These Highlights Do Not Include All The Information Needed To Use Heparin Sodium In Sodium Chloride Injection Safely And Effectively. See Full Prescribing Information For Heparin Sodium In Sodium Chloride Injection.

These Highlights Do Not Include All The Information Needed To Use Heparin Sodium In Sodium Chloride Injection Safely And Effectively. See Full Prescribing Information For Heparin Sodium In Sodium Chloride Injection.
SPL v6
SPL
SPL Set ID 25b0ba06-3274-4a3f-8c39-42d13764ecdf
Route
INTRAVENOUS
Published
Effective Date 2021-03-09
Document Type 34391-3 HUMAN PRESCRIPTION DRUG LABEL

Drug Facts

Composition & Product

Active Ingredients
Heparin (200 [USP'U])
Inactive Ingredients
Anhydrous Citric Acid Sodium Chloride Sodium Phosphate, Dibasic, Heptahydrate

Identifiers & Packaging

Marketing Status
ANDA Active Since 2020-07-24

Description

Dosage and Administration ( 2 ) 9/2019 Contraindications ( 4 ) 9/2019 Warnings and Precautions ( 5 ) 9/2019

Indications and Usage

Heparin Sodium Injection in Sodium Chloride at a concentration of 2 units/mL is indicated as an anticoagulant to maintain catheter patency.

Dosage and Administration

Infuse through intravenous catheter at a rate of 6 units per hour. ( 2.2 )

Warnings and Precautions

Hemorrhage: Fatal hemorrhages have occurred. Monitor for signs of bleeding and manage promptly. ( 5.1 ) HIT and HITT: Monitor for signs and symptoms and discontinue if indicative of HIT or HITT. ( 5.2 ) Thrombocytopenia: Monitor platelet count during therapy; discontinue heparin if HIT or HITT is suspected. ( 5.3 ) Heparin Resistance: Increased resistance to heparin is frequently encountered in fever, thrombosis, thrombophlebitis, infections with thrombosing tendencies, myocardial infarction, cancer and in postsurgical patients. ( 5.4 ) Hypersensitivity Reactions: Use in patients with prior reactions only in life threatening situations. ( 5.5 ) Increased Risk of Bleeding in Older Patients, Especially Women: A higher incidence of bleeding has been reported in patients, particularly women, over 60 years of age. ( 5.6 ) Laboratory Tests: Periodic platelet counts, hematocrits, and tests for occult blood in stool are recommended during the entire course of heparin therapy, regardless of the route of administration. ( 5.7 )

Contraindications

The use of HEPARIN SODIUM IN SODIUM CHLORIDE is contraindicated in patients with the following conditions: Uncontrollable active bleeding state, except when this is due to disseminated intravascular coagulation [see Warnings and Precautions ( 5.1 )] History of heparin-induced thrombocytopenia (HIT) and heparin-induced thrombocytopenia with thrombosis (HITT) [see Warnings and Precautions ( 5.2 )] Severe thrombocytopenia [see Warnings and Precautions ( 5.3 )] Known hypersensitivity to heparin or pork products (e.g., anaphylactoid reactions) [see Warnings and Precautions ( 5.5 ), Adverse Reactions ( 6.1 )]

Adverse Reactions

The following clinically significant adverse reactions are described elsewhere in the labeling: Hemorrhage [see Warnings and Precautions ( 5.1 )] Heparin-Induced Thrombocytopenia and Heparin-Induced thrombocytopenia with Thrombosis [see Warnings and Precautions ( 5.2 )] Thrombocytopenia [see Warnings and Precautions ( 5.3 )] Heparin Resistance [see Warnings and Precautions ( 5.4 )] Hypersensitivity [see Warnings and Precautions ( 5.5 )] Increased Risk of Bleeding in Older Patients, Especially Women [see Warnings and Precautions ( 5.6 )]

Drug Interactions

Drugs that interfere with platelet aggregation or drugs that counteract coagulation may induce bleeding. ( 7 )

Storage and Handling

Intravenous solutions with heparin sodium are available in single-dose containers as follows: Product Code Unit of Sale Strength Unit of Use 519077 NDC 63323-519-77 Unit of 24 Heparin Sodium 1,000 USP Units per 500 mL (2 USP Units per mL) in 0.9% Sodium Chloride NDC 63323-519-02 500 mL free flex ® bag 519100 NDC 63323-519-10 Unit of 12 Heparin Sodium 2,000 USP Units per 1,000 mL (2 USP Units per mL) in 0.9% Sodium Chloride NDC 63323-519-01 1,000 mL free flex ® bag Store at 20 to 25°C (68 to 77°F). [See USP Controlled Room Temperature.] Protect from freezing.

How Supplied

Intravenous solutions with heparin sodium are available in single-dose containers as follows: Product Code Unit of Sale Strength Unit of Use 519077 NDC 63323-519-77 Unit of 24 Heparin Sodium 1,000 USP Units per 500 mL (2 USP Units per mL) in 0.9% Sodium Chloride NDC 63323-519-02 500 mL free flex ® bag 519100 NDC 63323-519-10 Unit of 12 Heparin Sodium 2,000 USP Units per 1,000 mL (2 USP Units per mL) in 0.9% Sodium Chloride NDC 63323-519-01 1,000 mL free flex ® bag Store at 20 to 25°C (68 to 77°F). [See USP Controlled Room Temperature.] Protect from freezing.


Medication Information

Warnings and Precautions

Hemorrhage: Fatal hemorrhages have occurred. Monitor for signs of bleeding and manage promptly. ( 5.1 ) HIT and HITT: Monitor for signs and symptoms and discontinue if indicative of HIT or HITT. ( 5.2 ) Thrombocytopenia: Monitor platelet count during therapy; discontinue heparin if HIT or HITT is suspected. ( 5.3 ) Heparin Resistance: Increased resistance to heparin is frequently encountered in fever, thrombosis, thrombophlebitis, infections with thrombosing tendencies, myocardial infarction, cancer and in postsurgical patients. ( 5.4 ) Hypersensitivity Reactions: Use in patients with prior reactions only in life threatening situations. ( 5.5 ) Increased Risk of Bleeding in Older Patients, Especially Women: A higher incidence of bleeding has been reported in patients, particularly women, over 60 years of age. ( 5.6 ) Laboratory Tests: Periodic platelet counts, hematocrits, and tests for occult blood in stool are recommended during the entire course of heparin therapy, regardless of the route of administration. ( 5.7 )

Indications and Usage

Heparin Sodium Injection in Sodium Chloride at a concentration of 2 units/mL is indicated as an anticoagulant to maintain catheter patency.

Dosage and Administration

Infuse through intravenous catheter at a rate of 6 units per hour. ( 2.2 )

Contraindications

The use of HEPARIN SODIUM IN SODIUM CHLORIDE is contraindicated in patients with the following conditions: Uncontrollable active bleeding state, except when this is due to disseminated intravascular coagulation [see Warnings and Precautions ( 5.1 )] History of heparin-induced thrombocytopenia (HIT) and heparin-induced thrombocytopenia with thrombosis (HITT) [see Warnings and Precautions ( 5.2 )] Severe thrombocytopenia [see Warnings and Precautions ( 5.3 )] Known hypersensitivity to heparin or pork products (e.g., anaphylactoid reactions) [see Warnings and Precautions ( 5.5 ), Adverse Reactions ( 6.1 )]

Adverse Reactions

The following clinically significant adverse reactions are described elsewhere in the labeling: Hemorrhage [see Warnings and Precautions ( 5.1 )] Heparin-Induced Thrombocytopenia and Heparin-Induced thrombocytopenia with Thrombosis [see Warnings and Precautions ( 5.2 )] Thrombocytopenia [see Warnings and Precautions ( 5.3 )] Heparin Resistance [see Warnings and Precautions ( 5.4 )] Hypersensitivity [see Warnings and Precautions ( 5.5 )] Increased Risk of Bleeding in Older Patients, Especially Women [see Warnings and Precautions ( 5.6 )]

Drug Interactions

Drugs that interfere with platelet aggregation or drugs that counteract coagulation may induce bleeding. ( 7 )

Storage and Handling

Intravenous solutions with heparin sodium are available in single-dose containers as follows: Product Code Unit of Sale Strength Unit of Use 519077 NDC 63323-519-77 Unit of 24 Heparin Sodium 1,000 USP Units per 500 mL (2 USP Units per mL) in 0.9% Sodium Chloride NDC 63323-519-02 500 mL free flex ® bag 519100 NDC 63323-519-10 Unit of 12 Heparin Sodium 2,000 USP Units per 1,000 mL (2 USP Units per mL) in 0.9% Sodium Chloride NDC 63323-519-01 1,000 mL free flex ® bag Store at 20 to 25°C (68 to 77°F). [See USP Controlled Room Temperature.] Protect from freezing.

How Supplied

Intravenous solutions with heparin sodium are available in single-dose containers as follows: Product Code Unit of Sale Strength Unit of Use 519077 NDC 63323-519-77 Unit of 24 Heparin Sodium 1,000 USP Units per 500 mL (2 USP Units per mL) in 0.9% Sodium Chloride NDC 63323-519-02 500 mL free flex ® bag 519100 NDC 63323-519-10 Unit of 12 Heparin Sodium 2,000 USP Units per 1,000 mL (2 USP Units per mL) in 0.9% Sodium Chloride NDC 63323-519-01 1,000 mL free flex ® bag Store at 20 to 25°C (68 to 77°F). [See USP Controlled Room Temperature.] Protect from freezing.

Description

Dosage and Administration ( 2 ) 9/2019 Contraindications ( 4 ) 9/2019 Warnings and Precautions ( 5 ) 9/2019

Section 42229-5

Hemorrhage - Hemorrhage is the chief complication that may result from heparin therapy [see Warnings and Precautions (5.1)]. An overly prolonged clotting time or minor bleeding during therapy can usually be controlled by withdrawing the drug [see Overdosage (10)]. Gastrointestinal or urinary tract bleeding during anticoagulant therapy may indicate the presence of an underlying occult lesion. Bleeding can occur at any site but certain specific hemorrhagic complications may be difficult to detect:

  • -
    Adrenal hemorrhage, with resultant acute adrenal insufficiency, has occurred during anticoagulant therapy, including fatal cases.
  • -
    Ovarian (corpus luteum) hemorrhage developed in a number of women of reproductive age receiving short- or long-term anticoagulant therapy.
  • -
    Retroperitoneal hemorrhage.
Section 43683-2
Dosage and Administration (2) 9/2019
Contraindications (4) 9/2019
Warnings and Precautions (5) 9/2019
Section 51945-4

PACKAGE LABEL- PRINCIPAL DISPLAY PANEL – Heparin Sodium 500 mL Bag Label

NDC 63323-519-02

Heparin

Sodium

in 0.9% Sodium Chloride

Injection

1,000 USP units

per 500 mL

(2 USP units per mL)

For intravenous use

only.

Single Dose Container.

Discard unused

portion.

Rx only

10 Overdosage

Bleeding is the chief sign of heparin overdosage.

11 Description

Intravenous solutions with heparin sodium (derived from porcine intestinal mucosa) are sterile, nonpyrogenic fluids for intravenous administration. Each 100 mL contains heparin sodium 200 USP Units; sodium chloride, 0.9 g; citric acid, anhydrous, 37 mg and dibasic sodium phosphate, heptahydrate, 430 mg added as buffers. Each liter contains the following electrolytes: Sodium 186.1 mEq; phosphate (as HPO4=) 32.1 mEq; citrate 5.8 mEq; and chloride 153.9 mEq. Osmolar concentration, 358 mOsmol/liter (calc.); pH 7.0 (5.0 – 7.5).

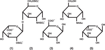
Heparin Sodium, USP is a heterogeneous group of straight-chain anionic mucopolysaccharides, called glycosaminoglycans having anticoagulant properties. Although others may be present, the main sugars occurring in heparin are: (1) α-L-iduronic acid 2-sulfate, (2) 2-deoxy-2-sulfamino-α-D-glucose-6- sulfate, (3) β-D-glucuronic acid, (4) 2-acetamido-2-deoxy-α-D-glucose, and (5) α-L-iduronic acid.

These sugars are present in decreasing amounts, usually in the order (2) > (1) > (4) > (3) > (5), and are joined by glycosidic linkages, forming polymers of varying sizes. Heparin is strongly acidic because of its content of covalently linked sulfate and carboxylic acid groups. In heparin sodium, the acidic protons of the sulfate units are partially replaced by sodium ions. The potency is determined by a biological assay using a USP reference standard based on units of heparin activity per milligram.

Structure of Heparin Sodium (representative subunits):

Sodium Chloride, USP is chemically designated NaCl, a white crystalline compound freely soluble in water.

Dibasic Sodium Phosphate, USP (Heptahydrate), is chemically designated (Na2HPO4 7H2O), colorless or white granular salt freely soluble in water.

Citric Acid, USP, anhydrous is chemically designated C6H8O7, colorless, translucent crystals or white crystalline powder very soluble in water. It has the following structural formula:

Water for Injection, USP is chemically designated H2O.

The free flex® container closure system is not made from natural rubber latex, is Non-PVC and Non-DEHP. Water can permeate from inside the container into the overwrap but not in amounts sufficient to affect the solution significantly. Solutions inside the plastic container also can leach out certain of its chemical components in very small amounts before the expiration period is attained. However, the safety of the plastic has been confirmed by tests in animals according to USP biological standards for plastic containers.

5.1 Hemorrhage

Avoid using heparin in the presence of major bleeding, except when the benefits of heparin therapy outweigh the potential risks.

Hemorrhage can occur at virtually any site in patients receiving heparin. Fatal hemorrhages have occurred. An unexplained fall in hematocrit or fall in blood pressure, or any other unexplained symptom should lead to serious consideration of a hemorrhagic event.

Use heparin sodium with caution in disease states in which there is increased risk of hemorrhage, including:

  • Cardiovascular — Subacute bacterial endocarditis. Severe hypertension.
  • Surgical — During and immediately following (a) spinal tap or spinal anesthesia or (b) major surgery, especially involving the brain, spinal cord or eye.
  • Hematologic — Conditions associated with increased bleeding tendencies, such as hemophilia, thrombocytopenia and some vascular purpuras.
  • Gastrointestinal — Ulcerative lesions and continuous tube drainage of the stomach or small intestine.
  • Patients with hereditary antithrombin III deficiency receiving concurrent antithrombin III therapy – The anticoagulant effect of heparin is enhanced by concurrent treatment with antithrombin III (human) in patients with hereditary antithrombin III deficiency. To reduce the risk of bleeding, reduce the heparin dose during concomitant treatment with antithrombin III (human).
  • Other — Menstruation, liver disease with impaired hemostasis.
8.4 Pediatric Use

Safety and effectiveness in pediatric patients have not been established.

8.5 Geriatric Use

A higher incidence of bleeding has been reported in patients over 60 years of age, especially women [see Warnings and Precautions (5.1)].

4 Contraindications

The use of HEPARIN SODIUM IN SODIUM CHLORIDE is contraindicated in patients with the following conditions:

  • Uncontrollable active bleeding state, except when this is due to disseminated intravascular coagulation [see Warnings and Precautions (5.1)]
  • History of heparin-induced thrombocytopenia (HIT) and heparin-induced thrombocytopenia with thrombosis (HITT) [see Warnings and Precautions (5.2)]
  • Severe thrombocytopenia [see Warnings and Precautions (5.3)]
  • Known hypersensitivity to heparin or pork products (e.g., anaphylactoid reactions) [see Warnings and Precautions (5.5), Adverse Reactions (6.1)]
6 Adverse Reactions

The following clinically significant adverse reactions are described elsewhere in the labeling:

  • Hemorrhage [see Warnings and Precautions (5.1)]
  • Heparin-Induced Thrombocytopenia and Heparin-Induced thrombocytopenia with Thrombosis [see Warnings and Precautions (5.2)]
  • Thrombocytopenia [see Warnings and Precautions (5.3)]
  • Heparin Resistance [see Warnings and Precautions (5.4)]
  • Hypersensitivity [see Warnings and Precautions (5.5)]
  • Increased Risk of Bleeding in Older Patients, Especially Women [see Warnings and Precautions (5.6)]
7 Drug Interactions
  • Drugs that interfere with platelet aggregation or drugs that counteract coagulation may induce bleeding. (7)
5.3 Thrombocytopenia

Thrombocytopenia in patients receiving heparin has been reported to occur in patients receiving heparin at frequencies up to 30%. It can occur 2 to 20 days (average 5 to 9) following the onset of heparin therapy. Obtain platelet counts before and periodically during heparin therapy. If the count falls below 100,000/mm3 or if recurrent thrombosis develops, promptly discontinue heparin, evaluate for HIT and HITT, and, if necessary, administer an alternative anticoagulant [see Warnings and Precautions (5.2)].

5.7 Laboratory Tests

Periodic platelet counts, hematocrits, and tests for occult blood in stool are recommended during the entire course of heparin therapy, regardless of the route of administration.

12.2 Pharmacodynamics

Various times (activated clotting time, activated partial thromboplastin time, prothrombin time, whole blood clotting time) are prolonged by full therapeutic doses of heparin; in most cases, they are not measurably affected by low doses of heparin. Bleeding time is usually unaffected by heparin.

5.4 Heparin Resistance

Increased resistance to heparin is frequently encountered in fever, thrombosis, thrombophlebitis, infections with thrombosing tendencies, myocardial infarction, cancer and in postsurgical patients.

1 Indications and Usage

Heparin Sodium Injection in Sodium Chloride at a concentration of 2 units/mL is indicated as an anticoagulant to maintain catheter patency.

7.1 Oral Anticoagulants

Heparin sodium may prolong the one-stage prothrombin time. Therefore, when heparin sodium is given with dicumarol or warfarin sodium, a period of at least 5 hours after the last intravenous dose or 24 hours after the last subcutaneous dose should elapse before blood is drawn if a valid prothrombin time is to be obtained.

7.2 Platelet Inhibitors

Drugs such as NSAIDS (including acetylsalicylic acid, ibuprofen, indomethacin, and celecoxib), dextran, phenylbutazone, thienopyridines, dipyridamole, hydroxychloroquine, glycoprotein IIv/IIa antagonists (including abciximab, eptifobatide, and tirofiban), and others that interfere with platelet-aggregation reactions (the main hemostatic defense of heparinized patients) may induce bleeding and should be used with caution in patients receiving heparin sodium. To reduce the risk of bleeding, a reduction in the dose of the antiplatelet agent or heparin is recommended.

12.1 Mechanism of Action

Heparin interacts with the naturally occurring plasma protein, Antithrombin III, to induce a conformational change, which markedly enhances the serine protease activity of Antithrombin II, thereby inhibiting the activated coagulation factors involved in the closing sequence, particularly Xa and IIa. Small amounts of heparin inhibit Factor Xa, and larger amounts inhibit thrombin (Factor IIa).

Heparin also prevents the formation of a stable fibrin clot by inhibiting the activation of the fibrin stabilizing factor. Heparin does not have fibrinolytic activity; therefore, it will not lyse existing clots.

5 Warnings and Precautions
  • Hemorrhage: Fatal hemorrhages have occurred. Monitor for signs of bleeding and manage promptly. (5.1)
  • HIT and HITT: Monitor for signs and symptoms and discontinue if indicative of HIT or HITT. (5.2)
  • Thrombocytopenia: Monitor platelet count during therapy; discontinue heparin if HIT or HITT is suspected. (5.3)
  • Heparin Resistance: Increased resistance to heparin is frequently encountered in fever, thrombosis, thrombophlebitis, infections with thrombosing tendencies, myocardial infarction, cancer and in postsurgical patients. (5.4)
  • Hypersensitivity Reactions: Use in patients with prior reactions only in life threatening situations. (5.5)
  • Increased Risk of Bleeding in Older Patients, Especially Women: A higher incidence of bleeding has been reported in patients, particularly women, over 60 years of age. (5.6)
  • Laboratory Tests: Periodic platelet counts, hematocrits, and tests for occult blood in stool are recommended during the entire course of heparin therapy, regardless of the route of administration. (5.7)
2 Dosage and Administration

Infuse through intravenous catheter at a rate of 6 units per hour. (2.2)

3 Dosage Forms and Strengths
  • Injection: 1,000 USP units per 500 mL (2 units per mL) clear solution in a single-dose infusion bag
  • Injection: 2,000 USP units per 1,000 mL (2 units per mL) clear solution in a single-dose infusion bag
6.1 Postmarketing Experience

The following adverse reactions have been identified during post-approval use of Heparin Sodium. Because these reactions are reported voluntarily from a population of uncertain size, it is not always possible to reliably estimate their frequency or establish a causal relationship to drug exposure.

8 Use in Specific Populations
  • Geriatric Use: A higher incidence of bleeding has been reported in patients over 60 years of age, especially women (5.6, 8.5)
5.5 Hypersensitivity Reactions

Patients with documented hypersensitivity to heparin should be given the drug only in clearly life-threatening situations. Because Heparin Sodium in Sodium Chloride Injection is derived from animal tissue, it should be used with caution in patients with a history of allergy.

2.1 Preparation for Administration

Do not administer unless solution is clear and seal is intact. Parenteral drug products should be inspected visually for particulate matter and discoloration prior to administration, whenever solution and container permit.

Warning: Do not use plastic containers in series connection. Such use could result in air embolism due to residual air being drawn from the primary container before administration of the fluid from the secondary container is completed.

Do not use Heparin Sodium in Sodium Chloride Injection as a “catheter lock flush” product.

Do not admix with other drugs. Discard unused portion.

INSTRUCTIONS FOR USE for the free flex ® Bag

Leave bag in the overwrap until time of use.

The intact port cap provides visual tamper evidence. Do not use if port cap is prematurely removed.

Maintain strict aseptic technique during handling.

To Open:

  • Always inspect the bag before and after removal from the overwrap.
  • Place the bag on a clean, flat surface. Starting in the bottom corner, peel the overwrap open and remove the bag.
  • Check the bag for leaks by squeezing firmly. If leaks are found, discard the bag.
  • Do not use if the solution is cloudy or a precipitate is present.

To Prepare for Administration:

  • Immediately before connecting the infusion set, firmly grasp the BLUE infusion port cap with the arrow pointing away from the bag between index finger and thumb. Gently break off the port cap. The membrane of the infusion port is sterile, and disinfection before initial use is not necessary if proper aseptic handling technique is followed.
  • Use a non-vented infusion set or close the air-inlet on a vented set. The BLUE infusion port is compatible with spike systems produced according to ISO 8536-4, with an external spike diameter of 5.5 to 5.7 mm.
  • Close the roller clamp of the infusion set.
  • Hold the base of the BLUE infusion port and insert the spike by rotating your wrist slightly until the spike is fully inserted.
  • The port membrane contains a self-sealing septum that helps prevent leakage after removing the spike. The infusion port is not intended to be spiked more than once.
  • Hang from the hole at the top of the bag.
  • For Single Use Only. Discard unused portion.
16 How Supplied/storage and Handling

Intravenous solutions with heparin sodium are available in single-dose containers as follows:

Product Code Unit of Sale Strength Unit of Use
519077 NDC 63323-519-77

Unit of 24
Heparin Sodium 1,000 USP Units per 500 mL

(2 USP Units per mL) in 0.9% Sodium Chloride

NDC 63323-519-02

500 mL free flex® bag
519100 NDC 63323-519-10

Unit of 12
Heparin Sodium 2,000 USP

Units per 1,000 mL

(2 USP Units per mL) in 0.9% Sodium Chloride

NDC 63323-519-01

1,000 mL free flex® bag

Store at 20 to 25°C (68 to 77°F). [See USP Controlled Room Temperature.] Protect from freezing.

7.3 Other Medications That May Interfere With Heparin

Digitalis, tetracyclines, nicotine or antihistamines may partially counteract the anticoagulant action of heparin sodium. Intravenous nitroglycerin administered to heparinized patients may result in a decrease of the partial thromboplastin time with subsequent rebound effect upon discontinuation of nitroglycerin. Careful monitoring of partial thromboplastin time and adjustment of heparin dosage are recommended during coadministration of heparin and intravenous nitroglycerin.

Antithrombin III (human) – The anticoagulant effect of heparin is enhanced by concurrent treatment with antithrombin III (human) in patients with hereditary antithrombin III deficiency. To reduce the risk of bleeding, a reduced dosage of heparin is recommended during treatment with antithrombin III (human).

13.1 Carcinogenesis, Mutagenesis, Impairment of Fertility

No long term studies in animals have been performed to evaluate carcinogenic potential of heparin. Also, no reproduction studies in animals have been performed concerning mutagenesis or impairment of fertility.

2.2 Recommended Dosage for Maintenance of Catheter Patency

The recommended starting dose is 6 units per hour by intravenous infusion through an intravenous catheter to maintain catheter patency.

5.6 Increased Risk of Bleeding in Older Patients, Especially Women

A higher incidence of bleeding has been reported in patients, particularly women, over 60 years of age [see Use in Specific Populations (8.5)].

5.2 Heparin Induced Thrombocytopenia and Heparin Induced Thrombocytopenia With Thrombosis

Heparin-induced thrombocytopenia (HIT) is a serious immune-mediated reaction. HIT occurs in patients treated with heparin and is due to the development of antibodies to a platelet Factor-4-heparin complex that induce in vivo platelet aggregation HIT may progress to the development of venous and arterial thromboses, a condition referred to as heparin-induced thrombocytopenia with thrombosis (HITT). Thrombotic events may also be the initial presentation for HITT. These serious thromboembolic events include deep vein thrombosis, pulmonary embolism, cerebral vein thrombosis, limb ischemia, stroke, myocardial infarction, mesenteric thrombosis, thrombus formation on a prosthetic cardiac valve, renal arterial thrombosis, skin necrosis, gangrene of the extremities that may lead to amputation, and possibly death.

If the platelet count falls below 100,000/mm3 or if recurrent thrombosis develops, promptly discontinue heparin, evaluate for HIT and HITT, and, if necessary, administer an alternative anticoagulant. HIT or HITT can occur up to several weeks after the discontinuation of heparin therapy. Patients presenting with thrombocytopenia or thrombosis after discontinuation of heparin sodium should be evaluated for HIT or HITT.

HIT can occur up to several weeks after the discontinuation of heparin therapy. Patients presenting with thrombocytopenia or thrombosis after discontinuation of heparin should be evaluated for HIT.


Structured Label Content

Section 42229-5 (42229-5)

Hemorrhage - Hemorrhage is the chief complication that may result from heparin therapy [see Warnings and Precautions (5.1)]. An overly prolonged clotting time or minor bleeding during therapy can usually be controlled by withdrawing the drug [see Overdosage (10)]. Gastrointestinal or urinary tract bleeding during anticoagulant therapy may indicate the presence of an underlying occult lesion. Bleeding can occur at any site but certain specific hemorrhagic complications may be difficult to detect:

  • -
    Adrenal hemorrhage, with resultant acute adrenal insufficiency, has occurred during anticoagulant therapy, including fatal cases.
  • -
    Ovarian (corpus luteum) hemorrhage developed in a number of women of reproductive age receiving short- or long-term anticoagulant therapy.
  • -
    Retroperitoneal hemorrhage.
Section 43683-2 (43683-2)
Dosage and Administration (2) 9/2019
Contraindications (4) 9/2019
Warnings and Precautions (5) 9/2019
Section 51945-4 (51945-4)

PACKAGE LABEL- PRINCIPAL DISPLAY PANEL – Heparin Sodium 500 mL Bag Label

NDC 63323-519-02

Heparin

Sodium

in 0.9% Sodium Chloride

Injection

1,000 USP units

per 500 mL

(2 USP units per mL)

For intravenous use

only.

Single Dose Container.

Discard unused

portion.

Rx only

10 Overdosage (10 OVERDOSAGE)

Bleeding is the chief sign of heparin overdosage.

11 Description (11 DESCRIPTION)

Intravenous solutions with heparin sodium (derived from porcine intestinal mucosa) are sterile, nonpyrogenic fluids for intravenous administration. Each 100 mL contains heparin sodium 200 USP Units; sodium chloride, 0.9 g; citric acid, anhydrous, 37 mg and dibasic sodium phosphate, heptahydrate, 430 mg added as buffers. Each liter contains the following electrolytes: Sodium 186.1 mEq; phosphate (as HPO4=) 32.1 mEq; citrate 5.8 mEq; and chloride 153.9 mEq. Osmolar concentration, 358 mOsmol/liter (calc.); pH 7.0 (5.0 – 7.5).

Heparin Sodium, USP is a heterogeneous group of straight-chain anionic mucopolysaccharides, called glycosaminoglycans having anticoagulant properties. Although others may be present, the main sugars occurring in heparin are: (1) α-L-iduronic acid 2-sulfate, (2) 2-deoxy-2-sulfamino-α-D-glucose-6- sulfate, (3) β-D-glucuronic acid, (4) 2-acetamido-2-deoxy-α-D-glucose, and (5) α-L-iduronic acid.

These sugars are present in decreasing amounts, usually in the order (2) > (1) > (4) > (3) > (5), and are joined by glycosidic linkages, forming polymers of varying sizes. Heparin is strongly acidic because of its content of covalently linked sulfate and carboxylic acid groups. In heparin sodium, the acidic protons of the sulfate units are partially replaced by sodium ions. The potency is determined by a biological assay using a USP reference standard based on units of heparin activity per milligram.

Structure of Heparin Sodium (representative subunits):

Sodium Chloride, USP is chemically designated NaCl, a white crystalline compound freely soluble in water.

Dibasic Sodium Phosphate, USP (Heptahydrate), is chemically designated (Na2HPO4 7H2O), colorless or white granular salt freely soluble in water.

Citric Acid, USP, anhydrous is chemically designated C6H8O7, colorless, translucent crystals or white crystalline powder very soluble in water. It has the following structural formula:

Water for Injection, USP is chemically designated H2O.

The free flex® container closure system is not made from natural rubber latex, is Non-PVC and Non-DEHP. Water can permeate from inside the container into the overwrap but not in amounts sufficient to affect the solution significantly. Solutions inside the plastic container also can leach out certain of its chemical components in very small amounts before the expiration period is attained. However, the safety of the plastic has been confirmed by tests in animals according to USP biological standards for plastic containers.

5.1 Hemorrhage

Avoid using heparin in the presence of major bleeding, except when the benefits of heparin therapy outweigh the potential risks.

Hemorrhage can occur at virtually any site in patients receiving heparin. Fatal hemorrhages have occurred. An unexplained fall in hematocrit or fall in blood pressure, or any other unexplained symptom should lead to serious consideration of a hemorrhagic event.

Use heparin sodium with caution in disease states in which there is increased risk of hemorrhage, including:

  • Cardiovascular — Subacute bacterial endocarditis. Severe hypertension.
  • Surgical — During and immediately following (a) spinal tap or spinal anesthesia or (b) major surgery, especially involving the brain, spinal cord or eye.
  • Hematologic — Conditions associated with increased bleeding tendencies, such as hemophilia, thrombocytopenia and some vascular purpuras.
  • Gastrointestinal — Ulcerative lesions and continuous tube drainage of the stomach or small intestine.
  • Patients with hereditary antithrombin III deficiency receiving concurrent antithrombin III therapy – The anticoagulant effect of heparin is enhanced by concurrent treatment with antithrombin III (human) in patients with hereditary antithrombin III deficiency. To reduce the risk of bleeding, reduce the heparin dose during concomitant treatment with antithrombin III (human).
  • Other — Menstruation, liver disease with impaired hemostasis.
8.4 Pediatric Use

Safety and effectiveness in pediatric patients have not been established.

8.5 Geriatric Use

A higher incidence of bleeding has been reported in patients over 60 years of age, especially women [see Warnings and Precautions (5.1)].

4 Contraindications (4 CONTRAINDICATIONS)

The use of HEPARIN SODIUM IN SODIUM CHLORIDE is contraindicated in patients with the following conditions:

  • Uncontrollable active bleeding state, except when this is due to disseminated intravascular coagulation [see Warnings and Precautions (5.1)]
  • History of heparin-induced thrombocytopenia (HIT) and heparin-induced thrombocytopenia with thrombosis (HITT) [see Warnings and Precautions (5.2)]
  • Severe thrombocytopenia [see Warnings and Precautions (5.3)]
  • Known hypersensitivity to heparin or pork products (e.g., anaphylactoid reactions) [see Warnings and Precautions (5.5), Adverse Reactions (6.1)]
6 Adverse Reactions (6 ADVERSE REACTIONS)

The following clinically significant adverse reactions are described elsewhere in the labeling:

  • Hemorrhage [see Warnings and Precautions (5.1)]
  • Heparin-Induced Thrombocytopenia and Heparin-Induced thrombocytopenia with Thrombosis [see Warnings and Precautions (5.2)]
  • Thrombocytopenia [see Warnings and Precautions (5.3)]
  • Heparin Resistance [see Warnings and Precautions (5.4)]
  • Hypersensitivity [see Warnings and Precautions (5.5)]
  • Increased Risk of Bleeding in Older Patients, Especially Women [see Warnings and Precautions (5.6)]
7 Drug Interactions (7 DRUG INTERACTIONS)
  • Drugs that interfere with platelet aggregation or drugs that counteract coagulation may induce bleeding. (7)
5.3 Thrombocytopenia

Thrombocytopenia in patients receiving heparin has been reported to occur in patients receiving heparin at frequencies up to 30%. It can occur 2 to 20 days (average 5 to 9) following the onset of heparin therapy. Obtain platelet counts before and periodically during heparin therapy. If the count falls below 100,000/mm3 or if recurrent thrombosis develops, promptly discontinue heparin, evaluate for HIT and HITT, and, if necessary, administer an alternative anticoagulant [see Warnings and Precautions (5.2)].

5.7 Laboratory Tests

Periodic platelet counts, hematocrits, and tests for occult blood in stool are recommended during the entire course of heparin therapy, regardless of the route of administration.

12.2 Pharmacodynamics

Various times (activated clotting time, activated partial thromboplastin time, prothrombin time, whole blood clotting time) are prolonged by full therapeutic doses of heparin; in most cases, they are not measurably affected by low doses of heparin. Bleeding time is usually unaffected by heparin.

5.4 Heparin Resistance

Increased resistance to heparin is frequently encountered in fever, thrombosis, thrombophlebitis, infections with thrombosing tendencies, myocardial infarction, cancer and in postsurgical patients.

1 Indications and Usage (1 INDICATIONS AND USAGE)

Heparin Sodium Injection in Sodium Chloride at a concentration of 2 units/mL is indicated as an anticoagulant to maintain catheter patency.

7.1 Oral Anticoagulants

Heparin sodium may prolong the one-stage prothrombin time. Therefore, when heparin sodium is given with dicumarol or warfarin sodium, a period of at least 5 hours after the last intravenous dose or 24 hours after the last subcutaneous dose should elapse before blood is drawn if a valid prothrombin time is to be obtained.

7.2 Platelet Inhibitors

Drugs such as NSAIDS (including acetylsalicylic acid, ibuprofen, indomethacin, and celecoxib), dextran, phenylbutazone, thienopyridines, dipyridamole, hydroxychloroquine, glycoprotein IIv/IIa antagonists (including abciximab, eptifobatide, and tirofiban), and others that interfere with platelet-aggregation reactions (the main hemostatic defense of heparinized patients) may induce bleeding and should be used with caution in patients receiving heparin sodium. To reduce the risk of bleeding, a reduction in the dose of the antiplatelet agent or heparin is recommended.

12.1 Mechanism of Action

Heparin interacts with the naturally occurring plasma protein, Antithrombin III, to induce a conformational change, which markedly enhances the serine protease activity of Antithrombin II, thereby inhibiting the activated coagulation factors involved in the closing sequence, particularly Xa and IIa. Small amounts of heparin inhibit Factor Xa, and larger amounts inhibit thrombin (Factor IIa).

Heparin also prevents the formation of a stable fibrin clot by inhibiting the activation of the fibrin stabilizing factor. Heparin does not have fibrinolytic activity; therefore, it will not lyse existing clots.

5 Warnings and Precautions (5 WARNINGS AND PRECAUTIONS)
  • Hemorrhage: Fatal hemorrhages have occurred. Monitor for signs of bleeding and manage promptly. (5.1)
  • HIT and HITT: Monitor for signs and symptoms and discontinue if indicative of HIT or HITT. (5.2)
  • Thrombocytopenia: Monitor platelet count during therapy; discontinue heparin if HIT or HITT is suspected. (5.3)
  • Heparin Resistance: Increased resistance to heparin is frequently encountered in fever, thrombosis, thrombophlebitis, infections with thrombosing tendencies, myocardial infarction, cancer and in postsurgical patients. (5.4)
  • Hypersensitivity Reactions: Use in patients with prior reactions only in life threatening situations. (5.5)
  • Increased Risk of Bleeding in Older Patients, Especially Women: A higher incidence of bleeding has been reported in patients, particularly women, over 60 years of age. (5.6)
  • Laboratory Tests: Periodic platelet counts, hematocrits, and tests for occult blood in stool are recommended during the entire course of heparin therapy, regardless of the route of administration. (5.7)
2 Dosage and Administration (2 DOSAGE AND ADMINISTRATION)

Infuse through intravenous catheter at a rate of 6 units per hour. (2.2)

3 Dosage Forms and Strengths (3 DOSAGE FORMS AND STRENGTHS)
  • Injection: 1,000 USP units per 500 mL (2 units per mL) clear solution in a single-dose infusion bag
  • Injection: 2,000 USP units per 1,000 mL (2 units per mL) clear solution in a single-dose infusion bag
6.1 Postmarketing Experience

The following adverse reactions have been identified during post-approval use of Heparin Sodium. Because these reactions are reported voluntarily from a population of uncertain size, it is not always possible to reliably estimate their frequency or establish a causal relationship to drug exposure.

8 Use in Specific Populations (8 USE IN SPECIFIC POPULATIONS)
  • Geriatric Use: A higher incidence of bleeding has been reported in patients over 60 years of age, especially women (5.6, 8.5)
5.5 Hypersensitivity Reactions

Patients with documented hypersensitivity to heparin should be given the drug only in clearly life-threatening situations. Because Heparin Sodium in Sodium Chloride Injection is derived from animal tissue, it should be used with caution in patients with a history of allergy.

2.1 Preparation for Administration

Do not administer unless solution is clear and seal is intact. Parenteral drug products should be inspected visually for particulate matter and discoloration prior to administration, whenever solution and container permit.

Warning: Do not use plastic containers in series connection. Such use could result in air embolism due to residual air being drawn from the primary container before administration of the fluid from the secondary container is completed.

Do not use Heparin Sodium in Sodium Chloride Injection as a “catheter lock flush” product.

Do not admix with other drugs. Discard unused portion.

INSTRUCTIONS FOR USE for the free flex ® Bag

Leave bag in the overwrap until time of use.

The intact port cap provides visual tamper evidence. Do not use if port cap is prematurely removed.

Maintain strict aseptic technique during handling.

To Open:

  • Always inspect the bag before and after removal from the overwrap.
  • Place the bag on a clean, flat surface. Starting in the bottom corner, peel the overwrap open and remove the bag.
  • Check the bag for leaks by squeezing firmly. If leaks are found, discard the bag.
  • Do not use if the solution is cloudy or a precipitate is present.

To Prepare for Administration:

  • Immediately before connecting the infusion set, firmly grasp the BLUE infusion port cap with the arrow pointing away from the bag between index finger and thumb. Gently break off the port cap. The membrane of the infusion port is sterile, and disinfection before initial use is not necessary if proper aseptic handling technique is followed.
  • Use a non-vented infusion set or close the air-inlet on a vented set. The BLUE infusion port is compatible with spike systems produced according to ISO 8536-4, with an external spike diameter of 5.5 to 5.7 mm.
  • Close the roller clamp of the infusion set.
  • Hold the base of the BLUE infusion port and insert the spike by rotating your wrist slightly until the spike is fully inserted.
  • The port membrane contains a self-sealing septum that helps prevent leakage after removing the spike. The infusion port is not intended to be spiked more than once.
  • Hang from the hole at the top of the bag.
  • For Single Use Only. Discard unused portion.
16 How Supplied/storage and Handling (16 HOW SUPPLIED/STORAGE AND HANDLING)

Intravenous solutions with heparin sodium are available in single-dose containers as follows:

Product Code Unit of Sale Strength Unit of Use
519077 NDC 63323-519-77

Unit of 24
Heparin Sodium 1,000 USP Units per 500 mL

(2 USP Units per mL) in 0.9% Sodium Chloride

NDC 63323-519-02

500 mL free flex® bag
519100 NDC 63323-519-10

Unit of 12
Heparin Sodium 2,000 USP

Units per 1,000 mL

(2 USP Units per mL) in 0.9% Sodium Chloride

NDC 63323-519-01

1,000 mL free flex® bag

Store at 20 to 25°C (68 to 77°F). [See USP Controlled Room Temperature.] Protect from freezing.

7.3 Other Medications That May Interfere With Heparin (7.3 Other Medications that May Interfere with Heparin)

Digitalis, tetracyclines, nicotine or antihistamines may partially counteract the anticoagulant action of heparin sodium. Intravenous nitroglycerin administered to heparinized patients may result in a decrease of the partial thromboplastin time with subsequent rebound effect upon discontinuation of nitroglycerin. Careful monitoring of partial thromboplastin time and adjustment of heparin dosage are recommended during coadministration of heparin and intravenous nitroglycerin.

Antithrombin III (human) – The anticoagulant effect of heparin is enhanced by concurrent treatment with antithrombin III (human) in patients with hereditary antithrombin III deficiency. To reduce the risk of bleeding, a reduced dosage of heparin is recommended during treatment with antithrombin III (human).

13.1 Carcinogenesis, Mutagenesis, Impairment of Fertility

No long term studies in animals have been performed to evaluate carcinogenic potential of heparin. Also, no reproduction studies in animals have been performed concerning mutagenesis or impairment of fertility.

2.2 Recommended Dosage for Maintenance of Catheter Patency

The recommended starting dose is 6 units per hour by intravenous infusion through an intravenous catheter to maintain catheter patency.

5.6 Increased Risk of Bleeding in Older Patients, Especially Women

A higher incidence of bleeding has been reported in patients, particularly women, over 60 years of age [see Use in Specific Populations (8.5)].

5.2 Heparin Induced Thrombocytopenia and Heparin Induced Thrombocytopenia With Thrombosis (5.2 Heparin-Induced Thrombocytopenia and Heparin-Induced Thrombocytopenia with Thrombosis)

Heparin-induced thrombocytopenia (HIT) is a serious immune-mediated reaction. HIT occurs in patients treated with heparin and is due to the development of antibodies to a platelet Factor-4-heparin complex that induce in vivo platelet aggregation HIT may progress to the development of venous and arterial thromboses, a condition referred to as heparin-induced thrombocytopenia with thrombosis (HITT). Thrombotic events may also be the initial presentation for HITT. These serious thromboembolic events include deep vein thrombosis, pulmonary embolism, cerebral vein thrombosis, limb ischemia, stroke, myocardial infarction, mesenteric thrombosis, thrombus formation on a prosthetic cardiac valve, renal arterial thrombosis, skin necrosis, gangrene of the extremities that may lead to amputation, and possibly death.

If the platelet count falls below 100,000/mm3 or if recurrent thrombosis develops, promptly discontinue heparin, evaluate for HIT and HITT, and, if necessary, administer an alternative anticoagulant. HIT or HITT can occur up to several weeks after the discontinuation of heparin therapy. Patients presenting with thrombocytopenia or thrombosis after discontinuation of heparin sodium should be evaluated for HIT or HITT.

HIT can occur up to several weeks after the discontinuation of heparin therapy. Patients presenting with thrombocytopenia or thrombosis after discontinuation of heparin should be evaluated for HIT.


Advanced Ingredient Data


Raw Label Data

All Sections (JSON)