Cefaclor Suspension

Cefaclor Suspension
SPL v1
SPL
SPL Set ID 224af904-38f3-4210-a750-e21006db4c66
Route
ORAL
Published
Effective Date 2022-11-01
Document Type 34391-3 HUMAN PRESCRIPTION DRUG LABEL

Drug Facts

Composition & Product

Active Ingredients
Cefaclor Anhydrous (250 mg)
Inactive Ingredients
Methylcellulose, Unspecified Sodium Lauryl Sulfate Sucrose Xanthan Gum Fd&c Red No. 40

Identifiers & Packaging

Marketing Status
ANDA Active Since 2022-11-01

Description

Cefaclor for Oral Suspension, USP Rx Only To reduce the development of drug-resistant bacteria and maintain the effectiveness of Cefaclor for Oral Suspension and other antibacterial drugs, Cefaclor for Oral Suspension, USP, should be used only to treat or prevent infections that are proven or strongly suspected to be caused by bacteria.

Indications and Usage

Cefaclor is indicated in the treatment of the following infections when caused by susceptible strains of the designated microorganisms: Otitis media caused by Streptococcus pneumoniae, Haemophilus influenzae , staphylococci, and Streptococcus pyogenes Note: β-lactamase-negative, ampicillin-resistant (BLNAR) strains of Haemophilus influenzae should be considered resistant to cefaclor despite apparent in vitro susceptibility of some BLNAR strains. Lower respiratory tract infections , including pneumonia, caused by Streptococcus pneumoniae, Haemophilus influenzae , and Streptococcus pyogenes Note: β-lactamase-negative, ampicillin-resistant (BLNAR) strains of Haemophilus influenzae should be considered resistant to cefaclor despite apparent in vitro susceptibility of some BLNAR strains. Pharyngitis and Tonsillitis , caused by Streptococcus pyogenes Note: Penicillin is the usual drug of choice in the treatment and prevention of streptococcal infections, including the prophylaxis of rheumatic fever. Cefaclor is generally effective in the eradication of streptococci from the nasopharynx; however, substantial data establishing the efficacy of cefaclor in the subsequent prevention of rheumatic fever are not available at present. Urinary tract infections , including pyelonephritis and cystitis, caused by Escherichia coli, Proteus mirabilis, Klebsiella spp., and coagulase-negative staphylococci Skin and skin structure infections caused by Staphylococcus aureus and Streptococcus pyogenes Appropriate culture and susceptibility studies should be performed to determine susceptibility of the causative organism to cefaclor. To reduce the development of drug-resistant bacteria and maintain the effectiveness of Cefaclor for Oral Suspension and other antibacterial drugs, Cefaclor for Oral Suspension should be used only to treat or prevent infections that are proven or strongly suspected to be caused by susceptible bacteria. When culture and susceptibility information are available, they should be considered in selecting or modifying antibacterial therapy. In the absence of such data, local epidemiology and susceptibility patterns may contribute to the empiric selection of therapy.

Dosage and Administration

Cefaclor is administered orally. Adults -- The usual adult dosage is 250 mg every 8 hours. For more severe infections (such as pneumonia) or those caused by less susceptible organisms, doses may be doubled. Pediatric Patients -- The usual recommended daily dosage for pediatric patients is 20 mg/kg/day in divided doses every 8 hours. In more serious infections, otitis media, and infections caused by less susceptible organisms, 40 mg/kg/day are recommended, with a maximum dosage of 1 g/day. Table 1: Cefaclor for Oral Suspension, USP 20 mg/kg/day Weight 125 mg/5 mL 250 mg/5 mL 9 kg 1/2 tsp t.i.d. 18 kg 1 tsp t.i.d. 1/2 tsp t.i.d. 40 mg/kg/day 9 kg 1 tsp t.i.d. 1/2 tsp t.i.d. 18 kg 1 tsp t.i.d. B.I.D. Treatment Option —For the treatment of otitis media and pharyngitis, the total daily dosage may be divided and administered every 12 hours. Table 2: Cefaclor for Oral Suspension, USP 20 mg/kg/day (Pharyngitis) Weight 375 mg/5 mL 18 kg 1/2 tsp b.i.d. 40 mg/kg/day   (Otitis Media) 9 kg 1/2 tsp b.i.d. 18 kg 1 tsp b.i.d. Cefaclor may be administered in the presence of impaired renal function. Under such a condition, the dosage usually is unchanged (see PRECAUTIONS ). In the treatment of β-hemolytic streptococcal infections, a therapeutic dosage of cefaclor should be administered for at least 10 days. Directions for Mixing: Add appropriate water volume as indicated in the following table in two portions to dry mixture in the bottle. Shake well after each addition. Each 5 mL (approximately one teaspoonful) will then contain Cefaclor, USP, monohydrate equivalent to 250 mg anhydrous cefaclor, respectively, as shown in the following table. Oversize bottle provides extra space for shaking. Table 3: Cefaclor For Oral Suspension, USP Strength Package Size (when mixed) Water Volume to Add Anhydrous Cefaclor/5 mL (approx. one teaspoonful) 250 mg/5 Ml 150 mL 106 mL 250 mg

Contraindications

Cefaclor is contraindicated in patients with known allergy to the cephalosporin group of antibiotics.

Adverse Reactions

Adverse effects considered to be related to therapy with cefaclor are listed below: Hypersensitivity reactions have been reported in about 1.5% of patients and include morbilliform eruptions (1 in 100). Pruritus, urticaria, and positive Coombs' tests each occur in less than 1 in 200 patients. Cases of serum-sickness-like reactions have been reported with the use of cefaclor. These are characterized by findings of erythema multiforme, rashes, and other skin manifestations accompanied by arthritis/arthralgia, with or without fever, and differ from classic serum sickness in that there is infrequently associated lymphadenopathy and proteinuria, no circulating immune complexes, and no evidence to date of sequelae of the reaction. Occasionally, solitary symptoms may occur, but do not represent a serum-sickness-like reaction. While further investigation is ongoing, serum-sickness-like reactions appear to be due to hypersensitivity and more often occur during or following a second (or subsequent) course of therapy with cefaclor. Such reactions have been reported more frequently in pediatric patients than in adults with an overall occurrence ranging from 1 in 200 (0.5%) in one focused trial to 2 in 8,346 (0.024%) in overall clinical trials (with an incidence in pediatric patients in clinical trials of 0.055%) to 1 in 38,000 (0.003%) in spontaneous event reports. Signs and symptoms usually occur a few days after initiation of therapy and subside within a few days after cessation of therapy; occasionally these reactions have resulted in hospitalization, usually of short duration (median hospitalization = 2 to 3 days, based on postmarketing surveillance studies). In those requiring hospitalization, the symptoms have ranged from mild to severe at the time of admission with more of the severe reactions occurring in pediatric patients. Antihistamines and glucocorticoids appear to enhance resolution of the signs and symptoms. No serious sequelae have been reported. More severe hypersensitivity reactions, including Stevens-Johnson syndrome, toxic epidermal necrolysis, and anaphylaxis have been reported rarely. Anaphylactoid events may be manifested by solitary symptoms, including angioedema, asthenia, edema (including face and limbs), dyspnea, paresthesias, syncope, hypotension, or vasodilatation. Anaphylaxis may be more common in patients with a history of penicillin allergy. Rarely, hypersensitivity symptoms may persist for several months. Gastrointestinal symptoms occur in about 2.5% of patients and include diarrhea (1 in 70). Onset of pseudomembranous colitis symptoms may occur during or after antibiotic treatment. (see WARNINGS ). Nausea and vomiting have been reported rarely. As with some penicillins and some other cephalosporins, transient hepatitis and cholestatic jaundice have been reported rarely. Other effects considered related to therapy included eosinophilia (1 in 50 patients), genital pruritus, moniliasis or vaginitis (about 1 in 50 patients), and, rarely, thrombocytopenia or reversible interstitial nephritis. Causal Relationship Uncertain – CNS -- Rarely, reversible hyperactivity, agitation, nervousness, insomnia, confusion, hypertonia, dizziness, hallucinations, and somnolence have been reported. Transitory abnormalities in clinical laboratory test results have been reported. Although they were of uncertain etiology, they are listed below to serve as alerting information for the physician. Hepatic -- Slight elevations of AST, ALT, or alkaline phosphatase values (1 in 40). Hematopoietic -- As has also been reported with other β-lactam antibiotics, transient lymphocytosis, leukopenia, and, rarely, hemolytic anemia, aplastic anemia, agranulocytosis, and reversible neutropenia of possible clinical significance. There have been rare reports of increased prothrombin time with or without clinical bleeding in patients receiving cefaclor and Coumadin ® concomitantly. Renal -- Slight elevations in BUN or serum creatinine (less than 1 in 500) or abnormal urinalysis (less than 1 in 200). Cephalosporin-class Adverse Reactions In addition to the adverse reactions listed above that have been observed in patients treated with cefaclor, the following adverse reactions and altered laboratory tests have been reported for cephalosporin-class antibiotics: fever, abdominal pain, superinfection, renal dysfunction, toxic nephropathy, hemorrhage, false-positive test for urinary glucose, elevated bilirubin, elevated LDH, and pancytopenia. Several cephalosporins have been implicated in triggering seizures, particularly in patients with renal impairment when the dosage was not reduced. If seizures associated with drug therapy occur, the drug should be discontinued. Anticonvulsant therapy can be given if clinically indicated (see DOSAGE AND ADMINISTRATION   and OVERDOSAGE sections). To report SUSPECTED ADVERSE REACTIONS,   contact Azorian Pharma at 1- 302-459-8479 or FDA at 1-800-FDA-1088 or www.fda.gov/me. dwatch

How Supplied

Cefaclor Oral Suspension, USP, is supplied in bottles with child-resistant caps as: 250 mg/5 mL strawberry flavor       NDC 81948-6250-1 (150 mL size) After mixing, store in a refrigerator. Shake well before using. Keep tightly closed. The mixture may be kept for 14 days without significant loss of potency. Discard unused portion after 14 days. Store dry powder at 20° to 25°C (68° to 77°F). [See USP Controlled Room Temperature]. Manufactured by: Yung Shin Pharmaceutical Ind. Co., Ltd. Tachia, Taichung 43769, TAIWAN Manufactured for: Azorian Pharma, LLC Claymont, DE 19703 Revised: 10/22  KRP50e (Azorian) USA 2150153-001


Medication Information

Indications and Usage

Cefaclor is indicated in the treatment of the following infections when caused by susceptible strains of the designated microorganisms:

Otitis media caused by Streptococcus pneumoniae, Haemophilus influenzae, staphylococci, and Streptococcus pyogenes

Note: β-lactamase-negative, ampicillin-resistant (BLNAR) strains of Haemophilus influenzae should be considered resistant to cefaclor despite apparent in vitro susceptibility of some BLNAR strains.

Lower respiratory tract infections, including pneumonia, caused by Streptococcus pneumoniae, Haemophilus influenzae, and Streptococcus pyogenes

Note: β-lactamase-negative, ampicillin-resistant (BLNAR) strains of Haemophilus influenzae should be considered resistant to cefaclor despite apparent in vitro susceptibility of some BLNAR strains.

Pharyngitis and Tonsillitis, caused by Streptococcus pyogenes

Note: Penicillin is the usual drug of choice in the treatment and prevention of streptococcal infections, including the prophylaxis of rheumatic fever. Cefaclor is generally effective in the eradication of streptococci from the nasopharynx; however, substantial data establishing the efficacy of cefaclor in the subsequent prevention of rheumatic fever are not available at present.

Urinary tract infections, including pyelonephritis and cystitis, caused by Escherichia coli, Proteus mirabilis, Klebsiella spp., and coagulase-negative staphylococci

Skin and skin structure infections caused by Staphylococcus aureus and Streptococcus pyogenes

Appropriate culture and susceptibility studies should be performed to determine susceptibility of the causative organism to cefaclor.

To reduce the development of drug-resistant bacteria and maintain the effectiveness of Cefaclor for Oral Suspension and other antibacterial drugs, Cefaclor for Oral Suspension should be used only to treat or prevent infections that are proven or strongly suspected to be caused by susceptible bacteria. When culture and susceptibility information are available, they should be considered in selecting or modifying antibacterial therapy. In the absence of such data, local epidemiology and susceptibility patterns may contribute to the empiric selection of therapy.

Dosage and Administration

Cefaclor is administered orally.

Adults -- The usual adult dosage is 250 mg every 8 hours. For more severe infections (such as pneumonia) or those caused by less susceptible organisms, doses may be doubled.

Pediatric Patients -- The usual recommended daily dosage for pediatric patients is 20 mg/kg/day in divided doses every 8 hours. In more serious infections, otitis media, and infections caused by less susceptible organisms, 40 mg/kg/day are recommended, with a maximum dosage of 1 g/day.

Table 1:

Cefaclor for Oral Suspension, USP
20 mg/kg/day
Weight 125 mg/5 mL 250 mg/5 mL
9 kg 1/2 tsp t.i.d.
18 kg 1 tsp t.i.d. 1/2 tsp t.i.d.
40 mg/kg/day
9 kg 1 tsp t.i.d. 1/2 tsp t.i.d.
18 kg 1 tsp t.i.d.

B.I.D. Treatment Option —For the treatment of otitis media and pharyngitis, the total daily dosage may be divided and administered every 12 hours.

Table 2:

Cefaclor for Oral Suspension, USP
20 mg/kg/day

(Pharyngitis)
Weight 375 mg/5 mL
18 kg 1/2 tsp b.i.d.
40 mg/kg/day  

(Otitis Media)
9 kg 1/2 tsp b.i.d.
18 kg 1 tsp b.i.d.

Cefaclor may be administered in the presence of impaired renal function. Under such a condition, the dosage usually is unchanged (see PRECAUTIONS ).

In the treatment of β-hemolytic streptococcal infections, a therapeutic dosage of cefaclor should be administered for at least 10 days.

Directions for Mixing:

Add appropriate water volume as indicated in the following table in two portions to dry mixture in the bottle. Shake well after each addition.

Each 5 mL (approximately one teaspoonful) will then contain Cefaclor, USP, monohydrate equivalent to 250 mg anhydrous cefaclor, respectively, as shown in the following table.

Oversize bottle provides extra space for shaking.

Table 3:

Cefaclor For Oral Suspension, USP
Strength Package Size (when mixed) Water Volume to Add Anhydrous Cefaclor/5 mL (approx. one teaspoonful)
250 mg/5 Ml

150 mL
106 mL 250 mg
Contraindications

Cefaclor is contraindicated in patients with known allergy to the cephalosporin group of antibiotics.

Adverse Reactions

Adverse effects considered to be related to therapy with cefaclor are listed below:

Hypersensitivity reactions have been reported in about 1.5% of patients and include morbilliform eruptions (1 in 100). Pruritus, urticaria, and positive Coombs' tests each occur in less than 1 in 200 patients.

Cases of serum-sickness-like reactions have been reported with the use of cefaclor. These are characterized by findings of erythema multiforme, rashes, and other skin manifestations accompanied by arthritis/arthralgia, with or without fever, and differ from classic serum sickness in that there is infrequently associated lymphadenopathy and proteinuria, no circulating immune complexes, and no evidence to date of sequelae of the reaction. Occasionally, solitary symptoms may occur, but do not represent a serum-sickness-like reaction. While further investigation is ongoing, serum-sickness-like reactions appear to be due to hypersensitivity and more often occur during or following a second (or subsequent) course of therapy with cefaclor. Such reactions have been reported more frequently in pediatric patients than in adults with an overall occurrence ranging from 1 in 200 (0.5%) in one focused trial to 2 in 8,346 (0.024%) in overall clinical trials (with an incidence in pediatric patients in clinical trials of 0.055%) to 1 in 38,000 (0.003%) in spontaneous event reports. Signs and symptoms usually occur a few days after initiation of therapy and subside within a few days after cessation of therapy; occasionally these reactions have resulted in hospitalization, usually of short duration (median hospitalization = 2 to 3 days, based on postmarketing surveillance studies). In those requiring hospitalization, the symptoms have ranged from mild to severe at the time of admission with more of the severe reactions occurring in pediatric patients. Antihistamines and glucocorticoids appear to enhance resolution of the signs and symptoms. No serious sequelae have been reported.

More severe hypersensitivity reactions, including Stevens-Johnson syndrome, toxic epidermal necrolysis, and anaphylaxis have been reported rarely.

Anaphylactoid events may be manifested by solitary symptoms, including angioedema, asthenia, edema (including face and limbs), dyspnea, paresthesias, syncope, hypotension, or vasodilatation. Anaphylaxis may be more common in patients with a history of penicillin allergy.

Rarely, hypersensitivity symptoms may persist for several months.

Gastrointestinal symptoms occur in about 2.5% of patients and include diarrhea (1 in 70).

Onset of pseudomembranous colitis symptoms may occur during or after antibiotic treatment. (see WARNINGS ). Nausea and vomiting have been reported rarely. As with some penicillins and some other cephalosporins, transient hepatitis and cholestatic jaundice have been reported rarely.

Other effects considered related to therapy included eosinophilia (1 in 50 patients), genital pruritus, moniliasis or vaginitis (about 1 in 50 patients), and, rarely, thrombocytopenia or reversible interstitial nephritis.

Causal Relationship Uncertain

CNS -- Rarely, reversible hyperactivity, agitation, nervousness, insomnia, confusion, hypertonia, dizziness, hallucinations, and somnolence have been reported.

Transitory abnormalities in clinical laboratory test results have been reported. Although they were of uncertain etiology, they are listed below to serve as alerting information for the physician.

Hepatic -- Slight elevations of AST, ALT, or alkaline phosphatase values (1 in 40).

Hematopoietic -- As has also been reported with other β-lactam antibiotics, transient lymphocytosis, leukopenia, and, rarely, hemolytic anemia, aplastic anemia, agranulocytosis, and reversible neutropenia of possible clinical significance.

There have been rare reports of increased prothrombin time with or without clinical bleeding in patients receiving cefaclor and Coumadin® concomitantly.

Renal -- Slight elevations in BUN or serum creatinine (less than 1 in 500) or abnormal urinalysis (less than 1 in 200).

Cephalosporin-class Adverse Reactions

In addition to the adverse reactions listed above that have been observed in patients treated with cefaclor, the following adverse reactions and altered laboratory tests have been reported for cephalosporin-class antibiotics: fever, abdominal pain, superinfection, renal dysfunction, toxic nephropathy, hemorrhage, false-positive test for urinary glucose, elevated bilirubin, elevated LDH, and pancytopenia.

Several cephalosporins have been implicated in triggering seizures, particularly in patients with renal impairment when the dosage was not reduced. If seizures associated with drug therapy occur, the drug should be discontinued. Anticonvulsant therapy can be given if clinically indicated (see DOSAGE AND ADMINISTRATION  and OVERDOSAGE sections).

To report SUSPECTED ADVERSE REACTIONS,   contact Azorian Pharma at 1- 302-459-8479 or FDA at 1-800-FDA-1088 or www.fda.gov/me. dwatch

How Supplied

Cefaclor Oral Suspension, USP, is supplied in bottles with child-resistant caps as:

250 mg/5 mL strawberry flavor

      NDC 81948-6250-1 (150 mL size)

After mixing, store in a refrigerator. Shake well before using. Keep tightly closed. The mixture may be kept for 14 days without significant loss of potency. Discard unused portion after 14 days.

Store dry powder at 20° to 25°C (68° to 77°F). [See USP Controlled Room Temperature].

Manufactured by:

Yung Shin Pharmaceutical Ind. Co., Ltd. Tachia, Taichung 43769, TAIWAN

Manufactured for:

Azorian Pharma, LLC

Claymont, DE 19703

Revised: 10/22 

KRP50e (Azorian) USA 2150153-001

Description

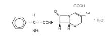
Cefaclor, USP, is a semisynthetic cephalosporin antibiotic for oral administration. It is chemically designated as 3-chloro-7-D-(2-phenylglycinamido) -3-cephem-4-carboxylic acid monohydrate. The chemical formula for cefaclor is C15H14ClN3O4S•H2O and the molecular weight is 385.82.

After mixing, each 5 mL of Cefaclor for Oral Suspension will contain cefaclor monohydrate equivalent to 250 mg (0.68 mmol) anhydrous cefaclor. The suspensions also contain methylcellulose, sodium lauryl sulfate, sucrose, and xanthan gum, FD&C Red No. 40, strawberry flavor.

The color of drug powder in the dry powder state is white to off-white. After reconstitution, it turns to a red suspension.

Section 42229-5

Cefaclor for Oral Suspension, USP

Rx Only

To reduce the development of drug-resistant bacteria and maintain the effectiveness of Cefaclor for Oral Suspension and other antibacterial drugs, Cefaclor for Oral Suspension, USP, should be used only to treat or prevent infections that are proven or strongly suspected to be caused by bacteria.

General

Prescribing cefaclor in the absence of a proven or strongly suspected bacterial infection or a prophylactic indication is unlikely to provide benefit to the patient and increase the risk of the development of drug- resistant bacteria.

Prolonged use of cefaclor may result in the overgrowth of nonsusceptible organisms. Careful observation of the patient is essential. If superinfection occurs during therapy, appropriate measures should be taken.

Positive direct Coombs' tests have been reported during treatment with the cephalosporin antibiotics. It should be recognized that a positive Coombs' test may be due to the drug, e.g., in hematologic studies or in transfusion cross-matching procedures when antiglobulin tests are performed on the minor side or in Coombs' testing of newborns whose mothers have received cephalosporin antibiotics before parturition.

Cefaclor should be administered with caution in the presence of markedly impaired renal function. Since the half-life of cefaclor in anuria is 2.3 to 2.8 hours, dosage adjustments for patients with moderate or severe renal impairment are usually not required. Clinical experience with cefaclor under such conditions is limited; therefore, careful clinical observation and laboratory studies should be made.

As with other β-lactam antibiotics, the renal excretion of cefaclor is inhibited by probenecid.

Antibiotics, including cephalosporins, should be prescribed with caution in individuals with a history of gastrointestinal disease, particularly colitis.

Warnings

BEFORE THERAPY WITH CEFACLOR IS INSTITUTED, CAREFUL INQUIRY SHOULD BE MADE TO DETERMINE WHETHER THE PATIENT HAS HAD PREVIOUS HYPERSENSITIVITY REACTIONS TO CEFACLOR, CEPHALOSPORINS, PENICILLINS, OR OTHER DRUGS. IF THIS PRODUCT IS TO BE GIVEN TO PENICILLIN- SENSITIVE PATIENTS, CAUTION SHOULD BE EXERCISED BECAUSE CROSS-HYPERSENSITIVITY AMONG β-LACTAM ANTIBIOTICS HAS BEEN CLEARLY DOCUMENTED AND MAY OCCUR IN UP TO 10% OF PATIENTS   WITH A HISTORY OF PENICILLIN ALLERGY.

IF AN ALLERGIC REACTION TO CEFACLOR OCCURS, DISCONTINUE THE DRUG. SERIOUS ACUTE HYPER-SENSITIVITY REACTIONS MAY REQUIRE TREATMENT WITH EPINEPHRINE AND OTHER EMERGENCY MEASURES, INCLUDING OXYGEN, INTRAVENOUS FLUIDS, INTRAVENOUS ANTIHISTAMINES, CORTICOSTEROIDS, PRESSOR AMINES, AND AIRWAY MANAGEMENT, AS CLINICALLY INDICATED.

Antibiotics, including cefaclor, should be administered cautiously to any patient who has demonstrated some form of allergy, particularly to drugs.

Clostridium difficile associated diarrhea (CDAD) has been reported with use of nearly all antibacterial agents, including Cefaclor for Oral Suspension, USP, and may range in severity from mild diarrhea to fatal colitis. Treatment with antibacterial agents alters the normal flora of the   colon leading to overgrowth of C. difficile .

C. difficile produces toxins A and B which contribute to the development of CDAD. Hypertoxin- producing strains of C. difficile cause increased morbidity and mortality, as these   infections can be refractory to antimicrobial therapy and may require colectomy. CDAD must be considered in all patients who present with diarrhea following antibiotic use. Careful medical history is necessary since CDAD has been reported to occur over two months after the administration of antibacterial agents.

If CDAD is suspected or confirmed, ongoing antibiotic use not directed against C. difficile may need to be discontinued. Appropriate fluid and electrolyte management, protein supplementation, antibiotic treatment of C. difficile , and surgical evaluation should be instituted as clinically indicated.

Pregnancy

Teratogenic Effects: Pregnancy Category B

Reproduction studies have been performed in mice and rats at doses up to 12 times the human dose and in ferrets given 3 times the maximum human dose and have revealed no harm to the fetus due to cefaclor. There are, however, no adequate and well-controlled studies in pregnant women. Because animal reproduction studies are not always predictive of human response, this drug should be used during pregnancy only if clearly needed.

Overdosage

Signs and Symptoms -- The toxic symptoms following an overdose of cefaclor may include nausea, vomiting, epigastric distress, and diarrhea. The severity of the epigastric distress and the diarrhea are dose-related. If other symptoms are present, it is probable that they are secondary to an underlying disease state, an allergic reaction, or the effects of other intoxication.

Treatment -- To obtain up-to-date information about the treatment of overdose, a good resource is your certified Regional Poison Control Center. Telephone numbers of certified poison control centers are listed in the Physicians' Desk Reference (PDR). In managing overdosage, consider the possibility of multiple drug overdoses, interaction among drugs, and unusual drug kinetics in your patient.

Unless 5 times the normal dose of cefaclor has been ingested, gastrointestinal decontamination will not be necessary.

Protect the patient's airway and support ventilation and perfusion. Meticulously monitor and maintain, within acceptable limits, the patient's vital signs, blood gases, serum electrolytes, etc. Absorption of drugs from the gastrointestinal tract may be decreased by giving activated charcoal, which, in many cases, is more effective than emesis or lavage; consider charcoal instead of or in addition to gastric emptying. Repeated doses of charcoal over time may hasten elimination of some drugs that have been absorbed. Safeguard the patient's airway when employing gastric emptying or charcoal.

Forced diuresis, peritoneal dialysis, hemodialysis, or charcoal hemoperfusion have not been established as beneficial for an overdose of cefaclor.

Microbiology

Mechanism of Action

As with other cephalosporins, the bactericidal action of cefaclor results from inhibition of cell-wall synthesis.

Mechanism of Resistance

Resistance to cefaclor is primarily through hydrolysis of beta-lactamases, alteration of penicillin-binding proteins (PBPs) and decreased permeability. Pseudomonas spp., Acinetobacter calcoaceticus and most strains of Enterococci (Enterococcus faecalis, group D streptococci), Enterobacter spp., indole-positive Proteus, Morganella morganii (formerly Proteus morganii), Providencia rettgeri (formerly Proteus rettgeri), and Serratia spp. are resistant to cefaclor. Cefaclor is inactive against methicillin-resistant staphylococci. β-lactamase-negative, ampicillin-resistant strains of H. influenzae should be considered resistant to cefaclor despite apparent in vitro susceptibility to this agent.

Antibacterial Activity

Cefaclor has been shown to be active against most strains of the following microorganisms both in vitro and in clinical infections as described in the INDICATIONS AND USAGE section.

Gram-positive Bacteria

Staphylococcus aureus (methicillin susceptible only)

Coagulase negative staphylococci (methicillin susceptible only)

Streptococcus pneumoniae

Streptococcus pyogenes (group A β-hemolytic streptococci)

Gram-negative Bacteria

Escherichia coli

Haemophilus influenzae (excluding β-lactamase-negative, ampicillin-resistant strains)

Klebsiella spp.

Proteus mirabilis

The following in vitro data are available, but their clinical significance is unknown. At least 90 percent of the following bacteria exhibit an in vitro minimum inhibitory concentrations (MICs) less than or equal to the susceptible breakpoint of cefaclor. However, the safety and effectiveness of cefaclor in treating clinical infections due to these bacteria has not been established in adequate and well-controlled trials.

Gram-negative Bacteria

Citrobacter diversus

Moraxella catarrhalis

Neisseria gonorrhoeae

Anaerobic Bacteria

Bacteroides spp.

Peptococcus spp.

Peptostreptococcus spp.

Propionibacterium acnes

Susceptibility Testing

For specific information regarding susceptibility test interpretive criteria and associated test methods and quality control standards recognized by FDA for this drug, please see: https://www.fda.gov/STIC.

Geriatric Use

Of the 3,703 patients in clinical studies of cefaclor, 594 (16.0%) were 65 and older. No overall differences in safety or effectiveness were observed between these subjects and younger subjects.

Other reported clinical experience has not identified differences in responses between the elderly and younger patients, but greater sensitivity of some older individuals cannot be ruled out.

This drug is known to be substantially excreted by the kidney (see CLINICAL PHARMACOLOGY ), and the risk of toxic reactions to this drug may be greater in patients with impaired renal function. Because elderly patients are more likely to have decreased renal function, care should be taken in dose selection, and it may be useful to monitor renal function (see DOSAGE AND ADMINISTRATION ).

Pediatric Use

Safety and effectiveness of this product for use in infants less than 1 month of age have not been established.

Nursing Mothers

Small amounts of cefaclor have been detected in mother's milk following administration of single 500 mg doses. Average levels were 0.18, 0.20, 0.21, and 0.16 mcg/mL at 2, 3, 4, and 5 hours, respectively. Trace amounts were detected at 1 hour. The effect on nursing infants is not known. Caution should be exercised when cefaclor is administered to a nursing woman.

Labor and Delivery

The effect of cefaclor on labor and delivery is unknown.

Clinical Pharmacology

Cefaclor is well-absorbed after oral administration to fasting subjects. Total absorption is the same whether the drug is given with or without food; however, when it is taken with food, the peak concentration achieved is 50% to 75% of that observed when the drug is administered to fasting subjects and generally appears from three-fourths to 1 hour later. Following administration of 250 mg, 500 mg, and 1 g doses to fasting subjects, average peak serum levels of approximately 7, 13, and 23 mcg/mL, respectively, were obtained within 30 to 60 minutes. Approximately 60% to 85% of the drug is excreted unchanged in the urine within 8 hours, the greater portion being excreted within the first 2 hours. During this 8-hour period, peak urine concentrations following the 250 mg, 500 mg and 1 g doses were approximately 600, 900 and 1,900 mcg/mL, respectively. The serum half-life in normal subjects is 0.6 to 0.9 hour. In patients with reduced renal function, the serum half-life of cefaclor is slightly prolonged. In those with complete absence of renal function, the plasma half-life of the intact molecule is 2.3 to 2.8 hours. Excretion pathways in patients with markedly impaired renal function have not been determined. Hemodialysis shortens the half-life by 25% to 30%.

Principal Display Panel

NDC 81948-6250-1

CEFACLOR

For oral suspension, USP

250 mg/5 mL

150 mL (when mixed)

Rx Only

Information for Patients

Patients should be counseled that antibacterial drugs including Cefaclor for Oral Suspension should only be used to treat bacterial infections. They do not treat viral infections (e.g., the common cold). When Cefaclor for Oral Suspension is prescribed to treat a bacterial infection, patients should be told that although it is common to feel better early in the course of therapy, the medication should be taken exactly as directed. Skipping dose or not completing the full course of therapy may (1) decrease the effectiveness of the immediate treatment and (2) increase the likelihood that bacteria will develop resistance and will not be treatable by Cefaclor for Oral Suspension or other antibacterial drugs in the future.

Diarrhea is a common problem caused by antibiotics which usually ends when the antibiotic is discontinued. Sometimes after starting treatment with antibiotics, patients can develop watery and bloody stools (with or without stomach cramps and fever) even as late as two or more months after having taken the last dose of the antibiotic. If this occurs, patients should contact their physician as soon as possible.

Drug/laboratory Test Interactions

Patients receiving cefaclor may show a false-positive reaction for glucose in the urine with tests that use Benedict's and Fehling's solutions and also with Clinitest® tablets.

There have been reports of increased anticoagulant effect when cefaclor and oral anticoagulants were administered concomitantly.

Carcinogenesis, Mutagenesis, Impairment of Fertility

Studies have not been performed to determine potential for carcinogenicity, mutagenicity, or impairment of fertility.


Structured Label Content

Section 42229-5 (42229-5)

Cefaclor for Oral Suspension, USP

Rx Only

To reduce the development of drug-resistant bacteria and maintain the effectiveness of Cefaclor for Oral Suspension and other antibacterial drugs, Cefaclor for Oral Suspension, USP, should be used only to treat or prevent infections that are proven or strongly suspected to be caused by bacteria.

General

Prescribing cefaclor in the absence of a proven or strongly suspected bacterial infection or a prophylactic indication is unlikely to provide benefit to the patient and increase the risk of the development of drug- resistant bacteria.

Prolonged use of cefaclor may result in the overgrowth of nonsusceptible organisms. Careful observation of the patient is essential. If superinfection occurs during therapy, appropriate measures should be taken.

Positive direct Coombs' tests have been reported during treatment with the cephalosporin antibiotics. It should be recognized that a positive Coombs' test may be due to the drug, e.g., in hematologic studies or in transfusion cross-matching procedures when antiglobulin tests are performed on the minor side or in Coombs' testing of newborns whose mothers have received cephalosporin antibiotics before parturition.

Cefaclor should be administered with caution in the presence of markedly impaired renal function. Since the half-life of cefaclor in anuria is 2.3 to 2.8 hours, dosage adjustments for patients with moderate or severe renal impairment are usually not required. Clinical experience with cefaclor under such conditions is limited; therefore, careful clinical observation and laboratory studies should be made.

As with other β-lactam antibiotics, the renal excretion of cefaclor is inhibited by probenecid.

Antibiotics, including cephalosporins, should be prescribed with caution in individuals with a history of gastrointestinal disease, particularly colitis.

Warnings (WARNINGS)

BEFORE THERAPY WITH CEFACLOR IS INSTITUTED, CAREFUL INQUIRY SHOULD BE MADE TO DETERMINE WHETHER THE PATIENT HAS HAD PREVIOUS HYPERSENSITIVITY REACTIONS TO CEFACLOR, CEPHALOSPORINS, PENICILLINS, OR OTHER DRUGS. IF THIS PRODUCT IS TO BE GIVEN TO PENICILLIN- SENSITIVE PATIENTS, CAUTION SHOULD BE EXERCISED BECAUSE CROSS-HYPERSENSITIVITY AMONG β-LACTAM ANTIBIOTICS HAS BEEN CLEARLY DOCUMENTED AND MAY OCCUR IN UP TO 10% OF PATIENTS   WITH A HISTORY OF PENICILLIN ALLERGY.

IF AN ALLERGIC REACTION TO CEFACLOR OCCURS, DISCONTINUE THE DRUG. SERIOUS ACUTE HYPER-SENSITIVITY REACTIONS MAY REQUIRE TREATMENT WITH EPINEPHRINE AND OTHER EMERGENCY MEASURES, INCLUDING OXYGEN, INTRAVENOUS FLUIDS, INTRAVENOUS ANTIHISTAMINES, CORTICOSTEROIDS, PRESSOR AMINES, AND AIRWAY MANAGEMENT, AS CLINICALLY INDICATED.

Antibiotics, including cefaclor, should be administered cautiously to any patient who has demonstrated some form of allergy, particularly to drugs.

Clostridium difficile associated diarrhea (CDAD) has been reported with use of nearly all antibacterial agents, including Cefaclor for Oral Suspension, USP, and may range in severity from mild diarrhea to fatal colitis. Treatment with antibacterial agents alters the normal flora of the   colon leading to overgrowth of C. difficile .

C. difficile produces toxins A and B which contribute to the development of CDAD. Hypertoxin- producing strains of C. difficile cause increased morbidity and mortality, as these   infections can be refractory to antimicrobial therapy and may require colectomy. CDAD must be considered in all patients who present with diarrhea following antibiotic use. Careful medical history is necessary since CDAD has been reported to occur over two months after the administration of antibacterial agents.

If CDAD is suspected or confirmed, ongoing antibiotic use not directed against C. difficile may need to be discontinued. Appropriate fluid and electrolyte management, protein supplementation, antibiotic treatment of C. difficile , and surgical evaluation should be instituted as clinically indicated.

Pregnancy

Teratogenic Effects: Pregnancy Category B

Reproduction studies have been performed in mice and rats at doses up to 12 times the human dose and in ferrets given 3 times the maximum human dose and have revealed no harm to the fetus due to cefaclor. There are, however, no adequate and well-controlled studies in pregnant women. Because animal reproduction studies are not always predictive of human response, this drug should be used during pregnancy only if clearly needed.

Overdosage (OVERDOSAGE)

Signs and Symptoms -- The toxic symptoms following an overdose of cefaclor may include nausea, vomiting, epigastric distress, and diarrhea. The severity of the epigastric distress and the diarrhea are dose-related. If other symptoms are present, it is probable that they are secondary to an underlying disease state, an allergic reaction, or the effects of other intoxication.

Treatment -- To obtain up-to-date information about the treatment of overdose, a good resource is your certified Regional Poison Control Center. Telephone numbers of certified poison control centers are listed in the Physicians' Desk Reference (PDR). In managing overdosage, consider the possibility of multiple drug overdoses, interaction among drugs, and unusual drug kinetics in your patient.

Unless 5 times the normal dose of cefaclor has been ingested, gastrointestinal decontamination will not be necessary.

Protect the patient's airway and support ventilation and perfusion. Meticulously monitor and maintain, within acceptable limits, the patient's vital signs, blood gases, serum electrolytes, etc. Absorption of drugs from the gastrointestinal tract may be decreased by giving activated charcoal, which, in many cases, is more effective than emesis or lavage; consider charcoal instead of or in addition to gastric emptying. Repeated doses of charcoal over time may hasten elimination of some drugs that have been absorbed. Safeguard the patient's airway when employing gastric emptying or charcoal.

Forced diuresis, peritoneal dialysis, hemodialysis, or charcoal hemoperfusion have not been established as beneficial for an overdose of cefaclor.

Description (DESCRIPTION)

Cefaclor, USP, is a semisynthetic cephalosporin antibiotic for oral administration. It is chemically designated as 3-chloro-7-D-(2-phenylglycinamido) -3-cephem-4-carboxylic acid monohydrate. The chemical formula for cefaclor is C15H14ClN3O4S•H2O and the molecular weight is 385.82.

After mixing, each 5 mL of Cefaclor for Oral Suspension will contain cefaclor monohydrate equivalent to 250 mg (0.68 mmol) anhydrous cefaclor. The suspensions also contain methylcellulose, sodium lauryl sulfate, sucrose, and xanthan gum, FD&C Red No. 40, strawberry flavor.

The color of drug powder in the dry powder state is white to off-white. After reconstitution, it turns to a red suspension.

How Supplied (HOW SUPPLIED)

Cefaclor Oral Suspension, USP, is supplied in bottles with child-resistant caps as:

250 mg/5 mL strawberry flavor

      NDC 81948-6250-1 (150 mL size)

After mixing, store in a refrigerator. Shake well before using. Keep tightly closed. The mixture may be kept for 14 days without significant loss of potency. Discard unused portion after 14 days.

Store dry powder at 20° to 25°C (68° to 77°F). [See USP Controlled Room Temperature].

Manufactured by:

Yung Shin Pharmaceutical Ind. Co., Ltd. Tachia, Taichung 43769, TAIWAN

Manufactured for:

Azorian Pharma, LLC

Claymont, DE 19703

Revised: 10/22 

KRP50e (Azorian) USA 2150153-001

Microbiology

Mechanism of Action

As with other cephalosporins, the bactericidal action of cefaclor results from inhibition of cell-wall synthesis.

Mechanism of Resistance

Resistance to cefaclor is primarily through hydrolysis of beta-lactamases, alteration of penicillin-binding proteins (PBPs) and decreased permeability. Pseudomonas spp., Acinetobacter calcoaceticus and most strains of Enterococci (Enterococcus faecalis, group D streptococci), Enterobacter spp., indole-positive Proteus, Morganella morganii (formerly Proteus morganii), Providencia rettgeri (formerly Proteus rettgeri), and Serratia spp. are resistant to cefaclor. Cefaclor is inactive against methicillin-resistant staphylococci. β-lactamase-negative, ampicillin-resistant strains of H. influenzae should be considered resistant to cefaclor despite apparent in vitro susceptibility to this agent.

Antibacterial Activity

Cefaclor has been shown to be active against most strains of the following microorganisms both in vitro and in clinical infections as described in the INDICATIONS AND USAGE section.

Gram-positive Bacteria

Staphylococcus aureus (methicillin susceptible only)

Coagulase negative staphylococci (methicillin susceptible only)

Streptococcus pneumoniae

Streptococcus pyogenes (group A β-hemolytic streptococci)

Gram-negative Bacteria

Escherichia coli

Haemophilus influenzae (excluding β-lactamase-negative, ampicillin-resistant strains)

Klebsiella spp.

Proteus mirabilis

The following in vitro data are available, but their clinical significance is unknown. At least 90 percent of the following bacteria exhibit an in vitro minimum inhibitory concentrations (MICs) less than or equal to the susceptible breakpoint of cefaclor. However, the safety and effectiveness of cefaclor in treating clinical infections due to these bacteria has not been established in adequate and well-controlled trials.

Gram-negative Bacteria

Citrobacter diversus

Moraxella catarrhalis

Neisseria gonorrhoeae

Anaerobic Bacteria

Bacteroides spp.

Peptococcus spp.

Peptostreptococcus spp.

Propionibacterium acnes

Susceptibility Testing

For specific information regarding susceptibility test interpretive criteria and associated test methods and quality control standards recognized by FDA for this drug, please see: https://www.fda.gov/STIC.

Geriatric Use

Of the 3,703 patients in clinical studies of cefaclor, 594 (16.0%) were 65 and older. No overall differences in safety or effectiveness were observed between these subjects and younger subjects.

Other reported clinical experience has not identified differences in responses between the elderly and younger patients, but greater sensitivity of some older individuals cannot be ruled out.

This drug is known to be substantially excreted by the kidney (see CLINICAL PHARMACOLOGY ), and the risk of toxic reactions to this drug may be greater in patients with impaired renal function. Because elderly patients are more likely to have decreased renal function, care should be taken in dose selection, and it may be useful to monitor renal function (see DOSAGE AND ADMINISTRATION ).

Pediatric Use

Safety and effectiveness of this product for use in infants less than 1 month of age have not been established.

Nursing Mothers

Small amounts of cefaclor have been detected in mother's milk following administration of single 500 mg doses. Average levels were 0.18, 0.20, 0.21, and 0.16 mcg/mL at 2, 3, 4, and 5 hours, respectively. Trace amounts were detected at 1 hour. The effect on nursing infants is not known. Caution should be exercised when cefaclor is administered to a nursing woman.

Adverse Reactions (ADVERSE REACTIONS)

Adverse effects considered to be related to therapy with cefaclor are listed below:

Hypersensitivity reactions have been reported in about 1.5% of patients and include morbilliform eruptions (1 in 100). Pruritus, urticaria, and positive Coombs' tests each occur in less than 1 in 200 patients.

Cases of serum-sickness-like reactions have been reported with the use of cefaclor. These are characterized by findings of erythema multiforme, rashes, and other skin manifestations accompanied by arthritis/arthralgia, with or without fever, and differ from classic serum sickness in that there is infrequently associated lymphadenopathy and proteinuria, no circulating immune complexes, and no evidence to date of sequelae of the reaction. Occasionally, solitary symptoms may occur, but do not represent a serum-sickness-like reaction. While further investigation is ongoing, serum-sickness-like reactions appear to be due to hypersensitivity and more often occur during or following a second (or subsequent) course of therapy with cefaclor. Such reactions have been reported more frequently in pediatric patients than in adults with an overall occurrence ranging from 1 in 200 (0.5%) in one focused trial to 2 in 8,346 (0.024%) in overall clinical trials (with an incidence in pediatric patients in clinical trials of 0.055%) to 1 in 38,000 (0.003%) in spontaneous event reports. Signs and symptoms usually occur a few days after initiation of therapy and subside within a few days after cessation of therapy; occasionally these reactions have resulted in hospitalization, usually of short duration (median hospitalization = 2 to 3 days, based on postmarketing surveillance studies). In those requiring hospitalization, the symptoms have ranged from mild to severe at the time of admission with more of the severe reactions occurring in pediatric patients. Antihistamines and glucocorticoids appear to enhance resolution of the signs and symptoms. No serious sequelae have been reported.

More severe hypersensitivity reactions, including Stevens-Johnson syndrome, toxic epidermal necrolysis, and anaphylaxis have been reported rarely.

Anaphylactoid events may be manifested by solitary symptoms, including angioedema, asthenia, edema (including face and limbs), dyspnea, paresthesias, syncope, hypotension, or vasodilatation. Anaphylaxis may be more common in patients with a history of penicillin allergy.

Rarely, hypersensitivity symptoms may persist for several months.

Gastrointestinal symptoms occur in about 2.5% of patients and include diarrhea (1 in 70).

Onset of pseudomembranous colitis symptoms may occur during or after antibiotic treatment. (see WARNINGS ). Nausea and vomiting have been reported rarely. As with some penicillins and some other cephalosporins, transient hepatitis and cholestatic jaundice have been reported rarely.

Other effects considered related to therapy included eosinophilia (1 in 50 patients), genital pruritus, moniliasis or vaginitis (about 1 in 50 patients), and, rarely, thrombocytopenia or reversible interstitial nephritis.

Causal Relationship Uncertain

CNS -- Rarely, reversible hyperactivity, agitation, nervousness, insomnia, confusion, hypertonia, dizziness, hallucinations, and somnolence have been reported.

Transitory abnormalities in clinical laboratory test results have been reported. Although they were of uncertain etiology, they are listed below to serve as alerting information for the physician.

Hepatic -- Slight elevations of AST, ALT, or alkaline phosphatase values (1 in 40).

Hematopoietic -- As has also been reported with other β-lactam antibiotics, transient lymphocytosis, leukopenia, and, rarely, hemolytic anemia, aplastic anemia, agranulocytosis, and reversible neutropenia of possible clinical significance.

There have been rare reports of increased prothrombin time with or without clinical bleeding in patients receiving cefaclor and Coumadin® concomitantly.

Renal -- Slight elevations in BUN or serum creatinine (less than 1 in 500) or abnormal urinalysis (less than 1 in 200).

Cephalosporin-class Adverse Reactions

In addition to the adverse reactions listed above that have been observed in patients treated with cefaclor, the following adverse reactions and altered laboratory tests have been reported for cephalosporin-class antibiotics: fever, abdominal pain, superinfection, renal dysfunction, toxic nephropathy, hemorrhage, false-positive test for urinary glucose, elevated bilirubin, elevated LDH, and pancytopenia.

Several cephalosporins have been implicated in triggering seizures, particularly in patients with renal impairment when the dosage was not reduced. If seizures associated with drug therapy occur, the drug should be discontinued. Anticonvulsant therapy can be given if clinically indicated (see DOSAGE AND ADMINISTRATION  and OVERDOSAGE sections).

To report SUSPECTED ADVERSE REACTIONS,   contact Azorian Pharma at 1- 302-459-8479 or FDA at 1-800-FDA-1088 or www.fda.gov/me. dwatch

Contraindications (CONTRAINDICATIONS)

Cefaclor is contraindicated in patients with known allergy to the cephalosporin group of antibiotics.

Labor and Delivery

The effect of cefaclor on labor and delivery is unknown.

Clinical Pharmacology (CLINICAL PHARMACOLOGY)

Cefaclor is well-absorbed after oral administration to fasting subjects. Total absorption is the same whether the drug is given with or without food; however, when it is taken with food, the peak concentration achieved is 50% to 75% of that observed when the drug is administered to fasting subjects and generally appears from three-fourths to 1 hour later. Following administration of 250 mg, 500 mg, and 1 g doses to fasting subjects, average peak serum levels of approximately 7, 13, and 23 mcg/mL, respectively, were obtained within 30 to 60 minutes. Approximately 60% to 85% of the drug is excreted unchanged in the urine within 8 hours, the greater portion being excreted within the first 2 hours. During this 8-hour period, peak urine concentrations following the 250 mg, 500 mg and 1 g doses were approximately 600, 900 and 1,900 mcg/mL, respectively. The serum half-life in normal subjects is 0.6 to 0.9 hour. In patients with reduced renal function, the serum half-life of cefaclor is slightly prolonged. In those with complete absence of renal function, the plasma half-life of the intact molecule is 2.3 to 2.8 hours. Excretion pathways in patients with markedly impaired renal function have not been determined. Hemodialysis shortens the half-life by 25% to 30%.

Indications and Usage (INDICATIONS AND USAGE)

Cefaclor is indicated in the treatment of the following infections when caused by susceptible strains of the designated microorganisms:

Otitis media caused by Streptococcus pneumoniae, Haemophilus influenzae, staphylococci, and Streptococcus pyogenes

Note: β-lactamase-negative, ampicillin-resistant (BLNAR) strains of Haemophilus influenzae should be considered resistant to cefaclor despite apparent in vitro susceptibility of some BLNAR strains.

Lower respiratory tract infections, including pneumonia, caused by Streptococcus pneumoniae, Haemophilus influenzae, and Streptococcus pyogenes

Note: β-lactamase-negative, ampicillin-resistant (BLNAR) strains of Haemophilus influenzae should be considered resistant to cefaclor despite apparent in vitro susceptibility of some BLNAR strains.

Pharyngitis and Tonsillitis, caused by Streptococcus pyogenes

Note: Penicillin is the usual drug of choice in the treatment and prevention of streptococcal infections, including the prophylaxis of rheumatic fever. Cefaclor is generally effective in the eradication of streptococci from the nasopharynx; however, substantial data establishing the efficacy of cefaclor in the subsequent prevention of rheumatic fever are not available at present.

Urinary tract infections, including pyelonephritis and cystitis, caused by Escherichia coli, Proteus mirabilis, Klebsiella spp., and coagulase-negative staphylococci

Skin and skin structure infections caused by Staphylococcus aureus and Streptococcus pyogenes

Appropriate culture and susceptibility studies should be performed to determine susceptibility of the causative organism to cefaclor.

To reduce the development of drug-resistant bacteria and maintain the effectiveness of Cefaclor for Oral Suspension and other antibacterial drugs, Cefaclor for Oral Suspension should be used only to treat or prevent infections that are proven or strongly suspected to be caused by susceptible bacteria. When culture and susceptibility information are available, they should be considered in selecting or modifying antibacterial therapy. In the absence of such data, local epidemiology and susceptibility patterns may contribute to the empiric selection of therapy.

Principal Display Panel (PRINCIPAL DISPLAY PANEL)

NDC 81948-6250-1

CEFACLOR

For oral suspension, USP

250 mg/5 mL

150 mL (when mixed)

Rx Only

Information for Patients

Patients should be counseled that antibacterial drugs including Cefaclor for Oral Suspension should only be used to treat bacterial infections. They do not treat viral infections (e.g., the common cold). When Cefaclor for Oral Suspension is prescribed to treat a bacterial infection, patients should be told that although it is common to feel better early in the course of therapy, the medication should be taken exactly as directed. Skipping dose or not completing the full course of therapy may (1) decrease the effectiveness of the immediate treatment and (2) increase the likelihood that bacteria will develop resistance and will not be treatable by Cefaclor for Oral Suspension or other antibacterial drugs in the future.

Diarrhea is a common problem caused by antibiotics which usually ends when the antibiotic is discontinued. Sometimes after starting treatment with antibiotics, patients can develop watery and bloody stools (with or without stomach cramps and fever) even as late as two or more months after having taken the last dose of the antibiotic. If this occurs, patients should contact their physician as soon as possible.

Dosage and Administration (DOSAGE AND ADMINISTRATION)

Cefaclor is administered orally.

Adults -- The usual adult dosage is 250 mg every 8 hours. For more severe infections (such as pneumonia) or those caused by less susceptible organisms, doses may be doubled.

Pediatric Patients -- The usual recommended daily dosage for pediatric patients is 20 mg/kg/day in divided doses every 8 hours. In more serious infections, otitis media, and infections caused by less susceptible organisms, 40 mg/kg/day are recommended, with a maximum dosage of 1 g/day.

Table 1:

Cefaclor for Oral Suspension, USP
20 mg/kg/day
Weight 125 mg/5 mL 250 mg/5 mL
9 kg 1/2 tsp t.i.d.
18 kg 1 tsp t.i.d. 1/2 tsp t.i.d.
40 mg/kg/day
9 kg 1 tsp t.i.d. 1/2 tsp t.i.d.
18 kg 1 tsp t.i.d.

B.I.D. Treatment Option —For the treatment of otitis media and pharyngitis, the total daily dosage may be divided and administered every 12 hours.

Table 2:

Cefaclor for Oral Suspension, USP
20 mg/kg/day

(Pharyngitis)
Weight 375 mg/5 mL
18 kg 1/2 tsp b.i.d.
40 mg/kg/day  

(Otitis Media)
9 kg 1/2 tsp b.i.d.
18 kg 1 tsp b.i.d.

Cefaclor may be administered in the presence of impaired renal function. Under such a condition, the dosage usually is unchanged (see PRECAUTIONS ).

In the treatment of β-hemolytic streptococcal infections, a therapeutic dosage of cefaclor should be administered for at least 10 days.

Directions for Mixing:

Add appropriate water volume as indicated in the following table in two portions to dry mixture in the bottle. Shake well after each addition.

Each 5 mL (approximately one teaspoonful) will then contain Cefaclor, USP, monohydrate equivalent to 250 mg anhydrous cefaclor, respectively, as shown in the following table.

Oversize bottle provides extra space for shaking.

Table 3:

Cefaclor For Oral Suspension, USP
Strength Package Size (when mixed) Water Volume to Add Anhydrous Cefaclor/5 mL (approx. one teaspoonful)
250 mg/5 Ml

150 mL
106 mL 250 mg
Drug/laboratory Test Interactions (Drug/Laboratory Test Interactions)

Patients receiving cefaclor may show a false-positive reaction for glucose in the urine with tests that use Benedict's and Fehling's solutions and also with Clinitest® tablets.

There have been reports of increased anticoagulant effect when cefaclor and oral anticoagulants were administered concomitantly.

Carcinogenesis, Mutagenesis, Impairment of Fertility

Studies have not been performed to determine potential for carcinogenicity, mutagenicity, or impairment of fertility.


Advanced Ingredient Data


Raw Label Data

All Sections (JSON)