
SPL v7
SPL
SPL Set ID 25f9b9a3-7b0b-48d2-a458-c613bedc7cab
Route
ORAL
Published
Effective Date 2023-09-28
Document Type 34391-3 HUMAN PRESCRIPTION DRUG LABEL

Drug Facts

Composition & Product

Active Ingredients
Propranolol (10 mg)
Inactive Ingredients
Anhydrous Lactose Cellulose, Microcrystalline Croscarmellose Sodium Silicon Dioxide Stearic Acid Magnesium Stearate D&c Yellow No. 10 Aluminum Lake D&c Red No. 27 Aluminum Lake Ascorbic Acid Butylated Hydroxyanisole

Identifiers & Packaging

Pill Appearance
Imprint: LS;298 Shape: round Shape: oval Color: orange Size: 7 mm Size: 9 mm Size: 12 mm Size: 10 mm Score: 2
Marketing Status
ANDA Active Since 2026-01-27

Description

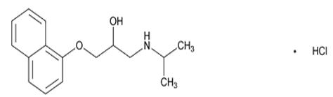
Propranolol hydrochloride, USP is a synthetic beta-adrenergic receptor blocking agent chemically described as, (±)-1-(Isopropylamino)-3-(1-naphthyloxy)-2-propanol hydrochloride. Its molecular and structural formulae are: Molecular Formula: C 16 H 21 NO 2 • HCl M.W. 295.80 Propranolol hydrochloride, USP is a stable, white to off-white crystalline powder which is soluble in water and in alcohol; slightly soluble in chloroform; practically insoluble in ether. Its molecular weight is 295.80. Propranolol hydrochloride is available as 10 mg, 20 mg, 40 mg, 60 mg and 80 mg tablets for oral administration. Propranolol hydrochloride tablets, USP 10 mg, 20 mg, 40 mg, 60 mg and 80 mg contain the following inactive ingredients: anhydrous lactose, ascorbic acid, butylated hydroxyanisole, colloidal silicon dioxide, croscarmellose sodium, D&C Red No. 27 Phloxine Aluminum Lake, D&C Yellow No. 10 Aluminum Lake, magnesium stearate, microcrystalline cellulose, and stearic acid. FDA approved dissolution test specifications differ from USP.

Contraindications

Propranolol is contraindicated in 1) cardiogenic shock; 2) sinus bradycardia and greater than first degree block; 3) bronchial asthma; and 4) in patients with known hypersensitivity to propranolol hydrochloride.

Adverse Reactions

The following adverse events were observed and have been reported in patients using propranolol. Cardiovascular:  Bradycardia; congestive heart failure; intensification of AV block; hypotension; paresthesia of hands; thrombocytopenic purpura; arterial insufficiency, usually of the Raynaud type. Central Nervous System:  Light-headedness, mental depression manifested by insomnia, lassitude, weakness, fatigue; catatonia; visual disturbances; hallucinations; vivid dreams; an acute reversible syndrome characterized by disorientation for time and place, short-term memory loss, emotional lability, slightly clouded sensorium, and decreased performance on neuropsychometrics. For immediate-release formulations, fatigue, lethargy, and vivid dreams appear dose-related. Gastrointestinal:  Nausea, vomiting, epigastric distress, abdominal cramping, diarrhea, constipation, mesenteric arterial thrombosis, ischemic colitis. Allergic:  Hypersensitivity reactions, including anaphylactic/anaphylactoid reactions, pharyngitis and agranulocytosis; erythematous rash, fever combined with aching and sore throat; laryngospasm, and respiratory distress. Respiratory:  Bronchospasm. Hematologic:  Agranulocytosis, nonthrombocytopenic purpura, thrombocytopenic purpura. Autoimmune:  Systemic lupus erythematosus (SLE). Skin and mucous membranes:  Stevens-Johnson Syndrome, toxic epidermal necrolysis, dry eyes, exfoliative dermatitis, erythema multiforme, urticaria, alopecia, SLE-like reactions, and psoriasiform rashes. Oculomucocutaneous syndrome involving the skin, serous membranes and conjunctivae reported for a beta blocker (practolol) have not been associated with propranolol. Genitourinary:  Male impotence; Peyronie's disease. To report SUSPECTED ADVERSE REACTIONS, contact Lifestar Pharma LLC at 1-888-995-4337 or FDA at 1-800-FDA-1088 or www.fda.gov/medwatch.

Drug Interactions

Interactions with Substrates, Inhibitors or Inducers of Cytochrome P-450 Enzymes Because propranolol's metabolism involves multiple pathways in the cytochrome P-450 system (CYP2D6, 1A2, 2C19), coadministration with drugs that are metabolized by, or effect the activity (induction or inhibition) of one or more of these pathways may lead to clinically relevant drug interactions (see  DRUG INTERACTIONS  under  PRECAUTIONS ). Substrates or Inhibitors of CYP2D6 Blood levels and/or toxicity of propranolol may be increased by coadministration with substrates or inhibitors of CYP2D6, such as amiodarone, cimetidine, delavudin, fluoxetine, paroxetine, quinidine, and ritonavir. No interactions were observed with either ranitidine or lansoprazole. Substrates or Inhibitors of CYP1A2 Blood levels and/or toxicity of propranolol may be increased by coadministration with substrates or inhibitors of CYP1A2, such as imipramine, cimetidine, ciprofloxacin, fluvoxamine, isoniazid, ritonavir, theophylline, zileuton, zolmitriptan, and rizatriptan. Substrates or Inhibitors of CYP2C19 Blood levels and/or toxicity of propranolol may be increased by coadministration with substrates or inhibitors of CYP2C19, such as fluconazole, cimetidine, fluoxetine, fluvoxamine, tenioposide, and tolbutamide. No interaction was observed with omeprazole. Inducers of Hepatic Drug Metabolism Blood levels of propranolol may be decreased by coadministration with inducers such as rifampin, ethanol, phenytoin, and phenobarbital. Cigarette smoking also induces hepatic metabolism and has been shown to increase up to 77% the clearance of propranolol, resulting in decreased plasma concentrations. Cardiovascular Drugs Antiarrhythmics The AUC of propafenone is increased by more than 200% by coadministration of propranolol. The metabolism of propranolol is reduced by coadministration of quinidine, leading to a two-three fold increased blood concentration and greater degrees of clinical beta-blockade. The metabolism of lidocaine is inhibited by coadministration of propranolol, resulting in a 25% increase in lidocaine concentrations. Calcium Channel Blockers The mean C max  and AUC of propranolol are increased, respectively, by 50% and 30% by coadministration of nisoldipine and by 80% and 47%, by coadministration of nicardipine. The mean C max  and AUC of nifedipine are increased by 64% and 79%, respectively, by coadministration of propranolol. Propranolol does not affect the pharmacokinetics of verapamil and norverapamil. Verapamil does not affect the pharmacokinetics of propranolol. Non-Cardiovascular Drugs Migraine Drugs Administration of zolmitriptan or rizatriptan with propranolol resulted in increased concentrations of zolmitriptan (AUC increased by 56% and C max  by 37%) or rizatriptan (the AUC and C max  were increased by 67% and 75%, respectively). Theophylline Coadministration of theophylline with propranolol decreases theophylline oral clearance by 30% to 52%. Benzodiazepines Propranolol can inhibit the metabolism of diazepam, resulting in increased concentrations of diazepam and its metabolites. Diazepam does not alter the pharmacokinetics of propranolol. The pharmacokinetics of oxazepam, triazolam, lorazepam, and alprazolam are not affected by coadministration of propranolol. Neuroleptic Drugs Coadministration of long-acting propranolol at doses greater than or equal to 160 mg/day resulted in increased thioridazine plasma concentrations ranging from 55% to 369% and increased thioridazine metabolite (mesoridazine) concentrations ranging from 33% to 209%. Coadministration of chlorpromazine with propranolol resulted in a 70% increase in propranolol plasma level. Anti-Ulcer Drugs Coadministration of propranolol with cimetidine, a non-specific CYP450 inhibitor, increased propranolol AUC and C max  by 46% and 35%, respectively. Coadministration with aluminum hydroxide gel (1200 mg) may result in a decrease in propranolol concentrations. Coadministration of metoclopramide with the long-acting propranolol did not have a significant effect on propranolol's pharmacokinetics. Lipid Lowering Drugs Coadministration of cholestyramine or colestipol with propranolol resulted in up to 50% decrease in propranolol concentrations. Coadministration of propranolol with lovastatin or pravastatin, decreased 18% to 23% the AUC of both, but did not alter their pharmacodynamics. Propranolol did not have an effect on the pharmacokinetics of fluvastatin. Warfarin Concomitant administration of propranolol and warfarin has been shown to increase warfarin bioavailability and increase prothrombin time. Alcohol Concomitant use of alcohol may increase plasma levels of propranolol.

How Supplied

Propranolol hydrochloride tablets, USP are available containing 10 mg, 20 mg, 40 mg, 60 mg or 80 mg of propranolol hydrochloride, USP. The 10 mg tablets are round, light beige to dark beige colored, mottled tablets, debossed with ''T'' and "4" on either side of the score line on one side and plain on the other side. They are available as follows: NDC 70756-094-11                                        bottles of 100 tablets with child-resistant closure NDC 70756-094-12                                        bottles of 1000 tablets The 20 mg tablets are oval, light beige to dark beige colored, mottled tablets, debossed with ''T'' and "5" on either side of the score line on one side and plain on the other side. They are available as follows: NDC 70756-095-11                                        bottles of 100 tablets with child-resistant closure NDC 70756-095-12                                        bottles of 1000 tablets The 40 mg tablets are round, light beige to dark beige colored, mottled tablets, debossed with ''LS'' and "296" on either side of the score line on one side and plain on the other side. They are available as follows: NDC 70756-296-11                                        bottles of 100 tablets with child-resistant closure NDC 70756-296-51                                        bottles of 500 tablets The 60 mg tablets are oval, light beige to dark beige colored, mottled tablets, debossed with ''L'' and "S" on either side of the score line on one side and "297" on the other side. They are available as follows: NDC 70756-297-11                                        bottles of 100 tablets with child-resistant closure NDC 70756-297-51                                        bottles of 500 tablets The 80 mg tablets are round, light beige to dark beige colored, mottled tablets, debossed with "LS" and "298" on either side of the score line on one side and plain on the other side. They are available as follows: NDC 70756-298-11                                        bottles of 100 tablets with child-resistant closure NDC 70756-298-51                                        bottles of 500 tablets Dispense in a well-closed, light-resistant container with child-resistant closure. Store at 20° to 25°C (68° to 77°F). [See USP Controlled Room Temperature]. Protect from light. Manufactured for: Lifestar Pharma LLC 1200 MacArthur Blvd. Mahwah, NJ 07430 USA Made in India Revised: November 2024, V-06


Medication Information

Contraindications

Propranolol is contraindicated in 1) cardiogenic shock; 2) sinus bradycardia and greater than first degree block; 3) bronchial asthma; and 4) in patients with known hypersensitivity to propranolol hydrochloride.

Adverse Reactions

The following adverse events were observed and have been reported in patients using propranolol.

Cardiovascular: Bradycardia; congestive heart failure; intensification of AV block; hypotension; paresthesia of hands; thrombocytopenic purpura; arterial insufficiency, usually of the Raynaud type.

Central Nervous System: Light-headedness, mental depression manifested by insomnia, lassitude, weakness, fatigue; catatonia; visual disturbances; hallucinations; vivid dreams; an acute reversible syndrome characterized by disorientation for time and place, short-term memory loss, emotional lability, slightly clouded sensorium, and decreased performance on neuropsychometrics. For immediate-release formulations, fatigue, lethargy, and vivid dreams appear dose-related.

Gastrointestinal: Nausea, vomiting, epigastric distress, abdominal cramping, diarrhea, constipation, mesenteric arterial thrombosis, ischemic colitis.

Allergic: Hypersensitivity reactions, including anaphylactic/anaphylactoid reactions, pharyngitis and agranulocytosis; erythematous rash, fever combined with aching and sore throat; laryngospasm, and respiratory distress.

Respiratory: Bronchospasm.

Hematologic: Agranulocytosis, nonthrombocytopenic purpura, thrombocytopenic purpura.

Autoimmune: Systemic lupus erythematosus (SLE).

Skin and mucous membranes: Stevens-Johnson Syndrome, toxic epidermal necrolysis, dry eyes, exfoliative dermatitis, erythema multiforme, urticaria, alopecia, SLE-like reactions, and psoriasiform rashes. Oculomucocutaneous syndrome involving the skin, serous membranes and conjunctivae reported for a beta blocker (practolol) have not been associated with propranolol.

Genitourinary: Male impotence; Peyronie's disease.

To report SUSPECTED ADVERSE REACTIONS, contact Lifestar Pharma LLC at 1-888-995-4337 or FDA at 1-800-FDA-1088 or www.fda.gov/medwatch.

Drug Interactions

Interactions with Substrates, Inhibitors or Inducers of Cytochrome P-450 Enzymes

Because propranolol's metabolism involves multiple pathways in the cytochrome P-450 system (CYP2D6, 1A2, 2C19), coadministration with drugs that are metabolized by, or effect the activity (induction or inhibition) of one or more of these pathways may lead to clinically relevant drug interactions (see DRUG INTERACTIONS under PRECAUTIONS).

Substrates or Inhibitors of CYP2D6

Blood levels and/or toxicity of propranolol may be increased by coadministration with substrates or inhibitors of CYP2D6, such as amiodarone, cimetidine, delavudin, fluoxetine, paroxetine, quinidine, and ritonavir. No interactions were observed with either ranitidine or lansoprazole.

Substrates or Inhibitors of CYP1A2

Blood levels and/or toxicity of propranolol may be increased by coadministration with substrates or inhibitors of CYP1A2, such as imipramine, cimetidine, ciprofloxacin, fluvoxamine, isoniazid, ritonavir, theophylline, zileuton, zolmitriptan, and rizatriptan.

Substrates or Inhibitors of CYP2C19

Blood levels and/or toxicity of propranolol may be increased by coadministration with substrates or inhibitors of CYP2C19, such as fluconazole, cimetidine, fluoxetine, fluvoxamine, tenioposide, and tolbutamide. No interaction was observed with omeprazole.

Inducers of Hepatic Drug Metabolism

Blood levels of propranolol may be decreased by coadministration with inducers such as rifampin, ethanol, phenytoin, and phenobarbital. Cigarette smoking also induces hepatic metabolism and has been shown to increase up to 77% the clearance of propranolol, resulting in decreased plasma concentrations.

Cardiovascular Drugs

Antiarrhythmics

The AUC of propafenone is increased by more than 200% by coadministration of propranolol.

The metabolism of propranolol is reduced by coadministration of quinidine, leading to a two-three fold increased blood concentration and greater degrees of clinical beta-blockade.

The metabolism of lidocaine is inhibited by coadministration of propranolol, resulting in a 25% increase in lidocaine concentrations.

Calcium Channel Blockers

The mean Cmax and AUC of propranolol are increased, respectively, by 50% and 30% by coadministration of nisoldipine and by 80% and 47%, by coadministration of nicardipine.

The mean Cmax and AUC of nifedipine are increased by 64% and 79%, respectively, by coadministration of propranolol.

Propranolol does not affect the pharmacokinetics of verapamil and norverapamil. Verapamil does not affect the pharmacokinetics of propranolol.

Non-Cardiovascular Drugs

Migraine Drugs

Administration of zolmitriptan or rizatriptan with propranolol resulted in increased concentrations of zolmitriptan (AUC increased by 56% and Cmax by 37%) or rizatriptan (the AUC and Cmax were increased by 67% and 75%, respectively).

Theophylline

Coadministration of theophylline with propranolol decreases theophylline oral clearance by 30% to 52%.

Benzodiazepines

Propranolol can inhibit the metabolism of diazepam, resulting in increased concentrations of diazepam and its metabolites. Diazepam does not alter the pharmacokinetics of propranolol.

The pharmacokinetics of oxazepam, triazolam, lorazepam, and alprazolam are not affected by coadministration of propranolol.

Neuroleptic Drugs

Coadministration of long-acting propranolol at doses greater than or equal to 160 mg/day resulted in increased thioridazine plasma concentrations ranging from 55% to 369% and increased thioridazine metabolite (mesoridazine) concentrations ranging from 33% to 209%.

Coadministration of chlorpromazine with propranolol resulted in a 70% increase in propranolol plasma level.

Anti-Ulcer Drugs

Coadministration of propranolol with cimetidine, a non-specific CYP450 inhibitor, increased propranolol AUC and Cmax by 46% and 35%, respectively. Coadministration with aluminum hydroxide gel (1200 mg) may result in a decrease in propranolol concentrations.

Coadministration of metoclopramide with the long-acting propranolol did not have a significant effect on propranolol's pharmacokinetics.

Lipid Lowering Drugs

Coadministration of cholestyramine or colestipol with propranolol resulted in up to 50% decrease in propranolol concentrations.

Coadministration of propranolol with lovastatin or pravastatin, decreased 18% to 23% the AUC of both, but did not alter their pharmacodynamics. Propranolol did not have an effect on the pharmacokinetics of fluvastatin.

Warfarin

Concomitant administration of propranolol and warfarin has been shown to increase warfarin bioavailability and increase prothrombin time.

Alcohol

Concomitant use of alcohol may increase plasma levels of propranolol.

How Supplied

Propranolol hydrochloride tablets, USP are available containing 10 mg, 20 mg, 40 mg, 60 mg or 80 mg of propranolol hydrochloride, USP.

The 10 mg tablets are round, light beige to dark beige colored, mottled tablets, debossed with ''T'' and "4" on either side of the score line on one side and plain on the other side. They are available as follows:

NDC 70756-094-11                                        bottles of 100 tablets with child-resistant closure

NDC 70756-094-12                                        bottles of 1000 tablets

The 20 mg tablets are oval, light beige to dark beige colored, mottled tablets, debossed with ''T'' and "5" on either side of the score line on one side and plain on the other side. They are available as follows:

NDC 70756-095-11                                        bottles of 100 tablets with child-resistant closure

NDC 70756-095-12                                        bottles of 1000 tablets

The 40 mg tablets are round, light beige to dark beige colored, mottled tablets, debossed with ''LS'' and "296" on either side of the score line on one side and plain on the other side. They are available as follows:

NDC 70756-296-11                                        bottles of 100 tablets with child-resistant closure

NDC 70756-296-51                                        bottles of 500 tablets

The 60 mg tablets are oval, light beige to dark beige colored, mottled tablets, debossed with ''L'' and "S" on either side of the score line on one side and "297" on the other side. They are available as follows:

NDC 70756-297-11                                        bottles of 100 tablets with child-resistant closure

NDC 70756-297-51                                        bottles of 500 tablets

The 80 mg tablets are round, light beige to dark beige colored, mottled tablets, debossed with "LS" and "298" on either side of the score line on one side and plain on the other side. They are available as follows:

NDC 70756-298-11                                        bottles of 100 tablets with child-resistant closure

NDC 70756-298-51                                        bottles of 500 tablets

Dispense in a well-closed, light-resistant container with child-resistant closure.

Store at 20° to 25°C (68° to 77°F). [See USP Controlled Room Temperature]. Protect from light.

Manufactured for:

Lifestar Pharma LLC

1200 MacArthur Blvd.

Mahwah, NJ 07430 USA

Made in India

Revised: November 2024, V-06

Description

Propranolol hydrochloride, USP is a synthetic beta-adrenergic receptor blocking agent chemically described as, (±)-1-(Isopropylamino)-3-(1-naphthyloxy)-2-propanol hydrochloride. Its molecular and structural formulae are:

Molecular Formula: C16H21NO2 • HCl

M.W. 295.80

Propranolol hydrochloride, USP is a stable, white to off-white crystalline powder which is soluble in water and in alcohol; slightly soluble in chloroform; practically insoluble in ether. Its molecular weight is 295.80.

Propranolol hydrochloride is available as 10 mg, 20 mg, 40 mg, 60 mg and 80 mg tablets for oral administration.

Propranolol hydrochloride tablets, USP 10 mg, 20 mg, 40 mg, 60 mg and 80 mg contain the following inactive ingredients: anhydrous lactose, ascorbic acid, butylated hydroxyanisole, colloidal silicon dioxide, croscarmellose sodium, D&C Red No. 27 Phloxine Aluminum Lake, D&C Yellow No. 10 Aluminum Lake, magnesium stearate, microcrystalline cellulose, and stearic acid.

FDA approved dissolution test specifications differ from USP.

General

Propranolol is a nonselective beta-adrenergic receptor blocking agent possessing no other autonomic nervous system activity. It specifically competes with beta-adrenergic receptor agonist agents for available receptor sites. When access to beta-receptor sites is blocked by propranolol, the chronotropic, inotropic, and vasodilator responses to beta-adrenergic stimulation are decreased proportionately. At dosages greater than required for beta blockade, propranolol also exerts a quinidine-like or anesthetic-like membrane action, which affects the cardiac action potential. The significance of the membrane action in the treatment of arrhythmias is uncertain.

Migraine

In a 34-week, placebo-controlled, 4-period, dose-finding crossover study with a double-blind randomized treatment sequence, 62 patients with migraine received propranolol 20 to 80 mg 3 or 4 times daily. The headache unit index, a composite of the number of days with headache and the associated severity of the headache, was significantly reduced for patients receiving propranolol as compared to those on placebo.

Pregnancy

In a series of reproductive and developmental toxicology studies, propranolol hydrochloride was given to rats by gavage or in the diet throughout pregnancy and lactation. At doses of 150 mg/kg/day, but not at doses of 80 mg/kg/day (equivalent to the MRHD on a body surface area basis), treatment was associated with embryotoxicity (reduced litter size and increased resorption rates) as well as neonatal toxicity (deaths). Propranolol hydrochloride also was administered (in the feed) to rabbits (throughout pregnancy and lactation) at doses as high as 150 mg/kg/day (about 5 times the maximum recommended human oral daily dose). No evidence of embryo or neonatal toxicity was noted.

There are no adequate and well-controlled studies in pregnant women. Intrauterine growth retardation, small placentas, and congenital abnormalities have been reported in neonates whose mothers received propranolol during pregnancy. Neonates whose mothers received propranolol at parturition have exhibited bradycardia, hypoglycemia, and/or respiratory depression. Adequate facilities for monitoring such infants at birth should be available. Propranolol hydrochloride should be used during pregnancy only if the potential benefit justifies the potential risk to the fetus.

Absorption

Propranolol is highly lipophilic and almost completely absorbed after oral administration. However, it undergoes high first-pass metabolism by the liver and on average, only about 25% of propranolol reaches the systemic circulation. Peak plasma concentrations occur about 1 to 4 hours after an oral dose.

Administration of protein-rich foods increase the bioavailability of propranolol by about 50% with no change in time to peak concentration, plasma binding, half-life, or the amount of unchanged drug in the urine.

Overdosage

Propranolol is not significantly dialyzable. In the event of overdosage or exaggerated response, the following measures should be employed:

General: If ingestion is or may have been recent, evacuate gastric contents, taking care to prevent pulmonary aspiration.

Supportive Therapy: Hypotension and bradycardia have been reported following propranolol overdose and should be treated appropriately. Glucagon can exert potent inotropic and chronotropic effects and may be particularly useful for the treatment of hypotension or depressed myocardial function after a propranolol overdose. Glucagon should be administered as 50 to 150 mcg/kg intravenously followed by continuous drip of 1 to 5 mg/hour for positive chronotropic effect. Isoproterenol, dopamine or phosphodiesterase inhibitors may also be useful. Epinephrine, however, may provoke uncontrolled hypertension. Bradycardia can be treated with atropine or isoproterenol. Serious bradycardia may require temporary cardiac pacing.

The electrocardiogram, pulse, blood pressure, neurobehavioral status and intake and output balance must be monitored. Isoproterenol and aminophylline may be used for bronchospasm.

Enantiomers

Propranolol is a racemic mixture of two enantiomers, R(+) and S(-). The S(-)-enantiomer is approximately 100 times as potent as the R(+)- enantiomer in blocking beta adrenergic receptors. In normal subjects receiving oral doses of racemic propranolol, S(-)-enantiomer concentrations exceeded those of the R(+)-enantiomer by 40 to 90% as a result of stereoselective hepatic metabolism. Clearance of the pharmacologically active S(-)-propranolol is lower than R(+)-propranolol after intravenous and oral doses.

Distribution

Approximately 90% of circulating propranolol is bound to plasma proteins (albumin and alpha1 acid glycoprotein). The binding is enantiomer-selective. The S(-)-enantiomer is preferentially bound to alpha1 glycoprotein and the R(+)-enantiomer preferentially bound to albumin. The volume of distribution of propranolol is approximately 4 liters/kg.

Propranolol crosses the blood-brain barrier and the placenta, and is distributed into breast milk.

Hypertension

In a retrospective, uncontrolled study, 107 patients with diastolic blood pressure 110 to 150 mmHg received propranolol 120 mg three times a day for at least 6 months, in addition to diuretics and potassium, but with no other antihypertensive agent. Propranolol contributed to control of diastolic blood pressure, but the magnitude of the effect of propranolol on blood pressure cannot be ascertained.

Geriatric Use

Clinical studies of propranolol hydrochloride did not include sufficient numbers of subjects aged 65 and over to determine whether they respond differently from younger subjects. Other reported clinical experience has not identified differences in responses between the elderly and younger patients. In general, dose selection for an elderly patient should be cautious, usually starting at the low end of the dosing range, reflecting the greater frequency of decreased hepatic, renal, or cardiac function, and of concomitant disease or other drug therapy.

Major Surgery

Chronically administered beta-blocking therapy should not be routinely withdrawn prior to major surgery, however the impaired ability of the heart to respond to reflex adrenergic stimuli may augment the risks of general anesthesia and surgical procedures.

Pediatric Use

Safety and effectiveness of propranolol in pediatric patients have not been established.

Bronchospasm and congestive heart failure have been reported coincident with the administration of propranolol therapy in pediatric patients.

Thyrotoxicosis

Beta-adrenergic blockade may mask certain clinical signs of hyperthyroidism. Therefore, abrupt withdrawal of propranolol may be followed by an exacerbation of symptoms of hyperthyroidism, including thyroid storm. Propranolol may change thyroid-function tests, increasing T4 and reverse T3 and decreasing T3.

Angina Pectoris

In a double-blind, placebo-controlled study of 32 patients of both sexes, aged 32 to 69 years, with stable angina, propranolol 100 mg three times a day was administered for 4 weeks and shown to be more effective than placebo in reducing the rate of angina episodes and in prolonging total exercise time.

Cardiac Failure

Sympathetic stimulation may be a vital component supporting circulatory function in patients with congestive heart failure, and its inhibition by beta blockade may precipitate more severe failure. Although beta blockers should be avoided in overt congestive heart failure, some have been shown to be highly beneficial when used with close follow-up in patients with a history of failure who are well compensated and are receiving additional therapies, including diuretics as needed. Beta-adrenergic blocking agents do not abolish the inotropic action of digitalis on heart muscle.

In Patients without a History of Heart Failure, continued use of beta blockers can, in some cases, lead to cardiac failure.

Nonallergic Bronchospasm (e.g., Chronic Bronchitis, Emphysema)

In general, patients with bronchospastic lung disease should not receive beta blockers. Propranolol should be administered with caution in this setting since it may provoke a bronchial asthmatic attack by blocking bronchodilation produced by endogenous and exogenous catecholamine stimulation of beta-receptors.

Nursing Mothers

Propranolol is excreted in human milk. Caution should be exercised when propranolol hydrochloride tablets are administered to a nursing woman.

Essential Tremor

In a 2 week, double-blind, parallel, placebo-controlled study of 9 patients with essential or familial tremor, propranolol, at a dose titrated as needed from 40 to 80 mg three times a day reduced tremor severity compared to placebo.

Pheochromocytoma

In an uncontrolled series of 3 patients with norepinephrine-secreting pheochromocytoma who were pretreated with an alpha adrenergic blocker (prazosin), perioperative use of propranolol at doses of 40 to 80 mg three times a day resulted in symptomatic blood pressure control.

Atrial Fibrillation

In a report examining the long-term (5 to 22 months) efficacy of propranolol, 10 patients, aged 27 to 80, with atrial fibrillation and ventricular rate greater than 120 beats per minute despite digitalis, received propranolol up to 30 mg three times a day. Seven patients (70%) achieved ventricular rate reduction to less than 100 beats per minute.

Mechanism of Action

The mechanism of the antihypertensive effect of propranolol has not been established. Factors that may contribute to the antihypertensive action include: (1) decreased cardiac output, (2) inhibition of renin release by the kidneys, and (3) diminution of tonic sympathetic nerve outflow from vasomotor centers in the brain. Although total peripheral resistance may increase initially, it readjusts to or below the pretreatment level with chronic use of propranolol. Effects of propranolol on plasma volume appear to be minor and somewhat variable.

In angina pectoris, propranolol generally reduces the oxygen requirement of the heart at any given level of effort by blocking the catecholamine-induced increases in the heart rate, systolic blood pressure, and the velocity and extent of myocardial contraction. Propranolol may increase oxygen requirements by increasing left ventricular fiber length, end diastolic pressure, and systolic ejection period. The net physiologic effect of beta-adrenergic blockade is usually advantageous and is manifested during exercise by delayed onset of pain and increased work capacity.

Propranolol exerts its antiarrhythmic effects in concentrations associated with beta-adrenergic blockade, and this appears to be its principal antiarrhythmic mechanism of action. In dosages greater than required for beta blockade, propranolol also exerts a quinidine-like or anesthetic-like membrane action, which affects the cardiac action potential. The significance of the membrane action in the treatment of arrhythmias is uncertain.

The mechanism of the antimigraine effect of propranolol has not been established. Beta-adrenergic receptors have been demonstrated in the pial vessels of the brain.

The specific mechanism of propranolol's antitremor effects has not been established, but beta-2 (noncardiac) receptors may be involved. A central effect is also possible. Clinical studies have demonstrated that propranolol hydrochloride is of benefit in exaggerated physiological and essential (familial) tremor.

Special Populations

Geriatric

In a study of 12 elderly (62 to 79 years old) and 12 young (25 to 33 years old) healthy subjects, the clearance of S(-)-enantiomer of propranolol was decreased in the elderly. Additionally, the half-life of both the R(+)- and S(-)- propranolol were prolonged in the elderly compared with the young (11 hours vs. 5 hours).

Clearance of propranolol is reduced with aging due to decline in oxidation capacity (ring oxidation and side-chain oxidation). Conjugation capacity remains unchanged. In a study of 32 patients age 30 to 84 years given a single 20-mg dose of propranolol, an inverse correlation was found between age and the partial metabolic clearances to 4-hydroxypropranolol (40HP-ring oxidation) and to naphthoxylactic acid (NLA-side chain oxidation). No correlation was found between age and the partial metabolic clearance to propranolol glucuronide (PPLG-conjugation).

Gender

In a study of 9 healthy women and 12 healthy men, neither the administration of testosterone nor the regular course of the menstrual cycle affected the plasma binding of the propranolol enantiomers. In contrast, there was a significant, although non-enantioselective diminution of the binding of propranolol after treatment with ethinyl estradiol. These findings are inconsistent with another study, in which administration of testosterone cypionate confirmed the stimulatory role of this hormone on propranolol metabolism and concluded that the clearance of propranolol in men is dependent on circulating concentrations of testosterone. In women, none of the metabolic clearances for propranolol showed any significant association with either estradiol or testosterone.

Race

A study conducted in 12 Caucasian and 13 African-American male subjects taking propranolol, showed that at steady state, the clearance of R(+)- and S(-)-propranolol were about 76% and 53% higher in African-Americans than in Caucasians, respectively.

Chinese subjects had a greater proportion (18% to 45% higher) of unbound propranolol in plasma compared to Caucasians, which was associated with a lower plasma concentration of alpha1 acid glycoprotein.

Renal Insufficiency

In a study conducted in 5 patients with chronic renal failure, 6 patients on regular dialysis, and 5 healthy subjects, who received a single oral dose of 40 mg of propranolol, the peak plasma concentrations (Cmax) of propranolol in the chronic renal failure group were 2 to 3-fold higher (161±41 ng/mL) than those observed in the dialysis patients (47±9 ng/mL) and in the healthy subjects (26±1 ng/mL). Propranolol plasma clearance was also reduced in the patients with chronic renal failure.

Studies have reported a delayed absorption rate and a reduced half-life of propranolol in patients with renal failure of varying severity. Despite this shorter plasma half-life, propranolol peak plasma levels were 3 to 4 times higher and total plasma levels of metabolites were up to 3 times higher in these patients than in subjects with normal renal function.

Chronic renal failure has been associated with a decrease in drug metabolism via downregulation of hepatic cytochrome P450 activity resulting in a lower "first-pass" clearance.

Propranolol is not significantly dialyzable.

Hepatic Insufficiency

Propranolol is extensively metabolized by the liver. In a study conducted in 7 patients with cirrhosis and 9 healthy subjects receiving 80-mg oral propranolol every 8 hours for 7 doses, the steady-state unbound propranolol concentration in patients with cirrhosis was increased 3-fold in comparison to controls. In cirrhosis, the half-life increased to 11 hours compared to 4 hours (see PRECAUTIONS).

Myocardial Infarction

The Beta-Blocker Heart Attack Trial (BHAT) was a National Heart, Lung and Blood Institute-sponsored multicenter, randomized, double-blind, placebo-controlled trial conducted in 31 U.S. centers (plus one in Canada) in 3,837 persons without history of severe congestive heart failure or presence of recent heart failure; certain conduction defects; angina since infarction, who had survived the acute phase of myocardial infarction. Propranolol was administered at either 60 or 80 mg three times a day based on blood levels achieved during an initial trial of 40 mg three times a day. Therapy with propranolol hydrochloride, begun 5 to 21 days following infarction, was shown to reduce overall mortality up to 39 months, the longest period of follow-up. This was primarily attributable to a reduction in cardiovascular mortality. The protective effect of propranolol hydrochloride was consistent regardless of age, sex, or site of infarction. Compared with placebo, total mortality was reduced 39% at 12 months and 26% over an average follow-up period of 25 months. The Norwegian Multicenter Trial in which propranolol was administered at 40 mg four times a day gave overall results which support the findings in the BHAT.

Although the clinical trials used either three times a day or four times a day dosing, clinical, pharmacologic, and pharmacokinetic data provide a reasonable basis for concluding that twice daily dosing with propranolol should be adequate in the treatment of postinfarction patients.

Clinical Laboratory Tests

In patients with hypertension, use of propranolol has been associated with elevated levels of serum potassium, serum transaminases and alkaline phosphatase. In severe heart failure, the use of propranolol has been associated with increases in Blood Urea Nitrogen.

Diabetes and Hypoglycemia

Beta-adrenergic blockade may prevent the appearance of certain premonitory signs and symptoms (pulse rate and pressure changes) of acute hypoglycemia, especially in labile insulin-dependent diabetics. In these patients, it may be more difficult to adjust the dosage of insulin.

Propranolol therapy, particularly when given to infants and children, diabetic or not, has been associated with hypoglycemia, especially during fasting as in preparation for surgery. Hypoglycemia has been reported in patients taking propranolol after prolonged physical exertion and in patients with renal insufficiency.

Metabolism and Elimination

Propranolol is extensively metabolized with most metabolites appearing in the urine. Propranolol is metabolized through three primary routes: aromatic hydroxylation (mainly 4-hydroxylation), N-dealkylation followed by further side-chain oxidation, and direct glucuronidation. It has been estimated that the percentage contributions of these routes to total metabolism are 42%, 41% and 17%, respectively, but with considerable variability between individuals. The four major metabolites are propranolol glucuronide, naphthyloxylactic acid and glucuronic acid, and sulfate conjugates of 4-hydroxy propranolol.

In vitro studies have indicated that the aromatic hydroxylation of propranolol is catalyzed mainly by polymorphic CYP2D6. Side-chain oxidation is mediated mainly by CYP1A2 and to some extent by CYP2D6. 4-hydroxy propranolol is a weak inhibitor of CYP2D6.

Propranolol is also a substrate of CYP2C19 and a substrate for the intestinal efflux transporter, p-glycoprotein (p-gp). Studies suggest however that p-gp is not dose-limiting for intestinal absorption of propranolol in the usual therapeutic dose range.

In healthy subjects, no difference was observed between CYP2D6 extensive metabolizers (EMs) and poor metabolizers (PMs) with respect to oral clearance or elimination half-life. Partial clearance of 4-hydroxy propranolol was significantly higher and of naphthyloxyactic acid significantly lower in EMs than PMs.

The plasma half-life of propranolol is from 3 to 6 hours.

Wolff Parkinson White Syndrome

Beta-adrenergic blockade in patients with Wolf-Parkinson-White Syndrome and tachycardia has been associated with severe bradycardia requiring treatment with a pacemaker. In one case, this result was reported after an initial dose of 5 mg propranolol.

Hypertrophic Subaortic Stenosis

In an uncontrolled series of 13 patients with New York Heart Association (NYHA) class 2 or 3 symptoms and hypertrophic subaortic stenosis diagnosed at cardiac catheterization, oral propranolol 40 to 80 mg three times a day was administered and patients were followed for up to 17 months. Propranolol was associated with improved NYHA class for most patients.

Hypersensitivity and Skin Reactions

Hypersensitivity reactions, including anaphylactic/anaphylactoid reactions, have been associated with the administration of propranolol (see ADVERSE REACTIONS).

Cutaneous reactions, including Stevens-Johnson Syndrome, toxic epidermal necrolysis, exfoliative dermatitis, erythema multiforme, and urticaria, have been reported with use of propranolol (see ADVERSE REACTIONS).

Package Label.principal Display Panel

NDC 70756-094-11

Propranolol Hydrochloride Tablets, USP

10 mg

Rx only                       100 Tablets

NDC 70756-094-12

Propranolol Hydrochloride Tablets, USP

10 mg

Rx only                       1000 Tablets

Angina Pectoris Due to Coronary Atherosclerosis

Propranolol hydrochloride tablets are indicated to decrease angina frequency and increase exercise tolerance in patients with angina pectoris.

Carcinogenesis, Mutagenesis, Impairment of Fertility

In dietary administration studies in which mice and rats were treated with propranolol hydrochloride for up to 18 months at doses of up to 150 mg/kg/day, there was no evidence of drug-related tumorigenesis. On a body surface area basis, this dose in the mouse and rat is, respectively, about equal to and about twice the maximum recommended human oral daily dose (MRHD) of 640 mg propranolol hydrochloride. In a study in which both male and female rats were exposed to propranolol hydrochloride in their diets at concentrations of up to 0.05% (about 50 mg/kg body weight and less than the MRHD), from 60 days prior to mating and throughout pregnancy and lactation for two generations, there were no effects on fertility. Based on differing results from Ames Tests performed by different laboratories, there is equivocal evidence for a genotoxic effect of propranolol hydrochloride in bacteria (S. typhimurium strain TA 1538).


Structured Label Content

General

Propranolol is a nonselective beta-adrenergic receptor blocking agent possessing no other autonomic nervous system activity. It specifically competes with beta-adrenergic receptor agonist agents for available receptor sites. When access to beta-receptor sites is blocked by propranolol, the chronotropic, inotropic, and vasodilator responses to beta-adrenergic stimulation are decreased proportionately. At dosages greater than required for beta blockade, propranolol also exerts a quinidine-like or anesthetic-like membrane action, which affects the cardiac action potential. The significance of the membrane action in the treatment of arrhythmias is uncertain.

Migraine

In a 34-week, placebo-controlled, 4-period, dose-finding crossover study with a double-blind randomized treatment sequence, 62 patients with migraine received propranolol 20 to 80 mg 3 or 4 times daily. The headache unit index, a composite of the number of days with headache and the associated severity of the headache, was significantly reduced for patients receiving propranolol as compared to those on placebo.

Pregnancy

In a series of reproductive and developmental toxicology studies, propranolol hydrochloride was given to rats by gavage or in the diet throughout pregnancy and lactation. At doses of 150 mg/kg/day, but not at doses of 80 mg/kg/day (equivalent to the MRHD on a body surface area basis), treatment was associated with embryotoxicity (reduced litter size and increased resorption rates) as well as neonatal toxicity (deaths). Propranolol hydrochloride also was administered (in the feed) to rabbits (throughout pregnancy and lactation) at doses as high as 150 mg/kg/day (about 5 times the maximum recommended human oral daily dose). No evidence of embryo or neonatal toxicity was noted.

There are no adequate and well-controlled studies in pregnant women. Intrauterine growth retardation, small placentas, and congenital abnormalities have been reported in neonates whose mothers received propranolol during pregnancy. Neonates whose mothers received propranolol at parturition have exhibited bradycardia, hypoglycemia, and/or respiratory depression. Adequate facilities for monitoring such infants at birth should be available. Propranolol hydrochloride should be used during pregnancy only if the potential benefit justifies the potential risk to the fetus.

Absorption

Propranolol is highly lipophilic and almost completely absorbed after oral administration. However, it undergoes high first-pass metabolism by the liver and on average, only about 25% of propranolol reaches the systemic circulation. Peak plasma concentrations occur about 1 to 4 hours after an oral dose.

Administration of protein-rich foods increase the bioavailability of propranolol by about 50% with no change in time to peak concentration, plasma binding, half-life, or the amount of unchanged drug in the urine.

Overdosage (OVERDOSAGE)

Propranolol is not significantly dialyzable. In the event of overdosage or exaggerated response, the following measures should be employed:

General: If ingestion is or may have been recent, evacuate gastric contents, taking care to prevent pulmonary aspiration.

Supportive Therapy: Hypotension and bradycardia have been reported following propranolol overdose and should be treated appropriately. Glucagon can exert potent inotropic and chronotropic effects and may be particularly useful for the treatment of hypotension or depressed myocardial function after a propranolol overdose. Glucagon should be administered as 50 to 150 mcg/kg intravenously followed by continuous drip of 1 to 5 mg/hour for positive chronotropic effect. Isoproterenol, dopamine or phosphodiesterase inhibitors may also be useful. Epinephrine, however, may provoke uncontrolled hypertension. Bradycardia can be treated with atropine or isoproterenol. Serious bradycardia may require temporary cardiac pacing.

The electrocardiogram, pulse, blood pressure, neurobehavioral status and intake and output balance must be monitored. Isoproterenol and aminophylline may be used for bronchospasm.

Description (DESCRIPTION)

Propranolol hydrochloride, USP is a synthetic beta-adrenergic receptor blocking agent chemically described as, (±)-1-(Isopropylamino)-3-(1-naphthyloxy)-2-propanol hydrochloride. Its molecular and structural formulae are:

Molecular Formula: C16H21NO2 • HCl

M.W. 295.80

Propranolol hydrochloride, USP is a stable, white to off-white crystalline powder which is soluble in water and in alcohol; slightly soluble in chloroform; practically insoluble in ether. Its molecular weight is 295.80.

Propranolol hydrochloride is available as 10 mg, 20 mg, 40 mg, 60 mg and 80 mg tablets for oral administration.

Propranolol hydrochloride tablets, USP 10 mg, 20 mg, 40 mg, 60 mg and 80 mg contain the following inactive ingredients: anhydrous lactose, ascorbic acid, butylated hydroxyanisole, colloidal silicon dioxide, croscarmellose sodium, D&C Red No. 27 Phloxine Aluminum Lake, D&C Yellow No. 10 Aluminum Lake, magnesium stearate, microcrystalline cellulose, and stearic acid.

FDA approved dissolution test specifications differ from USP.

Enantiomers

Propranolol is a racemic mixture of two enantiomers, R(+) and S(-). The S(-)-enantiomer is approximately 100 times as potent as the R(+)- enantiomer in blocking beta adrenergic receptors. In normal subjects receiving oral doses of racemic propranolol, S(-)-enantiomer concentrations exceeded those of the R(+)-enantiomer by 40 to 90% as a result of stereoselective hepatic metabolism. Clearance of the pharmacologically active S(-)-propranolol is lower than R(+)-propranolol after intravenous and oral doses.

Distribution

Approximately 90% of circulating propranolol is bound to plasma proteins (albumin and alpha1 acid glycoprotein). The binding is enantiomer-selective. The S(-)-enantiomer is preferentially bound to alpha1 glycoprotein and the R(+)-enantiomer preferentially bound to albumin. The volume of distribution of propranolol is approximately 4 liters/kg.

Propranolol crosses the blood-brain barrier and the placenta, and is distributed into breast milk.

How Supplied (HOW SUPPLIED)

Propranolol hydrochloride tablets, USP are available containing 10 mg, 20 mg, 40 mg, 60 mg or 80 mg of propranolol hydrochloride, USP.

The 10 mg tablets are round, light beige to dark beige colored, mottled tablets, debossed with ''T'' and "4" on either side of the score line on one side and plain on the other side. They are available as follows:

NDC 70756-094-11                                        bottles of 100 tablets with child-resistant closure

NDC 70756-094-12                                        bottles of 1000 tablets

The 20 mg tablets are oval, light beige to dark beige colored, mottled tablets, debossed with ''T'' and "5" on either side of the score line on one side and plain on the other side. They are available as follows:

NDC 70756-095-11                                        bottles of 100 tablets with child-resistant closure

NDC 70756-095-12                                        bottles of 1000 tablets

The 40 mg tablets are round, light beige to dark beige colored, mottled tablets, debossed with ''LS'' and "296" on either side of the score line on one side and plain on the other side. They are available as follows:

NDC 70756-296-11                                        bottles of 100 tablets with child-resistant closure

NDC 70756-296-51                                        bottles of 500 tablets

The 60 mg tablets are oval, light beige to dark beige colored, mottled tablets, debossed with ''L'' and "S" on either side of the score line on one side and "297" on the other side. They are available as follows:

NDC 70756-297-11                                        bottles of 100 tablets with child-resistant closure

NDC 70756-297-51                                        bottles of 500 tablets

The 80 mg tablets are round, light beige to dark beige colored, mottled tablets, debossed with "LS" and "298" on either side of the score line on one side and plain on the other side. They are available as follows:

NDC 70756-298-11                                        bottles of 100 tablets with child-resistant closure

NDC 70756-298-51                                        bottles of 500 tablets

Dispense in a well-closed, light-resistant container with child-resistant closure.

Store at 20° to 25°C (68° to 77°F). [See USP Controlled Room Temperature]. Protect from light.

Manufactured for:

Lifestar Pharma LLC

1200 MacArthur Blvd.

Mahwah, NJ 07430 USA

Made in India

Revised: November 2024, V-06

Hypertension

In a retrospective, uncontrolled study, 107 patients with diastolic blood pressure 110 to 150 mmHg received propranolol 120 mg three times a day for at least 6 months, in addition to diuretics and potassium, but with no other antihypertensive agent. Propranolol contributed to control of diastolic blood pressure, but the magnitude of the effect of propranolol on blood pressure cannot be ascertained.

Geriatric Use

Clinical studies of propranolol hydrochloride did not include sufficient numbers of subjects aged 65 and over to determine whether they respond differently from younger subjects. Other reported clinical experience has not identified differences in responses between the elderly and younger patients. In general, dose selection for an elderly patient should be cautious, usually starting at the low end of the dosing range, reflecting the greater frequency of decreased hepatic, renal, or cardiac function, and of concomitant disease or other drug therapy.

Major Surgery

Chronically administered beta-blocking therapy should not be routinely withdrawn prior to major surgery, however the impaired ability of the heart to respond to reflex adrenergic stimuli may augment the risks of general anesthesia and surgical procedures.

Pediatric Use

Safety and effectiveness of propranolol in pediatric patients have not been established.

Bronchospasm and congestive heart failure have been reported coincident with the administration of propranolol therapy in pediatric patients.

Thyrotoxicosis

Beta-adrenergic blockade may mask certain clinical signs of hyperthyroidism. Therefore, abrupt withdrawal of propranolol may be followed by an exacerbation of symptoms of hyperthyroidism, including thyroid storm. Propranolol may change thyroid-function tests, increasing T4 and reverse T3 and decreasing T3.

Angina Pectoris

In a double-blind, placebo-controlled study of 32 patients of both sexes, aged 32 to 69 years, with stable angina, propranolol 100 mg three times a day was administered for 4 weeks and shown to be more effective than placebo in reducing the rate of angina episodes and in prolonging total exercise time.

Cardiac Failure

Sympathetic stimulation may be a vital component supporting circulatory function in patients with congestive heart failure, and its inhibition by beta blockade may precipitate more severe failure. Although beta blockers should be avoided in overt congestive heart failure, some have been shown to be highly beneficial when used with close follow-up in patients with a history of failure who are well compensated and are receiving additional therapies, including diuretics as needed. Beta-adrenergic blocking agents do not abolish the inotropic action of digitalis on heart muscle.

In Patients without a History of Heart Failure, continued use of beta blockers can, in some cases, lead to cardiac failure.

Nonallergic Bronchospasm (e.g., Chronic Bronchitis, Emphysema)

In general, patients with bronchospastic lung disease should not receive beta blockers. Propranolol should be administered with caution in this setting since it may provoke a bronchial asthmatic attack by blocking bronchodilation produced by endogenous and exogenous catecholamine stimulation of beta-receptors.

Nursing Mothers

Propranolol is excreted in human milk. Caution should be exercised when propranolol hydrochloride tablets are administered to a nursing woman.

Essential Tremor

In a 2 week, double-blind, parallel, placebo-controlled study of 9 patients with essential or familial tremor, propranolol, at a dose titrated as needed from 40 to 80 mg three times a day reduced tremor severity compared to placebo.

Pheochromocytoma

In an uncontrolled series of 3 patients with norepinephrine-secreting pheochromocytoma who were pretreated with an alpha adrenergic blocker (prazosin), perioperative use of propranolol at doses of 40 to 80 mg three times a day resulted in symptomatic blood pressure control.

Adverse Reactions (ADVERSE REACTIONS)

The following adverse events were observed and have been reported in patients using propranolol.

Cardiovascular: Bradycardia; congestive heart failure; intensification of AV block; hypotension; paresthesia of hands; thrombocytopenic purpura; arterial insufficiency, usually of the Raynaud type.

Central Nervous System: Light-headedness, mental depression manifested by insomnia, lassitude, weakness, fatigue; catatonia; visual disturbances; hallucinations; vivid dreams; an acute reversible syndrome characterized by disorientation for time and place, short-term memory loss, emotional lability, slightly clouded sensorium, and decreased performance on neuropsychometrics. For immediate-release formulations, fatigue, lethargy, and vivid dreams appear dose-related.

Gastrointestinal: Nausea, vomiting, epigastric distress, abdominal cramping, diarrhea, constipation, mesenteric arterial thrombosis, ischemic colitis.

Allergic: Hypersensitivity reactions, including anaphylactic/anaphylactoid reactions, pharyngitis and agranulocytosis; erythematous rash, fever combined with aching and sore throat; laryngospasm, and respiratory distress.

Respiratory: Bronchospasm.

Hematologic: Agranulocytosis, nonthrombocytopenic purpura, thrombocytopenic purpura.

Autoimmune: Systemic lupus erythematosus (SLE).

Skin and mucous membranes: Stevens-Johnson Syndrome, toxic epidermal necrolysis, dry eyes, exfoliative dermatitis, erythema multiforme, urticaria, alopecia, SLE-like reactions, and psoriasiform rashes. Oculomucocutaneous syndrome involving the skin, serous membranes and conjunctivae reported for a beta blocker (practolol) have not been associated with propranolol.

Genitourinary: Male impotence; Peyronie's disease.

To report SUSPECTED ADVERSE REACTIONS, contact Lifestar Pharma LLC at 1-888-995-4337 or FDA at 1-800-FDA-1088 or www.fda.gov/medwatch.

Contraindications (CONTRAINDICATIONS)

Propranolol is contraindicated in 1) cardiogenic shock; 2) sinus bradycardia and greater than first degree block; 3) bronchial asthma; and 4) in patients with known hypersensitivity to propranolol hydrochloride.

Drug Interactions

Interactions with Substrates, Inhibitors or Inducers of Cytochrome P-450 Enzymes

Because propranolol's metabolism involves multiple pathways in the cytochrome P-450 system (CYP2D6, 1A2, 2C19), coadministration with drugs that are metabolized by, or effect the activity (induction or inhibition) of one or more of these pathways may lead to clinically relevant drug interactions (see DRUG INTERACTIONS under PRECAUTIONS).

Substrates or Inhibitors of CYP2D6

Blood levels and/or toxicity of propranolol may be increased by coadministration with substrates or inhibitors of CYP2D6, such as amiodarone, cimetidine, delavudin, fluoxetine, paroxetine, quinidine, and ritonavir. No interactions were observed with either ranitidine or lansoprazole.

Substrates or Inhibitors of CYP1A2

Blood levels and/or toxicity of propranolol may be increased by coadministration with substrates or inhibitors of CYP1A2, such as imipramine, cimetidine, ciprofloxacin, fluvoxamine, isoniazid, ritonavir, theophylline, zileuton, zolmitriptan, and rizatriptan.

Substrates or Inhibitors of CYP2C19

Blood levels and/or toxicity of propranolol may be increased by coadministration with substrates or inhibitors of CYP2C19, such as fluconazole, cimetidine, fluoxetine, fluvoxamine, tenioposide, and tolbutamide. No interaction was observed with omeprazole.

Inducers of Hepatic Drug Metabolism

Blood levels of propranolol may be decreased by coadministration with inducers such as rifampin, ethanol, phenytoin, and phenobarbital. Cigarette smoking also induces hepatic metabolism and has been shown to increase up to 77% the clearance of propranolol, resulting in decreased plasma concentrations.

Cardiovascular Drugs

Antiarrhythmics

The AUC of propafenone is increased by more than 200% by coadministration of propranolol.

The metabolism of propranolol is reduced by coadministration of quinidine, leading to a two-three fold increased blood concentration and greater degrees of clinical beta-blockade.

The metabolism of lidocaine is inhibited by coadministration of propranolol, resulting in a 25% increase in lidocaine concentrations.

Calcium Channel Blockers

The mean Cmax and AUC of propranolol are increased, respectively, by 50% and 30% by coadministration of nisoldipine and by 80% and 47%, by coadministration of nicardipine.

The mean Cmax and AUC of nifedipine are increased by 64% and 79%, respectively, by coadministration of propranolol.

Propranolol does not affect the pharmacokinetics of verapamil and norverapamil. Verapamil does not affect the pharmacokinetics of propranolol.

Non-Cardiovascular Drugs

Migraine Drugs

Administration of zolmitriptan or rizatriptan with propranolol resulted in increased concentrations of zolmitriptan (AUC increased by 56% and Cmax by 37%) or rizatriptan (the AUC and Cmax were increased by 67% and 75%, respectively).

Theophylline

Coadministration of theophylline with propranolol decreases theophylline oral clearance by 30% to 52%.

Benzodiazepines

Propranolol can inhibit the metabolism of diazepam, resulting in increased concentrations of diazepam and its metabolites. Diazepam does not alter the pharmacokinetics of propranolol.

The pharmacokinetics of oxazepam, triazolam, lorazepam, and alprazolam are not affected by coadministration of propranolol.

Neuroleptic Drugs

Coadministration of long-acting propranolol at doses greater than or equal to 160 mg/day resulted in increased thioridazine plasma concentrations ranging from 55% to 369% and increased thioridazine metabolite (mesoridazine) concentrations ranging from 33% to 209%.

Coadministration of chlorpromazine with propranolol resulted in a 70% increase in propranolol plasma level.

Anti-Ulcer Drugs

Coadministration of propranolol with cimetidine, a non-specific CYP450 inhibitor, increased propranolol AUC and Cmax by 46% and 35%, respectively. Coadministration with aluminum hydroxide gel (1200 mg) may result in a decrease in propranolol concentrations.

Coadministration of metoclopramide with the long-acting propranolol did not have a significant effect on propranolol's pharmacokinetics.

Lipid Lowering Drugs

Coadministration of cholestyramine or colestipol with propranolol resulted in up to 50% decrease in propranolol concentrations.

Coadministration of propranolol with lovastatin or pravastatin, decreased 18% to 23% the AUC of both, but did not alter their pharmacodynamics. Propranolol did not have an effect on the pharmacokinetics of fluvastatin.

Warfarin

Concomitant administration of propranolol and warfarin has been shown to increase warfarin bioavailability and increase prothrombin time.

Alcohol

Concomitant use of alcohol may increase plasma levels of propranolol.

Atrial Fibrillation

In a report examining the long-term (5 to 22 months) efficacy of propranolol, 10 patients, aged 27 to 80, with atrial fibrillation and ventricular rate greater than 120 beats per minute despite digitalis, received propranolol up to 30 mg three times a day. Seven patients (70%) achieved ventricular rate reduction to less than 100 beats per minute.

Mechanism of Action

The mechanism of the antihypertensive effect of propranolol has not been established. Factors that may contribute to the antihypertensive action include: (1) decreased cardiac output, (2) inhibition of renin release by the kidneys, and (3) diminution of tonic sympathetic nerve outflow from vasomotor centers in the brain. Although total peripheral resistance may increase initially, it readjusts to or below the pretreatment level with chronic use of propranolol. Effects of propranolol on plasma volume appear to be minor and somewhat variable.

In angina pectoris, propranolol generally reduces the oxygen requirement of the heart at any given level of effort by blocking the catecholamine-induced increases in the heart rate, systolic blood pressure, and the velocity and extent of myocardial contraction. Propranolol may increase oxygen requirements by increasing left ventricular fiber length, end diastolic pressure, and systolic ejection period. The net physiologic effect of beta-adrenergic blockade is usually advantageous and is manifested during exercise by delayed onset of pain and increased work capacity.

Propranolol exerts its antiarrhythmic effects in concentrations associated with beta-adrenergic blockade, and this appears to be its principal antiarrhythmic mechanism of action. In dosages greater than required for beta blockade, propranolol also exerts a quinidine-like or anesthetic-like membrane action, which affects the cardiac action potential. The significance of the membrane action in the treatment of arrhythmias is uncertain.

The mechanism of the antimigraine effect of propranolol has not been established. Beta-adrenergic receptors have been demonstrated in the pial vessels of the brain.

The specific mechanism of propranolol's antitremor effects has not been established, but beta-2 (noncardiac) receptors may be involved. A central effect is also possible. Clinical studies have demonstrated that propranolol hydrochloride is of benefit in exaggerated physiological and essential (familial) tremor.

Special Populations

Geriatric

In a study of 12 elderly (62 to 79 years old) and 12 young (25 to 33 years old) healthy subjects, the clearance of S(-)-enantiomer of propranolol was decreased in the elderly. Additionally, the half-life of both the R(+)- and S(-)- propranolol were prolonged in the elderly compared with the young (11 hours vs. 5 hours).

Clearance of propranolol is reduced with aging due to decline in oxidation capacity (ring oxidation and side-chain oxidation). Conjugation capacity remains unchanged. In a study of 32 patients age 30 to 84 years given a single 20-mg dose of propranolol, an inverse correlation was found between age and the partial metabolic clearances to 4-hydroxypropranolol (40HP-ring oxidation) and to naphthoxylactic acid (NLA-side chain oxidation). No correlation was found between age and the partial metabolic clearance to propranolol glucuronide (PPLG-conjugation).

Gender

In a study of 9 healthy women and 12 healthy men, neither the administration of testosterone nor the regular course of the menstrual cycle affected the plasma binding of the propranolol enantiomers. In contrast, there was a significant, although non-enantioselective diminution of the binding of propranolol after treatment with ethinyl estradiol. These findings are inconsistent with another study, in which administration of testosterone cypionate confirmed the stimulatory role of this hormone on propranolol metabolism and concluded that the clearance of propranolol in men is dependent on circulating concentrations of testosterone. In women, none of the metabolic clearances for propranolol showed any significant association with either estradiol or testosterone.

Race

A study conducted in 12 Caucasian and 13 African-American male subjects taking propranolol, showed that at steady state, the clearance of R(+)- and S(-)-propranolol were about 76% and 53% higher in African-Americans than in Caucasians, respectively.

Chinese subjects had a greater proportion (18% to 45% higher) of unbound propranolol in plasma compared to Caucasians, which was associated with a lower plasma concentration of alpha1 acid glycoprotein.

Renal Insufficiency

In a study conducted in 5 patients with chronic renal failure, 6 patients on regular dialysis, and 5 healthy subjects, who received a single oral dose of 40 mg of propranolol, the peak plasma concentrations (Cmax) of propranolol in the chronic renal failure group were 2 to 3-fold higher (161±41 ng/mL) than those observed in the dialysis patients (47±9 ng/mL) and in the healthy subjects (26±1 ng/mL). Propranolol plasma clearance was also reduced in the patients with chronic renal failure.

Studies have reported a delayed absorption rate and a reduced half-life of propranolol in patients with renal failure of varying severity. Despite this shorter plasma half-life, propranolol peak plasma levels were 3 to 4 times higher and total plasma levels of metabolites were up to 3 times higher in these patients than in subjects with normal renal function.

Chronic renal failure has been associated with a decrease in drug metabolism via downregulation of hepatic cytochrome P450 activity resulting in a lower "first-pass" clearance.

Propranolol is not significantly dialyzable.

Hepatic Insufficiency

Propranolol is extensively metabolized by the liver. In a study conducted in 7 patients with cirrhosis and 9 healthy subjects receiving 80-mg oral propranolol every 8 hours for 7 doses, the steady-state unbound propranolol concentration in patients with cirrhosis was increased 3-fold in comparison to controls. In cirrhosis, the half-life increased to 11 hours compared to 4 hours (see PRECAUTIONS).

Myocardial Infarction

The Beta-Blocker Heart Attack Trial (BHAT) was a National Heart, Lung and Blood Institute-sponsored multicenter, randomized, double-blind, placebo-controlled trial conducted in 31 U.S. centers (plus one in Canada) in 3,837 persons without history of severe congestive heart failure or presence of recent heart failure; certain conduction defects; angina since infarction, who had survived the acute phase of myocardial infarction. Propranolol was administered at either 60 or 80 mg three times a day based on blood levels achieved during an initial trial of 40 mg three times a day. Therapy with propranolol hydrochloride, begun 5 to 21 days following infarction, was shown to reduce overall mortality up to 39 months, the longest period of follow-up. This was primarily attributable to a reduction in cardiovascular mortality. The protective effect of propranolol hydrochloride was consistent regardless of age, sex, or site of infarction. Compared with placebo, total mortality was reduced 39% at 12 months and 26% over an average follow-up period of 25 months. The Norwegian Multicenter Trial in which propranolol was administered at 40 mg four times a day gave overall results which support the findings in the BHAT.

Although the clinical trials used either three times a day or four times a day dosing, clinical, pharmacologic, and pharmacokinetic data provide a reasonable basis for concluding that twice daily dosing with propranolol should be adequate in the treatment of postinfarction patients.

Clinical Laboratory Tests

In patients with hypertension, use of propranolol has been associated with elevated levels of serum potassium, serum transaminases and alkaline phosphatase. In severe heart failure, the use of propranolol has been associated with increases in Blood Urea Nitrogen.

Diabetes and Hypoglycemia

Beta-adrenergic blockade may prevent the appearance of certain premonitory signs and symptoms (pulse rate and pressure changes) of acute hypoglycemia, especially in labile insulin-dependent diabetics. In these patients, it may be more difficult to adjust the dosage of insulin.

Propranolol therapy, particularly when given to infants and children, diabetic or not, has been associated with hypoglycemia, especially during fasting as in preparation for surgery. Hypoglycemia has been reported in patients taking propranolol after prolonged physical exertion and in patients with renal insufficiency.

Metabolism and Elimination

Propranolol is extensively metabolized with most metabolites appearing in the urine. Propranolol is metabolized through three primary routes: aromatic hydroxylation (mainly 4-hydroxylation), N-dealkylation followed by further side-chain oxidation, and direct glucuronidation. It has been estimated that the percentage contributions of these routes to total metabolism are 42%, 41% and 17%, respectively, but with considerable variability between individuals. The four major metabolites are propranolol glucuronide, naphthyloxylactic acid and glucuronic acid, and sulfate conjugates of 4-hydroxy propranolol.

In vitro studies have indicated that the aromatic hydroxylation of propranolol is catalyzed mainly by polymorphic CYP2D6. Side-chain oxidation is mediated mainly by CYP1A2 and to some extent by CYP2D6. 4-hydroxy propranolol is a weak inhibitor of CYP2D6.

Propranolol is also a substrate of CYP2C19 and a substrate for the intestinal efflux transporter, p-glycoprotein (p-gp). Studies suggest however that p-gp is not dose-limiting for intestinal absorption of propranolol in the usual therapeutic dose range.

In healthy subjects, no difference was observed between CYP2D6 extensive metabolizers (EMs) and poor metabolizers (PMs) with respect to oral clearance or elimination half-life. Partial clearance of 4-hydroxy propranolol was significantly higher and of naphthyloxyactic acid significantly lower in EMs than PMs.

The plasma half-life of propranolol is from 3 to 6 hours.

Wolff Parkinson White Syndrome (Wolff-Parkinson-White Syndrome)

Beta-adrenergic blockade in patients with Wolf-Parkinson-White Syndrome and tachycardia has been associated with severe bradycardia requiring treatment with a pacemaker. In one case, this result was reported after an initial dose of 5 mg propranolol.

Hypertrophic Subaortic Stenosis

In an uncontrolled series of 13 patients with New York Heart Association (NYHA) class 2 or 3 symptoms and hypertrophic subaortic stenosis diagnosed at cardiac catheterization, oral propranolol 40 to 80 mg three times a day was administered and patients were followed for up to 17 months. Propranolol was associated with improved NYHA class for most patients.

Hypersensitivity and Skin Reactions

Hypersensitivity reactions, including anaphylactic/anaphylactoid reactions, have been associated with the administration of propranolol (see ADVERSE REACTIONS).

Cutaneous reactions, including Stevens-Johnson Syndrome, toxic epidermal necrolysis, exfoliative dermatitis, erythema multiforme, and urticaria, have been reported with use of propranolol (see ADVERSE REACTIONS).

Package Label.principal Display Panel (PACKAGE LABEL.PRINCIPAL DISPLAY PANEL)

NDC 70756-094-11

Propranolol Hydrochloride Tablets, USP

10 mg

Rx only                       100 Tablets

NDC 70756-094-12

Propranolol Hydrochloride Tablets, USP

10 mg

Rx only                       1000 Tablets

Angina Pectoris Due to Coronary Atherosclerosis

Propranolol hydrochloride tablets are indicated to decrease angina frequency and increase exercise tolerance in patients with angina pectoris.

Carcinogenesis, Mutagenesis, Impairment of Fertility

In dietary administration studies in which mice and rats were treated with propranolol hydrochloride for up to 18 months at doses of up to 150 mg/kg/day, there was no evidence of drug-related tumorigenesis. On a body surface area basis, this dose in the mouse and rat is, respectively, about equal to and about twice the maximum recommended human oral daily dose (MRHD) of 640 mg propranolol hydrochloride. In a study in which both male and female rats were exposed to propranolol hydrochloride in their diets at concentrations of up to 0.05% (about 50 mg/kg body weight and less than the MRHD), from 60 days prior to mating and throughout pregnancy and lactation for two generations, there were no effects on fertility. Based on differing results from Ames Tests performed by different laboratories, there is equivocal evidence for a genotoxic effect of propranolol hydrochloride in bacteria (S. typhimurium strain TA 1538).


Advanced Ingredient Data


Raw Label Data

All Sections (JSON)