These Highlights Do Not Include All The Information Needed To Use Piroxicam Capsules, Usp Safely And Effectively. See Full Prescribing Information For Piroxicam Capsules, Usp.

These Highlights Do Not Include All The Information Needed To Use Piroxicam Capsules, Usp Safely And Effectively. See Full Prescribing Information For Piroxicam Capsules, Usp.
SPL v3
SPL
SPL Set ID 23972bf0-e5b8-4f4b-97d0-caa05d6b061c
Route
ORAL
Published
Effective Date 2018-12-01
Document Type 34391-3 HUMAN PRESCRIPTION DRUG LABEL

Drug Facts

Composition & Product

Active Ingredients
Piroxicam (20 mg)
Inactive Ingredients
Lactose Monohydrate Starch, Corn Sodium Lauryl Sulfate Magnesium Stearate Gelatin, Unspecified Titanium Dioxide Fd&c Blue No. 1 Fd&c Red No. 40

Identifiers & Packaging

Pill Appearance
Imprint: P;234 Shape: capsule Color: red Size: 18 mm Score: 1
Marketing Status
ANDA Active Since 2017-09-28

Description

WARNING: RISK OF SERIOUS CARDIOVASCULAR AND GASTROINTESTINAL EVENTS See full prescribing information for complete boxed warning. • Nonsteroidal anti-inflammatory drugs (NSAIDs) cause an increased risk of serious cardiovascular thrombotic events, including myocardial infarction and stroke, which can be fatal. This risk may occur early in treatment and may increase with duration of use ( 5.1 ) • Piroxicam capsules are contraindicated in the setting of coronary artery bypass graft (CABG) surgery ( 4 , 5.1 ) • NSAIDs cause an increased risk of serious gastrointestinal (GI) adverse events including bleeding, ulceration, and perforation of the stomach or intestines, which can be fatal. These events can occur at any time during use and without warning symptoms. Elderly patients and patients with a prior history of peptic ulcer disease and/or GI bleeding are at greater risk for serious GI events ( 5.2 )

Indications and Usage

Piroxicam capsules, USP are indicated: • For relief of the signs and symptoms of osteoarthritis. • For relief of the signs and symptoms of rheumatoid arthritis.

Dosage and Administration

Carefully consider the potential benefits and risks of piroxicam capsules and other treatment options before deciding to use piroxicam capsules. Use the lowest effective dosage for the shortest duration consistent with individual patient treatment goals [ see Warnings and Precautions ( 5 )] . After observing the response to initial therapy with piroxicam capsules, the dose and frequency should be adjusted to suit an individual patient's needs. For the relief of rheumatoid arthritis and osteoarthritis, the dosage is 20 mg given orally once per day. If desired, the daily dose may be divided. Because of the long half-life of piroxicam capsules, steady-state blood levels are not reached for 7–12 days. Therefore, although the therapeutic effects of piroxicam capsules are evident early in treatment, there is a progressive increase in response over several weeks and the effect of therapy should not be assessed for two weeks.

Warnings and Precautions

• Hepatotoxicity : Inform patients of warning signs and symptoms of hepatotoxicity. Discontinue if abnormal liver tests persist or worsen or if clinical signs and symptoms of liver disease develop ( 5.3 ) • Hypertension : Patients taking some antihypertensive medications may have impaired response to these therapies when taking NSAIDs. Monitor blood pressure ( 5.4 , 7 ) • Heart Failure and Edema : Avoid use of piroxicam capsules in patients with severe heart failure unless benefits are expected to outweigh risk of worsening heart failure ( 5.5 ) • Renal Toxicity : Monitor renal function in patients with renal or hepatic impairment, heart failure, dehydration, or hypovolemia. Avoid use of piroxicam capsules in patients with advanced renal disease unless benefits are expected to outweigh risk of worsening renal function ( 5.6 ) • Anaphylactic Reactions : Seek emergency help if an anaphylactic reaction occurs ( 5.7 ) • Exacerbation of Asthma Related to Aspirin Sensitivity : Piroxicam capsules are contraindicated in patients with aspirin-sensitive asthma. Monitor patients with preexisting asthma (without aspirin sensitivity) ( 5.8 ) • Serious Skin Reactions : Discontinue piroxicam capsules at first appearance of skin rash or other signs of hypersensitivity ( 5.9 ) • Premature Closure of Fetal Ductus Arteriosus : Avoid use in pregnant women starting at 30 weeks gestation ( 5.10 , 8.1 ) • Hematologic Toxicity : Monitor hemoglobin or hematocrit in patients with any signs or symptoms of anemia ( 5.11 , 7 )

Contraindications

Piroxicam capsules are contraindicated in the following patients: • Known hypersensitivity (e.g., anaphylactic reactions and serious skin reactions) to piroxicam or any components of the drug product [see Warnings and Precautions ( 5.7 , 5.9 )] • History of asthma, urticaria, or other allergic-type reactions after taking aspirin or other NSAIDs. Severe, sometimes fatal, anaphylactic reactions to NSAIDs have been reported in such patients [see Warnings and Precautions ( 5.7 , 5.8 )] • In the setting of coronary artery bypass graft (CABG) surgery [see Warnings and Precautions ( 5.1 ) ]

Adverse Reactions

The following adverse reactions are discussed in greater detail in other sections of the labeling: • Cardiovascular Thrombotic Events [see Warnings and Precautions ( 5.1 )] • GI Bleeding, Ulceration and Perforation [see Warnings and Precautions ( 5.2 )] • Hepatotoxicity [see Warnings and Precautions ( 5.3 )] • Hypertension [see Warnings and Precautions ( 5.4 )] • Heart Failure and Edema [see Warnings and Precautions ( 5.5 )] • Renal Toxicity and Hyperkalemia [see Warnings and Precautions ( 5.6 )] • Anaphylactic Reactions [see Warnings and Precautions ( 5.7 )] • Serious Skin Reactions [see Warnings and Precautions ( 5.9 )] • Hematologic Toxicity [see Warnings and Precautions ( 5.11 )]

Drug Interactions

See Table 1 for clinically significant drug interactions with piroxicam. Table 1: Clinically Significant Drug Interactions with Piroxicam Drugs That Interfere with Hemostasis Clinical Impact: • Piroxicam and anticoagulants such as warfarin have a synergistic effect on bleeding. The concomitant use of piroxicam and anticoagulants have an increased risk of serious bleeding compared to the use of either drug alone. • Serotonin release by platelets plays an important role in hemostasis. Case-control and cohort epidemiological studies showed that concomitant use of drugs that interfere with serotonin reuptake and an NSAID may potentiate the risk of bleeding more than an NSAID alone. Intervention: Monitor patients with concomitant use of piroxicam capsules with anticoagulants (e.g., warfarin), antiplatelet agents (e.g., aspirin), selective serotonin reuptake inhibitors (SSRIs), and serotonin norepinephrine reuptake inhibitors (SNRIs) for signs of bleeding [see Warnings and Precautions ( 5.11 )] . Aspirin Clinical Impact: Controlled clinical studies showed that the concomitant use of NSAIDs and analgesic doses of aspirin does not produce any greater therapeutic effect than the use of NSAIDs alone. In a clinical study, the concomitant use of an NSAID and aspirin was associated with a significantly increased incidence of GI adverse reactions as compared to use of the NSAID alone [see Warnings and Precautions ( 5.2 )] . Intervention: Concomitant use of piroxicam capsules and analgesic doses of aspirin is not generally recommended because of the increased risk of bleeding [see Warnings and Precautions ( 5.11 )] . Piroxicam capsules are not a substitute for low dose aspirin for cardiovascular protection. ACE Inhibitors, Angiotensin Receptor Blockers, and Beta-Blockers Clinical Impact: • NSAIDs may diminish the antihypertensive effect of angiotensin converting enzyme (ACE) inhibitors, angiotensin receptor blockers (ARBs), or beta-blockers (including propranolol). • In patients who are elderly, volume-depleted (including those on diuretic therapy), or have renal impairment, co-administration of an NSAID with ACE inhibitors or ARBs may result in deterioration of renal function, including possible acute renal failure. These effects are usually reversible. Intervention: • During concomitant use of piroxicam capsules and ACE-inhibitors, ARBs, or beta-blockers, monitor blood pressure to ensure that the desired blood pressure is obtained. • During concomitant use of piroxicam capsules and ACE-inhibitors or ARBs in patients who are elderly, volume-depleted, or have impaired renal function, monitor for signs of worsening renal function [see Warnings and Precautions ( 5.6 )]. • When these drugs are administered concomitantly, patients should be adequately hydrated. Assess renal function at the beginning of the concomitant treatment and periodically thereafter. Diuretics Clinical Impact: Clinical studies, as well as post-marketing observations, showed that NSAIDs reduced the natriuretic effect of loop diuretics (e.g., furosemide) and thiazide diuretics in some patients. This effect has been attributed to the NSAID inhibition of renal prostaglandin synthesis. Intervention: During concomitant use of piroxicam capsules with diuretics, observe patients for signs of worsening renal function, in addition to assuring diuretic efficacy including antihypertensive effects [see Warnings and Precautions ( 5.6 )] . Digoxin Clinical Impact: The concomitant use of piroxicam with digoxin has been reported to increase the serum concentration and prolong the half-life of digoxin. Intervention: During concomitant use of piroxicam capsules and digoxin, monitor serum digoxin levels. Lithium Clinical Impact: NSAIDs have produced elevations in plasma lithium levels and reductions in renal lithium clearance. The mean minimum lithium concentration increased 15%, and the renal clearance decreased by approximately 20%. This effect has been attributed to NSAID inhibition of renal prostaglandin synthesis. Intervention: During concomitant use of piroxicam capsules and lithium, monitor patients for signs of lithium toxicity. Methotrexate Clinical Impact: Concomitant use of NSAIDs and methotrexate may increase the risk for methotrexate toxicity (e.g., neutropenia, thrombocytopenia, renal dysfunction). Intervention: During concomitant use of piroxicam capsules and methotrexate, monitor patients for methotrexate toxicity. Cyclosporine Clinical Impact: Concomitant use of piroxicam capsules and cyclosporine may increase cyclosporine's nephrotoxicity. Intervention: During concomitant use of piroxicam capsules and cyclosporine, monitor patients for signs of worsening renal function. NSAIDs and Salicylates Clinical Impact: Concomitant use of piroxicam with other NSAIDs or salicylates (e.g., diflunisal, salsalate) increases the risk of GI toxicity, with little or no increase in efficacy [see Warnings and Precautions ( 5.2 )]. Intervention: The concomitant use of piroxicam with other NSAIDs or salicylates is not recommended. Pemetrexed Clinical Impact: Concomitant use of piroxicam capsules and pemetrexed may increase the risk of pemetrexed-associated myelosuppression, renal, and GI toxicity (see the pemetrexed prescribing information). Intervention: During concomitant use of piroxicam capsules and pemetrexed, in patients with renal impairment whose creatinine clearance ranges from 45 to 79 mL/min, monitor for myelosuppression, renal and GI toxicity. NSAIDs with short elimination half-lives (e.g., diclofenac, indomethacin) should be avoided for a period of two days before, the day of, and two days following administration of pemetrexed. In the absence of data regarding potential interaction between pemetrexed and NSAIDs with longer half-lives (e.g., meloxicam, nabumetone), patients taking these NSAIDs should interrupt dosing for at least five days before, the day of, and two days following pemetrexed administration. Highly Protein Bound Drugs Clinical Impact : Piroxicam capsules are highly protein bound and, therefore, might be expected to displace other protein bound drugs. Intervention : Physicians should closely monitor patients for a change in dosage requirements when administering piroxicam capsules to patients on other highly protein bound drugs. Corticosteroids Clinical Impact: Concomitant use of corticosteroids with piroxicam capsules may increase the risk of GI ulceration or bleeding. Intervention: Monitor patients with concomitant use of piroxicam capsules with corticosteroids for signs of bleeding [see Warnings and Precautions ( 5.2 )] .

Storage and Handling

Piroxicam capsules, USP 20 mg for oral administration: 20 mg Red Opaque/Red Opaque Size 2 Capsules printed with “P” on cap and “234” on body. NDC 71205-032-30: Bottles of 30 capsules NDC 71205-032-60: Bottles of 60 capsules NDC 71205-032-30: Bottles of 90 capsules

How Supplied

Piroxicam capsules, USP 20 mg for oral administration: 20 mg Red Opaque/Red Opaque Size 2 Capsules printed with “P” on cap and “234” on body. NDC 71205-032-30: Bottles of 30 capsules NDC 71205-032-60: Bottles of 60 capsules NDC 71205-032-30: Bottles of 90 capsules


Medication Information

Warnings and Precautions

• Hepatotoxicity : Inform patients of warning signs and symptoms of hepatotoxicity. Discontinue if abnormal liver tests persist or worsen or if clinical signs and symptoms of liver disease develop ( 5.3 ) • Hypertension : Patients taking some antihypertensive medications may have impaired response to these therapies when taking NSAIDs. Monitor blood pressure ( 5.4 , 7 ) • Heart Failure and Edema : Avoid use of piroxicam capsules in patients with severe heart failure unless benefits are expected to outweigh risk of worsening heart failure ( 5.5 ) • Renal Toxicity : Monitor renal function in patients with renal or hepatic impairment, heart failure, dehydration, or hypovolemia. Avoid use of piroxicam capsules in patients with advanced renal disease unless benefits are expected to outweigh risk of worsening renal function ( 5.6 ) • Anaphylactic Reactions : Seek emergency help if an anaphylactic reaction occurs ( 5.7 ) • Exacerbation of Asthma Related to Aspirin Sensitivity : Piroxicam capsules are contraindicated in patients with aspirin-sensitive asthma. Monitor patients with preexisting asthma (without aspirin sensitivity) ( 5.8 ) • Serious Skin Reactions : Discontinue piroxicam capsules at first appearance of skin rash or other signs of hypersensitivity ( 5.9 ) • Premature Closure of Fetal Ductus Arteriosus : Avoid use in pregnant women starting at 30 weeks gestation ( 5.10 , 8.1 ) • Hematologic Toxicity : Monitor hemoglobin or hematocrit in patients with any signs or symptoms of anemia ( 5.11 , 7 )

Indications and Usage

Piroxicam capsules, USP are indicated: • For relief of the signs and symptoms of osteoarthritis. • For relief of the signs and symptoms of rheumatoid arthritis.

Dosage and Administration

Carefully consider the potential benefits and risks of piroxicam capsules and other treatment options before deciding to use piroxicam capsules. Use the lowest effective dosage for the shortest duration consistent with individual patient treatment goals [ see Warnings and Precautions ( 5 )] . After observing the response to initial therapy with piroxicam capsules, the dose and frequency should be adjusted to suit an individual patient's needs. For the relief of rheumatoid arthritis and osteoarthritis, the dosage is 20 mg given orally once per day. If desired, the daily dose may be divided. Because of the long half-life of piroxicam capsules, steady-state blood levels are not reached for 7–12 days. Therefore, although the therapeutic effects of piroxicam capsules are evident early in treatment, there is a progressive increase in response over several weeks and the effect of therapy should not be assessed for two weeks.

Contraindications

Piroxicam capsules are contraindicated in the following patients: • Known hypersensitivity (e.g., anaphylactic reactions and serious skin reactions) to piroxicam or any components of the drug product [see Warnings and Precautions ( 5.7 , 5.9 )] • History of asthma, urticaria, or other allergic-type reactions after taking aspirin or other NSAIDs. Severe, sometimes fatal, anaphylactic reactions to NSAIDs have been reported in such patients [see Warnings and Precautions ( 5.7 , 5.8 )] • In the setting of coronary artery bypass graft (CABG) surgery [see Warnings and Precautions ( 5.1 ) ]

Adverse Reactions

The following adverse reactions are discussed in greater detail in other sections of the labeling: • Cardiovascular Thrombotic Events [see Warnings and Precautions ( 5.1 )] • GI Bleeding, Ulceration and Perforation [see Warnings and Precautions ( 5.2 )] • Hepatotoxicity [see Warnings and Precautions ( 5.3 )] • Hypertension [see Warnings and Precautions ( 5.4 )] • Heart Failure and Edema [see Warnings and Precautions ( 5.5 )] • Renal Toxicity and Hyperkalemia [see Warnings and Precautions ( 5.6 )] • Anaphylactic Reactions [see Warnings and Precautions ( 5.7 )] • Serious Skin Reactions [see Warnings and Precautions ( 5.9 )] • Hematologic Toxicity [see Warnings and Precautions ( 5.11 )]

Drug Interactions

See Table 1 for clinically significant drug interactions with piroxicam. Table 1: Clinically Significant Drug Interactions with Piroxicam Drugs That Interfere with Hemostasis Clinical Impact: • Piroxicam and anticoagulants such as warfarin have a synergistic effect on bleeding. The concomitant use of piroxicam and anticoagulants have an increased risk of serious bleeding compared to the use of either drug alone. • Serotonin release by platelets plays an important role in hemostasis. Case-control and cohort epidemiological studies showed that concomitant use of drugs that interfere with serotonin reuptake and an NSAID may potentiate the risk of bleeding more than an NSAID alone. Intervention: Monitor patients with concomitant use of piroxicam capsules with anticoagulants (e.g., warfarin), antiplatelet agents (e.g., aspirin), selective serotonin reuptake inhibitors (SSRIs), and serotonin norepinephrine reuptake inhibitors (SNRIs) for signs of bleeding [see Warnings and Precautions ( 5.11 )] . Aspirin Clinical Impact: Controlled clinical studies showed that the concomitant use of NSAIDs and analgesic doses of aspirin does not produce any greater therapeutic effect than the use of NSAIDs alone. In a clinical study, the concomitant use of an NSAID and aspirin was associated with a significantly increased incidence of GI adverse reactions as compared to use of the NSAID alone [see Warnings and Precautions ( 5.2 )] . Intervention: Concomitant use of piroxicam capsules and analgesic doses of aspirin is not generally recommended because of the increased risk of bleeding [see Warnings and Precautions ( 5.11 )] . Piroxicam capsules are not a substitute for low dose aspirin for cardiovascular protection. ACE Inhibitors, Angiotensin Receptor Blockers, and Beta-Blockers Clinical Impact: • NSAIDs may diminish the antihypertensive effect of angiotensin converting enzyme (ACE) inhibitors, angiotensin receptor blockers (ARBs), or beta-blockers (including propranolol). • In patients who are elderly, volume-depleted (including those on diuretic therapy), or have renal impairment, co-administration of an NSAID with ACE inhibitors or ARBs may result in deterioration of renal function, including possible acute renal failure. These effects are usually reversible. Intervention: • During concomitant use of piroxicam capsules and ACE-inhibitors, ARBs, or beta-blockers, monitor blood pressure to ensure that the desired blood pressure is obtained. • During concomitant use of piroxicam capsules and ACE-inhibitors or ARBs in patients who are elderly, volume-depleted, or have impaired renal function, monitor for signs of worsening renal function [see Warnings and Precautions ( 5.6 )]. • When these drugs are administered concomitantly, patients should be adequately hydrated. Assess renal function at the beginning of the concomitant treatment and periodically thereafter. Diuretics Clinical Impact: Clinical studies, as well as post-marketing observations, showed that NSAIDs reduced the natriuretic effect of loop diuretics (e.g., furosemide) and thiazide diuretics in some patients. This effect has been attributed to the NSAID inhibition of renal prostaglandin synthesis. Intervention: During concomitant use of piroxicam capsules with diuretics, observe patients for signs of worsening renal function, in addition to assuring diuretic efficacy including antihypertensive effects [see Warnings and Precautions ( 5.6 )] . Digoxin Clinical Impact: The concomitant use of piroxicam with digoxin has been reported to increase the serum concentration and prolong the half-life of digoxin. Intervention: During concomitant use of piroxicam capsules and digoxin, monitor serum digoxin levels. Lithium Clinical Impact: NSAIDs have produced elevations in plasma lithium levels and reductions in renal lithium clearance. The mean minimum lithium concentration increased 15%, and the renal clearance decreased by approximately 20%. This effect has been attributed to NSAID inhibition of renal prostaglandin synthesis. Intervention: During concomitant use of piroxicam capsules and lithium, monitor patients for signs of lithium toxicity. Methotrexate Clinical Impact: Concomitant use of NSAIDs and methotrexate may increase the risk for methotrexate toxicity (e.g., neutropenia, thrombocytopenia, renal dysfunction). Intervention: During concomitant use of piroxicam capsules and methotrexate, monitor patients for methotrexate toxicity. Cyclosporine Clinical Impact: Concomitant use of piroxicam capsules and cyclosporine may increase cyclosporine's nephrotoxicity. Intervention: During concomitant use of piroxicam capsules and cyclosporine, monitor patients for signs of worsening renal function. NSAIDs and Salicylates Clinical Impact: Concomitant use of piroxicam with other NSAIDs or salicylates (e.g., diflunisal, salsalate) increases the risk of GI toxicity, with little or no increase in efficacy [see Warnings and Precautions ( 5.2 )]. Intervention: The concomitant use of piroxicam with other NSAIDs or salicylates is not recommended. Pemetrexed Clinical Impact: Concomitant use of piroxicam capsules and pemetrexed may increase the risk of pemetrexed-associated myelosuppression, renal, and GI toxicity (see the pemetrexed prescribing information). Intervention: During concomitant use of piroxicam capsules and pemetrexed, in patients with renal impairment whose creatinine clearance ranges from 45 to 79 mL/min, monitor for myelosuppression, renal and GI toxicity. NSAIDs with short elimination half-lives (e.g., diclofenac, indomethacin) should be avoided for a period of two days before, the day of, and two days following administration of pemetrexed. In the absence of data regarding potential interaction between pemetrexed and NSAIDs with longer half-lives (e.g., meloxicam, nabumetone), patients taking these NSAIDs should interrupt dosing for at least five days before, the day of, and two days following pemetrexed administration. Highly Protein Bound Drugs Clinical Impact : Piroxicam capsules are highly protein bound and, therefore, might be expected to displace other protein bound drugs. Intervention : Physicians should closely monitor patients for a change in dosage requirements when administering piroxicam capsules to patients on other highly protein bound drugs. Corticosteroids Clinical Impact: Concomitant use of corticosteroids with piroxicam capsules may increase the risk of GI ulceration or bleeding. Intervention: Monitor patients with concomitant use of piroxicam capsules with corticosteroids for signs of bleeding [see Warnings and Precautions ( 5.2 )] .

Storage and Handling

Piroxicam capsules, USP 20 mg for oral administration: 20 mg Red Opaque/Red Opaque Size 2 Capsules printed with “P” on cap and “234” on body. NDC 71205-032-30: Bottles of 30 capsules NDC 71205-032-60: Bottles of 60 capsules NDC 71205-032-30: Bottles of 90 capsules

How Supplied

Piroxicam capsules, USP 20 mg for oral administration: 20 mg Red Opaque/Red Opaque Size 2 Capsules printed with “P” on cap and “234” on body. NDC 71205-032-30: Bottles of 30 capsules NDC 71205-032-60: Bottles of 60 capsules NDC 71205-032-30: Bottles of 90 capsules

Description

WARNING: RISK OF SERIOUS CARDIOVASCULAR AND GASTROINTESTINAL EVENTS See full prescribing information for complete boxed warning. • Nonsteroidal anti-inflammatory drugs (NSAIDs) cause an increased risk of serious cardiovascular thrombotic events, including myocardial infarction and stroke, which can be fatal. This risk may occur early in treatment and may increase with duration of use ( 5.1 ) • Piroxicam capsules are contraindicated in the setting of coronary artery bypass graft (CABG) surgery ( 4 , 5.1 ) • NSAIDs cause an increased risk of serious gastrointestinal (GI) adverse events including bleeding, ulceration, and perforation of the stomach or intestines, which can be fatal. These events can occur at any time during use and without warning symptoms. Elderly patients and patients with a prior history of peptic ulcer disease and/or GI bleeding are at greater risk for serious GI events ( 5.2 )

Section 42229-5

Cardiovascular Thrombotic Events

  • Nonsteroidal anti-inflammatory drugs (NSAIDs) cause an increased risk of serious cardiovascular thrombotic events, including myocardial infarction and stroke, which can be fatal. This risk may occur early in treatment and may increase with duration of use. [see Warnings and Precautions (5.1)] .
  • Piroxicam capsules are contraindicated in the setting of coronary artery bypass graft (CABG) surgery [see Contraindications (4) and Warnings and Precautions (5.1)].
Section 42231-1

Medication Guide for Nonsteroidal Anti-inflammatory Drugs (NSAIDs)

What is the most important information I should know about medicines called Nonsteroidal Anti-inflammatory Drugs (NSAIDs)?

NSAIDs can cause serious side effects, including:

  • Increased risk of a heart attack or stroke that can lead to death. This risk may happen early in treatment and may increase:
    • with increasing doses of NSAIDs
    • with longer use of NSAIDs

Do not take NSAIDs right before or after a heart surgery called a “coronary artery bypass graft (CABG)."

Avoid taking NSAIDs after a recent heart attack, unless your healthcare provider tells you to. You may have an increased risk of another heart attack if you take NSAIDs after a recent heart attack

  • Increased risk of bleeding, ulcers, and tears (perforation) of the esophagus (tube leading from the mouth to the stomach), stomach and intestines:
    • anytime during use
    • without warning symptoms
    • that may cause death

The risk of getting an ulcer or bleeding increases with:

  • past history of stomach ulcers, or stomach or intestinal bleeding with use of NSAIDs
  • taking medicines called “corticosteroids”, “anticoagulants”, “SSRIs” or “SNRIs”
  • increasing doses of NSAIDs
  • longer use of NSAIDs
  • smoking
  • drinking alcohol

  • older age
  • poor health
  • advanced liver disease
  • bleeding problems

NSAIDs should only be used:

  • exactly as prescribed
  • at the lowest dose possible for your treatment
  • for the shortest time needed

What are NSAIDs?

NSAIDs are used to treat pain and redness, swelling, and heat (inflammation) from medical conditions such as different types of arthritis, menstrual cramps, and other types of short-term pain.

Who should not take NSAIDs?

Do not take NSAIDs:

  • if you have had an asthma attack, hives, or other allergic reaction with aspirin or any other NSAIDs.
  • right before or after heart bypass surgery.

Before taking NSAIDS, tell your healthcare provider about all of your medical conditions, including if you:

  • have liver or kidney problems
  • have high blood pressure
  • have asthma
  • are pregnant or plan to become pregnant. Talk to your healthcare provider if you are considering taking NSAIDs during pregnancy. You should not take NSAIDs after 29 weeks of pregnancy
  • are breastfeeding or plan to breast feed.

Tell your healthcare provider about all of the medicines you take, including prescription or over-the-counter medicines, vitamins or herbal supplements. NSAIDs and some other medicines can interact with each other and cause serious side effects. Do not start taking any new medicine without talking to your healthcare provider first.

What are the possible side effects of NSAIDs?





NSAIDs can cause serious side effects, including:

See “What is the most important information I should know about medicines called Nonsteroidal Anti-inflammatory Drugs (NSAIDs)?

  • new or worse high blood pressure
  • heart failure
  • liver problems including liver failure
  • kidney problems including kidney failure
  • low red blood cells (anemia)
  • life-threatening skin reactions
  • life-threatening allergic reactions
  • Other side effects of NSAIDs include: stomach pain, constipation, diarrhea, gas, heartburn, nausea, vomiting, and dizziness.

Get emergency help right away if you get any of the following symptoms:

  • shortness of breath or trouble breathing
  • chest pain
  • weakness in one part or side of your body

  • slurred speech
  • swelling of the face or throat

Stop taking your NSAID and call your healthcare provider right away if you get any of the following symptoms:

  • nausea
  • more tired or weaker than usual
  • diarrhea
  • itching
  • your skin or eyes look yellow
  • indigestion or stomach pain
  • flu-like symptoms
  • vomit blood
  • there is blood in your bowel movement or it is black and sticky like tar
  • unusual weight gain
  • skin rash or blisters with fever
  • swelling of the arms, legs, hands and feet

If you take too much of your NSAID, call your healthcare provider or get medical help right away.

These are not all the possible side effects of NSAIDs. For more information, ask your healthcare provider or pharmacist about NSAIDs.

Call your doctor for medical advice about side effects. You may report side effects to FDA at 1-800-FDA-1088.

Other information about NSAIDs

  • Aspirin is an NSAID but it does not increase the chance of a heart attack. Aspirin can cause bleeding in the brain, stomach, and intestines. Aspirin can also cause ulcers in the stomach and intestines.
  • Some NSAIDs are sold in lower doses without a prescription (over-the counter). Talk to your healthcare provider before using over-the-counter NSAIDs for more than 10 days.

General information about the safe and effective use of NSAIDs

Medicines are sometimes prescribed for purposes other than those listed in a Medication Guide. Do not use NSAIDs for a condition for which it was not prescribed. Do not give NSAIDs to other people, even if they have the same symptoms that you have. It may harm them.

If you would like more information about NSAIDs, talk with your healthcare provider. You can ask your pharmacist or healthcare provider for information about NSAIDs that is written for health professionals.

Manufactured for: Vensun Pharmaceuticals, Inc., Yardley, PA 19067

Manufactured by: Pharmaceutics International, Inc., Hunt Valley, MD 21031

For more information, call Vensun Pharmaceuticals, Inc. at 1-800-385-1540

This Medication Guide has been approved by the U.S. Food and Drug Administration.



Rev. 00, June 2016

Section 44425-7

Storage

Store at 20° to 25°C (68° to 77°F) [See USP Controlled Room Temperature].

Dispense in tight, light-resistant containers as defined in the USP.

Section 51945-4

Principal Display Panel - 20mg Bottle Label

NDC 71205-032-30

Piroxicam

Capsules, USP

20 mg

Pharmacist: Dispense the accompanying

Medication Guide to each patient.

Rx Only

30 Capsules

10 Overdosage

Symptoms following acute NSAID overdoses have been typically limited to lethargy, drowsiness, nausea, vomiting, and epigastric pain, which are generally reversible with supportive care. Gastrointestinal bleeding has occurred. Hypertension, acute renal failure, respiratory depression, and coma have occurred, but were rare [see Warnings and Precautions (5.1, 5.2, 5.4, 5.6)].

Manage patients with symptomatic and supportive care following an NSAID overdose. There are no specific antidotes. Consider emesis and/or activated charcoal (60–100 grams in adults, 1–2 grams per kg of body weight in pediatric patients) and/or osmotic cathartic in symptomatic patients seen within four hours of ingestion or in patients with a large overdosage (5 to 10 times the recommended dosage).

The long plasma half-life of piroxicam should be considered when treating an overdose with piroxicam. Forced diuresis, alkalinization of urine, hemodialysis, or hemoperfusion may not be useful due to high protein binding.

For additional information about overdosage treatment contact a poison control center (1-800-222-1222).

8.1 Pregnancy

Pregnancy Category C prior to 30 weeks gestation; Category D starting at 30 weeks gestation.

11 Description

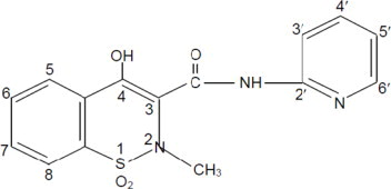
Piroxicam capsules, USP are a nonsteroidal anti-inflammatory drug, available as white opaque/red opaque 10 mg capsules and red opaque 20 mg capsules for oral administration. The chemical name is 4-hydroxyl-2-methyl-N-2- pyridinyl-2H-1,2,-benzothiazine-3-carboxamide 1,1-dioxide. The molecular weight is 331.35. Its molecular formula is C15H13N3O4S, and it has the following chemical structure.

Piroxicam occurs as a white crystalline solid, sparingly soluble in water, dilute acid, and most organic solvents. It is slightly soluble in alcohol and in aqueous solutions. It exhibits a weakly acidic 4-hydroxy proton (pKa 5.1) and a weakly basic pyridyl nitrogen (pKa 1.8).

The inactive ingredients in piroxicam capsules, USP include: corn starch, FD & C Blue 1, FD & C Red 40, gelatin, lactose monohydrate, magnesium stearate, sodium lauryl sulfate and titanium dioxide.

5.4 Hypertension

NSAIDs, including piroxicam capsules, can lead to new onset of hypertension or worsening of preexisting hypertension, either of which may contribute to the increased incidence of CV events. Patients taking angiotensin converting enzyme (ACE) inhibitors, thiazide diuretics, or loop diuretics may have impaired response to these therapies when taking NSAIDs [see Drug Interactions (7)].

Monitor blood pressure (BP) during the initiation of NSAID treatment and throughout the course of therapy.

8.4 Pediatric Use

Piroxicam capsules have not been investigated in pediatric patients. The safety and effectiveness of piroxicam capsules have not been established.

8.5 Geriatric Use

Elderly patients, compared to younger patients, are at greater risk for NSAID-associated serious cardiovascular, gastrointestinal, and/or renal adverse reactions. If the anticipated benefit for the elderly patient outweighs these potential risks, start dosing at the low end of the dosing range, and monitor patients for adverse effects [see Warnings and Precautions (5.1, 5.2, 5.3, 5.6, 5.13)].

5.3 Hepatotoxicity

Elevations of ALT or AST (three or more times the upper limit of normal [ULN]) have been reported in approximately 1% of NSAID-treated patients in clinical trials. In addition, rare, sometimes fatal, cases of severe hepatic injury, including fulminant hepatitis, liver necrosis, and hepatic failure have been reported.

Elevations of ALT or AST (less than three times ULN) may occur in up to 15% of patients treated with NSAIDs including piroxicam.

Inform patients of the warning signs and symptoms of hepatotoxicity (e.g., nausea, fatigue, lethargy, diarrhea, pruritus, jaundice, right upper quadrant tenderness, and "flu-like" symptoms). If clinical signs and symptoms consistent with liver disease develop, or if systemic manifestations occur (e.g., eosinophilia, rash, etc.), discontinue piroxicam capsules immediately, and perform a clinical evaluation of the patient.

14 Clinical Studies

In controlled clinical trials, the effectiveness of piroxicam capsules has been established for both acute exacerbations and long term management of rheumatoid arthritis and osteoarthritis.

The therapeutic effects of piroxicam capsules are evident early in the treatment of both diseases with a progressive increase in response over several (8–12) weeks. Efficacy is seen in terms of pain relief and, when present, subsidence of inflammation.

Doses of 20 mg/day piroxicam capsules display a therapeutic effect comparable to therapeutic doses of aspirin, with a lower incidence of minor gastrointestinal effects and tinnitus.

Piroxicam capsules have been administered concomitantly with fixed doses of gold and corticosteroids. The existence of a “steroid sparing” effect has not been adequately studied to date.

4 Contraindications

Piroxicam capsules are contraindicated in the following patients:

  • Known hypersensitivity (e.g., anaphylactic reactions and serious skin reactions) to piroxicam or any components of the drug product [see Warnings and Precautions (5.7, 5.9)]
  • History of asthma, urticaria, or other allergic-type reactions after taking aspirin or other NSAIDs. Severe, sometimes fatal, anaphylactic reactions to NSAIDs have been reported in such patients [see Warnings and Precautions (5.7, 5.8)]
  • In the setting of coronary artery bypass graft (CABG) surgery [see Warnings and Precautions (5.1 )]
6 Adverse Reactions

The following adverse reactions are discussed in greater detail in other sections of the labeling:

  • Cardiovascular Thrombotic Events [see Warnings and Precautions (5.1)]
  • GI Bleeding, Ulceration and Perforation [see Warnings and Precautions (5.2)]
  • Hepatotoxicity [see Warnings and Precautions (5.3)]
  • Hypertension [see Warnings and Precautions (5.4)]
  • Heart Failure and Edema [see Warnings and Precautions (5.5)]
  • Renal Toxicity and Hyperkalemia [see Warnings and Precautions (5.6)]
  • Anaphylactic Reactions [see Warnings and Precautions (5.7)]
  • Serious Skin Reactions [see Warnings and Precautions (5.9)]
  • Hematologic Toxicity [see Warnings and Precautions (5.11)]
7 Drug Interactions

See Table 1 for clinically significant drug interactions with piroxicam.

Table 1: Clinically Significant Drug Interactions with Piroxicam

Drugs That Interfere with Hemostasis

Clinical

Impact:

  • Piroxicam and anticoagulants such as warfarin have a synergistic effect on bleeding. The concomitant use of piroxicam and anticoagulants have an increased risk of serious bleeding compared to the use of either drug alone.
  • Serotonin release by platelets plays an important role in hemostasis. Case-control and cohort epidemiological studies showed that concomitant use of drugs that interfere with serotonin reuptake and an NSAID may potentiate the risk of bleeding more than an NSAID alone.

Intervention:

Monitor patients with concomitant use of piroxicam capsules with anticoagulants (e.g., warfarin), antiplatelet agents (e.g., aspirin), selective serotonin reuptake inhibitors (SSRIs), and serotonin norepinephrine reuptake inhibitors (SNRIs) for signs of bleeding [see Warnings and Precautions (5.11)].

Aspirin

Clinical

Impact:

Controlled clinical studies showed that the concomitant use of NSAIDs and analgesic doses of aspirin does not produce any greater therapeutic effect than the use of NSAIDs alone. In a clinical study, the concomitant use of an NSAID and aspirin was associated with a significantly increased incidence of GI adverse reactions as compared to use of the NSAID alone [see Warnings and Precautions (5.2)].

Intervention:

Concomitant use of piroxicam capsules and analgesic doses of aspirin is not generally recommended because of the increased risk of bleeding [see Warnings and Precautions (5.11)].

Piroxicam capsules are not a substitute for low dose aspirin for cardiovascular protection.

ACE Inhibitors, Angiotensin Receptor Blockers, and Beta-Blockers

Clinical

Impact:

  • NSAIDs may diminish the antihypertensive effect of angiotensin converting enzyme (ACE) inhibitors, angiotensin receptor blockers (ARBs), or beta-blockers (including propranolol).
  • In patients who are elderly, volume-depleted (including those on diuretic therapy), or have renal impairment, co-administration of an NSAID with ACE inhibitors or ARBs may result in deterioration of renal function, including possible acute renal failure. These effects are usually reversible.

Intervention:

  • During concomitant use of piroxicam capsules and ACE-inhibitors, ARBs, or beta-blockers, monitor blood pressure to ensure that the desired blood pressure is obtained.
  • During concomitant use of piroxicam capsules and ACE-inhibitors or ARBs in patients who are elderly, volume-depleted, or have impaired renal function, monitor for signs of worsening renal function [see Warnings and Precautions (5.6)].
  • When these drugs are administered concomitantly, patients should be adequately hydrated. Assess renal function at the beginning of the concomitant treatment and periodically thereafter.

Diuretics

Clinical

Impact:

Clinical studies, as well as post-marketing observations, showed that NSAIDs reduced the natriuretic effect of loop diuretics (e.g., furosemide) and thiazide diuretics in some patients. This effect has been attributed to the NSAID inhibition of renal prostaglandin synthesis.

Intervention:

During concomitant use of piroxicam capsules with diuretics, observe patients for signs of worsening renal function, in addition to assuring diuretic efficacy including antihypertensive effects [see Warnings and Precautions (5.6)].

Digoxin

Clinical

Impact:

The concomitant use of piroxicam with digoxin has been reported to increase the serum concentration and prolong the half-life of digoxin.

Intervention:

During concomitant use of piroxicam capsules and digoxin, monitor serum digoxin levels.

Lithium

Clinical

Impact:

NSAIDs have produced elevations in plasma lithium levels and reductions in renal lithium clearance. The mean minimum lithium concentration increased 15%, and the renal clearance decreased by approximately 20%. This effect has been attributed to NSAID inhibition of renal prostaglandin synthesis.

Intervention:

During concomitant use of piroxicam capsules and lithium, monitor patients for signs of lithium toxicity.

Methotrexate

Clinical

Impact:

Concomitant use of NSAIDs and methotrexate may increase the risk for methotrexate toxicity (e.g., neutropenia, thrombocytopenia, renal dysfunction).

Intervention:

During concomitant use of piroxicam capsules and methotrexate, monitor patients for methotrexate toxicity.

Cyclosporine

Clinical

Impact:



Concomitant use of piroxicam capsules and cyclosporine may increase cyclosporine's nephrotoxicity.

Intervention:

During concomitant use of piroxicam capsules and cyclosporine, monitor patients for signs of worsening renal function.

NSAIDs and Salicylates

Clinical

Impact:

Concomitant use of piroxicam with other NSAIDs or salicylates (e.g., diflunisal, salsalate) increases the risk of GI toxicity, with little or no increase in efficacy [see Warnings and Precautions (5.2)].

Intervention:

The concomitant use of piroxicam with other NSAIDs or salicylates is not recommended.

Pemetrexed

Clinical

Impact:

Concomitant use of piroxicam capsules and pemetrexed may increase the risk of pemetrexed-associated myelosuppression, renal, and GI toxicity (see the pemetrexed prescribing information).













Intervention:

During concomitant use of piroxicam capsules and pemetrexed, in patients with renal impairment whose creatinine clearance ranges from 45 to 79 mL/min, monitor for myelosuppression, renal and GI toxicity.



NSAIDs with short elimination half-lives (e.g., diclofenac, indomethacin) should be avoided for a period of two days before, the day of, and two days following administration of pemetrexed.



In the absence of data regarding potential interaction between pemetrexed and NSAIDs with longer half-lives (e.g., meloxicam, nabumetone), patients taking these NSAIDs should interrupt dosing for at least five days before, the day of, and two days following pemetrexed administration.

Highly Protein Bound Drugs

Clinical

Impact:

Piroxicam capsules are highly protein bound and, therefore, might be expected to displace other protein bound drugs.



Intervention:

Physicians should closely monitor patients for a change in dosage requirements when administering piroxicam capsules to patients on other highly protein bound drugs.

Corticosteroids

Clinical

Impact:

Concomitant use of corticosteroids with piroxicam capsules may increase the risk of GI ulceration or bleeding.

Intervention:

Monitor patients with concomitant use of piroxicam capsules with corticosteroids for signs of bleeding [see Warnings and Precautions (5.2)].

12.5 Pharmacogenomics

CYP2C9 activity is reduced in individuals with genetic polymorphisms, such as the CYP2C9*2 and CYP2C9*3 polymorphisms. Limited data from two published reports showed that subjects with heterozygous CYP2C9*1/*2 (n=9), heterozygous CYP2C9*1/*3 (n=9), and homozygous CYP2C9*3/*3 (n=1) genotypes showed 1.7-, 1.7-, and 5.3-fold higher piroxicam systemic levels, respectively, than the subjects with CYP2C9*1/*1 (n=17, normal metabolizer genotype) following administration of a single oral dose. The mean elimination half-life values of piroxicam for subjects with CYP2C9*1/*3 (n=9) and CYP2C9*3/*3 (n=1) genotypes were 1.7- and 8.8-fold higher than subjects with CYP2C9*1/*1 (n=17). It is estimated that the frequency of the homozygous*3/*3 genotype is 0% to 1% in the population at large; however, frequencies as high as 5.7% have been reported in certain ethnic groups.

Poor Metabolizers of CYP2C9 Substrates: In patients who are known or suspected to be poor CYP2C9 metabolizers based on genotype or previous history/experience with other CYP2C9 substrates (such as warfarin and phenytoin) consider dose reduction as they may have abnormally high plasma levels due to reduced metabolic clearance.

1 Indications and Usage

Piroxicam capsules, USP are indicated:

  • For relief of the signs and symptoms of osteoarthritis.
  • For relief of the signs and symptoms of rheumatoid arthritis.
12.1 Mechanism of Action

Piroxicam has analgesic, anti-inflammatory, and antipyretic properties.

The mechanism of action of piroxicam capsules, like that of other NSAIDs, is not completely understood but involves inhibition of cyclooxygenase (COX-1 and COX-2).

Piroxicam is a potent inhibitor of prostaglandin (PG) synthesis in vitro. Piroxicam concentrations reached during therapy have produced in vivo effects. Prostaglandins sensitize afferent nerves and potentiate the action of bradykinin in inducing pain in animal models. Prostaglandins are mediators of inflammation. Because piroxicam is an inhibitor of prostaglandin synthesis, its mode of action may be due to a decrease of prostaglandins in peripheral tissues.

5.11 Hematologic Toxicity

Anemia has occurred in NSAID-treated patients. This may be due to occult or gross blood loss, fluid retention, or an incompletely described effect on erythropoiesis. If a patient treated with piroxicam capsules has any signs or symptoms of anemia, monitor hemoglobin or hematocrit.

NSAIDs, including piroxicam capsules, may increase the risk of bleeding events. Co-morbid conditions such as coagulation disorders, concomitant use of warfarin, other anticoagulants, antiplatelet agents (e.g., aspirin), serotonin reuptake inhibitors (SSRIs), and serotonin norepinephrine reuptake inhibitors (SNRIs) may increase this risk. Monitor these patients for signs of bleeding [see Drug Interactions (7)].

5 Warnings and Precautions
  • Hepatotoxicity: Inform patients of warning signs and symptoms of hepatotoxicity. Discontinue if abnormal liver tests persist or worsen or if clinical signs and symptoms of liver disease develop (5.3)
  • Hypertension: Patients taking some antihypertensive medications may have impaired response to these therapies when taking NSAIDs. Monitor blood pressure (5.4, 7)
  • Heart Failure and Edema: Avoid use of piroxicam capsules in patients with severe heart failure unless benefits are expected to outweigh risk of worsening heart failure (5.5)
  • Renal Toxicity: Monitor renal function in patients with renal or hepatic impairment, heart failure, dehydration, or hypovolemia. Avoid use of piroxicam capsules in patients with advanced renal disease unless benefits are expected to outweigh risk of worsening renal function (5.6)
  • Anaphylactic Reactions: Seek emergency help if an anaphylactic reaction occurs (5.7)
  • Exacerbation of Asthma Related to Aspirin Sensitivity: Piroxicam capsules are contraindicated in patients with aspirin-sensitive asthma. Monitor patients with preexisting asthma (without aspirin sensitivity) (5.8)
  • Serious Skin Reactions: Discontinue piroxicam capsules at first appearance of skin rash or other signs of hypersensitivity (5.9)
  • Premature Closure of Fetal Ductus Arteriosus: Avoid use in pregnant women starting at 30 weeks gestation (5.10, 8.1)
  • Hematologic Toxicity: Monitor hemoglobin or hematocrit in patients with any signs or symptoms of anemia (5.11, 7)
5.13 Laboratory Monitoring

Because serious GI bleeding, hepatotoxicity, and renal injury can occur without warning symptoms or signs, consider monitoring patients on long-term NSAID treatment with a CBC and a chemistry profile periodically [see Warnings and Precautions (5.2, 5.3, 5.6)].

5.7 Anaphylactic Reactions

Piroxicam has been associated with anaphylactic reactions in patients with and without known hypersensitivity to piroxicam and in patients with aspirin-sensitive asthma [see Contraindications (4) and Warnings and Precautions (5.8)].

Seek emergency help if an anaphylactic reaction occurs.

5.9 Serious Skin Reactions

NSAIDs, including piroxicam, can cause serious skin adverse reactions such as exfoliative dermatitis, Stevens-Johnson Syndrome (SJS), and toxic epidermal necrolysis (TEN), which can be fatal. These serious events may occur without warning. Inform patients about the signs and symptoms of serious skin reactions, and to discontinue the use of piroxicam capsules at the first appearance of skin rash or any other sign of hypersensitivity. Piroxicam capsules are contraindicated in patients with previous serious skin reactions to NSAIDs [see Contraindications (4)].

2 Dosage and Administration

Carefully consider the potential benefits and risks of piroxicam capsules and other treatment options before deciding to use piroxicam capsules. Use the lowest effective dosage for the shortest duration consistent with individual patient treatment goals [see Warnings and Precautions (5)].

After observing the response to initial therapy with piroxicam capsules, the dose and frequency should be adjusted to suit an individual patient's needs.

For the relief of rheumatoid arthritis and osteoarthritis, the dosage is 20 mg given orally once per day. If desired, the daily dose may be divided. Because of the long half-life of piroxicam capsules, steady-state blood levels are not reached for 7–12 days. Therefore, although the therapeutic effects of piroxicam capsules are evident early in treatment, there is a progressive increase in response over several weeks and the effect of therapy should not be assessed for two weeks.

5.14 Ophthalmologic Effects

Because of reports of adverse eye findings with nonsteroidal anti-inflammatory agents, it is recommended that patients who develop visual complaints during treatment with piroxicam capsules have ophthalmic evaluations.

5.5 Heart Failure and Edema

The Coxib and traditional NSAID Trialists' Collaboration meta-analysis of randomized controlled trials demonstrated an approximately two-fold increase in hospitalizations for heart failure in COX-2 selective-treated patients and nonselective NSAID-treated patients compared to placebo-treated patients. In a Danish National Registry study of patients with heart failure, NSAID use increased the risk of MI, hospitalization for heart failure, and death.

Additionally, fluid retention and edema have been observed in some patients treated with NSAIDs. Use of piroxicam may blunt the CV effects of several therapeutic agents used to treat these medical conditions (e.g., diuretics, ACE inhibitors, or angiotensin receptor blockers [ARBs]) [see Drug Interactions (7)].

Avoid the use of piroxicam capsules in patients with severe heart failure unless the benefits are expected to outweigh the risk of worsening heart failure. If piroxicam capsules are used in patients with severe heart failure, monitor patients for signs of worsening heart failure.

3 Dosage Forms and Strengths

Piroxicam capsules, USP:

10 mg: White Opaque/ Red Opaque Size 2 Capsules printed with “P” on cap and “233” on body.

20 mg: Red Opaque/Red Opaque Size 2 Capsules printed with “P” on cap and “234” on body.

6.2 Postmarketing Experience

The following adverse reactions have been identified during post approval use of piroxicam capsules. Because these reactions are reported voluntarily from a population of uncertain size, it is not always possible to reliably estimate their frequency or establish a causal relationship to drug exposure.

  •  
    Body As a Whole: Fever, infection, sepsis, anaphylactic reactions, appetite changes, death, flu-like syndrome, pain
  •  
    (colic), serum sickness
  •  
    Cardiovascular System: Congestive heart failure, hypertension, tachycardia, syncope, arrhythmia, exacerbation of angina, hypotension, myocardial infarction, vasculitis
  •  
    Digestive System: Dyspepsia, elevated liver enzymes, gross bleeding/perforation, heartburn, ulcers (gastric/duodenal), dry mouth, esophagitis, gastritis, glossitis, hematemesis, hepatitis, jaundice, melena, rectal bleeding, eructation, liver failure, pancreatitis
  •  
    Hemic and Lymphatic System: Anemia, increased bleeding time, ecchymosis, eosinophilia, epistaxis, leukopenia, purpura, petechial rash, thrombocytopenia, agranulocytosis, hemolytic anemia, aplastic anemia, lymphadenopathy, pancytopenia
  •  
    Hypersensitivity: Positive ANA
  •  
    Metabolic and Nutritional: Weight changes, Fluid retention, hyperglycemia, hypoglycemia
  •  
    Nervous System: Anxiety, asthenia, confusion, depression, dream abnormalities, insomnia, malaise, nervousness, paresthesia, somnolence, tremors, akathisia, convulsions, coma, hallucinations, meningitis, mood alterations
  •  
    Respiratory System: Asthma, dyspnea, respiratory depression, pneumonia
  •  
    Skin and Appendages: Alopecia, bruising, desquamation, erythema, photosensitivity, sweat, angioedema, toxic epidermal necrosis, erythema multiforme, exfoliative dermatitis, onycholysis, Stevens Johnson Syndrome, urticaria, vesiculobullous reaction
  •  
    Special Senses: Conjunctivitis, hearing impairment, swollen eyes
  •  
    Urogenital System: Abnormal renal function, cystitis, dysuria, hematuria, hyperkalemia, interstitial nephritis, nephrotic syndrome, oliguria/polyuria, proteinuria, renal failure, glomerulonephritis
  •  
    Reproductive system and breast disorders: Female fertility decreased
8 Use in Specific Populations

Pregnancy: Use of NSAIDs during the third trimester of pregnancy increases the risk of premature closure of the fetal ductus arteriosus. Avoid use of NSAIDs in pregnant women starting at 30 weeks gestation (5.10, 8.1)

Infertility: NSAIDs are associated with reversible infertility. Consider withdrawal of piroxicam capsules in women who have difficulties conceiving (8.3)

6.1 Clinical Trials Experience

Because clinical trials are conducted under widely varying conditions, adverse reaction rates observed in the clinical trials of a drug cannot be directly compared to rates in the clinical trials of another drug and may not reflect the rates observed in practice.

In patients taking piroxicam capsules or other NSAIDs, the most frequently reported adverse experiences occurring in approximately 1–10% of patients are:

  •  
    Cardiovascular System: Edema
  •  
    Digestive System: Anorexia, abdominal pain, constipation, diarrhea, flatulence, nausea, vomiting
  •  
    Nervous System: Dizziness, headache, vertigo
  •  
    Skin and Appendages: Pruritus, rash
  •  
    Special Senses: Tinnitus

Additional adverse experiences reported occasionally include:

  •  
    Cardiovascular System: Palpitations
  •  
    Digestive System: Stomatitis
  •  
    Nervous System: Drowsiness
  •  
    Special Senses: Blurred vision
17 Patient Counseling Information

Advise the patient to read the FDA-approved patient labeling (Medication Guide) that accompanies each prescription dispensed. Inform patients, families, or their caregivers of the following information before initiating therapy with piroxicam capsules and periodically during the course of ongoing therapy.

16 How Supplied/storage and Handling

Piroxicam capsules, USP 20 mg for oral administration:

20 mg

Red Opaque/Red Opaque Size 2 Capsules printed with “P” on cap and “234” on body.

NDC 71205-032-30: Bottles of 30 capsules

NDC 71205-032-60: Bottles of 60 capsules

NDC 71205-032-30: Bottles of 90 capsules

5.1 Cardiovascular Thrombotic Events

Clinical trials of several COX-2 selective and nonselective NSAIDs of up to three years duration have shown an increased risk of serious cardiovascular (CV) thrombotic events, including myocardial infarction (MI), and stroke, which can be fatal. Based on available data, it is unclear that the risk for CV thrombotic events is similar for all NSAIDs. The relative increase in serious CV thrombotic events over baseline conferred by NSAID use appears to be similar in those with and without known CV disease or risk factors for CV disease. However, patients with known CV disease or risk factors had a higher absolute incidence of excess serious CV thrombotic events, due to their increased baseline rate. Some observational studies found that this increased risk of serious CV thrombotic events began as early as the first weeks of treatment. The increase in CV thrombotic risk has been observed most consistently at higher doses.

To minimize the potential risk for an adverse CV event in NSAID-treated patients, use the lowest effective dose for the shortest duration possible. Physicians and patients should remain alert for the development of such events, throughout the entire treatment course, even in the absence of previous CV symptoms. Patients should be informed about the symptoms of serious CV events and the steps to take if they occur.

There is no consistent evidence that concurrent use of aspirin mitigates the increased risk of serious CV thrombotic events associated with NSAID use. The concurrent use of aspirin and an NSAID, such as piroxicam, increases the risk of serious gastrointestinal (GI) events [see Warnings and Precautions (5.2)].

5.12 Masking of Inflammation and Fever

The pharmacological activity of piroxicam capsules in reducing inflammation, and possibly fever, may diminish the utility of diagnostic signs in detecting infections.

5.10 Premature Closure of Fetal Ductus Arteriosus

Piroxicam may cause premature closure of the fetal ductus arteriosus. Avoid use of NSAIDs, including piroxicam capsules, in pregnant women starting at 30 weeks of gestation (third trimester) [see Use in Specific Populations (8.1)].

5.8 Exacerbation of Asthma Related to Aspirin Sensitivity

A subpopulation of patients with asthma may have aspirin-sensitive asthma which may include chronic rhinosinusitis complicated by nasal polyps; severe, potentially fatal bronchospasm; and/or intolerance to aspirin and other NSAIDs. Because cross-reactivity between aspirin and other NSAIDs has been reported in such aspirin-sensitive patients, piroxicam capsules are contraindicated in patients with this form of aspirin sensitivity [see Contraindications (4)]. When piroxicam capsules are used in patients with preexisting asthma (without known aspirin sensitivity), monitor patients for changes in the signs and symptoms of asthma.

5.2 Gastrointestinal Bleeding, Ulceration, and Perforation

NSAIDs, including piroxicam capsules, cause serious gastrointestinal (GI) adverse events including inflammation, bleeding, ulceration, and perforation of the esophagus, stomach, small intestine, or large intestine, which can be fatal. These serious adverse events can occur at any time, with or without warning symptoms, in patients treated with NSAIDs. Only one in five patients who develop a serious upper GI adverse event on NSAID therapy is symptomatic. Upper GI ulcers, gross bleeding, or perforation caused by NSAIDs occurred in approximately 1% of patients treated for 3–6 months, and in about 2%-4% of patients treated for one year. However, even short-term NSAID therapy is not without risk.

Warning: Risk of Serious Cardiovascular and Gastrointestinal Events

WARNING: RISK OF SERIOUS CARDIOVASCULAR AND GASTROINTESTINAL EVENTS

See full prescribing information for complete boxed warning.

  • Nonsteroidal anti-inflammatory drugs (NSAIDs) cause an increased risk of serious cardiovascular thrombotic events, including myocardial infarction and stroke, which can be fatal. This risk may occur early in treatment and may increase with duration of use (5.1)
  • Piroxicam capsules are contraindicated in the setting of coronary artery bypass graft (CABG) surgery (4, 5.1)
  • NSAIDs cause an increased risk of serious gastrointestinal (GI) adverse events including bleeding, ulceration, and perforation of the stomach or intestines, which can be fatal. These events can occur at any time during use and without warning symptoms. Elderly patients and patients with a prior history of peptic ulcer disease and/or GI bleeding are at greater risk for serious GI events (5.2)

Structured Label Content

Section 42229-5 (42229-5)

Cardiovascular Thrombotic Events

  • Nonsteroidal anti-inflammatory drugs (NSAIDs) cause an increased risk of serious cardiovascular thrombotic events, including myocardial infarction and stroke, which can be fatal. This risk may occur early in treatment and may increase with duration of use. [see Warnings and Precautions (5.1)] .
  • Piroxicam capsules are contraindicated in the setting of coronary artery bypass graft (CABG) surgery [see Contraindications (4) and Warnings and Precautions (5.1)].
Section 42231-1 (42231-1)

Medication Guide for Nonsteroidal Anti-inflammatory Drugs (NSAIDs)

What is the most important information I should know about medicines called Nonsteroidal Anti-inflammatory Drugs (NSAIDs)?

NSAIDs can cause serious side effects, including:

  • Increased risk of a heart attack or stroke that can lead to death. This risk may happen early in treatment and may increase:
    • with increasing doses of NSAIDs
    • with longer use of NSAIDs

Do not take NSAIDs right before or after a heart surgery called a “coronary artery bypass graft (CABG)."

Avoid taking NSAIDs after a recent heart attack, unless your healthcare provider tells you to. You may have an increased risk of another heart attack if you take NSAIDs after a recent heart attack

  • Increased risk of bleeding, ulcers, and tears (perforation) of the esophagus (tube leading from the mouth to the stomach), stomach and intestines:
    • anytime during use
    • without warning symptoms
    • that may cause death

The risk of getting an ulcer or bleeding increases with:

  • past history of stomach ulcers, or stomach or intestinal bleeding with use of NSAIDs
  • taking medicines called “corticosteroids”, “anticoagulants”, “SSRIs” or “SNRIs”
  • increasing doses of NSAIDs
  • longer use of NSAIDs
  • smoking
  • drinking alcohol

  • older age
  • poor health
  • advanced liver disease
  • bleeding problems

NSAIDs should only be used:

  • exactly as prescribed
  • at the lowest dose possible for your treatment
  • for the shortest time needed

What are NSAIDs?

NSAIDs are used to treat pain and redness, swelling, and heat (inflammation) from medical conditions such as different types of arthritis, menstrual cramps, and other types of short-term pain.

Who should not take NSAIDs?

Do not take NSAIDs:

  • if you have had an asthma attack, hives, or other allergic reaction with aspirin or any other NSAIDs.
  • right before or after heart bypass surgery.

Before taking NSAIDS, tell your healthcare provider about all of your medical conditions, including if you:

  • have liver or kidney problems
  • have high blood pressure
  • have asthma
  • are pregnant or plan to become pregnant. Talk to your healthcare provider if you are considering taking NSAIDs during pregnancy. You should not take NSAIDs after 29 weeks of pregnancy
  • are breastfeeding or plan to breast feed.

Tell your healthcare provider about all of the medicines you take, including prescription or over-the-counter medicines, vitamins or herbal supplements. NSAIDs and some other medicines can interact with each other and cause serious side effects. Do not start taking any new medicine without talking to your healthcare provider first.

What are the possible side effects of NSAIDs?





NSAIDs can cause serious side effects, including:

See “What is the most important information I should know about medicines called Nonsteroidal Anti-inflammatory Drugs (NSAIDs)?

  • new or worse high blood pressure
  • heart failure
  • liver problems including liver failure
  • kidney problems including kidney failure
  • low red blood cells (anemia)
  • life-threatening skin reactions
  • life-threatening allergic reactions
  • Other side effects of NSAIDs include: stomach pain, constipation, diarrhea, gas, heartburn, nausea, vomiting, and dizziness.

Get emergency help right away if you get any of the following symptoms:

  • shortness of breath or trouble breathing
  • chest pain
  • weakness in one part or side of your body

  • slurred speech
  • swelling of the face or throat

Stop taking your NSAID and call your healthcare provider right away if you get any of the following symptoms:

  • nausea
  • more tired or weaker than usual
  • diarrhea
  • itching
  • your skin or eyes look yellow
  • indigestion or stomach pain
  • flu-like symptoms
  • vomit blood
  • there is blood in your bowel movement or it is black and sticky like tar
  • unusual weight gain
  • skin rash or blisters with fever
  • swelling of the arms, legs, hands and feet

If you take too much of your NSAID, call your healthcare provider or get medical help right away.

These are not all the possible side effects of NSAIDs. For more information, ask your healthcare provider or pharmacist about NSAIDs.

Call your doctor for medical advice about side effects. You may report side effects to FDA at 1-800-FDA-1088.

Other information about NSAIDs

  • Aspirin is an NSAID but it does not increase the chance of a heart attack. Aspirin can cause bleeding in the brain, stomach, and intestines. Aspirin can also cause ulcers in the stomach and intestines.
  • Some NSAIDs are sold in lower doses without a prescription (over-the counter). Talk to your healthcare provider before using over-the-counter NSAIDs for more than 10 days.

General information about the safe and effective use of NSAIDs

Medicines are sometimes prescribed for purposes other than those listed in a Medication Guide. Do not use NSAIDs for a condition for which it was not prescribed. Do not give NSAIDs to other people, even if they have the same symptoms that you have. It may harm them.

If you would like more information about NSAIDs, talk with your healthcare provider. You can ask your pharmacist or healthcare provider for information about NSAIDs that is written for health professionals.

Manufactured for: Vensun Pharmaceuticals, Inc., Yardley, PA 19067

Manufactured by: Pharmaceutics International, Inc., Hunt Valley, MD 21031

For more information, call Vensun Pharmaceuticals, Inc. at 1-800-385-1540

This Medication Guide has been approved by the U.S. Food and Drug Administration.



Rev. 00, June 2016

Section 44425-7 (44425-7)

Storage

Store at 20° to 25°C (68° to 77°F) [See USP Controlled Room Temperature].

Dispense in tight, light-resistant containers as defined in the USP.

Section 51945-4 (51945-4)

Principal Display Panel - 20mg Bottle Label

NDC 71205-032-30

Piroxicam

Capsules, USP

20 mg

Pharmacist: Dispense the accompanying

Medication Guide to each patient.

Rx Only

30 Capsules

10 Overdosage (10 OVERDOSAGE)

Symptoms following acute NSAID overdoses have been typically limited to lethargy, drowsiness, nausea, vomiting, and epigastric pain, which are generally reversible with supportive care. Gastrointestinal bleeding has occurred. Hypertension, acute renal failure, respiratory depression, and coma have occurred, but were rare [see Warnings and Precautions (5.1, 5.2, 5.4, 5.6)].

Manage patients with symptomatic and supportive care following an NSAID overdose. There are no specific antidotes. Consider emesis and/or activated charcoal (60–100 grams in adults, 1–2 grams per kg of body weight in pediatric patients) and/or osmotic cathartic in symptomatic patients seen within four hours of ingestion or in patients with a large overdosage (5 to 10 times the recommended dosage).

The long plasma half-life of piroxicam should be considered when treating an overdose with piroxicam. Forced diuresis, alkalinization of urine, hemodialysis, or hemoperfusion may not be useful due to high protein binding.

For additional information about overdosage treatment contact a poison control center (1-800-222-1222).

8.1 Pregnancy

Pregnancy Category C prior to 30 weeks gestation; Category D starting at 30 weeks gestation.

11 Description (11 DESCRIPTION)

Piroxicam capsules, USP are a nonsteroidal anti-inflammatory drug, available as white opaque/red opaque 10 mg capsules and red opaque 20 mg capsules for oral administration. The chemical name is 4-hydroxyl-2-methyl-N-2- pyridinyl-2H-1,2,-benzothiazine-3-carboxamide 1,1-dioxide. The molecular weight is 331.35. Its molecular formula is C15H13N3O4S, and it has the following chemical structure.

Piroxicam occurs as a white crystalline solid, sparingly soluble in water, dilute acid, and most organic solvents. It is slightly soluble in alcohol and in aqueous solutions. It exhibits a weakly acidic 4-hydroxy proton (pKa 5.1) and a weakly basic pyridyl nitrogen (pKa 1.8).

The inactive ingredients in piroxicam capsules, USP include: corn starch, FD & C Blue 1, FD & C Red 40, gelatin, lactose monohydrate, magnesium stearate, sodium lauryl sulfate and titanium dioxide.

5.4 Hypertension

NSAIDs, including piroxicam capsules, can lead to new onset of hypertension or worsening of preexisting hypertension, either of which may contribute to the increased incidence of CV events. Patients taking angiotensin converting enzyme (ACE) inhibitors, thiazide diuretics, or loop diuretics may have impaired response to these therapies when taking NSAIDs [see Drug Interactions (7)].

Monitor blood pressure (BP) during the initiation of NSAID treatment and throughout the course of therapy.

8.4 Pediatric Use

Piroxicam capsules have not been investigated in pediatric patients. The safety and effectiveness of piroxicam capsules have not been established.

8.5 Geriatric Use

Elderly patients, compared to younger patients, are at greater risk for NSAID-associated serious cardiovascular, gastrointestinal, and/or renal adverse reactions. If the anticipated benefit for the elderly patient outweighs these potential risks, start dosing at the low end of the dosing range, and monitor patients for adverse effects [see Warnings and Precautions (5.1, 5.2, 5.3, 5.6, 5.13)].

5.3 Hepatotoxicity

Elevations of ALT or AST (three or more times the upper limit of normal [ULN]) have been reported in approximately 1% of NSAID-treated patients in clinical trials. In addition, rare, sometimes fatal, cases of severe hepatic injury, including fulminant hepatitis, liver necrosis, and hepatic failure have been reported.

Elevations of ALT or AST (less than three times ULN) may occur in up to 15% of patients treated with NSAIDs including piroxicam.

Inform patients of the warning signs and symptoms of hepatotoxicity (e.g., nausea, fatigue, lethargy, diarrhea, pruritus, jaundice, right upper quadrant tenderness, and "flu-like" symptoms). If clinical signs and symptoms consistent with liver disease develop, or if systemic manifestations occur (e.g., eosinophilia, rash, etc.), discontinue piroxicam capsules immediately, and perform a clinical evaluation of the patient.

14 Clinical Studies (14 CLINICAL STUDIES)

In controlled clinical trials, the effectiveness of piroxicam capsules has been established for both acute exacerbations and long term management of rheumatoid arthritis and osteoarthritis.

The therapeutic effects of piroxicam capsules are evident early in the treatment of both diseases with a progressive increase in response over several (8–12) weeks. Efficacy is seen in terms of pain relief and, when present, subsidence of inflammation.

Doses of 20 mg/day piroxicam capsules display a therapeutic effect comparable to therapeutic doses of aspirin, with a lower incidence of minor gastrointestinal effects and tinnitus.

Piroxicam capsules have been administered concomitantly with fixed doses of gold and corticosteroids. The existence of a “steroid sparing” effect has not been adequately studied to date.

4 Contraindications (4 CONTRAINDICATIONS)

Piroxicam capsules are contraindicated in the following patients:

  • Known hypersensitivity (e.g., anaphylactic reactions and serious skin reactions) to piroxicam or any components of the drug product [see Warnings and Precautions (5.7, 5.9)]
  • History of asthma, urticaria, or other allergic-type reactions after taking aspirin or other NSAIDs. Severe, sometimes fatal, anaphylactic reactions to NSAIDs have been reported in such patients [see Warnings and Precautions (5.7, 5.8)]
  • In the setting of coronary artery bypass graft (CABG) surgery [see Warnings and Precautions (5.1 )]
6 Adverse Reactions (6 ADVERSE REACTIONS)

The following adverse reactions are discussed in greater detail in other sections of the labeling:

  • Cardiovascular Thrombotic Events [see Warnings and Precautions (5.1)]
  • GI Bleeding, Ulceration and Perforation [see Warnings and Precautions (5.2)]
  • Hepatotoxicity [see Warnings and Precautions (5.3)]
  • Hypertension [see Warnings and Precautions (5.4)]
  • Heart Failure and Edema [see Warnings and Precautions (5.5)]
  • Renal Toxicity and Hyperkalemia [see Warnings and Precautions (5.6)]
  • Anaphylactic Reactions [see Warnings and Precautions (5.7)]
  • Serious Skin Reactions [see Warnings and Precautions (5.9)]
  • Hematologic Toxicity [see Warnings and Precautions (5.11)]
7 Drug Interactions (7 DRUG INTERACTIONS)

See Table 1 for clinically significant drug interactions with piroxicam.

Table 1: Clinically Significant Drug Interactions with Piroxicam

Drugs That Interfere with Hemostasis

Clinical

Impact:

  • Piroxicam and anticoagulants such as warfarin have a synergistic effect on bleeding. The concomitant use of piroxicam and anticoagulants have an increased risk of serious bleeding compared to the use of either drug alone.
  • Serotonin release by platelets plays an important role in hemostasis. Case-control and cohort epidemiological studies showed that concomitant use of drugs that interfere with serotonin reuptake and an NSAID may potentiate the risk of bleeding more than an NSAID alone.

Intervention:

Monitor patients with concomitant use of piroxicam capsules with anticoagulants (e.g., warfarin), antiplatelet agents (e.g., aspirin), selective serotonin reuptake inhibitors (SSRIs), and serotonin norepinephrine reuptake inhibitors (SNRIs) for signs of bleeding [see Warnings and Precautions (5.11)].

Aspirin

Clinical

Impact:

Controlled clinical studies showed that the concomitant use of NSAIDs and analgesic doses of aspirin does not produce any greater therapeutic effect than the use of NSAIDs alone. In a clinical study, the concomitant use of an NSAID and aspirin was associated with a significantly increased incidence of GI adverse reactions as compared to use of the NSAID alone [see Warnings and Precautions (5.2)].

Intervention:

Concomitant use of piroxicam capsules and analgesic doses of aspirin is not generally recommended because of the increased risk of bleeding [see Warnings and Precautions (5.11)].

Piroxicam capsules are not a substitute for low dose aspirin for cardiovascular protection.

ACE Inhibitors, Angiotensin Receptor Blockers, and Beta-Blockers

Clinical

Impact:

  • NSAIDs may diminish the antihypertensive effect of angiotensin converting enzyme (ACE) inhibitors, angiotensin receptor blockers (ARBs), or beta-blockers (including propranolol).
  • In patients who are elderly, volume-depleted (including those on diuretic therapy), or have renal impairment, co-administration of an NSAID with ACE inhibitors or ARBs may result in deterioration of renal function, including possible acute renal failure. These effects are usually reversible.

Intervention:

  • During concomitant use of piroxicam capsules and ACE-inhibitors, ARBs, or beta-blockers, monitor blood pressure to ensure that the desired blood pressure is obtained.
  • During concomitant use of piroxicam capsules and ACE-inhibitors or ARBs in patients who are elderly, volume-depleted, or have impaired renal function, monitor for signs of worsening renal function [see Warnings and Precautions (5.6)].
  • When these drugs are administered concomitantly, patients should be adequately hydrated. Assess renal function at the beginning of the concomitant treatment and periodically thereafter.

Diuretics

Clinical

Impact:

Clinical studies, as well as post-marketing observations, showed that NSAIDs reduced the natriuretic effect of loop diuretics (e.g., furosemide) and thiazide diuretics in some patients. This effect has been attributed to the NSAID inhibition of renal prostaglandin synthesis.

Intervention:

During concomitant use of piroxicam capsules with diuretics, observe patients for signs of worsening renal function, in addition to assuring diuretic efficacy including antihypertensive effects [see Warnings and Precautions (5.6)].

Digoxin

Clinical

Impact:

The concomitant use of piroxicam with digoxin has been reported to increase the serum concentration and prolong the half-life of digoxin.

Intervention:

During concomitant use of piroxicam capsules and digoxin, monitor serum digoxin levels.

Lithium

Clinical

Impact:

NSAIDs have produced elevations in plasma lithium levels and reductions in renal lithium clearance. The mean minimum lithium concentration increased 15%, and the renal clearance decreased by approximately 20%. This effect has been attributed to NSAID inhibition of renal prostaglandin synthesis.

Intervention:

During concomitant use of piroxicam capsules and lithium, monitor patients for signs of lithium toxicity.

Methotrexate

Clinical

Impact:

Concomitant use of NSAIDs and methotrexate may increase the risk for methotrexate toxicity (e.g., neutropenia, thrombocytopenia, renal dysfunction).

Intervention:

During concomitant use of piroxicam capsules and methotrexate, monitor patients for methotrexate toxicity.

Cyclosporine

Clinical

Impact:



Concomitant use of piroxicam capsules and cyclosporine may increase cyclosporine's nephrotoxicity.

Intervention:

During concomitant use of piroxicam capsules and cyclosporine, monitor patients for signs of worsening renal function.

NSAIDs and Salicylates

Clinical

Impact:

Concomitant use of piroxicam with other NSAIDs or salicylates (e.g., diflunisal, salsalate) increases the risk of GI toxicity, with little or no increase in efficacy [see Warnings and Precautions (5.2)].

Intervention:

The concomitant use of piroxicam with other NSAIDs or salicylates is not recommended.

Pemetrexed

Clinical

Impact:

Concomitant use of piroxicam capsules and pemetrexed may increase the risk of pemetrexed-associated myelosuppression, renal, and GI toxicity (see the pemetrexed prescribing information).













Intervention:

During concomitant use of piroxicam capsules and pemetrexed, in patients with renal impairment whose creatinine clearance ranges from 45 to 79 mL/min, monitor for myelosuppression, renal and GI toxicity.



NSAIDs with short elimination half-lives (e.g., diclofenac, indomethacin) should be avoided for a period of two days before, the day of, and two days following administration of pemetrexed.



In the absence of data regarding potential interaction between pemetrexed and NSAIDs with longer half-lives (e.g., meloxicam, nabumetone), patients taking these NSAIDs should interrupt dosing for at least five days before, the day of, and two days following pemetrexed administration.

Highly Protein Bound Drugs

Clinical

Impact:

Piroxicam capsules are highly protein bound and, therefore, might be expected to displace other protein bound drugs.



Intervention:

Physicians should closely monitor patients for a change in dosage requirements when administering piroxicam capsules to patients on other highly protein bound drugs.

Corticosteroids

Clinical

Impact:

Concomitant use of corticosteroids with piroxicam capsules may increase the risk of GI ulceration or bleeding.

Intervention:

Monitor patients with concomitant use of piroxicam capsules with corticosteroids for signs of bleeding [see Warnings and Precautions (5.2)].

12.5 Pharmacogenomics

CYP2C9 activity is reduced in individuals with genetic polymorphisms, such as the CYP2C9*2 and CYP2C9*3 polymorphisms. Limited data from two published reports showed that subjects with heterozygous CYP2C9*1/*2 (n=9), heterozygous CYP2C9*1/*3 (n=9), and homozygous CYP2C9*3/*3 (n=1) genotypes showed 1.7-, 1.7-, and 5.3-fold higher piroxicam systemic levels, respectively, than the subjects with CYP2C9*1/*1 (n=17, normal metabolizer genotype) following administration of a single oral dose. The mean elimination half-life values of piroxicam for subjects with CYP2C9*1/*3 (n=9) and CYP2C9*3/*3 (n=1) genotypes were 1.7- and 8.8-fold higher than subjects with CYP2C9*1/*1 (n=17). It is estimated that the frequency of the homozygous*3/*3 genotype is 0% to 1% in the population at large; however, frequencies as high as 5.7% have been reported in certain ethnic groups.

Poor Metabolizers of CYP2C9 Substrates: In patients who are known or suspected to be poor CYP2C9 metabolizers based on genotype or previous history/experience with other CYP2C9 substrates (such as warfarin and phenytoin) consider dose reduction as they may have abnormally high plasma levels due to reduced metabolic clearance.

1 Indications and Usage (1 INDICATIONS AND USAGE)

Piroxicam capsules, USP are indicated:

  • For relief of the signs and symptoms of osteoarthritis.
  • For relief of the signs and symptoms of rheumatoid arthritis.
12.1 Mechanism of Action

Piroxicam has analgesic, anti-inflammatory, and antipyretic properties.

The mechanism of action of piroxicam capsules, like that of other NSAIDs, is not completely understood but involves inhibition of cyclooxygenase (COX-1 and COX-2).

Piroxicam is a potent inhibitor of prostaglandin (PG) synthesis in vitro. Piroxicam concentrations reached during therapy have produced in vivo effects. Prostaglandins sensitize afferent nerves and potentiate the action of bradykinin in inducing pain in animal models. Prostaglandins are mediators of inflammation. Because piroxicam is an inhibitor of prostaglandin synthesis, its mode of action may be due to a decrease of prostaglandins in peripheral tissues.

5.11 Hematologic Toxicity

Anemia has occurred in NSAID-treated patients. This may be due to occult or gross blood loss, fluid retention, or an incompletely described effect on erythropoiesis. If a patient treated with piroxicam capsules has any signs or symptoms of anemia, monitor hemoglobin or hematocrit.

NSAIDs, including piroxicam capsules, may increase the risk of bleeding events. Co-morbid conditions such as coagulation disorders, concomitant use of warfarin, other anticoagulants, antiplatelet agents (e.g., aspirin), serotonin reuptake inhibitors (SSRIs), and serotonin norepinephrine reuptake inhibitors (SNRIs) may increase this risk. Monitor these patients for signs of bleeding [see Drug Interactions (7)].

5 Warnings and Precautions (5 WARNINGS AND PRECAUTIONS)
  • Hepatotoxicity: Inform patients of warning signs and symptoms of hepatotoxicity. Discontinue if abnormal liver tests persist or worsen or if clinical signs and symptoms of liver disease develop (5.3)
  • Hypertension: Patients taking some antihypertensive medications may have impaired response to these therapies when taking NSAIDs. Monitor blood pressure (5.4, 7)
  • Heart Failure and Edema: Avoid use of piroxicam capsules in patients with severe heart failure unless benefits are expected to outweigh risk of worsening heart failure (5.5)
  • Renal Toxicity: Monitor renal function in patients with renal or hepatic impairment, heart failure, dehydration, or hypovolemia. Avoid use of piroxicam capsules in patients with advanced renal disease unless benefits are expected to outweigh risk of worsening renal function (5.6)
  • Anaphylactic Reactions: Seek emergency help if an anaphylactic reaction occurs (5.7)
  • Exacerbation of Asthma Related to Aspirin Sensitivity: Piroxicam capsules are contraindicated in patients with aspirin-sensitive asthma. Monitor patients with preexisting asthma (without aspirin sensitivity) (5.8)
  • Serious Skin Reactions: Discontinue piroxicam capsules at first appearance of skin rash or other signs of hypersensitivity (5.9)
  • Premature Closure of Fetal Ductus Arteriosus: Avoid use in pregnant women starting at 30 weeks gestation (5.10, 8.1)
  • Hematologic Toxicity: Monitor hemoglobin or hematocrit in patients with any signs or symptoms of anemia (5.11, 7)
5.13 Laboratory Monitoring

Because serious GI bleeding, hepatotoxicity, and renal injury can occur without warning symptoms or signs, consider monitoring patients on long-term NSAID treatment with a CBC and a chemistry profile periodically [see Warnings and Precautions (5.2, 5.3, 5.6)].

5.7 Anaphylactic Reactions

Piroxicam has been associated with anaphylactic reactions in patients with and without known hypersensitivity to piroxicam and in patients with aspirin-sensitive asthma [see Contraindications (4) and Warnings and Precautions (5.8)].

Seek emergency help if an anaphylactic reaction occurs.

5.9 Serious Skin Reactions

NSAIDs, including piroxicam, can cause serious skin adverse reactions such as exfoliative dermatitis, Stevens-Johnson Syndrome (SJS), and toxic epidermal necrolysis (TEN), which can be fatal. These serious events may occur without warning. Inform patients about the signs and symptoms of serious skin reactions, and to discontinue the use of piroxicam capsules at the first appearance of skin rash or any other sign of hypersensitivity. Piroxicam capsules are contraindicated in patients with previous serious skin reactions to NSAIDs [see Contraindications (4)].

2 Dosage and Administration (2 DOSAGE AND ADMINISTRATION)

Carefully consider the potential benefits and risks of piroxicam capsules and other treatment options before deciding to use piroxicam capsules. Use the lowest effective dosage for the shortest duration consistent with individual patient treatment goals [see Warnings and Precautions (5)].

After observing the response to initial therapy with piroxicam capsules, the dose and frequency should be adjusted to suit an individual patient's needs.

For the relief of rheumatoid arthritis and osteoarthritis, the dosage is 20 mg given orally once per day. If desired, the daily dose may be divided. Because of the long half-life of piroxicam capsules, steady-state blood levels are not reached for 7–12 days. Therefore, although the therapeutic effects of piroxicam capsules are evident early in treatment, there is a progressive increase in response over several weeks and the effect of therapy should not be assessed for two weeks.

5.14 Ophthalmologic Effects

Because of reports of adverse eye findings with nonsteroidal anti-inflammatory agents, it is recommended that patients who develop visual complaints during treatment with piroxicam capsules have ophthalmic evaluations.

5.5 Heart Failure and Edema

The Coxib and traditional NSAID Trialists' Collaboration meta-analysis of randomized controlled trials demonstrated an approximately two-fold increase in hospitalizations for heart failure in COX-2 selective-treated patients and nonselective NSAID-treated patients compared to placebo-treated patients. In a Danish National Registry study of patients with heart failure, NSAID use increased the risk of MI, hospitalization for heart failure, and death.

Additionally, fluid retention and edema have been observed in some patients treated with NSAIDs. Use of piroxicam may blunt the CV effects of several therapeutic agents used to treat these medical conditions (e.g., diuretics, ACE inhibitors, or angiotensin receptor blockers [ARBs]) [see Drug Interactions (7)].

Avoid the use of piroxicam capsules in patients with severe heart failure unless the benefits are expected to outweigh the risk of worsening heart failure. If piroxicam capsules are used in patients with severe heart failure, monitor patients for signs of worsening heart failure.

3 Dosage Forms and Strengths (3 DOSAGE FORMS AND STRENGTHS)

Piroxicam capsules, USP:

10 mg: White Opaque/ Red Opaque Size 2 Capsules printed with “P” on cap and “233” on body.

20 mg: Red Opaque/Red Opaque Size 2 Capsules printed with “P” on cap and “234” on body.

6.2 Postmarketing Experience

The following adverse reactions have been identified during post approval use of piroxicam capsules. Because these reactions are reported voluntarily from a population of uncertain size, it is not always possible to reliably estimate their frequency or establish a causal relationship to drug exposure.

  •  
    Body As a Whole: Fever, infection, sepsis, anaphylactic reactions, appetite changes, death, flu-like syndrome, pain
  •  
    (colic), serum sickness
  •  
    Cardiovascular System: Congestive heart failure, hypertension, tachycardia, syncope, arrhythmia, exacerbation of angina, hypotension, myocardial infarction, vasculitis
  •  
    Digestive System: Dyspepsia, elevated liver enzymes, gross bleeding/perforation, heartburn, ulcers (gastric/duodenal), dry mouth, esophagitis, gastritis, glossitis, hematemesis, hepatitis, jaundice, melena, rectal bleeding, eructation, liver failure, pancreatitis
  •  
    Hemic and Lymphatic System: Anemia, increased bleeding time, ecchymosis, eosinophilia, epistaxis, leukopenia, purpura, petechial rash, thrombocytopenia, agranulocytosis, hemolytic anemia, aplastic anemia, lymphadenopathy, pancytopenia
  •  
    Hypersensitivity: Positive ANA
  •  
    Metabolic and Nutritional: Weight changes, Fluid retention, hyperglycemia, hypoglycemia
  •  
    Nervous System: Anxiety, asthenia, confusion, depression, dream abnormalities, insomnia, malaise, nervousness, paresthesia, somnolence, tremors, akathisia, convulsions, coma, hallucinations, meningitis, mood alterations
  •  
    Respiratory System: Asthma, dyspnea, respiratory depression, pneumonia
  •  
    Skin and Appendages: Alopecia, bruising, desquamation, erythema, photosensitivity, sweat, angioedema, toxic epidermal necrosis, erythema multiforme, exfoliative dermatitis, onycholysis, Stevens Johnson Syndrome, urticaria, vesiculobullous reaction
  •  
    Special Senses: Conjunctivitis, hearing impairment, swollen eyes
  •  
    Urogenital System: Abnormal renal function, cystitis, dysuria, hematuria, hyperkalemia, interstitial nephritis, nephrotic syndrome, oliguria/polyuria, proteinuria, renal failure, glomerulonephritis
  •  
    Reproductive system and breast disorders: Female fertility decreased
8 Use in Specific Populations (8 USE IN SPECIFIC POPULATIONS)

Pregnancy: Use of NSAIDs during the third trimester of pregnancy increases the risk of premature closure of the fetal ductus arteriosus. Avoid use of NSAIDs in pregnant women starting at 30 weeks gestation (5.10, 8.1)

Infertility: NSAIDs are associated with reversible infertility. Consider withdrawal of piroxicam capsules in women who have difficulties conceiving (8.3)

6.1 Clinical Trials Experience

Because clinical trials are conducted under widely varying conditions, adverse reaction rates observed in the clinical trials of a drug cannot be directly compared to rates in the clinical trials of another drug and may not reflect the rates observed in practice.

In patients taking piroxicam capsules or other NSAIDs, the most frequently reported adverse experiences occurring in approximately 1–10% of patients are:

  •  
    Cardiovascular System: Edema
  •  
    Digestive System: Anorexia, abdominal pain, constipation, diarrhea, flatulence, nausea, vomiting
  •  
    Nervous System: Dizziness, headache, vertigo
  •  
    Skin and Appendages: Pruritus, rash
  •  
    Special Senses: Tinnitus

Additional adverse experiences reported occasionally include:

  •  
    Cardiovascular System: Palpitations
  •  
    Digestive System: Stomatitis
  •  
    Nervous System: Drowsiness
  •  
    Special Senses: Blurred vision
17 Patient Counseling Information (17 PATIENT COUNSELING INFORMATION)

Advise the patient to read the FDA-approved patient labeling (Medication Guide) that accompanies each prescription dispensed. Inform patients, families, or their caregivers of the following information before initiating therapy with piroxicam capsules and periodically during the course of ongoing therapy.

16 How Supplied/storage and Handling (16 HOW SUPPLIED/STORAGE AND HANDLING)

Piroxicam capsules, USP 20 mg for oral administration:

20 mg

Red Opaque/Red Opaque Size 2 Capsules printed with “P” on cap and “234” on body.

NDC 71205-032-30: Bottles of 30 capsules

NDC 71205-032-60: Bottles of 60 capsules

NDC 71205-032-30: Bottles of 90 capsules

5.1 Cardiovascular Thrombotic Events

Clinical trials of several COX-2 selective and nonselective NSAIDs of up to three years duration have shown an increased risk of serious cardiovascular (CV) thrombotic events, including myocardial infarction (MI), and stroke, which can be fatal. Based on available data, it is unclear that the risk for CV thrombotic events is similar for all NSAIDs. The relative increase in serious CV thrombotic events over baseline conferred by NSAID use appears to be similar in those with and without known CV disease or risk factors for CV disease. However, patients with known CV disease or risk factors had a higher absolute incidence of excess serious CV thrombotic events, due to their increased baseline rate. Some observational studies found that this increased risk of serious CV thrombotic events began as early as the first weeks of treatment. The increase in CV thrombotic risk has been observed most consistently at higher doses.

To minimize the potential risk for an adverse CV event in NSAID-treated patients, use the lowest effective dose for the shortest duration possible. Physicians and patients should remain alert for the development of such events, throughout the entire treatment course, even in the absence of previous CV symptoms. Patients should be informed about the symptoms of serious CV events and the steps to take if they occur.

There is no consistent evidence that concurrent use of aspirin mitigates the increased risk of serious CV thrombotic events associated with NSAID use. The concurrent use of aspirin and an NSAID, such as piroxicam, increases the risk of serious gastrointestinal (GI) events [see Warnings and Precautions (5.2)].

5.12 Masking of Inflammation and Fever

The pharmacological activity of piroxicam capsules in reducing inflammation, and possibly fever, may diminish the utility of diagnostic signs in detecting infections.

5.10 Premature Closure of Fetal Ductus Arteriosus

Piroxicam may cause premature closure of the fetal ductus arteriosus. Avoid use of NSAIDs, including piroxicam capsules, in pregnant women starting at 30 weeks of gestation (third trimester) [see Use in Specific Populations (8.1)].

5.8 Exacerbation of Asthma Related to Aspirin Sensitivity

A subpopulation of patients with asthma may have aspirin-sensitive asthma which may include chronic rhinosinusitis complicated by nasal polyps; severe, potentially fatal bronchospasm; and/or intolerance to aspirin and other NSAIDs. Because cross-reactivity between aspirin and other NSAIDs has been reported in such aspirin-sensitive patients, piroxicam capsules are contraindicated in patients with this form of aspirin sensitivity [see Contraindications (4)]. When piroxicam capsules are used in patients with preexisting asthma (without known aspirin sensitivity), monitor patients for changes in the signs and symptoms of asthma.

5.2 Gastrointestinal Bleeding, Ulceration, and Perforation

NSAIDs, including piroxicam capsules, cause serious gastrointestinal (GI) adverse events including inflammation, bleeding, ulceration, and perforation of the esophagus, stomach, small intestine, or large intestine, which can be fatal. These serious adverse events can occur at any time, with or without warning symptoms, in patients treated with NSAIDs. Only one in five patients who develop a serious upper GI adverse event on NSAID therapy is symptomatic. Upper GI ulcers, gross bleeding, or perforation caused by NSAIDs occurred in approximately 1% of patients treated for 3–6 months, and in about 2%-4% of patients treated for one year. However, even short-term NSAID therapy is not without risk.

Warning: Risk of Serious Cardiovascular and Gastrointestinal Events (WARNING: RISK OF SERIOUS CARDIOVASCULAR AND GASTROINTESTINAL EVENTS)

WARNING: RISK OF SERIOUS CARDIOVASCULAR AND GASTROINTESTINAL EVENTS

See full prescribing information for complete boxed warning.

  • Nonsteroidal anti-inflammatory drugs (NSAIDs) cause an increased risk of serious cardiovascular thrombotic events, including myocardial infarction and stroke, which can be fatal. This risk may occur early in treatment and may increase with duration of use (5.1)
  • Piroxicam capsules are contraindicated in the setting of coronary artery bypass graft (CABG) surgery (4, 5.1)
  • NSAIDs cause an increased risk of serious gastrointestinal (GI) adverse events including bleeding, ulceration, and perforation of the stomach or intestines, which can be fatal. These events can occur at any time during use and without warning symptoms. Elderly patients and patients with a prior history of peptic ulcer disease and/or GI bleeding are at greater risk for serious GI events (5.2)

Advanced Ingredient Data


Raw Label Data

All Sections (JSON)